Суммирование расходящихся рядов
Актуальность
Математический аппарат - уникальная
вещь, породившая своей условностью безграничное количество кажущихся
парадоксов. Но, что еще более парадоксально, вытекающие из данных, на первый
взгляд, «парадоксов» факты находят отражение в окружающем нас мире, со временем
его изучения. Как это часто бывает с математикой - теория, разработанная до
того, как она потребовалась в других областях науки кажется пустой и «смешной»,
как, например, первое упоминание комплексного числа математиком Кардано в труде
«Великое искусство, или об алгебраических правилах» (1545). Стоит отметить, что
даже в XVII веке часть научного сообщества считала абсурдными иррациональные
числа, что уж говорить о «мнимых» комплексных.
Основоположником теории суммирования
рядов является Леонард Эйлер. Многие математики XVII и XVIII веков (Лейбниц,
Бернулли, Даламбер, Лагранж и др.) долго и безуспешно спорили о том, чему равна
сумма расходящегося ряда. Эйлер первый понял, что задача поставлена неправильно
и что нужно спрашивать, как определить сумму расходящегося ряда? Он пишет:
"И вот я говорю,
что вся трудность кроется в названии "сумма". Действительно, если под
"суммой" ряда понимать, как это обычно делается, результат сложения
всех его членов, то нет никакого сомнения, что суммы можно получить только для
тех бесконечных рядов, которые являются сходящимися и дают результаты, тем
более близкие к некоторому определенному значению, чем больше членов
складывается. Расходящиеся же ряды, члены которых не убывают..., вообще не
будут иметь никаких определенных сумм, если только слово "сумма"
понимается в смысле результата сложения всех членов.
Этих затруднений и
кажущихся противоречий мы совершенно избежим, если мы припишем слову
"сумма" значение, отличное от обычного. А именно, мы скажем, что сумма
некоторого бесконечного ряда есть конечное выражение, из разложения которого
возникает этот ряд... При этом соглашении, если ряд будет сходящимся, то новое
определение слова "сумма" совпадает с обычным, а так как расходящиеся
ряды не имеют никакой суммы в собственном смысле слова, то из этого нового
определения не проистечет никаких неудобств. Приняв это определение, мы сможем
сохранить выгоды пользования расходящимися рядами и в то же время защититься от
всяческих обвинений"
(Л. Эйлер, Дифференциальное
исчисление, ГИТТЛ, М.-Л., 1949, стр.101).
Как видно из этой цитаты, точка
зрения Эйлера на расходящиеся ряды вполне современна: расходящиеся ряды не
имеют суммы в обычном смысле этого слова, однако возможно дать новое
определение суммы ряда, применимое как ко всем сходящимся рядам, так и к
некоторым расходящимся рядам; при этом от определения нужно потребовать, чтобы
для сходящихся рядов новая сумма совпадала с обычной.
Возможность суммирования
расходящихся рядов подвергалась даже от математиков, занимающихся данной
областью исследований. Так, Нильс Абель писал в 1826 году:
«Расходящиеся ряды - это
всецело работа дьявола, и стыд тому, кто пытается найти какие-либо
доказательства относительно них. Можно получить из них, что захочешь, и это они
породили так много горя и парадоксов. Можно ли представить что-либо более
ужасное, чем сказать, что 0 = 1 − 2n + 3n − 4n
+ и т. д. где n - положительное число. Здесь есть над чем посмеяться, друзья»
Стоит отметить, однако, что
подтверждение такого «суммирования» расходящихся рядов нашло отражение в
физике: в теории бозонных струн, расчете эффекта Казимира и многом другом.
Основные понятия
При изучении рядов заданному
числовому ряду
в качестве его суммы
приписывается предел его частичной суммы
, в предположении, что
этот предел существует и конечен. В таком контексте расходящийся ряд
оказывается лишенным суммы, и потому подобные ряды часто исключали ранее из
рассмотрения суммы ряда. Потому возникает закономерный вопрос о возможности
суммирования расходящихся рядов в некотором новом смысле, отличном от
стандартного понимания суммы. В данной работе будут рассмотрены, в частности,
метод степенных рядов, метод средних арифметических (часто именуемый методом
Чезаро) и также некоторые реже применяемые методы. Но для начала необходимо
точно ввести необходимые понятия.
