Расчет вероятности наступления события
Министерство
образования Республики Беларусь
Учреждение
образования «Белорусский государственный университет информатики и
радиоэлектроники»
Факультет
заочного обучения
Контрольная
работа №1
по
дисциплине «Теория вероятностей и математическая статистика»
Выполнил:
студент
3 курса
гр.
900101
Бобровский
С.Р.
Минск 2011
|
Номер
задания
|
1
|
2
|
3
|
4
|
5
|
6
|
7
|
8
|
9
|
|
Номер
варианта
|
35
|
28
|
34
|
37
|
23
|
22
|
30
|
15
|
2
|
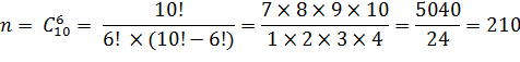
Задача № 1.35
В урне 3 белых и 7 черных шаров. Из урны
вынимают сразу 6 шаров. Найти вероятность того, что все шесть шаров черные.
Решение
Событие А - все шесть вынутых шаров черные.
Общее число шаров в урне равно 10. Число n
всех равновероятных исходов опыта равно числу способов, которыми можно из 10
шаров вынуть 6:
Число благоприятствующих исходов, учитывая, что
шары черные:
Вероятность того, что все шары черные:
Ответ: p=0,033
Задача № 2.28
Дана схема соединения элементов, образующих цепь
с одним входом и одним выходом (рисунок 1). Предполагается, что отказы
элементов являются независимыми в совокупности событиями. Отказ любого из
элементов приводит к прерыванию сигнала в той ветви цепи, где находится данный
элемент. Вероятности отказа элементов 1, 2, 3, 4, 5 соответственно равны q1=0,1;
q2=0,2; q3=0,3;
q4=0,4; q5=0,5.
Найти вероятность того, что сигнал пройдет со входа на выход.
Рисунок 1
Решение
Введем события: A1
- элемент 1 исправен, A2
- элемент 2 исправен, A3
- элемент 3 исправен, A4
- элемент 4 исправен, A5
- элемент 5 исправен, B-
сигнал проходит от точки a
к точке b, С- сигнал
проходит от точки b к точке c,
D- сигнал проходит
от точки a к точке c
(со входа на выход).
Событие B
произойдёт, если будут работать или элемент 1, или элемент 2, или элемент 3:
Вероятность наступления события B:
Событие C
произойдёт, если будут работать и элемент 4 и элемент 5:
Вероятность наступления события С:
Соответственно, вероятность наступления события D:
Ответ:
Задача №3.34
математический ожидание дисперсия
величина
Группа студентов состоит из пяти отличников,
десяти хорошо успевающих и семи занимающихся слабо. Отличники на предстоящем
экзамене могут получить только отличные оценки. Хорошо успевающие студенты
могут получить с равной вероятностью хорошие и отличные оценки. Слабо
занимающиеся могут получить с равной вероятностью хорошие, удовлетворительные и
неудовлетворительные оценки. Для сдачи экзамена вызывается наугад один студент.
Найти вероятность того, что студент получит отличную оценку.
Решение
Обозначим через А событие - студент получит
отличную оценку
Общее количество студентов, равно 22. Обозначим
через:
вероятность вызова отличника;
вероятность вызова хорошиста;
вероятность вызова слабого
студента.
Сделаем ряд предположений:
- вызван отличник. Получена отличная
оценка:
- вызван хорошист. Получена отличная
оценка:
- вызван хорошист. Получена хорошая
оценка:
- вызван слабый студент. Получена
хорошая оценка:

- вызван слабый студент. Получена
неудовлетворительная оценка:
Событие А однозначно произойдёт при
гипотезах H1, H2 и не
произойдет в остальных случаях. Следовательно условные вероятности события A:
По формуле полной вероятности найдём
вероятность события A:
Ответ:
Задача №4.37
Вероятность того, что данный
баскетболист забросит мяч в корзину, равна 0,5. Произведено десять бросков.
Найти вероятность того, что будет 8 попаданий.
Решение= 10 - количество
произведённых бросков= 0,3 - вероятность попадания при броске
Вероятность того, что из n=10 бросков
в корзину k=8 окажутся
удачными, определим по формуле Бернулли:
Ответ: P(10,8)=0,04
Задача № 5.23
Дискретная случайная величина Х может
принимать одно из пяти фиксированных значений x1, x2, x3, x4, x5 с
вероятностями p1, p2, p3, p4, p5 соответственно. Вычислить математическое
ожидание и дисперсию величины Х. Рассчитать и построить график функции
распределения.
Таблица 1 - Исходные данные
|
-10-40410
|
|
|
|
|
|
|
0,20,20,20,20,2
|
|
|
|
|
|
Решение
) Математическое ожидание и дисперсия
величины Х:
2) Построим ряд распределения СВ X:
Таблица 2 -Ряд распределения СВ X
|
-10-40410>10
|
|
|
|
|
|
|
|
0,20,20,20,20,20
|
|
|
|
|
|
|
|
0,000,200,400,600,801,00
|
|
|
|
|
|
|
Построим график функции распределения (рисунок
2):
Рисунок 2 - график функции распределения F(x)
Задача № 6.22
Случайная величина Х задана плотностью
вероятности:

Определить константу С,
математическое ожидание, дисперсию, функцию распределения величины Х, а также
вероятность ее попадания в интервал
.
