Страховые аннуитеты

  • Вид работы:
    Курсовая работа (т)
  • Предмет:
    Финансы, деньги, кредит
  • Язык:
    Русский
    ,
    Формат файла:
    MS Word
    976,98 Кб
  • Опубликовано:
    2013-12-22
Вы можете узнать стоимость помощи в написании студенческой работы.
Помощь в написании работы, которую точно примут!

Страховые аннуитеты

Содержание

Введение

1. Финансовая эквивалентность в страховании

2. Таблицы смертности и страховые вероятности

2.1 Таблицы смертности

2.2 Страховые вероятности

. Коммутационные функции

. Стоимость страхового аннуитета

5. Расчетная часть

Заключение

Список использованных источников

Введение

Аннуитетное страхование относится к страхованию жизни и представляет собой отношения по защите имущественных интересов граждан, связанных с дожитием их до определенного возраста или срока с условием периодических страховых выплат (ренты, аннуитетов) пожизненно или временно.

Аннуитет (фр. annuité от лат. annuus - "годовой", "ежегодный") - общий термин, описывающий график погашения финансового инструмента, когда выплаты устанавливаются периодически равными суммами через равные промежутки времени. Аннуитет - это равные друг другу денежные платежи, выплачиваемые через определенные промежутки времени. В страховании аннуитетом является страховой полис с равновеликими платежами, по которому физическое лицо приобретает право на регулярно поступающие суммы, начиная с определенного времени (например, выхода на пенсию).

Рента - это любое поступление денежных средств через строго определенные отрезки времени.

Страховой аннуитет - это договор страхования, согласно которому страхователь единовременно или в рассрочку вносит в страховую компанию определенную сумму денег, а затем в течение нескольких лет или пожизненно получает регулярный доход.

Главным отличительным признаком аннуитетного страхования является то, что выплата страхового обеспечения застрахованному лицу осуществляется регулярно с установленной в договоре периодичностью при условии дожития до предусмотренного договором срока (возраста) и полной уплаты страховой премии.

В договоре аннуитетного страхования страховая сумма представляет собой сумму страхового обеспечения, подлежащую выплате страховщиком застрахованному лицу. Обязательства страховщика по страховой выплате наступают, если страховые взносы, установленные в договоре страхования, уплачены страхователем в полном объеме. Поэтому в договорах страхования ренты выделяют два основных периода: период уплаты страховых взносов и период выплаты страховой ренты. Может быть предусмотрен и выжидательный период, в этом случае выплаты начинают производиться не сразу после уплаты всех предусмотренных страховых взносов, а через определенный интервал времени.

Наша цель изучить страховые аннуитеты и методы расчёта их стоимости.

Задачи: 1. Изучить страховые вероятности.

. Научится находить стоимость страховых аннуитетов.

. Финансовая эквивалентность в страховании

В преобладающем числе областей финансовой деятельности объектами приложения методов количественного анализа являются детерминированные процессы, описываемые верными рентами. Однако в страховании и при анализе некоторых инвестиционных проектов возникает необходимость в использовании условных рент, в которых важную роль играют вероятности наступления соответствующих событий. Обсудим методы работы с такими рентами, причем для конкретности ограничимся страхованием. Выплата члена ренты в страховании зависит от наступления страхового события. Назовем такие ренты страховыми аннуитетами. Заранее число платежей в страховых аннуитетах, а часто и их срок, остаются неизвестными. Согласно договору страхования страхователь уплачивает вперёд страховщику некоторую сумму - премию. В свою очередь он имеет право получить страховую сумму S после наступления страхового события. Если вероятность наступления этого события q заранее известна (на основании прошлого опыта, по аналогии), то теоретически, без учета всех прочих факторов (в том числе и фактора времени), премия Р определяется

P=Sq.

