Автоматизований технологічний комплекс фрезерування

  • Вид работы:
    Курсовая работа (т)
  • Предмет:
    Другое
  • Язык:
    Украинский
    ,
    Формат файла:
    MS Word
    206,69 Кб
  • Опубликовано:
    2014-04-28
Вы можете узнать стоимость помощи в написании студенческой работы.
Помощь в написании работы, которую точно примут!

Автоматизований технологічний комплекс фрезерування

Автоматизований технологічний комплекс фрезерування

1. Особливості обладнання і процесу фрезерування

1.1 Фрезерування

Найперші фрези французи з палким уявою назвали ім'ям солодкої ягоди - полуницею, що по-французьки буде «фрейз», а по-російськи - «фреза». Родоначальниця сучасних фрез дійсно була дуже схожа на полуницю, яку обертали за хвостик. Зараз форма фрези змінилася і схожість з полуницею втратилась. Обробка матеріалів різанням за допомогою фрез дуже поширилась. Для забезпечення працездатності фрез створені спеціальні верстати.

Фрезерування - один із найбільш продуктивних методів обробки. Головний рух (рух різання) під час фрезерування - обертальний, його здійснює фреза, рух подачі - за звичай прямолінійний. Фрезеруванням можна одержати деталь за шорсткістю до 0,8 мкм. Фрезерування здійснюється за допомогою багатозубого інструмента фрези.

Глибина фрезерування

Глибина різання (фрезерування) t в усіх видах фрезерування, за винятком торцевого фрезерування і фрезерування шпон, являє собою розмір шару заготовки зрізу під час фрезерування, вимірюваний перпендикулярно до осі фрези. При торцевому фрезеруванні і фрезеруванні шпон шпонковими фрезами - вимірюють у напрямку, рівнобіжному осі фрези.

Під час фрезерування розрізняють подачу на один зуб SХ, подачу на один оберт фрези S і хвилинну подачу SМ мм/хв, що знаходяться в наступному співвідношенні

,

де n - частота обертання фрези, об./хв; z - число зубів фрези.

При чорновому фрезеруванні призначають подачу на зуб; при чистовому фрезеруванні - подачу на один оберт фрези. Швидкість різання - колова швидкість фрези, визначається властивостями ріжучого інструмента.

1.2 Класифікація фрез

Фрези розрізняють за виглядом конструкцією та кріпленням на верстаті

.2.1 За виглядом

·        циліндричні з прямими і гвинтовими зубами

·        торцеві

·        дискові

·        прорізні і відрізні

·        кінцеві

·        кутові і фасонні.

Рис. 1.1. а, б - циліндричні фрези з прямими і гвинтовими зубами; в-торцева фреза; г - фасонна фреза; д - кінцева фреза; е - модульна фреза

Циліндричні фрези з прямими і гвинтовими зубами застосовують для обробки площин. Причому фрези з гвинтовими зубами працюють більш плавно, з меншими вібраціями, ніж фрези з прямими зубами, тому останні в основному використовують при знятті припуску малої ширини, де переваги гвинтових зубів не так відчутні. Якщо циліндричні фрези встановлюють на горизонтально-фрезерних верстатах, то торцеві фрези - на вертикально-фрезерних. Ці фрези також призначені для обробки площин, але на відміну від циліндричних фрез мають вісь обертання, не паралельну оброблюваної поверхні деталі, а перпендикулярну до неї. Для фрезерування пазів і канавок призначені дискові фрези, у яких зуби можуть бути не тільки на циліндричній поверхні, але і на одному або обох торцях. Кінцеві фрези просто необхідні для отримання виїмок, шпонкових пазів, заглиблень зі складним контуром. Їх можливості добре ілюструються на прикладі шпонкових фрез, які подібно свердла можуть врізатися в заготовку при осьовій подачі інструменту, а потім переміщатися в заданому напрямку з використанням інших подач верстата. Іншими словами, такі фрези здійснюють процес обробки ріжучими кромками, розташованими на торцевій та циліндричній поверхнях. І, нарешті, фасонні фрези, призначені для виготовлення деталей зі складною поверхнею.

