Система вентиляции
Министерство
образования и науки, молодежи и спорта Украины
Харьковская
национальная академия городского хозяйства
Курсовой
проект
по
дисциплине «Вентиляция»
Выполнила
Ярошенко И.С.
Харьков-2012
Содержание
Введение
. Исходные данные
.1 Климатологические данные
. Ограждающие конструкции и
мероприятия по энергосбережению
3. Расчет воздухообмена по
кратности
. Расчет теплопоступлений от
солнечной радиации
. Расчет теплопоступлений от
людей
. Определение воздухообмена в
расчетном помещении для ассимиляции воздуха
. Основные решения по
конструированию системы вентиляции
. Аэродинамический расчет
систем вентиляции
. Подбор оборудования
10. Подбор вентилятора
.1 Шумовые характеристики
.2 Размеры
Выводы
Список литературы
Введение
Система вентиляции представляет собой
организованный воздухообмен в помещениях, предназначенных для создания
воздушной среды, благоприятной для здоровья человека, а также отвечающих
требованиям технологических процессов.
Основным направлением развития вентиляция является
работа по созданию благоприятных условий для высокопроизводительного труда,
улучшения условий быта и отдыха населения, совершенствования контроля за
состояниями внутренней среды и источниками ее загрязнения.
В условиях современного производства основной
задачей вентиляции является поддержание допустимых параметров в помещениях и
обеспечение наилучших условий для работы на производстве. При проектировании
вентиляции традиционное предпочтение отдается наиболее простым из
обеспечивающих заданные условия способами, при которых проектировщики стремятся
уменьшить производительность систем, принимая целесообразные
конструктивно-планировочные решения здания, внедряя технологические процессы с
минимумом вредных выделений, устраивая укрытия мест образования вредных
выделений.
Комфортность пребывания людей в помещении
определяется различными параметрами. Основными среди них являются:
· температура воздуха в помещении
· влажность воздуха
· температура окружающих поверхностей
· скорость движения воздуха
· загрязнения, степень ионизации
воздуха, запахи, одежда, освещение, уровень шума, интерьер помещения.
При проектировании системы вентиляции необходимо
также учитывать:
· физическую активность людей, находящихся в
данном помещении
· ориентацию помещения по сторонам
света, тепловое излучение солнца
· теплоизбытки и теплопотери
· влаговыделения и влагопоглощения
· допускаемые и оптимальные
температуры.
В соответствии с санитарно-гигиеническими
требованиями наиболее благоприятная температура воздуха в общественных, административных
и бытовых помещениях должна быть от 22 до 22 0С. В теплый период
допустимы колебания температуры от 20 до 28 0С, в холодный период -
от 18 до 22 0С.
Относительная влажность считается оптимальной в
диапазоне от 30 до 60% - в теплый период и 30-45% - в холодный период. Верхняя
допустимая граница относительной влажности 65-70%.
1. Исходные данные
.1 Климатологические данные
Расчетные параметры наружного воздуха взяты
согласно СНиП 2.04.05-91*, приложение 8 и приведены в таблице 1.
Таблица 1 - Расчетные параметры наружного
воздуха
|
Город
|
Расчетная
географическая широта, 0с.ш.
|
Барометрическое
давление, ГПа
|
Период
года
|
Параметры
А
|
Параметры
Б
|
Средняя
суточная амплитуда температуры воздуха, 0С
|
Количество
градусосуток отопительного периода
|
|
|
|
|
Температура
воздуха, 0С
|
Удельная
энтальпия, кДж/кг
|
Скорость
ветра, м/с
|
Температура
воздуха, 0С
|
Удельная
энтальпия, кДж/кг
|
Скорость
ветра, м/с
|
|
|
|
Сумы
|
48
|
990
|
Теплый
|
23,6
|
50,5
|
1
|
28,2
|
54,3
|
1
|
10,7
|
3997
|
|
|
|
Холодный
|
-12
|
-9,2
|
5,9
|
-24
|
-23,7
|
5,9
|
-
|
|
Характеристика объекта
Наименование объекта - клуб.
