В даній бакалаврський кваліфікаційній роботі на тему
"Автоматизація водогрійного котла" мною було проаналізовано існуючі
схеми автоматизації та обґрунтовано вибір схеми автоматизації, яка відповідає
можливостям сучасних мікропроцесорних засобів автоматизації та забезпечує
техніко-економічні показники.
Вибрано технічні засоби автоматизації, які по точності
забезпечують вимоги до технологічного процесу та динамічні властивості системи
автоматичного регулювання. Складено та описано програму функціонування системи
автоматизації на базі мікропроцесорного контролера M340 фірми Schneider
Electric. Розроблено функціональну схему автоматизації, принципову електричну
схему зовнішніх з’єднань та складено специфікацію технічних засобів
автоматизації. Розглянуто вимоги виробничих заходів з охорони праці для безпека
пуску і експлуатації котла. Розраховано економічні показники процесу після
впровадження розробленої системи автоматизації, а також зроблені висновки до
бакалаврської кваліфікаційної роботи процесу водогрійного котла.
Під технологічним процесом розуміють сукупність технологічних
операцій, які проводяться над вхідним продуктом в одному або декількох
апаратах, метою яких є отримання продуктів, які відповідають заданим показникам
якості.
При цьому мета керування технологічним процесом полягає в
забезпеченні оптимального значення критерію керування, під яким розуміють
технологічний або техніко-економічний показник (продуктивність виробництва,
якість продукції тощо), який характеризує якість ТОК в цілому і приймає числові
значення в залежності від подаваних на нього керуючих дій - цілеспрямованих
змін матеріальних і енергетичних потоків.
В теперішній час для керування все ширше застосовують
автоматизовані системи керування (АСК) - людино-машинні системи, які
забезпечують автоматичний збір та обробку інформації, необхідний для
оптимізації керування. При цьому під процесом оптимізації розуміють вибір
такого варіанту керування, при якому досягається мінімальне або максимальне
значення критерію керування.
Автоматизація залишається однією з головних задач
промислового виробництва і соціальної сфери в різні періоди економічного
розвитку сучасного суспільства. З часом автоматизація стає все більш широким
поняттям, включаючи в себе деякі нові завдання свого наукового і технічного
розвитку: комп'ютеризацію, роботизацію та інші спеціальні галузі науки. Однак
зміст і основне її призначення залишається незмінним - полегшення або повна
заміна важкої фізичної праці людини засобами автоматизації.
Не існує галузі промисловості, в якій не було б потреби
застосування АСКТП. Однією із основних переваг АСКТП є зниження (аж до повного
виключення) впливу так званого людського фактору на процес, скорочення
персоналу, мінімізація витрати сировини, покращення якості вихідного продукту і
суттєве підвищення ефективності виробництва. Основними функціями таких систем є
контроль і керування, обмін даними, обробка, накопичення і зберігання
інформації, формування сигналізації, побудова графіків та звітів.
Застосування цифрової обчислювальної техніки дозволяє
запрограмувати практично будь-який алгоритм керування, і забезпечити більш
високу точність його виконання, ніж це можливо при використанні аналогової
техніки. Кожне ускладнення алгоритму в цифровій техніці практично не впливає на
надійність контуру регулювання. У випадку аналогової техніки збільшення
кількості аналогових блоків суттєво зменшує надійність функціонування контуру.
На початкових етапах впровадження мікропроцесорної техніки
вважалось, що в контролері достатньо запрограмувати функцію передачі регулятора
в загальному вигляді, а її параметри, в тому числі і кількість членів рівняння
та значення коефіцієнтів слід обирати індивідуально для конкретного об’єкту. Це
справедливо лише для об’єктів, параметри яких є сталими в часі.
Мікропроцесорні контролери призначені для автоматизації
неперервних та періодичних технологічних процесів. Мікропроцесорні контролери
перетворюють первинну інформацію про стан технологічного об’єкта керування в
цифрову форму і за відповідними алгоритмами здійснюють керування технологічним
об’єктом і обмін інформацією з оператором.
Водогрійний котел - пристрій, що має топку і огрівається
продуктами спаленого в ній палива та призначений для нагрівання води, яка
знаходиться під тиском вище атмосферного і використовується як теплоносій поза
самим пристроєм.
З точки зору технології котла являє собою прямоточний
секційний теплогенератор з примусовою циркуляцією води, обладнаний окремим
димососом і вентилятором. Водогрійний котел має три двосвітних екрани і чотири
пальника. Двосвітні екрани ділять топку на чотири відсіки. Крім того,
водогрійний котел має бічні та стельні екрани, розташованих у стінок, і
стельовий екран, частково переходить у фронтовій екран. Конвективна поверхня
нагріву розміщена в газоході і представляє собою змійовий економайзер, що
складається з 16 секцій. Змійовики розташовуються паралельно фронту котла в
шаховому порядку. Продукти згоряння омивають конвективну поверхню, що
складається з труб діаметром 28х2.5 мм, зі швидкістю 8 м/с. Перегородка між
3-ма газоходами утворена за рахунок плавників, приварених до труб. Вода з теплової
мережі поступає в колектор конвективної частини, проходить через труби в
газоходах і далі послідовно омивають труби кожного екрану, що розділений для
збільшення швидкості води на секції. З секції вода відводиться в мережу через
патрубок, що розташований у верхній частині палива.
Для спалювання газу встановленоъ пальники з прямою щілиною,
яка закінчується зверху раптовим розширенням. Витрата газу всіма пальниками
складає 1960 м^3/год. Високі швидкості води - біля 1м/с отримані за рахунок
поділу пучка труб конвективного газоходу на 3 частини, а кожного екрану - на 4
частини. Це призвело до збільшення гідравлічного опору до 0.12 МПа. Паливня
котла має тепло напруження об’ємом 4 кВт/м^3. Під вогневими каналами для
розподілення повітря встановлений металевий лист з отвором. Вентилятор має
напір 0.5-1кПа, оскільки до пальників підводиться природній газ середнього
тиску. Значна швидкість димових газів і наявність пучка труб з великою
кількістю рядів, що омивають поперечно, обумовили необхідність встановлення димовідсмоктувача
з напором біля 1 кПа. Продукти спалювання поступають з паливні в конвективний
газохід через прийом висотою 800мм у верхній частині над розподільною стінкою.
При цьому частина тепла разом з димовими газами виходить в атмосферу.
Економайзери використовуються для попереднього підігріву води
і таким чином зменшення кількості тепла, яке виходить із димовими газами.
Розташування змійовиків секцій в шаховому порядку дає змогу покращити
теплообмін.
Водогрійний котел призначений для нагрівання води, яка
використовується для гарячого водопостачання та опалення. Вода, що йде до
споживача, називається прямою, а повертає назад від споживача в котел -
зворотній. Вода використовується хімічно очищена, тому що містяться в природній
воді розчинні гази (кисень та
вуглекислота) руйнують метал котельного агрегату і трубопроводи. Також
використання природної води призводить до відкладення накипу, яка викликає
перегрів металу в слідстві погіршення відводу тепла. Для заповнення неминучих
втрат води, потрібна вода для підживлення зворотної води. Нагрівання води
відбувається за рахунок тепла, що виділяється при спалюванні палива. Вода в
котельні надходиться з температурою 60 ̊С і нагрівається до
температури 90 ̊С.
Горіння - це процес хімічної реакції сполук горючих елементів
газу з киснем, що сприяв підвищенню температури і відбувається з виділенням
тепла.
До пальнику котла підводять газ і повітря. Горюча суміш, яка
утворюється в пальнику, загоряється і віддає тепло в топкову камеру. В результаті
процесу горіння утворюються газоподібні продукти - димові гази. Їх відсмоктує
димосос, а потім викидає в атмосферу. Спалювання здійснюється факельним
способом. При спалюванні газового палива необхідно забезпечити: гарне попереднє
перемішування газу з повітрям, ведення процесу з малими надлишками повітря,
поділ потоку суміші на окремі струмені. Підігрів газоповітряної суміші і
хімічна реакція горіння протікають дуже швидко. Основним чинником тривалості
горіння є час, витрачений на перемішування газу з повітрям у пальнику. Від
швидкості і якості перемішування газу з необхідною кількістю повітря, залежить
швидкість і повнота згоряння газу, довжина факела топки і температура полум'я.
Для процесу горіння димососом створюється необхідне розрядження і забезпечується
повне видалення продуктів згоряння. Якщо досягти співвідношення витрати повітря
у відповідності з подачею палива, процес спалювання буде здійснюватися з
максимальною економічністю.
При спалюванні палива в котлоагрегаті не вся кількість тепла,
що виділилося в топці, корисно використовується для нагріву води чи одержання
пари. Частина тепла губиться з газами, що відходять, хімічним і механічним
недопалом і ін. Тому основна задача при експлуатації полягає в зниженні цих
утрат до мінімуму.
Тепловим балансом котлоагрегату називається розподіл тепла
використаного палива на корисно використовуване тепло і теплові втрати, що
виникають у процесі роботи котлової установки. Він складається на 1 кг твердого
(рідкого) чи палива 1 м газоподібного палива. Спрощений тепловий баланс
котлоагрегату записується у виді рівняння:
К. К.Д. котлоагрегата залежить від величини теплових утрат:
чим вони менші, тим К. К.Д. - більший. Значення К. К.Д. може знаходитися в
межах η=0,93-0,7 (93-70%), а величина теплових утрат для маленьких
котлів:
|
№
|
Назва параметру
|
Позначення
|
Одиниця вимірювання
|
Номінальне значення
|
Допустиме відхилення
|
|
1
|
Витрата газу
|
F1
|
м3/год
|
490
|
±5
|
|
2
|
Витрата повітря
|
F2
|
м3/год
|
3900
|
±20
|
|
3
|
Розрідження
|
P
|
Па
|
-175
|
±0.1
|
|
4
|
Тиск газу
|
P1
|
кПа
|
10
|
±5
|
|
5
|
Тиск повітря
|
P2
|
кПа
|
5
|
±5
|
|
6
|
Температура технологічного потоку на вході в
котел
|
T1
|
оС
|
60
|
±10
|
|
7
|
Температура технологічного потоку на виході з
котла
|
T
|
оС
|
90
|
±10
|
2. Аналіз
технологічного процесу як об’єкта керування
2.1
Визначення і аналіз факторів, що впливають на технологічний процес
Основні фактори, які впливають на даний технологічний процес:
витрата палива - при її зміні відбувається зміна
співвідношення спалюваної суміші газ-повітря, а також змінюється тиск димових
газів та температура у котлі.
витрата повітря - при її зміні відбувається зміна
співвідношення спалюваної суміші газ-повітря, а також змінюється тиск димових
газів у котлі.
Розрідження - її зміна спричиняє зміну витрати димових газів.
тиск палива - зміна тиску спричиняє зміну витрати палива.
тиск повітря - зміна тиску спричиняє зміну витрати повітря.
температура технологічного потоку на виході з котла - при її
зміні відбувається зміна витрати палива.
2.2
Обґрунтування номінальних значень параметрів технологічного процесу та
допустимих відхилень від цих значень
Для дотримання технології водо-нагріву, температура
технологічного потоку повинна бути 90оС. Для нагрівання
технологічного потоку до такої температури необхідно досягнути 210оС.
Для цього необхідно спалювати 490 м3/год газу і
відповідну до цього кількість повітря 3900 м3/год. Тиск газу повинен
бути 10 кПа, а тиск повітря 10 кПа. Розрідження потрібно підтримувати на рівні
- 175 Па.
