Высшая математика
Задание №1
Найти пределы:
Решение:
1.1.Вычислим предел подставив в него 2:
.2.
Вычислим предел подставив в него 1:
-
неопределенность.
Для
устранения неопределенности разложим числитель и знаменатель дроби на множители
по формулам:
ах2
+ bx + с = 0
ах2
+ bx + с = а(х-х1)(х-х2)
Тогда
получим:
Получаем:
.3.Вычислим
предел подставив в него
:
-
неопределенность.
Для
устранения неопределенности воспользуемся свойством:
Значение
дроби не изменится если ее числитель и знаменатель разделить на одно и тоже
ненулевое число.
.4.
Вычислим предел подставив в него 0:
-
неопределенность.
Для
устранения неопределенности применим формулы 1-го замечательного предела:
Задание 2
Найти производные функций:
Решение:
Задание 3
Вычислить приближенное значение 8.051/3.
Решение.
Рассмотрим
функцию
. Мы должны приближенно найти ее значение при
;
.
Сначала
находим вблизи от данной точки
такую
точку, в которой удобно вычислить точное значение функции. В нашем случае эта
точка
- в ней легко найти значение функции, взяв
:
.
Разность
значений функции в данной и найденной нами точках
- приращение функции у, вызванное приращениями
аргумента
.
Точное
равенство
нам придется заменить приближенным
, где
-
дифференциал функции у, отвечающий приращениям аргумента
. Он находится по формуле
.
Найдем
значение
и подставим его в равенство
вместе с найденным ранее.
Вычислим
частные производные
.
;
Найдем
значения частных производных в точке
:
.
Подставив
найденные значения частных производных и приращений аргументов в равенство
, находим значение дифференциала рассматриваемой
функции в точке
:
.
Осталось
подставить найденные значения
и
в равенство
:
.
.
Задание
№4:
Найти
полный дифференциал функции z=3sin(2x+3y)
Решение:
Задание №5
5.1
Провести полное исследование функции
и
построить её график.
.2
Провести полное исследование функции у=х3-3х+4 и построить её график.
Составить
уравнение касательной и нормали, проведенной к графику функции в точке х0=1.
Решение:
5.1
Провести полное исследование функции
и
построить её график.
Исследуйте
функцию
и постройте ее график.
.Область
определения.
Все
предусмотренной формулой функции операции, кроме деления, - т.е. операции сложения
и возведения в натуральную степень - выполняются при любых значениях аргумента
х, а деление возможно, если делитель не равен нулю. Поэтому данная функция
определена, если знаменатель задающей ее дроби не равен нулю: если
. Таким образом,
.
С
осью ОХ т.е. у=0:
- точки
пересечения с осою ОХ.
С
осью ОУ т.е. х=0 такого быть не может, так как
)
Исследуем на четность нечетность. Проверим выполнимость равенств: если f(-x) = f(x),
то функция четная, если f(-x) = -f(x), то функция нечетная, при х
D(y).
Если равенства не выполняются, то функция ни четная ни нечетная.
Функция
ни четная ни нечетная
)Исследуем
на наличие асимптот.
Вертикальные асимптоты.
Поскольку
вертикальные асимптоты следует искать лишь в точках разрыва данной функции,
единственным «кандидатом» в нашей задаче является прямая
.
Наклонные
и горизонтальные асимптоты.
Уравнение
наклонной асимптоты графика функции
имеет
вид
,
;
.
В
частности, получается, что если
, а
при этом существует, по этим формулам находится
горизонтальная асимптота
.
Выясним
наличие наклонных асимптот.
;
-
уравнение наклонной асимптоты.
.Найдем
экстремумы и интервалы монотонности. Действуем по следующей схеме.
Вычислим
первую производную данной функции:
Таким
образом, у нашей функции одна критическая точка:
.
Исследуем
знак производной слева и справа от критической точки и от точки разрыва х=0.
Найдем
знак производной на каждом из интервалов. Для этого на интервале мы можем
выбрать удобную для вычислений точку и найти в ней знак производной; тот же
знак будет у нее на всем этом интервале.
Значит
на промежутке (0; 2] функция убывает, а на промежутке (
; 0) и (2;
) функция
возрастает. Занесем полученные данные в таблицу:
|
х
|
(- ; 0)0(0; 2]2(2; )
|
|
|
|
|
|
у′
|
+
|
-0+
|
|
|
|
у 

т.
|
min
|
|
|
|
|
Найдем
координаты точки минимума:
(2;
2,5) - точка минимума.
