Расчет числа теоретических тарелок простых и сложных ректификационных колонн
Задание на
проектирование
Выполнить расчёт числа теоретических тарелок
полной ректификационной колонны непрерывного действия для разделения смеси
2-метилгексан-2-метилгептан при атмосферном давлении.
Расчёт числа теоретических тарелок выполнить
графическим методом Мак-Кэба-Тиле. При расчёте рассмотреть варианты работы
ректификационной колонны для случаев подачи сырья одним потоком со степенью
отгона е=0; 0,5; 1, а также при подачи сырья двумя потоками со степенью отгона
е=0; 0,5; 1.
На основании анализа материалов, полученных при
расчёте числа теоретических тарелок ректификационной колонны, выполненных для
различных вариантов подачи сырья, провести выбор наиболее перспективного
способа организации процесса ректификации для которого выполнить материальные и
тепловые расчёты, принимая, что питание, дистиллят и кубовый остаток,
соответственно, приходят и уходят с ректификационной установки с температурой
20°С.
Исходные данные:
1. Сырьё на ректификацию поступает двумя
потоками:
a) 500 кг/ч; содержание 2-метилгексана - 30,0%
(мас.);
b) 500 кг/ч; содержание 2-метилгексана -
70,0% (мас.);
2. Сырьё поступает одним потоком:
a) 1000 кг/ч; содержание 2-метилгексана -
50,0% (мас.);
3. Содержание 2-метилгексана в дистилляте -
95,0%(мас.);
4. Содержание 2-метилгексана в кубовом
остатке - 5,0%(мас.);
. Молекулярная масса:
a) 2-метилгексана -100,205;
b) 2-метилгептана - 114,232;
6. Коэффициенты уравнения Антуана для давления
паров:) 2-метилгексана - ANTA=15,8261;
ANTB=2845,06; ANTC=-53,60;
b) 2-метилгептана - ANTA=15,9278;
ANTB=3079,63; ANTC=-59,46;
7. Теплота парообразования при нормальной
температуре кипения:) 2-метилгексана -7330 ккал/кг*моль;
b) 2-метилгептана - 8080 ккал/кг*моль;
8. Нормальная температура кипения:) 2-метилгексана
-363,2 ºК;
b) 2-метилгептана - 390,8 ºК;
9. Константы в уравнении идеально-газовой
теплоёмкости:
a) 2-метилгексана - CPVAPA
= -9,408; CPVAPB =2,064 Е-1;
CPVAPC = -1,502
Е-4; CPVAPD =4,386 Е-8;
b) 2-метилгептана - CPVAPA
= -21,435; CPVAPB =2,967 Е-1 ;
CPVAPC =-2,808
Е-4; CPVAPD =1,103 Е-8;
. Мольная теплоёмкость:) 2-метилгексана
-217,33 кДж/кмоль·ºК;
b) 2-метилгептана - 241,54 кДж/кмоль·ºК.
Реферат
В курсовом проекте приведены результаты расчета
числа теоретических тарелок простых и сложных ректификационных колонн,
предназначенной для разделения смеси 2-метилгексан - 2-метилгептан.
Курсовой проект содержит расчетно-пояснительную
записку из 28 страниц текста, 1 таблицы, 12 рисунков, 1 литературного
источника.
1. Расчёт числа
теоретических тарелок
Проводим расчёт числа теоретических тарелок полной
ректификационной колонны непрерывного действия для разделения смеси
2-метилгексан - 2-метилгептан.
.1 Подготовка исходных
данных
Расчёт числа теоретических тарелок
ректификационной колонны по методу Мак-Кэба-Тиле проводится с использованием
расходов питания GF1, дистиллята GD, и кубового остатка GW, выраженных в
кмоль/ч или в виде относительных ( на 1 кмоль дистиллята ) мольных расходов
питания F и кубового остатка W. При расчёте используют концентрации компонентов
исходной смеси (xF), дистиллята (xD) и кубового остатка (xW) выраженные в
мольных процентах (%, мол) или мольных долях (м.д.).
Поскольку исходные данные в задании на
проектирование имеют размерность кг/ч и % (мас.), проводим их перевод в мольные
единицы в соответствии со справочными данными и расчётными формулами,
приведёнными в методическом пособии.
Определяем расход питания по формуле
кмоль/ч
кмоль/ч
кмоль/ч
где 100,205 - молекулярный вес
2-метилгексана и 114,232- молекулярный вес
-метилгептана.
