Расчет эксплуатационных и экономических показателей работы подразделений ОАО РЖД

  • Вид работы:
    Курсовая работа (т)
  • Предмет:
    Транспорт, грузоперевозки
  • Язык:
    Русский
    ,
    Формат файла:
    MS Word
    186,13 Кб
  • Опубликовано:
    2014-04-13
Вы можете узнать стоимость помощи в написании студенческой работы.
Помощь в написании работы, которую точно примут!

Расчет эксплуатационных и экономических показателей работы подразделений ОАО РЖД

Введение

Планирование - это разработка и корректировка плана, включающие предвидение, обоснование, конкретизацию и описание деятельности хозяйственного объекта на ближайшую и отдаленную перспективу.

Планированием на предприятии поэтапно охватывается работа людей и движение ресурсов (материальных и финансовых), нацеленных на получение заданного Конечного результата. Утвержденный руководителем план предприятия имеет силу приказа для указанных в нем лиц и структурных единиц.

·        В нем предельно четко и подробно указываются:

·        цель деятельности предприятия и его структуры на плановый период, количественно выраженная системой установленных показателей (с указанием конкретных видов выпускаемой продукции и характера работ);

·        средства достижения цели (финансовые, материальные и трудовые);

·        правила и сроки увязки целей и средств по этапам на весь период действия плана;

·        этапы и сроки выполнения работ;

·        исполнители плана по срокам и видам работ;

·        методы, этапы и средства контроля выполнения плана.

Практически вся система хозяйственного управления и регулирования производства строится на методах планирования. Завершение одного этапа работы служит началом следующего этапа. Связать все этапы производственного процесса другим методом без помощи планирования невозможно. Планирование занимает центральное место в механизме хозяйственного управления как способ достижения цели на основе сбалансированности и последовательности выполнения всех производственных операций. Это необходимое условие своевременной подготовки сырья, материалов, комплектующих изделий, инструментов, оборудования для изготовления конечной продукции и создания запасов.

Многообразие отраслевой и территориальной специфики предприятий, а также значительные различия в организации производства и управления на малых и крупных предприятиях не укладываются в какую-то одну схему планирования. Поэтому структура планов и сроки, на которые они разрабатываются, различны. Определение продолжительности текущих и долгосрочных планов также связано с отраслевой спецификой.


1.      Расчет показателей грузовых перевозок на отделении дороги

Объем отправления (погрузка) в тоннах (РОТПР=РПОГР)

Отправление грузов, тыс. т


А

3100

АБ

200

Б

2410

БВ

600

В

1630


Размеры прибытия (выгрузка) в тоннах (РПРИБ=РВЫГР)

Прибытие грузов, тыс. т.


А

2410

АБ

200

Б

1790

БВ

400

В

1320


Размеры приема (РПРИЕМ) и сдачи грузов (РСДАЧА) по стыковым пунктам отделения территориального филиала устанавливают по данным межрайонного обмена

Размеры приема грузов по стыковым пунктам приведены

Прием грузов, тыс. т.


А

24300

В

27200


Размеры сдачи грузов определяются в курсовой работе по данным о корреспонденции грузопотоков на основе построения схем грузопотоков.

Объем перевозок по видам сообщений: прямое (ввоз вывоз транзит) и местное определяется в курсовой работе на основании построенных схем грузопотоков.

Ввоз - прибытие грузов под выгрузку на станции дороги (отделения) с других дорог (РВВОЗ); вывоз - отправление грузов на другие дороги (РВЫВОЗ); транзит - перевозка грузов, поступивших с других дорог и следующих на 6 другие дороги через данную дорогу (РТР); местное - перевозка грузов между станциями внутри дороги (РМЕСТН).