Приведенное равенство лишь иллюстрирует принцип финансовой эквивалентности обязательств страхователя и страховщика. Покажем в общем виде, как реализуется этот принцип при расчете страховой нетто-премии, под которой понимается теоретическая цена страхования. На практике премия, которая поступает страховой организации, обычно превышает величину нетто-премии, так как включает помимо нетто-премии и так называемую нагрузку (loading), последняя охватывает все расходы по ведению дела и некоторую прибыль страховой организации. Определение брутто-премии (нетто-премия плюс нагрузка) является чисто арифметической задачей, поэтому далее речь пойдет только о нетто-премии. Пусть Р - размер премии, qn - вероятность страхового события (например, смерть застрахованного через n лет после начала страхования). Если страховое событие произойдет на первом году страхования, то страховщик получит сумму Р (пусть премия выплачивается в начале года), если же это событие наступит во втором году, то сумма премий равна 2Р и т.д. Математическое ожидание такого ряда премий составит:

Pq{ + 2Pq2 + ... + nPqn.

Полученная величина хотя и обобщает все взносы застрахованного с учетом вероятностей их выплат, однако при суммировании соответствующих величин не принимается во внимание, что премии выплачиваются в разные моменты времени. С учетом этого фактора находим математическое ожидание современной стоимости взносов:

Е(А) = P[q1 + (1 + v)q2 + (1 + v + v2)q3+ ... + (1 + v + ... + vn-1)qn],

где v - дисконтный множитель по ставке i. Обратимся теперь к выплате страховой суммы. Положим, что она выплачивается в конце года, в котором имел место страховой случай. Тогда математическое ожидание выплаты в первом году составит Sq1, во втором году Sq2 и т.д. Математическое ожидание с учетом фактора времени (актуарная стоимость) выплат, очевидно, можно определить как:

(S) = S(vq1 + v2q2 + ... + vnqn).

Исходя из принципа эквивалентности обязательств страховщика и страхователя, теперь можно написать равенство:

E(S) = E(A),

которое позволяет найти искомое значение нетто-премии Р. Таков в общем виде теоретический подход к методу расчета нетто-премии, принятый в личном страховании. Пусть теперь речь идет об имущественном страховании. Если можно полагать, что вероятности наступления страхового случая постоянны, то актуарная стоимость премий за n лет составит

Е(А) = P[q + (1 + v)q + ... + (1 + v + ... + vn-1)q] = PqK,

К -n+∑(n-1)vt.

В свою очередь актуарная стоимость выплат страховых сумм находится как:

(S)-Sq∑vt.

Из равенства актуарных стоимостей взносов и выплат находим искомый размер нетто-премии. В практике страховых, или как их часто называют, актуарных расчетов разработаны специальные приемы формирования упомянутых выше потоков платежей (страховых аннуитетов) и расчета их актуарных стоимостей. До обсуждения проблем формирования страховых аннуитетов, связанных с жизнью людей {life annuity) и их использования для расчетов премий и страховых резервов необходимо ознакомиться с методикой определения необходимых вероятностей и ряда вспомогательных величин, с помощью которых существенно упрощается решение соответствующих задач. Речь пойдет о таблицах смертности и коммутационных функциях.

. Таблицы смертности и страховые вероятности

.1 Таблицы смертности

Для осуществления актуарных расчетов, в том числе расчетов стоимостей страховых аннуитетов, необходимы исходные данные, характеризующие совокупность застрахованных по полу и возрасту, а также система нормативных демографических показателей, отражающих статистические закономерности дожития до того или иного возраста. Последние содержатся в таблицах смертности (mortality tables).

Таблица смертности представляет собой числовую модель процесса вымирания по возрастам некоторой абстрактной совокупности людей. Такая таблица показывает, как последовательно с увеличением возраста уменьшается эта совокупность, достигая нуля сразу после предельного возраста W. Она является обобщением данных демографической статистики за некоторый период времени.

В России таблицы смертности разрабатываются статистическими органами для страны в целом, а также для крупных экономических районов и областей, как для всего, так и отдельно для городского и сельского населения раздельно для каждого пола.

Прежде чем приступить к описанию таблицы смертности и актуарных методов анализа необходимо сказать несколько слов о применяемых в актуарных расчетах обозначениях. Актуарная символика в личном страховании сложна, своеобразна и с этим приходится мириться, так как обозначения унифицированы на международном уровне. Одна из отличительных особенностей этой символики - множество нижних и верхних индексов, которые приписываются как справа, так и слева от основной переменной.