2.3 Складання
структурної схеми взаємозв’язку між технологічними параметрам об’єкта
регулювання
Структурна схема котла як об’єкта керування
Вихідні величини:
розрідження у котлі
температура технологічного потоку
Вхідні величини:
витрата палива
витрата повітря
витрата димових газів
Збурюючі величини, які можна регулювати:
тиск палива
тиск повітря
3. Технічне
обґрунтування вибору функціональної схеми автоматизації
Схеми автоматизації розробляють загалом на технологічну
(інженерну) систему або її складову частину - технологічну лінію, блок
обладнання, установку або агрегат.
Схему автоматизації допускається співставляти зі схемою
з'єднань (монтажною), що виконується у складі основного комплекту, або зі
схемами інженерних систем.
Щоб функціональна схема автоматизації успішно виконувала
покладені на неї функції, необхідно щоб вона була спроектована відповідно до
вимог конкретного технологічного процесу, передбачала всі можливі збурення,
забезпечувала необхідну точність і час реакції, а також будувалась враховуючи
всі сучасні тенденції у даній галузі промисловості.
Рис. 3.1 Спрощена ФСА водогрійного котла
При автоматизації водогрійного котла, слід знати що основним
технологічним параметром котла є розрідження. Цей тиск в основному залежить від
витрати палива.
Для максимальної ефективності процесу необхідно підтримувати
постійне співвідношення суміші газ-повітря. Для цього потрібно регулювати
витрату повітря, вимірюючи витрату газу і витрату повітря.
Також необхідно дотримуватись заданих значень температури
технологічного потоку.
Отже, проаналізувавши вхідні параметри технологічного об’єкту, які
досить суттєво впливають на вихідні параметри, приймемо такі рішення щодо
регулювання параметрів технологічно процесу. Потрібно регулювати витрату для
підтримання допустимого значення розрідження у верхній частині котла. Також
необхідно регулювати витрату повітря для дотримання співвідношення суміші
газ-повітря та концентрації кисню у димових газах, витрату газу для підтримання
високої постійної температури та температури технологічного потоку.
Вибір температур та тиску як координати вимірювання у кожній зоні
зумовлений тим, що безпосередньо якість продукту залежить від температури
кожної з них. Вимірювання температури та тиску є найпростішим технічним
рішенням у даному технологічному апараті.
Регулювання витрати паливаі повітря та тиску найбільшою мірою має
вплив на якість готової продукції, тому їх взято за координати регулювання.
4.
Обґрунтування вибору технічних засобів автоматизації
4.1 Опис
характеристик мікропроцесорного контролера Schneider Electric M340
Мікропроцесорний засіб для реалізації автоматичного
функціонування даних контурів - Schneider Electric M340.
Рис. 4.1 Schneider Electric M340
Виключно надійний, потужний і компактний програмований логічний
контролер Modicon M340 - це ідеальне рішення для підприємств, що
спеціалізуються в таких областях як нафтогазовий сектор, упаковка і обробка
матеріалів, текстильна промисловість, друк, харчова промисловість,
деревообробка, кераміка та ін. Розширення можливості для інтеграції приводів
Altivar і Lexium, графічних терміналів Magelis і модулів безпеки Preventa
дозволяє в значній мірі полегшити конфігурування та експлуатацію обладнання
компанії Schneider Electric. Контролер Modicon M340 ідеально підходить для
спільного використання з ПЛК Modicon Premium і Modicon Quantum і здатний
задовольнити будь-яким вимогам по автоматизації виробничих процесів та
інфраструктури із застосуванням технології Transparent Ready.
Стандартні і вдосконалені процесорні модулі платформи
автоматизації Modicon M340 забезпечують повноцінне керування всім монтажним
шасі ПЛК, оснащеним максимум 11 слотами під установку:
модулів дискретного вводу / виводу;
модулів аналогового вводу / виводу;
спеціалізованих модулів.
Чотири процесорних модуля відрізняються один від одного за обсягом
пам'яті, швидкості обробки даних, типом і кількістю портів зв'язку та
максимальній кількості каналів вводу / виводу.
Крім цього, залежно від моделі, процесорний модуль може мати (НЕ
підсумовуються):
від 512 до 1024 каналів дискретного вводу / виводу;
від 128 до 256 каналів аналогового вводу / виводу;
від 20 до 36 лічильних каналів;
від 0 до 2 портів Ethernet TCP / IP (з вбудованими портом і
мережевим модулем або без них).
Залежно від моделі процесорні модулі платформи Modicon M340 мають:
порт 10BASET/100BASETX Ethernet TCP / IP;
шину CANopen;
послідовний інтерфейс Modbus;порт USB (для програмування терміналу
або Чмі Magelis XBT GT / GK / GTW).
Кожен процесорний модуль комплектується картою пам'яті, яка
призначена для:
створення резервних копій програми (програми, символів і
констант);
активації стандартного webсервера по вбудованому порту Ethernet
класу B10 Transparent Ready (залежно від моделі).
Карту пам'яті, яка постачається, можна замінити на карту іншого
типу, придбану самостійно. При цьому необхідно, щоб карта пам'яті підтримувала:
створення резервних копій програми та активацію стандартного
web-сервера (аналогічно карті пам'яті з комплекту);
або 128 Мб вільного місця з опціональною картою пам'яті для
зберігання додаткових даних, організованих у вигляді файлової системи
(директорій і піддиректорій).
Середовище розробки додатків для Modicon M340
Для програмування процесорних модулів платформи автоматизації
Modicon M340 необхідно мати будь-який з наступних програмних продуктів:
інструментальну систему Unity Pro Small;
інструментальну систему Unity Pro Medium, Large або Extra Large,
аналогічну до тієї, що використовується для програмування платформ
автоматизації Modicon Premium і Modicon Quantum.
І залежно від вимог, додатково:
програмний пакет Unity EFB для створення бібліотек EF і EFB на
мові С;
програму Unity SFC View для перегляду і діагностики додатків,
написану мовою послідовних функцій (SFC) або Grafcet.
Бібліотеки функціональних блоків дозволяють процесорним модулям
платформи Modicon M340 виконувати функції управління на необхідному рівні за
такими спеціалізованими напрямками:
управління процесом по програмованим контурам управління
(бібліотеки EF і EFB);
управління рухом з використанням декількох незалежних осей
управління (бібліотека MFB - Motion Function Block). Управління осями
здійснюється за допомогою перетворювачів частоти Altivar 31/71 або
сервоприводів Lexium 05/15, підключаються по шині CANopen.
Опис процесорних модулів BMX P34 2020/2030 з вбудованим портом
Ethernet TCP / IP
На лицьовій панелі вдосконалених процесорних модулів BMX P34
2020/2030 передбачені наступні засоби індикації та роз'єми:
. Гвинт для надійного кріплення модуля в слоті (маркування 0)
монтажного шасі
. Блок індикації, який залежно від моделі може мати 8 або 10
світлодіодних індикаторів:індикатор RUN (зелений): робота процесорного модуля
(виконання програми);індикатор ERR (червоний): несправність процесорного модуля
або системи;індикатор I / O (червоний): несправність модулів вводу /
виводу;індикатор SER COM (жовтий): обмін по послідовному інтерфейсу
Modbus;індикатор CARD ERR (червоний): карта пам'яті відсутня або
несправна;індикатор ETH ACT (зелений): обмін по мережі Ethernet TCP /
IP;індикатор ETH STS (зелений): стан мережі Ethernet TCP / IP;індикатор ETH 100
(червоний): швидкість передачі даних по мережі Ethernet TCP / IP
(10 або 100 Мбіт / с)
Модуль живлення передбачений для кожного монтажного шасі BMX XBP
pp00. Модулі живлення встановлюються в перші два слоти кожного монтажного шасі
(з маркуванням CPS). Живлення, необхідне кожному монтажному шасі, залежить від
типу та кількості встановлених у ньому модулів. Тому для кожного шасі необхідно
скласти таблицю енергоспоживання для визначення найбільш відповідного модуля
живлення BMX CPS ppp0.
Конфігурація з одним монтажним шасі.
Монтажні шасі BMX XBP pp00 є основою платформи автоматизації
Modicon M340 в конфігурації з одним або декількома монтажним шасі.
Монтажні шасі виконують такі функції:
Механічна: використовується для встановлення всіх модулів у ПЛК
(модулі живлення,
Процесорні, дискретного і аналогового вводу / виводу,
спеціалізовані). Шасі можна монтувати на панель, пластину або DINрейку:всередині
шаф;на рамах агрегату і так далі.
Електрична: монтажні шасі обладнані шинами BusX.
Шини призначені для:
розподілу живлення кожного модуля на одному монтажному шасі;
розподілу даних і службових сигналів по всьому ПЛК;
"гарячої заміни" модулів під час роботи.
Згідно з ФСА висуваються наступні вимоги:
наявність 6 аналогових входів
наявність 1аналогових виходів
наявність 4дискретних входів
наявність 5 дискретних виходів
Для забезпечення необхідної кількості аналогових та дискретних
входів/виходів я обрав наступні модулі розширення:AMІ 0600 - аналогових
входів;AMО 0800 - модуль аналогових виходів;DDM 16025 - змішаний модуль
дисретних входів/виходів.
4.2 Опис
програми функціонування контролера для автоматизації водогрійного котла
На аркуші №2 представлена програма функціонування контролера
Schneider Electric M340.
Програма функціонування системи керування водогрійного котла,
написана за алгоритмами, які наведені у п.4, враховуючи особливості контролера.
Розробка програми відбувалася за допомогою програмного пакету фірми Schneider
Electric Unity Pro XL V 7.0. Програма написана стандартною мовою LAD (Ladder
logic) тому її складові елементи не вимагають особливого роз’яснення. Вигляд
повної програми функціонування контролера наведений на листі 2 графічної частини
курсового проекту.
Опис програми контуру регулювання подачі води на вході у
котел
Подається вхідний аналоговий сигнал %IW0.1.6 в блок
INT_TO_REAL, де перетворюється з формату integer в формат real, і подається в
блок SCALING, де сигнал масштабується. Сигнал подаємо у фільтр LAG1.
Відфільтровани сигнал подаємо на вхід блоку регулятора PIDFF, потім подається
на блок ручного керування MS. Блок для формування імпульсів SAMPLETM який
генерує сигнали і йде на блок для роботи з виконавчим механізмом SERVO який формує
дискретні сигнали %Q 0.3.1 та %Q0.3.6.
Опис програми контуру регулювання співвідношення витрат
палива та повітря:
Подається вхідний аналоговий сигнал %IW0.1.0 в блок
INT_TO_REAL, де перетворюється з формату integer в формат real, і подається в
блок SCALING, де сигнал масштабується, а далі блок K_SQRT видобування корення.
Сигнал подаємо у фільтр LAG1. Подається вхідний аналоговий сигнал %IW0.1.1 в
блок INT_TO_REAL, де перетворюється з формату integer в формат real, і
подається в блок SCALING, де сигнал масштабується, а далі блок K_SQRT
видобування корення. Сигнал подаємо у фільтр LAG1Відфільтровані сигнали подаємо
на вхід блоку реалізації співвідношення RATIO, а далі на регулятор PIDFF. Для
ручного керування використовуємо блок MS. Блок для формування імпульсів
SAMPLETM який генерує сигнали і йде на блок для роботи з виконавчим механізмом
SERVO який формує дискретні сигнали %Q 0.3.2 та %Q0.3.7.
Опис програми контуру регулювання температури води на виході
з котла.