Общий объем перевозок в тоннах может быть определен по формулам:

РПЕР= РВВОЗ + РВЫВОЗ + РМЕСТН + РТР (1.1)

РПЕР = РОТПР + РПРИЕМ (1.2)

РПЕР = РПРИБ + РСДАЧА (1.3)

РПРИЕМ = РВВОЗ + РТР (1.4)

РСДАЧА = РВЫВОЗ + РТР (1.5)

Грузооборот в тонно-километрах нетто ΣРL определяется по каждому участку умножением грузопотока на длину участка, а в целом по отделению территориального филиала (дороги) - суммированием грузооборота по всем участкам:

ΣРI * LI, ткм (1.6)

где ΣРI - грузопоток на участке; Li - длина участка

Длина участка, км


АБ

184

БВ

170

грузооборот подвижной стоимостной перевозка

Средняя дальность перевозок рассчитывается делением грузооборота на объем перевозок:

ср =, км (1.7)

Грузонапряженность рассчитывается делением грузооборота на эксплуатационную длину дороги (отделения):

ГСР = , км (1.8)

.1      Расчет показателей плана грузовых перевозок

Таблица 1.1. - Расчет отправления, прибытия и приема грузов


Станции

Всего


А

АБ

Б

БВ

В


Погрузка, т. тонн (отправление)

3100

200

2410

600

1630

7940

Выгрузка, т. тонн (прибытие)

2410

200

1790

400

1320

6120

Прием, т. тонн

24300

-

-

-

27200

51500

Сдача, т. тонн

26800

-

-

-

26520

53320


Размеры сдачи и схемы грузопотоков определяются в соответствии с корреспонденцией грузопотоков по варианту:

. Грузы под выгрузку на станцию «В» поступают со станции «А» на участок - «БВ» - со станции «В»

. Грузы под выгрузку на станции «А» и «Б», участок «АБ» завозятся на отделение дороги по станции «А»

. Грузы собственной погрузки вывозятся с отделения дороги по станции «В»

Прием по станции «В» (27200 т.т.) складывается из ввоза (400 тыс. т.) и транзита 26800 (тыс. т),

Сдача по станции «В» (26520 тыс. т.) складывается из вывоза (6620 тыс. т.) и транзита (19900 тыс. т.),

Сдача по станции «А» равна транзиту (26800 тыс. т.).

Объем перевозок по видам сообщения составит:

(пер) = 1720 (местн) + 4400 (ввоз) + 6620 (вывоз) + 46700 (тр) (1.1)

(пер) = 7940 (отпр) + 51500 (прием) (1.2)

(пер) = 6120 (приб) + 53320 (сдача) (1.3)

Грузопоток на участке «АБ»:

в направлении АБ (четное) составит (1780+1980+1990+1790+1320/2)/2 + 19900 = 24000 тыс. т.

в направлении БА (нечетное) равен транзиту = 26800 тыс. т.

Грузопоток на участке «БВ»:

в направлении БВ (четное) составит (4390+4990+1320/2)/2+19900=24920 тыс. т.;

в направлении ВБ (нечетное) составит 26800+400/2=27000 тыс. т.

Густота перевозок и грузооборот по отделению дороги рассчитываются в таблице 1.2.

Таблица 1.2. - Расчет грузооборота

Наименование участка

Длина участка, км

Грузопоток

Густота перевозок, тыс. т.

Грузооборот, млн. т. км



Четное

Нечетное



АБ

184

24000

26800

50800

9347,2

БВ

170

24920

27000

51920

8826,4

Всего





18173,6


Средняя дальность перевозок на отделении составит:

Lср =  =305,75 км

Гср =  = 51338тыс. ткм/км

 

2.      Расчет эксплуатационных показателей работы подвижного состава в грузовом движении

Показатели

 

Годовой грузооборот L, млн.

18173,6

Динамическая нагрузка, т: на груженный вагон Pдг

48,0

Статическая нагрузка, т. Рст

50

Отношение порожнего пробега вагонов: к груженому, α

0,54

Масса тары вагона, Рm, т

23,2

Масса груженого поезда, т

4450

Состав порожнего поезда mnop вагон

68

Среднесуточный пробег грузового вагона Sв, км

241

Среднесуточный пробег локомотива Sл, км

670

Отношение вспомогательного линейного пробега локомотивов к пробегу во главе поезда βлин

0,18

Отношение условного пробега к пробегу во главе поездов, βусл.