6.Найдем интервалы выпуклости функции и точки перегиба.
Для этого поступаем так.
Вычислим вторую производную данной функции:
Точек
перегиба нет.
Исследуем поведение функции справа и слева от точки х=0
.2 Провести полное исследование функции у=х3-3х+4 и построить её график.
Составить уравнение касательной и нормали, проведенной к графику функции
в точке х0=1.
)Область
определения:
Функция
определена и непрерывна на всей числовой прямой т.к. f(x) -
многочлен.
)Точки
пересечения с осями координат:
С
осью ОХ т.е. у=0:
- нашли
способом подбора
х+1
0
и
- точки пересечения с осою ОХ.
С
осью ОУ т.е. х=0:
- точка
пересечения с осою ОУ.
)
Исследуем на четность нечетность. Проверим выполнимость равенств: если f(-x) = f(x),
то функция четная, если f(-x) = -f(x), то функция нечетная, при х
D(y).
Если равенства не выполняются, то функция ни четная ни нечетная.
Функция
ни четная ни нечетная
)Исследуем
на наличие асимптот.
Вертикальных
асимптот нет т.к. нет точек разрыва.
Наклонные
асимптоты:
y = kx + b -
уравнение наклонной асимптоты.
тогда
Значит
и наклонных асимптот тоже нет.
)Исследуем
функцию на наличие точек экстремума (точек максимума и минимума), промежутки
возрастания и убывания функции.
- точка
подозрительная на экстремум.
(2;
0) - точка подозрительная на экстремум.
Значит
на промежутке [0; 2] функция убывает, а на промежутке (
; 0) и (2;
) функция
возрастает.
Занесем
полученные данные в таблицу:
|
х
|
(- ; 0)0[0; 2]2(2; )
|
|
|
|
|
|
у′
|
+
|
0
|
-
|
0
|
+
|
у
т.
max
т.
|
min
|
|
|
|
|
- точка
максимума.
(2;
0) - точка минимума.
)Исследуем
функцию на наличие точек перегиба, промежутки выпуклости и вогнутости функции.
Точка
подозрительная на перегиб.
|
х
|
1
|
|
|
|
у′′
|
-
|
0
|
+
|
у
т.
|
перегиба
|
|
|
-
координата точки перегиба.
Уравнение
касательной к линии:
-
уравнение касательной
Уравнение
нормали к линии:
-
уравнение нормали.
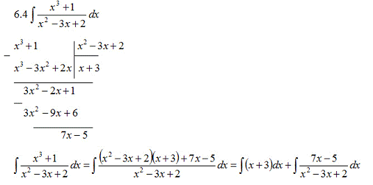
Задание №6
Вычислите
следующие интегралы:

Воспользуемся
формулой интегрирования по частям
Вычислим получившиеся интегралы по отдельности
1.
.
Разложим знаменатель на множители
Проверка:
Задание
№7
Решение:
-
графиком функции является парабола, ветви которой направлены вверх.
Найдем
координаты вершины параболы
(-1; -1) - координаты вершины параболы.
-
графиком функции является прямая.
Найдем
точки пересечения прямой и параболы:
(1;
3) и (-2; 0) - координаты точек пересечения графиков функций.
Сделаем
чертеж:
На
промежутке [-2; 1]
Вычислим
площадь фигуры с пределами интегрирования а=1 и b=-2.
Ответ:
Задание 8
Найти общее решение линейного однородного уравнения второго порядка с
постоянными коэффициентами
а)
; б)
; в)
.
Решение:
а)
Общее
решение однородного уравнения:
Составим
характеристическое уравнение
Общее
решение однородного уравнения
Составим
характеристическое уравнение
Общее
решение однородного уравнения
Задание
9
Исследовать
ряды на сходимость
Решение:
Список
использованной литературы
предел дифференциал
линейный уравнение
1.Выгодский М. Я. Справочник по высшей математике. - М.: АСТ:
Астрель, 2006. - 991с.
.Зимина О. В., Кириллов А. И., Сальникова Т. А. Высшая математика.
Под ред. А. И. Кирилова. - 3-е изд., испр. - М.: ФИЗМАТЛИТ, 2006. - 368с.
.Выгодский М. Я. Справочник по элементарной математике. - М.:
АСТ: Астрель, 2007. - 509с.
.Красс М. С., Чупрыков Б. П. Математика для экономистов. -
СПб.: Питер 2007. - 464с.