Определяем содержание 2-метилгексана
в питании по формуле
м.д.
м.д.
м.д.
Определяем содержание 2-метилгексана
в дистилляте по формуле
м.д.
Определяем содержание 2-метилгексана
в кубовом остатке по формуле
м.д.
Определяем расход дистиллята по
формуле
кмоль/ч
Определяем расход кубового остатка
по формуле
кмоль/ч
.2
Построение диаграмм х-у и t-х(у) для бинарной системы 2,2-диметилбутан - бензол
При нахождении числа теоретическихтарелок
ректификационной колонны по графическому методу Мак-Кэба-Тиле обязательным
элементом, используемым в расчётах, является диаграмма х-у, характеризующая
паро-жидкостное равновесие для разделяемой жидкой смеси; а диаграмма t-х(у)
применяется при выполнении тепловых расчётов.
Поскольку разделяемая смесь является
смесью двух углеводородов, которые принадлежат одному гомологическому ряду, то
построение диаграмм х-у и t-х(у) может быть выполнено путём использования
законов Рауля и Дальтона, а также уравнения Антуана, параметры которого для
2-метилгексана и 2-метилгептана приводятся в методическом пособии.
Расчёт исходных данных для
построения диаграммы х-у выполняем использованием программы pheq 100.exe кафедры ТП
и ТРТ; исходные данные и результаты расчёта паро-жидкостного равновесия в
системе 2-метилгексан-2-метилгептан приведены на рис. 1.1, диаграммы х-у и
t-х(у) показаны на рис. 1.2, 1.3.
1.3 Расчёт числа
теоретических тарелок для случая подачи сырья одним потоком в виде жидкости,
нагретой до температуры кипения( ВАРИАНТ - № 1 )
Содержание 2-метилгексана в питании: xF=0,5327
м.д.
Содержание 2-метилгексана в дистилляте: xD=0,9558
м.д.
Содержание 2-метилгексана в кубовом остатке: xW=0,0566
м.д.
На диаграмме х-у наносим линию фазового состояния
сырья, учитывая, что питание подаётся в ректификационную колонну в виде
жидкости, нагретой до кипения, то есть со степенью отгона е=0.
Расчёт числа теоретических тарелок
ректификационной колонны по методу Мак-Кэба-Тиле предлогает, помимо приведённых
в задании на проектирование данных о расходах и составе сырья, дистиллята и
кубового остатка, иметь данные о флегмовом числе или коэффициенте избытка
флегмы. Так как в задании отсутствуют указанные данные и нет рекомендаций по
выбору оптимального флегмового числа, то расчёт значения оптимального
флегмового числа проводим по формуле
где уF* - содержание 2-метилгексана
в паровой фазе, равновесной с питанием -жидкостью, нагретой до температуры
кипения (е=0), а числовое значение уF* определяем с помощью графического
построения на диаграмме х-у линии фазового состояния сырья, то есть прямой,
параллельной оси ординат и проходящей через точку с координатами х=xF=0,5327
м.д. (см. рис. 1.4). Далее, исходя из найденного значения Rmin и используя
следующую эмпирическую формулу, находим оптимальное значение флегмового числа:
Вычисленные значения флегмовых чисел
(Ropt и Rmin) показывают относительный (на 1 кмоль дистиллята) мольный расход
флегмы.
Определяем рабочую линию верхней
(укрепляющей) части ректификационной колонны по формуле
Определяем рабочую линию нижней
(исчерпывающей) части ректификационной колонны по формуле
Найденные уравнения рабочих линий
используем для нанесения на диаграмму х-у и последующих графических построений.
Для нанесения на диаграмму х-у
рабочей линии верхней части колонны проводим прямую через точки с координатами
х=0, у=0,3135; и х=0,9558, у=0,9558; а для рабочей линии нижней части колонны
прямая проходит через точки х=0,0566, у=0,0566; х=1,000, у=1,2749. В случае
правильно выполненных расчётов и графических построений пересечение двух
рабочих линий и линии фазового состояния сырья происходит в одной точке.
После построения рабочих линий на
диаграмме х-у в соответствии с методом Мак-Кэба-Тиле определяем число
теоретических тарелок и положение питающей тарелки. Для определения числа
теоретических тарелок проводим построение ломаной линии между рабочими линиями
и линией равновесия, как это показано на рис. 1.4.
