1.7 Оценка погрешности и сходимость методов
Рунге-Кутты
Со времен работы Лагранжа и особенно Коши всякий
установленный численно результат принято сопровождать надежной оценкой
погрешности. Лагранж дал известные оценки погрешности многочленов Тейлора, а
Коши вывел оценки для погрешности метода ломаных Эйлера. Через несколько лет
после первых успехов методов Рунге-Кутты также пришел к заключению, что для
этих методов нужны оценки погрешностей[2].
1.7.1 Строгие оценки погрешности
Способ, которым Рунге получил оценку погрешности,
делаемой на одном шаге («локальной погрешности»), может быть описан следующим
образом. Для метода порядка
рассмотрим локальную
погрешность
(2.7.1)
и воспользуемся ее тейлоровским разложением:
, (2.7.2)
где
и
. Явное вычисление
дает выражение вида
, (2.7.3)
где
и
содержат частные производные
до порядков
и
соответственно. Далее поскольку
, имеем
.
Таким образом, если ограничены все частные производные
до
порядка
включительно, имеем
и
.
Следовательно, существует постоянная
такая, что
и
. (2.7.4)
Бибербах использовал несколько иной подход. Запишем
(2.7.5)
и воспользуемся тейлоровскими разложениями
(2.7.6)
Для векторных функций эти формулы справедливы
покомпонентно (возможно, с различным
). В силу условий
порядка первые члены разложения (2.6.5) по степеням
обращаются
в нуль. Таким образом, справедлива следующая теорема.
Теорема.
Если метод Рунге-Кутты (2.3.1) имеет порядок
и если все частные производные
до порядка
включительно
существуют и непрерывны, то локальная погрешность метода (2.3.1) допускает
следующую строгую оценку:
, (2.7.7)
или
. (2.7.8)
Продемонстрируем этот результат, применяя к скалярному
дифференциальному уравнению первый метод Рунге-Кутты (2.2.4), который имеет
порядок
. Дифференцируя (2.1.1), получим
. (2.7.9)
Вторая производная величины
имеет
вид
Если условия теоремы выполнены, то легко видеть, что
выражения (2.7.9) и (2.7.10) ограничены постоянной, которая не зависит от
, что и дает оценку (2.7.8).
1.7.2 Главный член погрешности
Для методов высших порядков строгие оценки
погрешностей, подобные (2.7.7), становятся очень непрактичными. Поэтому гораздо
более реалистично рассматривать первый ненулевой член в тейлоровским разложении
погрешности.
Теорема.
Если метод Рунге-Кутты имеет порядок
и если
непрерывно
дифференцируема
раз, то для главного члена
погрешности имеем:
. (2.7.11)
(2.7.12)
1.7.3 Оценка глобальной погрешности
Глобальной (накопленной) погрешностью[3]
называется погрешность численного решения после выполнения нескольких шагов.
Пусть мы имеем некоторый одношаговый метод, с помощью которого при заданных
начальных данных
и длине шага
мы определяем численное решение
, аппроксимирующее
. Воспользуемся обозначениями Хенричи
для этого процесса:
, (2.7.13)
и назовем
функцией приращения
для данного метода.
Оценивание глобальной погрешности методами a) и b)
Тогда численное решение в точке
получается с помощью пошаговой
процедуры
, (2.7.14)
и наша задача состоит в оценке глобальной погрешности
(2.7.15)
Эта оценка находится простым способом: локальные
погрешности переносятся в конечную точку и затем складываются. Этот «перенос
погрешностей» можно выполнить двумя разными способами:
a)
перенося погрешность вдоль кривых точных решений; этот способ может дать
хорошие результаты, если известны хорошие оценки распространения погрешности
для точных решений.
b)
перенося погрешность
-го шага посредством
выполнения
шагов численного метода; этот способ
использовали в своих доказательствах Коши (1824) и Рунге (1905), он легко
обобщается на многошаговые методы.
В обоих случаях оценим сначала локальные погрешности:
. (2.7.16)
Займемся теперь оценкой перенесенных погрешностей
.
a) Теорема.
