Исчисление налога на имущество организации
СОДЕРЖАНИЕ
ВВЕДЕНИЕ
. НОРМАТИВНО-ПРАВОВОЕ
РЕГУЛИРОВАНИЕ И ТЕОРЕТИЧЕСКОЕ ОБОСНОВАНИЕ ИСЧИСЛЕНИЯ НАЛОГА НА ИМУЩЕСТВО
ОРГАНИЗАЦИИ
.1
Нормативно-правовая база налогообложения налога на имущество организаций
.2 Сущность
налога на имущество и его значение в экономике страны
.
КРАТКАЯ ХАРАКТЕРИСТИКА ПРЕДПРИЯТИЯ ООО «Мегалюм»
2.1
Организационно-правовая и экономическая характеристика ООО «МЕГАЛЮМ»
.2
Организация
бухгалтерского и налогового учета ООО «МЕГАЛЮМ»
3.
ОРГАНИЗАЦИЯ РАСЧЕТОВ С БЮДЖЕТОМ ООО «МЕГАЛЮМ» ПО НАЛОГУ НА ИМУЩЕСТВО
ОРГАНИЗАЦИЙ
.1 Формирование
налогообложения по налогу на имущество организации
.2 Порядок
исчисления и уплаты налога на имущество организаций
.3
Совершенствование расчетов с бюджетом по налогу на имущество организаций
ЗАКЛЮЧЕНИЕ
СПИСОК
ЛИТЕРАТУРЫ
ВВЕДЕНИЕ
На современном этапе развития налоговой системы
России, наблюдается тенденция к увеличению видов налогов, более подробной
регламентации прав и обязанностей субъектов налогового права при их реализации.
Налог на имущество предприятий занимает центральное место в системе
имущественного налогообложения России и вызывает определенный интерес в свете
возможных изменений в порядке расчета и уплаты данного налога на основе
зарубежного опыта, а также изменений, ожидаемых в области замены налога на
имущество юридических и физических лиц, а также земельного налога, на налог на
недвижимость.
Налог на имущество организаций является основным
налогом субъектов Российской Федерации, поэтому он, наряду с налогом на
прибыль, налогом на добавленную стоимость, другими видами налогов,
обеспечивающими основные поступления в бюджеты различных уровней, требует
особого подхода при его рассмотрении [17].
Целями введения налога на имущество являются:
создание стимулов освобождения от излишнего,
неиспользуемого имущества для предприятий и организаций;
обеспечение бюджетов регионов стабильными
источниками для финансирования бюджетных расходов.
Например, в бюджете Брянской области налог на
имущество на 1.01.2011г. составил 18439 тыс.руб. - это 2,2% от всех доходов, к
1.01.2012г. собрано 948989 тыс.руб. (1,3% от всей доходной части бюджета) [34].
Назвать этот налог доходным сложно. Возможно,
это связано с произвольной, часто расширительной трактовкой терминологии
закона, что приводит к грубым ошибкам и налоговым правонарушениям.
Большая часть налоговых поступлений в
консолидированный бюджет Брянской области обеспечена налогом на доходы
физических лиц (47,4%), налогами со специальным налоговым режимом (15,8%),
налогом на прибыль организаций (15,5%), акцизами (9,4%) [34].
Целью данной работы является изучение налога на
имущество, выявление недостатков и разработка путей их устранения на
предприятии ООО «Мегалюм».
Для достижения цели работы необходимо решить
следующие задачи:
изучить порядок расчетов с бюджетом по налогу на
имущество организации;
рассмотреть правовой и экономические аспекты
исследуемого предприятия;
формирование налоговой базы по налогу на
имущество организации;
порядок применения налоговых льгот по налогу на
имущество;
изучить порядок исчисления и уплаты налога на
имущество.
В курсовой работе применялись следующие методы
анализа: табличный, аналитический, реетроспективный, системный.
Объектом исследования является общество с
ограниченной ответственностью «Мегалюм».
Основными информационными источниками работы являлись
нормативно-правовые акты, такие как НК РФ и комментарии к нему, федеральные и
областные законы, учебные пособия, а также статьи по вопросам налогообложения,
в том числе в журналах «Российский налоговый курьер» и «Налоговый вестник», и
интернет порталы федеральной налоговой службы и ее управления по Брянской
области.
