|
Вал
А
|
nдв=1472
мин-1
|
WДВ=154
рад/с
|
|
Вал
B
|
-
|
W1=37,7
рад/с
|
|
Вал
С
|
n2=nБ=90
мин-1
|
W2=WБ=9,42
рад/с
|
Частоты вращения и угловые скорости валов:
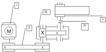
2. Краткое описание устройства редуктора,
технология его сборки
Редуктором называют механизм, состоящий из
зубчатых или червячных передач, выполненный в виде отдельного агрегата и служащий
для передачи мощности от электродвигателя к рабочей машине.
Редукторы широко применяются в разных отраслях
машиностроения и потому они весьма разнообразны по своим кинематическим схемам
и конструктивному исполнению. Редукторы различаю на следующие виды:
+ По типу передачи - цилиндрические зубчатые,
конические зубчатые, червячные, коническ -цилиндрические зубчатые,
червячно-цилиндрические и д.р.
+ По числу ступеней - одноступенчатые,
двухступенчатые, трехступенчатые и т.д.
+ По расположению валов и зубчатых колес -
горизонтальные и вертикальные.
Цилиндрические зубчатые редукторы благодаря
широкому диапазону передаваемых мощностей, долговечности простоте изготовления
и обслуживания, имеют широкое распространение.
Цилиндрический прямозубый редуктор состоит из
корпуса (верхней и нижней части) литого чугунного или сварного стального, в
котором помещают элементы передачи зубчатого колеса, валы, подшипники распорное
кольцо, металлические прокладки и т.д.
В отдельных случаях в корпусе редуктора
размещают также устройство для смазки зацеплений и подшипников (внутри корпуса
редуктора может быть помещен шестеренчатый масляный насос) или устройство для
охлаждения (змеевик с охлаждающей водой).
Перед сборкой, внутреннюю полость покрывают
маслостойкой краской. Сборку производят в соответствии с чертежом общего вида
редуктора, начиная с узлов вала.
На ведущий вал насаживают маслоудерживающие
кольца подшипника, предварительно нагретые в масле до 80°-100°.
В ведомый вал закладывают шпонку и
напрессовывают зубчатое колесо до упора в бурт вала: затем надевают распорную
втулку, маслоудерживающие кольца и устанавливают подшипники.
Собранные валы укладывают в основании корпуса
редуктора и надевают крышку корпуса, покрывая предварительно поверхности стыка
крышки и корпуса спиртовым лаком.
После этого на ведомый вал надевают распорное
кольцо в подшипниковые камеры закладывают пластинную смазку, ставят крышки
подшипников с комплектом металлических прокладок, регулируют тепловой зазор.
Перед установкой сводных крышек в проточки закладывают
войлочные уплотнения, пропитанные горчичным маслом. Проверяют проворачиванием
валов отсутствие заклинивания подшипников (валы должны проворачиваться от руки)
и закрепляют крышки винтами.
Далее на конец ведомого вала в шпоночную канавку
закладывают шпонку, устанавливают звездочку и закрепляют ее торцовым
креплением; винт торцового крепления стопорят специальной планкой.
Затем ввертывают пробку маслопускного отверстия
с прокладкой межузловым маслоуказателем. Заливают в корпус масло и закрывают
смотровое отверстие крышкой с прокладкой : закрепляют крышку болтами.
Собранный редуктор обкатывают и подвергают
испытанию на стенде по программе, устанавливаемой техническими условиями.
3. Расчет ременной передачи
По нанограмме на (рис 7,3 Чернавский) в
зависимости от частоты вращения меньшего шкива n1 и передаваемой
мощности N=NТР=10,8 кВт принимаем значение клинового ремня Б.
Вращающий момент
где
Вт.
Диаметр меньшего шкива
мм
Согласно таб 7.8(Чернавский) с
учетом того, что диаметр шкива для ремней сечения Б не должен быть менее 125
мм, принимаем d1=180 мм.