Обозначим
окрестность точки
, где
–
точное решение уравнения
.
Пусть в
справедливы оценки
локальных погрешностей (2.7.16) и выполнено одно из условий:
или
. (2.7.17)
Тогда имеет место следующая оценка глобальной
погрешности (2.7.15):
, (2.7.18)
где
,
и
достаточно мало для
того, чтобы численное решение оставалось в
.
Доказательство.
При
оценка (2.7.18)
переходит в
.
. (2.7.19)
Подставляя в неравенство
выражение (2.7.18) с учетом (2.7.16) и принимая во
внимание, что
, приходим к такому
неравенству:
.
Выражение в квадратных скобках мажорируется следующими
интегралами:
, (2.7.20)
. (2.7.21)
Отсюда вытекает справедливость оценки (2.7.18).
b)
При втором способе переноса погрешностей рассмотрим кроме (2.7.14) еще одно
численное решение, значения которого в соседних узлах связаны равенством
.
Оценим норму разности
через
. Для
формулы
метода Рунге-Кутты запишем в следующих обозначениях:
Вычитая из этих формул соответствующие формулы
(2.3.1), получим для норм разностей такие оценки:
Оценивание римановых сумм методом a) и b)
Пусть
– постоянная Липшица
для функции
и пусть
.
Тогда функция приращения
для метода (2.3.1)
удовлетворяет неравенству
, (2.7.22)
где
. (2.7.23)
Из (2.7.22) получаем искомую оценку:
, (2.7.24)
и с её помощью оценку перенесенных погрешностей вместо
оценки (2.7.19).
Предположим, что для начальных значений, лежащих на
точном решении, локальная погрешность удовлетворяет оценке
(2.7.25)
и что в окрестности решения функция приращения
удовлетворяет неравенству
. (2.7.26)
Тогда для глобальной погрешности (2.7.15) справедлива
следующая оценка:
, (2.7.27)
где
.
1.8 Оптимальный выбор шага
Предположим, что при интегрировании от точки
до точки
с
шагом
погрешность приближенно равна
. Так как это соответствует росту
погрешности со скоростью, приблизительно равной
, то
, где
–
функция, определяющая шаг. Положим
и получим оценку
интеграла, который приближенно равен полной погрешности:
С другой стороны, затраты будут пропорциональны числу
шагов, которое приближенно равно
Методами вариационного исчисления можно показать, что
если мы хотим минимизировать затраты
при некотором
фиксированном значении погрешности
, то следует
сохранять постоянной величину
. Это означает, что
окончательная погрешность должна быть одинаковой на каждом шаге.
В современных программах[4],
реализующих методы Рунге-Кутты, обязательно используется некоторый алгоритм
автоматического изменения шага интегрирования. Интуитивно ясно, что на участках
плавного изменения решения счет можно вести с достаточно крупным шагом. В то же
время, на тех участках, где происходят резкие изменения поведения решения,
необходимо выбирать мелкий шаг интегрирования. Обычно начальное значение шага
задет пользователь или оно определено в программе. Далее шаг интегрирования изменяется
в соответствии с величиной, получаемой в ходе вычисления оценки локальной
погрешности.
Существует достаточно много способов оценки локальной
погрешности, среди которых так называемое правило Рунге. Однако в моей
программе я использовал самый простой и в то же время эффективный способ оценки
локальной погрешности, который описан в разделе 3.1. «Описание программы Ilya RK-4 версия 1.43». Этот метод базируется на удвоении или
делении пополам длины шага в зависимости от отношения локальной погрешности и
максимально локальной допустимой погрешности
.
2. Практическая часть
2.1 Описание программы
«Ilya RK-4 версия 1.43»
Программа для нахождения интегральной кривой,
удовлетворяющей поставленной задаче Коши написана на языке высокого уровня Borland C++ 3.1. Программа состоит из четырех функций. При помощи
директив препроцессора #define определены максимальный шаг и величина локальной
максимальной погрешности, а также номер версии программы. Рассмотрим подробнее
работу программы в комплексе.
