Порядок интегрирования

  • Вид работы:
    Контрольная работа
  • Предмет:
    Математика
  • Язык:
    Русский
    ,
    Формат файла:
    MS Word
    61,89 Кб
  • Опубликовано:
    2014-02-18
Вы можете узнать стоимость помощи в написании студенческой работы.
Помощь в написании работы, которую точно примут!

Порядок интегрирования

1. Задание 1

Изменить порядок интегрирования.

Решение

1.

Найдем предел интегрирования по у:

2.

Сделаем чертеж:

Найдем предел интегрирования по у:


предел интегрирования по у:

. Задание 2

Вычислить:

Решение

Сделаем чертеж области D:



Расставим пределы интегрирования:


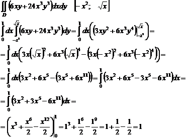
3. Задание 3

Вычислить:

Решение

Сделаем чертеж области D:



Расставим пределы интегрирования:

. Задание 4

Вычислить:

Решение

Сделаем чертеж области D:



Расставим пределы интегрирования:

. Задание 5

Найти площадь фигуры, ограниченной графиками функций:

Решение

 - графиком функции является гипербола, изобразим на чертеже только одну ее ветвь, расположенную в 1-ой четверти.

 - графиком функции является ветвь параболы, расположенная в 1-ой четверти.

 - графиком функции является вертикальная прямая.

Сделаем чертеж:


Найдем площадь фигуры:


Ответ:

6. Задание 6

Пластинка задана ограничивающими ее кривыми:

,

 - поверхностная плотность

Решение

Сделаем чертеж области D:



Расставим пределы интегрирования:



Ответ:

7. Задание 7



Решение

Сделаем чертеж:


Из чертежа видим, что предел интегрирования по у:

Из чертежа видим, что предел интегрирования по z:

предел интегрирования по х:



Ответ:

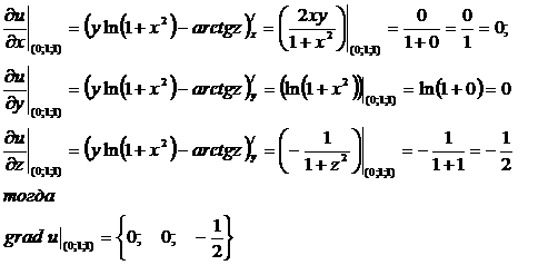
8. Задание 8

Найти производную скалярного поля , в точке М (0; 1; 1) по направлению вектора .

Решение

Так как функция  дифференцируема в точке М, то в этой точке существует ее производная по любому направлению , которая определяется формулой


Где

Находим единичный вектор (орт) :


Вычисляем частные производные функции  в точке А (1; -1):


Подставим полученное значение в формулу  и вычисляя скалярное произведение получим.

Ответ:

9. Задача 9

Найти угол между градиентами скалярных полей  в точке М

Решение

Найдем градиенты скалярных полей:


Градиенты скалярных полей в произвольной точке равны


Градиенты скалярных полей в произвольной точке  равны


Обозначим угол между градиентами скалярных полей через α. Найдем угол между градиентами скалярных полей, используя скалярное произведение векторов:


Ответ: 00

Список литературы

функция интегрирование объем предел

1. Выгодский М.Я. Справочник по высшей математике. - М.: АСТ: Астрель, 2006. - 991 с.

. Зимина О.В., Кириллов А.И., Сальникова Т.А. Высшая математика. Под ред. А.И. Кирилова. - 3-е изд., испр. - М.: ФИЗМАТЛИТ, 2006. - 368 с.

. Выгодский М.Я. Справочник по элементарной математике. - М.: АСТ: Астрель, 2007. - 509 с.

. Красс М.С., Чупрыков Б.П. Математика для экономистов. - СПб.: Питер 2007. - 464 с.

. Пискунов Н.С. Дифференциальное и интегральное исчисления. - М.: ИНТЕГРАЛ-ПРЕСС, 2004.

Похожие работы на - Порядок интегрирования

 

Не нашли материал для своей работы?
Поможем написать уникальную работу
Без плагиата!
Без нейросетей!