В результате проведённых графических
построений найдено, что для рассматриваемого варианта подачи сырья на
ректификацию общее число теоретических тарелок в колонне 11,8, считая куб
колонны нулевой тарелкой, а питание в колонну необходимо подавать на 6 тарелку.
.4 Расчёт
числа теоретических тарелок для случая подачи сырья двумя потоками, в виде
жидкости, нагретой до температуры кипения ( ВАРИАНТ - № 2 )
Содержание 2-метилгексана в питании:
м.д.
м.д.
Содержание 2-метилгексана в
дистилляте:
м.д.
Содержание 2-метилгексана в кубовом
остатке:
м.д.
Расход питания:
кмоль/ч
кмоль/ч
кмоль/ч
На диаграмму х-у наносим линии
фазового состояния сырья, учитывая, что питание подаётся на ректификационную
колонну в виде жидкости, нагретой до температуры кипения, то есть для каждого
из двух потоков питания F1 F2 степень отгона е=0.
Для расчёта параметров в уравнениях
рабочих линий используем ранее найденное (см. ВАРИАНТ № 1) значение
оптимального флегмового числа
. Расчёт параметров рабочих линий
проводим с использованием относительного (на 1 кмоль дистиллята) мольного
расхода кубового остатка
и питания:
Определяем рабочую линию верхней
(укрепляющей) части ректификационной колонны по формуле
Определяем рабочую линию нижней
(исчерпывающей) части ректификационной колонны по формуле
Найденные уравнения рабочих линий
используем для нанесения на диаграмму х-у и последующих графических построений.
Для нанесения на диаграмму х-у
рабочей линии верхней части колонны проводим прямую через точки с координатами
х=0, у=0,3135; и х=0,9558, у=0,9558; а для рабочей линии нижней части колонны
х=0,0566, у=0,0566; х=1,000, у=1,2745.
В случае правильно выполненных
расчётов и графических построений пересечение верхней и нижней рабочих линий
произойдёт при хF=0,533, что соответствует усреднённому составу питания - хF.
Для построения промежуточной рабочей
линии соединяем прямой две точки:
первая имеет координаты
и
, что
соответствует месту пересечения линии фазового состояния питания F1 и рабочей
линии нижней части ректификационной колонны;
вторая имеет координаты
и
, что
соответствует месту пересечения линии фазового состояния питания F2 и рабочей
линии верхней части ректификационной колонны.
После построения рабочих линий на
диаграмме х-у в соответствии с методом Мак-Кэба-Тиле определяем число
теоретических тарелок и положение питающей тарелки. Для определения числа
теоретических тарелок проводим построение ломаной линии между рабочими линиями
и линией равновесия, как это показано на рис. 1.5.
В результате проведённых графических
построений найдено, что для рассматриваемого варианта подачи сырья необходима
ректификационная колонна, соответствующая по эффективности 10 теоретическим
тарелкам, считая куб колонны нулевой тарелкой, а питание в колонну необходимо
подавать на 3 и 7 тарелки.
1.5 Расчёт
числа теоретических тарелок для случая подачи сырья одним потоком в частично
испарённом виде со степенью отгона е=0,5 ( ВАРИАНТ - № 3 )
Содержание 2-метилгексана в питании: xF=0,5327
м.д.
Содержание 2-метилгексана в
дистилляте: xD=0,9558 м.д.
Содержание 2-метилгексана в кубовом
остатке: xW=0,0566 м.д.
На диаграмме х-у ( см. рис. 1.6 )
наносим линию фазового состояния сырья, учитывая, что питание подаётся в
ректификационную колонну в виде частично испарённой жидкости со степенью отгона
е=0,5.
Уравнение линии фазового состояния
сырья определяется
Для построения линии фазового
состояния сырья соединяем прямой точку, лежащую на диагонали диаграммы и
имеющую координаты х=у=хF=0,5327; и точку, лежащую на оси ординат: х=0 и
у=1,0654.
В результате проведённых на
диаграмме х-у графических построений находим точку пересечения линии фазового
состояния сырья и кривой равновесия. Эта точкка имеет следующие координаты:
хF*=0,425; у=уF*=0,625, где хF* и уF* - содержание 2-метилгексана
соответственно в жидкой и паровой фазе питания.
Найденные значения хF* и уF* далее
используем для расчёта минимального и оптимального флегмовых чисел:
Значение оптимального флегмового
числа далее используем для расчёта рабочих линий верхней и нижней частей
ректификационной колонны.