Функция title() предназначена для печати на экране названия
программы.
Функция do_step() совершает один шаг Рунге-Кутты и возвращает
полученное значение. В качестве входных параметров в нее передается текущее
положение, значение искомой функции, вычисленное на предыдущем шаге и величина
шага, с которым требуется произвести шаг.
Функция f() задает правую часть дифференциального уравнения,
левая часть дифференциального уравнения равна
. В
качестве аргументов функции передается
и
.
Функция main() – основная функция программы. У пользователя
запрашивается точка, начиная с которой необходимо отобразить решение задачи
Коши, точка, правая граница интегрирования и значение в левой точке, через
которое обязана проходить искомая интегральная кривая. После этого программа
начинает вычислительный процесс, выводя полученные значения на экран в виде
списка и в текстовый файл “rk4.txt” на диск.
После того, как будет достигнута правая граница интегрирования, процесс
остановится и пользователю будет предложено нажать на любую клавишу для того,
чтобы построить график. Для построения графика программа переключается в
графический режим. График масштабируется с учетом того, чтобы он всегда был
виден на экране вне зависимости от того, как высоко или низко от оси абсцисс он
лежит. Кроме того, программа постарается сделать его максимально наглядным. Для
этого будут проведены пунктирные линии, соответствующие минимальному и
максимальному значению интегральной кривой, левому и правому концам
интегрирования, а также значению интегральной кривой в указанной точке
. Для того, чтобы пользователь мог легко
ориентироваться на графике, рядом с пунктирными линиями пишутся координатные
значения с точностью до двух десятичных знаков. Как показали многочисленные
тесты, проведенные на компьютере на базе процессора Intel Pentium 4B с
тактовой частотой 2.4 ГГц, построение графика происходит значительно быстрее,
чем первичный расчет с выводом на экран и записью в файл. В этом легко
убедиться[5], если задать довольно
большой отрезок интегрирования, например [-100,100].
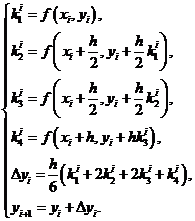
Программа применяет
следующий метод Рунге-Кутты четвертого порядка.
Для получения более точных результатов и возможно даже
увеличения скорости работы в определенных ситуациях программа использует
автоматическое управление длиной шага. Производятся одна итерация с шагом
, а затем две итерации подряд с шагом
, начиная с позиции x_cur.
Разность между первым и последним упомянутым здесь результатами, взятая по
модулю, считается локальной погрешностью. Если она больше, чем наперед заданная
величина
, то шаг делится пополам и тело цикла
повторяется.
Для того, чтобы программа
могла «разгоняться» после уменьшения шага, предусмотрено условие увеличения
длины шага. Оно состоит в том, что если погрешность между вторым из двух
значений, вычисленных с шагом
и значением,
вычисленным с шагом
, не превосходит
, то шаг увеличивается вдвое и тело
цикла повторяется. Отметим, что величина шага не может превосходить значения MAXSTEP, которое определяется директивой
препроцессора #define. Если ни
одно из двух описанных выше условий не выполняется, это означает, что шаг
оптимален и программа производит вычисление значения функции с записью его в файл
и отображением на экране.
Программа снабжена
механизмом защиты от сбоев – в случае, если интегрируемая функция терпит разрыв
(ее нельзя интегрировать на данном участке), программа останавливается и
выдается сообщение о невозможности продолжать. Работоспособность этого
механизма проверена на некоторых разрывных функциях, таких как тангенс и др.
Заключение
В работе детально рассмотрен метод Рунге-Кутты
четвертого порядка с автоматическим выбором длины шага, приведены необходимые
теоретические сведения, освещены альтернативные методы и их эффективность.
Был разработан алгоритм программного модуля,
позволяющий автоматически менять величину шага интегрирования при решении
задачи Коши в зависимости от требуемой точности, что является непременным
требованием, предъявляемым ко всем хорошим современным программам данного
класса, написано приложение, решены примеры.
