Производство туалетной бумаги на ООО 'Сибирская бумага'

  • Вид работы:
    Курсовая работа (т)
  • Предмет:
    Другое
  • Язык:
    Русский
    ,
    Формат файла:
    MS Word
    1,84 Мб
  • Опубликовано:
    2013-11-08
Вы можете узнать стоимость помощи в написании студенческой работы.
Помощь в написании работы, которую точно примут!

Производство туалетной бумаги на ООО 'Сибирская бумага'

Содержание

Введение

. Технико-экономическое обоснование

1.1   Технологическая схема производства

1.2 Обезвоживание на сеточном столе

1.3 Обоснование выбора конструкции

2. Технологические расчеты

.1 Расчет процесса формования и обезвоживания бумажной массы на ЭВМ

. Конструкторская часть

.1 Расчет ящиков с гидропланками

.2 Расчет мокрых отсасывающих ящиков

. Монтаж сеточной части

Заключение

Список используемых источников

туалетный бумага гидропланка обезвоживание

Введение

Целлюлозно-бумажное производство - одно из самых сложных отраслей промышленности. Продуктами этого производства являются целлюлоза, древесная масса, бумага и картон. Как полуфабрикаты, так и готовая продукция целлюлозно-бумажного производства имеют широкое применение в народном хозяйстве и культурной жизни страны.

Бумага служит основным материалом для издания книг, журналов, газет и плакатов. Технические виды бумаги и картона широко применяются в электротехнической промышленности для конденсаторов, изоляции силовых кабелей, прокладок, изоляции в электромашинах и т. п., в радиотехнике для производства приемников и прочей аппаратуры.

Большое количество бумажной продукции в качестве тары потребляет химическая и цементная промышленность. Использование бумажных мешков дает большую экономию в народном хозяйстве, так как перевозка минеральных удобрений и цемента в затаренном виде сокращает потери минимум на 10%. Кроме того, в химической промышленности широкое применение находят мешочная и картонная тара для упаковки и транспортирования различных химикатов.

Картон и бумага с большим экономическим эффектом заменяют древесину при изготовлении ящичной тары, стекло при производстве молочных бутылок. Использование картонной тары дает большую экономию древесного сырья. Например, каждая тонна тарного картона позволяет сэкономить 14  деловой древесины. При производстве картонной тары степень механизации всех процессов составляет 90-95%, в то время как при изготовлении деревянной тары она равна только 40-60%. Кроме того, картонные ящики почти в 5 раз дешевле деревянных. В настоящее время без бумаги и картона немыслимы механизированная расфасовка пищевых продуктов и автоматизация торговли.

Различные виды  картона используются в автомобильной и тракторной промышленности для внутренней обивки кузовов автомобилей и облицовки автобусов, в качестве автопрокладок, фильтров, деталей тепловой изоляции. Бумагу и картон широко применяют в строительстве для изготовления кровельных и гидроизоляционных материалов, гипсокартонных листов, обоев.

В данном курсовом проекте мы рассматриваем производство туалетной бумага на ООО "Сибирская бумага".

Проект производства туалетной бумаги производительностью 10т/сут разработан на основании технического здания, утвержденного директором ООО "Сибирская бумага" в 2003г.

1. Технико-экономическое обоснование


1.1 Технологическая схема производства

Для придания получаемой бумаге дополнительных свойств (мягкость, цвет и др.),достигающихся за счёт применения химических реактивов, рекомендуется использование горячей воды 60…70 °С. Исходное сырьё желательно загружать в ёмкость подготовки макулатуры (рисунок 1) и заливать водой. Макулатура (или раскисшая бумага) перегружается в гидроразбиватель (ГРВ), где разбавляется водой и перемалывается, в результате чего образуется масса грубой фракции. Полученная масса самотёком сбрасывается в бак №1 (бак подготовки бумажной массы), где обогащается водой и доводится до необходимой концентрации. Насосом-мельницей бумажная масса перекачивается в бак № 2 - бак составления бумажной массы, в котором она находится в постоянном движении за счёт работы Насоса-мельницы, который перекачивает массу в бак-рессивер (ящик постоянного расхода). Бумажная масса в обоих баках №1 и №2 поддерживается во взвешенном состоянии из-за перекачивания насосами и подачи в баки сжатого воздуха, сбрасываемого вакуумным насосом ВВУ-3, что способствует ускорению процесса образования массы. Излишки массы самотёком перетекают из бака-рессивера обратно в бак № 2, а подготовленная масса через один или несколько вихревых уловителей поступает из бака-рессивера в напорный ящик бумагоделательной машины, откуда на сеточный стол [5].

Регулировка подачи массы в напорный ящик осуществляется посредством вентилей, расположенных на патрубках бака-рессивера. Сеточный стол имеет постоянное движение и, поступившая на него бумажная масса, распределённая равномерно по ширине стола, поступает в зону гауч-вала, где происходит отжим и предварительная калибровка. В процессе движения массы по сеточному столу излишки жидкости отделяются в сборник регистровой воды (яма). По мере его накопления жидкость перекачивается насосом в бак за №1.После предварительного обжима гауч-валом бумажная масса прилипает к суконному транспортёру, который перемещает бумажное полотно в зону обезвоживания посредством сопла вакуумного обезвоживания и далее к нагревательному барабану для сушки. Освобождённое сукно первого суконного транспортёра очищается посредством сопла вакуумной очистки и, отторгнутая вакуумным насосом жидкость поступает в бак составления бумажной массы.

При перемещении бумажного полотна по нагревательному барабану, рабочая поверхность которого имеет равномерный температурный нагрев, из него (полотна) выпаривается до 65% влаги. При попадании в зону крепирования полотно отделяется от нагревательного барабана посредством ножа-шабера и поступает на сушильное сукно.

двигаясь по сушильному сукну, бумажное полотно охватывает до 50% нагреваемой поверхности досушивающего барабана, посредством которого оно приобретает выходные параметры. Готовая бумага поступает в зону приёмного устройства, где, в зависимости от комплектации мини-завода, наматывается в лога или бобины заданного диаметра.