Местонахождение - г. Сумы.
Расчетное помещение - зрительный зал на 400 мест
(108).
Количество этажей - 2.
2. Ограждающие конструкции и мероприятия по
энергосбережению
Ограждающие конструкции зданий и
сооружений - это строительные конструкции (стены, перекрытия, покрытия,
заполнения проёмов, перегородки и т.д.), ограничивающие объём здания
(сооружения) и разделяющие его на отдельные помещения. Основное назначение
ограждающих конструкций - защита (ограждение) помещений от температурных
воздействий, ветра, влаги, шума, радиации и т.п., в чём состоит их отличие от
несущих конструкций
<#"729214.files/image001.gif">
где L - необходимый
воздухообмен, м3/ч
Kp - кратность
воздухообмена.
Таблица 2 - Расчет воздухообмена по кратности
|
№
пом.
|
Наименование
помещения
|
V,
м3
|
t,
С
|
K
пр.
|
L
пр.
|
K
выт
|
L
выт
|
|
101
|
Кассовый
вестибюль
|
85
|
12
|
-
|
-
|
2
|
170
|
|
102
|
Касса
|
48
|
16
|
10
|
480
|
-
|
-
|
|
103
|
Вестибюль
|
753
|
12
|
-
|
-
|
2
|
1506
|
|
104
|
Санузлы
|
391
|
|
-
|
-
|
-
|
500
|
|
105
|
Венткамера
|
141
|
16
|
-
|
-
|
1
|
141
|
|
106
|
Склад
|
81
|
16
|
-
|
-
|
1
|
81
|
|
107
|
Автотрансформаторная
|
95
|
16
|
2,5
|
237,5
|
4
|
380
|
|
108
|
Зрительный
зал
|
5060
|
14
|
3,1
|
16000
|
3,1
|
16000
|
|
109
|
Фойе
|
865
|
16
|
3
|
2744,5
|
-
|
-
|
|
110
|
Склад
декораций
|
75
|
16
|
-
|
-
|
1
|
75
|
|
111
|
Буфет
|
131
|
18
|
3
|
393
|
4
|
524
|
|
112
|
Подсобная
буфета
|
41
|
16
|
-
|
-
|
1
|
41
|
|
113
|
Администрация
|
70
|
18
|
1,5
|
105
|
1,5
|
105
|
|
114
|
Артистическая
|
57
|
18
|
1,5
|
85,5
|
1,5
|
85,5
|
|
115
|
Ожидальня
артистов
|
192
|
18
|
1,5
|
288
|
1,5
|
288
|
|
116
|
Гримерная
|
70
|
18
|
1,5
|
105
|
1,5
|
105
|
|
117
|
Артистическая
|
52
|
18
|
1,5
|
78
|
1,5
|
78
|
|
118
|
Санузлы
|
52
|
18
|
-
|
-
|
-
|
400
|
|
119
|
Склад
декораций
|
207
|
16
|
-
|
-
|
1
|
207
|
|
Ʃ
|
20517
|
|
20517
|
|
201
|
Кинопроекционная
|
116
|
14
|
5
|
700
|
-
|
700
|
|
202
|
Перемоточная
|
41
|
18
|
1
|
41
|
2
|
82
|
|
203
|
Регуляторная
|
42
|
16
|
-
|
-
|
1
|
42
|
|
204
|
Библиотека
|
1111
|
18
|
3
|
3333
|
2
|
2222
|
|
205
|
Подсобная
библиотеки
|
112
|
16
|
-
|
-
|
1
|
112
|
|
206
|
Вестибюль
библиотеки
|
114
|
12
|
-
|
-
|
2
|
472
|
|
207
|
Малый
зал
|
241
|
14
|
40(20)
|
6000
|
40(20)
|
6000
|
|
208
|
Склад
|
23
|
16
|
-
|
-
|
1
|
23
|
|
209
|
Кулуары
|
142
|
18
|
1,5
|
213
|
1,5
|
213
|
|
210
|
Склад
|
21
|
16
|
-
|
-
|
1
|
21
|
|
211
|
Антресоль
|
135
|
18
|
1,5
|
202,5
|
1,5
|
202,5
|
|
212
|
Санузлы
|
28
|
|
-
|
-
|
-
|
400
|
Кружковая
|
184
|
18
|
1,5
|
276
|
1,5
|
276
|
|
Ʃ
|
10766
|
|
10766
|
4. Расчет теплопоступлений от солнечной радиации
При расчете поступлений тепла солнечной радиации
через внешние ограждения в теплое время года необходимо учитывать значительные
колебания температуры наружного воздуха в течении расчетных суток и колебания
температуры на поверхности наружных ограждений, обогреваемых солнцем. Благодаря
массивности ограждений колебания температур на их внутренней поверхности
уменьшаются и запаздывают по отношению к колебаниям температур на внешней
поверхности.