Список использованных источников
[1].
Амоносов А.А., Дубинский Ю.А., Копченова Н.В. «Вычислительные методы для
инженеров», М., Высшая школа, 1994, 544с.
[2].
Хайрер Э., Нёрсетт С., Ваннер Г. «Решение обыкновенных дифференциальных
уравнений. Нежесткие задачи», М., Мир, 1990, 512с.
[3].
Холл Д., Уатт Д. «Современные численные методы решения обыкновенных
дифференциальных уравнений», М., Мир, 1979, 312с.
Приложение А. Графики функций
В данном приложении
рассмотрены три дифференциальных уравнения первого порядка. К каждому уравнению
прилагается по два графика – первый из них построен созданным приложением, а
второй создан в пакете Maple 9.01.
Интегральная кривая,
построенная приложением «Ilya RK-4 версия 1.43»
Интегральная кривая,
построенная математическим пакетом Waterloo Maple 9.01

Интегральная кривая,
построенная приложением «Ilya RK-4 версия 1.43»
Интегральная кривая,
построенная математическим пакетом Waterloo Maple 9.01
Интегральная кривая,
построенная приложением «Ilya RK-4 версия 1.43»
Интегральная кривая,
построенная математическим пакетом Waterloo Maple 9.01
Интегральная кривая,
построенная приложением «Ilya RK-4 версия 1.43»
Интегральная кривая,
построенная математическим пакетом Waterloo Maple 9.01
Приложение Б.
Пример таблицы значений функции y(x)
y(-7)=100, h=0.4
y(-6.6)=100.045,
h=0.4
y(-6.2)=100.112,
h=0.4
y(-5.8)=100.212,
h=0.4
y(-5.4)=100.361,
h=0.4
y(-5)=100.585,
h=0.4
y(-4.6)=100.919,
h=0.4
y(-4.2)=101.419,
h=0.4
y(-3.8)=102.17,
h=0.4
y(-3.4)=103.301,
h=0.2
y(-3.2)=104.067,
h=0.2
y(-3)=105.011,
h=0.2
y(-2.8)=106.175,
h=0.2
y(-2.6)=107.615,
h=0.2
y(-2.4)=109.4,
h=0.2
y(-2.2)=111.62,
h=0.2
y(-2)=114.392,
h=0.2
y(-1.8)=117.873,
h=0.2
y(-1.6)=122.267,
h=0.2
y(-1.4)=127.857,
h=0.2
y(-1.2)=135.033,
h=0.2
y(-1)=144.346,
h=0.2
y(-0.8)=156.596,
h=0.2
y(-0.6)=172.977,
h=0.1
y(-0.5)=183.256,
h=0.1
y(-0.4)=195.327,
h=0.1
y(-0.3)=209.595,
h=0.1
y(-0.2)=226.578,
h=0.1
y(-0.1)=246.953,
h=0.05
y(-0.05)=258.68,
h=0.05
y(2.96985e-15)=271.608,
h=0.05
y(0.05)=285.897,
h=0.05
y(0.1)=301.73,
h=0.05
y(0.15)=319.32,
h=0.05
y(0.2)=338.919,
h=0.05
y(0.25)=360.821,
h=0.05
y(0.3)=385.374,
h=0.05
y(0.35)=412.989,
h=0.05