Полученная на бумагоделательной машине бобина переставляется на бобиноразмоточный станок, где она перематывается в лога - это рулоны шириной как бобина, диаметром как рулончик туалетной бумаги. Перемотка на бобиноразмоточном станке позволяет получатьболее плотную намотку в рулончике, и выполнять на бумаге тиснение. Далее полученный лог обклеивается этикеткой (которая обычно заказывается в типографии), а затем распиливается на рулончики на станке для нарезки рулончиков. Полученные рулончики проверяются и упаковываются в пакеты или коробки для реализации. В комплект поставки всех мини-заводов входит оборудование для дальнейшей обработки бумаги, а именно станок для нарезки рулончиков (бумагорезательная пила). Бобиноразмоточный станок входит лишь в комплектацию мини-заводов, производительностью 1,5 и 2 т/сутки, где он необходим, исходя из технологии производства [5]. 

Рисунок 1 - Схема технологического процесса производства туалетной бумаги

Конечным продуктом производства является туалетная бумага (рисунок 2) согласно ТУ130281020-114-91.

Рисунок 2 - Продукция выпушенная на ООО "Сибирская бумага"

Туалетная бумага выпускается в рулончиках, упакованных в картонный ящик или полиэтиленовый пакет.

Хранение должно производиться по ГОСТ6658-75.

Основным сырьем для производства туалетной бумаги является макулатура группы А, Б и В по ГОСТ 10700-97.3.2. Макулатура должна быть упакованной в кипы.

Транспортирование и хранение - по ГОСТ 164

1.2 Обезвоживание на сеточном столе


Сеточная часть является главным участком бумагоделательной машины, где осуществляются начальные технологические процессы, связанные с формованием и обезвоживанием бумажного полотна и определяющие возможную производительность машины.

Процесс формования на сетке БДМ должен обеспечить получение качественного бумажного полотна. Непосредственное влияние на процесс формования оказывает происходящий одновременно с ним процесс обезвоживания, основой которого является фильтрация воды сквозь сетку и слой осевших волокон. Поэтому теоретическое описание процесса обезвоживания, определяющее количество удаляемой воды и связанной с этим изменение концентрации по длине регистровой части, является необходимым для управления процессом, его автоматизации с целью получения требуемого качества продукта.

Исходным пунктом для теоретического обоснования процесса обезвоживания является скорость фильтрации, которая связывается определенным соотношением с действующим напором.

Обезвоживание массы происходит на отдельных участках по ходу движения сетки: открытый участок, регистровые валики (сплошные и желобчатые), гидропланки и мокрые отсасывающие ящики в соответствии с рисунком 7.

Основным элементом сеточного стола является движущаяся бесконечная сетка, натянутая между грудным и гауч-валом. Верхняя ветвь сетки (рабочая) движется по формующему ящику, регистровым валикам, гидропланкам, мокрым отсасывающим ящикам, сухим отсасывающим ящикам, а нижняя (нерабочая) - по сетковедущим валикам, сеткоправильным и сетконатяжным устройствам, ведущему валу.

1 - грудной вал; 2 - формующий ящик; 3 - регистровый вал; 4 - ящик гидропланок; 5 - мокрый отсасывающий ящик; 6 - отсасывающий ящик;

- отсечка; 8 - гауч - вал; 9 - ведущий вал; 10 - измерительное устройство автоматическойсетконатяжки; 11 - сетконатяжка для создания предварительного натяжения сетки; 12 - сеткоправка; 13 - исполнительный механизм автоматическойсетконатяжки; 14 - сетка.

Рисунок 7 - Сеточная часть

Грудной вал, устанавливаемый в начале сеточного стола, - трубчатый, как показано на рисунке 8. Наружный его диаметр от 400 до 1000 мм, толщина стенки от 6 до 8 мм; вал облицован твердой резиной.

1 - труба; 2 - резиновое покрытие; 3 - патрон; 4 - цапфа; 5 - радиальный подшипник; 6 - упорный подшипник.

Рисунок 8 - Грудной вал

После формующего ящика на участке формования и обезвоживания могут быть установлены регистровые валики, гидропланки и мокрые отсасывающие ящики.

Примерно до 1970 года для поддержания сетки в горизонтальном положении устанавливались регистровые валики, количество которых доходило до 30 ¸ 35 штук. На рисунке 9 показан сеточный стол с регистровыми валиками.

- грудной вал; 2 - регистровые валики; 3 - ограничительные линейки; 4 - формующая доска; 5 - отсасывающие ящики; 6 - дефлекторы; 7 - отсасывающийгауч - вал; 8 - сетковедущие валики; 9 - правильный валик; 10 - натяжной валик.

Рисунок 9 - Сеточный стол с регистровыми валиками

В результате разработок для наиболее эффективного обезвоживания бумажной массы при небольшом износе и минимальных затратах энергии создан целый ряд гидропланок различных конфигураций и профилей.

Многочисленные конструкции гидропланок можно разделить на следующие группы:

одинарные гидропланки, позволяющие регулировать положение рабочей (обезвоживающей) части планки по отношению к движущейся сетке;

пакетное расположение гидропланок (по 3-10 штук), имеющих одинаковые конструктивные параметры по обезвоживанию.

а - одинарная; б - пакетное расположение.

Рисунок 10 - Гидропланки

Использование перечисленных конструкций гидропланок зависит от технологических параметров бумагоделательной машины, на которой они будут установлены, но удобнее в обслуживании пакетное расположение (ящики с гидропланками).

Стандартные гидропланки для бумагоделательных машин, работающих на скорости до 500-550 м/мин, изготовляются из высокомолекулярного полиэтилена низкого давления. При скорости машины свыше 550-600 м/мин целесообразно применять керамические гидропланки, хотя они и значительно дороже.

На рисунке 11 показаны различные профили гадропланок, применяемые для формования и обезвоживания бумажного полотна.

Наиболее распространенный профиль гидропланок показан на рисунке 11 под номером I. Гидропланки этого профиля используются как для одиночной установки, так и для набора пакетов. Под номерами 2 и 3 показаны гидропланки, у которых наклонная поверхность состоит из двух зон обезвоживания "а" и "б". В первом случае зона "а" ограничена частью наклонной плоскости с кривизной, зона "б" - другой ее частью, расположенной под углом g. Во втором случае - зоны "а" и "б" ограничены наклонными плоскостями, расположенными под углами a/ и g/ соответственно.