Итак, заданную
последовательность
называют
бесконечным рядом. Суммой ряда называется 
при 
где 
. Обычно, если ряд имеет
конечную сумму, его называют сходящимся, в противном же случае (если сумма 
или же суммы нет вовсе)
- расходящимся.
Рассмотрим
«колеблющийся» ряд:
Данный ряд часто называют
«Рядом Гранди» в честь итальянского математика, философа и священника Луиджи
Гвидо Гранди. При помощи стандартных группировок найдем «сумму» данного ряда:
Однако, с другой
стороны:
Несложно заметить, что
таким подобными способами можно получить любое значение такой «суммы». Можно
получить и иное значение:
В предыдущих
рассуждениях не учитывается, что в действительности означает «сумма ряда».
Поскольку важно уметь брать части ряда в скобки, а также производить
арифметические действия с рядами, можно прийти к двум выводам:
· Ряд 1 - 1 + 1 - 1 +
… не имеет суммы.
· …но его сумма должна
быть равна ½.
Итак, в данном контексте необходимо
ввести требования, которым должно подчиняться понятие «обобщенной суммы» -
понятия, приложимое к более значительному классу рядов.
Во-первых, если ряду
приписывается
“обобщенная сумма" А, а ряду
- “обобщенная
сумма" В, то ряд
,
где p, q - две произвольные постоянные, то должен иметь в качестве “обобщенной
суммы" число
.
Метод суммирования, удовлетворяющий этому требованию, называется линейным.
Во-вторых, новое
определение должно содержать обычное определение как частный случай. Точнее
говоря, ряд, сходящийся в обычном смысле к сумме А, должен иметь “обобщенную
сумму", и притом также равную А. Метод суммирования, обладающий этим
свойством, называют регулярным. Разумеется, интерес представляют лишь такие
регулярные методы, которые позволяют устанавливать “сумму” в более широком
классе случаев, нежели обычный метод суммирования: лишь тогда с полным правом
можно говорить об “обобщенном суммировании”.
Метод степенных
рядов. Формулировка Пуассона
Этот метод, по сути, принадлежит
Пуассону, который сделал первую попытку применить его к тригонометрическим
рядам. Он состоит в следующем:
По данному числовому ряду строится
степенной ряд
Если этот ряд для
сходится
и его сумма
при
имеет
предел А:
то число А и называют
«обобщённой (в смысле Пуассона) суммой» данного ряда. Примеры.1) Ряд,
рассмотренный Эйлером:
Здесь уже в силу самого
определения приводит к степенному ряду, сумма которого
при
стремится
к пределу
.
Значит, число
,
действительно, является “обобщенной суммой” указанного в точном установленном
здесь смысле.
Возьмем более общий
пример: тригонометрический ряд
является расходящимся
при всех значениях
Действительно, если
имеет
вид
,
где
и
-
натуральные числа, то для значений
, кратных
,
будет
,
так что нарушено необходимое условие сходимости ряда. Если же отношение
иррационально,
то, раc его в бесконечную непрерывную дробь и составляя подходящие дроби
,
будем иметь, как известно,
откуда
Таким образом, для
бесконечного множества значений
, так что
.
Это также
свидетельствует о нарушении необходимого условия сходимости. Если образовать
степенной ряд:
(здесь буква
заменяет
прежнюю букву
),
то его сумма при значении
,
отличном от 0, будет
и при
стремится
к 0. Таким образом, для
“обобщенной
суммой” ряда будет 0. если
, то ряд (2), очевидно
имеет сумму, равную
;
впрочем, выражение (3), которое в этом случае сводится к 
, также имеет пределом
.
Теорема Абеля
Теорема.
Если ряд сходится и имеет сумму А (в обычном смысле), то для
сходится
степенной ряд, и его сумма стремится к пределу А, когда
.
Доказательство.
Начнем с того, что радиус сходимости ряда не меньше 1, так что для
ряд,
действительно, сходится. Мы имели уже тождество
Вычтем его почленно из
тождества
Полагая
,
Придем к тождеству
Так как
то
по произвольно заданному
найдется
такой номер
,
что
,
лишь только
.