Определяем рабочую линию верхней
(укрепляющей) части ректификационной колонны по формуле
Определяем рабочую линию нижней
(исчерпывающей) части ректификационной колонны по формуле
Найденные уравнения рабочих линий
используем для нанесения на диаграмму х-у и последующих графических построений.
Для нанесения на диаграмму х-у
рабочей линии верхней части колонны проводим прямую через точки с координатами
х=0, у=0,266; и х=1,000, у=0,987; а для рабочей линии нижней части колонны
прямая проходит через точки х=0 и у=-0,014; х=1,000, у=1,322. В случае
правильно выполненных расчётов и графических построений пересечение двух
рабочих линий и линии фазового состояния сырья происходит в одной точке.
Дополнительным графическим построением,
связанным с подачей сырья в частично испарённом виде, является сопряжение
рабочих линий. Сопряжением рабочих линий является промежуточная рабочая линия
(или так называемая рабочая линия секции питания), соединяющая точку
пересечения:
нижней рабочей линии с отрезком,
проведённым между точками хF*=0,425; уF*=0,625 и хF*=0,425, у= 0;
верхней рабочей линии с отрезком,
проведённым между точками хF*=0,425; уF*=0,625 и х=1, уF*= 0,625.
После построения рабочих линий на
диаграмме х-у в соответствии с методом Мак-Кэба-Тиле определяем число
теоретических тарелок и положение питающей тарелки. Для определения числа
теоретических тарелок проводим построение ломаной линии между рабочими линиями
и линией равновесия, как это показано на рис. 1.6.
В результате проведённых графических
построений найдено, что для рассматриваемого варианта подачи сырья
ректификационная колонна должна иметь эффективность, равную 11,57 теоретическим
тарелкам, считая куб колонны нулевой тарелкой, а питание в колонну необходимо
подавать на 6 тарелку.
1.6 Расчёт
числа теоретических тарелок для случая подачи сырья двумя потоками: в виде
жидкости, нагретой до температуры кипения и пара ( ВАРИАНТ - № 4 )
Содержание 2-метилгексана в питании:
м.д.
м.д.
Содержание 2-метилгексана в
дистилляте:
м.д.
Содержание 2-метилгексана в кубовом
остатке:
м.д.
Расход питания:
кмоль/ч
кмоль/ч
кмоль/ч
На диаграмму х-у (см. рис. 1.7)
наносим линии фазового состояния сырья, учитывая, что питание F1 подаётся на
ректификационную колонну в виде жидкости, нагретой до температуры кипения, а
питание F2 - в виде пара; то есть, для потоков питания F1 и F2 имеем,
соответственно, степень отгона е=0 и е=1.
Для расчёта параметров в уравнениях
рабочих линий используем ранее найденное (см. ВАРИАНТ № 3) значение
оптимального флегмового числа
. Расчёт параметров рабочих линий
проводим с использованием относительного (на 1 кмоль дистиллята) мольного
расхода кубового остатка
и питания:
Определяем рабочую линию верхней
(укрепляющей) части ректификационной колонны по формуле

Найденные уравнения рабочих линий
используем для нанесения на диаграмму х-у и последующих графических построений.
Для нанесения на диаграмму х-у
рабочей линии верхней части колонны проводим прямую через точки с координатами
х=0, у=0,266; и х=1, у=0,987; а для рабочей линии нижней части колонны х=0,
у=-0,019; х=1,000, у=1,32.
В случае правильно выполненных
расчётов и графических построений пересечение верхней и нижней рабочих линий
произойдёт при х=0,425, что соответствует значению хF* для усреднённого состава
питания.
Построение промежуточной рабочей
линии проводим в следующем порядке - соединяем прямой две точки:
первая имеет координаты
и
, что соответствует
месту пересечения линии фазового состояния питания F1 и рабочей линии нижней
части ректификационной колонны;
вторая имеет координаты
и
, что
соответствует месту пересечения линии фазового состояния питания F2 и рабочей
линии верхней части ректификационной колонны.
После построения рабочих линий на
диаграмме х-у в соответствии с методом Мак-Кэба-Тиле определяем число
теоретических тарелок и положение питающей тарелки. Для определения числа
теоретических тарелок проводим построение ломаной линии между рабочими линиями
и линией равновесия, как это показано на рис. 1.7.