Основной показатель таблицы смертности - число людей Ix в возрасте ровно х лет, оставшихся в живых из первоначальной совокупности I0, обычно равной 100 тыс. человек. Заметим, что и начальный возраст и первоначальное количество людей в таблице могут быть любыми - выбор того или иного начального возраста не влияет на результаты актуарных расчетов. Для актуарных расчетов применяют полные таблицы смертности, в которых возраст показан с интервалом в 1 год.

Величины Ix (кроме I0) определяются расчетным путем на основе заданных вероятностей смерти (qx), или, что реже, количества умерших (dx). В современных таблицах смертности исходным показателем обычно служит вероятность смерти, т.е доля умерших в возрасте от х до x+1 лет из числа доживших до возраста х лет. Указанные вероятности получают на основе данных статистики населения с последующим их усреднением и сглаживанием.

Помимо показателей Ix таблица смертности содержит число умерших за год в каждой возрастной группе (dx). Никакие иные факторы выбытия, кроме повозрастных вероятностей умереть, при разработке таблицы во внимание не принимаются.

В качестве иллюстрации приведем фрагмент таблицы смертности для мужчин, в которой начальный возраст - 18 лет.

Таблица смертности, является минимальной по набору показателей. Она достаточна для простых видов личного страхования - страхования на дожитие и страхования жизни. На практике применяют и более полные таблицы. В частности, в групповом пенсионном и медицинском страховании применяют таблицы выбытия (decrement tables), в которых помимо смертности учитываются и другие причины сокращения числа участников страхования.

Таблица 1 Фрагмент таблицы смертности на 2010год.

Возраст x  (полное число исполнив-шихся лет)

Коэффициент смертности в возрасте x лет m(x)

Вероятность смерти q(x) в интервале возрастов от x до x+1

Число прожитых лет умершими в возрасте x лет a(x)

Число доживших  до возраста  x лет l(x)

Число умерших d(x) в возрасте x лет

Число живущих L(x) в интервале возрастов  от x до x+1лет

Число человеко-лет жизни в возрастах  x лет и  старше T(x)

Ожидаемая продолжительность предстоящей жизни e(x) в возрасте x лет

18

0,00059

0,00059

0,5

98758

58

98729

5696439

57,68

19

0,00070

0,5

98700

69

98666

5597710

56,71

20

0,00071

0,00071

0,5

98632

70

98596

5499044

55,75

21

0,00073

0,00073

0,5

98561

72

98525

5400448

54,79

22

0,00079

0,00079

0,5

98489

78

98450

5301922

53,83

23

0,00081

0,00081

0,5

98411

80

98371

5203472

52,87

24

0,00088

0,00088

0,5

98331

86

98288

5105101

51,92

25

0,00096

0,00096

0,5

98245

94

98198

5006813

50,96

26

0,00114

0,00114

0,5

98151

112

98095

4908615

50,01

27

0,00129

0,5

98039

126

97976

4810520

49,07

28

0,00140

0,00139

0,5

97913

137

97844

4712544

48,13

29

0,00158

0,00158

0,5

97776

155

97699

4614700

47,20

30

0,00177

0,00177

0,5

97621

173

97535

4517001

46,27

31

0,00187

0,00186

0,5

97449

182

97358

4419466

45,35

53

0,00619

0,00617

0,5

90572

559

90293

2337064

25,80

54

0,00690

0,00688

0,5

90014

619

89704

2246771

24,96

55

0,00801

0,00798

0,5

89395

713

89038

2157067

24,13

0,00855

0,00852

0,5

88681

755

88304

2068029

23,32

57

0,00912

0,00908

0,5

87926

799

87527

1979726

22,52

64

0,01476

0,01465

0,5

80925

1186

80332

1386803

17,14

65

0,01684

0,01670

0,5

79739

1332

79073

1306471

16,38

66

0,01841

0,01824

0,5

78407

1430

77692

1227398

15,65

67

0,01776

0,01760

0,5

76977

1355

76300

1149705

14,94



2.2 Страховые вероятности

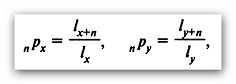
На основе данных таблицы смертности нетрудно получить систему вероятностей дожития, необходимую для расчета соответствующих страховых показателей. Рассмотрим наиболее важные из таких вероятностей.