Определение величины теплопритока производится
для условных расчетных суток, когда максимальная температура наружного воздуха
равна расчетной наружной температуре t для
заданных параметров (например, параметров А или Б).
Тепло солнечной радиации, попадая в помещение,
нагревает его пол, стены и оборудование, которые через некоторое время отдают
тепло окружающему воздуху, поэтому за расчетную нагрузку от солнечной радиации
через остекление рекомендуется принимать среднюю величину между радиацией,
соответствующей расчетному часу, и радиацией за предшествующий час.
Расчет теплопоступлений от солнечной радиации
был рассчитан с помощью on-line программы на mitsubishi-aircon.ru.
Конец формы
5. Расчет теплопоступлений от людей
Расчет теплопоступлений производится для
зрительного зала на 400 чел., находящихся в спокойном состоянии.

, г/л

, л/час
Где 
- влаговыделения в помещение,

- удельное выделение влаги,

- газовыделение в помещение,

- выделение СО2 для 1
чел. в спокойном состоянии,
N - количество
человек.
tвн=240С
Таблица 4 - Удельные выделения
вредностей от людей
|
Показатели
|
Ед.
изм.
|
Удельные
выделения вредностей одним чел при t
|
|
|
10
|
15
|
20
|
25
|
30
|
35
|
|
Полное
тепло
|
Вт/ч
|
165
|
145
|
120
|
95
|
95
|
95
|
|
Влага
|
г/чел*ч
|
30
|
33
|
40
|
50
|
75
|
115
|
|
Углекислый
газ
|
л/чел*ч
|
23
|
Вт/ч 
г/л

л/ч.
6. Определение воздухообмена в
расчетном помещении для ассимиляции воздуха
L=9200/(2-0,5)=6133,3
м3/ч.
при влаговыделениях
где W -
суммарные поступления влаги в помещение,

- влагосодержание внутреннего
удаляемого воздуха (находится по І-d-
диаграмме), 
=10,5 г/кг,

- влагосодержание наружного
воздуха, 
г/кг,
с - теплоемкость воздуха,
с=1,2кДж/кг*К.

м3/ч.

= 68559 Вт/ч
Теплопоступления от источников
искусственного освещения определяется
Тогда Q=68559+14705+40000=
123264 Вт
Определяем теплонапряжённость помещения
(удельные избытки явного тепла), q
Вт/м3.
где Q -
сумма всех теплопоступлений,
V - объем
помещения.

Вт/м3
В зависимости от
найденого значения теплонапряженности
помещения определяем рекомендуемое значение градиента температуры в помещениях
общественных зданий.
Таблица 5 - Значения градиента
температуры
|
Теплонапряженность
помещения
|
Градиент
температуры
|
|
более
23
|
0,8-1,5
|
|
11,6-23
|
0,3-1,2
|
|
менее
11,6
|
0-0,5
|

7. Основные решения по конструированию системы
вентиляции
Таблица 6 - Основные решения по конструированию
системы вентиляции
Диффузор круглый ДПУ-К
Рис. 1 - Конструктивная схема диффузора ДПУ-К
Рис 2 - Схемы струй, формируемых диффузором
ДПУ-К
Диффузоры ДПУ-К круглой формы предназначены для
подачи и удаления воздуха системами вентиляции и кондиционирования в жилых,
административных, общественных и производственных помещениях.