Такие конструкции гидропланок позволяют обезвоживать массу, создавая в ней микротурбулентность в первой зоне, что благоприятно сказывается на формовании и получении равномерного просвета, особенно при использовании длинноволокнистой массы, например, сульфатной хвойной целлюлозы. Гидропланки 2 обеспечивают более мягкий режим обезвоживания массы, чем гидропланки 3, благодаря их более плавной наклонной поверхности. В гидропланках 5 и 6 в зоне сильного износа поверхности врезан специальный вкладыш из окиси кремния или из кислотоупорного износостойкого металла, что обеспечивает значительное удлинение срока работы гидропланки (в 4-5 раз), хотя они в 3-4 раза дороже по сравнению с планками без вкладышей. В зависимости от содержания наполнителя и песка в бумажной массе такие гидропланки работают в течение 4-6 месяцев между шлифовками.

l1 - плоская поверхность; l2 - наклонная поверхность;

b - угол направляющей поверхности

Рисунок 11- Основные конструктивные элементы гидропланки

Мокрые отсасывающие ящики (МОЯ)-отличаются от регистровых валиков и гидропланок тем, что скорость обезвоживания и величина вакуума в них не зависят от скорости сетки. Это позволяет создать наиболее оптимальные условия для проведения процесса формования и обезвоживания с целью получения бумажного полотна с требуемыми свойствами.

Мокрые отсасывающие ящики с успехом используются практически при любых скоростях бумагоделательных машин, особенно при низких, для удержания мелкого волокна, наполнителя и красителя.

При использовании на высоких скоростях мокрые отсасывающие ящики целесообразно устанавливать в зоне активного формования бумажного полотна, где важно поддерживать вакуум без значительных перепадов, чтобы обеспечить образование равномерной структуры бумаги по толщине листа.

При скорости работы бумагоделательных машин 300 - 400 м/мин поверхность планок мокрых отсасывающих ящиков покрывают полиэтиленом высокой плотности, а при скорости свыше 500 м/мин, и при выработке бумаги с высокой зольностью, для покрытия применяют керамические материалы; хотя они и значительно дороже полиэтилена, но обеспечивают стабильность технических параметров планок, что чрезвычайно важно при работе на скоростях от 700 до 900 м/мин и выше.

Для удаления воды используются обычные гидрозатворы, располагаемые по всей длине ящика, или отдельные трубы, нижние концы которых опущены в желоб (рисунок 12).

Рисунок 12 - Схема движения воды в мокрых отсасывающих ящиках

Отсасывающие ящики (схема представлена на рисунке 13) устанавливаются в конце сеточной части, обезвоживание на них происходит под действием вакуума, создаваемого вакуумными насосами.

- отсасывающий ящик; 2 - верхняя крышка ящика; 3 - шибер для регулирования ширины отсоса; 4 - винт для перемещения шибера; 5 - отводящий патрубок для воды и воздуха; 6 - болты для регулирования положения ящика по высоте

Рисунок 13 - Отсасывающий ящик

Сухость полотна бумаги после отсасывающих ящиков составляет от 6 до 14%.

Сетка скользит по крышкам отсасывающих ящиков, имеющих продолговатые или круглые отверстия. Живое сечение отверстий составляет 35-60% поверхности крышки. В некоторых конструкциях крышки состоят из отдельных планок шириной 20-30 мм, с просветом между ними 30-35 мм. Живое сечение в этом случае - до 40-60%. Однако, при такой конструкции износ сетки несколько повышается, так как, втягиваясь в просветы между планками, она изнашивается сильнее, чем на дырчатых крышках.

Ширина отсоса на ящиках в зависимости от ширины бумаги на сетке регулируется форматными шиберами. На современных машинах корпуса ящиков сварные, из нержавеющей стали. На машинах высокой скорости, где количество удаляемой воды велико, глубину (высоту) ящика следует увеличить, чтобы между уровнем воды в ящике и сеткой всегда было воздушное пространство. Положение ящика по высоте можно регулировать, обеспечивая соприкосновение с сеткой всех ящиков. В зависимости от вида бумаги и скорости машины, устанавливают от 3 до 12 отсасывающих ящиков шириной 200-500 мм.

При одной и той же общей ширине предпочтительно большее число узких ящиков (шириной 200-300 мм), чем меньшее число широких, так как это обеспечивает более медленное и плавное нарастание вакуума по ходу машины. Ящики необходимо устанавливать вплотную друг к другу. При таком расположении сокращается место, занимаемое отсасывающими ящиками по длине сеточной части, и повышается сухость полотна ввиду уменьшения количества впитывающейся воды из ячеек сетки в полотно бумаги на участках между ящиками, где не происходит обезвоживания.

Процесс обезвоживания бумажной массы под действием прикладываемого давления представляет собой сложный комплекс явлений, протекающих во времени и связанных с фильтрацией воды, воздуха и деформацией бумажной массы. Анализ деформаций, изменений сухости и скорости фильтруемого воздуха позволяет расчленить процесс обезвоживания на следующие четыре последовательно протекающие стадии в соответствии с рисунком 14.

-я стадия характеризуется тем, что происходит выжимание воды под действием созданной разности давлений воздуха на верхней и нижней поверхностях бумажного слоя.

Деформация бумажного полотна в первой стадии пропорциональна количеству удаляемой воды. Отжатая вода повисает под сеткой и частично отрывается от нее под действием сил тяжести. В первой стадии процесса удаляется из полотна бумаги наибольшее количество воды. Внешнее давление воспринимается водой.

-я стадия определяется тем, что происходит относительная стабилизация толщины бумажного полотна и прорыв воздуха через отдельные поры, в результате чего повисающая снизу сетки вода начинает сдуваться. Во второй стадии воздух также вытесняет воду из пор сжатого слоя. Здесь давление воспринимается как водой, так и твердым скелетом.