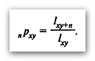
Вероятность прожить от возраста х до х + n:

 

Вероятность прожить еще один год после возраста х лет:

 

ПРИМЕР Вероятность мужчине в возрасте 30 лет прожить еще 10 лет составит:

 

По данным таблицы смертности находят и вероятности смерти в определенных возрастах. Например, вероятность умереть в возрасте от x до x+n:


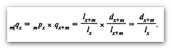
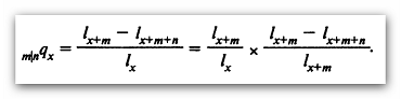
Вероятность умереть через m лет (на протяжении года m + 1) для лица в возрасте х лет составит:


В свою очередь вероятность для лица в возрасте х лет умереть в возрастном интервале от x + m до x + m + n лет определим следующим путем:


Из последнего выражения вытекает, что:


Иначе говоря, искомая вероятность равна произведению вероятности дожить до возраста х + m и вероятности умереть в следующие n лет.



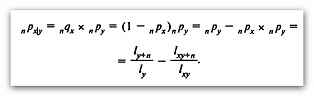
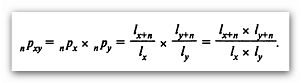
В некоторых актуарных расчетах (например, в пенсионном страховании) необходимы вероятности дожития супружеских пар. Эти вероятности также рассчитываются по таблицам смертности. Пусть речь идет о супругах в возрасте х и у лет и необходимо оценить вероятности прожить еще n лет для каждого из них. Обозначим эти вероятности как nPx, nPy. Определим их следующим образом:


где ly, ly - числа доживших до соответствующих возрастов (берутся из таблиц смертности для мужчин и женщин).

В свою очередь вероятности умереть для каждого из супругов составят:


Рассчитаем еще две вероятности. Однако предварительно примем две рабочие гипотезы:

оба супруга достигают возрастов х и y один день;

смерть одного супруга - страховое событие, независимое от смерти другого супруга.

Вероятность прожить супругам вместе еще п лет (вероятность "сохранения" супружеской пары) рассчитывается как произведение вероятностей двух независимых событий:


В актуарной практике фигурирующие в формуле произведения чисел доживших принято обозначать следующим образом:


Формулу теперь можно записать:


Найдем теперь вероятность того, что супруг (заключивший договор страхования в возрасте х лет, когда его супруге было у лет) не доживет до x + n лет, а супруга, напротив, доживет до у + n лет. Искомая вероятность (обозначим ее как nPx) равна произведению вероятностей:


ПРИМЕР: Пусть возраст супругов 50 и 45 лет. По таблицам смертности находим:



. Коммутационные функции

финансовый страхование аннуитет коммутационный

Для сокращения записи страховых аннуитетов и упрощения расчетов применяют так называемые коммутационные функции (commutations functions), или коммутационные числа. Смысл этих чисел трудно, хотя и возможно, содержательно интерпретировать. Их проще воспринимать как чисто технические, вспомогательные средства.

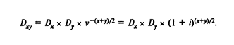
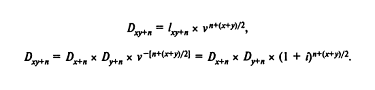
Стандартные коммутационные функции делятся на две группы. В основу первых положены числа доживающих до определенного возраста, вторых - числа умерших. Кратко остановимся на методике получения наиболее важных в практическом отношении функций. Основными в первой группе являются функции Dx и Nx:


где v - дисконтный множитель по сложной ставке i, w> - предельный возраст, учитываемый в таблице смертности.

По определению:


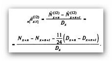
В некоторых актуарных расчетах необходимы суммы коммутационных чисел Dx для заданных возрастных интервалов. В этих случаях можно воспользоваться коммутационными числами Nx:


На практике применяются еще два варианта функции Nx, к которым обращаются тогда, когда платежи производятся m раз в году. Так, для платежей постнумерандо с достаточной для практических расчетов точностью применим следующее выражение:


Для платежей пренумерандо


Наиболее важными коммутационными функциями второй группы являются Сх и Мх:


Между коммутационными числами обеих групп существуют определенные взаимозависимости:


Аналогично можно доказать, что



Страховые организации разрабатывают таблицы коммутационных функций с учетом принятых в них норм доходности.