В диффузоре ДПУ-К обтекатель заменен на
подвижную веерную вставку из нескольких диффузоров, закрепленных неподвижно
относительно друг друга.
В диффузорах ДПУ-К при перемещении веерной
вставки с закручивателем соответственно вдоль оси корпуса
изменяются
вид формируемой приточной струи (от вертикальной смыкающейся конической до
горизонтальной веерной) и ее дальнобойность, что позволяет реализовать
посезонное регулирование систем вентиляции и кондиционирования воздуха.
Дальнобойность приточной струи зависит от типа
конструкции подвижной части и ее положения относительно корпуса диффузора.
Материал - полипропилен белого цвета -
выдерживает температуру до +70 оС, стоек к большинству агрессивных
веществ, при горении не опасен, не выделяет токсичных газов, только
деформируется и не воспламеняется.
Монтаж осуществляется с помощью
присоединительного патрубка, который крепится на самонарезающих винтах к
стенкам воздуховода или к подшивному потолку.
Таблица 7 - Размеры, мм
|
Тип
диффузора
|
A,
мм
|
D,
мм
|
E,
мм
|
Вес
не более, кг
|
|
ДПУ-К
100
|
100
|
150
|
55
|
0,2
|
|
ДПУ-К
125
|
125
|
170
|
55
|
0,25
|
|
ДПУ-К
160
|
160
|
215
|
60
|
0,35
|
|
ДПУ-К
200
|
200
|
258
|
60
|
0,45
|
Таблица 8 - Данные для подбора диффузоров ДПУ-К
при подаче воздуха в помещение
Таблица 9 - Данные для подбора диффузоров ДПУ-К
при удалении воздуха в помещение
|
ША,
|
F0,
м2
|
Кол-во
оборотов обтекателя, N
|
b,
|
LA=25дБ
(А)
|
LA=35дБ
(А)
|
LA=45дБ
(А)
|
|
мм
|
|
|
мм
|
L0,
м3/ч
|
Pп,
Па
|
V0,
м/с
|
L0,
м3/ч
|
Pп,
Па
|
V0,
м/с
|
L0,
м3/ч
|
Pп,
Па
|
V0,
м/с
|
|
|
|
|
|
|
|
|
|
|
|
|
|
|
ДПУ-К,
b=0,05А
|
|
100
|
0,007
|
5
|
5
|
100
|
32
|
4,1
|
140
|
63
|
5,7
|
190
|
116
|
7,8
|
|
125
|
0,011
|
6
|
6
|
140
|
24
|
3,6
|
200
|
50
|
5,1
|
270
|
90
|
6,9
|
|
160
|
0,018
|
6,5
|
8
|
200
|
18
|
3
|
300
|
39
|
4,5
|
450
|
89
|
6,8
|
|
200
|
0,029
|
8
|
10
|
300
|
16
|
2,9
|
450
|
36
|
4,3
|
630
|
70
|
6,1
|
|
250
|
0,046
|
10
|
12,5
|
400
|
11
|
2,4
|
600
|
25
|
3,6
|
900
|
57
|
5,4
|
|
ДПУ-К,
b=0,1А
|
|
100
|
0,007
|
10
|
10
|
100
|
20
|
4,1
|
140
|
39
|
5,7
|
190
|
72
|
7,8
|
|
125
|
0,011
|
12
|
12
|
140
|
15
|
3,6
|
200
|
31
|
5,1
|
270
|
56
|
6,9
|
|
160
|
0,018
|
13
|
16
|
200
|
11
|
3
|
300
|
25
|
4,5
|
450
|
55
|
6,8
|
|
200
|
0,029
|
16
|
20
|
300
|
10
|
2,9
|
450
|
22
|
4,3
|
630
|
44
|
6,1
|
|
250
|
0,046
|
20
|
25
|
400
|
7
|
2,4
|
600
|
16
|
3,6
|
900
|
36
|
5,4
|
|
ДПУ-К,
b=0,15А
|
|
100
|
0,007
|
15
|
15
|
100
|
18
|
4,1
|
140
|
35
|
5,7
|
190
|
65
|
7,8
|
|
125
|
0,011
|
19
|
19
|
140
|
14
|
3,6
|
200
|
28
|
5,1
|
270
|
51
|
6,9
|
|
160
|
0,018
|
19
|
24
|
200
|
10
|
3
|
300
|
22
|
4,5
|
450
|
50
|
6,8
|
|
200
|
0,029
|
24
|
30
|
300
|
9
|
2,9
|
450
|
20
|
4,3
|
630
|
40
|
6,1
|
|
250
|
0,046
|
30
|
37,5
|
400
|
6
|
2,4
|
600
|
14
|
3,6
|
32
|
5,4
|
8. Аэродинамический расчет систем вентиляции
Расчет вентиляционной сети заключается в
определении потерь давления и подборе диаметров воздуховодов при заданном
расходе и принятой скорости движения воздуха в них.