1. НОРМАТИВНО-ПРАВОВОЕ
РЕГУЛИРОВАНИЕ И ТЕОРЕТИЧЕСКОЕ ОБОСНОВАНИЕ ИСЧИСЛЕНИЯ НАЛОГА НА ИМУЩЕСТВО
ПРЕДПРИЯТИЯ
.1 Нормативно-правовая база налогообложения
налога на имущество организаций
Налог на имущество организаций - важнейший налог
в системе имущественного налогообложения в РФ. Он включается в группу
региональных налогов, является прямым и пропорциональным. Это важный финансовый
рычаг влияния на результаты хозяйственной деятельности организаций и источник
финансирования бюджетов субъектов РФ и местных бюджетов.
Концепция имущественных налогов предусматривает
постепенный переход к налогообложению недвижимости, то есть земли и
имущественных объектов, прочно связанных с землей и относящихся к недвижимому
имуществу в соответствии с Гражданским кодексом РФ [2]. Одним из этапов
перехода на налогообложение недвижимости является введение нового налога - на
имущество организаций, предусмотренного гл.30 "Налог на имущество
организаций" Налогового кодекса РФ [22].
Общие положения, регулирующие налогообложение
деятельности юридических и физических лиц, установлены НК РФ от 31 июля 1998 г.
[3]. Согласно этим статьям в РФ устанавливаются следующие виды налогов и
сборов: федеральные, региональные и местные. Региональными налогами признаются
налоги, которые установлены НК РФ и законами субъектов РФ о налогах и
обязательны к уплате на территориях соответствующих субъектов Российской
Федерации. К региональным налогам, в частности относятся: налог на имущество
организаций; налог на игорный бизнес; транспортный налог.
Впоследствии Федеральным законом от 11 ноября
2003 г. № 139-ФЗ «О внесении дополнения в часть вторую Налогового кодекса
Российской Федерации» [8] и внесении изменения и дополнения в статью 20 Закона
Российской Федерации «Об основах налоговой системы в Российской Федерации», а
также о признании утратившими силу актов законодательства Российской Федерации
в части налогов и сборов" (с
изменениями от 29 июля 2004 г.) была введена в действие глава 30«Налог на
имущество организаций », которая вступила в силу с 1 января 2004 г.
Помимо норм главы 30 «Налог на имущество
организаций», ряд вопросов по налогу на имущество регулируется Конституцией РФ
[1], ГК РФ [2], Закон № 129-ФЗ «О бухгалтерском учете» [5], ПБУ 6/01«Учет
основных средств [13], Постановлением Правительства РФ от 18 февраля 2004 г.
«Об утверждении перечня товаров, производимых с использованием имущества
организаций, не подлежащих освобождению от обложения налогом на имущество
организаций, и (или) реализуемых такими организациями», Постановлением
Правительства РФ от 30 сентября 2004 г. «О перечне имущества, относящегося к
железнодорожным путям общего пользования, федеральным автомобильным дорогам
общего пользования, магистральным трубопроводам, линиям энергопередач, а также
сооружений, являющихся неотъемлемой технологической частью указанных объектов,
в отношении которых организации освобождаются от обложения налогом на имущество
организаций» [10], Законами субъектов РФ (в частности Закон Брянской области «О
налоге на имущество организаций» [15], и Закон Брянской области «Об
инвестиционной деятельности, налоговых льготах и гарантиях инвесторам на
территории Брянской области» [16]).
Все основные элементы налогообложения, а также
порядок исчисления, уплаты налога и авансовых платежей предусмотрены гл.30 НК
РФ, а сроки уплаты утверждают законодательные органы исполнительной власти
субъектов Российской Федерации. Законы субъектов РФ о налоге могут только
уточнять отдельные положения гл.30 НК РФ (если такое право передано Налоговым
кодексом РФ региональным законодательным собраниям).
Согласно положениям гл.30 НК РФ законодательные
органы исполнительной власти субъектов Российской Федерации:
определяют ставку налога;
устанавливают дифференцированные ставки в
зависимости от категории налогоплательщиков (в том числе по отраслевому
признаку, статусу организаций), по видам имущества;
имеют право ввести дополнительные налоговые
льготы;
определяют сроки уплаты налога, а также вправе
разрабатывать формы отчетности по налогу.
Кроме того, законы субъектов Российской
Федерации могут позволить отдельным категориям налогоплательщиков не вносить
ежеквартальные авансовые платежи.
В соответствии с п.2 ст.379 НК РФ отчетными
периодами по налогу на имущество организаций признаются I квартал, полугодие и
9 месяцев календарного года. Но п.3 ст.379 НК РФ разрешает законодательным
(представительным) органам субъектов Российской Федерации не указывать отчетные
периоды по налогу.