Разобьем сумму ряда в
правой части на две суммы
Вторая оценивается сразу
и независимо от
:
Что же касается первой,
то она стремится к 0 при
и
при достаточной близости
к
1 будет
так что, окончательно,
что и доказывает
утверждение.
Идея метода в простейшем его
осуществлении принадлежит Фробениусу, но связывают его обычно с именем Чезаро,
который дал методу дальнейшее развитие.
По частичным суммам 
данного числового ряда
строятся их последовательные средние арифметические
Если варианта
при
имеет
предел А, то это число и называют “обобщенной (в смысле Чезаро) суммой” данного
ряда.
Возвращаясь к ряду
Имеем
здесь
так что
.
Получаем ту же сумму, что и по методу Пуассона-Абеля.
Взаимоотношение между
методами Пуассона-Абеля и Чезаро. Теорема Фробениуса
Начнем с простого
замечания: если ряд суммируем по методу средних арифметических к конечной
“сумме” А, то необходимо
Действительно, из
и
следует, что
а тогда и
что и требовалось
доказать.
Теорема Фробениуса.
Если ряд суммируем по методу средних арифметических к конечной “сумме” А, то
одновременно он суммируем также по методу Пуассона-Абеля и притом к той же
сумме.
Доказательство.
Итак, пусть
.
Ввиду сделанного вначале замечания очевидна сходимость степенного ряда
для 0<x<1.
Выполнив дважды преобразование Абеля, последовательно получим:
(при этом следует
помнить, что
).
Известно, что (для
0<x<1)
или
Умножим обе части
тождества на А и вычтем из него почленно предыдущее тождество:
Сумму справа разобьем на
две:
Причем число N выберем
так, чтобы при
было
где
-
произвольное наперед заданное положительное число. Тогда вторая сумма по
абсолютной величине и сама будет меньше
(независимо от
),
а для первой суммы того же можно добиться за счет приближения x к 1. Этим и
завершается доказательство.
Итак, во всех случаях,
где применим метод Чезаро, применим и метод Пуассона-Абеля с тем же
результатом.
Обратное же утверждение
неверно: существуют ряды, суммируемые методом Пуассона-Абеля, но не имеющие
“обобщенной суммы" в смысле Чезаро. Рассмотрим, например, ряд
Так здесь явно не
соблюдено необходимое условие суммируемости по методу средних арифметических,
то этот метод не приложим. В то же время ряд
Имеет (при 0<x<1)
сумму
,
которая при
стремится
к пределу
.
Это и есть “обобщенная сумма" нашего ряда по Пуассону-Абелю.
Таким образом, метод
Пуассона-Абеля является более мощным, то есть приложим в более широком классе
случаев, чем метод Чезаро, но не противоречит ему в тех случаях, когда они
оказываются приложимыми оба.
Знакопеременный ряд
Эйлера
расходящийся ряд суммирование
В математике, 1 −
2 + 3 − 4 + …- это числовой ряд, слагаемые которого по модулю
представляют собой последовательные натуральные числа и имеют чередующийся
знак. Такой числовой ряд расходится, то есть частичные суммы(1, −1, 2, −2,...)
не стремятся ни к какому конечному пределу. Тем не менее, в середине 18-го века
Леонард Эйлер предложил выражение, которое он охарактеризовал как
парадоксальное: 
Математический аппарат,
позволяющий интерпретировать это выражение, был разработан гораздо позже
появления интереса к данному ряду. Начиная с 1890 года, Чезаро, Борель и другие
математики строго сформулировали методы получения обобщённых сумм расходящихся
рядов, а также дополнили идеи Эйлера новыми интерпретациями. Многие из этих
методов для суммы 1 − 2 + 3 − 4 + … дают результат, равный 1⁄4.Суммирование
по Чезаро является одним из немногих методов, который не позволяет определить
сумму 
. Таким образом, чтобы
получить конечную сумму обобщенным методом суммирования для этого ряда,
требуется иной подход, например применение суммирования методом Абеля.