Рисунок 14 - Четыре стадии процесса обезвоживания

-я стадия связана с прекращением процесса фильтрации воды и установившейся фильтрацией воздуха через полотно. Поэтому в третьей стадии бумажное полотно практически не обезвоживается, и фильтруемый воздух сдувает только отжатую ранее воду. Внешнее давление полностью воспринимается твердым скелетом.

-я стадия характеризуется обратным увлажнением бумажного полотна, происходящим в результате упругой деформации бумажной массы. Прекращение воздействия вакуума на бумажное полотно вызывает увеличение его толщины за счет сил упругости и впитывания оставшейся в ячейках сетки и частично под сеткой не сдутой воздухом воды. Происходит увлажнение бумажной массы.

Такое разделение всего процесса на отдельные стадии до некоторой степени является условным, так как резких граней перехода между стадиями нет. Если предварительно из бумажной массы уже удалено значительное количество воды, то при последующем создании вакуума и в первой стадии процесса возможно проникновение воздуха. Принятая условная градация не исключает удаления воды из пор во время второй и третьей стадий.

Четвертая стадия процесса характеризуется насыщением бумажной массы влагой за счет упругого расширения скелета волокнистого материала, в результате чего происходит увеличение пор, в которые и всасывается вода из ячеек сетки.

Величина вакуума в отсасывающих ящиках зависит от вида вырабатываемой бумаги.

При увеличении вакуума интенсивность обезвоживания повышается; однако не следует создавать вакуум выше необходимого для нормальной работы, так как при этом ухудшается качество бумаги, увеличивается провал мелкого волокна сквозь сетку, усиливается маркировка бумаги, приводящая к большей разносторонности бумажного полотна, а также возрастают износ сетки и потребляемая сеточной частью мощность.

Для уменьшения износа сетки к материалу покрытия отсасывающих ящиков предъявляются следующие требования:

1   иметь минимальный коэффициент трения с сеткой;

2    быть износоустойчивым.

Для решения указанных выше требований стали применять в качестве покрытий фторопласт-4, высокоглиноземистую керамику, содержащую до 90-95% Al2O3, а также карбид кремния. Для этих материалов характерен очень низкий коэффициент трения с сеткой (f = 0,03¸0,035), но их изготовление достаточно сложное и дорогое.

Наиболее распространенным стало использование синтетических сеток совместно с материалом покрытия из высокомолекулярного полиэтилена.

После отсасывающих ящиков бумажное полотно обезвоживается на гауч-вале (рисунок 15) до сухости 15 - 20 %.

1 - цилиндр; 2 - удлиненная приводная цапфа; 3 - болты для крепления цапф к цилиндру; 4 - подшипник каченияцилиндра с приводной стороны; 5 - лицевая крышка; 6 - подшипник качения цилиндра с лицевой стороны; 7 - отсасывающая камера; 8 - хвостовик отсасывающей камеры с приводной стороны; 9 - подшипник отсасывающей камеры с приводной стороны; 10 - хвостовик отсасывающей камеры с лицевой стороны; 11 - лицевая станина отсасывающего вала; 12 - механизм для поворота камеры; 13 - ролики для выкатывания камеры; 14 - шланг пневматического прижима уплотнений; 15 - труба для подачи воздуха в шланг; 16 - поперечные уплотнения камеры; 17 - продольные уплотнения камеры; 18 - винт для перемещения поперечных уплотнений; 19 - труба для подачи воды в спрыск; 20 - спрыск; 21 - подставка, вынимаемая при смене сетки.

Рисунок 15 - Отсасывающий вал консольного типа

Применение отсасывающих валов позволило увеличить скорость и ширину машины, а также значительно улучшить условия ее эксплуатации.

.3 Обоснование выбора конструкции

В данный момент на ООО "Сибирская бумага" в качестве формующих и обезвоживающих элементов используются ящики с гидропланками и отсасывающие ящики.

При обезвоживании бумажной массы на гидропланках перепад давления сравнительно небольшой, примерно в 2-3 раза меньше, чем на регистровом валике, и его можно изменять в ту или иную сторону, меняя угол a или длину наклонной поверхности гидропланки.

Путем уменьшения угла и удлинения наклонной поверхности можно уменьшить перепад давлений, не изменяя в целом площади обезвоживания, то есть, сохраняя общую обезвоживающую способность гидропланки. В этом случае процесс формования проходит более спокойно, в значительной степени будут задерживаться мелкое волокно, наполнитель и краситель в бумажном полотне, а его структура по толщине будет более однородной с минимальной разницей свойств между сторонами листа.

Мокрые отсасывающие ящики (МОЯ) отличаются от регистровых валиков и гидропланок тем, что скорость обезвоживания и величина вакуума в них не зависят от скорости сетки. Это позволяет создать наиболее оптимальные условия для проведения процесса формования и обезвоживания с целью получения бумажного полотна с требуемыми свойствами.

Мокрые отсасывающие ящики с успехом используются практически при любых скоростях бумагоделательных машин, особенно при низких, для удержания мелкого волокна, наполнителя и красителя.

При использовании на высоких скоростях мокрые отсасывающие ящики целесообразно устанавливать в зоне активного формования бумажного полотна, где важно поддерживать вакуум без значительных перепадов, чтобы обеспечить образование равномерной структуры бумаги по толщине листа.

Исходя из выше сказанного, в качестве обезвоживающих и формующих элементов на буммашине ООО "Сибирская бумага" для создания оптимальных условий формования и обезвоживания полотна лучше устанавливать гидропланки и мокрые отсасывающие ящики в сочетании с синтетической сеткой - это увеличит скорость бумагоделательной машины и срок службы МОЯ и гидропланок.