Подається вхідний аналоговий сигнал %IW0.1.4 в блок
INT_TO_REAL, де перетворюється з формату integer в формат real, і подається в
блок SCALING, де сигнал масштабується. Сигнал подаємо у фільтр LAG1. Потім
новий сигнал %IW0.1.5 знову подається в блок INT_TO_REAL, де перетворюється з
формату integer в формат real, і подається в блок SCALING, де сигнал
масштабується. Сигнал подаємо у фільтр LAG1. %IW0.1.5 йде на блок GE_REAL де
значення порівнюється і на блок MOVE де воно присвоюється як мінімальне
значення. Потім знову на GE_REAL де воно порівнюється і на блок присвоєня MOVE
де воно стає як максимальне. Потім сигнал подається на блок додавання ADD_REAL
з якого потім прямує на блок множення MUL_REAL з якого входить знову у блок
додавання ADD_REAL. Вихідний сигнал подаємо на вхід блоку регулятора PIDFF. Для
ручного керування використовуємо блок MS. Блок для формування імпульсів
SAMPLETM який генерує сигнали і йде на блок для роботи з виконавчим механізмом
SERVO який формує дискретні сигнали %Q 0.3.4 та %Q0.3.5.
Опис програми контуру регулювання розрідження димових газів
Подається вхідний аналоговий сигнал %IW0.1.3 в блок
INT_TO_REAL, де перетворюється з формату integer в формат real, і подається в
блок SCALING, де сигнал масштабується. Сигнал подаємо у фільтр LAG1.
Відфільтровани сигнал подаємо на вхід блоку регулятора PIDFF, потім подається
на блок ручного керування MS. Блок MUL_REAL призначений для масштабування, від
нього сигнал іде на блок REAL_TO_INT де він перетворюється з формату real у
формат integer і на вихід подається сигнал %QW0.2.1.
Опис програми захисту по загасанню полум’я
У випадку коли на контролер подається сигнал %І0.3.1,
спрацьовує сигналізація, яка свідчить про загасання полум’я в пальниках, тоді
від контролера подається сигнал %QW0.3.3, який відсікає подачу природного газу.
Перевищення тиску у трубопроводах подачі природного газу, первинного повітря та
розрідження може спричинити обрив трубопроводу, в цьому випадку, якщо вхідні
сигнали %І0.3.7, %І0.3.5 та %І0.3.6 перевищать певне задане значення, тоді від
контролера подається сигнал %QW0.3.1, який відсікає подачу природного газу.
4.3 Опис
принципової електричної схеми зовнішніх з’єднань контролера для автоматизації
водогрійного котла
У даному дипломному проекті розглядається частина принципової
електричної схеми зовнішніх з'єднань контролера Schneider Electric M340. Вибір
приладів, які розглядаються на принциповій електричній схемі зовнішніх
з'єднань, здійснювався так, щоб показати основні їх типи. Розглянуто
підключення наступних приладів:
вимірюваний перетворювач температури Sitrans TH100;
перетворювач різниці тисків САПФІР - 22ДД;
Перетворювач надлишкового тиску САПФІР - 22ДВ
частотний перетворювач Danfoss VLT Micro Drive FC51;
датчик реле контролю полум’я з фотоприймачем СЛ-90-2 та
МФ-ФР202;
датчик реле тиску ДРД-5Н
До модуля аналогових входів BMX AMI 0800 приєднуються проводи
від 5 перетворювачів різниці тисків Сапфір - 22ДД, двох вимірювальних
перетворювачів температури Sitrans TH100. До модуля BMX AMМ 0600 приєднуються
проводи від ВМ типу МЄО.
До змішаного модуля дискретних входів/виходів BMX DDM 16025
приєднуються проводи від датчика реле контролю полум’я з фотоприймачем СЛ-90-2
та МФ-ФР202, та 3-ох датчиків реле тиску ДРД-5Н.
Живлення контролера Schneider Electric M340 і модулів BMX AMI
0800, BMX AMI 0600, та BMX DDM 16025 здійснюється напругою 24 В, яка надходить
від блоку живлення CPS 2000.
На аркуші №3 представлена електрична схема підєднання
контролера Schneider Electric M340 при автоматизації водогрійного котла.
Вимірювання температури здійснюється термоперетворювачами
опору фірми Siemens TH100, вони мають вбудовану таблетку, яка перетворює сигнал
з термометрав уніфікований сигнал 4-20мА. Схема підключення цього термометра
наступна:
Рис. 4. Схема підключення термометра опору TH100
Рис 4.1 Схема під’єднання частотного перетворювача Danfoss VLT
Micro Drive FC51
Виконавчий механізм типу МЄО має наступну схему підключення:
На клеми L і N заводимо живлення 220 В.
Рис. 4.2 Схема підключення МЭО-16/25-0,25-90
Рис 4.3 Схема під’єднання фотодавача наявності полум’я
Рис 4.4 Схема під’єднання датчика реле тиску
Рис 4.5 Схема під’єднання перетворювача різниці тисків
5. Розрахунок
і моделювання системи автоматичного регулювання
5.1
Розрахунок параметрів динамічних моделей каналом регулюючої дії і каналом
збурення та перевірка її адекватності
В даному розділі проводимо дослідження САР температури води
на вході в мережу (контур регулювання №2 на ФСА)
|
t, хв.
|
Т, оС
|
|
0
|
18
|
|
3
|
20
|
|
6
|
26
|
|
9
|
32
|
|
12
|
41
|
|
15
|
50
|
|
18
|
56
|
|
21
|
62
|
|
24
|
68
|
|
27
|
72
|
|
33
|
78
|
|
37
|
80
|
|
40
|
81
|
|
42
|
81
|
|
45
|
81
|
Об’єктом регулювання є подача палива. Вихідною величиною
даного об’єкту регулювання є температура води в мережу, вхідною - зміна витрати
палива на вході, а збурюючою - зміна витрати зворотної води.
Функція передачі каналом збурення
Вихідними даними для побудови моделі ОР каналом регулюючої дії є
експериментальна крива розгону по температурі води в мережу, отримана
стрибкоподібною зміною положенню регулюючого органу на 70%. Вихідні дані
занесені в таблицю 5.1
Якість регулювання в замкнутій САР характеризують такими
показниками перехідного процесу:
Допустима динамічна похибка регулювання Удин - це
максимальне відхилення регульованої величини в перехідному режимі від її
заданого значення. Ця похибка дорівнює першій амплітуді коливань регульованої
величини у перехідному процесі (Удин =А1).
Допустимий час регулювання τр - це час, протягом якого, починаючи з моменту дії збурення на
САР, регульована величина досягає нового рівноважного значення з деякою
заздалегідь встановленою точністю ± Δ і надалі не виходить за межі цієї зони.
Час регулювання характеризує швидкодію САР.
Допустиме перерегулювання регульованої величини φ - це виражене у відсотках відношення
другої А2 і першої А1 амплітуд, спрямованих в протилежні
сторони:
Допустимий коефіцієнт заникання ψ:
Допустимий час першого узгодження перехідного процесу tпс
- час, після закінчення якого керована величина перший раз досягає свого
сталого значення (також характеризує швидкість протікання процесу в початковий
період);
Допустимий час досягнення першого максимуму - tmах.
Вимоги до якості процесу регулювання:
. Допустиме максимальне
динамічне відхилення А1=10 оС;
. Допустима похибка регулювання D = 2 оС;
. Допустимий час регулювання tp=30хв;
Побудова математичної моделі ОР
Щоб розрахувати систему автоматичного регулювання даного контуру
визначаємо математичну модель об'єкту. Математичну модель об'єкта регулювання
для розрахунків оптимальних параметрів настройки регулятора знаходимо у вигляді
функції передачі.
Побудуємо математичну модель за наявністю експериментальної знятої
на об'єкті кривої розгону, яка відображає зміну температури води на виході з
котла при зміні положення РО на 70%.
Щоб розрахувати систему автоматичного регулювання даного контуру
визначаємо математичну модель об'єкту. Експериментальна крива розгону об'єкту
регулювання по каналу витрати газу-температура води в мережу представлена на
рис.5.2.1.
Програма в середовищі Matlab для побудови експериментальної кривої
розгону
= [0 3 6 9 12 15 18 21 24 27 33 37 40 42 45];= [18 20 26 32 41 50
56 62 68 72 78 80 81 81 81];(t,T,'b-*'); grid;('t,hv'); ylabel ('T, oC'); title
('Zadana kriva rozgonu');
Рис. 5.1.1 Експериментальна крива розгону котла, яка відображає
зміну температури води при зміні положення РО на 70%.
Для зручності розрахунків експериментальну криву розгону об’єкта
регулювання
нормуємо діленням її значень на
максимальну зміну вихідної величини
.
де
значення вихідної величини після
завершення перехідного процесу;
- початкове (номінальне) значення регульованої величини.
Програма в середовищі Matlab для побудови нормованої експериментальної
кривої розгону
= [0 1.9 10.9 21.9 29 39.7 54.1 61.3 72.1 82.9 97.3 125.6 150];=
[80 80 81.7 84.1 85.5 87.4 88.7 89.1 89.5 89.7 89.9 89.95 90];_n=min (T);=max
(T) - T_n;=20;_e= (T-min (T)) /dT(t,h_e,'-b'); grid; xlabel ('t, c'); ylabel
('h (t) ^e');('Normovana kriva rozgonu');
Результат виконання програми:
_e 0 0.0317 0.1269 0.2222 0.3650 0.5079 0.6031 0.6984 0.7936
.8571 0.9523 0.9841 1 1 1.
Рис. 5.1.2 Нормована експериментальна крива розгону ОР.
За виглядом експериментальної кривої, виберемо структуру моделі ОР
і відповідну до неї функцію передачі у такому вигляді: послідовне з’єднання
аперіодичних ланок.
Оберемо для заданого об’єкта регулювання функцію передачі у
вигляді
,
де
Т - стала
часу; n - кількість аперіодичних ланок.
Теоретично перехідна функція для моделі (1) описується рівнянням
.
З рівняння для різних значень n і заданих значень
перехідної функції можна розрахувати відношення t/T. Так, наприклад,
задаючись,
з рівняння можна знайти відношення t05/T,
t09/T, де t05 і t09 -
значення часу, що відповідають значенням перехідної функції
, а також розрахувати значення відношення
.
|
n
|
2
|
3
|
4
|
5
|
6
|
7
|
8
|
9
|
10
|
|
t05 /Т
|
1.68
|
2.67
|
3.67
|
4.67
|
5.67
|
6.67
|
7.67
|
8.69
|
9.69
|
|
t09 /Т
|
3.89
|
5.32
|
6.68
|
7.99
|
9.27
|
10.53
|
11.77
|
14.21
|
|
t05 /t09
|
0.43
|
0.5
|
0.55
|
0.58
|
0.61
|
0.63
|
0.65
|
0.67
|
0.68
|
З нормованої експериментальної перехідної функції знаходимо
значення часу t05 i t09, що відповідають
значенням перехідної функції hе (t05) = 0.5
i hе (t09) = 0.9:
t05 =14.833
t09=29.7
Розраховуємо відношення t05 /t09
05 /t09==0.4994
перевіряють виконання умови
Відзначимо, що розмірний коефіцієнт передачі об’єкта регулювання з
експериментальної кривої розгону визначається за формулою.
,
де Δx - значення стрибкоподібної зміни вхідної
величини, яка викликала зміну вихідної величини.
Всі розрахунки стосовно знаходження параметрів функції передачі ОР
і перевірки адекватності динамічної моделі, проводимо в середовищі MATLAB
і для цього складаємо програму "model".