0,10

Участковая скорость Vу =Vуод, км/ч

32,7

 

1.      Пробег подвижного состава рассчитывается по формулам.

Пробег груженых вагонов:

 

Sгр = , ваг-км

где - принимается по расчету; Pд.г. - средняя динамическая нагрузка на вагон (т/ваг), определяется исходя из структуры грузопотока.

 = Pст  отпр +Pд.г. пр, т/ваг

где Рст - статистическая нагрузка на вагон, т/ваг; Рд.г. - динамическая нагрузка на вагон, т/в, отпр - удельный вес отправления в общем объеме перевозок определяется по данным плана перевозок.

Рассчитываем среднюю динамическую нагрузку на вагон (т/ваг)

отпр = = 0,13

где - удельный вес грузов, поступивших на отделение дороги (ввоз+транзит).

пр = 0,87

Тогда при Рст = 50 т/ваг, Рд.г = 48,0 т/ваг,

 = 50 ∙ 0,13 + 48 ∙ 0,87 = 48,26 т/ваг.

Таким образом, динамическая нагрузка на рассматриваемом отделении дороги лишь на  = 13,5% зависит от степени использования грузоподъемности вагонов на погрузке (коллектива отделения дороги).

Пробег груженых вагонов:

nSгр =  = 376576685 ваг-км

Пробег порожних вагонов:

nSпор = ∑nSгр ∙ α, ваг-к

где α - отношение порожнего пробега вагонов к груженому пробегу

nSпор = 376576685 ∙ 0,54 = 203351512 ваг-км

Общий пробег вагонов:

nSобщ = ∑nSгр ∙ (1+α)

nSобщ = 376576685 ∙ (1+0,54) = 579928095 ваг-км

Тонно-километры брутто вагонов рабочего парка:

∑PLбр = ∑PL + Рт ∙ ∑nSобщ

где Рт - масса тары вагона, т/ваг,

∑PLбр = 18173,6 млн + 23,2 ∙ 579928095 = 31627930000 т-ваг

2.   Пробег груженых и порожних поездов:

∑NLгр = , п/км

∑NLпор = , п/км

где - средняя масса груженого поезда, т/бр.; mпор - средний состав порожнего поезда, ваг.

∑NLгр =  = 6047905,6 п-км

∑NLпор =  = 2990463,4 п-км

Общий пробег поездов:

∑NLобщ = ∑NLгр + ∑NLпор, п-км

∑NLобщ = 6047905,6 + 2990463,4 = 9038369,0 п-км

Линейный и общий пробег локомотивов:

∑MSлин = ∑NLобщ ∙ (1+βлин), лок-км

где βлин - отношение вспомогательного линейного пробега (работа по системе многих единиц, двойная тяга, подталкивание, резервный пробег) к пробегу во главе поездов

∑MSлин = 9038369∙ (1+0,18) = 10665275,0 лок-км

∑MSобщ = ∑NLобщ ∙ (1+βобщ), лок-км

βобщ = βлин + βусл - отношение вспомогательного общего пробега (линейного и условного) к пробегу во главе поездов. К условному пробегу относится маневровая работа поездных локомотивов и простои локомотивов на станциях

βобщ = 0,18 + 0,10 = 0,28

∑MSобщ = 9038369 ∙ (1+0,28) = 11569112, лок-км

3.   Качественные показатели использования подвижного состава рассчитываются по формулам:

Средняя масса поезда и средний состав поезда:

 = , т

 =  = 3499,3, т

mср = , ваг

mср =  = 64 ваг

Оборот вагона:

Оваг = , сут

Где LГР - груженый рейс вагона, SВАГ - среднесуточный пробег вагона = 241, км/сут

