Анализ интенсификации производства

  • Вид работы:
    Контрольная работа
  • Предмет:
    Эктеория
  • Язык:
    Русский
    ,
    Формат файла:
    MS Word
    113,16 Кб
  • Опубликовано:
    2014-03-19
Вы можете узнать стоимость помощи в написании студенческой работы.
Помощь в написании работы, которую точно примут!

Анализ интенсификации производства

Федеральное государственное образовательное бюджетное учреждение

высшего профессионального образования

финансовый университет

при правительстве российской федерации

ярославский филиал

Кафедра "Экономика и финансы"

Заочный факультет менеджмента и бизнес-информатики

Направление подготовки: Менеджмент




Контрольная работа

по дисциплине «Экономический анализ»

Вариант № 4

«Анализ интенсификации производства»

Студент: Маврина Юлия Андреевна

Курс: 3

Форма обучения: День

Преподаватель: Р.В. Колесов





Ярославль 2014г.

ВВЕДЕНИЕ

Интенсификация - усиление, увеличение напряженности, производительности, действенности.

Используя достижения классической генетики, селекционеры сумели превратить искусственный отбор, тысячелетиями осуществлявшийся чисто интуитивно, в точную науку, позволившую неимоверно ускорить создание новых сортов растений. За продолжительные годы работы были получены высокопродуктивные, приспособленные к местным условиям, неполегающие и устойчивые к болезням и неблагоприятным климатическим вариациям сорта пшеницы, кукурузы, риса, сорго и других зерновых культур, демонстрирующие к тому же высокую эффективность усвоения вносимых в почву удобрений.

В сельском хозяйстве земля, по определению В. И. Ленина, есть главное средство производства. Важнейшей особенностью земли как средства производства является то, что при правильном ее возделывании она не только не ухудшается, а, напротив, постоянно улучшается. Все другие средства производства по мере их употребления изнашиваются и, несмотря на ремонт, выходят из строя.

Рациональное использование земли предполагает рост производства сельскохозяйственной продукции с каждого гектара, систематическое снижение затрат труда и средств на единицу продукции, восстановление и повышение плодородия почвы.

Экономическое (действительное) плодородие почвы представляет собой единство естественного и искусственного плодородия. Оно характеризует как степень использования человеком естественного плодородия, так и степень создания искусственного плодородия.

Главной целью интенсификации сельского хозяйства является увеличение производства продукции и улучшение ее качества для более полного удовлетворения растущих потребностей населения. Она играет важную роль в сближении материальных и культурных условий жизни сельского и городского населения, способствует превращению сельскохозяйственного труда в разновидность индустриального, приближению сельского хозяйства к уровню промышленности по технической вооруженности и организации производства.

Ускорение научно-технического прогресса в сельском хозяйстве ведет к изменению соотношения живого и овеществленного труда на производство единицы продукции. При этом доля овеществленного труда возрастает, доля живого труда сокращается, а общие затраты труда на 1 ц продукции уменьшаются. В этом проявляется экономическая сущность интенсификации как важнейшего направления развития сельского хозяйства в современных условиях [ 4, стр.27].

Интенсификация как процесс развития сельскохозяйственного производства возможна и оправдана не только тогда, когда рост продукции осуществляется в более высоких пропорциях и размерах по сравнению с увеличением дополнительных вложений, но и в том случае, когда производство продукции растет в значительно меньших размерах, чем увеличиваются дополнительные затраты. Уменьшение выхода продукции при дополнительных вложениях капитала происходит только в тех случаях, если уровень технической оснащенности сельского хозяйства остается неизменным.

Интенсификация сельского хозяйства - сложный экономический процесс, охватывающий все важнейшие стороны экономики сельскохозяйственного производства.

Цель данной работы провести анализ интенсификации сельского хозяйства.

Основные задачи работы:

раскрыть сущность и факторы интенсификации сельского хозяйства;

рассмотреть показатели уровня интенсификации и эффективности сельского хозяйства.

1. СУЩНОСТЬ И ОСНОВНЫЕ ФАКТОРЫ ВЛИЯНИЯ ИНТЕНСИФИКАЦИИ СЕЛЬСКОГО ХОЗЯЙСТВА

Развитие сельского хозяйства осуществляется в двух формах: экстенсивной и интенсивной. Под экстенсивной понимают такую форму развития сельского хозяйства, при которой объемы продукции увеличиваются за счет расширения площадей обрабатываемой земли, природных кормовых угодий и использования естественного плодородия почв на неизменной технической основе. При интенсивной форме объемы продукции увеличиваются в результате улучшения использования обрабатываемой земли, повышения ее продуктивности на основе внедрения достижений научно-технического прогресса, совершенствования форм организации производства [ 6, стр.37].