2. Технологические расчеты

2.1 Расчет процесса формования и обезвоживания бумажной массы на ЭВМ


При проведении расчета на ЭВМ необходимо правильно ввести в нее исходные данные. Для этого следует:

сделать схему расположения обезвоживающих и формующих элементов с проставленными размерами участков свободной фильтрации;

изучить порядок расчета формул для каждого признака и соответственно написать последовательность признаков и расстояния между обезвоживающими элементами для ввода их в ЭВМ;

определить коэффициент фильтрации на приборе по специальной методике для нескольких значений напора и построить зависимость коэффициента фильтрации от напора. Для каждого расчетного участка определяется величина напора и по графику определяется соответствующее значение коэффициента фильтрации. Таким образом определяют статический коэффициент фильтрации; для расчета на ЭВМ необходимо брать значение динамического коэффициента, который, как показали многочисленные эксперименты, примерно в 8-10 выше статического. Это дает возможность изменять значение коэффициента фильтрации, если в этом возникает необходимость, то есть значение расчетной концентрации очень быстро достигает концентрации слоя осевших волокон и расчет останавливается или наоборот, показывает неэффективность работы участка формования и обезвоживания [1].

Экспериментальные данные показывают, что чем меньше начальная концентрация массы, поступающей из напорного ящика, тем более равномерное и распределение волокон и лучше просвет, поэтому выбор оптимального значения начальной концентрации, а значит и высоты слоя массы, поступающего из напорного ящика, также оказывает влияние на изменение концентрации по длине участка формования и обезвоживания.

Процесс формования и обезвоживания протекает нормально, если изменения концентрации бумажной массы по длине формования имеет линейную зависимость. Поэтому, построив график по результатам расчета, можно судить о степени конструктивного и технологического совершенства участка формования и обезвоживания и внести при необходимости скорректированные значения величин, которые, как уже указывалось, могут повлиять на степень изменения концентрации бумажной массы по длине формования [1].

Схема алгоритма и программа составлены исходя из четырех разных участков обезвоживания и формования:

Признак 1 - открытый участок сетки бумагоделательной машины;

Признак 2 - регистровый валик;

Признак 3 - гидропланка;

Признак 4 - мокрый отсасывающий ящик.

Рисунок 16 - Схема алгоритма головной программы

Рисунок 17 - Схема алгоритма подпрограммы "Признак 1"

Рисунок 18 - Схема алгоритма подпрограммы "Признак 2"

Рисунок 19 - Схема алгоритма подпрограммы "Признак 3"

Рисунок 20 - Схема алгоритма подпрограммы "Признак 4"

Входная информация контрольного расчёта содержит следующие числовые данные:

Число мокрых отсасывающих ящиков: 6.

Число гидропланок: 16.

Расстояние между обезвоживающими элементами:

0,1 0,2 0,25 0,25 0,25 0,25 0,25 0,25 0,25 0,25 0,25

,25 0,25 0,25 0,25 0,25 0,25 0,25 0,25 0,3 0,3

,3 0,3 0,3 0,3 0,5

Признаки:

1 1 3 3 3 3 3 3 3 3 3 3 3 3 3 3 3 3 3 4

4 4 4 4 1

Коэффициенты фильтрации:

0,00005 0,00005 0,00003 0,00003 0,00003 0,00003 0,00003

,00003 0,00003 0,00003 0,00003 0,00003 0,00003 0,00003

,00003 0,00003 0,00003 0,00003 0,00003 0,00002 0,00002

0,00002 0,00002 0,00002 0,00002 0,0000105

Значения вакуума, м.вод.ст.

,2 0,22 0,24 0,26 0,28 0,3

Значения углов, град.

0 0 0 1 1 1 1 2 2 2 2 3 3 3 3

Ускорение силы тяжести, м2/с 9,81

Скорость сетки, м/с 3,33

Концентрация обезвоженного слоя, % 2,07

Концентрация промоя, % 0,025

Начальная концентрация, % 0,45

Радиус регистрового валика, м 0

Высота слоя массы, м 0,0158

Длина скошенной части гидропланки, м 0,025

После того, как мы ввели данные, получаем расчёт формования:

n признак высота слоя начальная концентрация массы


Можно сделать вывод о работоспособности программы, так как полученные данные примерно равны заданным параметрам.

3. Конструкторская часть

3.1 Расчет ящиков с гидропланками


Корпуса ящиков обычно изготавливают сварными из нержавеющей листовой стали Х18Н9Т толщиной от 6 до 12мм. Ящики опираются на балки сеточного стола с помощью кранштейнов, приваренных к торцевым крышкам ящика. Положение ящика по высоте для обеспечения контакта с сеткой можно регулировать установочными винтами с гайками.

Сечение корпуса ящика представляет собой основной несущий элемент треугольной формы, к которому по длине ящика приварены ребра жесткости.К ребрам жесткости с обеих сторон приварены боковые накладки из листовой стали.

Для определения осевых моментов инерции и сопротивления поперечного сечения ящика необходимо разбить сечение на отдельные геометрические фигуры, положение центра тяжести и момент инерции которых известен. Составное сечение ящика содержит горизонтально и вертикально расположенные кольцевые секторы и узкие вертикальные и наклонные прямоугольники [1].

Определяем площадь сечения кольцевого сектора в соответствии с рисунком 21 из выражения:

Рисунок 21 - Площадь сечения кольцевого сектора

 (3.1)

где r- радиус кольцевого сектора, м; r=0,028м

- толщина полосы, м; =0,006м

 (3.2)


Определяем положение центра тяжести и координаты крайних точек сечения

 (3.3)

 (3.4)


Определяем момент инерции относительно оси Х-Х для горизонтального кольцевого сектора согласно рисунка 22:

 (3.5)

 

Координаты крайних точек сечения и момент инерции относительно оси Х-Х для вертикального кольцевого сектора определяем по рисунку 20:

Рисунок 22 - Схема кольцевого сектора

, м (3.6)

где r- радиус кольцевого сектора; r=0,028м

4 м

Момент инерции

,  (3.7)

=

Площади и момент инерции сечения вертикальной прямоугольной полосы определяем согласно рисунку 23:

Рисунок 23 - Схемы сечения вертикальной (а) и наклонной (б) прямоугольных полос

 (3.8)

где h- высота полосы, м

- толщина полосы, м

 (3.9)


Для наклонной прямоугольной полосы, согласно рисунку 3.4,б площадь и момент инерции определяются


где δ- толщина полосы, м

l- длинна полосы, м

 (3.11)

где h- высота наклонной полосы, м


Для горизонтально расположенной полосы

 (3.12)

где В- ширина полосы, м

 (3.13)

 (3.14)


Определяем координаты центра тяжести сечения ящика по выражению

 (3.15)

где - расстояние от центров тяжести отдельных геометрических фигур до начала координат, м;

 - площади соответствующих фигур сечения,


Определяем момент инерции сечения ящика

 (3.16)

где - - расстояние соответствующих фигур сечения ящика от центров тяжести до нейтральной оси, м.