Поскольку члены 1, −2,
3, −4, 5, −6, … подчиняются простой закономерности, ряд 1 − 2
+ 3 − 4 + … можно преобразовать сдвигом и почленным сложением с целью
приписать ему некоторое числовое значение. Если выражение s = 1 − 2 + 3 −
4 + … для какого-то обычного числа s имеет смысл, то следующее формальное
преобразование позволяет утверждать, что его значение в некотором смысле равно
s = 1⁄4:
Данный вывод можно
проиллюстрировать и графически:
Этот метод прямого суммирования
отвечает требованиям линейности и стабильности, потому позволяет, как и многие
иные методы получить естественный ответ, если таковая сума может быть
определена. Аналогично, такой же метод поиска суммы ряда прямым линейным
способом позволяет получить для ряда Гранди значение ½,
а справедливость данного значения была рассмотрена уже выше.
Кроме того, можно
выявить и другую взаимосвязь ряда Гранди и ряда Эйлера - эта связь
обнаруживается через произведение Коши для двух бесконечных последовательностей,
которое определенно даже в случае, если обе расходятся. Итак, в случае если 
имеем:
С использованием данных
результатов вытекает эквивалентность значений при использовании методов
суммирования, являющихся линейными, стабильными и сохраняющими произведение
Коши.
Однако, прямое
применение метода сложения по Чезаро (методы часто именуют по первой латинской
буквы фамилии и «порядку», потому для прямого метода Чезаро принято обозначение
(С,1)) для ряда Гранди второго порядка не является суммируемой, поскольку
частичные суммы данного ряда: 1,-1,2,-2,3,-3…; а их среднее арифметическое:
1,0,2/3,0,3/5,0,4/7,… и их последовательность не сходится.
Есть два широко
известных обобщения суммирования методом Чезаро: концептуально более простое
среди них является последовательностью методов (H, n) для натуральных
чисел n, где сумма (H, 1) - это сумма по Чезаро, а высшие методы
получаются многократным применением метода суммирования по Чезаро. В примере
выше, чётные средние сходятся к 1⁄2, в то время как
нечётные равны нулю, поэтому среднее арифметическое средних арифметических
сходится к среднему между нулём и 1⁄2, что
составляет 1⁄4. Поэтому 1 − 2 + 3 − 4 +
… является (H, 2), дающим сумму 1⁄4.
«H» - это сокращение от
фамилии Отто Гёльдера, который в 1882 году доказал первым то, что сейчас
математики расценивают как связь между суммированием методом Абеля и
суммированием(H, n); ряд 1 − 2 + 3 − 4 + … использовался им
в качестве первого примера. Тот факт, что 1⁄4
является суммой (H, 2) последовательности 1 − 2 + 3 − 4 + …
гарантирует, что это также и абелева сумма; это будет непосредственно доказано
ниже.
Другое часто
формулируемое обобщение суммирования методом Чезаро - это последовательность
методов (C, n). Было доказано, что суммирование (C, n) и (H, n)
дают одинаковые результаты, но имеют разную историю. В 1887 году Чезаро близко
подошёл к тому, чтобы дать определение суммированию (C, n), но
ограничился приведением нескольких примеров. В частности, он получил сумму 1⁄4
для 1 − 2 + 3 − 4 + …, методом, который может быть переформулирован
как (C, n), но не воспринимался таковым в своё время. Он формально
определил методы (C, n) в 1890 году, для формулирования своей теоремы,
гласящей, что произведение Коши (C, n)-суммируемого и (C, m)-суммируемого
рядов являются (C, m +n +1)-суммируемыми.
У данного ряда
существует два наиболее распространенных обобщения. Трёхкратное произведение
Коши для ряда 1 − 1 + 1 − 1 + …даёт ряд 1 − 3 + 6 − 10
+ …, - знакочередующийся ряд из треугольных чисел, его абелева и эйлерова суммы
равны 1⁄8. Четырёхкратное произведение Коши ряда 1 −
1 + 1 − 1 + … даёт ряд1 − 4 + 10 − 20 + …, -
знакочередующийся ряд из тетраэдральных чисел, абелева сумма которого равна 1⁄16.