Экстенсивный путь имел важное значение для увеличения производства продукции на ранних этапах развития сельского хозяйства. Однако освоение новых земель продолжается и в настоящее время. Вместе с тем исторический опыт развития большинства стран мира показывает, что основным и наиболее перспективным направлением развития сельского хозяйства является интенсификация.

Объективными предпосылками интенсификации сельского хозяйства являются:

ограниченность земель, пригодных для сельскохозяйственного использования;

развитие производительных сил, совершенствование орудий и средств обработки земли;

общественное разделение труда;

рост городского населения, потребности в сельскохозяйственных продуктах.

Интенсификация не исключает и экстенсивное освоение земель, необходимость в котором возникает в двух ситуациях: когда невозможно покрыть растущий спрос на продукты сельского хозяйства только за счет интенсификации; если расширение посевных площадей позволяет при равной сумме капитальных и текущих затрат получить больше продукции, чем при интенсификации.

Преобладание экстенсивного или интенсивного пути развития сельского хозяйства зависит от сложившихся экономических условий - наличия свободных земель, возможности дополнительных вложений, спроса на продукцию, эффективности производства. На практике увеличение продукции часто происходит посредством применения двух форм одновременно. При этом необходимо иметь в виду, что экстенсивная форма развития сельского хозяйства при определенных условиях может быть эффективной, следовательно, экстенсивное развитие нетождественно неэффективности.

Интенсификация сельского хозяйства - это основная форма расширенного воспроизводства, осуществляемая путем совершенствования системы ведения отрасли на основе научно-технического прогресса для увеличения выхода продукции с единицы площади, повышения производительности труда и снижения издержек на единицу продукции.

При определении интенсификации необходимо исходить из характерной для нее тройственной взаимосвязи: затраты - земля - продукция. Однако продукция может быть получена и при отрицательном влиянии интенсификации на окружающую среду, поэтому одним из необходимых условий данного процесса является экологическое благополучие.

Следовательно, под интенсификацией сельского хозяйства следует понимать дополнительные вложения материальных средств, а иногда и живого труда на той же площади, осуществляемые на основе совершенствования техники и технологии производства с целью увеличения объема продукции при одновременном росте экономического плодородия земли [ 5, стр.67].

Данное определение раскрывает материальную основу интенсификации, которую составляют дополнительные вложения качественных средств и квалифицированного труда. В ходе интенсификации затраты материальных ресурсов (овеществленного труда) увеличиваются, а живого труда сокращаются, так что совокупные затраты труда в целом на единицу продукции уменьшаются.

Под дополнительными вложениями следует понимать затраты материальных средств и труда на единицу площади, которые превышают уровень затрат в базовый период или в базовом хозяйстве, осуществляются с целью повышения плодородия почв, увеличения выхода продукции с единицы площади. В сущности, понятие «добавочные вложения материальных средств и труда» предполагает изменение форм организации производства, преобразование техники и технологии.

Для экстенсивного пути развития сельского хозяйства характерным является расширение площадей земельных ресурсов на прежней технической основе, без существенного изменения техники и технологии производства. Экстенсивный путь не имеет широкой перспективы, так как количество земель ограничено и не может быть существенно увеличено. Кроме того, экстенсивный путь развития не обеспечивает повышения продуктивности земельных угодий. Следовательно, при данном пути рост производства сельскохозяйственной продукции не может быть беспредельным.

В свою очередь интенсивный путь развития способствует непрерывному росту урожайности сельскохозяйственных культур и продуктивности животноводства. Этот путь позволяет более эффективно использовать имеющиеся ресурсы, площади сельскохозяйственных угодий, поголовье скота и птицы. Достижение этих целей может быть достигнуто за счет применения достижений научно-технического прогресса, эффективного использования земельных, материальных и трудовых ресурсов. При интенсивном пути развития наблюдается концентрация капитала на одной и той же единице земельной площади для наращивания объемов производства продукции в расчете на гектар земельных угодий. Данный путь развития сельского хозяйства дает неограниченные возможности увеличения производства продукции земледелия и животноводства. Интенсивный путь развития сельского хозяйства не исключает и экстенсивное ведение производства в определенные периоды или в отдельных районах страны. Освоение новых земель в условиях обширной территории страны с ее разнообразием по природно-экономическим районам становится экономической неизбежностью. Оно диктовалось необходимостью освоения производительных сил, более рациональным использованием земельных ресурсов, интересами размещения производства и увеличения продукции сельского хозяйства.