Воздух при движении по воздуховодам преодолевает
два вида сопротивления:
местные сопротивления, вызванные изменением в
сечении воздуховода и направлением движения воздуха
сил трения о стенки воздуховода.
Потери давления в системе вентиляции
определяются по формуле:
ДР=Z+Pпо
длине
где Z
- потери на местные сопротивления,
Pпо длине
- потери по длине воздуховода.
Для определения потерь по длине используют
формулу:
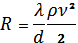
Pпо длине=R·l·в
где R - удельное
сопротивление на трение: 
,

- коэффициент трения (
- для металлических воздуховодов).
Для определения местных потерь
используют формулу:
Z=∑ж·Pдинам
где ж - местное сопротивление,
Pдинам -
динамическое давление.
Таблица 10 -
Аэродинамическтй расчет системы П1
|
Расчет
главной магистрали
|
|
№
|
L
м3/ч
|
V
м/с
|
dэкв
м
|
d
мм
|
d
м
|
l
м
|
R
Па
|
n
|
Rln
Па
|
Ʃж
|
Pдин
Па
|
z
Па
|
Rln+z
Па
|
ƩP
Па
|
|
1
|
105
|
2
|
0,1362
|
150
|
0,1
|
3,3
|
0,32
|
1
|
1,056
|
2,7
|
2,4
|
6,6
|
7,65
|
7,65
|
|
2
|
505
|
2,3
|
0,2787
|
280
|
0,2
|
1,7
|
0,226
|
1
|
0,38541
|
0,4
|
3,17
|
1,301
|
1,68
|
9,342
|
|
3
|
3900
|
4
|
0,5873
|
600
|
0,6
|
6,9
|
0,32
|
1
|
2,208
|
0,6
|
9,6
|
5,76
|
7,968
|
17,31
|
|
4
|
3990
|
4
|
0,5941
|
600
|
0,6
|
7,2
|
0,32
|
1
|
2,304
|
0,4
|
9,6
|
3,84
|
6,144
|
23,45
|
|
5
|
4070
|
4,5
|
0,5657
|
600
|
0,6
|
6,3
|
0,405
|
1
|
2,5515
|
0,3
|
12
|
3,645
|
6,19
|
29,65
|
|
6
|
4465
|
5
|
0,5621
|
600
|
0,6
|
0,8
|
0,5
|
1
|
0,4
|
0,2
|
15
|
4,2
|
4,6
|
34,25
|
Таблица 11 - Аэродинамически расчет системы П2
|
Расчет
главной магистрали
|
|
№
уч.