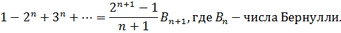
Другое обобщение ряда 1 −
2 + 3 − 4 + … возможно в несколько другом направлении: это семейство
рядов 1 − 2n + 3n − 4n
+ … для других значений n. При положительных n подобный ряд имеет
следующую абелеву сумму:
Данная формула была
выведена Эйлером в 1755 году в работе «Institutiones calculi differentialis cum
eius usu in analysi finitorum ac doctrina serierum». Немного позднее ряды были
исследованы для нецелых значений n - так было получено функциональное уравнение
эта-функции Дирихле, которое непосредственно ведет к решению так называемой
дзета-функции Римана.
Дзета-функция Римана -
функция 
от комплексного 
, который, в свою очередь,
при 
выражается через ряд
Дирихле (ряд 
), где 
.
Эйлер пытался найти
значение данных функций и для нечетных целых чисел (в частности, дзета-функция
Римана от 3 - так называемая «постоянная Апери»). Но, стоит отметить, что
многие значения для дзета-функции нечетных целых числе не определены до сих пор
и их поиск является открытой проблемой. Однако, работа методами Эйлера с
эта-функцией значительно проще, поскольку составляющее ее ряды Дирихле могут
быть суммируемы по Абелю, ряды Дирихле же для функции Римана требуют более
сильных методов суммирования. В частности, ряд Эйлера в дзета-функции имеет
соответствующий знакопостоянный ряд 1+2+3+4+5… который часто используется в
современной физике и о котором пойдет речь далее.
Знакопостоянный ряд
натуральных чисел
Среди классических расходящихся
рядов, ряд 1 + 2 + 3 + 4 + · · ·оказывается относительно сложным при попытке
приписать ему некоторое конечное числовое значение. Существует множество
методов суммирования, некоторые из которых являются более устойчивыми и
мощными. В отличии от упомянутых выше рядов, как суммирование по Чезаро, так и
метод Абеля не применимы к ряду 1 + 2 + 3 + 4 + · · ·. Эти методы работают
только со сходящимися и осцилирующими рядами, и не могут быть использованы для
ряда, который расходится к +∞. Большинство элементарных определений суммы
расходящегося ряда являются линейными и устойчивыми, а любой линейный и
устойчивый метод не может присвоить 1 + 2 + 3 +… конечное значение.
Следовательно, требуются более развитые методы, такие как регуляризация
дзета-функцией или суммирование Рамануджана. В восьмой главе своего
сборника трудов Рамануджан излагал два способа нахождения значения суммы
данного ряда, более простой из данных методов:
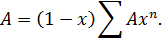
Ряд 
был рассмотрен выше,
Рамануджан же в своих наблюдениях отмечал, что данный ряд является разложением
в степенной ряд функции 
при x=1, и потому так
же находил сумму ряда равной ¼.
Строго говоря,
существует неоднозначность при работе с бесконечными рядами, используя методы,
предназначенные для конечных сумм как те, что были использованы выше. В
особенности, если эти бесконечные ряды расходятся. Неоднозначность заключается
в том, что если вставить ноль в любое место в расходящемся ряде, существует
вероятность получить противоречивый результат. Например, действие 4c
=0+4+0+8+··· противоречит свойствам сложения.
Одним из способов обойти
данную неопределённость и, тем самым, ограничить позиции, куда можно вставить
ноль, является присвоение каждому члену ряда значения некоторой функции. Для
ряда 1+2+3+4+···, каждый член n представляет собой натуральное число,
которое может быть представлено в виде функции n−s, где
s некоторая комплексная переменная. Используя данное представление можно
гарантировать, что все члены ряда последовательны. Таким образом, присвоив s
значение −1, рассматриваемый ряд может быть выражен в строгом виде.
Реализация данного способа называется регуляризация дзета-функцией.
В данном методе, ряд 
заменяется рядом 
. Последний ряд является
частным случаем ряда Дирихле. Если реальная часть s больше 1, ряд
Дирихле сходится, и его сумма представляет собой дзета-функцию Римана ζ(s).
С другой стороны, если реальная часть s меньше или равна 1, ряд Дирихле
расходится. В частности, ряд 1+2+3+4+···, который получается подстановкой s
= −1, не является сходящимся. Преимущества перехода к дзета-функции
Римана заключается в том, что, используя метод аналитического продолжения, она
может быть определена для s меньше или равных 1. Следовательно, мы можем
получить значение регуляризованной дзета-функции ζ(−1)
= −1/12.