 


Момент сопротивления сечения ящика:

 (3.17)


Определяем вертикальную нагрузку, действующую на ящик

 (3.18)

где-    - сила тяжести ящика, Н

- распределенная нагрузка на ящик от массы с сеткой (для расчета принимается 100Н/м). В- длина рабочей части ящика, м

Сила тяжести ящика с 5-ю гидропланками

=7096 H

С расчетной точки зрения корпуса ящика будет представлять собой балку на двух опорах, нагруженную равномерно распространенной нагрузкой по длине рабочей части корпуса (рисунок 24)

Рисунок 24 - Схема нагружения корпуса ящика

Так как нагрузка симметричная, реакции опор равны между собой

 H (3.19)

где- - интенсивность равномерно распределенной нагрузки, Н/м

 (3.20)


Ящик крепится к продольным балкам сеточного стола по средствам кронштейнов.

3.2 Расчет мокрых отсасывающих ящиков


Количество воды, отводимой из полотна картона одним отсасывающим ящиком, Q ,м3/с, находится по формуле

, (3.21)

где h2 - высота слоя воды, удаляемой из полотна отсасывающим ящиком, м;

B - ширина полотна картона, м;

Vc - скорость сетки, м/с.

,    (3.22)

где K - коэффициент фильтрации, м/с;

Н - вакуум в мокром отсасывающем ящике, м. вод. ст;

h0 - высота слоя массы, поступающей на МОЯ, м;

L - длина живого сечения МОЯ, м;

С - концентрация осевшего слоя, %;

С0 - начальная концентрация массы, %;

Сm - концентрация промоя, %.

Принимаем К=1,05; Н=0,44 м. вод. ст; h0=0,0054 м; L=0,3 м; С=3,8%; С0=0,5%; Сm=0,0146%.

 м3/с.

Площадь сечения, необходимого для удаления воды из ящика, S, м2, находится по формуле

, (3.23)

где Vв - скорость движение воды ,м/с.

µ - коэффициент истечения, учитывает потери скорости за счёт трения о стенки ящика и местных сопротивлений, µ=0,5-0,6, принимаем µ=0,6;

g - ускорение свободного падения, м/с2;

H2 - уровень воды в ящике, соответствующий максимальному значению вакуума в ящике, м. вод. ст.


Число труб n, определяется по формуле

, (3.24)

где dв - внутренний диаметр трубы, м.

Принимаем трубу 2196 мм.

.

Принимаем по длине ящика 3 сифонных трубы.

Рисунок 25 - Поперечное сечение МОЯ

Координата центра тяжести сечения ящика yЦТ, определяется по формуле

, (3.25)

где F1, F2, F3 - площади соответствующих прямоугольников сечения, м2;

с1, с2, с3 - расстояния от центров тяжести фигур сечения до началокоординат, м.

 м.

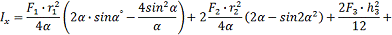
Осевой момент инерции сечения ящика Ix, м4, определяется по формуле

, (3.26)

где y1, y2, y3 - расстояния от центра тяжести фигур сечения до нейтральной оси, м.


Момент сопротивления сечения Wx, м, определяется по формуле

, (3.27)

 м3.

Суммарная вертикальная нагрузка, действующая на ящик, Р, Н, определяется по формуле:

, (3.28)

где Gя - сила тяжести ящика, Н;

Gв - сила тяжести воды в ящике, Н;

Qвак - усилие от вакуума в ящике, Н.

 (3.29)

где Н - высота слоя воды в ящике, м;

δя - ширина ящика, м;

Lя - длина ящика, м;

γ - плотность воды, равная 1000 кг/м3;

g - ускорение свободного падения, м/с2.

 Н,

,                          (3.30)

где Fжив - живое сечение ящика, м2;

Рвак - величина вакуума в ящике, Па.

, (3.31)

где В - длина корпуса ящика, м.

 Н,

 Н.

Абсолютный прогиб рабочей части ящика посередине пролёта fабс, м, находится по формуле

, (3.32)

где l - расстояние между опорами ящика, м;

Е - модуль упругости, Н/м2; принимаем для стали Е= Н/м2;


Рисунок 26 - Схема нагружения корпуса мокрого отсасывающего ящика

Относительный прогиб рабочей части ящика , находится по формуле

, (3.33)

,

следовательно, условие выполняется.

Изгибающий момент в середине пролёта ящика Мmax, Нм, находится по формуле

, (3.34)

 Нм.

Напряжения от изгибающего момента σи, МПа, находится по формуле

, (3.35)

 МПа

Коэффициент запаса прочности по пределу текучести nT, находится по формуле

, (3.36)

где σТ - предел текучести материала, для стали X18Н9Т σТ=200 МПа;

 - допускаемое значение коэффициента запаса прочности, принимаем =1,5;


Поперечное сечение корпуса мокрого отсасывающего ящика удовлетворяет требованиям прочности и жесткости.

Ящик крепится к продольным балкам сеточного стола с помощью кронштейнов, усиленных рёбрами жесткости. Координаты центра тяжести сечения кронштейна в соответствии с рисунком 27 определяется следующим образом:

, (3.37)


Рисунок 27 - Поперечное сечение кронштейна


 (3.38)

Момент сопротивления сечения Wx, м3, находится по формуле

, (3.39)


Изгибающий момент, действующий на кронштейн, Мк, Нм, находится по формуле

 (3.40)

где Р - вертикальная нагрузка, действующая на ящик, Н;

lк - вылет кронштейна, м.

 Нм

Напряжения, возникающие в сечении кронштейна, σ, МПа, находится по формуле

, (3.41)

 МПа.