Lгр =  

Работа отделения дороги - сумма погруженных, транзитных и вагонов поступающих под выгрузку с соседних отделений дороги:

Uраб = Uпогр + Uпр.тр +Uпр.выгр

Количество погруженных вагонов - делением погрузки в тоннах на статическую нагрузку вагона:

Uпогр =

Uпогр =  = 158800 ваг

Работа отделения дороги - сумма погруженных, транзитных и вагонов поступающих под выгрузку с соседних отделений дороги:

Прием транзитных вагонов - делением транзитного грузопотока на динамическую нагрузку груженого вагона:

 

Uпр.тр =

Uпр.тр =  = 972917 ваг

Прием вагонов под выгрузку - делением размеров ввоза на динамическую нагрузку груженого вагона:

Uпр.выгр =

Uпр.выгр =  = 91667 ваг

Uраб = 158800 +972917 + 91667 =1223384 ваг

Lгр =  = 310.37 км

Оваг =  = 2 сут

Оваг = , сут

Оваг =  = 2, сут

Где nраб - рабочий парк вагонов.

Рабочий парк вагонов определяется двумя способами:

nраб = , ваг

nраб = , ваг

nраб =  = 6593 ваг

nраб =  = 6593 ваг

Производительность вагонов и локомотивов:

Wваг = , ткм/ваг

Wваг =  = 7552,38 ткм/ваг

Wлок =  ткм. бр/лок

Wлок =  = 2027108 ткм. бр/лок

Рабочий парк локомотивов определяется двумя способами:

Мраб = , лок

Мраб =  = 43 лок

Мраб = , лок

Мраб =  =43 лок

где Sв, Sл - среднесуточный пробег вагонов и локомотивов, км/сут

3.     Расчет стоимостных показателей работы отделения дороги

1.   Себестоимость перевозок методом единичных расходных ставок определяющаяся, в целом, по ОАО РЖД в соответствии с Методикой расчета единичных и укрупненных расходных ставок, разработанной ВНИИЖтом.

Перечень зависящих расходов и величина расходных ставок

Наименование измерителя

Условн. обозначение

Перечень расходов, относимых на измеритель

Величина расходных ставок в рублях по вариантам

Вагоно - километры

nS

Коммерческий осмотр транзитных поездов, техническое обслуживание и текущий ремонт вагонов

0,61

Вагоно-часы

nt

Деповской ремонт, амортизация вагонов, отчисления на капитальный ремонт

15,35

Локомотиво - километры: теплотяга

MS

Смазочные материалы, техническое обслуживание и текущий ремонт, отчисления на капитальный ремонт

38,56

Локомотиво - часы: теплотяга

Mt

Амортизация локомотивов

947,11

Бригадо-часы локомотивных бригад: теплотяга

Mh

Заработная плата локомотивных бригад

895,24

Тонно-км брутто

Pl бр

Текущее содержание и амортизация верхнего строения пути

0,0131

Локомотиво-час маневровой работы

Mt ман

Маневровая работа на станциях, содержание и ремонт маневровых локомотивов

1519,76

Расход энергоресурсов топлива

В(А)

Расходы на топливо (электроэнергию) для тяги поездов

15,07

Отправленный грузовой вагон

n

Подготовка вагонов под погрузку, ремонт порожних вагонов

89,76




Расчет калькуляционных измерителей для заданных условий перевозок

Наименование измерителя

Расходная ставка, руб.

Расчет измерителей1

Расходы на 1000 т - км, руб.