В экономическом смысле под интенсификацией сельского хозяйства понимают все возрастающее применение более совершенных средств производства, а иногда и квалифицированного труда на одной и той же земельной площади с целью увеличения производства продукции и повышения эффективности отрасли в целом [ 6, стр.21]. Таким образом, интенсификация представляет такой экономический процесс, при котором наблюдается рост затрат на единицу площади или голову скота и достигается увеличение производства продукции растениеводства и животноводства, улучшение ее качества и снижаются материально-денежные затраты на производство и реализацию. Интенсификация сельского хозяйства основывается на непрерывном техническом прогрессе, росте высокопроизводительных машин, минеральных удобрений, мелиорации земель, выведения новых высокоурожайных сортов сельскохозяйственных культур, высокопродуктивных пород животных. Она представляет объективный и закономерный процесс развития сельского хозяйства на расширенной основе. Это не простой механический рост массы положений, а дальнейшее качественное развитие производительных сил сельского хозяйства.

эффективность показатель интенсификация сельскохозяйственный

1.1 ПОКАЗАТЕЛИ И МЕТОДИКА ОПРЕДЕЛЕНИЯ ИНТЕНСИФИКАЦИИ СЕЛЬСКОХОЗЯЙСТВЕННОГО ПРОИЗВОДСТВА

Обобщающим показателем уровня интенсивности является сумма стоимости основных производственных средств и текущих производственных затрат (без амортизации) в расчете на единицу обрабатываемой площади. Он может быть выражен следующей формулой:

У= (Ф0+Пз)÷Зп                                                                              (1)

где У - уровень интенсивности, руб/га ;

Ф0 - стоимость основных производственных средств, руб.;

Пз - размер производственных затрат (без амортизации), руб.;

Зп - земельная площадь, га.

Это прямой и главный показатель уровня интенсивности сельскохозяйственного производства [ 3, стр.7]. Он наиболее полно отражает сущность интенсификации, то есть концентрацию овеществленного и живого труда в расчете на единицу земельной площади. Если в знаменателе учитывается вся обрабатываемая земельная площадь, то он выражает уровень интенсивности всего сельского хозяйства, а если в знаменателе указывается площадь пашни, то данный показатель используется для характеристики интенсивности земледелия.

Для анализа достигнутого уровня интенсивности основной показатель может быть расчленен на дополнительные. К примеру, отдельно определяют стоимость основных производственных средств на гектар земельной площади (У=Ф 0÷Зп) и сумму текущих производственных затрат в денежном выражении в расчете на единицу земельных угодий (У= Пз÷ Зп). Размер основных производственных средств сельскохозяйственного назначения отражает сумму производственных фондов, участвующих в повышении экономического плодородия земли и создании новых потребительских стоимостей. Этот показатель широко используется в экономических исследованиях. Об изменении уровня интенсивности сельского хозяйства можно судить по росту фондообеспеченности, которая определяется отношением стоимости основных производственных фондов сельскохозяйственного назначения на гектар угодий.

Основные производственные фонды, как известно, функционируют в неразрывной связи с оборотными средствами и обеспечивают их рациональное использование в процессе производства. В этой связи показатель размера текущих производственных затрат в денежном выражении в расчете на гектар земельной площади позволяет глубже раскрыть основной показатель интенсивности.

В данном показателе учитываются не все основные фонды, используемые в хозяйствах, а только та их часть, которая была потреблена в процессе производства при выращивании урожая сельскохозяйственных культур и получении продукции животноводства. Размер потребленных оборотных средств и амортизации основных средств можно определить по годовым отчетам хозяйств. Этот показатель наиболее доступен и широко распространен в практике и научных исследованиях при определении уровня интенсивности. Производственные затраты на единицу обрабатываемой площади значительно отличаются по зонам.

1.2 ПОКАЗАТЕЛИ ХАРАКТЕРИЗУЮЩИЕ УРОВЕНЬ ИНТЕНСИФИКАЦИИ

При рассмотрении интенсификации сельского хозяйства необходимо различать два ее аспекта: уровень интенсивности производства и экономическую эффективность интенсификации.

Уровень интенсивности сельскохозяйственного производства отражает степень концентрации средств производства и труда на одной и той же земельной. площади. Для определения уровня интенсивности при меняют систему показателей, которая включает как общие, так и частные, как стоимостные, так и натуральные показатели.

К основным показателям уровня интенсивности сельскохозяйственного производства (И) относятся следующие:

. Совокупные затраты сельского хозяйства (сумма основных производственных фондов сельскохозяйственного назначения и производственных затрат без амортизации) в расчете на 1 га земельной площади, руб.:

И1 = (Фо + ПЗ - А)/ПЛ                                                                           (2)

где Фо - стоимость основных производственных фондов сельскохозяйственного назначения, руб.; ПЗ - производственные затраты, руб.; А - амортизация основных фондов, руб.; ПЛ - площадь сельскохозяйственных угодий, га.