|
L
м3/ч
|
V
м/с
|
dэкв
м
|
d
м
|
l
м
|
R
Па
|
n
|
Rln
Па
|
Ʃж
|
Pдин
Па
|
z
Па
|
Rln+z
Па
|
ƩP
Па
|
|
1
|
460
|
2,7
|
0,245
|
0,2
|
1
|
0,108
|
1
|
0,162
|
2,2
|
1,35
|
2,97
|
3,132
|
3,132
|
|
2
|
920
|
3,6
|
0,300
|
0,3
|
1
|
0,09
|
1
|
0,135
|
1,1
|
1,35
|
1,485
|
1,62
|
4,752
|
|
3
|
1380
|
4
|
0,349
|
0,3
|
1
|
0,0771
|
1
|
0,115
|
0,9
|
1,35
|
1,215
|
1,330
|
6,082
|
|
4
|
1840
|
4,5
|
0,380
|
0,4
|
1
|
0,0675
|
1
|
0,101
|
0,6
|
1,35
|
0,81
|
0,911
|
6,993
|
|
5
|
2300
|
5,1
|
0,399
|
0,4
|
7,
|
1,5123
|
1
|
10,73
|
2,0
|
30,246
|
62,004
|
72,74
|
79,73
|
|
Увязка
ответвления 9
|
|
№
уч.
|
L
м3/ч
|
V
м/с
|
dэкв
м
|
d
м
|
l
м
|
R
Па
|
n
|
Rln
Па
|
Ʃж
|
Pдин
Па
|
z
Па
|
Rln+z
Па
|
ƩP
Па
|
|
6
|
40
|
2,7
|
0,072
|
0,8
|
2
|
0,06
|
1
|
0,12
|
2,3
|
2,4
|
5,52
|
5,64
|
5,64
|
|
7
|
65
|
2,9
|
0,089
|
0,1
|
3
|
1,08
|
1
|
3,24
|
2
|
5,4
|
10,8
|
14,04
|
19,68
|
|
8
|
535
|
3,5
|
0,232
|
0,2
|
1
|
0,108
|
1
|
0,162
|
2,5
|
1,35
|
3,375
|
3,537
|
23,217
|
|
9
|
645
|
3,6
|
0,251
|
30
|
5
|
0,00
|
1
|
0,007
|
2,6
|
19,4
|
50,684
|
50,69
|
73,90
|
|
Увязка
ответвления 14
|
|
№
уч.
|
L
м3/ч
|
V
м/с
|
dэкв
м
|
d
м
|
l
м
|
R
Па
|
n
|
Rln
Па
|
Ʃж
|
Pдин
Па
|
z
Па
|
Rln+z
Па
|
ƩP
Па
|
|
10
|
485
|
2,8
|
0,2475
|
0,25
|
1,5
|
0,108
|
1
|
0,162
|
1,9
|
1,35
|
2,565
|
2,727
|
2,727
|
|
11
|
970
|
3,8
|
0,3005
|
0,3
|
1,5
|
0,09
|
1
|
0,135
|
0,9
|
1,35
|
1,215
|
1,35
|
4,077
|
|
12
|
1455
|
4,3
|
0,3460
|
0,35
|
1,5
|
0,077
|
1
|
0,1157
|
0,8
|
1,35
|
1,08
|
1,1957
|
5,2727
|
|
13
|
1940
|
4,5
|
0,3905
|
0,4
|
1,5
|
0,067
|
0,1012
|
0,4
|
1,35
|
0,54
|
0,6412
|
5,9139
|
|
14
|
2425
|
4,9
|
0,4184
|
0,4
|
1,5
|
0,067
|
1
|
0,1012
|
0,35
|
1,35
|
0,4725
|
0,5737
|
6,4877
|
|
15
|
2910
|
5,3
|
0,4407
|
0,45
|
1,5
|
0,06
|
1
|
0,09
|
2,3
|
1,35
|
3,105
|
3,195
|
9,6827
|
|
16
|
3395
|
5,6
|
0,4631
|
0,5
|
8,6
|
1,775
|
1
|
15,265
|
1,25
|
44,376
|
55,47
|
70,735
|
80,418
|
Таблица 12 - Аэродинамически расчет системы П3
|
Расчет
главной магистрали
|
|
№
уч.
