Акустический расчет и мера защиты от воздействия шума
Министерство
образования и науки Республики Казахстан
Некомерческое
акционерное общество
Алматинский
университет энергетики и связи
Факультет
"Радиотехника и связь"
Кафедра:
"Охрана Труда и Окружающей Среды"
Дисциплина:
"Основы безопасности жизнедеятельности"
Расчётно-графическая
работа №1
Акустический
расчет и мера защиты от воздействия шума
Выполнил: ст. гр. ППС-11-3
Абди
Проверил: Мазалов И.Ф.
№ зч. кн. 113084
Алматы 2014
Содержание
Введение
Задание
Исходные
данные
Решение
. Определение
уровней звукового давления в расчетной точке
. Расчет
мероприятий для снижения шума
Заключение
Список
литературы
Приложение
Введение
Шум - это беспорядочное сочетание звуков различной частоты и
интенсивности. Шум возникает при механических колебаниях в твердых, жидких и
газообразных средах.
Шум ухудшает условия труда, оказывая вредное воздействие на организм
человека. При длительном воздействии на организм человека происходят
нежелательные явления: снижается острота зрения, слуха повышается кровяное давление,
понижается внимание.
Шум оказывает воздействие на общее состояние человека, вызывая чувства
неуверенности, стесненности, тревоги, плохого самочувствия, что приводит к
снижению производительности труда, возникновению ошибок, может стать причиной
травматизма.
Сильный продолжительный шум может быть причиной функциональных изменений
сердечно-сосудистой системы.
На самочувствии человека наиболее неблагоприятно сказываются звуки
высоких частот.
Для борьбы с шумом используются организационные, технические и
медико-профилактические мероприятия.
К организационным мероприятиям относятся рациональное размещение
производственных участков, оборудования и рабочих мест, постоянный контроль
режима труда и отдыха работников.
Технические мероприятия позволяют значительно снизить воздействие шума на
работающих. При конструировании оборудования следует стремиться к снижению
уровня шума в самом источнике его образования. Важное значение имеют
техническое обслуживание оборудования, замена изношенных деталей, устранение перекосов
и биений. Также применяют такие меры, как звукоизоляция источника или рабочего
места, и применение звукопоглощающих материалов.
Медико-профилактические мероприятия подразумевают контроль параметров
шумовой обстановки и контроль состояния здоровья работающих.
В необходимых случаях борьбы с шумом используются средства индивидуальной
защиты.
Задание
Произвести акустический расчет шума, а также меры защиты от воздействия
шума на персонал. В помещении работают несколько источников шума, имеющие
одинаковый уровень звуковой мощности. Источники расположены на полу. Источники
шума находятся на расстоянии r от расчетной точки, которая расположена на
высоте 1,5 метра от пола. Определить октавные уровни звукового давления в
расчетной точке.
Данные расчета сравнить с нормируемыми уровнями звукового давления.
Определить требуемое снижение звукового давления и рассчитать параметры кабины
наблюдения в качестве меры защиты персонала от действия шума.
Исходные данные
Вид оборудования: газовая турбина
Количество источников: 4
Объем помещения: 1900 м3
Отношение В/Sогр: 0.1max= 1.4 м
Расстояние от ИШ до расчетной точки: r1= r2 =11.5м,
r3= 10.3м, r4=12.3
Параметры кабины 18x12x5
Площадь
глухой стены S1=90 м2
Площадь
перекрытия S2=216 м2
Площадь двери
S3=6 м2
Площадь окна
S4=5 м2.
Таблица 1 - Ориентировочные уровни звукового давления электрогенератора
|
Среднегеометрические частоты октавных полос, Гц
|
63
|
125
|
250
|
500
|
1000
|
2000
|
4000
|
8000
|
|
Lp
|
70
|
69
|
72
|
73
|
76
|
80
|
80
|
75
|
Решение
. Определение уровней звукового давления в расчетной точке
Октавные уровни звукового давления в расчетной точке определим по
формуле:
pi - октавный уровень звуковой мощности дБ, создаваемый i-тым
источником шума;- количество источников шума, ближайших к расчетной точке (т.е.