Форма налоговой декларации
утверждена в соответствии с Приказом ФНС РФ от 24.11.2011 N ММВ-7-11/895 «Об
утверждении форм и форматов представления в электронном виде налоговой
декларации и налогового расчета по авансовому платежу по налогу на имущество
организаций и порядков их заполнения» [11].
Следует обратить внимание на то, что законы
субъектов Российской Федерации о налоге не могут изменять другие элементы
налогообложения, в том числе порядок исчисления налога и авансовых платежей.
Региональные законодатели также не имеют права
вводить новые термины и трактовать иначе установленные гл.30 "Налог на
имущество организаций" НК РФ понятия, например такие, как "место
уплаты налога", "объект налогообложения", "налоговая
база" [4].
.2 Сущность налога на имущество и его значение в
экономике страны
Теоретически экономическая природа налога
заключается в определении источника обложения (капитала, дохода) и того
влияния, которое оказывает налог в конечном итоге на макро- и
микроэкономические процессы.
Налог на имущество организаций взимается с
владельца имущества (как собственника, так и обладателя иных вещных прав на
имущество). Экономическая сущность данного налога - изъятие части
предполагаемого среднего дохода, получаемого в конкретных экономических
условиях от использования облагаемого налогом имущества [21].
Из этого вытекает фискальная и стимулирующая
функции. Первая - благодаря тому, что налог на имущество обеспечивает
стабильные поступления в доходы территориальных бюджетов, так как вносится в
первоочередном порядке с отнесением расходов по его уплате на себестоимость
продукции; вторая - через заинтересованность предприятия в уплате меньших сумм,
чем стимулируется стремление плательщика быстрее освобождаться от излишнего,
неиспользуемого имущества.
Рассматривая принципы налогообложения имущества
предприятий, нельзя не обратиться к основным началам налогообложения в целом.
Так, в соответствии со ст.3 НК РФ [15]:
каждое лицо должно уплачивать законно
установленные налоги и сборы;
не допускается установление дифференцированных
ставок налогов и сборов, налоговых льгот в зависимости от формы собственности,
гражданства физических лиц или места происхождения капитала;
все налоги и сборы должны иметь экономическое
основание и не могут быть произвольными, недопустимы налоги и сборы,
препятствующие реализации гражданами своих конституционных прав;
не допускается устанавливать налоги и сборы,
нарушающие единое экономическое пространство Российской Федерации и, в
частности, прямо или косвенно ограничивающие свободное перемещение в пределах
территории Российской Федерации товаров (работ, услуг) или финансовых средств,
либо иначе ограничивать или создавать препятствия не запрещенной законом
экономической деятельности физических лиц и организаций;
ни на кого не может быть возложена обязанность
уплачивать налоги и сборы, а также иные взносы и платежи, обладающие
установленными НК РФ признаками налогов или сборов, не предусмотренные данным
Кодексом;
при установлении налогов должны быть определены
все элементы налогообложения, акты законодательства о налогах и сборах должны
быть сформулированы таким образом, чтобы каждый точно знал, какие налоги
(сборы), когда и в каком порядке он должен платить;
все неустранимые сомнения, противоречия и
неясности актов законодательства о налогах и сборах толкуются в пользу
налогоплательщика (плательщика сборов).
На основании изложенных принципов базируются и
основные начала процесса расчета и уплаты налога на имущество, уплачиваемого
юридическими лицами, которые, в соответствии со ст.19 НК РФ, являются
налогоплательщиками.
В соответствии с нормами главы 30 НК РФ, налог
на имущество организаций устанавливается законами субъектов Российской
Федерации и обязателен к уплате на территории соответствующего субъекта
Российской Федерации с момента введения в действие.
Налог на имущество организаций вносится в бюджет
в обязательном и первоочередном порядке и относится на финансовые результаты
деятельности организации. Данный налог уплачивается даже в том случае, когда
финансовый результат деятельности за отчетный период принимает форму убытка
[23].
Налоговая ставка - величина налоговых начислений
на единицу измерения налоговой базы. Налоговая ставка налога на имущество
установлена в едином размере - не более 2,2% [15]. Ставки могут
дифференцироваться в зависимости от категорий налогоплательщиков и (или) облагаемого
имущества.
Налоговым периодом по налогу на имущество
организаций признается календарный год. Отчетными периодами признаются первый
квартал, полугодие и девять месяцев календарного года.
Законодательный (представительный) орган
субъекта РФ при установлении налога вправе не устанавливать отчетные периоды.