Решение
) Вычислим константу
исходя из
условия нормировки:
Отсюда константа
:
2) Определим математическое ожидание СВ Х:
3) Определим дисперсию СВ Х:
4) Определим функцию распределения величины
Х:
5) Определим вероятность
попадания величины Х в заданный интервал
:
Ответ:
Задача № 7.30
Случайная величина Х распределена
равномерно на интервале [a,b]. Построить график случайной величины Y=j(X) и определить плотность
вероятности g(y).
Решение
) Построим график случайной
величины
для
в интервале
значений
и определим
диапазон значений
(Рисунок
3):
[0; 2]
2) В зависимости от числа
обратных функций выделим следующие интервалы для
:
обратных функций не существует
обратных функций не существует
3) Вычислим модули производных обратных
функций:
Так как случайная величина Х
распределена равномерно на интервале
[-1;16] , то её плотность
вероятности равна:
Определим плотность вероятности
величины
:
Задача № 8.15
Двухмерный случайный вектор (Х, У)
равномерно распределен внутри выделенной жирными прямыми линиями на рисунок 4
области B. Двухмерная
плотность вероятности f(x, y) одинакова для любой точки этой
области B:
Вычислить коэффициент корреляции
между величинами X и Y.
Рисунок 4
Таблица 3 - Исходные
данные
|
Вариант
|
x1
|
x2
|
x3
|
x4
|
x5
|
x6
|
y1
|
y2
|
|
8.15
|
4
|
0
|
8
|
10
|
10
|
12
|
1
|
2
|
Решение
) Построим область B
согласно координатам из таблицы 3 и рисунка 4.
Рисунок 5
Проанализируем рисунок 5: область B
на промежутке
ограничена
сверху прямой
, снизу
, слева
прямой
справа
прямой
Следовательно, совместная плотность
вероятности примет вид:
2) Найдём константу
из условия
нормировки:
с=1/16
Таким образом:
Проверим полученный результат
геометрически. Объём тела, ограниченного поверхностью распределения В и
плоскостью xOy равен 1,
т.е.:
Следовательно, константа с
рассчитана верно.
3) Вычислим математические ожидания:
4) Вычислим дисперсии:
Вычислим корреляционный момент:
5) Вычислим коэффициент корреляции между
величинами X и Y:
Ответ: с=1/16; Mx = 6; My = 1; Dx = 110/3; Dy = 1/3; Kxy = -2/3; Rxy = -0,191
Задание №9.2
Вычислить математическое ожидание и
дисперсию величин U и V, а так же
определить их коэффициент корреляции Ruv :
U= a0+
a1X1+ a2X2
V= b0+
b1X2+ b2X3
Исходные данные:
|
a0 = -8 a1 = 4 a2 = 8
|
b0 = 3 b1 = -4 b2 = 4
|
m1 = 1 m2 = 0 m3 = 2
|
D1 = 1 D2 = 4 D3 = 16
|
K12 = 0 K23
= 4 K13 = 2
|
Решение:
mu=
a0+
a1
m1+
a2
m 2=
-8+4×1+8×0= -4
Математическое ожидание величины V:
mv=
b0+
b1
m2+
b2
m 3=
3-4×0+4×2=11
Дисперсия величины U:
Du
=
×
D1 +
×
D2+2×
a1×
a2
× K12=
16×1+64×4+2×4×8×0= 16+256+0=272
Дисперсия величины V:
Dv
=
×
D2 +
×
D3+2×
b1×
b2
× K23=
16×4+16×16+2×-4×4×4=
192
Математическое ожидание между величинами U и V:
uv
=
-4×11+ 4(-4×0+4×2)+8(-4×4+4×4)= -44+32=-12
Корреляционный момент между величинами U и V:
uv
=
-12-(-4) ×11=-12+44=32
Коэффициент корреляции между величинами U и V:
uv
=
Математическое ожидание величины x2 x2:
m
x2x2=
0*0+4=4
Математическое ожидание величины x1x2:
x1x2=
1*0+0=0
Математическое ожидание величины x1x3:
x1x3=
1*2+2=4
Математическое ожидание величины x2x3:
x2x3=
0*2+4=4
Литература
1) Волковец
А.И., А.Б. Гуринович А.Б. Конспект лекций по курсу "Теория вероятностей и
математическая статистика" для студентов всех специальностей и форм
обучения БГУИР. - Мн.: БГУИР, 2003.- 82 с.
) Жевняк
Р.М., Карпук А.А., Унукович В.Т. Теория вероятностей и математическая
статистика: Учеб. пособие для студентов. инж.-экон. спец. - Мн.: Харвест, 2000.-384
с.
) Письменный
Д.Т Конспект лекций по теории вероятностей и математической статистики. - М.:
Айрис-пресс, 2004.- 256с.
) Волковец
А.И., А.Б. Гуринович А.Б. Практикум по курсу "Теория вероятностей и
математическая статистика" для студентов всех специальностей очной формы
обучения БГУИР. - Мн.: БГУИР, 2003.- 68 с.
) Аксенчик
А.В., Волковец А.И., Гуревич А.В., Гуринович А.Б. Сборник задач по типовому
расчету по курсу "Теория вероятностей и математическая статистика"
для студентов всех специальностей и форм обучения БГУИР. - Мн.: БГУИР, 2007.-
76 с.
) Волковец
А.И., Гуринович А.Б. Аксенчик А.В. Методические указания по типовому расчету по
курсу "Теория вероятностей и математическая статистика" для студентов
всех специальностей заочной формы обучения БГУИР. - Мн.: БГУИР, 2009.- 65 с.