Диаметр большего шкива
мм
Принимаем d2=450 мм (см.
с. 133 Чернавский)
Уточняем передаточное отношение
При этом угловая скорость вала будет
рад/с
Окончательно принимаем диаметры
шкивов d1=180 мм и d2=450 мм.
Межосевое расстояние αРследует
принять в интервале
мм
мм
где ТО=13,5 мм (высота
сечения ремня по табл. 7.7 Чернавский)
Предварительно близкое значение
Р=630 мм
Расчетная длинна ремня
мм
Ближайшее значение по стандарту (см.
табл. 7.7 Чернавский) L=2240 мм.
Уточненное значение межосевого
расстояния
с учетом
стандартной длинны ремня L
где
мм
=
=610 мм
9 Угол обхвата меньшего шкива
Коэффициент режима работы для привода
к ленточномуконвеерупри двухсменной работе CP=1,1
Коэффициент учитывающий влияние
длинны ремня для ремня сечения Б при длиннеL=2240 мм коэффициент CL=1
Коэффициент, учитывающий влияние
угла обхвата при α1=155°
коэффициент Сα≈0,93
Коэффициент учитывающий число ремней
в передаче будет от 4 до 6, примем коэффициент СZ=0,90
Число ремней в передаче
где NO-мощность
передаваема я одним клиновым ремнем, принимаем по стандарту 3,67 кВт;
=
Принимаем z=4
Натяжение ветви клинового ремня
Где скорость
м/с;
θ-коэффициент, учитывающий
влияние центробежных сил; для ремня сечения Б коэффициент
Тогда
=
Н
Давление на валы
Н
Ширина шкивов
мм
4. Расчет редуктора и зубчатых колес
Для шестерни сталь 45 и
термообработка-улучшение, твердость HB 230; для колеса сталь 45,
термообработка-улучшение, твердость HB 200.
HL=1
[SH]=1,1
Определяем контактные напряжения
Шестерня:
МПа
Колесо:
МПа
Определяем предел выносливости на
изгиб
Колесо:
МПа
Шестерня:
МПа
Определяем допускаемое напряжение
Колесо:
Шестерня:
МПа
Общее:
МПа
4 Межосевое расстояние
мм
Ближайшее значение расстояния по
ГОСТ 2185-66
мм
Выбираем модуль
Принимаем значение по ГОСТ 9563-60
Принимаем угол наклона зубьев
Определяем число зубьев
Определяем суммарное число зубьев:
зуба
Определяем число зубьев в шестерни:
зубьев
Определяем число зубьев колеса:
зубьев
Определяем размеры колес
Диаметр начальной окружности
шестерни
мм
Диаметр окружностей выступов и
впадин шестерни:
мм
мм
Диаметр начальной окружности колеса:
мм
Диаметр окружностей выступов и
впадин колеса:
мм
мм
Высота головки и ножки зуба

мм
мм
Полная высота зуба
мм
Радиальный зазор
мм
Ширина колеса
мм
Длина зуба шестерни принимается
несколько больше длинны зуба колеса
мм
Уточняем межосевое расстояние
мм
Принимаем конструкцию шестерни сплошной,
конструкцию колеса - дисковой.
Толщина обода
или
;
где
- шаг зацепления принимаем
мм
Толщина диска
мм
15 Диаметр ступицы
Уточняем передаточное число
Определение сил в зацеплении
Н
мм (Окружная сила)
Н
мм
(
)
Проводим сравнительную оценку
прочности зубьев шестерни и колеса на изгиб
Находим отношения:
и
;
и
т.к меньше отношения получилось у
зубчатого колеса, то проверку необходимо вести для зубчатого колеса.
МПа
;
5. Расчет валов
.1 Расчет быстроходного вала
Определяем диаметр выходного конца вала по
условию прочности
Округляем до ближайшего большего значения
Диаметр под сальники подшипника
Диаметр вала под подшипник
Диаметр посадочной части вала
6 Длина вала принимается
Определяем изгибающие моменты силы
Силы
Полный изгибающий момент
Полный приведенный результирующий момент
Т.к
то вал по условия прочности на совместное действие изгиба и кручения
удовлетворяют.
