|
12-20 7-12
2.8 Выбор и обоснование выбора структурной схемы
УЗЧ
Усилитель звуковой частоты (УЗЧ) состоит из предварительного
усилителя УЗЧ (несколько усилительных каскадов) и выходного каскада УЗЧ.
Для определения структурной схемы УЗЧ необходимо определить
число и тип усилительных каскадов. Расчет начинают с выходного каскада -
поскольку он определяет заданную максимальную выходную мощность приемника Рвых
max.
Схему выходного каскада УЗЧ выбирают, исходя из следующих
рекомендаций:
при заданной выходной мощности Рвых max < 50мВт обычно
используется однотактная схема работающая в режиме А на маломощных
транзисторах.
·
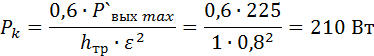
при Рвых
max £ 0,2Вт используют в основном двухтактную схему в
режиме АВ;
·
при Рвых
max > 0,2Вт применяют двухтактную схему в режиме В и АВ на
мощных транзисторах.
·
Транзисторы
выходного каскада выбирают, исходя из условия допустимой мощности рассеяния на
коллекторе Ркmax > Рк, где Ркmax - значение мощности
рассеяния, приведенное в ТУ на транзистор, а Рк рассчитывается
по нижеприведенной формуле (16).
(16)
Р`вых max - выходная мощность, приходящаяся на один
транзистор
при двухтактной схеме P`вых
max = Рвых max /2,
hтр - КПД выходного трансформатора - (0,7…0,8), при использовании
бестрансформаторной схемы hтр = 1;
x - коэффициент использования коллекторного напряжения -
(0,8…0,95).
Затем определяют коэффициент усиления по мощности всего ТЗЧ
по формуле (17):
; (17)
где Рвх - мощность сигнала звуковой частоты
на входе первого каскада ТЗЧ (можно принять это значение равным 1 мкВт).
Учитывая, что коэффициент усиления по мощности выходного каскада
(Крвых) порядка 30…100, рассчитывают коэффициент усиления по
мощности предварительных каскадов и число каскадов предварительного усиления
формуле (18):
. (18)
Полученное значение Крпред позволяет
ориентировочно определить число каскадов предварительного усиления, полагая,
что один каскад, выполненный по схеме с общим эмиттером, обеспечивает
коэффициент усиления по мощности порядка 30…100.
При использовании в ТЗЧ местной или глубокой ООС, что
необходимо для получения хорошей АЧХ тракта звуковой частоты или при
использовании регуляторов тембра, число каскадов предварительного усиления
необходимо увеличить на 1…2.
Исходя из расчёта ТЗЧ, составляется структурная схема тракта
звуковой частоты.
3. Электрический расчет усилительного каскада
приемника
3.1 Апериодический усилитель
Рассмотрим схему апериодического усилителя на биполярном транзисторе
включенным по схеме ОЭ (общим эмиттером) с последовательной отрицательной
обратной связью. Такая схема, при правильном выборе параметров резисторов
делителя напряжения R1 и R2 и термостабилизирующей
цепи состоящей из резистора R3 и конденсатора C3, обеспечивает устойчивое
усиление в диапазоне температур и поэтому получила наибольшее распространение.
Расчет апериодического усилителя:
Для расчета выбираем транзистор КТ368А и его параметры:
- Граничная частота коэффициента передачи 
Постоянная времени цепи обратной связи 
Емкость коллекторного перехода 
Модуль коэффициента передачи тока на ВЧ 
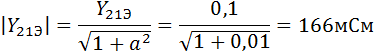
Входная проводимость 
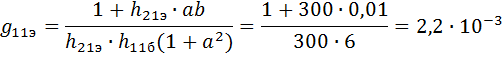
Расчет Y-параметров производится по нижеприведенным
формулам, в которых:
Коэффициенты a и b определяются по формуле (19)
a=b = (19)
Предварительно рассчитываем круговую частоту и сопротивление
базы
 ,
где fо - рабочая частота усилителя в качестве
которой можно выбрать fmax,

- активная составляющая входной полной проводимости Y11э:
- емкость обратной передачи:
полная проводимость обратной передачи:
выходная емкость:
модуль полной проводимости прямой передачи:
полная проводимость прямой передачи:
активная составляющая выходной проводимости Y22э:

Определяется эквивалентное сопротивление нагрузки в цепи
эмиттера (формула 20), исходя из условия получения максимального коэффициента
усиления, считая его равным максимальному устойчивому коэффициенту усиления
резонансного усилителя:
, (20)
где S - крутизна ВАХ транзистора на
максимальной рабочей частоте;
Кmax -
максимальный коэффициент усиления, определяемый по формуле (21) как коэффициент
устойчивого усиления на максимальной частоте диапазона, т.е.:
 (21)
S=1,5 мА/В

Выберем 
Определяется по формуле (23) величина сопротивления нагрузки в
цепи коллектора:
; (22)
где: Rвх - входное сопротивление последующего каскада,
можно принять, что его значение равно 10кОм;
Rвых - выходное сопротивление
транзистора усилителя, можно принять, что его значение равно 100кОм.
Принимается ближайшее меньшее номинальное значение для
сопротивления Rк.