y(0.4)=444.156,
h=0.05
y(0.45)=479.459,
h=0.025
y(0.475)=498.877,
h=0.025
y(0.5)=519.603,
h=0.025
y(0.525)=541.747,
h=0.025
y(0.55)=565.433,
h=0.025
y(0.575)=590.794,
h=0.025
y(0.6)=617.978,
h=0.025
y(0.625)=647.149,
h=0.025
y(0.65)=678.489,
h=0.025
y(0.675)=712.199,
h=0.025
y(0.7)=748.501,
h=0.025
y(0.725)=787.645,
h=0.025
y(0.75)=829.906,
h=0.025
y(0.775)=875.592,
h=0.025
y(0.8)=925.047,
h=0.025
y(0.825)=978.656,
h=0.025
y(0.85)=1036.85,
h=0.025
y(0.875)=1100.11,
h=0.025
y(0.9)=1168.98,
h=0.025
y(0.925)=1244.07,
h=0.0125
y(0.9375)=1284.16,
h=0.0125
y(0.95)=1326.08,
h=0.0125
y(0.9625)=1369.91,
h=0.0125
y(0.975)=1415.77,
h=0.0125
y(0.9875)=1463.78,
h=0.0125
y(1)=1514.04,
h=0.0125
y(1.0125)=1566.7,
h=0.0125
y(1.025)=1621.89,
h=0.0125
y(1.0375)=1679.75,
h=0.0125
y(1.05)=1740.44,
h=0.0125
y(1.0625)=1804.13,
h=0.0125
y(1.075)=1871,
h=0.0125
y(1.0875)=1941.23,
h=0.0125
y(1.1)=2015.04,
h=0.0125
y(1.1125)=2092.63,
h=0.0125
y(1.125)=2174.24,
h=0.0125
y(1.1375)=2260.12,
h=0.0125
y(1.15)=2350.54,
h=0.0125
y(1.1625)=2445.79,
h=0.0125
y(1.175)=2546.16,
h=0.0125
y(1.1875)=2652,
h=0.0125
y(1.2)=2763.65,
h=0.0125
y(1.2125)=2881.49,
h=0.0125
y(1.225)=3005.94,
h=0.0125
y(1.2375)=3137.43,
h=0.0125
y(1.25)=3276.43,
h=0.0125
y(1.2625)=3423.46,
h=0.0125
y(1.275)=3579.07,
h=0.0125
y(1.2875)=3743.83,
h=0.0125
y(1.3)=3918.41,
h=0.0125
y(1.3125)=4103.47,
h=0.0125
y(1.325)=4299.77,
h=0.0125
y(1.3375)=4508.11,
h=0.0125
y(1.35)=4729.35,
h=0.00625
y(1.35625)=4845.11,
h=0.00625
y(1.3625)=4964.45,
h=0.00625
y(1.36875)=5087.5,
h=0.00625
y(1.375)=5214.41,
h=0.00625
y(1.38125)=5345.3,
h=0.00625
y(1.3875)=5480.34,
h=0.00625
y(1.39375)=5619.66,
h=0.00625
y(1.4)=5763.44,
h=0.00625
y(1.40625)=5911.83,
h=0.00625
y(1.4125)=6065,
h=0.00625
y(1.41875)=6223.14,
h=0.00625
y(1.425)=6386.44,
h=0.00625
y(1.43125)=6555.09,
h=0.00625
y(1.4375)=6729.28,
h=0.00625
y(1.44375)=6909.25,
h=0.00625
y(1.45)=7095.2,
h=0.00625
y(1.45625)=7287.36,
h=0.00625
y(1.4625)=7485.99,
h=0.00625
y(1.46875)=7691.33,
h=0.00625
y(1.475)=7903.64,
h=0.00625
y(1.48125)=8123.19,
h=0.00625
y(1.4875)=8350.28,
h=0.00625
y(1.49375)=8585.2,
h=0.00625
y(1.5)=8828.27, h=0.00625
Приложение В.