. Стоимость производственных фондов (основных и оборотных) на 1 га сельскохозяйственных угодий, руб.:

И2 = (Фо + Фоб)/ПЛ                                                                     (3)

. Стоимость основных производственных фондов сельскохозяйственного назначения в расчете на 1 га земельной площади (фондооснащенность), руб.:

И3 = Фо/ПЛ                                                                                   (4)

. Сумма текущих производственных затрат сельского хозяйства в расчете на 1 га сельскохозяйственных угодий, руб.:

И4 = ПЗ/ПЛ                                                                                   (5)

Приведенные показатели характеризуют интенсивность всего сельского хозяйства [ 1, стр.33]. В условиях инфляции и резкого повышения цен для объективной оценки уровня интенсивности производства необходимо сопоставлять фактические и нормативные показатели интенсивности.Для определения уровня интенсивности земледелия используют следующие показатели:

. Совокупные затраты растениеводства на 1 га пашни.

. Стоимость производственных фондов растениеводства на 1 га пашни.

: Размер текущих производственных затрат растениеводства на 1 га пашни.

. Энергооснащенность энергетических ресурсов (в л.с.) на 100 га пашни или посевной площади.

. Объем при меняемых удобрений (минеральных и органических) на 1 га пашни.

. Плотность механизированных работ - объем механизированных работ (в усл. эт. га) на 1 га пашни.

Показатели уровня интенсивности животноводства такие:

. Совокупные затраты животноводства на одну условную голову.

. Стоимость производственных фондов животноводства на одну условную голову.

. Размер текущих производственных затрат животноводства на одну условную голову или одну голову основного стада.

. Расход кормов на одну голову скота.

. Уровень механизации производственных процессов.

. Доля породных животных в общем поголовье.

Если усиление концентрации средств производства в отрасли говорит об ее интенсификации, то увеличение производства продукции с каждого гектара при одновременном снижении затрат труда и средств на единицу полезного эффекта свидетельствует об эффективности интенсификации.

Экономическая эффективность интенсификации отражает соотношение полученного результата (эффекта) и затрат или ресурсов, обусловивших данный результат. Возможны три типа этого соотношения: дополнительный эффект превышает дополнительные затраты, связанные с интенсификацией производства, - эффективность растет и вложенные средства обеспечивают расширенное воспроизводство; дополнительный эффект равен затратам - эффективность осталась прежней, возможно только простое воспроизводство; дополнительный эффект меньше затрат - эффективность вложений снижается, интенсификация осуществляется неэффективно.

Экономическая эффективность интенсификации сельскохозяйственного производства характеризуется системой показателей:

объем валовой продукции (валового и чистого дохода) в расчете на 1 руб. совокупных затрат; 1 га земельной площади; 1 руб. основных производственных фондов сельскохозяйственного назначения; 1 руб. производственных затрат; на 1 работника или 1 чел./ч; урожайность сельскохозяйственных культур;

продуктивность животных;

себестоимость единицы продукции; .

уровень рентабельности.

Экономическая эффективность сельского хозяйства в значительной степени зависит от уровня интенсивности производства [ 2, стр.5]. В последние годы наметилась тенденция к снижению интенсивности сельского хозяйства, хотя стоимостные показатели резко возросли. Рост стоимостных показателей интенсивности объясняется неоднократной переоценкой основных производственных фондов, повышением цен на материалы и другие средства производства, увеличением заработной платы.

В сложившихся условиях нельзя объективно изучить уровень интенсивности сельского хозяйства в динамике на основе стоимостных показателей, но эти показатели можно использовать для определения интенсивности производства в сравниваемых хозяйствах.

В условиях инфляции, нарушения паритета цен на продукцию сельского хозяйства и промышленности, сельские товаропроизводители стали меньше приобретать техники, удобрений, средств защиты растений и животных и других материальных ресурсов. Все это вызвало снижение уровня интенсивности сельского хозяйства.

Падение интенсивности производства привело к снижению экономической эффективности сельского хозяйства.

Приведем пример уровня интенсификации на основе ГУП ОПХ "Красногорское".

Государственное унитарное предприятие ОПХ "Красногорское" - бывшее структурное подразделение НПО "Средневолжское", а затем - Самарского НИИСХ им. Н.М. Тулайкова. В настоящее время предприятие является юридическим лицом, имеет на балансе имущество, которое передано ему Российской Академией сельскохозяйственных наук в хозяйственное ведение.

Для оценки экономической эффективности интенсификации в ГУП ОПХ "Красногорское" использованы стоимостные и натуральные показатели, приведенные в таблице 1.