(23)
Реальный коэффициент усиления каскада вычисляется по формуле (24):
(24)
Полученное значение К0 удовлетворяет двум
условиям: оно больше значения выбранного в п. 2.7, и не превышает значения Куст.
Для расчета значений параметров радиоэлементов
апериодического усилителя задаются:
коэффициентом нестабильности V (этот параметр
определяет степень стабилизации, которая обеспечивается в данной схеме, он
зависит от параметров цепи стабилизации и от коэффициента усиления транзистора
по току, его можно принять равным от 1,5 до 4);
величиной напряжения Е¢э (делитель R1, R2 делит коллекторное
напряжение Ек на два напряжения: напряжение между
базой и коллектором - Е¢к и напряжение между базой
и эмиттером - Е¢э), напряжение Е¢э выбирается равным
0,6…0,9В иногда до 1,5В, более точное значение определяется режимом работы
транзистора, т.е. также по ВАХ транзистора.
Определяют величины сопротивлений цепи термокомпенсации R1, R2, R3 и емкости С3
по нижеприведенным формулам (25), (26), (27), (28):
(25)
где Iк - ток коллектора транзистора, определяемый по его ВАХ при
заданном напряжении на коллекторе и сопротивлении Rк;
Е¢э - напряжение между базой и эмиттером,



Выберем номинальное значение по шкале Е24 120 кОм
; (26)
 

Выберем номинальное значение по шкале Е24 2,2 кОм
. (27)

Выберем номинальное значение по шкале Е24 300 Ом
Чтобы сопротивление R3 не
создавало отрицательной обратной связи на рабочих частотах, его обычно
блокируют конденсатором С3, емкость которого определяется по
формуле (28):
(28)
где fmin - минимальная рабочая частота, для УПЧ
это - fпч;
R3 - сопротивление в цепи эмиттера.

Выберем номинальное значение по шкале Е24 0,15 мкФ
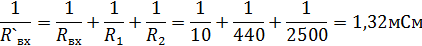
Определяют величину разделительной емкости конденсатора Ср
по формуле (29):
(29)
где: fmin - минимальная рабочая частота усилителя,
для УПЧ это - fпч;
Rвх - входное сопротивление
усилителя, вычисляемое по формуле (30):
(30)
Выберем номинальное значение по шкале Е24 120 пФ
3.2 Резонансный усилитель
Рассмотрим схему резонансного усилителя на транзисторе VT1 с автотрансформаторным включением контура в цепь коллектора и
автотрансформаторной связью с последующим каскадом, который выполнен на
транзисторе VT2.
Схема резонансного усилителя
При такой связи ослабляется влияние входа и выхода
транзистора на колебательный контур. В схеме используется стабилизация режима
работы транзисторов методом эмиттерной стабилизации. Питание цепей транзисторов
осуществляется от источника Ек (на рис. не
указан). Плавная настройка колебательного контура осуществляется конденсатором
переменной емкости С или с помощью варикапа.
Рассчитывается значение индуктивности колебательного контура L по формуле (31):
(31)
Где  


Определяется волновое сопротивление контура на крайних
частотах диапазона:
. (32)
Вычисляется коэффициент устойчивого усиления на максимальной
рабочей частоте диапазона:
В данной формуле величина Y21э измеряется в мСм, fmax - в МГц, С12э - в пФ.
Проверяется возможность выполнения условия устойчивости при
выбранном типе транзистора и параметрах контура (для этого необходимо, чтобы
произведение m1·m2 £1):
где:  
Вычисляются резонансные коэффициенты усиления на крайних
частотах рабочего диапазона:
,
где r - значение
волнового сопротивления контура зависящее от частоты

Расчет значений: сопротивления нагрузки в цепи коллектора Rк; сопротивлений цепи
термокомпенсации R1, R2, R3; разделительной емкости
Ср производится по формулам аналогичным п. 3.1.2.6.:
 
Выберем номинальное значение по шкале Е24 180 Ом
 
Выберем номинальное значение по шкале Е24 2,7 кОм

Выберем номинальное значение по шкале Е24 470 Ом
Выберем номинальное значение по шкале Е24 2700 пФ

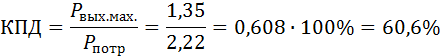
4. Расчет КПД приемника
Расчет коэффициента полезного действия (кпд) приемника является
ориентировочным и может быть выполнен в соответствии со следующей формулой:

где: Р вых max - максимальная выходная мощность
приемника;
Рпотр - мощность потребляемая от источника питания. Она рассчитывается
по формуле:
где: Рк - мощность, рассеиваемая на
коллекторе транзистора выходного каскада УЗЧ (при двухтактной схеме эта
величина удваивается);
коэффициент 1,1…1,3 учитывает потребление остальных каскадов
приемника.
5. Окончательный выбор и обоснование выбора структурной схемы
приемника и принципиальной электрической схемы
С учетом всех проведенных расчетов составляется окончательный
вариант структурной схемы радиоприемника. Такая схема должна быть достаточно
подробной, т.е. включать в себя все каскады приемника, а также каскады схемы
АРУ и цепей питания приемника. Структурная схема с обозначениями всех каскадов
должна быть выполнена в виде отдельного рисунка формата А1 и помещена в
пояснительной записке данного раздела.
По структурной схеме составляется принципиальная электрическая
схема Э3 РПУ. При составлении Э3 можно использовать типовое включение
усилительных элементов различных каскадов. Эта схема должна содержать схему
питания приемника от сети переменного тока напряжением 220В 50 Гц; выбор схемы
(традиционной или импульсного типа) определяется студентом по согласованию с
преподавателем; основным требованием к такой схеме является учет величины
потребляемой мощности (см. п. 1.11).
6. Выбор элементной базы
Все элементы данного радиоприемного устройства выбраны из условий:
обеспечения заданных значений выходной мощности.
обеспечения заданных параметров каждого каскада в отдельности.
уменьшения веса и размеров радиоприемного устройства, то есть
минимизация приемника.
При выборе элементной базы также учитывается то, что приемник
будет эксплуатироваться в нормальных условиях.
Решающим фактором при выборе конденсаторов для приведенного
радиоприемника послужило то, что они имеют достаточно малые габариты.
Следовательно размеры и вес всего радиоприемного устройства также
будут относительно невелики. Основным фактором, по которому происходил выбор
резисторов, является экономический. Все использованные в схеме диоды были
выбраны лишь из-за того, что они по своим параметрам лучше всех остальных
подходят для работы в конкретной схеме. Транзисторы выбирались по следующим
параметрам:
по мощности, рассеиваемой на коллекторе.
по частотным свойствам.
по необходимому коэффициенту усиления.
7. Описание работы приёмника
Данный приёмник предназначен для приёма сигналов диапазонов УКВ на
внутреннюю магнитную антенну. Сигнал проходит через антенну на Входную Цепь,
состоящую из 2-х параллельно подключенных колебательных контура, настраиваемых
переменными конденсаторами, выделяется сигнал нужной частоты.
Из Входной цепи сигнал поступает на резонансный Усилитель Высокой
Частоты, затем на смеситель преобразователя частоты, выполненный на VT3, на смеситель также поступает сигнал с
гетеродина. Гетеродин представляет собой генератор, выполненный по схеме
индуктивной трёхточки. Сигнал промежуточной частоты выделяется контуром С25L9. Основная избирательность по соседнему каналу
обеспечивается Фильтром Сосредоточенной Селекции пьезоэлектрического типа.
Сигнал промежуточной частоты усиливается 3-х каскадным Усилителем Промежуточной
Частоты, первые 2 каскада апериодические 3й резонансный.
Для выделения сигнала низкой частоты используется детектор
собранный по классической схеме которая состоит из диода и фильтра низкой
частоты. Низкочастотный сигнал усиливается в многокаскадном УВЧ собранной по
безтрансформаторной схеме, нагрузкой у УЗЧ является громкоговоритель. Питание
от батарейки. В схеме предусмотрены разъёмы для внешнего динамика и питания.
Литература
1.
Баркан
В.Ф., Жданов В.К. Радиоприёмные устройства. - М.: Советское радио, 1978.
2.
Головин
О.В. Радиоприёмные устройства. - М.: Высшая школа, 1997.
3.
Головин
О.В. Радиоприёмные устройства. - М.: Высшая школа, 2003.
4.
Терещук
Р.М., Терещук К.М., Седов С.А. Полупроводниковые приемно-усилительные
устройства. Справочник радиолюбителя. - Киев: Наукова думка, 1981.
5.
Белов
И.Ф., Дрызго Е.В., Суханов Ю.И. Справочник по бытовой приемно-усилительной
радиоаппаратуре. - М.: Советское радио, 1981.
6.
Алексеев
Ю.П. Бытовая приемно-усилительная радиоаппаратура. - М.: Радио и связь, 1987.
7.
Транзисторы
для аппаратуры широкого применения. Справочник. Под ред. Перельмана Б.Л. - М.:
Радио и связь, 1981.
8.
Резисторы.
(Справочник). Под ред. Четверкова М.: Энергоиздат, 1981.
Похожие работы на - Расчет приемника
|