В результате проведённых графических
построений найдено, что для рассматриваемого варианта подачи сырья на ректификацию
общее число теоретических тарелок в колонне 11,4, считая куб колонны нулевой
тарелкой, а питание в колонну подаётся на 4 и 7 тарелки.
1.7 Расчёт
числа теоретических тарелок для случая подачи сырья двумя потоками: в виде
жидкости, нагретой до температуры кипения и пара( ВАРИАНТ - № 5 )
Содержание 2-метилгексана в питании:
м.д.
м.д.
Содержание 2-метилгексана в
дистилляте:
м.д.
Содержание 2-метилгексана в кубовом
остатке:
м.д.
Расход питания:
кмоль/ч
кмоль/ч
кмоль/ч
На диаграмму х-у наносим линии
фазового состояния сырья, учитывая, что питание F1 подаётся на ректификационную
колонну в виде насыщенного пара, а питание F2 - в виде жидкости, нагретой до
температуры кипения, то есть для потоков питания F1 и F2 имеем, соответственно,
степень отгона е=1 и е=0.
Для расчёта параметров в уравнениях
рабочих линий используем ранее найденное (см. ВАРИАНТ № 3) значение
оптимального флегмового числа
. Расчёт параметров рабочих линий
проводим с использованием относительного (на 1 кмоль дистиллята) мольного
расхода кубового остатка
и питания:
Определяем рабочую линию верхней
(укрепляющей) части ректификационной колонны по формуле
Определяем рабочую линию нижней
(исчерпывающей) части ректификационной колонны по формуле
Найденные уравнения рабочих линий
используем для нанесения на диаграмму х-у и последующих графических построений
(см. рис. 1.8).
Для нанесения на диаграмму х-у
рабочей линии верхней части колонны проводим прямую через точки с координатами
х=0, у=0,266; и х=1, у=0,987; а для рабочей линии нижней части колонны х=0 и
у=-0,018; х=1,000 и у=1,314.
В случае правильно выполненных
расчётов и графических построений пересечение верхней и нижней рабочих линий
произойдёт при х=0,452, что соответствует значению хF* для усреднённого состава
питания.
Построение промежуточной рабочей
линии проводим в следующем порядке - соединяем прямой две точки:
первая имеет координаты
и
, что
соответствует месту пересечения линии фазового состояния питания F1 и рабочей
линии нижней части ректификационной колонны;
вторая имеет координаты
и
, что
соответствует месту пересечения линии фазового состояния питания F2 и рабочей
линии верхней части ректификационной колонны.
После построения рабочих линий на
диаграмме х-у в соответствии с методом Мак-Кэба-Тиле определяем число
теоретических тарелок и положение питающей тарелки. Для определения числа
теоретических тарелок проводим построение ломаной линии между рабочими линиями
и линией равновесия, как это показано на рис. 1.8.
В результате проведённых графических
построений найдено, что для рассматриваемого варианта подачи сырья
эффективность ректификационной колонны, должна соответстветствовать 10,4
теоретическим тарелкам, считая куб колонны нулевой тарелкой, а питание в
колонну необходимо подавать на 3 и 7 тарелки.
1.8 Расчёт
числа теоретических тарелок для случая подачи сырья одним потоком в виде пара (
ВАРИАНТ - № 6 )
Содержание 2-метилгексана в питании: xF=0,5327
м.д.
Содержание 2-метилгексана в
дистилляте: xD=0,9558 м.д.
Содержание 2-метилгексана в кубовом
остатке: xW=0,0566 м.д.
На диаграмме х-у (см. рис. 1.9)
наносим линию фазового состояния сырья, учитывая, что питание подаётся в
ректификационную колонну в виде насыщеного пара, то есть со степенью отгона
е=1.
Для этого случая уравнением линии
фазового состояния сырья будет уF*=у=0,5327, то есть прямая, параллельная оси
абсцисс.
Для построения линии фазового
состояния сырья соединяем прямой точку, лежащую на диагонали диаграммы и
имеющую координаты х=у=хF=0,5327; и точку, лежащую на оси ординат: х=0 и
у=0,5327.
В результате проведённых графических
построений находим точку пересечения линии фазового состояния сырья и кривой
равновесия. Эта точка имеет следующие координаты: хF*=0,345; у=уF*=0,5327, где
хF* и уF* - содержание 2-метилгексана соответственно в жидкой и паровой фазе
питания.