Листинг программы «Ilya RK-4 версия 1.43»
//
----------------------------------------------------------------------- //
#include <dos.h>
#include <stdio.h>
#include <conio.h>
#include <math.h>
#include <graphics.h>
#include <stdlib.h>
#define EPSILON 0.00001
#define MAXSTEP 1
#define VERSION 1.43
//
----------------------------------------------------------------------- //
double f(double x, double y);
double do_step(double h, double x_cur, double
y_cur);
void title(void);
void main(void);
//
----------------------------------------------------------------------- //
double f(double x, double y)
{
//
Правая часть ДУ f(x,y)
return (pow(2.718,x)*y);
}
//
----------------------------------------------------------------------- //
void main(void)
{
int
i; // Вспомогательный счетчик
int
metka; // Метка на осях
int
flag = 0; // Флаг правого конца интегрирования
int
metka1, metka2; // Переменные меток на осях координат
double err
= 0; // Погрешность
double
x0, y0; // Координаты точки начального условия
double big2_step_res, super_step_res; // Результаты
длинных
шагов
double
k = 1; // Коэффициент коррекции
double
zoom = 1; // Масштаб на графике
double big_step_res, small_step_res; // Результаты
шагов
интегрирования
double a,
b; // Границы
double
temp; // Переменная для служебных нужд
double
x_cur, y_cur; // Переменные метода РК
double
h; // Шаг интегрирования
double
f_max = 0, f_min = 0; // Максимальное и минимальное значение кривой
double
norma = 0; // Норма (для корректного масштабирования графика)int c = 8; //
Переменная цвета разделительных линий
FILE
*myfile; // Указатель на текстовый файл с таблицей значений
//
Инициализируем графический адаптер
int gdriver
= DETECT, gmode,
errorcode;
initgraph(&gdriver, &gmode, "");
errorcode = graphresult();
if (errorcode != grOk)
{
printf("Ошибка
инициализации
графики:
%s\n", grapherrormsg(errorcode));
getch();
}
textcolor(0);
setbkcolor(0);
title();
printf("y'=f(x,y), y(x0)=y(a)=y0, [a,b] - отрезок
интегрирования\n");
label1: printf("\na=");
scanf("%lg", &a);
printf("b=");
scanf("%lg", &b);
//
Авто смена границ при необходимости
if (a
> b)
{
temp = a;
a = b;
b = temp;
}
if (a
== b)
{
printf("Начало
отрезка интегрирования совпадает с его концом, повторите ввод!\n");
goto
label1;
}
printf("y(%lg)=", a);
scanf("%lg", &y0);
title();
printf("[%lg,%lg] - границы
интегрирования,
y(%lg)=%lg - начальное условие.\n",
a, b, a, y0);
//
Инициализация
h
= fabs(b - a) / 10;
if (h > 0.1) h = 0.1;
x_cur = a;
y_cur = y0;
f_max = y_cur;
f_min = y_cur;
myfile = fopen("rk4.txt", "w");
fprintf(myfile, "Program: Ilya RK4 Version
%g\n", VERSION);
fprintf(myfile, "Method: Runge-Kutta\n");
fprintf(myfile, "The order of method:
4\n");
fprintf(myfile, "Automatic integration step
select: Enabled\n");
fprintf(myfile, "[a,b]=[%lg,%lg],
y(%lg)=%lg\n", a, b, a, y0);
while (x_cur <= b)
{
if (flag > 1) break;
big_step_res = do_step(h, x_cur, y_cur);
temp = do_step(h / 2, x_cur, y_cur);
small_step_res = do_step(h / 2, x_cur + h / 2,
temp);
err = fabs(big_step_res - small_step_res);
// Уменьшение длины шага
if
(err > EPSILON)
{
h
= h / 2;
continue;
}
//
Увеличение длины шага
big2_step_res
= do_step(h, x_cur + h, big_step_res);
super_step_res = do_step(2 * h, x_cur, y_cur);
if (fabs(big2_step_res - super_step_res) <
EPSILON / 2)
{
h *= 2;
continue;
}
if (h > MAXSTEP) h = MAXSTEP;
// Защита от сбоев
if
(h < pow(EPSILON,
2))
{
printf("Ошибка!
Возможно, функция разрывна.\nПроинтегрировать на данном интервале невозможно.