Рис. 5.1.3 Нормована експериментальна крива розгону ОР з
нанесеними значеннями часу t05 i t09.
Рис. 5.1.4 Експериментальна та розрахована нормовані криві розгону
по температурі води в мережу на виходіз котла, при зміні положення РО на 70%.
розрахована; * - експериментальна
Виходячи з результатів обчислень параметрів математичної моделі,
робимо висновок, що функція передачі об’єкта регулювання:
де:
,
, Т = 5.5691 хв.
Перевірка адекватності динамічної моделі ОР
Мірою точності апроксимації можна вважати максимальне значення
різниці ординат
або ж максимальну абсолютну похибку
,
де
- теоретична та експериментальна криві
розгону, яка не повинна перевищувати заданого значення точності регулювання.
Точність апроксимації вважається задовільною, якщо зведена похибка
δ = ΔЧ100% не перевищує 5%.= 3.1914%
Оскільки зведена похибка d<5% (d = 3.1914%), то
ця функція передачі є адекватною і може бути застосованою для розрахунку
параметрів автоматичного регулятора.
Отже, функція передачі об’єкту матиме вигляд:
5.2
Розрахунок параметрів настроювання автоматичних регуляторів
Вибір схеми автоматичного регулювання і вибір регулятора за
законом регулювання.
Для регулювання температури води в мережу вибираємо
одноконтурну систему регулювання з ПІ-регулятором.
Метод розширених частотних характеристик базується на
амплітудно-фазовому критерії стійкості (критерій Найквіста), який можна
інтерпретувати як критерій запасу стійкості, якщо замість звичайних частотних
характеристик застосовуються розширені частотні характеристики.
Розширена частотна характеристика системи з відомою функцією
передачі визначається заміною в ній оператора Лапласа виразом
де
- ступінь коливальності, який
характеризує запас стійкості;
кругова частота.
Амплітудно-фазовий критерій стійкості, як критерій запасу
стійкості за розширеними частотними характеристиками формулюється так: якщо
розширена амплітудно-фазова характеристика (РАФХ) розімкнутої САР
на частоті
проходить через точку (-1, і0), не охоплюючи її на більш високих
частотах, то корені характеристичного рівняння замкнутої системи будуть
розташовані в лівій напівплощині на променях
і всередині сектора, обмеженого цими променями.
Математично умова забезпечення заданого запасу стійкості
формується на основі амплітудно-фазового критерію стійкості Найквіста, в якому
застосовуються розширені частотні характеристики розімкнутої системи
автоматичного регулювання
,
де
- РАФХ об’єкта регулювання;
- РАФХ регулятора;
,
- розширені амплітудно-частотні характеристики об’єкта
регулювання та регулятора;
розширені фазочастотні характеристики об’єкту регулювання та
регулятора. Враховуючи те, що в розімкнутій САР об’єкт регулювання та
автоматичний регулятор з’єднані послідовно та з виразу отримуємо систему
рівнянь у вигляді
.
Якщо розширена амплітудно-фазова характеристика розімкнутої САР
проходить через точку (-1, і0), то звичайна її АФХ не охоплює цю точку і
система має запас стійкості, за амплітудою
, так і за фазою γ.
Для розрахунку параметрів регуляторів на заданий запас стійкості
системи, перш за все задаються заданим значенням ступеня коливальності mзад.
Розрахунок параметрів настроювання ПІ регулятора.
Пропорційно-інтегральний регулятор (ПІ-регулятор) є
паралельним з’єднанням пропорційної та інтегральної ланок, функція
передачі якого має вигляд
,
де kp - коефіцієнт передачі регулятора;
час ізодрому.
Розрахунок параметрів настроювання ПІ-регулятора здійснюється в
два етапи:
) в площині параметрів настроювання регулятора
знаходять границю області заданого запасу
стійкості САР;
) із знайденої границі області заданого запасу стійкості вибирають
оптимальні значення параметрів настроювання регулятора. Під оптимальними
розуміють такі значення параметрів настроювання, які при заданому запасі
стійкості САР забезпечують мінімальне значення обраного критерію оптимальності.
В практичних розрахунках звичайно критерієм оптимальності обирають інтегральну
оцінку.
Згідно рівняння для розрахунку параметрів настроювання
ПІ-регулятора необхідно знати розширені частотні характеристики об’єкту
регулювання і ПІ-регулятора
де
дійсна та уявна розширені частотні
характеристики об’єкту регулювання, які для спрощення надалі позначимо
відповідно
та
.
РАФХ ПІ-регулятора записується у вигляді
.
.
,
звідки отримуємо систему двох рівнянь з двома невідомими
і
Розв’яжемо отриману систему рівнянь відносно
і
.
Враховуючи, що дійсна і уявна частотні характеристики визначаються
як
,
одержимо значення параметрів настроювання в іншому вигляді:
Необхідно виділити робочий діапазон частот регулятора. Граничні
частоти цього діапазону w* та w**
знаходять числовим або графічним розв’язуванням рівнянь
, - частота І-регулятора
. - частота П-регулятора
Застосуємо простіший графічний спосіб визначення w* та w**.
Програма в середовищі Matlab для знаходження значень ω* та ω**
%знаходження w* та w**
,clc;=5.5691; m=0.3; k=0.9;= [0: 0.001: 0.5];=-m*w+i*w;=k. / (T.
*p+1). ^3;=phase (Wor);=-pi/2+atan (m);=-pi;(w,fi,w,l1,w,l2); grid;(w,fi, [0
0.5], [-pi/2+atan (m) - pi/2+atan (m)], [0 0.5], [-pi - pi]); grid;('w,
rad/sec'); ylabel ('fi, rad');
Рис. 5.2.1 Графік розширеної фазо-частотної характеристики ОР* =
0.072 рад/с** = 0.204 рад/с
Змінюючи частоту в діапазоні (ω*; ω**) будую криву області границі запасу
стійкості і з неї знаходжу оптимальні параметри настройки ПІ-регулятора.
Змінюючи частоту в діапазоні (ω*; ω**) будую криву області границі запасу
стійкості і з неї знаходжу оптимальні параметри настройки ПІ-регулятора.
Для заданого m в площині параметрів
,
будуємо границю області запасу стійкості,
з якої визначаємо оптимальні значення параметрів настроювання (
) опт, (
) опт, отримані при другій
мінімальній інтегральній оцінці.

де
- крива розгону замкнутої САР по
регулюючій дії;
- задане значення регульованої величини.
Програма в середовищі Matlab для знаходження оптимальних
параметрів настроювання регулятора
% 2-ga integralna ocinka,clc;= [0.0718: 0.01: 0.2047];=5.5691;
m=0.3; K=0.9;=-m. *w+i. *w;_op=K. / (T. *p+1). ^3;_op=phase (W_op);_op=abs
(W_op);=abs (Fi_op) +atan (m) - pi;_Tiz=- (w. * (m^2+1). *sin (Fi_op)). /A_op;=
(-cos (Fi_op) - m. *sin (Fi_op)). /A_op;i=1: length (w)=Kp (i);_Tiz1=Kp_Tiz
(i);('PI_reg');(i) =sum (abs ( (x (:,2)). ^2));(1)
[J s] =min (J2)(s)_Tiz (s)=Kp (s)_Tiz1=Kp_Tiz
(s)(Kp,J2,Kp1,J,'r*'), grid('Kp'), ylabel ('J2');('PI_reg');(2)(tout,x (:,2)),
grid('t, hv'), ylabel ('T, oC');(3)(Kp,Kp_Tiz,Kp1,Kp_Tiz1,'r*'), grid('Kp'),
ylabel ('Kp/Tiz');
Результат виконання програми:_Tizopt 0.1213 kpopt = 1.9672
Отже, функція передачі ПІ-регулятора:
Рис. 5.2.2 Границя області заданого запасу стійкості САР
температури води з ПІ-регулятором.
Рис. 5.2.3 Графік залежності між значеннями другої інтегральної
оцінки якості J2 і параметром настроювання АР Кр
5.3
Дослідження перехідних процесів в САР при оптимальних параметрах настроювання
ПІ-регулятора
Моделювання автоматичної системи регулювання розрідження газу
перед циклонами здійснюється за допомогою ЕОМ, застосовуючи метод структурного
моделювання. Моделювання CAP проводиться з допомогою програмного пакету Matlab.
Синтез системи регулювання здійснюється шляхом використання типових структурних
ланок.
Функція передачі об’єкту регулювання:
Функція передачі за збуренням:
Функція передачі ПІ-регулятора:
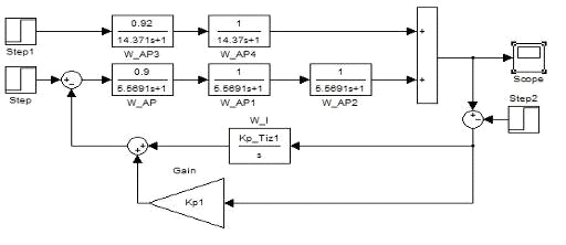
Змоделюємо структурну схему процесу регулювання в Simulink при
знайдених оптимальних параметрах:
Рис. 5.3.1 Структурна схема моделювання САР, реалізована в
середовищі SIMULINK
Максимальне динамічне відхилення А1=5.7оС
задовольняється
Час регулювання tp=29хв. з заздалегідь встановленою
похибкою Δ=±2оС задовольняється
Час першого узгодження перехідного процесу tпс=29 хв.
Час досягнення першого максимуму tmax=18 хв.
Отже, вимоги до якості процесу регулювання виконуються.
Максимальне динамічне відхилення А1=2.2оС
задовольняється (А1задане=10 оС).
Час регулювання tp=24хв із заздалегідь встановленою
похибкою Δ=±2оС задовольняється
Час першого узгодження перехідного процесу tпс=24 хв.
Час досягнення першого максимуму tmax=19 хв.
Отже, вимоги до якості процесу регулювання виконуються.
аксимальне динамічне відхилення А1=-1.1оС
задовольняється (А1задане=10оС).
Перерегулювання регульованої величини φ=0.2/1,1*100=18 %.
Ступінь згасання ψ= (1.1-0.2) / 1.1=0.18.
Час першого узгодження перехідного процесу tпс=24 хв.
Час досягнення першого максимуму tmax=21 хв.
Отже, вимоги до якості процесу регулювання виконуються.
Висновки
Маючи експериментальну криву розгону і вимоги до якості процесу
регулювання було:
визначено функцію передачі об’єкта регулювання:
побудовано знайдену розраховану криву розгону, порівнявши її
значення із значеннями експериментальної кривої розгону і отримавши похибку
3.1914%.
вибрано одноконтурну схему системи автоматичного регулювання і
розраховано для неї параметри настроювання ПІ-регулятора.
Функція передачі ПІ-регулятора
Дослідивши перехідний процес САР із оптимальними параметрами
ПІ-регулятора при регулюючій дії 70% зміні положенню РО, висновок такий, що
ПІ-регулятор може забезпечити якісний процес регулювання з такими показниками
якості:
Максимальне динамічне відхилення А1=6.1оС
задовольняється (А1задане=10оС).
Час регулювання tp=29хв з заздалегідь встановленою
похибкою Δ=±2 оС
задовольняється (tрзадане=30хв).
6. Опис
функціональної схеми автоматизації
В даній ФСА реалізую такий обсяг автоматизації:
. Система автоматичного регулювання подачі води на вході у котел.
. Система автоматичного регулювання співвідношення витрат палива
та повітря.
. Система автоматичного регулювання температури води на виході з
котла.
4. Система автоматичного регулювання розрідження димових газів.