1.2.2 За конструкцією

Фрези мають різні конструктивні особливості. Вони можуть бути цільними, тобто зробленими монолітно з однієї заготовки. Звичайно, такі фрези намагаються робити невеликими, щоб даремно не витрачай дорогою інструментальний матеріал. Але коли розміри фрез зростають, роблять інакше - їх проектують збірними. У збірних фрезах корпус виготовляють з недорогих сталей, а зуби - зі спеціальних твердих сплавів. В цьому випадку твердосплавні пластинки безпосередньо припаюють або приклеюють до корпусу фрези або до так званих ножів, які в свою чергу вже механічним шляхом закріплює в корпусі за допомогою клинів, втулок, гвинтів, рифлень і притисків. Звичайно, фрези з механічним кріпленням ножів дуже складні, але зате ножі можна заміняти на інші і виставляти їх на необхідний розмір.

Як бачите, фрези різноманітні. Але це не поширюється на конструкції їх зубів. Тут існує тільки два принципових типи. В одному знаходяться фрези з загостреними зубами, а в іншому - з затилованними. Гострі зуби мають передню і задню поверхні плоскої форми. заточення таких зубів здійснюють по задній поверхні, що дуже зручно, але, на жаль, призводить до зменшення висоти зуба. Подивимось на зуб фрези (рис. 1.1) - штрихові лінії умовно позначають зняття шарів металу по задній поверхні. Цілком очевидно, що для зубів фасонних фрез така переточка неприпустима, оскільки призводить до зміни форми ріжучої кромки. Щоб цього не відбувалося, застосовують фрези з затилованнимі зубами, у яких передня поверхня плоска, а задня має форму Архімедової спіралі. Заточування і переточування затилованних зубів виконують (як показано пунктиром) уже не по задній поверхні, а по передній. Проте в обох принципових випадках все робиться з єдиною метою - якомога простіше забезпечити раціональні кути різання клина, максимально зберегти необхідну форму ріжучої кромки, розміри зубів, їх точність, міцність і довговічність.

Рис. 1.2. а - гострі зуби; б - Затиловані зуби

1.2.3 Кріплення фрез

На закінчення відзначимо, що кріплення фрез різних конструкцій на верстатах здійснюють за допомогою конусних або циліндричних хвостовиків, що встановлюються безпосередньо в конусний отвір шпинделя верстата або затискають в патроні. Фрези з хвостовиками називають «хвостовими». На відміну від них фрези з центральними отворами називають насадними. Їх попередньо надягають на спеціальну оправку, яку потім зміцнюють в шпинделі верстата.

1.3 Класифікація фрезерних верстатів та їх особливості

 

.3.1 Основні типи фрезерних верстатів

Фрезерні верстати поділяють на 6 видів:

·              універсально-фрезерний верстат,

·              горизонтально-фрезерний верстат,

·              широкоуніверсальний фрезерний верстат,

·              вертикальний консольно-фрезерний верстат,

·              вертикально- і горизонтально-фрезерний безконсольний верстат,

·              поздовжно-фрезерний верстат.

Універсально-фрезерний верстат - це металорізальний верстат із горизонтальним розташуванням шпинделя, призначений для роботи з різними типами фрез. Цей фрезерний верстат використовується для обробки вертикальних і горизонтальних фасонних і гвинтових поверхонь, пазів і кутів. У горизонтальній площині верстат має поворотний стіл, що дозволяє фрезерувати гвинтові канавки.

Рис. 1.3. Старий вертикально фрезерний верстат

Горизонтально-фрезерний верстат відрізняється від універсально-фрезерного відсутністю поворотного механізму.

Широкоуніверсальний фрезерний верстат - це металорізальний верстат, який має додаткову шпиндельну головку. Її можна повертати під будь-яким кутом у двох взаємно перпендикулярних площинах. Для більшої ефективності на поворотній головці монтують накладну фрезерну головку. З її допомогою можна обробляти на верстаті деталі складної форми не лише фрезеруванням, але і свердлінням, зенкеруванням, розточуванням і т.д.