Таблица 1. Стоимостные показатели эффективности интенсификации сельскохозяйственного производства в ГУП ОПХ "Красногорское" в 2009-2013 гг.

Наименование Показателей

2009 г.

2010 г.

2011 г

2012 г

2013 г

2013 г. в % к






план

факт

2009

плану

Валовая продукция, всего, тыс. руб.

29230

37528

52341

77101

60340

51468

176,1

85,3

Совокупные затраты на производство, тыс. руб.

85243

101150

112018

131182

159453

122054

143,2

76,5

Валовая продукция в расчете на 1 руб. вложений совокупных средств, руб.

0,34

0,37

0,46

0,58

0,38

0,42

123,5

Выручка от реализации продукции (руб.) в расчете на:









1 руб. совокупных затрат

0,24

0,2

0,28

0,28

0,36

0,26

108,3

72,2

1 га сельхозугодий

4,0

3,9

6,1

7,2

11,2

6,3

157,5

56,3

Выручка от реализации продукции (руб.) в расчете на:









1 руб. основных средств

0,4

0,33

0,51

0,54

0,46

0,46

115,0

100

1 руб. производственных затрат

0,63

0,48

0,63

0,58

0,64

0,61

96,8

95,3

1 тыс. чел.-час.

70,4

63,5

95,1

120,7

138,0

126,9

180,3

92,0

Прибыль от продаж на 1 руб. вложений, руб.

-0,009

0,2

0,1

0,22

1,08

0,22

-

20,4


Из данных таблицы 1 видно, что в 2013 г. в расчете на 1 руб. вложений совокупных средств получено: валовой продукции 0,42 руб., выручки от реализации продукции - 0,26 руб., что соответственно на 23,5% и на 8,3% больше уровня 2009 г. В отчетном году прибыль от продаж в расчете на 1 руб. вложений составила 0,22 руб., тогда как в 2009 г. на каждый рубль вложений были получены незначительные убытки. План по производству валовой продукции в расчете на руб. совокупных вложений перевыполнен на 10,5%. План по выходу выручки в расчете на руб. совокупных затрат, на единицу сельхозугодий, на руб. совокупных вложений выполнен не был.

В исследуемом периоде темпы роста валовой продукции превышали темпы роста совокупных затрат (176,1% > 143,2%).

Кроме стоимостных показателей для оценки эффективности интенсификации сельскохозяйственного производства в ГУП ОПХ "Красногорское" в 2009 -2013 гг. использованы натуральные показатели, которые приведены в таблице 2.

Из данных таблицы 2 видно, что эффективность интенсификации производства, выраженная в натуральных показателях, значительно повысилась в 2013 г. по сравнению с 2009 г. Так, урожайность зерновых и зернобобовых культур в 2013 г. составила 21,8 ц/га, что 6,3 ц/га или на 40,8% больше уровня 2009 г.

Таблица 2. Натуральные показатели эффективности интенсификации сельскохозяйственного производства в ГУП ОПХ "Красногорское" в 2009-2013 гг.

Наименование показателей

2009 г

2010 г

2011 г

2012 г

2013 г

2013 г. ± к

2013 г. в % к






план

2009

плану

2009

плану

Урожайность зерновых культур, ц\га

15,5

13,4

15,5

19,4

16,2

21,8

6,3

5,6

140,6

134,6

Продуктивность коров, кг

4006

5794

5651

5663

6000

5670

1664

-330

141,5

94,5

Выход молока в расчете на 100 га пашни, ц

256,9

392,1

411,5

425,9

457,2

426,4

169,5

-30,8

166,0

94,5


В 2013 г. в расчете на 100 га пашни было произведено 426,4 ц молока. Это на 141,5 ц больше, чем было произведено в 2009 г., прирост молока в расчете на 100 га пашни составил 66,0%.

Экономическая эффективность интенсификации зависит от уровня интенсивности производства. В таблице 3 приведены основные показатели, характеризующие уровень интенсивности и эффективности интенсификации в 2009 г. и 2013 г., а на рис. 8 - их динамика в 2009-2013 гг.

Данные, приведенные в таблице 3, свидетельствуют о том, что в ГУП ОПХ "Красногорское" в 2013 г. по сравнению с 2009 г. темпы прироста уровня интенсивности были выше, чем темпы прироста эффективности интенсификации. Это связано с тем, что темпы роста объема производства валовой продукции ниже темпов роста среднегодовой стоимости основных средств и производственных затрат.