Найденные значения хF* и уF* далее
используем для расчёта минимального и оптимального флегмовых чисел:
Найденное значение оптимального
флегмового числа далее используем для расчёта рабочих линий верхней и нижней
секций ректификационной колонны.
Определяем рабочую линию верхней
(укрепляющей) части ректификационной колонны по формуле
Определяем рабочую линию нижней (исчерпывающей)
части ректификационной колонны по формуле
Найденные уравнения рабочих линий
используем для нанесения на диаграмму х-у и последующих графических построений.
Для нанесения на диаграмму х-у
рабочей линии верхней части колонны проводим прямую через точки с координатами
х=0, у=0,217; и х=1,000, у=0,989; а для рабочей линии нижней части колонны
прямая проходит через точки х=0 и у=-0,02; х=1,000, у=1,334. В случае правильно
выполненных расчётов и графических построений пересечение двух рабочих линий
происходит в одной точке, лежащей на линии фазового состояния усреднённого
сырья.
После построения рабочих линий на
диаграмме х-у в соответствии с методом Мак-Кэба-Тиле определяем число
теоретических тарелок и положение питающей тарелки. Для определения числа
теоретических тарелок проводим построение ломаной линии между рабочими линиями
и линией равновесия, как это показано на рис. 1.9.
В результате проведённых графических
построений найдено, что для рассматриваемого варианта подачи сырья на ректификацию
необходима колонна эффективностью в 11 теоретических тарелок, считая куб
колонны нулевой тарелкой, а питание в колонну необходимо подавать на 5 тарелку.
метилгексан ректификация смесь метилгептан
1.9. Расчёт числа
теоретических тарелок для случая подачи сырья двумя потоками в виде пара (
ВАРИАНТ - № 7 )
Содержание 2-метилгексана в питании:
м.д.
м.д.
Содержание 2-метилгексана в
усреднённом питании:
м.д.
Содержание 2-метилгексана в
дистилляте:
м.д.
Содержание 2-метилгексана в кубовом
остатке:
м.д.
На диаграмме х-у (см. рис. 1.10)
наносим линию фазового состояния для сырья усреднённого состава, учитывая, что
питание подаётся в ректификационную колонну в виде насыщеного пара, то есть со
степенью отгона е=1.
Уравнение линии фазового состояния
сырья: у=хF=0,5327.
Для построения линии фазового
состояния сырья соединяем прямой точку, лежащую на диагонали диаграммы и
имеющую координаты х=у=хF=0,5327; и точку, лежащую на оси ординат: х=0 и
у=0,5327.
В результате проведённых графических
построений находим точку пересечения линии фазового состояния сырья и кривой
равновесия. Эта точка имеет следующие координаты: хF*=0,345; у=уF*=0,5327, где
хF* и уF* - содержание 2-метилгексана соответственно в жидкой и паровой фазе питания.
Найденные значения хF* и уF* далее
используем для расчёта минимального и оптимального флегмовых чисел:
Найденное значение оптимального флегмового числа
далее используем для расчёта рабочих линий верхней и нижней секций
ректификационной колонны.
Определяем рабочую линию верхней (укрепляющей)
части ректификационной колонны по формуле

Найденные уравнения рабочих линий
используем для нанесения на диаграмму х-у и последующих графических построений.
Для нанесения на диаграмму х-у
рабочей линии верхней части колонны проводим прямую через точки с координатами
х=0, у=0,217; и х=1,000, у=0,989; а для рабочей линии нижней части колонны
прямая проходит через точки х=0 и у=-0,020; х=1,000, у=1,334. В случае
правильно выполненных расчётов и графических построений пересечение двух
рабочих линий и линии фазового состояния сырья происходит в одной точке на
линии фазового состояния сырья.
Построение промежуточной рабочей
линии проводим в следующем порядке: на диаграмму х-у наносим линии фазового
состояния, соответствующие питанию F1 и F2, а затем соединяем точки пересечения
этих линий с верхней и нижней рабочими линиями. Полученный таким образом
отрезок прямой, соединяющий точку х=0,328 и у=0,330, лежащую на нижней рабочей
линии, с точкой х=0,727 и у=0,730, лежащей на верхней рабочей линии, является
промежуточной рабочей линией.
После построения рабочих линий на
диаграмме х-у в соответствии с методом Мак-Кэба-Тиле определяем число
теоретических тарелок и положение питающей тарелки. Для определения числа
теоретических тарелок проводим построение ломаной линии между рабочими линиями
и линией равновесия, как это показано на рис. 1.10.