Вертикальний консольно-фрезерний верстат - металорізальний верстат з вертикально розташованим шпинделем. У деяких моделях верстатів допускається зсув уздовж своєї осі й поворот навколо горизонтальної осі, розширюючи тим самим технологічні можливості верстата.

Вертикально- і горизонтально-фрезерний безконсольний верстат призначений для обробки різних поверхонь, а також пазів у великогабаритних деталях. У цих верстатах відсутня консоль, а полози та стіл переміщаються по напрямних станини, встановлених на фундамент.

Поздовжньо-фрезерний верстат - металорізальний верстат, який використовується для обробки великогабаритних заготовок. Обробка здійснюється, головним чином, торцевою фрезою, також є можливість обробки циліндричними, кінцевими, дисковими та фасонними фрезами.

1.3.2 Система позначень

За прийнятою класифікацією фрезерні верстати відносять до шостої групи, але частина фрезерних верстатів входить й у п'яту групу - зубо- і різьбообробних верстатів. Кожен верстат має свій шифр, який складається з цифр і букв: перша цифра позначає групу верстата, друга - його тип:

- консольні вертикально-фрезерні,

- безперервної дії,

- одностійкові поздовжно-фрезерні,

- копіювальні та гравірувальні,

- вертикальні безконсольні (із хрестовим столом),

- поздовжньо-фрезерні,

- широкоуніверсальні,

- консольні, горизонтальні,

- різні.

Третя та четверта цифри позначають один з характерних розмірів верстата. Якщо буква розташована між першою та другою цифрами, то це означає, що конструкція верстата модифікована. Наприклад, універсальний консольно-фрезерний верстат протягом багатьох років вдосконалювався, тому змінювався шифр його позначення: 682, 6Н82, 6М82, 6Р82, 6Т82 та 6Р82Ш.

Коли буква розташована наприкінці номера верстата, те це означає наступне:

·              конструктивну модифікацію основної моделі, наприклад, 6Р82М - верстат горизонтально-фрезерний; 6Р12Б - швидкохідна модель, 6Р82Ш - широкоуніверсальний;

·              різне виконання верстатів по класах точності: Н - нормальної точності, П - підвищеної, В - високої, А - особливо високої і З - верстати особливо точні;

·              різні виконання по використовуваних системах керування верстатами.

Фрезерні верстати із програмним управлінням можуть бути додатково оснащені механізмами автоматичної зміни інструментів. Якщо цей механізм виконаний у вигляді револьверного барабана, у позначенні моделі верстата після цифр ставиться буква Р (наприклад, 6Р13РФ3), якщо ж він виконаний у вигляді інструментального магазина - буква М (наприклад, 6Т13МФ4).

В окремих випадках після основного позначення моделі через дефіс (риску) ставляться одна або дві цифри, які вказують на те, що заводом-виготовлювачем внесені зміни в базову модель, пов'язані в основному із приводами подач або із системами керування. У чому складаються ці зміни, вказується в паспорті верстата.

1.3.3 Устрій верстатів фрезерної групи

Найпоширенішими типами фрезерних верстатів є широкоуніверсальні, горизонтальні, вертикальні та універсальні верстати.

На консольних горизонтально-фрезерних та універсально-фрезерних верстатах можна проводити обробку горизонтальних та вертикальних плоских поверхонь, пазів, кутів, рамок, зубчастих коліс та ін. Універсальні верстати, які мають поворотний стіл, можна використовувати для фрезерування різних гвинтових поверхонь. Технологічні можливості цих верстатів розширюються із застосуванням ділильних, довбальних, накладних універсальних головок та інших пристосувань.

У горизонтально-фрезерних верстатів розташування шпинделя горизонтальне, у вертикально-фрезерних - вертикальне. Консольно-фрезерні універсальні верстати відрізняються від горизонтально-фрезерних наявністю конструкції, яка забезпечує поворот стола щодо вертикальної осі. Широкоуніверсальні фрезерні верстати від універсальних відрізняються наявністю на станині спеціального хобота, на якому встановлена додаткова головка зі шпинделем.