Коэффициент запаса прочности по пределу текучести nT, находится по формуле

, (3.42)

где σТ - предел текучести материала, для стали X18Н9Т σТ=200 МПа;

 - допускаемое значение коэффициента запаса прочности, принимаем =1,5;


Напряжения среза, возникающие в сварных швах кронштейна от действия изгибающего момента, σш, МПа, находится по формуле

, (3.43)

где β - коэффициент, учитывающий глубину провара, принимаем β=0,7;

hш - толщина таврового шва (катет равнобедренного треугольника, вписанного в профиле шва), м;

lш - расчётная суммарная длина тавровых швов в соединении, м;

m - коэффициент условий роботы шва, принимаем m=0,9;

ш] - допускаемое напряжение среза сварного шва, принимаем для стали X18Н9Т равным 150 МПа.


4. Монтаж сеточной части

Монтаж сеточной части (рисунок 28) начинают с установки гауч-вала по рискам на шинах и выверяют относительно монтажных осей, базового вала и горизонтальность. После выверки положение вала фиксируют штифтами.

Для машин в которых гауч-вал укреплён к поперечной балке стола консольного, установку и выверку вала производят после монтажа соответствующих балок.

Корыто гауч-вала временно подвешивают под валом на уровне фундаментных плит, выверяют валы, после чего устанавливают корыто в рабочее положение [6].

а- плоскосеточная с консольным столом; б- плоскосеточная с выдвижным столом; 1- грудной вал; 2- формующая доска; 3- регистровый вал;

- продольная балка; 5- поперечная балка; 6- отражатель; 7- отсасывающий ящик; 8- форматная линейка; 9- ровнитель; 10- отсасывающий ящик с подвижной лентой; 11- сводная отсечка; 12- гауч-вал; 13- ведущий вал сетки; 14- сетковедущий вал; 15- шабер; 16- сетконатяжка; 17- подъёмный вал; 18- сеткоправка.

Рисунок 28 - Сеточная часть

Монтаж станин (рисунок 29,30) производят так: устанавливают опоры под поперечные балки, выверяют и по рискам на шинах и закрепляют; устанавливают поперечные балки, выверяют их так, чтобы оси балок располагались перпендикулярно к центральной оси машины, и закрепляют к опорам; продольные балки устанавливают на поперечные, выверяют их относительно главных монтажных осей и по высоте. Контролируют установку балок замерами по диагоналям. После выверки балки закрепляют и устанавливают поперечные связи. Результаты выверки балок заносят в формуляр.

-продольные балки; 2- поперечные балки; 3- вспомогательные поворотные балки; 4,5- опорные стойки; 6- ролик;7- катковая опора; 8- ведущий каток;

- вспомогательная стойка.

Рисунок 29- Выдвижной сеточный стол

- поперечная балка; 2- продольная балка; 3,4- стойки приводной и лицевой стороны; 5- опора; 6- съёмная деталь; 7- гидравлический домкрат; 8- шарнир.

Рисунок 30- Консольный сеточный стол

Сетковедущие валы устанавливают по рискам, нанесённых на шинах при разметке осей; валы, закрепляемые на продольных балках стола - по рискам, нанесённых при контрольной сборке стола на заводе изготовителе.

Окончательно выверяют валы на горизонтальность уровнем, а на параллельность - микрометрическим нутромером или рулеткой в обхват. Выверку валов производят последовательно друг за другом, начиная от гауч-вала.

Устанавливают и закрепляют шаберы, спрыски и другие устройства, монтируемые под корытами водосборного устройства подсеточной воды.

Выверку шаберов производят специальными регулировочными тягами. Правильность прилегания ножа шабера к валу ( угол наклона, горизонтальность и параллельность оси вала) проверяют с помощью шаблонов, специальных уровней или на просвет. Для исправления прилегания ножа в соответствующих местах устанавливают прокладки из фольги между держателем и корпусом шабера [6].

При выверке механизма возвратно - пускательного движения шабер должен находиться в среднем положении.

Механизм отвода шабера от вала собирают после штифтовки опор шаберов. В процессе сборки регулируют длину канатов так, чтобы при рабочем положении шабера они были ослаблены, а при отведённом шабере выдержан установочный зазор. После монтажа все шаберы отводят от валов и стопорят.

Механизм тряски сетки (рисунок 31) монтируют в такой последовательности: разбивают оси механизма ( в качестве монтажных осей принимают ось приводного вала механизма в направлении тряски для каждого механизма); выверяют механизм по осям и высоте; координируют работу механизмов ( в координацию работ входят регулировка механизмов на максимальную амплитуду тряски с помощью винтовой передачи и установка тяг в верхние мёртвые точки); одновременно проверяют установочные размеры в направлении тряски.

Проверяют центровку приводных валов смежных механизмов тряски по индикатору часового типа и устанавливают промежуточный валик, соединяющий эти валы.

Тяги механизмов соединяют плоскими пружинами с кронштейнами, закреплёнными на продольной балке приводной стороны сеточного стола.

В местах соединения продольных балок машины с механизмами тряски в поперечном направлении устанавливают плоские пружины, соединяющие балки приводной и лицевой сторон.

Устанавливают приводной электродвигатель и проводят центровку его к механизму по шкивам.

Устанавливаю корыта и желоба водосборного устройства подсеточной воды. Монтаж производят блоками согласно заводской маркировке. Блоки закрепляют на продольных балках. Стыки блоков и места присоединения желобов к продольным балкам герметизируют эластомером. Болты ставят на шайбы из пластмассы [6].

а- механизм выдвижения стола; б- механизм тряски; в- ровнитель;

г- отсасывающий ящик с подвижной лентой; 1- продольная балка;

- пневмодвигатель; 3- редуктор; 4- вал; 5- ведущие катки; 6- вертикальные пружины; 7- тяга; 8- механизм тряски; 9- электродвигатель;

- горизонтальные пружины; 11- ровнительный валик; 12- механизм подъёма- опускания; 13- стойка; 14- сетка; 15- валики; 16- отсасывающий ящик; 17- бесконечный перфорированный ремень.