Существует несколько
способов доказать, что ζ(−1) = −1/12..
Один из методов использует связь между дзета-функцией Римана и эта-функцей
Дирихле
<https://ru.wikipedia.org/w/index.php?title=%D0%AD%D1%82%D0%B0-%D1%84%D1%83%D0%BD%D0%BA%D1%86%D0%B5%D0%B9_%D0%94%D0%B8%D1%80%D0%B8%D1%85%D0%BB%D0%B5&action=edit&redlink=1>
η(s). Эта-функция выражается знакопеременным рядом Дирихле,
согласуясь тем самым с ранее представленными эвристическими предпосылками.
Тогда как оба ряда Дирихле сходятся, следующие тождества верны:
Тождество 
остаётся справедливым,
если мы продолжим обе функции аналитически в область значений s, где
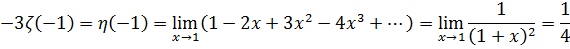
вышенаписанные ряды расходятся. Подставляя s = −1, получим−3ζ(−1)=η(−1).
Отметим, что вычисление η(−1)
является более простой задачей, так как значение эта-функции выражается
значением суммы Абеля соответствующего ряда и представляет собой
односторонний предел:
Поделив обе части
выражения на −3, получаем ζ(−1)
= −1/12.
В своём втором письме к
Х. Г. Харди, датированном 27 Февраля 1913, Рамануджан пишет:
«Уважаемый Сэр, я с
большим удовольствием прочёл ваше письмо от 8го февраля 1913. Я ожидал, что вы
ответите мне в том же стиле, что и профессор математики из Лондона, который
посоветовал мне внимательно изучить „Бесконечные ряды“ Томаса Бромвича и не
попадать в ловушку, которую таят расходящиеся ряды. … Я ответил ему, что,
согласно моей теории, сумма бесконечного числа членов ряда:1 + 2 + 3 + 4 + · ·
· = −1/12. Узнав это, вы сию же минуту укажите в направлении
психиатрической лечебницы. Уверяю, вы не сможете проследить нить рассуждений в
моём доказательстве этого факта, если я попытаюсь изложить их в единственном
письме. …»
Линейный и устойчивый
метод суммирования не в состоянии присвоить конечное значение ряду 1 + 2 + 3 +
…. (Устойчивый означает, что добавление члена в начало ряда увеличивает сумму
ряда на величину данного члена.) Данное утверждение может быть
продемонстрировано следующим образом. Если 1+2+3+…=x тогда, добавляя 0 к
обеим частям, получаем: 0+1+2+…=0+x =x исходя из свойства
устойчивости. Вычитая нижний ряд из верхнего, получаем: 1+1+1+…=x-x=0
исходя из свойства линейности.
Добавляя 0 к обеим
частям повторно, получаем 0+1+1+1+…=0 и вычитая два последних ряда приходим к
1+0+0+…=0, что противоречит свойству устойчивости.
Заключение
В данной работе рассмотрены методы
суммирования расходящихся рядов, теоремы, вытекающие из этих методов, а также
взаимосвязь этих методов между собой. Отражено многообразие подходов к вопросу
суммирования расходящихся рядов. Регулярность каждого метода устанавливаема во
всех случаях. Теория рядов является важным и широко используемым разделом
математического анализа, или другими словами бесконечные ряды являются
важнейшим орудием исследования в математическом анализе и его приложениях.
Современные представления о сложных расходящихся рядах находят активное
применение в квантовой механики и квантовой теории поля.
Используемая
литература
1) Харди Г. Расходящиеся ряды. М.: ИЛ, 1951.
) Л. Эйлер, Дифференциальное исчисление, ГИТТЛ, М.-Л., 1949
3) Фихтенгольц Г.М. Курс дифференциального и интегрального
исчисления, I, II т., М., 1966.
) Зельдович Я.Б. Высшая математика для начинающих. М.,
1970.
) Конспекты лекций математического анализа НИУ ИТМО,
http://neerc.ifmo.ru/wiki/