В результате проведённых графических
построений найдено, что для рассматриваемого варианта подачи сырья необходима
ректификационная колонна эквивалентная 10 теоретическим тарелкам, считая куб
колонны нулевой тарелкой, а питание в колонну необходимо подавать на 3 и 6 тарелку.
2. Выбор
оптимального варианта оформления процесса ректификации смеси, содержащей
2,2-диметилбутан и бензол
В таблице 2.1 приведены результаты
расчётов для различных вариантов подачи сырьевых потоков в ректификационную
колонну.
|
Вариант
№
|
Рабочее
флегмовое число (R)
|
Число
теоретических тарелок (nT)
|
Критерий
оптимальности nT·(R+1)
|
|
1
|
2,048
|
11,8
|
35,96
|
|
2
|
2,048
|
10
|
30,48
|
|
3
|
2,583
|
11,57
|
41,45
|
|
4
|
2,583
|
11,4
|
40,84
|
|
5
|
2,583
|
10,4
|
37,26
|
|
6
|
3,393
|
11
|
48,323
|
|
7
|
3,393
|
10
|
43,93
|
Как видно из данных, представленных в таблице
2.1, различие в вариантах подачи питания в ректификационную колонну приводит к
изменению числа необходимых для осуществления процесса теоретических тарелок
ректификацион-ной колонны, а также рабочего флегмового числа. Анализ данных
таблицы 2.1 показывает, что с увеличением флегмового числа число теоретических
ступеней разделения уменьшается.
Однако увеличение рабочего флегмового числа
ведёт к росту расхода энергоносителей на проведение процесса ректификации. На
практике вопрос выбора оптимального способа организации процесса ректификации,
в частности, выбор оптимального флегмового числа решают путём сравнения
результатов технико-экономических расчётов для различных вариантов проведения
процесса. При этом для рассматриваемых вариантов сравнивают эксплуатационные
затраты и необходимые капитальные вложения.
Эксплуатационные затраты на ректификацию
возрастают пропорционально величине рабочего флегмового числа, поскольку в
основном определяются расходом и параметрами теплоносителей. Капитальные вложения
с увеличением рабочего флегмового числа снижаются до определённого значения
рабочего флегмового числа, после чего наблюдается некоторое увеличение. Это
объясняется тем, что с увеличением флегмового числа увеличивается и плотность
орошения колонны, а это часто приводит к снижению допустимой скорости пара в
колонне и, следовательно, к росту её диаметра. Последнее влечёт за собой
увеличение объёма колонны и, соответственно, увеличение капитальных вложений.
Таким образом, кривая, отражающая суммарные затраты на проведение ректификации,
должна иметь минимум, который и определяет оптимальное флегмовое число.
Для упрощения технико-экономических расчётов
выбор оптимального флегмового числа проводят следующим образом. Строят
графическую зависимость nT·(R+1)=f(R). Величина nT определяет высоту колонны, а
(R+1) - расход энергоносителей и площадь поперечного сечения колонны, то есть
произведение nT·(R+1) определяет объём ректификационной колонны. Таким образом,
величина nT·(R+1) характеризует как эксплуатационные затраты, так и капитальные
вложения.
В таблице 2.1 приведены значения произведения
nT·(R+1) для различных вариантов подачи сырья в ректификационную колонну;
анализ этих данных показывает, что, согласно принятому критерию оптимальности,
для проведения дальнейших расчётов может быть взят вариант № 2, для которого
величина произведения nT·(R+1) имеет наименьшее значение.
3. Тепловые расчёты
ректификационной установки по разделению смеси, содержащей 2-метилгексан и
2-метилгептан
.1. Исходные данные для
тепловых расчётов
кмоль/ч;
м.д.
кмоль/ч;
м.д.
кмоль/ч;
м.д.
кмоль/ч;
м.д.
кмоль/ч;
м.д.
кмоль/ч;
м.д.