источников, для которых ri<5rmin).
Минимальное расстояние от расчетной точки до акустического центра и
ближайшего к ней источника
rimin= r3 =r4=3.5м, 5*rmin=17.5 м.
Общее количество источников шума, принимаемых в расчет и расположенных в
близи расчетной точки, когда ri<5rmin=47.5, будет
равно 5 (m=4).
Наибольший габаритный размер источников lmax=1,2 м. Для всех
источников выполняется условие 2lmax < r.
i=2
ri2
Определяем
- коэффициент, учитывающий влияние ближнего акустического
поля, принимаемый в зависимости от отношения
.5/1,5=2,33 и 4.2/1.5=2.8 и 5.3/1,5=3.533, следовательно,
=1.
Ф - фактор направленности ИШ. Для ИШ с равномерным излучением звука Ф=1.
Определяем величину В и μ [2]:
Величину Вш найдем по формуле:
Для помещения с объемом V, имеем:
м2
Частотный множитель m для данного объема указан в таблице 2.
Таблица 2 - Частотный множитель
|
Среднегеометрические частоты октавных полос, Гц
|
63
|
125
|
250
|
500
|
1000
|
2000
|
4000
|
8000
|
|
m
|
0.65
|
0.62
|
0.64
|
0.75
|
1
|
1.5
|
2.4
|
4.2
|
- коэффициент, учитывающий нарушение диффузности звукового
поля в помещении, принимаемый по графику или опытным путем. По исходным данным
=В/Sогр=0.4.
Используя формулу найдем суммарные уровни звуковых давлений Lобщ в
расчетной точке от всех источников шума. Далее, используя известные значения
нормативных уровней звукового давления Lдоп, указанные в таблице 3, найдем
требуемое снижение шума DLтр
по формуле:
Таблица 3- Допустимые уровни звукового давления
|
Среднегеометрические частоты октавных полос, Гц
|
63
|
125
|
250
|
500
|
1000
|
2000
|
4000
|
8000
|
|
Lдоп
|
99
|
92
|
86
|
83
|
80
|
78
|
76
|
74
|
Все последовательные расчеты сведем в таблицу 4.
Таблица 4 - Расчет

Приведём
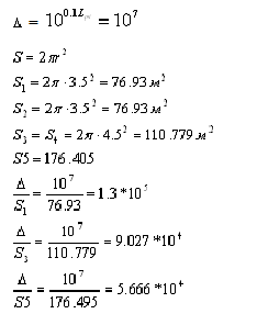
пример расчёта для частоты 63 Гц:
Для газовой
турбины, при частоте 63 Гц, Lpi=70 дБ; =>

Из таблицы
2.9 [2] для объёма 

. Расчет
мероприятий для снижения шума
Спроектируем
стену (с окном и дверью) и перекрытие кабины наблюдения зала вибростендов,
имеющего размеры 14х10х4.
Октавный уровень звукового давления и допустимый уровень звуковой
мощности приведены в таблице 5:
Таблица 5 - Октавный уровень звукового давления и допустимый уровень
звуковой мощности
|
Частоты
|
63
|
125
|
250
|
500
|
1000
|
2000
|
4000
|
8000
|
|
Lш
|
60.068
|
69.059
|
62.153
|
64.298
|
66.434
|
64.47
|
57.689
|
|
Lдоп
|
99
|
92
|
86
|
83
|
80
|
78
|
76
|
74
|
Требуемую звукоизолирующую способность каждого элемента наблюдательной
кабины рассчитаем по формуле [1]:
где Lш
- октавный уровень звукового давления в не защищаемом от шума помещении, дБ;
В -
постоянная защищаемого от шума помещения, м2;доп -
допустимый октавный уровень звукового давления;
n - общее количество ограждающих конструкций, через которые
проникает шум.
Величину Вu найдем по формуле:
Для наблюдательной кабины с объемом V = 16Ч10Ч5 = 800,м3,
имеем:
м3
Для данного объема помещения по таблице 2.7[2] найдем значения
нормативных уровней звукового давления Lдоп (эти значения представлены в
таблице 5).