2. Огляд систем чисельно-програмного керування фрезерувальними верстатами

.1 Чисельно програмне керування

ЧПК (англ. Computer Numeric Control, CNC - комп'ютерне числове управління) - система управління технологічним обладнанням, що застосовується при автоматизації промислового виробництва.

Пристрої з ЧПК базуються на роботі мікро-ЕОМ, в якій логіка роботи задається програмним методом. Одне і те ж ЧПК з мікро-ЕОМ може реалізовувати різні функції управління за рахунок зміни програми управління роботою мікро-ЕОМ. У ролі мікро-ЕОМ виступає промисловий контролер як то: мікропроцесор, на якому побудована вбудована система; програмований логічний контролер або більш складний пристрій управління - промисловий комп'ютер.

·              Пульт оператора, що дозволяє вводити керуючу програму і задавати режими роботи;

·              Дисплей для візуального контролю режимів роботи і редагування введених керуючих програм;

·              мікро-ЕОМ - комп'ютеризований пристрій, вирішуючий завдання формування траєкторії руху різального інструменту, технологічних команд управління пристроями автоматики верстата, загальним управлінням ЧПК, редагування керуючих програм, діагностики УЧПУ і допоміжних розрахунків (траєкторії руху різального інструменту, режимів різання).

·              ПЗП (постійний запам'ятовуючий пристрій) - призначено для довготривалого зберігання (роки і десятки років) системних програм і констант; інформація з ПЗП може тільки читатися;

·              ОЗУ (оперативний запам'ятовуючий пристрій) - призначено для тимчасового зберігання керуючих програми і системних програм, що використовуються УЧПУ в даний момент.

У ролі контролера виступає промисловий контролер як то: мікропроцесор, на якому побудована вбудована система; програмований логічний контролер або більш складний пристрій управління - промисловий комп'ютер.

Важливою характеристикою CNC-контролера є кількість осей (каналів), які він здатний синхронізувати (управляти) - для цього потрібна висока продуктивність і відповідне ПЗ.

В якості виконавчих механізмів використовуються крокові двигуни.

Для передачі даних між виконавчим механізмом та системою керування верстатом зазвичай використовується промислова мережа (наприклад, CAN, Profibus, Industrial Ethernet).

2.1.2 Програмне забезпечення

Після того як складена керуюча програма, оператор вводить її в ЧПК. Команди керуючої програми записуються в ОЗУ. Після введення керуючої програми оператор може відредагувати її, включивши в роботу системну програму редактора і виводячи на дисплей всю або потрібні частини керуючої програми і вносячи в них необхідні зміни. При роботі ЧПК в режимі виготовлення деталі керуюча програма кадр за кадром зчитується з ОЗУ і надходить у мікро-ЕОМ. Відповідно до командами керуючої програми мікро-ЕОМ викликає з ПЗП відповідні системні програми, які змушують працювати мікро-ЕОМ в необхідному режимі. Результати роботи мікро-ЕОМ у вигляді електричних сигналів надходять на виконавчий пристрій (приводи подач, або на пристрої керування автоматикою верстата).

Числове програмне управління також характерно для систем управління сучасними промисловими роботами.

2.2 Визначення розрядності та обсягу ОЗУ СЧПК

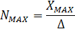
За адресами координатних переміщень (X, Y, Z) необхідно визначити величину максимального переміщення в дискретах.


де Δ - довжина кроку однієї дискрети, мм;- максимальне переміщення по координаті X, мм;


де h - крок ходового гвинта;

де n - число розрядів Nmax.= 6.

З урахуванням знакового розряду: n * = 6 + 1 = 7.

Ємність однієї ячейки пам'яті - 1 байт двійкової інформації. Якщо прийняти вісімкову систему числення, то у дві послідовні комірки (16 біт) можуть бути записані 5 розрядів вісімкового числа (16/3 = 5 + 1/3).