5.2 Расчет тихоходного вала
Выбираем ближайшее значение
Диаметр вала под сальники подшипника
Диаметр вала под подшипник
Диаметр посадочной части вала под шестерню
Длинна вала принимается
6 Определяем изгибающие моменты силы
Силы
Полный изгибающий момент силы
Полный приведенный результирующий момент
Приведенное напряжение в опасном сечении
6. Расчет подшипников
.1 Расчет подшипников быстроходного вала
Подбираем по приложению П3 (Чернавский С.А.)
подшипник. Выбираем №205
=25=52=15=14
С0=6,95
Определяем
реакцию подшипников
В
прямозубых колесах оба подшипника нагружены одинаково.
Определяем
радиальную нагрузку
Фактическая долговечность подшипника
.2 Расчет подшипников тихоходного вала
По приложению П3 (Чернавский С.А.) подбираем
подшипник №206.
=30=62=16=19,5
С0=10,00
Радиальная
нагрузка такая-же как и у быстроходного вала
Фактическая
долговечность подшипника

7. Расчет шпонок
Материал сталь 40 (ГОСТ 1050-74)
.1 Расчет шпонок быстроходного вала
1=17
мм
Размеры шпонок
=8 мм h=7 мм
Длину шпонки принимаем равной шестерни
Проверяем прочность шпонки на срез и смятие
Напряжение смятия
Т.к. получилось напряжение меньше допускаемых то
шпонки условием прочности на смятие удовлетворяют.
7.2 Расчет шпонок тихоходного вала
2=3
мм
Размеры шпонок
=12 мм h=8 мм
Длину шпонки принимаем равной шестерни
Проверяем прочность шпонки на срез и смятие
Напряжение смятия
Условия прочности удовлетворяют 135<225
8. Расчет корпуса
Принимаем геометрические размеры корпуса
Толщина стенки
Принимаем
Толщина крышки корпуса
Принимаем
Диаметр фундаментальных болтов
Принимаем болты с резьбой М14
Диаметр болтов крепления к крышке корпуса
Принимаем болты с резьбой М6.
Диаметр болтов крепления крышек подшипников
Принимаем болты с резьбой М8
Зазор между колесом и корпусом
Толщина нижнего колеса корпуса
Ширина верхнего и нижнего колеса корпуса
Размеры смотрового люка
Пробка отдушина с резьбой
Маслосливная пробка с резьбой
13 Фиксирующий штифт диаметром 5
Толщина ребер
Принимаем C=8 мм
9. Выбор смазки
Определяем окружную скорость зубчатых колес
Вязкость масла
=81,5cCn
Марка масла Ц100А для которого
Для изменения уровня смазки применяем ЩУП
10. Экономическая часть
Шестерня

|
Шестерня
|
Ст
50
|
0,144
|
-
|
12,5
|
10,20
|
-
|
1,8
|
1,5
|
0,3
|
|
Колесо
|
Ст
45
|
2,7
|
168
|
-
|
10,20
|
45,36
|
-
|
27,54
|
17,82
|
На 1000 редукторов
|
Деталь
|
Материал
|
Масса
|
Цена
1 кг стали руб
|
Сталь
50
|
Экон
Эф руб
|
|
|
|
Ст45
|
Ст50
|
Ст40х
|
Ст45
|
Ст50
|
Ст40х
|
|
|
Шестерня
|
Ст
50
|
144
|
-
|
12,5
|
10,20
|
-
|
1800
|
1468
|
332
|
|
Колесо
|
Ст
45
|
2700
|
16,8
|
-
|
10,20
|
45360
|
-
|
27540
|
17820
|
Экономический эффект на 1000 редукторов. При
сравнении сталь 50 и сталь 40х составляет 332 руб., и сталь 45 и 40х составляет
17820 руб.