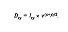
При страховании супружеских пар возникает необходимость в коммутационной функции:


Величина lxy определена при расчете nPxy.

Функцию можно получить на основе коммутационных функций Dx, Dy следующим образом:


В свою очередь


ПРИМЕР: Определим коммутационные числа D50;45 и D55;50 для супружеской пары. Находим:

(х + у) / 2 = (50 + 45) / 2 = 47,5.

Коммутационные числа при условии, что процентная ставка равна 9%, имеют следующие значения (первая строка - для мужчины, вторая - для женщины):

D50 =1124,8; D55 = 673,1;45= 1991,9; D50= 1268,8.

Отсюда

D50;45 = 10-3 * 1124,8 * 1991'9 * 1.09475 = 134 30855;50 = D-3 * 673,1 * 1268,8 * 1,095+475 = 78 770.

По аналогии с функцией Nx найдем:



. Стоимость страхового аннуитета

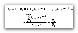
Отправным моментом актуарного анализа является определение стоимости страхового аннуитета. Для записи формул введем следующие обозначения для стоимостей годовых аннуитетов постнумерандо:

аx - для немедленного пожизненного аннуитета,x:t|, - для немедленного ограниченного аннуитета,

n|ax - для отложенного пожизненного аннуитета,

n|ax:t| - для отложенного ограниченного аннуитета.

Аналогичная символика применяется и для аннуитетов пренумерандо, однако вместо символа а записывается а. Пусть лицу, начиная с возраста х лет, пожизненно в конце каждого года выплачивается по 1 рублю (аннуитет пожизненный, постнумерандо, немедленный). Тогда


Умножим числитель и знаменатель каждого слагаемого на v*. После чего можно применить коммутационные функции Dx и Nx для расчета немедленного, пожизненного аннуитета постнумерандо с ежегодными выплатами:


Аналогичным образом определим стоимости других видов аннуитета. Так, для немедленного пожизненного аннуитета пренумерандо с ежегодной выплатой по 1 руб. имеем:


Нетрудно убедиться в том, что


Формулы для расчета различных видов годовых аннуитетов приведены в табл. 2



В таблице 2 приведены формулы для годовых аннуитетов. Если платежи выплачиваются m раз в году, то в формулах вместо Nx следует использовать Nx(m)или Nx(m).Приведем формулы для соответствующих аннуитетов при условии m= 12.

Таблица 2


Для ежемесячных платежей постнумерандо имеем следующие выражения. Немедленный пожизненный аннуитет:


Немедленный ограниченный аннуитет:


Отложенный пожизненный аннуитет:


Отложенный ограниченный аннуитет:


ПРИМЕР: С ежемесячными выплатами, получим:


Для ежемесячных выплат постнумерандо находим следующие соотношения.

Немедленный пожизненный аннуитет:


Немедленный ограниченный аннуитет:


Отложенный на n лет пожизненный аннуитет:


Отложенный ограниченный (выплаты в течение t лет) аннуитет:


Современные стоимости регулярных потоков платежей (обозначим их, как это принято в финансовой математике, через Ах) определяются элементарно. Если размер годового платежа равен R, то для немедленного пожизненного потока годовых платежей пренумерандо имеем Ах = R *ax, а для аналогичного, но отложенного на n лет аннуитета, n|Ax= R* n|Rx и т.д.

. Расчётная часть

Задача № 1: Кредит в размере 110 тыс. руб. выдан 3 марта до 15 декабря под 11% годовых, год не високосный. Определить размер наращенной суммы для различных вариантов (обыкновенного и точного) расчета простых процентов.

