Синтез адаптивної САК 1-го порядку градієнтним методом
Розрахунково-графічна
робота
Синтез
адаптивної САК 1-го порядку градієнтним методом
1. Короткі теоретичні відомості
Відомо 2 види систем - з жорстким
налагодженням (системи в яких попередньої інформації достатньо для побудови і
задовільної роботи системи); з гнучким налагодженням (аналогічно такої
інформації недостатньо; такі системи змінюють параметри свого налагодження
безпосередньо в процесі роботи за рахунок робочої інформації, яка отримується
під час їх функціонування).
Адаптивні САК - системи, що здатні
само налагоджуватися в процесі своєї роботи відповідно до умов, які змінюються
заздалегідь невідомим чином.
В системі 1-ого порядку, що
представлена на рис. 1., змінюється у часі коефіцієнт самовирівнювання
Рис. 1
Це призводить до зміни вихідної
величини у(t). Необхідно синтезувати блок адаптації, який забезпечив би
відповідну корекцію коефіцієнта зворотного зв'язку k(t) з метою компенсації
заданої вище зміни вихідної величини системи.
Передаточна функція замкнутої
системи з урахуванням коефіцієнта k(t) в зворотному зв'язку має вигляд:
(1)
Рис. 2
Як еталонну модель, що відображає
стан системи при відсутності зміни параметра а(t), представимо ланкою:
(2)
Показником міри невідповідності
системи і моделі виберемо функціонал
(3)
де ε
=ym - y
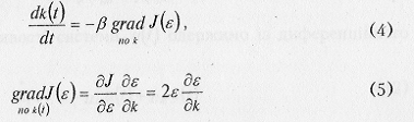
В процесі адаптації БА буде змінювати
коефіцієнт k(t) в залежності від похибки ε(t).
Враховуючи, те що ε = ym - y, а ут від
коефіцієнта k(t) не залежить, отримаємо
(6)
Визначимо функцію чутливості системи
за параметром адаптації
Із умови
Отримаємо
Тоді умова (6) в зображенні Лапласа
перетвориться до виразу:
який визначає алгоритм адаптації, а
значить і структуру БА (рис.З).
Рис.3
В алгоритмі адаптації (8) задіяна
передаточна функція замкнутої системи (1), де а(t) k(t) апріорно невідомі. Тому
в БА (рис. 3) використана W(p)м з відомими коефіцієнтами, тим більше, що W(р)3
при адаптації прагне до W(p)м.
адаптивний система керування
градієнтний
2. Моделювання адаптивної САК на ЕОМ
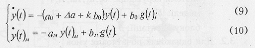
Використовуючи (1) та (2) одержимо
диференційні рівняння замкненої системи і моделі:
Сигнал похибки процесу адаптації ε(t) одержимо як різницю
Сигнал чутливості системи и(t)
одержимо із диференційного рівняння
Тоді сигнал адаптації обчислюється
за формулою
Розв’язуючи систему рівнянь(9) і
(10) з певним кроком ∆t з урахуванням (11), (12), (13) і (14) при
початкових умовах y(t=0)=y(0), yM(t=0)=yM(0), g(t) = A*1(t), одержимо графічні
залежності сигналів на інтервалі часу Т:(t)1 вихідна величина системи без
адаптації;(t)2 вихідна величина системи з адаптацією;(t)M вихідна величина
моделі;
ε(t)
сигнал похибки адаптації(t) сигнал адаптації(t) вхідний сигнал на систему та
модель, які характеризують процес адаптації в системі керування.
3. Градієнтний метод пошуку
багатомірного екстремуму
Цей метод полягає в забезпеченні
руху системи у напрямку градієнта, якщо відшукується екстремум-максимум і в
напрямку антиградіента при пошуку мінімуму. Швидкість зміни параметрів при русі
системи пропорційна компонентам: градієнта за відповідними параметрами:
(15)
де γ
> 0 для екстремуму максимуму і γ1
< 0 для екстремуму мінімуму.
Для унаочнення траєкторії руху
зображуючої точки до екстремуму скористаємося полем ліній рівних значень
функції Р = const. Розглянемо двомірний випадок. Траєкторія руху 1 (рис. 4)
зображуючої точки за методом градієнта нормальна до ліній рівних значень у
точках перетину. Характерною особливістю методу градієнта є одночасна зміна
всіх координат і визначення всіх компонентів градієнта. Рух до екстремуму може
бути безперервним і дискретним. При дискретному пошуку після визначення
компонентів градієнта на попередньому кроці відбувається зміна координат хi на
величину, пропорційну відповідним компонентам градієнта:
Після зміни всіх координат знову
визначаються компоненти градієнта і виконується наступний крок у напрямку
градієнта функції Р. Оскільки при градієнтному методі пошуку вектор швидкості
(15) співпадає з напрямком градієнта, то матриця має діагональну форму.
Рис.4
. Порядок виконання роботи
Згідно заданого викладачем варіанта
виписуємо дані (варіант 1):
Табл.1
Задаємо значення параметрів: системи
керування, моделі, блоку адаптації:
Рис.5 Задані значення параметрів
системи за варіантом 1
Задаємо значення для однакових
початкових умов:
Рис.6 Задані значення для однакових
початкових умов у(0) = у(0)м, при b0 = a0, ∆a = 0, β = 0.
Досліджуємо вплив коефіцієнта β на процес адаптації при
постійності інших параметрів:
Рис.7 Вплив коефіцієнта β на процес адаптації при
постійності параметрів (b0 = a0=1, ∆a = 0.5)
Досліджуємо процес адаптації при
зміні параметра ∆a ≥ 0:
Рис. 8 Процес адаптації при зміні
параметра ∆a ≥ 0
Досліджуємо процес адаптації при
зміні параметра ∆a ≤ 0:
Рис. 9 Процес адаптації при зміні
параметра ∆a ≤ 0
Встановлюємо залежність похибки
адаптації від відповідності початкових умов моделі і системи:

Рис. 10 Залежність похибки адаптації
від відповідності початкових умов моделі і системи, а також параметрів b0 і bм
Висновки
Після виконання даної
розрахунково-графічної роботи було синтезовано адаптивну систему автоматичного
керування 1-го порядку градієнтним методом, а також проведено її певний аналіз
і дослідження динаміки системи за допомогою моделювання на ЕОМ (згідно варіанту
завдань 1). Згідно цього аналізу ми можемо сказати, що при невідповідності
параметрів об’єкта та моделі з’являється похибка адаптації системи, а при
відповідності початкових умов моделі і системи, а також параметрів b0 і bм
сигнал адаптації зменшується, а час встановлення збільшується, також
зменшується похибка адаптації.