Но устанавливать иные отчетные (по отношению к предусмотренным в п.2 ст.379 НК
РФ) законодательные (представительные) органы субъектов РФ не вправе.
Согласно положениям главы 30 НК РФ [15], все
организации, независимо от формы собственности, обязаны уплачивать налог на
имущество.
российские организации;
иностранные организации, осуществляющие
деятельность в Российской Федерации через постоянные представительства и (или)
имеющие в собственности недвижимое имущество на территории Российской
Федерации, на континентальном шельфе Российской Федерации и в исключительной
экономической зоне Российской Федерации.
Понятие налогооблагаемого имущества содержится в
ст.374 НК РФ - «Объект налогообложения». Так, объектом налога на имущество для
российских организаций признается движимое и недвижимое имущество (включая
имущество, переданное во временное владение, пользование, распоряжение или
доверительное управление, внесенное в совместную деятельность), учитываемое на
балансе в качестве объектов основных средств в соответствии с установленным
порядком ведения бухгалтерского учета. Таким образом, никакое иное имущество не
может рассматриваться в качестве объекта налогообложения. Если конкретное
имущество не относится к объектам основных средств по правилам бухгалтерского
учета, оно не может быть признанным объектом налогообложения.
В соответствии со статьей 56 БК РФ
<#"726763.files/image001.gif">
Среднегодовая стоимость имущества за полугодие:

(2)
Среднегодовая стоимость имущества за
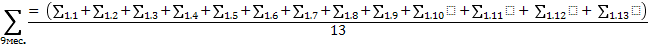
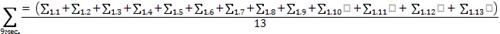
9 месяцев:

(3)
Среднегодовая стоимость имущества за
год:

(4)
где 
- стоимостная оценка имущества
организации по состоянию на 1 число месяца, руб.;- порядковый номер месяца в
отчетном периоде; 13 - январь следующего периода [29].
Для ООО «Мегалюм» налоговая база в
каждом из отчетных периодов 2011 года составляла:
= 4790158 руб.
= 4659138 руб.
= 4572034 руб.
= 4475395 руб.
У ООО «Мегалюм» отсутствуют
основания для использования налоговых льгот по рассматриваемому налогу. Это
свидетельствует из НК РФ и Закона Брянской области «О налоге на имущество
организаций».
.3 Порядок исчисления и уплаты налога
В таблице 5 приведен расчет за 2012г. авансовых
платежей и налога на имущество ООО «Мегалюм». Налоговая ставка 2,2% установлена
Законом Брянской области «О налоге на имущество организаций». Напомним, что
организация не применяет льготы и амортизация начисляется линейным способом,
т.е. равномерно в течение срока полезного использования. Остаточная стоимость
имущества на 1 января 2012г. составляет 4909199 руб. ООО «Мегалюм» должно
оплатить авансовый платеж за 1 квартал до 30 апреля 2011, за полугодие - до 30
июля 2012г., за 9 месяцев - до 30 октября 2012г., а налог за 2012г. (т.е.
разницу между начисленной за год суммой налога и уплаченными в течение года
авансовыми платежами) должен будет оплатить до 30 марта 2013г. В эти же сроки необходимо
представить налоговые расчеты (в течение 2012г.), а также налоговую декларацию
(по данным за год).
- за 1 квартал (5)
- за полугодие (6)
- за 9 месяцев (7)
Таблица 5- расчет авансовых платежей и налога на
имущество за 2012г. ООО «Мегалюм» (прил.12)
|
2012г.
|
Остаточная
стоимость на 1-е число месяца, руб.
|
Амортизация
в месяц, руб.
|
Средняя
стоимость имущества, руб.
|
Авансовые
платежи по ставке 2,2%, руб.
|
Налог
на имущество по ставке 2,2%, руб.
|
Доплата
за 2012год, руб.
|
|
На
01.01
|
4909199
|
|
|
|
|
|
|
На
01.02
|
4815279
|
|
|
|
|
|
|
На
01.03
|
4765296
|
|
|
|
|
|
|
На
01.04
|
4670859
|
|
|
|
|
|
|
За 1 квартал
|
|
|
4790158
|
26346
|
|
|
|
На
01.05
|
4576422
|
|
|
|
|
|
|
На
01.06
|
4484069
|
|
|
|
|
|
|
На
01.07
|
4392839
|
|
|
|
|
|
|
За полугодие
|
|
|
4659138
|
25625
|
|
|
|
На
01.08
|
4302998
|
|
|
|
|
|
|
На
01.09
|
4451374
|
|
|
|
|
|
|
На
01.10
|
4352005
|
|
|
|
|
|
|
За 9 месяцев
|
|
|
4572034
|
25146
|
|
|
|
На
01.11
|
4282636
|
|
|
|
|
|
|
На
01.12
|
4153267
|
|
|
|
|
|
|
На
31.12
|
4053898
|
|
|
|
|
|
|
Итого
|
|
|
4475395
|
|
98459
|
21342
|
Сумма налога, подлежащая уплате по итогам
налогового периода:
где Н - сумма начисленного налога за год; НБ -
налоговая база; НС - налоговая ставка; АП - авансовые платежи [29].