|
L
м3/ч
|
V
м/с
|
dэкв
м
|
d
м
|
l
м
|
R
Па
|
n
|
Rln
Па
|
Ʃж
|
Pдин
Па
|
z
Па
|
Rln+z
Па
|
ƩP
Па
|
|
1
|
200
|
2,3
|
0,17541
|
0,1
|
3
|
0,8166
|
1
|
2,85833
|
4
|
7,35
|
33,075
|
35,9333
|
35,9333
|
|
2
|
480
|
2,5
|
0,26065
|
0,2
|
1
|
4,28571
|
1
|
42,8571
|
2
|
60
|
162
|
204,857
|
240,790
|
|
3
|
580
|
2,7
|
0,27570
|
0,2
|
1
|
0,09642
|
1
|
0,14464
|
2
|
1,35
|
3,645
|
3,78964
|
244,580
|
|
4
|
680
|
2,9
|
0,28805
|
0,3
|
7,
|
2,0164
|
1
|
14,3164
|
2
|
30,24
|
87,713
|
102,029
|
346,61
|
|
5
|
980
|
3,1
|
0,33446
|
0,3
|
1
|
0,07714
|
1
|
0,11571
|
6
|
1,35
|
8,235
|
8,35071
|
354,960
|
|
6
|
1280
|
4
|
0,33650
|
0,3
|
2
|
0,28834
|
1
|
0,83619
|
1
|
5,046
|
9,0828
|
9,91899
|
364,879
|
Таблица 13 - Аэродинамический расчет системы П4
Таблица 14 - Аэродинамический расчет системы П5
|
Расчет
главной магистрали
|
|
№
уч.
|
L
м3/ч
|
V
м/с
|
dэкв
м
|
d
мм
|
d
м
|
l
м
|
R
Па
|
n
|
Rln
Па
|
Ʃж
|
Pдин
Па
|
z
Па
|
Rln+z
Па
|
ƩP
Па
|
|
1
|
4000
|
4,7
|
0,54
|
550
|
0,55
|
7,5
|
1,227
|
1
|
9,204
|
2,15
|
33,75
|
72,5
|
81,76
|
81,76
|
|
2
|
8000
|
6
|
0,68
|
700
|
0,7
|
7,5
|
0,964
|
1
|
7,232
|
0,7
|
33,75
|
23,6
|
30,85
|
112,6
|
|
3
|
1200
|
7,6
|
0,74
|
750
|
0,75
|
7,5
|
0,9
|
1
|
6,75
|
1,35
|
33,75
|
45,5
|
52,31
|
164,9
|
|
4
|
1600
|
7,9
|
0,84
|
850
|
0,85
|
17,3
|
4,225
|
1
|
73,09
|
1,09
|
179,5
|
195
|
268,8
|
433,7
|
9. Подбор оборудования
При выборе диффузоров важными и руководствующими
моментами являются дальнобойность струи, аэродинамические показатели,
архитектурно-планировочные свойства и экономическая целесообразность.
В курсовом проекте для подбора приточно-вытяжных
камер была использована рабочая программа по подбору вентиляционного
оборудования фирмы «ВЕЗА».
10. Подбор вентилятора
Крышный вентилятор для вытяжной системы с
L=1680 м3/ч
подобран из каталога Systemair.
DHS 355DV ROOF FAN
Описание
Преимущества:
• возможность регулирования скорости
• встроенные термоконтакты
• низкий уровень шума
• не требуют техобслуживания и надежны в работе
• горизонтальный выброс воздуха
Рекомендации по применению: вытяжные системы
вентиляции в климатических зонах с агрессивной окружающей средой (например, в
морском климате). DHS - экономичное решение для промышленных зданий с
загрязненным вытяжным воздухом.
Конструкция: корпус DHS выполнен из алюминия.
Рама изготовлена из оцинкованной стали с защитным порошковым покрытием. Рабочее
колесо вентиляторов типоразмером до 355 изготовлено из полиамида PA6 25GV,
рабочее колесо вентиляторов типоразмером от 400 изготовлено из алюминия.
Вентиляторы серии DHS имеют горизонтальный выброс воздуха.