Рисунок 31- Узлы сеточной части

Грудной вал с механизмом подъёма- опускания ( рисунок 32) монтируют в следующей последовательности: собирают шарнирные соединения седловин грудного вала с продольными балками стола, устанавливают седловины в рабочее положение и закрепляют их к стойкам напорного ящика; грудной вал в сборе с подшипниковыми узлами опускают на седловины и с помощью регулировочных винтов устанавливают в среднее положение.

Выверяют грудной вал на горизонтальность и параллельность гауч- валу и закрепляют.

Дальнейший порядок работ выбирают в зависимости от типа механизма подъёма- опускания [6].

При винтовом механизме (рисунок 32,б): устанавливают червячные редукторы и закрепляют их на продольных балках; в редукторы заводят подъёмные винты; собирают шарнирные соединения винтов с проушинами на седловинах грудного вала; устанавливают промежуточный валик, соединяющий червячные валы редукторов на лицевой и приводной сторонах.

а - гидравлического; б - винтового; в - с канатной передачей; 1- грудной вал; 1б - продольная балка; 3- подъёмный винт; 4 - гидравлический цилиндр; 5-7- редукторы; 8 - гидравлический двигатель; 9 - канат; 10 - блок; 11- стойки напорного ящика.

Рисунок 32- Схема механизма подъёма- опускания грудного вала

При гидравлическом механизме (рисунок 32,а) устанавливают гидроцилиндры со сборкой шарнирных соединений корпусов цилиндров с проушинами на боковых плоскостях балок стола и штоков цилиндров с проушинами на седловинах грудного вала с последующей регулировкой хода штоков.

При механизме с канатной передачей (рисунок 32,в) устанавливают на фундаменты червячные редукторы с выверкой их по осям и высоте; закрепляют узлы с направляющими роликами для канатов; соединяют канатами седловины грудного вала с барабанами редукторов; устанавливают промежуточный валик, соединяющий червячные валы редукторов на лицевой и приводной сторонах, устанавливают приводной двигатель с центровкой к одному из редукторов [6].

Устанавливают отсасывающие ящики и формующую доску. Формующую доску выверяют на параллельность от грудного вала, отсасывающие ящики от окончательно выверенного и временно закреплённого от поворачивания последнего регистрового вала.

Устанавливают отражатели. Зазоры между отражателями и валами выдерживают одинаковыми. Окончательную выверку отражателей по высоте производят в пусковой период после установки перфорированных планок. При этом верхние плоскости планок должны быть горизонтальными и на одной высоте с регистровыми валами.

Ровнитель монтируют в такой последовательности: устанавливают опорные конструкции под ровнитель и выверяют их; выверяют ровнитель по отношению к плоскости сетки и на параллельность гауч- валу.

Устанавливают электродвигатель привода и выверяют его по шкиву ровнителя.

После окончания монтажа валов и прочих узлов консольного стола консольные части поперечных балок притягивают к фундаментам ( на приводной стороне)

Массонапускное устройство устанавливают в собранном виде. Проверяют положение напускной щели относительно цилиндра и зазоры между устройством и цилиндром.

В зацепление с зубчатым венцом цилиндра вводят шестерню приводного механизма. Регулируют радиальный и боковой зазоры в зацеплении. Окончательно закрепляют приводной механизм на станине.

Прижимной валик прикрепляют к рычагам станины. Проверяют расположение валика относительно цилиндра ( по горизонтали), горизонтальность валика и зазор между валиком и цилиндром [6].

Устанавливают отсасывающий шабер и выверяют его положение по отношению к цилиндру.

Устанавливают спрыски и регулируют направление сопел. Монтаж остальных сеточных цилиндров производят последовательно.

Заключение


В данном курсовом проекте была рассмотрена сеточная часть БДМ с формующими и обезвоживающими элементами, дано описание ящиков с гидропланками, мокрых отсасывающих ящиков, изучен их принцип работы.

В технико-экономическом обосновании, дано обоснование установки ящиков с гидропланками, мокрых отсасывающих ящиков и синтетической сетки. В технологических расчётах, был произведён расчёт формования и обезвоживания бумажного полотна. В конструктивной части рассчитан ящик с гидропланками, мокрый отсасывающий ящик на жёсткость и прочность, так же были подробно рассмотрены вопросы монтажа сеточной части.

Список используемых источников


    Барановский, В.П. Расчёт сеточных и прессовых частей бумаго - и картоноделательных машин: Учебное пособие [Текст] / В.П. Барановский, Ю.Д. Алашкевич, Л.В. Ефимова, Л.В. Кутовая. - Красноярск, СибГТУ, 2003. - 100с.

    Чичаев, В.А. Оборудование целлюлозно - бумажного производства: Том 2. Бумагоделательные машины [Текст] / В.А. Чичаев, М.Л. Глезин, В.А. Екимов и др. - Красноярск, 1981. - 264с.

    Алашкевич, Ю.Д. Теория и конструкция машин и оборудования отрасли. Расчет валов бумагоделательных и картоноделательных машин: Учебное пособие [Текст] / Ю.Д. Алашкевич, В.П. Барановский, В.П. Гудовский: Красноярск, 2002. - 96с.

    Иванов, С.Н. Технология бумаги. Издание 3-е. : Учебное пособие [Текст] / С.Н. Иванов. - Красноярск, 2006. - 696с.

    Проект БДМ установленной на ООО "Сибирская бумага".

    Марченко, Р.А. Лекции по БДМ. Электронный вариант: Учебное пособие [Текст] / Р.А. Марченко: Красноярск, 2002. - 223с.

    Пожитков, В.И. Монтаж и ремонт бумагоделательных машин: Учебное пособие [Текст] / В.И. Пожитков. - Москва, 1973. - 267с.

    Регламент ООО "Сибирская бумага".

    Кугушев, И.Д. Бумагоделательные и картоноделательные машины: Учебное пособие [Текст] / В.С. Курова, Н.Н. Кокушина. - СПБ.: Издательство Политехн. ун - та, 2008. - 588с.

Похожие работы на - Производство туалетной бумаги на ООО 'Сибирская бумага'

 

Не нашли материал для своей работы?
Поможем написать уникальную работу
Без плагиата!
Без нейросетей!