∑ = 0,022*4475395- (26346 +25625 +25146) =
21342 руб.
Декларация по налогу на имущество организаций
ООО «Мегалюм» за 2012г. состоит из (прил. 10):
. титульного листа;
. Раздела 1 "Сумма налога,
подлежащая уплате в бюджет по данным налогоплательщика";
. Раздела 2 "Определение налоговой
базы и исчисление суммы налога в отношении подлежащего налогообложению
имущества российских организаций и иностранных организаций, осуществляющих
деятельность в Российской Федерации через постоянные представительства";
. Раздела 3 "Определение налоговой
базы и исчисление суммы налога за налоговый период по объекту недвижимого
имущества иностранной организации, не относящемуся к ее деятельности в
Российской Федерации через постоянное представительство";
Титульный лист (страница 000001) заполняется
налогоплательщиком, кроме раздела "Заполняется работником налогового
органа".
Для российской организации указывается:
ИНН и КПП по месту нахождения организации
согласно Свидетельству о постановке на учет в
налоговом органе юридического лица, образованного в соответствии с
законодательством Российской Федерации, по месту нахождения на территории
Российской Федерации по форме N 12-1-7, утвержденному приказом МНС России от 27
ноября 1998 года N ГБ-3-12/309 "Об утверждении порядка и условий
присвоения, применения, а также изменения идентификационного номера
налогоплательщика и форм документов, используемых при учете в налоговом органе юридических
и физических лиц" [25], [26] или
согласно Свидетельству о постановке на учет юридического лица в налоговом
органе по месту нахождения на территории Российской Федерации по форме N
09-1-2, утвержденному приказом МНС России
от 3 марта 2004 года N БГ-3-09/178 "Об утверждении порядка и условий
присвоения, применения, а также изменения идентификационного номера
налогоплательщика и форм документов, используемых при постановке на учет,
снятии с учета юридических и физических лиц [27], или
согласно Свидетельству о постановке на учет российской организации в налоговом
органе по месту нахождения на территории Российской Федерации по форме N
1-1-Учет, утвержденному приказом ФНС России от 1 декабря 2006 года N
САЭ-3-09/826@ "Об утверждении форм документов, используемых при постановке
на учет и снятии с учета российских организаций и физических лиц" [28],
При заполнении титульного листа указывается:
) номер корректировки.
При представлении в налоговый орган первичной
Декларации по реквизиту "номер корректировки" проставляется
"0-", при представлении уточненной Декларации - указывается номер
корректировки, отражающий, какая по счету уточненная Декларация представляется
в налоговый орган (например, "1--", "2--" и т.д.);
) строка "Налоговый период (год)" не
заполняется;
) отчетный год - год, за который представляется
Декларация (2012);
) код налогового органа по строке
"Представляется в налоговый орган (код)" согласно документам о
постановке на учет в налоговом органе - 3250;
) код по строке "по месту нахождения
(учета) (код)", соответствующий месту представления Декларации в налоговый
орган, установленному статьей 386 НК;
) по строке "налогоплательщик"
указывается полное наименование российской организации, соответствующее
наименованию, указанному в учредительных документах (при наличии в наименовании
латинской транскрипции таковая указывается), либо полное наименование
иностранной организации - Общество с ограниченной ответственностью «Мегалюм»;
) код вида экономической деятельности согласно
Общероссийскому классификатору видов экономической деятельности ОК 029-2001
(ОКВЭД) - 34.30 - Оптовая торговля, включая торговлю через агентов, за
исключением автотранспорта;
) номер контактного телефона налогоплательщика;
) количество страниц, на которых составлена
Декларация - 4 стр.;
) количество листов подтверждающих документов
или их копий, включая документы или их копии, подтверждающие полномочия
представителя налогоплательщика, приложенных к Декларации.