При выполнении расчётов принимаем,
что мольные теплоёмкости (
и
), а также
мольная теплота испарения (парообразования) (r1 и r2); жидких
2-метилгексана и 2-метилгептана не зависят от температуры и соответствуют
данным, приведённым в справочной литературе для стандартных условий, то есть,
соответственно, для t=298ºК (25ºС) и
нормальной температуры кипения:
2-метилгексан (жидкий)
=217,33
кДж/кмоль·ºК;
r1=7330,0
ккал/моль= 7330,0·4,187 = 30690,71 кДж/кмоль
2-метилгептан (жидкий)
=241,54
кДж/моль·ºК;
r2=8080,0
ккал/моль= 8080,0·4,187 = 33830,96 кДж/кмоль
Теплоёмкость паров (кДж/кмоль·ºК)
2-метилгексана (
) и
2-метилгептана (
) при
температуре Т (ºК)
рассчитываем по уравнениям:

кДж/кмоль·ºК

кДж/кмоль·ºК
3.2
Тепловой баланс ректификационной установки при подаче сырья двумя потоками в
виде жидкости, нагретой до температуры кипения
На рисунке 3.1 приведена
принципиальная технологическая схема ректификационной установки для разделения
жидкой смеси 2-метилгексан - 2-метилгептан для случая подачи сырья двумя
потоками в виде жидкости, нагретой до температуры кипения.
Рис. 3.1 Принципиальная технологическая схема
ректификационной установки по варианту: 1. Ректификационная колонна; 2.
Холодильник - конденсатор; 3. Холодильник дистиллята; 4.,5. Подогреватель
питания; 6. Нагреватель кубового остатка; 7. Холодильник кубового остатка
На ректификацию сырьё
и
подаётся с
температурой 20ºС и
поступает, соответственно, в теплообменники 5 и 4, где нагревается до
температуры кипения. Температура начала кипения сырья определяется его
составом. Так, для потока
,
содержащего 2-метилгексан
м.д. в
соответствии с t-х(у) диаграммой имеем температуру начала кипения
ºС, а для
потока
,
содержащего бензол в концетрации
м.д., эта температура будет равна
ºС.
Приход тепла с сырьём:

Тепло, полученное сырьём
в
подогревателе 5:
Энтальпия сырья
после
подогревателя 4:
Тепло, полученное сырьём
в
подогревателе 4:
Пар, уходящий с верхней тарелки
ректификационной колонны после конденсации образует флегму и дистиллят и имеет
состав хD=хR=0,9558 м.д. Температура паров на верхней тарелке в соответствии с
их составом (0,9558 м.д. 2-метилгексана) и диаграммой t-х(у) равна t=90,6ºC
Энтальпия паров на выходе из
ректификационной колонны:
Пары дистиллята и флегмы поступают
из ректификационной колонны холодильник - конденсатор 2, где пары
конденсируются и образуют жидкость, имеющую тот же состав и ту же температуру
(t=90,6ºC), что и
пар. Полученный конденсат делится на два потока - дистиллят и флегму. Дистиллят
отводится через холодильник 3, а флегма поступает обратно на верхнюю тарелку
ректификационной колонны 1.
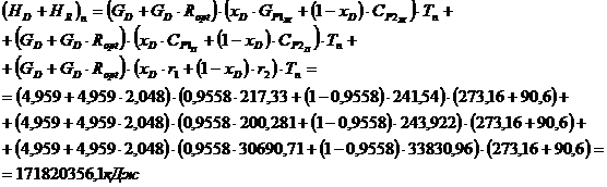
Энтальпия флегмы на выходе из
холодильника - конденсатора:
Энтальпия дистиллята на выходе из
холодильника - конденсатора:
Тепло, отводимое в холодильнике - конденсаторе 2
при конденсации паров флегмы и дистиллята:
Энтальпия дистиллята на выходе из
холодильника 3 (t=20ºC):
Тепло, отводимое в холодильнике 3
при охлаждении дистиллята:
Температуру кубового остатка на
выходе из колонны 1 определяем по t-х(у) диаграмме. Так, в соответствии с
составом кубового остатка, содержащего 2-метилгексан
м.д., его
температура кипения в подогревателе 6 будет равна t=115,5ºC.
Энтальпия кубового остатка на выходе
из нагревателя 6:
Энтальпия кубового остатка на выходе
из холодильника кубового остатка 7 (t=20ºC):
Тепло, отдаваемое кубовым остатком в
холодильнике 7:
Исходя из теплового баланса
ректификационной колонны находим расход тепла в кубовом нагревателе 6:
Список использованных
источников
Сачивко
А.В. Определение числа теоретических тарелок полной ректификационной колонны
графическим методом на х-у диаграмме: Метод. указания для студентов спец.
25.24.00. - Сиб. ГТУ, каф. ТПТРТ и НП, Красноярск 1999. - 63с.