Решение:

) Точные проценты с точным числом дней ссуды(365/365)

Найдём срок ссуды:

29+30+31+30+31+31+30+31+30+15=288

Найдём размер наращенной суммы:

=PV*(1+t/k*i) = 110000*(1+288/365*0.11) = 119547руб.39коп

2) Обыкновенные проценты с точным числом дней ссуды(365/360)

=110000(1+288/360*0.11) = 119680руб

3) Обыкновенные проценты с приближенным числом дней ссуды(360/360)

Найдём срок ссуды:

29+30*8+15=284

Найдём размер наращенной суммы:

=PV*(1+t/k*i) = 110000*(1+284/360*0.11) = 119545руб. 55коп.

Ответ: 119545руб. 55коп.

Задача № 2: Сумма 500 тыс. руб. выплачивается через 2 года. Необходимо определить ее современную стоимость при условии, что применяется ставка сложных процентов 11% годовых.

Решение:

Применим формулу:

PV =

Ответ:

Задача № 3: Долговое обязательство приобретено за 78 тыс. руб., а погашалось по сумме 93 тыс. руб. Срок - 3 года. Определить величину сложной процентной ставки.

Решение:

Применим формулу:


Ответ 6%

Задача № 4: Облигация номиналом 40 тыс. руб. под 11% годовых погашается по тройному номиналу. На какой срок размещается заем при условиях наращения по сложной ставке процентов.

Решение:

 

Ответ: 10 лет

Задача № 5: Сумма обыкновенных процентов по облигации за год составила 2500 руб. Определить сумму точных процентов, если год - високосный.

Решение:

 

Ответ: сумма точных процентов составит 2465.75 руб.

Задача № 6: Определить величину накопленных за 5 лет средств, если размер ежегодного платежа 6,3 тыс. руб., процентная ставка 16% годовых при начислении процентов два раза в год.

Решение:

43876руб 62 коп.

Ответ:43876руб.62коп.  Задача № 7: Два платежа: 4 и 6 тыс. руб. со сроками уплаты 110 и 70 дней соответственно объединяются в один со сроком 90 дней. Определить консолидированную сумму платежей, используя простую учетную ставку 18% годовых.

Решение:


, где

j - размеры объединяемых платежей со сроками nj < n0,

FKk - размеры платежей со сроками nk > n0.- срок от момента учета до даты погашения;- простая учетная ставка.


Ответ: консолидированная сумма платежей равна 10020.60 руб.

Задача № 8: Определить размер периодических взносов в фонд, предназначенный для погашения кредита в сумме 20 тыс. руб., если проценты на вносимые средства начисляются ежемесячно по ставке 17% годовых в течение 2 лет и 3 месяцев.

Решение:


Ответ: Размер периодических ежегодных взносов руб.

Задача № 9: За 2 месяца до даты погашения вексель учтен по простой учетной ставке 22% годовых. Определить доходность учетной операции в виде сложной процентной ставки (ежемесячная капитализация).

Решение:


Формулы эквивалентности ставок можно получить, исходя из равенства взятых попарно множителей наращения. Для этого следует применять формулы для определения наращенной суммы, с использованием различных ставок процентов (ставок наращения и учетных ставок):

= P * (1 + n * is) S = P * 1 / 1 - n * ds

Приравнивая множители наращения в формулах, получаем:

+ n * is = 1 / 1 - n * ds

Выражаем is is = ds / 1 - n* ds, где

n - срок кредита в годах;- простая учетная ставка.

Подставляем значения в формулы:

 = ds / 1 - n* ds = 0,2/ 1 - 1 *0,2 = 0,2 / 0,2 = 0,25

Ответ: доходность учетной операции составит 0,25 %.

Задача № 10: Рассчитать сумму ежегодного погашения трехлетнего потребительского кредита при покупке бытовой техники на сумму 115 тыс. руб., если проценты по ставке 18% годовых начисляются два раза в год.

Решение:


 / 3 = 64288,83 - ежегодный платёж

Ответ: 64288,83 - ежегодный платёж

Задача № 11: Суммы в размере 20, 30 и 50 тыс. руб. должны быть выплачены через 1 год, 230 и 138 дней соответственно. Определить сумму консолидированного платежа при использовании простой процентной ставки 14% годовых, если срок равен 2 года.