В разделе титульного листа "Достоверность и
полноту сведений, указанных в настоящей Декларации, подтверждаю"
указывается:
) в случае подтверждения достоверности и полноты
сведений в Декларации руководителем организации-налогоплательщика проставляется
"1"; в случае подтверждения достоверности и полноты сведений
представителем налогоплательщика проставляется "2".
Раздел "Заполняется работником налогового
органа" содержит сведения о представлении Декларации (способ представления
согласно коду в соответствии с #M12293 1 902091200 0
0 0 0 0 0 0 2921605832приложением N 2 к Порядку; количество страниц
Декларации; количество листов подтверждающих документов или их копий,
приложенных к Декларации; дату представления Декларации; номер, под которым
зарегистрирована Декларация; фамилию и инициалы имени и отчества работника
налогового органа, принявшего Декларацию; его подпись).
Раздел 1 Декларации
заполняется в отношении суммы налога, подлежащей уплате в бюджет по месту
нахождения организации (месту осуществления деятельности иностранной
организации через постоянное представительство), месту нахождения обособленного
подразделения российской организации, имеющего отдельный баланс, месту
нахождения недвижимого имущества.
В каждом блоке строк с кодами 010 - 040
указываются:
1) по строке с кодом 010 -
указывается код ОКАТО <http://www.referent.ru/1/122567?l0>, по которому
подлежит уплате сумма налога, указанная в строке 030 данного блока;
) по строке с кодом 020 - на
основании законодательства Российской Федерации о бюджетной классификации
указывается КБК, в соответствии с которым должна осуществляться уплата
соответствующей суммы налога, указанная в строке с кодом 030 данного блока;
) по строке с кодом 030 - сумма
налога, подлежащая уплате в бюджет по месту представления Декларации по
соответствующим кодам ОКАТО <http://www.referent.ru/1/122567?l0> и КБК -
21342руб.
Сумма налога, подлежащая уплате в
бюджет по итогам налогового периода, определяется как разница между суммой
налога, исчисленного за налоговый период, и суммами авансовых платежей по
налогу, исчисленных в течение налогового периода.
) по строке с кодом 040 указывается
сумма налога, исчисленная к уменьшению по итогам налогового периода,
определяемая как разница между суммой налога, исчисленного за налоговый период,
и суммами авансовых платежей по налогу, исчисленных в течение налогового периода.
В случае если значение, подсчитанное
по алгоритму, отрицательно, то сумма налога, исчисленная к уменьшению,
проставляется по строке с кодом 040.
В случае если значение, подсчитанное
по алгоритму, положительно, то значение по строке 040 принимается равным нулю.
Сведения, указанные в Декларации по
строке "Достоверность и полноту сведений, указанных на данной странице,
подтверждаю", подтверждаются подписью лица из числа лиц, и проставляется
дата подписания.
Раздел 2 Декларации указывает:
) указывается код вида имущества, в
отношении которого заполняется Раздел 2 Декларации в соответствии с Приложением
N 5 к Порядку.
) по строке с кодом 010 указывается
код ОКАТО <http://www.referent.ru/1/122567?l0>, по которому подлежит
уплате сумма налога;
) в соответствующих строках с кодами
020 - 140 по графам 3 - 4 отражаются сведения об остаточной стоимости основных
средств за налоговый период по состоянию на соответствующую дату:
по графе 3 указывается остаточная
стоимость основных средств за налоговый период для целей налогообложения.
По строке с кодом 141 по графам 3-4
указывается остаточная стоимость недвижимого имущества на конец года (31
декабря):
по графе 3 указывается среднегодовая
стоимость недвижимого имущества.
) по строке с кодом 150 указывается
среднегодовая стоимость имущества за налоговый период, исчисленная как частное
от деления на 13 суммы значений по графе 3 строк с кодами 020 - 140 - 4475395
руб.;
) по строке с кодом 190 указывается
налоговая база - 4475395.
) по строке с кодом 210 отражается
налоговая ставка, установленная законом субъекта Российской Федерации для
данной категории налогоплательщиков по соответствующему имуществу (видам
имущества) - 2,2%.
) по строке с кодом 220 отражается
сумма налога за налоговый период, исчисленная как произведение значений строк с
кодами 190 и 210, деленное на 100 -98459руб.;
) по строке с кодом 230 отражается
сумма авансовых платежей, исчисленных по окончании отчетных периодов (первый
квартал, полугодие, 9 месяцев), по налоговым расчетам по авансовым платежам,
представленных в течение налогового периода - 77117 руб. [11].
Раздела 3
"Определение налоговой базы и исчисление суммы налога за налоговый период
по объекту недвижимого имущества иностранной организации, не относящемуся к ее
деятельности в Российской Федерации через постоянное представительство ООО
«Мегалюм» не заполняется.