Для запису N * MAX 8 необхідно m елементів пам'яті:


Стандартний кадр управління програми: кругова інтерполяція без вказівки швидкості подачі має вигляд:

X + Xmax y + Ymax i + Xmax j + Xmax

і займає обсяг

+ 1 + 1 + m + 1 + m + 1 + m + 1 + m = 6 + 4 ∙ m

комірок пам'яті. Таким чином, якщо ввести перерахунок керуючої програми через кадри кругової інтерполяції, то обсяг пам'яті, необхідний для її зберіганняОЗУ = (300… 1000) ∙ (6 + 4 ∙ m)ОЗУ = 300 ∙ (6 + 4 ∙ 3) = 5400 байт = 5,4 Кбайт

Крім управління приводами переміщень СЧПК організовує та формує сигнали управління електроавтоматики верстата.

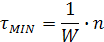
Максимально час формування керуючих імпульсів


де V Б.Х. - Швидкість швидких ходів, м / хв;- максимальна частота імпульсів, що надходять з ДОС в СЧПК.

Мінімальний період видачі імпульсів на виході визначається часом обчислювальних операцій, які виконуються у відповідності з заданим алгоритмом позиціонування.

Час обчислювальних операцій


де W - швидкодія мікроЕОМ;- число команд за програмою, що реалізує алгоритм позиціонування.

Тоді максимальний час керуючого сигналу на виході


де К - коефіцієнт, що враховує невідповідність реальної тривалості виконання операцій алгоритму позиціонування тривалості операцій, які використовуються для визначення швидкодії мікроЕОМ (К = 1,5);

τАП - час затримки в апаратній частині або час перетворення (τАП = 1,7 мкс).


2.3 Схеми електроавтоматики і підключення СЧПК до верстата

2.3.1 Електрична принципова схема електроавтоматики верстата

Схема електроавтоматики верстата містить:

- підключення до живлення комплектних електроприводів подач із зазначенням виходів контролю стану: готовність приводу, управління приводом, термозахист; з'єднання блоків управління з двигунами, тахогенератора, термодатчиками.

- підключення асинхронних електродвигунів приводу головного руху і охолодження.

- підключення реверсивного редукторного електродвигуна з редукцією 1/137.

- засоби захисту:

Автомат захисту QF 1, призначений для захисту всієї електроавтоматики верстата від перевантажень;

Автомати захисту комплектних електроприводів подач QF 2, QF 3, QF 4 від перевантажень;

Теплові реле КК1… КК2, призначені для захисту асинхронних електродвигунів від неприпустимого перегріву при тривалих перевантаженнях, а також для забезпечення захисту трансформаторів і ланцюгів керування від перегріву і короткого замикання.

- трансформатори:

Для формування напруг, для живлення проміжних схем управління TV 1, TV 2 і сигналізатор заземлення;

Для формування напруг, для живлення комплектних електроприводів TV 3, TV 4, TV 5;

Для формування напруг, що живлять редукторний електродвигун TV 6.

- засоби індикації:

Контроль напруги Н1, призначений для контролю напруги в ланцюгах живлення;

Сигналізатор заземлення Н2, Н3, призначений для індикації наявності заземлення.

2.3.2 Реалізація схеми підключення СЧПК

Схема підключення СЧПК відображає всі її функціональні можливості, характерні для даного класу систем і технологічного обладнання.

На схемі показані виходи управління допоміжної функцією М, функцією S - дискретної зміни швидкості приводу головного руху, вихід «Готовність ПЧПУ. На виходах встановлюються проміжні реле KV 01… KV 10, KV 38. На схемі показані входи підключення всіх кінцевих вимикачів SQ 1… SQ 14; входи «Відповідь М», «Відповідь T», «Відповідь S» і вхід «Готовність верстата».

На схемі підключення СЧПК показані виходи управління приводами подач: a - b, c - d, e - f; входи датчиків положення робочого органу верстата щодо заготовки і датчика швидкості приводу головного руху. Виходи виводяться через один роз'єм СЧПК. Кожен датчик пов'язаний з СЧПК через свій роз'єм.