Решение:

+

Ответ:

Заключение

При страховании аннуитета страхователь уплачивает единовременно или в рассрочку страховую премию, за счет которой страховщик обязуется выплачивать застрахованному в течение известного числа лет или пожизненно определенный годовой доход (ренту или аннуитет, пенсию).

С точки зрения актуарных расчетов и формирования страховых резервов страхование подразделяется на накопительное (страхование жизни и пенсий) и рисковое (все остальные виды страхования, кроме страхования жизни). В основе страхования жизни также лежит неопределенность в отношении того, сколько лет проживет застрахованное лицо. Для каждого конкретного застрахованного существует определенный риск (вероятность) не дожить до окончания действия договора. Данный вид страхования относится к накопительным видам, так как цель его не только обеспечить себя или иное лицо страховой защитой, но и накопить за период действия договора страхования определенную денежную сумму (обеспечение). Накопление страховой суммы происходит за счет инвестиционного дохода, полученного от размещения резервов по страхованию жизни, а также взносов тех застрахованных, которые не дожили до конца срока страхования.

Термин "накопительное страхование" отражает интерес страхователя, заключающийся в накоплении определенной денежной суммы целевого характера относительно небольшими страховыми взносами. Этот интерес в наибольшей степени удовлетворяется договорами смешанного страхования жизни, поскольку по такому договору выплата полной страховой суммы производится и при дожитии застрахованного до конца срока страхования, и в случае его смерти в период действия договора. Страхование жизни связано с предоставлением страховщиком в обмен на уплату страховых премий гарантии выплатить определенную сумму денег (страховую сумму) страхователю или указанным им третьим лицам в случае смерти застрахованного или его дожития до определенного срока.

При страховании жизни страхуется риск продолжительности человеческой жизни. Таким образом, риском является не сама смерть, а время ее наступления. В связи с этим страхуемый риск имеет три аспекта:

вероятность умереть до срока, установленного в качестве средней продолжительности жизни;

вероятность умереть или выжить в течение определенного периода времени;

вероятность дожить до возраста, превышающего среднюю продолжительность жизни, что требует получения регулярных доходов без продолжения трудовой деятельности.

Страхование жизни позволяет преодолеть недостаточность системы государственного социального обеспечения и способствует увеличению личных доходов населения. Кроме того, полис страхования жизни представляет собой гарантию или обеспечение при осуществлении целого ряда финансово-кредитных операций. Таким образом, страхование жизни выполняет следующие функции: защита семьи в случае потери кормильца и дохода умершего члена семьи;

обеспечение в случае временной или постоянной утраты трудоспособности (инвалидности);

обеспечение пенсии в старости;

накопление средств для оказания материальной поддержки детям при достижении совершеннолетия, для оплаты их образования (образовательное страхование);

накопление средств (страхование капиталов);

гарантия возврата кредита (страхование жизни заемщиков кредита, ипотечное страхование);

возможность получения ссуды в страховой компании на льготных условиях.

Цели курсовой работы выполнены, поставленные задачи проработаны.

Список использованных источников

.        Финансы. Пер.с англ.: Уч.пос.-М.: Издательский дом "Вильямс", 2011. - 592с.

.        Судебно - практический комментарий к страховому законодательству: Учебник, - В.Ю.Абрамов, С.В.Дедиков 2010.

.        Страхование от А до Я. Книга для страхователей / Под ред. Корчевской Л.И., 2010.

.        Страховое право: Учебник, - М.: МГИУ, 2009. -191с

.        Книга начинающего инвестора. Куда и как вкладывать личные деньги. -Спб.: Питер, 2008. - 224 с.

.        Четыркин Е.М. - Финансовая математика. Учебник 2004

.        Шелехов К.В., Бигдаш В.Д. Страхование: Учебное пособие. - К.: МАУП, 1998.

.        Турбиной К.Е. - М.: ИНФРА-М, 1996.

.        База данных Смертность человека. http://www.mortality.org

.        Википедия. Свободная энциклопедия. http://ru.wikipedia.org


Не нашли материал для своей работы?
Поможем написать уникальную работу
Без плагиата!
Без нейросетей!