Итак, объектом налогообложения по
рассматриваемому налогу является имущество (движимое и недвижимое), учтенное на
балансе организации. Для правильного обложения это имущество должно отвечать требованиям
ПБУ 6/01. Налоговой базой считается среднегодовая стоимость имущества,
определяемая налогоплательщиком самостоятельно в отношении каждого объекта за
налоговый период как частное от деления суммы, полученной в результате сложения
величин остаточной стоимости имущества на 1-е число каждого месяца налогового
(отчетного) периода и 1-е число следующего за налоговым (отчетным) периодом
месяца, на количество месяцев в налоговом (отчетном) периоде, увеличенное на
единицу. Значит среднегодовая стоимость имущества за год равна 4475395 тыс.
рублей. Далее рассчитываются авансовые платежи за 1квартал, полугодие и за 9
месяцев, их сумма равна 77117 руб. Сумма налога за налоговый период составила
98459 руб. Но учитывая сумму внесённых за год авансовых платежей доплата в
бюджет по налогу на имущество составляет 21342 руб. Все эти данные ООО
«Мегалюм» указывает в декларации по налогу на имущество организаций, а также в
расчетах по авансовым платежам по налогу на имущество организаций. Декларация
состоит из титульного листа и 3х разделов. На титульном листе указываются
реквизиты ООО «Мегалюм» и прочие подобные данные, раздел 1 - заполняется в
отношении суммы налога, подлежащей уплате в бюджет по месту нахождения
организации, раздел 2 - включает данные для расчета среднегодовой стоимости
имущества, а также сам расчет, раздел 3 - включен в декларацию, но ООО
«Мегалюм» его не заполняет.
3.3 Совершенствования расчетов с бюджетом на
предприятии по налогу на имущество организаций
исчисление льгота налог имущество
В настоящее время база налога на имущество
скорректирована таким образом, чтобы вывести из налогообложения товарные
запасы, готовую продукцию и другие части актива баланса организации, а объектом
обложения данным налогом является непосредственно амортизируемое имущество,
учитываемое на балансе организации по его остаточной стоимости [23].
В то же время, на этом реформирование налоговой
системы в области налогообложения имущества не заканчивается.
Россия имеет особую специфику. Сегодня за
налоговую базу принимается величина реально ниже рыночной стоимости. Согласно
определению, рыночная стоимость - это наиболее вероятная цена, за которую
объект может быть продан на открытом рынке при соблюдении определенных условий.
Подразумевается, что есть некое множество сделок, по которому вычисляют эту
среднюю цену. Министерство финансов утверждает, что оценку имущества станут
производить не по рыночной стоимости и не по стоимости БТИ, а по некоей
массовой оценке, которая приближена к рыночной. После корректировки стоимость
объекта недвижимости будет примерно на 30 % ниже рыночной. И при расчетах
рыночную оценку начнут просто умножать на коэффициент 0,7. Однако даже такая
поправка не сделает налогообложение по рыночной стоимости экономически
эффективным и справедливым в глазах населения [20].
В случае анализируемой организации основным
налогом предлагается считать налог на имущество. Кроме того, изучение ООО
«Мегалюм» позволило выявить следующие существующие проблемы налогообложения:
) Из-за некорректной работы бухгалтерской
компьютерной программы 1С: Бухгалтерия, версия 8.1, редакция 2.0 по отдельным
объектам основных средств в бухгалтерском учете ООО «Мегалюм» необоснованно не
доначислялась либо не начислялась амортизация, что, в свою очередь, повлияло на
некорректный расчет налоговой базы по налогу на имущество
Все объекты основных средств отвечают
требованиям пункта 4 ПБУ 6/01, то есть являются активами, предназначенными для
использования в производстве продукции, при выполнении работ или оказании
услуг, для управленческих нужд ООО « Мегалюм» в течение длительного времени и
способными приносить организации экономические выгоды (доход) в будущем.
В данном случае отклонения в суммах начисленной
амортизации в бухгалтерском учете приведут к занижению расходов ООО «Мегалюм»
по обычным видам деятельности и, как следствие, к завышению остаточной
стоимости основных средств и завышению налоговой базы по налогу на имущество.