Скорее всего, g(%lg)=", x_cur);
fprintf(myfile,
"Ошибка! Возможно, функция разрывна.\nПроинтегрировать на данном интервале
невозможно. Скорее всего,
g(%lg)=", x_cur);
if (y_cur < 0)
{
printf("-oo.\n");
fprintf(myfile, "-oo.\n");
}
else
{
printf("+oo.\n");
fprintf(myfile, "+oo.\n");
}
getch();
fclose(myfile);
exit(1);
}
printf("y(%lg)=%lg, err=%lg, h=%lg\n",
x_cur, y_cur, err, h);
if (y_cur < f_min) f_min = y_cur;
if (y_cur > f_max) f_max = y_cur;
fprintf(myfile, "y(%lg)=%lg, h=%lg\n",
x_cur, y_cur, h);
if (x_cur + h > b) h = fabs(b - x_cur);
x_cur += h;
y_cur = big_step_res;
if (x_cur >= b) flag++;
}
fclose(myfile);
printf("\nТаблица
значений
записана
в
файл
rk4.txt.\n");
printf("\nНажмите
любую клавишу для построения графика...");
flag = 0;
getch();
// Построение
графика
cleardevice(); clrscr();
if (fabs(a) > fabs(b)) zoom = fabs(getmaxx() / 2
/ a);
else zoom = fabs(getmaxx() / 2 / b);
// Рисуем
границы
for (i = 0 ; i < getmaxy() ; i += 5)
{
if (c == 8) c = 0;
else c = 8;
setcolor(c);
line(a * zoom + getmaxx() / 2, i, a * zoom +
getmaxx() / 2, i + 5);
line(b * zoom + getmaxx() / 2 - 1, i, b * zoom +
getmaxx() / 2 - 1, i + 5);
}
if (fabs(f_min) > fabs(f_max)) norma =
fabs(f_min) * zoom;
else norma = fabs(f_max) * zoom;
//
Определение коэффициента коррекции
k = (getmaxy()
/ 2) / norma;
//
Предотвращение чрезмерного масштабирования
if (k
< 0.0001) k = 0.0001;
if (k > 10000) k = 10000;
for (i = 0 ; i < getmaxx() ; i += 5)
{
if (c == 8) c = 0;
else c = 8;
setcolor(c);
line(i, -y0 * zoom * k + getmaxy() / 2, i + 5, -y0
* zoom * k + getmaxy() / 2);
line(i, -f_min * zoom * k + getmaxy() / 2, i + 5,
-f_min * zoom * k + getmaxy() / 2);
line(i, -f_max * zoom * k + getmaxy() / 2, i + 5,
-f_max * zoom * k + getmaxy() / 2);
}
metka = ceil((-y0 * zoom * k + getmaxy() / 2) / 16);
if (metka <= 0) metka = 1;
if (metka == 15) metka = 16;
if (metka > 25) metka = 25;
gotoxy(1, metka);
printf("Y=%.2g", y0, metka);
metka = ceil((-f_max * zoom * k + getmaxy() / 2) /
16);
if (metka <= 0) metka = 1;
if (metka == 15) metka = 16;
if (metka > 25) metka = 25;
gotoxy(1, metka);
printf("Y=%.2lg", f_max, metka);
metka = ceil((-f_min * zoom * k + getmaxy() / 2) /
16);
if (metka <= 0) metka = 1;
if (metka == 15) metka = 16;
if (metka > 25) metka = 25;
gotoxy(1, metka);
printf("Y=%.2lg", f_min, metka);
//
Пишем границы, делаем отметки на осях координат
metka1 = ceil((a * zoom + getmaxx() / 2) / 8);
if (metka1 < 1) metka1 = 1;
if (metka1 > 75) metka1 = 75;
if (metka == 17) metka = 18;
gotoxy(metka1, 15);
if (a != 0) printf("%.2lg", a);
metka2 = ceil((b * zoom + getmaxx() / 2 - 1) / 8);
if (metka2 - metka1 < 7) metka2 = metka1 + 7;
if (metka2 < 1) metka2 = 1;
if (metka2 > 75) metka2 = 75;
gotoxy(metka2, 15);
printf("%.2lg", b);
gotoxy(80, 17);
printf("X");
gotoxy(42,1);
printf("Y");
gotoxy(39, 15);
printf("0");
// Рисуем
систему
координат
setcolor(15);
line(0, getmaxy() / 2, getmaxx(), getmaxy() / 2);