Контур регулювання регулювання подачі води на вході у котел
Температура води яка поступає в котел вимірюється
термометром опору PT100, сигнал термометра іде на перетворювач температури
Sitrans TH100 вихідний сигнал якого4 - 20мА і де на контролер. Вихід із
контролера подаю на ВМ типу МЭО з регулюючим органом.
Контур регулювання співвідношення витрат палива та повітря
Вимір витрати газу і повітря здійснюємо за допомогою діафрагм типу
ДКС, потім сигнал поступає на ПВП Сапфир-22-ДД з уніфікованим струмовим
сигналом 0-20 мА, після чого сигнал іде на контролер Вихід із мікропроцесорного
контролера подаю на ВМ типу МЭО з регулюючим органом який видкриває або
закриває клапан
Контур регулювання температури води на виході з котла.
Вимірювання температури води на виході з котла здійснюється за
допомогою термометра опору PT100, потім сигнал іде на перетворювач температури
Sitrans TH100 вихідним сигналом 4-20 мА. І йде на контролер. Вихід із
мікропроцесорного контролера подаю на ВМ типу МЭО з регулюючим органом який
видкриває або закриває клапан.
Контур регулювання розрідження димових газів
Розрідження в котлі потрібно підтримувати на певному заданому
значенні, для того, щоб димові гази вчасно і в заданій кількості виводилися із
котла. Міряємо розрідження за допомогою Oxymat-6, вихідний сигнал йде на ПВП
Сапфир-22-ДВ з уніфікованим струмовим вихідним сигналом 0-20 мА. Сигнал
подається на контролер Вихід із мікропроцесорного контролера подаємо на
Частотний перетворювач типу Damfoss VLT Micro Drive FC51, який у свою чергу діє
на роботу вентилятора.
7.
Специфікація засобів автоматизації
|
№ п/п
|
№ позиції
|
Технологічний параметр, його номінальне
значення
|
Місце встановлення ТЗА
|
Назва та коротка технічна характеристика ТЗА
|
Тип
|
Кількість
|
При-мітка
|
|
1
|
2
|
3
|
4
|
5
|
6
|
7
|
8
|
|
1
|
1-1,2-1,2-2
|
Температура води на вході у котел 600С
|
На трубопроводі подачі води з мережі
|
Платинові термометри опору. Температурні
діапазони від - 50 С.180С.
|
PT100-42
|
3
|
|
|
2
|
1-2,2-3,2-4
|
|
По місцю
|
Перетворювач температури. Вихідний сигнал 4….
20мА. Діапазон вимірювання 200. +850° C
|
Sitrans TH100
|
3
|
|
|
3
|
1-3,2-5,3-5
|
|
На щиті
|
Пускач безконтактний реверсивний
|
ПБР-2А
|
3
|
|
|
4
|
1-4,2-4,3-6
|
|
По місцю
|
Виконавчий механізм з регулюючим клапаном з
електроприводом. Dy=250 мм; умовний тиск Ру=0.6 мПа, Му=16
Нм; t=25 c; повний хід 0,25 об.
|
МЭО-16/25-0,25-82
|
3
|
|
|
5
|
3-1,3-2
|
Витрата палива 490м3/год. Витрата
первинного повітря 3900м3/год
|
На трубопроводі подачі палива На трубопроводі
подачі первинного повітря
|
Діафрагма для вимірювання витрати. Діафрагма
камерна стандартна. Умовний діаметр Dy=250 мм; умовний тиск Ру=0-6МПа.
|
ДКС 0.60-250
|
2
|
|
|
6
|
3-3,3-4
|
|
По місцю
|
Перетворювач різниці тисків. Верхня межа
вимірювання 6,3 кПа, Межа допустимого робочого тиску 4МПа. Похибка - /+ 0,5%.
Вихідний сигнал 4-20 мА
|
Сапфір 22дд - 2410
|
2
|
|
|
7
|
4-1
|
|
По місцю
|
Газоаналізатор. Аналоговий вихід 0/4.20мA.
Мінімальний діапазон 0.0,5%, 2% або 5% О2. Максимальний діапазон 0.100%.
|
Oxymat-6
|
1
|
|
|
8
|
4-2
|
Тиск розрідження в котлі - 175Па
|
По місцю
|
Перетворювач надлишкового тиску. Вихідний
сигнал 4-20мА. Верхня межа вимірювань вакууметріческого тиску 0,25кПА
|
Сапфір 22дв - Вн
|
1
|
|
|
9
|
4-3
|
|
По місцю
|
Частотний перетворювач, потужність 1.5кВт,
номінальний струм 6.8А, вихідна частота 1000Гц (VCC+ - режим векторного
управління).
|
Damfoss VLT Micro Drive FC51
|
1
|
|
|
10
|
5-1
|
Захист системи при погасанні полумя
|
|
Фотоприймач
|
МФ-ФР202
|
1
|
|
|
11
|
5-2
|
|
По місцю
|
Датчик реле контролю полум’я
|
СЛ-90-2
|
1
|
|
|
12
|
5-3
|
|
По місцю.
|
Електромагнітний відсічний клапан з ручним
взводом. Макс. тиск 50кПа, Напруга 24В.
|
MADAS MP16/RM N. A
|
1
|
|
|
13
|
5-4,5-5
|
Датчик-реле тиску на трубопроводах подачі природного
газу, первинного повітря, розрідження по 10кПа
|
На трубопроводах подачі природного газу,
первинного повітря, та розрідження.
|
Датчик-реле тиску на трубопроводах подачі
природного газута та повітря. Діапазон вимірювань, мбар - 0,6.5;
|
ДРД-5Н
|
3
|
|
|
14
|
|
|
На щиті
|
Процесорний модуль мікропроце-сорного
контролера Schneider M340
|
BMX P34 2020
|
1
|
|
|
15
|
|
|
На щиті
|
Блок живлення контролера Schneider M340
|
СPS 2000
|
1
|
|
|
16
|
|
|
На щиті
|
Модуль аналогових входів. Кількість каналів 8,
час опитування модуля 9мс, діапазон сигналу 0-20мА, 4-20мА
|
BMX AMI 0800
|
1
|
|
|
17
|
|
|
На щиті
|
Змішаний модуль дискретних входів/виходів.
Кількість вхідних та вихідних каналів 8
|
BMX DDM 16025
|
1
|
|
|
18
|
|
|
На щиті
|
Змішаний аналоговий модуль. Кількість каналів
4, час опитування модуля 5мс, діапазон сигналу 0-20мА, 4-20мА
|
BMX AMM 0600
|
1
|
|
8. Охорона
праці
8.1 Небезпеки
при обслуговуванні котла
Водогрійний котел - пристрій, що має топку і огрівається
продуктами спаленого в ній палива та призначений для нагрівання води, яка
знаходиться під тиском вище атмосферного і використовується як теплоносій поза
самим пристроєм.
ДНАОП 0.00-8.02-93 визначений перелік робіт з небезпекою.
Нижче наведено перелік цих робіт для котелень з урахуванням процесу виробництва
теплоенергії.
. Електрозварювальні та газополум'яні роботи.
. Роботи із застосуванням ручних електро- і пмевмомашин та
інструментів.
. Транспортування, зберігання та експлуатація балонів із
зрідженим вуглеводневим газом, киснем, азотом та вуглекислотою.
. Обслуговування котлів, що працюють на газовому та рідкому
паливі.
. Газонебезпечні роботи
. Зливання, очищення, нейтралізація резервуарів рідкого
палива.
. Робота з монтажу і ремонту мазутонасосних.
. Застосування скловати, шлаковати, азбесту і мастик на
бітумній основі для гідро - і теплоізоліції наземних і підземних трубопроводів.
. Нанесення лакофарбованих покриттів на основі нітрофарб і
полімерних композицій.
. Чищення вентиляційних каналів, газоходів, лежаків та
повітропроводів.
. Випробування і обслуговування водогрійних котлів,
економайзерів, паропроводів, трубопроводів гарячої води, пароперегрівачів,
теплообмінників, теплохімічного обладнання, посудин, що працюють під тиском.
. Роботи у місткостях, деаераторах, трубопроводах, барабанах
котлів і топочних камерах.
. Обстеження димових труб, димоходів і вентиляційних каналів.
. Роботи по ремонту, пофарбуванню, очищенню від снігу й пилу
дахів будівель котелень і допоміжних приміщень (транспортерні, вуглерозмельні,
приміщення шлако - золовидалення).
. Луження і кислотне промивання котлів.
Якщо роботи з підвищеною небезпекою, виконуються не постійно,
наприклад, пп.9, 12, 14 то до початку робіт робітники повинні бути
проінструктовані з продовженням цих робіт, їх повинні виконувати не менше як 2
особи, у бригаді призначається старший і виписується наряд-допуск на виконання
цієї роботи із зазначенням строків виконання.
Нормативно-правові акти з охорони праці при роботі котельних
установок
Нормативно-правові акти з охорони праці (НПАОП) - це правила,
стандарти, норми, положення, інструкції та інші документи, яким надано чинність
правових норм, обов’язкових для виконання.
При розробці цих Правил використовувались чинні в Україні
такі нормативні документи.
|
СНиП 2.04.07-86
|
Теплові мережі
|
|
ДБН 13.2.5.28-06
|
Природне і штучне освітлення
|
|
СНиП II-35-76
|
Котельні установки
|
|
ДБН А.3.1 - 3-94
|
Приймання в експлуатацію закінчених
будівництвом об'єктів. Основні положення
|
|
ДБН 8.2.5-20-01
|
газопостачання
|
|
СНиП 2.04.01-85
|
Внутрішній водопровід і каналізація будинків.
|
|
ГОСТ 2939-63
|
Гази. Умови для визначення обсягу.
|
|
|
Правила подачі та використання природного газу
в народному господарстві України. Затверджені наказом Держкомнафтогазу
01.11.94 N 355
|
|
ГОСТ 1137-64
|
Правила приймання палива за якістю і відбір
проб
|
|
ГОСТ 8733-87
|
Труби сталеві безшовні холодно-і
теплодеформіровані. Технічні умови
|
|
ГОСТ 10705-80
|
Труби сталеві електрозварні. Технічні умови
|
|
ГОСТ 10706-76
|
Труби сталеві електрозварні прямошовні.