На рисунке 8 видно, что темпы роста всех показателей эффективности интенсификации, кроме одного (выход молока в расчете на 100 га пашни), ниже, чем темп роста показателя уровня интенсивности. В тоже время темп прироста одного натурального показателя эффективности интенсификации производства - выхода молока в расчете на 100 га пашни, был на 22,8% выше, чем темп прироста показателя интенсивности.

Таблица 3. Влияние уровня интенсивности на экономическую эффективность интенсификации

Наименование показателей

2009 г.

2013 г.

2013 г. в % к



план

факт

2009 г.

плану

Уровень интенсивности

Вложения совокупных средств на 100 га с/х угодий, тыс. руб.

1661

3108

2379

143,2

76,5

В том числе:






основные средства

1014

1376

1352

133,3

98,3

производственные затраты

647

1732

1027

158,5

59,3

Произведено валовой продукции на 1 руб. совокупных затрат, руб.

0,34

0,38

0,42

123,5

110,5

Фондоотдача, руб.

0,56

0,85

0,74

132,1

87,1

Окупаемость производственных затрат, руб.

0,88

0,68

0,98

111,4

144,1

Дополнительная прибыль в рас-чете на 1 руб. дополнительных капитальных вложений, руб.

-0,32

0,1

-0,34

106,3

-


Рис. 1. Соотношение темпов роста показателей уровня интенсивности и эффективности интенсификации в 2009-2013 гг., %

В целом, проведенные аналитические исследования позволяют сделать следующие выводы:

в 2013 г. вложения совокупных средств на 100 га сельхозугодий составили 2379 тыс. руб., что больше уровня 2009 г. на 43,2%;

отдача от вложенных средств в 2013 г. составила: урожайность зерновых культур - 21,8 ц/га, продуктивность молочного скота - 5670 кг от одной коровы, что больше показателей 2009 г. соответственно на 40,6% и 41,5%;

в расчете на рубль совокупных затрат в 2013 г. получено валовой продукции на сумму 42 коп., что больше показателя 2009 г. на 23,5%, однако это свидетельствует о низком уровне интенсификации производства в данном предприятии;

в динамике наблюдается превышение темпов роста показателей, характеризующих уровень интенсивности, над показателями, характеризующими эффективность интенсификации.

.3 ПОКАЗАТЕЛИ ХАРАКТЕРИЗУЮЩИЕ ЭКОНОМИЧЕСКУЮ ЭФФЕКТИВНОСТЬ ИНТЕНСИФИКАЦИИ

Принципиальным в современном подходе к интенсификации производства является соответствие каждого ее направления требованиям экологии и учет при проведении конкретных мероприятий объективных законов природы. Нельзя осуществлять нормальное воспроизводство без затрат на восстановление окружающей среды.

Этот аспект не анализировался экономической наукой в прошлом. Однако интенсивное развитие общества заметно обостряет экологические проблемы, и прежде всего они проявляются в крупных городах, а также в отраслях, распространенных на больших территориях, среди которых первенствует сельское хозяйство.

По мере расширения и углубления интенсификация сельского хозяйства затрагивает не только экономическую и социальные сферы, но и активно вторгается в природу. В агропромышленном комплексе, как ни в какой другой отрасли народного хозяйства, производственные процессы переплетаются с природными и сильно зависят от них [ 3, стр.6]. Кроме того, АПК, являясь одним из основных природ пользователей, во многом определяет состояние окружающей среды.

Наиболее экологически опасным направлением интенсификации сельского хозяйства является химизация земледелия, на долю которой приходится три четверти объема про изводимых в стране минеральных удобрений, почти все пестициды, ретарданты и другие искусственные продукты. Эти средства в той или иной степени воздействуют не только на урожай сельскохозяйственных культур, но и на окружающую среду, причем не всегда положительно. В ряде случаев отрицательные результаты, обусловленные применением средств химизации, сводят на нет положительный эффект. Не учитывать этого нельзя, поскольку вопросы экологии затрагивают интересы как отдельных людей, так и общества в целом.

Под интенсификацией химизации в земледелии следует понимать процесс совершенствования применения соответствующих средств, сопровождающийся увеличением выхода сельскохозяйственной продукции при одновременном снижении себестоимости ее единицы на основе повышения экономического плодородия почвы и сохранности полученного урожая при условии соблюдения основных законов экологии.

Современное состояние земледелия предполагает необходимость выработки комплексной эколого-экономической оценки деятельности как предприятия, так и отдельных технологических мероприятий. Эколого-экономическая эффективность - это совокупная оценка результатов производства или мероприятий, включающая показатели экономического эффекта с учетом экономических и социальных последствий, выраженных в стоимостной форме.

Эколого-экономический подход должен применяться при оценке всех направлений интенсификации сельского хозяйства.