line(getmaxx() / 2, 0, getmaxx() / 2, getmaxy());
line(getmaxx() / 2, 0, getmaxx() / 2 - 5, 10);
line(getmaxx() / 2, 0, getmaxx() / 2 + 5, 10);
line(getmaxx(), getmaxy() / 2, getmaxx() - 10,
getmaxy() / 2 + 5);
line(getmaxx(), getmaxy() / 2, getmaxx() - 10,
getmaxy() / 2 - 5);
setcolor(10);
h = fabs(b - a) / 10;
if (h > 0.1) h = 0.1;
y_cur = y0;
x_cur = a;
f_max = y_cur;
f_min = y_cur;
x0 = zoom * a + getmaxx() / 2;
y0 = (zoom * (-y_cur)) * k + getmaxy() / 2;
while (x_cur <= b)
{
if (flag > 1) break;
big_step_res = do_step(h, x_cur, y_cur);
temp = do_step(h / 2, x_cur, y_cur);
small_step_res = do_step(h / 2, x_cur + h / 2,
temp);
if (err > EPSILON)
{
h = h / 2;
continue;
}
big2_step_res = do_step(h, x_cur + h,
big_step_res);
super_step_res = do_step(2 * h, x_cur, y_cur);
if (fabs(big2_step_res - super_step_res) <
EPSILON / 2)
{
h *= 2;
continue;
}
if (h > MAXSTEP) h = MAXSTEP;
line (x0, y0, zoom * x_cur + getmaxx() / 2, zoom *
(-y_cur) * k + getmaxy() / 2);
x0 = zoom * (x_cur) + getmaxx() / 2;
y0 = (zoom * (-y_cur)) * k + getmaxy() / 2;
if (x_cur + h > b) h = fabs(b - x_cur);
x_cur += h;
y_cur = big_step_res;
if (x_cur >= b) flag++;
}
while (getch() != 0);
}
//
----------------------------------------------------------------------- //
void title(void)
{
//
Печать заголовка программы
cleardevice();
clrscr();
printf("
Решение дифференциальных уравнений методом Рунге-Кутты 4-го порядка\n");
printf("
с автоматическим выбором длины шага\n");
printf("
Разработал Щербаков Илья, гр. 520212, версия %g\n", VERSION);
printf("____________________________________________________\n");
}
//
----------------------------------------------------------------------- //
double do_step(double h, double x_cur, double y_cur)
{
double k1, k2, k3, k4, delta_y_cur;
k1 = f(x_cur, y_cur);
k2 = f(x_cur + (h / 2), y_cur + (h / 2) * k1);
k3 = f(x_cur + (h / 2), y_cur + (h / 2) * k2);
k4 = f(x_cur + h, y_cur + h * k3);
delta_y_cur = (h / 6) * (k1 + 2 * k2 + 2 * k3 + k4);
return(y_cur + delta_y_cur);
}
//
----------------------------------------------------------------------- //
[1] Дж. Холл, Дж. Уатт
«Современные численные методы решения обыкновенных дифференциальных уравнений»,
М., Мир, 1979, стр. 77.
[2]
«Между тем еще нет доказательства, что эти приближенные методы сходятся, или,
что практически важнее, нет критерия, определяющего, сколь малым надо сделать
шаги, чтобы достичь предписанной точности» – так писал Рунге в 1905 году.
[3]
Хайрер Э., Нёрсетт С., Ваннер Г. «Решение обыкновенных дифференциальных
уравнений. Нежесткие задачи», М., Мир, 1990, стр. 169.
[4]
Амоносов А.А., Дубинский Ю.А., Копченова Н.В. «Вычислительные методы для инженеров»,
М., Высшая школа, 1994, стр. 445.
[5]
Тестирование проводилось на компьютере на базе процессора Intel Pentium 4B.
На компьютерах, оснащенных другими процессорами, время выполнения первого и
второго этапов может быть другим.