Технічні вимоги
|
|
ГОСТ 20295-85
|
Труби сталеві зварні для магістральних
газонафтопроводів. Технічні умови
|
|
ГОСТ 21563-82
|
Котли водогрійні стаціонарні. Основні параметри
і технічні вимоги
|
|
ГОСТ 25365-82
|
Котли парові і водогрійні. Загальні технічні
вимоги. Вимоги до конструкції
|
|
ГОСТ 27303-87
|
Котли парові і водогрійні. Правила приймання
після монтажу
|
|
ТУ 14-3-190-82
|
Труби сталеві безшовні для котельних установок
і трубопроводів
|
|
ТУ 14-3-858-79
|
Труби безшовні холоднодеформовані
|
|
ТУ 14-3-954-80
|
Труби сталеві електрозварні спіральношовні
діаметром 580 - 1420 мм для трубопроводів теплових мереж
|
|
ДНАОП 0.00-8.02-93
|
Перелік робіт з підвищеною небезпекою
|
|
НПАОП 0.00-1.08-94
|
Правила будови та безпечної експлуатації
парових і водогрійних котлів (зі змінами та доповненнями)
|
|
ДНАОП 0.00-5.10-96
|
Типова інструкція для операторів (машиністів)
парових та водогрійних котлів
|
|
ДНАОП 0.00-1.16-96
|
Правила атестації зварників
|
|
РД 2730.940 102-92 Минэнерго Украины
|
Котли парові і водогрійні, трубопроводи пари і
гарячої води. Зварні з'єднання. Загальні вимоги. Контроль якості.
|
|
НПАОП 0.00-1.11-98
|
Правила будови і безпечної експлуатації
трубопроводів пари та гарячої води
|
|
|
Правила обстежень, оцінки технічного стану,
паспортизації та проведення планово-попереджувальних ремонтів теплових мереж
і споруд на них. Затверджені наказом Держбуду України 09.06.98 р. N 123
|
|
Р 204 України 001-96
|
Рекомендації обробки води систем підживлення
теплових мереж за допомогою магнієвих фільтрів.
|
|
НПАоП 40.1 - 1.21-98
|
|
НАПБ А 01.001-04
|
Правила пожежної безпеки в Україні
|
|
НПАОП 0.00-5.08-96
|
Інструкція про порядок видачі дозволу на
виготовлення, ремонт і реконструкцію об'єктів котлонагляду і здійснення
нагляду за виконанням цих робіт
|
|
НПАОП 0.00-4.12-05
|
Типове положення про навчання, інструктаж і
перевірку знань працівників з питань охорони праці
|
|
|
Тимчасові правила обліку відпуску і споживання
теплової енергії. Затверджені наказом Держжитлокомунгоспу і Міненерго України
|
|
НПАОП 0.00-1.20-98
|
Правила безпеки систем газопостачання України
(ПБСГ)
|
|
НПАОП 0.00-6.02-08
|
Положення про розслідування та облік нещасних
випадків, професійних захворювань і аварій на підприємствах, в установах і
організаціях
|
Безпека пуску і експлуатації котла
Дозвіл на
експлуатацію котлів
Приймання в експлуатацію нововстановленого котла здійснюється
згідно з вимогами ГОСТ 27303-87, ДБН А.3.1-3.94 і після реєстрації котла в ЕТЦ.
Пуск котла в роботу проводиться за наказом власника
підприємства (організації), виданим по результатах проведених
пусконалагоджувальних робіт і обстеження котла експертом ЕТЦ під час парового
випробування для встановлення готовності котельної установки до експлуатації і
відповідності проекту і НПАОП 0.00-1.08-94 або НПАОП 0.00-1.26-96.
На кожному котлі, який введено в експлуатацію, повинна бути
прикріплена на видному місці табличка форматом не менше ніж 300 х 200 мм із
зазначенням таких даних:
а) реєстраційний номер;
б) дозволений тиск;
в) число, місяць і рік наступного внутрішнього огляду і
гідравлічного випробування.
Приймання в
експлуатацію котелень
Після реєстрації котла (котлів), монтажу тепломеханічної
частини, технічного опосвідчення виконуються роботи щодо обмурування котла,
підготовки системи водопідготовки і одночасно наказом по підприємству
створюється робоча комісія для роботи по прийманню в експлуатацію котельні. До
складу комісії входять представники: замовника, генпідрядника та підрядних
монтажних організацій.
Складається план поетапного приймання в експлуатацію об'єкта.
До початку роботи комісії за 10 днів письмово сповіщаються місцеві служби
пожежного нагляду, санепідемстанції, охорони навколишнього середовища та
Держнаглядохоронпраці України.
Комісія складає акт недоробок з благоустрою території,
будівельних робіт, тепломеханічної частини, енергомонтажу, внутрішніх мереж,
КВПіА, освітлення, по побутових приміщеннях, з газопостачання, призначає
відповідальних за виконання та установлює нові строки виконання завершальних
робіт.
Одночасно усі підрядні організації подають Генпідрядчику
документацію щодо виконання монтажних та пусконалагоджувальних робіт.
Генпідрядник готує документи, технічну документацію та після
оформлення акта про здачу котельні в експлуатацію передає її із свого балансу
на баланс замовника. При цьому, звітуючись перед центральним статистичним
управлінням та державним комітетом Держбуду України про введення нових енергопотужностей.
ПУСК КОТЛІВ
Загальні
положення
Роботи по пуску котлів і котелень повинні виконуватися за
технічною документацією заводу-виготовлювача, проекту монтажу котла чи
котельні, а також керівних нормативних документів НПАОП 0.00-1.08-94, НПАОП
0.00-1.26-96, НПАОП 0.00-1.20-98 (ПБСГ), НПАОП 0.00-5.10-96.
Вказані роботи виконуються підприємствами, які мають ліцензії
на ці роботи, працівники повинні бути атестовані.
Пуску і наладці котельних установок передують такі підготовчі
роботи: промивання котлів і систем від бруду, перевірка арматури і приладів
контролю і автоматики, просушування обмурку, перевірка справності топкових
пристроїв, механізмів вуглеподачі та золовидалення, насосних агрегатів,
тягодуттьових машин та іншого обладнання.
У котельнях з чавунними водогрійними котлами після
випробування котлів і системи здійснюють промивання їх від сміття і бруду. Для
цього з котлів знімають нижні глухі фланці і замінюють їх тимчасовими із
штуцерами і запірною арматурою для скидання промивальної води.
Систему промивають наповненням і спусканням води, повторюючи
цю операцію 2 - 3 рази до появи освітленої води.
Під час наповнення системи і спуску води забезпечують таку
швидкість руху її у системі (1 - 1,5 м/с), при якій бруд тягнеться потоком і
виноситься із системи. Воду спускають у нижчій точці зворотної магістралі через
спускну трубу, діаметр якої дорівнює діаметру зворотної магістралі у місці її
вварювання.
Для забезпечення якісного і швидкого промивання системи
рекомендується застосовувати гідропневматичний спосіб, при якому, крім води,
подають ще стиснене повітря тиском на 0,2 - 0,3 МПа більшим ніж тиск
промивальної води. Скидають промивальну воду до каналізації, водостічної мережі
або на поверхню грунту, залежно від місцевих умов. Великі системи, які обслуговують
будівлі понад 30 тис. м3, промивають окремими ділянками.
Передпускові
роботи
Одночасно з промиванням котлів просушують обмурок. Протягом
двох діб обмурок просушують повітрям на природній тязі без вогню, при
відчинених топкових дверцятах, люках, піддувалях і шиберах. Після цього для
утворення тяги прогрівають лежаки і димову трубу розведенням легкого вогню
безпосередньо у лежаку і біля основи труби. Як тільки в трубі установиться
тяга, котли розпалюють дровами, підтримуючи в них невеликий вогонь. Перед цим
парові котли обов'язково заповнюють водою. Водогрійні котли заповнюють водою
разом з системою, оскільки у них нема водогрійних колонок і важко стежити за
рівнем води та можливі випадки пошкодження котлів.
Обмурок просушують на слабкому вогні протягом 6 - 7 діб,
підтримуючи температуру води в котлах 40 - 45° C. Після закінчення просушування
палити припиняють, обмурку дають повільно охолонути при щільно зачинених
шиберах і дверцятах. Обмурок, який охолонув, ретельно оглядають, а виявлені
тріщини затирають розчином з вогнетривкої глини.
Одночасно з промиванням котлів та просушуванням обмурку
перевіряють наявність, справність і правильність встановлення
контрольно-вимірювальних приладів і приладів автоматики, а також перевіряють
роботу насосів, включенням їх на 1,5 - 2 години при закритій засувці після них.
Під час підготовки до пуску районних, квартальних котелень
великої потужності до початку опалення перевіряють справність вихідних вікон
амбразур пальників, лазів, вічок, стан труб екранів і конвективної частини,
правильність положення елементів контрольно-вимірювальних приладів та
імпульсних точок систем автоматики всередині топки, відсутність у топці,
лежаках і газоходах сторонніх предметів, запас палива, тиск газу перед
пальниками і справність газового обладнання, готовність і включення
контрольно-вимірювальної арматури, автоматичного регулювання. Без справних
контрольно-вимірювальних приладів і захисних автоматичних блокіровок пуск котла
категорично забороняється.
Крім вказаних перевірок слід перевірити стан топкових
пристроїв і наявність тяги, справність тягодутьових машин і живильних насосів
короткочасним включенням їх у роботу, справність трубопроводів і арматури (при
цьому треба звертати увагу на достатність сальникового ущільнювання і
нормальний стан поверхні штоків, клапанів, вентилів і засувок), а напрямок руху
розчинів повинен відповідати напрямку стрілок на корпусі арматури; справність
арматури щодо герметичності і легкості ходу, справність дистанційного керування
засувок і вентилів, наявність змащення, роботу електро- і пневмоприладів,
справність запобіжних клапанів і надійність закріплення на них вантажів. Під
час перевірки запірно-регулювальну арматуру треба включати у робоче положення.
Обмурок парових котлів для спалювання твердого, рідкого і газоподібного
палива у теплий час року сушать протягом 5 діб на дровах, у зимовий час
протягом 6 - 8 діб (котли у полегшеному обмурку просушують протягом 3 діб).
Кожний тип котла має свої особливості сушіння обмурку,
зумовлені монтажем різних топкових пристроїв. Про це вказується у технічній
документації заводу-виготівника, яка надходить у комплекті з котлом.
Температура води у котлі на кінець сушіння не повинна
перевищувати 80 - 90° C.
Лужіння парових котлів провадять після сушіння обмурку для
очищення внутрішніх поверхонь від бруду, іржі, окалини і масних відкладачів, що
накопичилися під час виготовлення, транспортування, зберігання й монтажу котла.
Перед лужінням провадять внутрішній і зовнішній огляди
змонтованого котла і складають акт про стан його внутрішніх поверхонь.
Для прискорення процесу лужиння, ще до початку монтажу, під
час огляду, дуже пошкоджені іржею чи забруднені елементи очищують механічним
способом.
Під час зовнішнього огляду перевіряють також правильність
складання окремих елементів парових, водяних і дренажних труб, установки
водовказівних приладів і позначок вищого і нижчого рівнів, нанесення позначок і
міру відкривання і закривання регулюючих і запірних пристроїв, справність
роботи пристроїв для регулювання і подачі пари, води, повітря і палива
(шиберів, заслінок, кранів, вентилів тощо).
Лужіння котла і одночасне підживлення провадять хімічно
очищеною або живильною водою. Оптимальна температура води повинна бути в межах
40 - 70° C.
Перед заповненням котла водою підклинюють один із запобіжних
клапанів (при появі пари - його переводять у робоче положення) і відкривають
повітряний клапан водяного економайзера (до появи з нього води), а також
продувальний вентиль на камері перегрітої пари пароперегрівача. Пароперегрівачі
лужінню не піддають і лужним розчином не заповнюють. Очищення їх провадять
парою.
Заповнюють котел водою до рівня позначки нижнього
водопокажчика. Лужіння супроводжується розпалюванням котла і підняттям тиску,
внаслідок чого для економії часу й палива введення реагентів і початок лужіння
провадять за три дні до закінчення сушіння обмурку. Реагенти вводять у котел
тільки у вигляді готового розчину (1 кг реагенту на 8 л води) за допомогою
дозатора або встановленого над котлом бачка місткістю 0,5 м3 через
будь-який штуцер верхнього барабана за повної відсутності тиску в котлі.
Для лужіння застосовують каустичну соду або кальциновану соду
і тринатрійфосфат. Розчини вводять окремо, щоб уникнути кристалізації
тринатрійфосфату в трубах котла.
Лужне число котлової води під час лужіння не повинно падати
нижче ніж 200 мг/л: для чого через кожні 3 - 4 години відбирають проби котлової
води з барабанів і камер екранів.