2.3.3 Реалізація комплексу допоміжних М-функцій і S-функцій дискретної зміни швидкості приводу головного руху

Визначимо схему реалізації комплексу заданих допоміжних функцій, починаючи з вихідного роз'єму СЧПК, на якому реалізується М-функція і закінчуючи конкретними виконавчими приводами.

М03 - включення обертання двигуна приводу головного руху за годинниковою стрілкою (М1);

М04 - включення обертання двигуна приводу головного руху проти годинникової стрілки (М1);

М07 - включення двигуна СОЖ (М6);

М08 - вимкнення двигуна СОЖ (М6);

М09 - включення редукторного двигуна на зміну шпинделя з горизонтального на вертикальний;

М10 - включення редукторного двигуна на зміну шпинделя з вертикального на горизонтальний.

Для реалізації комплексу функцій на виходах роз'єму М01, М02, М04, М08, М10 встановлені відповідні реле KV 01, KV 02, KV 03, KV 04, KV 05. Стан контактів реле будемо характеризувати деякою функцією Xij, що приймає значення 1 - контакти замкнуті і 0 - контакти розімкнуті.

Реле має як нормально замкнуті контакти Xij, так і нормально розімкнуті ij.

Таким чином, для реалізації функцій М03… М10 необхідно реалізувати таку залежність:

X 11 = X 05∙ X 04∙ X 03∙ 02∙ 01 + 11∙ X 12∙ X 1312 = X 05∙ X 04∙ 03∙ X 02∙ X 01 + X 11∙ 12∙ X 1313 = X 05∙ X 04∙ 03∙ X 02∙ 0114 = X 05∙ X 04∙ 03∙ 02∙ 01 + 14∙ X 1515 = X 05∙ 04∙ X 03∙ X 02∙ X 0116 = X 05∙ 04∙ X 03∙ X 02∙ 01 + 16∙ XSQ 117 = 05∙ X 04∙ X 03∙ X 02∙ X 01 + 17∙ XSQ 2

Для реалізації комплексу S-функцій на виходах роз'єму S 01, S 02, S 04, S 08, S 10 встановлені відповідні реле KV 06, KV 07, KV 08, KV 09, KV 10. Перед установкою нової швидкості необхідно реалізувати функцію скидання попередньої швидкості, для цього вводимо додаткове реле KV 18, яке здійснює цю функцію.

Для реалізації функцій S 01…S 16 необхідно реалізувати таку залежність:X 18 = 06 + 07 + 08 + 09 + 1019 = X 10∙ X 09∙ X 08∙ X 07∙ 06 + X 18∙ 1920 = X 10∙ X 09∙ X 08∙ 07∙ X 06 + X 18∙ 2021 = X 10∙ X 09∙ X 08∙ 07∙ 06 + X 18∙ 2122 = X 10∙ X 09∙ 08∙ X 07∙ X 06 + X 18∙ 2223 = X 10∙ X 09∙ 08∙ X 07∙ 06 + X 18∙ 2324 = X 10∙ X 09∙ 08∙ 07∙ X 06 + X 18∙ 2425 = X 10∙ X 09∙ 08∙ 07∙ 06 + X 18∙ 2526 = X 10∙ 09∙ X 08∙ X 07∙ X 06 + X 18∙ 2627 = X 10∙ 09∙ X 08∙ X 07∙ 06 + X 18∙ 2728 = 10∙ X 09∙ X 08∙ X 07∙ X 06 + X 18∙ 2829 = 10∙ X 09∙ X 08∙ X 07∙ 06 + X 18∙ 2930 = 10∙ X 09∙ X 08∙ 07∙ X 06 + X 18∙ 3031 = 10∙ X 09∙ X 08∙ 07∙ 06 + X 18∙ 3132 = 10∙ X 09∙ 08∙ X 07∙ X 06 + X 18∙ 3233 = 10∙ X 09∙ 08∙ X 07∙ 06 + X 18∙ 3334 = 10∙ X 09∙ 08∙ 07∙ X 06 + X 18∙ 34

Сигнал «Готовність верстата» містить інформацію про готовність УЧПУ і готовності приводів подач, тобто про подачу живлення на Виконавчий приводи.