Двигатель: DHS оборудованы электродвигателем с
внешним ротором с рабочим колесом с загнутыми назад лопатками, которые
смонтированы на высокоэффективных виброизоляторах. DHS 355-710 оснащены
встроенными термоконтактами с выводами для подключения к внешнему устройству
защиты от перегрева.
Регулирование скорости: скорость 1-фазных
вентиляторов можно регулировать с помощью тиристора или 5-ти ступенчатого
трансформатора, 3-фазных - с помощью 5-ти ступенчатого трансформатора.
Регулирование скорости 2-скоростных трехфазных электродвигателей осуществляется
изменением способа подключения «треугольник»/«звезда». Преобразователи частоты
должны быть с синус-фильтром.
Монтаж: вентиляторы монтируются на крышный короб
типа FDS, SSD.
Сертификаты: сертификаты соответствия РФ и
Украины.
Технические данные
|
Параметр
|
Величина
|
Ед.
измер.
|
|
Напряжение
|
400
|
В
|
|
Подключение
|
Y/D
|
|
|
Частота
|
50
|
Гц
|
|
Фазность
|
3
|
~
|
|
Мощность
|
249
|
Вт
|
|
Ток
|
0.567
|
A
|
|
Макс.
расход воздуха
|
2804
|
мі/ч
|
|
Частота
вращения
|
1347
|
1/мин
|
|
Максимальная
температура перемещаемого воздуха
|
40
|
°C
|
|
Максимальная
температура перемещаемого воздуха при регулировании
|
40
|
°C
|
|
Уровень
звукового давления на расстоянии 4м
|
47
|
дБ(А)
|
|
Уровень
звукового давления на расстоянии 10м
|
39
|
дБ(А)
|
|
Вес
|
21,50
|
кг
|
|
Класс
изоляции двигателя
|
B
|
|
|
Класс
защиты двигателя
|
44
|
IP
|
Диаграмма
.1 Шумовые характеристики
10.2 Размеры
Выводы
В курсовом проекте выполнены основные задачи,
которые решаются при проектировании систем вентиляции воздуха общественного
здания в городе Сумы:
· расчет воздухообмена для конкретных
помещений
· аэродинамический расчет, который
показывает общий расход воздуха, определяет размер воздуховодов, скорости
движения в них и потери давления в воздуховодах
· на основании расчетов по вентиляции
воздуха в помещении были подобраны материалы и оборудование (приточные и
вытяжные диффузоры, решетки, крышный вентилятор фирмы Systemair,
приточно-вытяжные камеры)
· графически на плане показали
размещения вентиляционных приточных и вытяжных систем, а также места прокладки
воздуховодов.
вентиляция воздух здание
Список использованной литературы и
интернет-ресурсов
1. Тихомиров Н.В., Сергеенко
Э.С. Теплотехника, теплогазоснабжение и вентиляция: Учеб. Для вузов. - 4-е
изд., перераб. и доп. - М.: Стройиздат, 1991. - 480 с.: ил.
. СНиП 2.04.05-91*.
Отопление, вентиляция и кондиционирование (изменен 27.06.1996 и введен в
действие с 1 октября 1996 года).
. Каталог продукции “Systemair”
4. Ю.С. Краснов «Монтаж систем
промышленной вентиляции» М. :Стройиздат, 1988. - 284 с.
5. Справочник проектировщика.
Внутренние санитарно-технические устройства. В 2-ч ч. Под ред. Староверова И.Г.
Ч.2. Вентиляция и кондиционирование воздуха.
. Справочник по
теплоснабжению и вентиляции (издание 4-е, переработанное и дополненное). Книга
2-я. Р. В. Щекин, С.М. Кореневсшй, Г.Е. Бем, Ф.И. Скароходько, Е.И. Чечик, Г.Д.
Соболевский, В.Л. Мельник, О.С. Кореневская. Киев, «Будивельник», 1976, стр.
416.
. http://www.mir-klimata.com
. http://www.ventclima.ru
. http://www.veza.ru