Протягом усього процесу лужіння і випробування котла на
парову щільність котел підживлюють до позначки верхнього покажчика рівня.
Вогневе обігрівання котла провадять обережно, щоб не допустити підвищення
температури газів перед входом до пароперегрівача більше ніж 500 - 600° C.
Випробування котла на парову щільність треба провадити після
лужіння і повної заміни котлової води, для чого піднімаються тиск у котлі.
Після досягнення ним значення на 0,2 - 0,3 МПа, нижче від робочого перевіряють
щільність і правильність посадки клапанів на свої місця, для чого від руки по
черзі трохи піднімають важелі запобіжних клапанів, а також перевіряють робочий
манометр внаслідок підключення контрольного. Якщо розходження в показах
перевищать 0,025 МПа, то робочий манометр слід замінити.
Після досягнення робочого тиску у котлі установлюють і
надійно закріплюють вантажі на важілі запобіжних клапанів так, щоб вони змогли
працювати згідно з п.6.2 ДНАОП 0.00. - 1.08-94.
Після остаточного регулювання на контрольний клапан треба
одягти металевий кожух і запломбувати його. Відрегульований клапан від легкого
удару долонею руки знизу повинен вібрувати.
Достатня парова щільність характеризується відсутністю
нещільностей і пропускання пари і води у місцях з'єднання окремих елементів, а
також безвідмовною автоматичною роботою запобіжних клапанів. Сигналізатор і
регулятор рівня регулюють і випробують на парову щільність зміною рівня води у
барабані до контрольних позначок.
Після закінчення випробування і продування паропроводів тиск
у котлі знижують до нуля, а після зниження температури води до 50 - 60° C її
спускають з котла, відкривають лази барабанів і лючки камер і ретельно
промивають барабани, камери і труби струменем гарячої води під тиском 0,4 - 0,5
МПа, а також перевіряють стан спускної і продувальної арматури і водомерних
колонок. Стан поверхні нагрівання після лужіння і промивання фіксується актом.
Операції сушіння обмурку, лужіння і випробування на парову
щільність повинні виконуватися спеціалізованою пусконалагоджувальною
організацією, яка виконує її за відповідним графіком погодинного додержування
технологічних операцій.
Пуск котлів на рідкому паливі
Пуск котлів на рідкому паливі має свої особливості в тому, що
на час пуску котлоагрегатів, що працюють на мазуті, треба його розігрівати.
Для цього можна на час пуску завезти пічне паливо (солярове
масло), одержати тепло для розігрівання мазуту із сусідніх котелень по
тимчасовому трубопроводу, одержати пару від транспортабельної чи пересувної
котельної установки.
Котлоагрегати, що працюють на рідкому паливі, повинні бути
обладнані досконалою автоматикою безпеки і регулювання живлення паливом і
водою. Пусконалагоджувальні роботи на них повинні виконувати атестовані фахівці
з організацій і установ, які мають дозвіл на виконання цих робіт від
Держнаглядохоронпраці України (1.2).
Першим етапом в пуску котлів (котелень), що працюють на
рідкому паливі (мазуті), є подача тепла на мазутне господарство і створення
циркуляційного робочого контуру - між сховищем мазуту (витратні місткості) і
котельнею (котлоагрегатом).
У схемах мазутопостачання слід передбачити двоступінчасте
очищення (грубе й тонке) і безперервний рух мазуту через насос до форсунок
котла. Мазутопроводи прокладаються з ухилом 0,01 - 0,015 за напрямком потоку
спільно з супутнім паропроводом у загальній тепловій ізоляції.
Розігрівши паливо до потрібної температури у мазутних
підігрівачах, задіявши мазутні насоси, створивши потрібний тиск і циркуляцію
після перевірки усіх систем, оператори пускової зміни готують до запуску
мазутні стволи з форсунками (залежно від типу і конструкції) за робочою
інструкцією.
Залежно від конструкції системи автоматики розпалювання
котлоагрегату провадиться або від ЗЗП (захисно-запального пристрою) солярового
факела, газового запальника або іншого запалюючого пристрою.
Усі параметри на котлі виводяться за тимчасовою режимною
картою і робочою інструкцією з експлуатації.
Після досягнення сталого режиму роботи агрегату переходять на
постійну схему роботи мазутного господарства, і після 72-годинного нормального
безаварійного функціонування усіх систем, включаючи котлоагрегат, фіксують пуск
його відповідним актом.
Пуск котлів
на газоподібному паливі
Перед пуском в роботу газовикористовувальних установок їхні
топки і газоходи повинні бути провітрені. Порядок і тривалість провітрювання
встановлюється інструкцією з безпечного обслуговування установки.
Закінчення вентиляції визначається за допомогою
газоаналізатора, при цьому вміст газу не повинен перевищувати 1/5 НМВ.
До розпалювання газовикористовувальної установки повинні бути
послідовно продуті газом газопровід перед колектором агрегату, колектор
агрегату і опуски до пальників. Продувка газопроводу і колектора повинна
провадитися при закритій запірній арматурі перед пальниками.
Запірну арматуру безпосередньо перед пальником дозволяється
відкривати тільки після включення запального пристрою або піднесення до нього
палаючого запальника. Подача газу в топки, які обладнані автоматичними
газопальниковими блоками, що працюють за програмою, визначається інструкцією
заводу-виготовлювача блоку.
Коли агрегати працюють на різних видах палива і мають спільні
газоходи, то пуск агрегатів на газовому паливі повинен провадитися при
непрацюючих агрегатах, які використовують інші види палива. Якщо зупинка цих
агрегатів за технологією виробництва неможлива, допускається пуск агрегату на
газовому паливі при працюючих агрегатах на інших видах палива тільки з додержанням
спеціальної пускової інструкції, затвердженої керівником підприємства.
Пуск агрегату після тривалої зупинки або ремонту (зняття
заглушки) дозволяється за наявності актів контрольного випробування
газопроводів на герметичність, перевірки топок, газоходів,
контрольно-вимірювальних приладів і систем автоматики і регулювання.
Перед пуском котелень та інших агрегатів та установок повинно
бути забезпечене приймання обладнання для комплексного опробування, введення в
дію автоматичних засобів контролю і управління, передбачене проектом і
паспортами обладнання, протиаварійні і протипожежні засоби. Персонал слід
навчити методам і способам виконання газонебезпечних робіт згідно з вимогами
підрозділу 7.11, проінструктувати про можливі неполадки і засоби їх усунення,
забезпечити потрібними схемами та інструкціями, а також засобами захисту і
пожежегасіння, спецодягом, необхідними приладами і обладнанням.
На час комплексного опробування повинно бути організоване
цілодобове чергування персоналу для спостереження за станом технологічного
обладнання і вжиття заходів щодо своєчасного усунення несправностей і витоку
газу, а також гарантування безпеки під час виконання пусконалагоджувальних
робіт.
Висновки до
розділу
Водогрійні котли мають достатню потужність для опалення та
гарячого водопостачання адміністративних і житлових будівель, різних підсобних
приміщень, виробничих цехів і інших господарських приміщень. Вони можуть
працювати на твердому або дизельному паливі, на газі або електроенергії.
Найбільш економічно вигідним є використання водогрійних котлів на газовому
паливі.
Експлуатація водогрійних котлів - процес, пов'язаний з
хорошим знанням різних нюансів і тонкощів, пов'язаних з правильним запуском
котла, його технічним обслуговуванням та забезпечення належного функціонування
його вузлів і агрегатів. Безсумнівно, експлуатація водогрійних котлів - справа
рук професіоналів.
При експлуатації водогрійного котла, який функціонує на газі,
необхідно проводити пуск газу з тестуванням магістральних газових з'єднань на
витік - це обов'язковий момент, пов'язаний із забезпеченням безпеки його
роботи; необхідно проводити всі тести де використовується автоматика безпеки
при палаючому пальника на зникнення полум'я, перекидання тяги і закипання;
необхідно проводити періодичне тестування датчика нестачі води перед запуском і
в процесі експлуатації водогрійного котла; періодично проводити тестування
запобіжно-скидних клапанів і автоматичних вентилів; перевіряти
роботопридатність циркуляційних насосів; перевіряти роботу вузлів та агрегатів
водогрійного котла як в річному, так і в зимовому режимі його роботи; проводити
тести роботи встановлених термостатів господарської води і термостатів
опалення.
В процесі експлуатації водогрійного котла періодично при
забрудненні або запиленні котла необхідно проводити його очищення; при
наявності магнієвого анода, також необхідно періодично, згідно встановленим
технічним вимогам, проводити його тестування на роботопридатність.
9. Розрахунок
економічної ефективності автоматизації
9.1 Вступ
Автоматизація виробничих процесів - це сукупність заходів і
розробок технологічних процесів, створення і впровадження високопродуктивних
автоматично діючих засобів виробництва, що забезпечують неперервний ріст
продуктивності праці.
Автоматизація виробничих процесів є основним засобом
технічного прогресу, одним з найбільш ефективних шляхів підвищення
продуктивності праці. Автоматичне управління і регулювання виробничих процесів
дозволяє підвищити продуктивність обладнання і звільнити робітників від
одноманітних і стомлюючих операцій по управлінню механізмами.
Автоматизація виробничих процесів може бути повною або
частковою. Повна автоматизація передбачає автоматичний контроль і регулювання
виробничих процесів, підтримання заданих або вибір автоматичних режимів роботи
механізмів та агрегатів без участі обслуговуючого персоналу. При частковій
автоматизації виробничих процесів ручна праця застосовується для управління
виробничими операціями. В залежності від призначення пристроїв, які
застосовують в системах автоматизації, виконують різні функції - контролю,
захисту, сигналізації, керування, регулювання та ін. Пристрої автоматичного
контролю призначені для перевірки окремих машин, агрегатів або окремих ділянок
технологічного процесу. Вони не тільки фіксують отримані результати, але й
перетворюють їх в сигнали (імпульси) для автоматичного регулювання (виконують
функції датчиків).
Використання сучасної мікропроцесорної техніки, дає
можливість покращити точність і якість керування процесом, стабілізувати
основні технологічні параметри.
За рахунок автоматизації можна досягнути більшої
продуктивності, надійності роботи даної схеми автоматизації процесу синтезу
аміаку, зменшити затрати електроенергії та робочої сили. При автоматизованій
системі можна зменшити робочий штат, що вплине на економію підприємства.
Характеристика об’єкту
В даній бакалаврській роботі розглядається автоматизація
водогрійного котла, продуктивністю 2,2 т/год. Процес нагріву води відбувається
наступним чином: вода з мережі з температурою 
проходить через змійовик який розміщений у топці де горить
полумя, таким чином полум’я нагріває змійовик і вода поступає знову в мережу з
температурою
9.2
Розрахунок і обґрунтування витрат на здійснення заходів з автоматизації
Для розрахунку витрат на впровадження спроектованої схеми
автоматизації складаємо кошторис на придбання, транспортування і монтаж
контрольно-вимірювальних приладів.
Вартість монтажних робіт складається з витрат на матеріали,
енергію, основну і додаткову заробітну плату і накладні витрати, які можуть
становити 45 % від вартості КВПіА. Транспортні витрати становитимуть 25 % від
вартості КВПіА.