Вагоно-км

ns = 0.61

nS0 =1000/ ∙ (1+α) nS0 =1000/48,26∙(1+0,54)=31,91

19,47

Вагоно-часы

nt =15.35

nt = nS0/Sв ∙ 24 nt = 31,91/241 ∙ 24 = 3,18

48,81

Локомотиво-км

MS=38.56

MS = NL (1+βобщ) NL = 1000+Pm ∙ nS0/ NL = 1000+23,2 ∙ 31,91/3570,13= 0,49 MS = 0,49 (1+0,28)= 0,63

24,18

Локомотиво - часы

Mt=947.11

Mt = NL (1+βЛИН)/SЛ ∙ 24 Mt = (0,49 (1+0,18)/670)∙24 = 0,02

19,68

Бригадо-часы

Mh=895.24

Mh = NL (1+ βЛИН)/VУЧ ∙ KБР Mh = 0,49 (1+0,18)/32,7 ∙ 1,4= 0,013

11,64

Тонно-км брутто

PLбр=0.0131

PLбр = 1000+Pm∙nS0+Pл∙NL∙(1+ βЛИН) PLбр = 1000+23,2∙31,91+258∙0,49∙ (1+0,18)=1889,49

24,75

Расход электроэнергии и (топлива)

в=15.07

B = bm ∙ NL/104 B = 47,1 ∙ 3570,13∙0,49/ 104=8,24

124,16

Локомотиво - час маневровой работы

Mtm=1519.76

Mtман = KM∙ nS0/1000 Mtман = 0.6∙31,91/1000= 0.02

30,4

Количество грузовых отправок

o=209.160

O = 1000∙отпр/Lср∙P0 O = 1000∙ 0,13/308,28∙40 = 0,01

2,09

Отправленные вагоны

n=89.76

0,76

Итого зависящих расходов

Эзав = 305,94

Условно-постоянные (независящие) расходы Эзав ∙1,8

Энз= 550,69

Всего расходов на 1000 ткм

Э = эзавнз= 856,63


Себестоимость 10 ткм рассчитывается:

Сп =  =  = 8,57 руб./10 ткм

Расходы по грузовым перевозкам определяют:

Э =  =  = 15574775,2 тыс. руб.

2. Себестоимость единиц работы подвижного состава используется для оценки эффективности мероприятий по совершенствованию перевозочного процесса.

Расчет себестоимости единиц работы подвижного состава.

. Расчет себестоимости локомотиво-часа простоя:

Наименование измерителя

Расходная ставка, руб.

Расчет измерителей

Расходы, руб.

Локомотиво-км

38,56

1

38,56

Локомотиво-часы

947,11

1

947,11

Бригадо-часы

895,24

1

895,24

Расход топлива (электроэнергии)

15,07

36

542,52

ИТОГО



2423,43


. Расчет себестоимости поездо-км

Наименование измерителя

Расходная ставка, руб

Расчет измерителей

Расходы, руб

Вагоно-километры

0,61

nS = mср = 64

39,04

Вагоно-часы

15,35

nt = mср/Vуч nt = 39,04/32,7 = 1,19

18,33

Локомотиво-км

38,56

MS = 1+βУСЛ MS = 1+0,10 =1,10

42,42

Локомотиво-часы

947,11

Mt = 1/VУЧ + βУСЛ Mt = 1/32,7 + 0.10 = 0,13

116,39

Бригадо-часы

895,24

Mh =1/VУЧ ∙ Kбр Mh =1/32,7 ∙ 1.4 =0,04

35,81

Тонно-км брутто

0,0131

Pℓбр= +Pл Pℓбр=3570,13+258=3828,13

50,15

Расход топлива (электроэнергии

15,07

B = ∙bm/104 B = 3570,13 ∙ 273/104 =97,47

1468,88

ИТОГО



1771,02


Зависящие расходы по пробегу поездов рассчитываются:

ЭП-КМ = NL ∙ CП-КМ

ЭП-КМ = 0,49 ∙ 1771,02=867,8 руб.

Расчет себестоимости поездо-часа:

Наименование измерителя

Расходная ставка, руб.

Расчет измерителей

Расходы, руб.