Повышение экономической эффективности интенсификации сельского хозяйства требует всестороннего учета природных и экономических условий, активного использования земельных, материально-технических и трудовых ресурсов. Вкладываемые в развитие сельского хозяйства затраты должны рационально расходоваться, с тем, чтобы на каждую единицу затрат хозяйства получали наибольшее количество продукции и максимум прибыли.

Экономическая эффективность интенсификации сельскохозяйственного производства определяется системой показателей, среди которых первостепенное значение имеют следующие:

выход валовой продукции с единицы земельной площади. Этот показатель может быть определен по формуле:

Эи=ВП÷Зп

где Эи - экономическая эффективность интенсификации, руб/га;

ВП - стоимость валовой продукции, руб.;

Зп - земельная площадь, га.

Валовая продукция хозяйства оценивается в сопоставимых ценах. Это позволяет использовать данный показатель в динамике, а также проводить сопоставление деятельности ряда хозяйств, работающих в одинаковых условиях.

Увеличение выхода продукции с каждого гектара при одновременном снижении себестоимости ее производства свидетельствует о высоком уровне эффективности интенсификации. В этом случае каждый вложенный в земледелие рубль приносит не только дополнительную продукцию, возмещающую затраты, но и позволяет получить дополнительный чистый доход.

валовой доход с гектара сельскохозяйственных угодий;

Эи=ВД÷Зп                                                                                     (6)

где ВД - валовой чистый доход, руб.

Этот показатель выражает более рациональное использование дополнительных вложений, произведенных в более совершенные средства производства, передовую технологию, высокопродуктивные сорта сельскохозяйственных культур и пород скота. и др.

чистый доход или прибыль с единицы сельскохозяйственных угодий;

Эи=ЧД÷Зп или Пр÷Зп                                                                   (7)

где ЧД - чистый доход, руб.;

Пр - прибыль, руб.

Этот показатель, как известно, имеет особое значение. Поскольку чистый доход является основным источником дополнительных вложений, то от его размера зависит дальнейшее расширение и укрепление производства. Последовательная интенсификация сельского хозяйства приводит к более высокой окупаемости дополнительных вложений, а, следовательно, к росту чистого дохода.

Экономическая эффективность интенсификации сельского хозяйства может характеризоваться также такими показателями, как Эи - размер производства валовой продукции (валового и чистого дохода) в расчете на единицу затрат труда:

Эи=ВП÷Т или ВД÷Т или ЧД÷Т                                                    (8)

где Т - затраты труда на производство продукции, чел-час.

ВП - выход валовой продукции (валового и чистого дохода) в расчете на основные и оборотные производственные средства;

Эи=ВП÷(Фо+Со) или ВД÷(Фо+Со) или ЧД÷(Фо+Со)                          (9)

где Ф0 - стоимость основных производственных средств, тыс.руб.;

С0 - стоимость оборотных средств, руб.

Таким образом, экономическая эффективность интенсификации сельского хозяйства выражается в увеличении производства продукции с единицы земельной площади, в снижении затрат овеществленного и живого труда на единицу продукции [ 9, стр. 208].

2. ПОКАЗАТЕЛИ ИНТЕНСИФИКАЦИИ И ЭФФЕКТИВНОСТИ ПРОМЫШЛЕННОГО ПРОИЗВОДСТВА

Интенсификация промышленного производства представляет собой комплексный фактор эффективности, обобщающий основные направления повышения эффективности производства: научно-технический прогресс, совершенствование общественных форм организации производства, управления, планирования и экономического стимулирования. Характеризуя степень использования различных видов затрат и ресурсов, интенсификация непосредственно воздействует на уровень экономической эффективности промышленного производства. Между интенсификацией и эффективностью производства существует органическая связь и взаимообусловленность.

Уровень интенсификации производства можно измерить на основе расчета показателей, характеризующих удельный вес прироста объема производства продукции за счет интенсивных факторов: роста производительности живого труда, увеличения отдачи материальных затрат, производственных фондов и капитальных вложений.

Прирост объема производства продукции за счет интенсивного использования затрат и ресурсов можно определить на базе индексных методов следующим образом

                                                             (10)

Если темпы прироста каких-либо видов затрат и ресурсов будут ниже темпов прироста продукции, то это соотношение будет характеризовать степень интенсивного их использования, преобладание интенсивных факторов роста производства. Относительное увеличение темпов роста затрат й ресурсов по сравнению с темпами роста продукции будет свидетельствовать о преобладании экстенсивных факторов увеличения производства продукции, в этом случае значение (В) будет характеризоваться отрицательной величиной. При анализе интенсификации производства за относительно длительные периоды отдельные значения (В) могут выражаться положительными и отрицательными величинами, отражающими преобладание интенсивных или экстенсивных факторов.