Все расчеты сведем в таблицу 6:
Таблица 6 - Расчет
|
|
|
Результаты акустического расчета
|
|
|
|
|
пар. каб. набл.
|
S1
|
S2
|
S3
|
S4
|
|
|
|
|
800
|
80
|
160
|
5
|
4
|
|
|
|
|
частота
|
63
|
125
|
250
|
500
|
1000
|
2000
|
4000
|
8000
|
|
|
|
|
40
|
|
|
|
|
|
0,65
|
0,62
|
0,64
|
0,75
|
1
|
1,5
|
2,4
|
4,2
|
|
26
|
24,8
|
25,6
|
30
|
40
|
60
|
96
|
168
|
|
Lш
|
93
|
90
|
91
|
108
|
117
|
116
|
115
|
117
|
92
|
86
|
83
|
80
|
78
|
76
|
74
|
|
10lgn (n=5)
|
|
|
|
6,98970004
|
|
|
|
|
|
14,14973348
|
13,94451681
|
14,08239965
|
14,7712125
|
16,0205999
|
17,7815125
|
19,8227123
|
22,2530928
|
|
|
|
|
19,0308999
|
|
|
|
|
|
|
|
|
22,0411998
|
|
|
|
|
|
|
|
|
6,98970004
|
|
|
|
|
|
|
|
|
6,02059991
|
|
|
|
|
|
112,7086643
|
118,7608311
|
124,3820026
|
137,493874
|
137
|
120,3908741
|
100,978876
|
80,675071
|
|
142,8116639
|
148,8638306
|
154,4850022
|
167,596873
|
167,103
|
150,4938737
|
131,081875
|
110,778071
|
|
-7,70333393
|
-1,651167215
|
3,970004336
|
17,0818754
|
16,5880017
|
-0,02112417
|
-19,4331224
|
-39,7369273
|
|
-17,39433523
|
-11,34216852
|
-5,720996965
|
7,39087409
|
6,89700043
|
-9,71212547
|
-29,1241237
|
-49,4279286
|
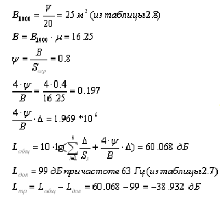
Приведём
пример расчёта для частоты 63 Гц:
Итак, сделав расчеты, используя таблицы 2.16 и 2.17 [2] методических
указаний, можем выбрать конструкции, обеспечивающие необходимую звукоизоляцию.
Для стен и перекрытий (S1 и S2) используем кирпичную кладку (отштукатуренную с
2-х сторон), толщиной в 1/2 кирпич. Дверь S3 используем обычную с
дополнительными прокладками из резины. Для S4 выберем окно стеклопластик
толщиной 10 мм., средняя поверхностная плотность 17 кг/м2. Данные
конструкции позволят осуществить полную звукоизоляцию.
Заключение
В данной работе мною был произведен акустический расчет, произведен
расчет звукоизолирующих конструкций для защиты от шума.
Для уменьшения шума, излучаемого промышленным оборудованием,
предусматриваются следующие мероприятия:
а) применение таких материалов при проектировании помещений, которые
могут обеспечить требуемую звукоизоляцию;
б) экранирование источников шума;
в) установка специальных звукоизолированных боксов и звукоизолирующих
кожухов при размещении шумящего оборудования;
г) применение глушителей для снижения аэродинамического шума.
При проектировании кабины наблюдения оказалось, что звукоизоляция очень
плохая, т.к. при всех частотах требуется значительное снижение шума.
Необходимые мероприятия для улучшения звукоизоляции были перечислены.
Список использованной литературы
1. СНиП
II-12-77 Защита от шума.- М. 2003 (с изменениями)
. Охрана
труда (методические указания к выполнению расчетно-графических работ), АИЭС
2005
.
Безопасность жизнедеятельности. Защита от производственного шума. Методические
указания. Алматы, 2005
шум давление трудоспособность звуковой
Приложение
Схема расположения источников шума и расчетных точек