Вагоно-часы

15,35

64

982,4

Локомотиво-км

38,56

1

38,56

Локомотиво-часы

947,11

1

947,11

Бригадо-часы

895,24

1

895,24

Расход топлива (электроэнергии

15,07

36

542,52

ИТОГО



3405,83


Расчет себестоимости локомотиво-км резервного пробега

Наименование измерителяРасходная ставка, руб.Расчет измерителейРасходы, руб.




Локомотиво-км

38,56

1

38,56

Локомотиво-часы

947,11

1

947,11

Бригадо-часы

895,24

1

895,24

Расход топлива (электроэнергии)

15,07

36

542,52

Тонно-км брутто

0,0131

258

3,38

ИТОГО



2436,17




4.     Расчет влияния качественных показателей использования подвижного состава на изменение грузооборота

Взаимосвязь объема эксплуатационного грузооборота в тонно-километрах с факторами, определяющими его величину, можно представить на схеме.

Наименование показателей

Величина показателя

Процент выполнения


расчет (план)

факт


Погрузка, тонн

7940000

7940000*0,86=6828400

6828400/7940000=86

Статическая нагрузка, т/ваг

50

50*0,98=49

49/50=98

Погружено вагонов, ваг

158800

6828400/49=139355

139355/158800=87,76

Принято под выгрузку вагонов

91667

91667*0,88=80666,96

80666,96/91667=88

Принято транзитных вагонов

972917

972917*0,92=895083,64

895083,64/972917=92

Принято груженых вагонов с соседнего отделения

1064584

80666,96+895083,64= 975750,6

975750,6/1064584=91,65

Работа отделения, ваг

1223384

139355+975750,6= =1115105,6

1115105,6/1223384=91,15

Груженый рейс вагона, км

310,37

310,37*1,08=335,2

335,2/310,37=108

Пробег груженых вагонов, ваг - км

379702031

1115105,6*335,2= 373783397,12

373783397,12/379702031= 98,44

Динамическая нагрузка, т\ваг

48,26

49*0,13+48*0,87=48,13

48,13/48,26=99,73

Грузооборот, т-км

18173,6 млн

373783397,12*48,13= =17990194903,39

17990194903,39/18173600000= 98,99




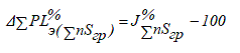
Влияние факторов на изменение эксплуатационных тонно-километров

Факторы и субфакторы

Формула анализа

Расчет по формуле

Отклонение




в %

(+,-)

Вагоно-км груженых вагонов

98,44-100

1,56

-

Динамическая нагрузка на груженый вагон,

98,99-98,44

0,55

-

Работа дороги, вагонов,

91,15-100

8,85

-

Рейс груженого вагона, км,

98,44-91,15

7,29

+

Количество вагонов, принятых гружеными с соседних отделений

(91,65-100)* (1064584/ 1223384)

7,26

-

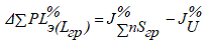
Прием транзитных вагонов Uпр тр

∆∑PLэ%(Uпр тр)=(J % Uпр тр-100)∙ϕтр ϕтр=

972917/1223384*(92-100)

6,36

-

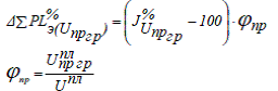
Принято под выгрузку вагонов Uпр выгр

∆∑PLэ%(Uпр выгр)=(J % Uпр выгр-100)∙ϕвыгр ϕвыгр=

91667/1223384*(88-100)

0,9

-

Количество погруженных вагонов

(87,76-100)* (1-0,87)

1,59

-

Объем погрузки, т,

(86-100)*0,13

1,82

-

Средняя статистическая нагрузка на вагон

(87,76-86)* 0,13

0,23

+

Эксплуатационные тонно-км,

98,99-100

1,01

-


Грузооборот уменьшился на 14,09%.

В результате уменьшения приема груженых вагонов на 8,35% уменьшение грузооборота составило - 7,26%.

Сокращение транзитного вагонопотока на 8% привело к сокращению грузооборота на 6,37%.

Увеличение груженого рейса вагонов на 8% привело к увеличению грузооборота на 7,29%.