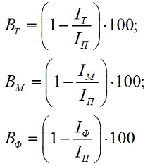
Следовательно, по изменению степени использования отдельных видов затрат и ресурсов нельзя дать количественную характеристику изменения уровня интенсификации производства в целом. Для такой оценки следует рассчитать обобщающий показатель изменения уровня интенсификации на базе сводного индекса по формуле:

                                                        (11)

Где B0 - удельный вес прироста продукции за счет изменения уровня использования трудовых, материальных затрат и производственных фондов (сводный индекс интенсификации); Iт,Iм, Iф - соотношение прироста соответственно трудовых затрат и продукции, материальных затрат и продукции, производственных фондов и продукции.

ЗАКЛЮЧЕНИЕ

Использование производственных и финансовых ресурсов может носить как экстенсивный, так и интенсивный характер. Понятие всемерной и всесторонней интенсификации охватывает и характеризует использование не только живого, но и овеществленного труда, т. е. всей совокупности производственных и финансовых ресурсов.

Возможность обеспечить неуклонный рост и достаточно высокие темпы экономической эффективности производства дают только переход к преимущественно интенсивному типу развития. Соотношение интенсивности производства анализируется по соотношению качественных и количественных показателей использования ресурсов.

Интенсификация - процесс и организация развития производства, в котором применяются наиболее эффективные средства производства, а также расширение производства. Процесс преобразования расхода ресурсов, а также применение нового оборудования позволяет вызвать рост производительности. Таким образом рост затрат окупается эффективным и экономичным использованием всех ресурсов (как материалов, так и рабочей силы).

Основные факторы интенсификации это ускорение научно-технического прогресса и совершенствование материально-технической базы производства; сдвиги в структуре и пропорциях воспроизводства; улучшение размещения производительных сил; развитие специализации производства; повышение квалификации работников; совершенствование механизма хозяйствования.

Экономическая эффективность капитальных вложений выражается, прежде всего, в экономическом результате, который достигается в народном хозяйстве от их реализации. Таким непосредственным экономическим результатом является прирост производственных мощностей и основных фондов. Поэтому экономическая эффективность капитальных вложений измеряется на основе их величины с экономическим эффектом, который получился в результате прироста.

Интенсификация сельского хозяйства предполагает более рациональное использование каждого рубля, вкладываемого в производство. Последовательная интенсификация является решающим фактором качественного преобразования сельскохозяйственного производства и повышения ее эффективности.

СПИСОК ИСПОЛЬЗУЕМОЙ ЛИТЕРАТУРЫ

1.   Апкаева Е., Бондина Н. Резервы роста экономической эффективности сельхозпроизводства // Экономика сельского хозяйства России. - 2010, - №1. С.32-33.

.     Баранова Н., Баранов А., Рогозина Г. Совершенствование развития сельского на современном этапе развития //Молочное и мясное скотоводство. 2011, - №5. - С.5-7.

.     Боярский Л., Юмашев Н. Показатели развития интенсификации сельского хозяйства // Молочное и мясное скотоводство. - 2011, - №1. - С4-7.

.     Бутковский В.А., Черепанов В.И., Сельское хозяйство - ускоренное развитие // Экономика сельского хозяйства России. - 2011, - №7. - С.26-27.

.     Водяников В.Т. Организация и управление производством на сельскохозяйственных предприятиях/В.Т. Водянников, А.И.Лысюк, Н.Е.Зимин и др. - М.: Изд-во «КолосС», Изд-во СтГАУ «АГРУС», 2013. - 506с.

.     Волкова Н.А. Экономика сельского хозяйства и перерабатывающих предприятий / Н.А.Волкова, О.А. Столярова, Е.М.Костерин; под ред. Н.А.Волковой. - М.: КолосС, 2013. - 426с.

.     Гриценко М.П. Организация эффективной экономики в региональном АПК. - Барнаул, 2010. - 398с.

.     Данкверт А., Шичкин Г. Интенсификация сельского хозяйство: проблемы и пути решения // Молочное и мясное скотоводство. - 2011,-№5. - С.1-5.

.     Коваленко Н.Я. Экономика сельского хозяйства: учебник для вузов Н.Я.Коваленко. - М.: ЮРКНИГА, 2011.

.     Колобова А.И. Справочные и нормативные материалы по организации и планированию аграрного производства: учебно-методическое пособие / А.И. Колобова. - Барнаул: Изд-во АГАУ, 2012. 236 с.

Похожие работы на - Анализ интенсификации производства

 

Не нашли материал для своей работы?
Поможем написать уникальную работу
Без плагиата!
Без нейросетей!