Кошторис витрат на автоматизацію:
|
№
|
Назва приладу
|
Тип приладу
|
К-ть (шт)
|
Вартість, грн
|
|
|
|
|
одиниці
|
Монтажно транспортні одиниці
|
повна
|
|
1
|
2
|
3
|
4
|
5
|
6
|
7
|
|
1
|
Платинові термометри опору.
|
PT100-42
|
3
|
2000
|
1400
|
10200
|
|
2
|
Вимірюваний перетворювач температури
|
Sitrans TH100
|
3
|
1900
|
1330
|
9690
|
|
3
|
Пускач безконтактний реверсивний
|
ПБР-2А
|
3
|
390
|
266
|
1968
|
|
4
|
Виконавчий механізм з регулюючим клапаном з
електроприводом
|
МЭО-16/25-0,25-82
|
3
|
2770
|
1939
|
14127
|
|
5
|
Діафрагма для вимірювання витрати
|
ДКС 0.60-250
|
2
|
1300
|
910
|
4420
|
|
6
|
Перетворювач різниці тисків
|
Сапфір 22дд
|
2
|
970
|
679
|
3298
|
|
7
|
Газоаналізатор
|
Oxymat - 6
|
1
|
1376
|
963,2
|
2339,2
|
|
8
|
Перетворювач надлишкового тиску
|
Сапфір 22дв
|
1
|
950
|
665
|
1615
|
|
9
|
Частотний перетворювач
|
Damfoss VLT Micro Drive FC51
|
2
|
4300
|
3010
|
14620
|
|
10
|
Датчик реле контролю полум’я з фотоприймачем
|
СЛ-90-2, МФ-ФР202
|
1
|
3200
|
2240
|
5440
|
|
11
|
Електромагнітний відсічний клапан з ручним
взводом
|
MADAS MP16/RM N. A
|
1
|
2700
|
1890
|
4590
|
|
12
|
Датчик-реле тиску
|
ДРД-5Н
|
3
|
600
|
420
|
3060
|
|
13
|
Контролер
|
Shneider Electric M340
|
1
|
18720
|
13104
|
31824
|
|
14
|
Блок живлення
|
CPS 2000
|
1
|
1821
|
1274
|
3095
|
|
15
|
Модуль аналогових входів
|
AMI 800
|
1
|
3550
|
2485
|
6035
|
|
16
|
Модуль аналогових входів
|
AMM 0600
|
1
|
2600
|
1820
|
4420
|
|
17
|
Змішаний модуль дискретних входів/виходів
|
DDM 16025
|
1
|
1920
|
1344
|
3264
|
|
18
|
Всього
|
|
|
|
|
124005.2
|
|
|
|
|
|
|
|
|
Затрати на облаштування операторського приміщення
становитимуть 20000 грн. Отже, кошторис витрат на автоматизацію буде:
К=125150.2+20000=144005.2грн.
9.3
Розрахунок амортизаційних відрахувань
Відрахування на амортизацію визначаємо за балансовою вартістю
основних фондів (КВПіА), які беруть участь в автоматизації, та норм
амортизації. Норми амортизації складають 40% від загальної вартості
автоматизації.
Розрахунок річної суми амортизаційних відрахувань:
|
№з/п
|
Прилади
|
Повна вартість, грн.
|
Норма амортизації, %
|
Річна сума амортизації, грн.
|
|
1
|
2
|
3
|
4
|
5
|
|
1
|
Разом
|
145150.2
|
40
|
57602.08
|
9.3
Розрахунок впливу автоматизації на техніко-економічні показники
Впровадження автоматизації веде до змін техніко-економічних
показників виробництва.
Необхідно визначити напрямки розрахунку економії від
впровадження автоматизації, показати, які показники впливають на економічну
ефективність автоматизації: за рахунок зниження витратних коефіцієнтів
сировини, допоміжних матеріалів, палива, енергії; збільшення виробничої
потужності; зниження трудомісткості обслуговування; підвищення якості продукції
тощо.
Після автоматизації на 1т продуктивності (3,2т/год) економія
електроенергії становить 1.13 кВт∙год.
За рік (365 дня) продуктивність водогрійного котла становить:
,2 т/год·8760год=28032т/рік
Отже, економія електроенергії за рік буде:
·1,13=31676.16 кВт∙год.
А економія затрат становитиме:
Е1=31676.16 кВт∙год/рік · 1,08грн/кВт∙год=34210.2грн
9.4
Розрахунок чисельності основних робітників та їх річного фонду заробітної плати
Оскільки до автоматизації кількість основних робітників
складала чотири особи в зміну, а після автоматизації достатньо буде одного
оператора в зміну, економія по заробітній платі за рахунок зниження кількості
обслуговуючого персоналу буде:
Ез = Зроб·12·4·n =2500·12·4·3 = 360000
грн/рік
де Зроб - місячна зарплата одного працівника, грн.
/міс;- кількість змін
Сумарна економія дорівнює:
Ес = Е1 + Ез = 34210.2+
360000=394210,2 грн
9.5
Розрахунок експлуатаційних витрат на автоматизацію
До експлуатаційних витрат на автоматизацію належать:
А) Енергозатрати на живлення і засобів автоматизації.
автоматизація мікропроцесорний контролер котел
Розрахунок витрат електроенергії
|
№
|
Назва приладу
|
Потужність приладу, Вт
|
К-сть приладів, шт.
|
Загальна потужність, Вт
|
К-сть год. роботи на рік. год.
|
Витрати ел. енергії в рік. кВт. год
|
|
1
|
2
|
3
|
4
|
5
|
6
|
7
|
|
1
|
PT100-42
|
3
|
3
|
9
|
8760
|
78.84
|
|
2
|
Sitrans TH100
|
3
|
3
|
9
|
8760
|
78.84
|
|
3
|
МЭО-16/25-0,25-82
|
50
|
3
|
150
|
8760
|
438
|
|
4
|
Сапфір 22дд
|
55
|
2
|
110
|
8760
|
876
|
|
5
|
Сапфір 22дв
|
55
|
1
|
55
|
8760
|
481.8
|
|
6
|
Danfoss VLT Micro Drive FC51
|
1500
|
1
|
1500
|
8760
|
1314
|
|
7
|
СЛ-90-2
|
2.5
|
1
|
2.5
|
8760
|
21.9
|
|
8
|
ДРД-5Н
|
3
|
3
|
9
|
8760
|
788.4
|
|
9
|
Shneider Electric M340
|
18
|
1
|
18
|
8760
|
157.68
|
Сумарна витрата електроенергії на живлення засобів
автоматизації:
7502 кВт на рік
Вартість спожитої енергії буде:
З1 =7502*1,13 = 8478.3 грн на рік.
Б) Витрати на утримання прийнятих робітників на обслуговування
КВПіА:
З2 = Зроб·12міс·1·n = 2350·12·1·1=28200
грн/рік
де n - кількість змін.
В) Амортизаційні витрати:
З3= 57602.08грн
Г) Витрати на охорону праці знову прийнятих робітників на
обслуговування КВПіА:
З4= 4000 грн/рік
Д) Витрати на ремонт КВПіА:
Г) Єдиний соціальний внесок:
Зєсв=0,37· З2=0,37·28200=10434
Експлуатаційні витрати складуть суму всіх витрат:
Зе= З1+ З2+ З3 + З4+
З5 + Зєсв = 8478.3+28200+57602.08+4000+20000+10434=
128714.38 грн/рік
9.6
Розрахунок річного економічного ефекту і терміну окупності
А) Річний економічний ефект визначаємо по формулі:
Ер=Езаг-К·Ен=94504,2 -
144005.2·0,15=72903,42 грн.
загальна умовно-річна економія за рахунок різноманітних джерел
визначається по формулі:
Езаг=Еі-Зе=34210.2 - 128714.38
=94504,2 грн.
де
- економія за рахунок і-го джерела
(палива, енергії, матеріалів, зарплати).
К - капітальні витрати на автоматизацію (згідно кошторису).
коефіцієнт ефективності (
=0,15).
- експлуатаційні затрати на автоматизацію.
Б) Термін окупності: Ток=К/Езаг=
144005.2/94504,2 =1.52 роки.
В) коефіцієнт економічної ефективності:
Основні техніко-економічні показники:
|
№
|
Показник
|
Одиниці вимірювання
|
Величина
|
|
1
|
2
|
3
|
4
|
|
1
|
Витрати на автоматизацію. .
|
грн.
|
144005.2
|
|
2
|
Чисельність робітників в день1 зміна.
|
чол.
|
1
|
|
3
|
Середньорічна заробітна плата на одного
робітника.
|
грн.
|
28200
|
|
4
|
Річний економічний ефект.
|
грн.
|
72903,42
|
|
5
|
Термін окупності.
|
рік.
|
1,52
|
|
6
|
Коефіцієнт економічної ефективності.
|
|
0,65
|
Висновок до
розділу
У даному розділі бакалаврської кваліфікаційної роботи я
розглянув можливості зниження питомих енергетичних витрат. Забезпечення
конкурентоспроможності України на зовнішньому і внутрішньому рівнях є
невідкладним завданням, виконання якого базується на удосконаленні
технологічного обладнання для водогрійного котла.
Обрахувавши економічні показники ефективності автоматизації
можна зробити висновок, що автоматизація установки для концентрування яблучного
соку в випарній установці є доцільною і економічно ефективною. Термін окупності
автоматизації проектованої системи складає 1.52 років.
Висновок
Виконавши бакалаврську кваліфікаційну роботу, було досліджено
технологічний процес водогрійного котла.
Засвоївши принципи побудови та програмування систем
автоматизації з використанням мікропроцесорних засобів, було розроблено
оптимальну функціональну схему автоматизації водогрійного котла та відповідні
засоби автоматизації, розроблено програму функціонування мікропроцесорного
контролера Schneider Electric M340 та розроблено принципову електричну схему
зовнішніх з’єднань мікропроцесорного контролера із обраними засобами
автоматизації. Застосування програмного регулювання з допомогою
мікропроцесорної техніки дозволяє скоротити витрати людської праці та
електроенергії, а також зменшити вплив людського фактору.
Проведено розрахунок та моделювання води на виході із котла,
що подається до споживача. Дослідивши перехідний процес САР із оптимальними
параметрами ПІ-регулятора, висновок такий, що ПІ-регулятор може забезпечити
якісний процес відповідно до критеріїв якості.
Передбачено заходи з охорони праці та описані правила техніки
безпеки при експлуатації водогрійного котла.
Проведено розрахунок економічної доцільності проектованої
системи автоматизації. Річний економічний ефект становитиме 72903,42 грн. і
термін окупності 1.52 роки.
Список
літератури
1. Основные
процессы и аппараты химической технологии /А.Г. Касаткин/ - 784с.
2. Голубятников
В.А., Шувалов В.В. Автоматизация производственных прцессов и АСУП в химической
промышленности. - М.: Химия, 1978. - (Автоматизация химических производств). -
376 с.
. Рашковская
Н.Б. Сушка в химической промышлености. - Л.: Химия, 1977, - 80.
. Полоцкий
Л.М., Лапшенков Г.И. Автоматизация химических производств. - М.: Высшая школа,
1982.
. Плановский
А.Н. Процессы и аппараты химической технологии. - 848 с.
. Визначення
параметрів математичних моделей елементів систем автоматичного регулювання за
експериментальними перехідними функціями: Інструкція до лабораторних робіт № 1,
2, 3 з курсу "Теорія автоматичного керування" для студентів базового
напряму "Автоматизація і комп’ютерно-інтегровані технології” / Укл.: Г.Б.
Крих, Ф.Д. Матіко, В.К. Савицький. - Львів, 2001. - 8с.
. Закон
України ” Про охорону праці”
. ГОСТ
21.404 - 85. Автоматизация технологических процессов. Обозначения условные приборов
и средств автоматизации в схемах. - М.: Стандартиздат, 1985.