Остальные показатели не оказали существенного влияния на изменение грузооборота в отчетном периоде.

Сокращение погрузки в тоннах на 14% привело к сокращению грузооборота всего на 1,82%.

Таким образом, отрицательное влияние на величину объема перевозок на отделении оказали влияние внешние факторы.

5.      Расчет влияния на себестоимость перевозок и расходы грузооборота и качественных показателей использования подвижного состава

.1 Оценка влияния изменения грузооборота на финансовые показатели

Расчет влияния объема перевозок на себестоимость производится по формуле:

∆Cn =  - Сn

∆Cn(%)= ∙ 100

где Сn - начальная величина себестоимости перевозок на отделении дороги;  - себестоимость после изменения объема перевозок.

 = cзав +, руб./10 ткм

 = 3,06 += 8,63 руб./10 ткм

где Сзав - себестоимость в части зависящих расходов, руб./10 ткм; Снз - себестоимость в части независящих расходов, руб./10 ткм; ∆PL - изменение объема перевозок, %.

∆Cn =8,63 -

∆Cn(%)= ∙ 100 = 0,7%

Себестоимость в части зависящих и независящих расходов определяется по данным таблицы 3.2, делением расходов на объем перевозок.

Изменение эксплуатационных расходов (экономия или перерасход) рассчитываются по формуле:

∆Э = ±∆С ∙ ∑PL ()

∆Э = 0,06 ∙ 18173,6 млн ткм () = 1079402798 руб.

где ∑PL - грузооборот.

.2 Оценка влияния изменения качественных показателей на финансовые показатели

Для расчета влияния качественных показателей использования подвижного состава на себестоимость перевозок используются формулы зависимости себестоимости, которые определяются методом расходных ставок.

С такими показателями как динамическая нагрузка на вагон, масса поезда брутто, участковая скорость себестоимость связана обратной зависимостью:

С = ан.с.+

С показателями: процент порожнего пробега вагонов, и вспомогательного пробега локомотивов себестоимость связана прямой зависимостью:

С = ан.с.+ в ∙

где а - величина себестоимости, независящей от качественного показателя;  и в ∙ - величина себестоимости, зависящей от качественного показателя; Kп - численное значение качественного показателя.

∆Cn =  - Сn руб./10 ткм

где  - величина себестоимости перевозок, соответствующая новому значению качественного показателя.

Расчет по формуле прямой зависимости, так как измененным качественным показателем является вспомогательный пробег локомотивов:

∆Cn = ±, %

∆Cn = ±= 0,006%

∆Cn = 0,006% 8,57/100 =0,0005

при обратной зависимости:

∆Cn = ±, %

где m - доля расходов, зависящая от качественного показателя, ∆Kп - изменение качественного показателя в процентах

Экономический эффект от улучшения качественного показателя (или потери в результате его ухудшения) рассчитать по формуле:

∆Э = ∆Сn ∙ ∑PL ()

∆Э = 0,0005 ∙ 18173600000∙() = 8665023 руб.

Список используемой литературы

1. Экономика железнодорожного транспорта: Учеб. Для вузов ж.-д. трансп./ И.В. Белов, Н.П. Терешина и др., Под ред. Н.П. Терешиной, Б.М. Лапидуса. - М.: УМК МПС России, 2001. - 600 с. Под ред. Н.П. Терешиной. М. Транспорт, 1997 - 321 с.

. Себестоимость железнодорожных перевозок. Под ред. Г.Г. Смеховой М. Маршрут, 2003 -495 с.

. А.Ф. Иваненко. Анализ хозяйственной деятельности на железнодорожном транспорте: Учебник для вузов ж.-д. трансп. М.: Маршрут, 2004. - 568 с.

Похожие работы на - Расчет эксплуатационных и экономических показателей работы подразделений ОАО РЖД

 

Не нашли материал для своей работы?
Поможем написать уникальную работу
Без плагиата!
Без нейросетей!