На схемі електроавтоматики верстата показано рішення задачі формування сигналу «Відповідь М» і «Відповідь S», який містить інформацію про виконання М-функції або S-функції реалізованих в дешифраторі, і здійснює перехід до наступного етапу виконання програми.

Видача сигналів «Відповідь М» і «Відповідь S» відбувається із затримкою, реалізованої за допомогою установки конденсаторів і резисторів. Затримка необхідна для того, щоб після команди управління, реалізованої по імпульсному принципом, що існує на виході в межах 200… 250 мс, з'являється сигнал «Відповідь М» або «Відповідь S».

2.4 Розробка циклу позиціонування

.4.1 Алгоритм циклу позиціонування

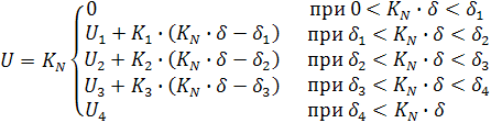
У загальному випадку будь-який цикл позиціонування може бути представлений графіком. На кожному етапі наближення до точки позиціонування Х0 система формує одне з можливих управлінь U:

при δ = Х - Х0


для позитивної області (δ > 0) KN = 1, для негативній області (δ < 0) KN = -1.

Для випадку ступінчастого позиціонування K1 = K2 = K3 = 0.

Отримуємо:


δ1 - зона нечутливості;- стрибок управління,

δ1 = 3 дискрети = 0,01 мм.

δ2 = 0,1 мм.

δ 3 = 2∙ δ2 = 0,2 мм.

δ 4 = 4∙ δ2 = 0,4 мм.= 0,5 В.= 1,0 В.= 2,0 В.= 5,0 В.


За результатами обчислень будуємо графік циклу позиціонування.

Рис. 2.1. Графік циклу позиціонування

2.4.2 Блок-схема алгоритму

Цикл починається з розрахунку поточного значення δ = Х - Х0. Після визначення знака δ формується значення коефіцієнта KN. Далі проводиться аналіз виконання умови δ> δi, на підставі якого формується рівняння U = Ui.

Після виконання умови δ <δ1, включається підпрограма формування сигналів кінця обробки кадрів (КОК). На блок-схемі опущена підпрограма затримки τ перед формуванням сигналу кінця обробки кадру.

Рис. 2.2. Блок-схема алгоритму

Висновок

фрезерування обладнання програмний верстат

Провідна роль у прискоренні науково-технічного прогресу, підняттю України на світовий рівень у сфері виробництва належить машинобудуванню. Ціль машинобудування - зміна структури виробництва, підвищення якісних характеристик машин і встаткування. Передбачається здійснити перехід до економіки вищої організації й ефективності із всебічно розвиненими силами, зрілими виробничими відносинами, налагодженим господарським механізмом. Така стратегічна лінія держави.

Ці верстати нового покоління дозволяють в автоматичному режимі виготовляти такі вироби, які раніше робилися тільки вручну спеціально навченими майстрами. Завдяки використанню інноваційних технологій можна без труднощів обігнати конкуруючі підприємства і випускати вироби, які раніше можна було тільки уявляти в сміливих дизайнерських фантазіях.

Завдяки таким високотехнологічним верстатів з інтелектуальним керуванням, з дерева та металу можна робити справжні витвори мистецтва, яким не буде рівних.

Список літератури

1.   Автоматизированное проектирование приводов главного движения металлорежущих станков / В.Ю. Анцев, А.Н. Иноземцев, В.Н. Савушкин;

.     Вовнобой В.Е., Гуревич В.М., Григорян А.К. Операционная система УЧПУ «Электроника НЦ 80-31» // Станки и инструмент, 2010. №12. 11 с.

3.       Ратмиров В.А. Управление станками гибких производственных систем. - М., 2007. - 272 с.

Похожие работы на - Автоматизований технологічний комплекс фрезерування

 

Не нашли материал для своей работы?
Поможем написать уникальную работу
Без плагиата!
Без нейросетей!