Рекомендуется:
внести изменения в данные регистров
бухгалтерского учета, отразив суммы начисленной амортизации в соответствии с
требованиями бухгалтерского законодательства;
представить уточненную налоговую декларацию по
налогу на имущество;
совместно с it-специалистом осуществлять
постоянный внутренний контроль за корректностью работы бухгалтерской
компьютерной программы 1С: Бухгалтерия, версия 8.1, редакция 2.0 и
предпринимать своевременные меры по устранению сбоев в ее работе.
) Высокотехнологичные и дорогостоящие
машины и оборудование, хотя и отвечают требованиям рынка и признаны со стороны
государства приоритетными, для предприятия оказываются невыгодными. Кроме их,
как правило, недолгого срока использования (в связи с необходимостью
соответствия быстро меняющимся мировым научным стандартам), проблемой является
большая первоначальная стоимость (помимо отсутствия возможности приобрести
данные ОС), по которой они принимаются к учету и, следовательно, на которую
начисляется налог, что уменьшает желание собственников обновлять производство.
Для улучшения ситуации в данной сфере возможны
следующие варианты:
ввести льготные ставки налогообложения для
данного вида имущества;
ввести налоговые вычеты, например, в размере
стоимости приобретенного высокотехнологичного имущества, но не более
определенной суммы;
на оговоренный срок ввести налоговые каникулы
при приобретении, введении в эксплуатацию высокотехнологичного имущества на
сумму, превышающую установленную законодательством величину;
установить возможности для предоставления
налогового кредита.
) Отсутствие законодательно закрепленных четких
условий учета имущества по счету 08 и его перехода на счет 01, в том числе
касательно сроков ввода в эксплуатацию, параметров годности к использованию и
т.д. А также возникающие по этому поводу разногласия с налоговыми органами,
которые зачастую исчисляют налог не только с имущества, числящегося на счете
«основные средства», но и на объекты незавершенного строительства, вложения в
материальные ценности и т.п.
В большинстве регионов налог на имущество
взимается по максимальной ставке 2,2%. Однако в некоторых регионах ставка
налога ниже. Кроме того, в некоторых регионах установлены пониженные ставки по
налогу на имущество для отдельных категорий налогоплательщиков. А в ряде
регионов установлены дополнительные льготы по налогу на имущество в части,
зачисляемой в региональный бюджет.
ЗАКЛЮЧЕНИЕ
В данной работе были рассмотрены особенности
налогообложения имущества организаций в соответствии с нормами действующего
законодательства. Таким образом, после рассмотрения основных положений налогов
на имущество организаций, можно сделать вывод о том, что имущественные налоги
представляют огромный интерес при их изучении.
Согласно нормам законодательства, плательщиками
налога на имущество являются предприятия, учреждения и организации, в том числе
с иностранными инвестициями, считающиеся юридическими лицами по
законодательству РФ, филиалы и другие аналогичные подразделения указанных
предприятий, учреждений и организаций, имеющие отдельный баланс и расчетный
(текущий) счет.
Максимальная ставка налога в соответствии с 30
главой Налогового кодекса составляет 2,2% (конкретная ставка устанавливается на
региональном уровне).
В качестве объекта налогообложения для
российской организации законодательство определяет только имущество,
учитываемое на балансе в качестве объектов основных средств в соответствии с
установленным порядком ведения бухгалтерского учета.
Налоговая база определяется как среднегодовая
стоимость имущества, признаваемого объектом налогообложения.
Налоговым периодом по налогу на имущество
организаций признается календарный год. Отчетными периодами признаются первый
квартал, полугодие и девять месяцев календарного года.
Налоговые расчеты и налоговые декларации
налогоплательщики обязаны представлять в налоговые органы по своему
местонахождению, местонахождению каждого обособленного подразделения, имеющего
отдельный баланс, местонахождению каждого объекта недвижимого имущества, в
отношении которого установлен отдельный порядок исчисления и уплаты налога.
Наблюдается тенденция к постоянно усиливающемуся
контролю со стороны налоговых органов с одной стороны, и упрощение налоговой
системы, осуществляемое, в том числе, посредством совершенствования контрольной
работы налоговых органов, с другой.
Преимуществом данного вида налога является
высокая степень стабильности налоговой базы в течение налогового периода и
независимость от результатов финансово-хозяйственной деятельности предприятий -
налог уплачивается даже в том случае, когда финансовый результат деятельности
за отчетный период принимает форму убытка.
Концепция дальнейшего реформирования
имущественных налогов предусматривает постепенный переход к налогообложению
недвижимости. А именно: земли и имущественных объектов, прочно с ней связанных
и относящиеся к недвижимому имуществу в соответствии с ГК.
Оценка недвижимости является наиболее серьезной
проблемой, которая существует в настоящий момент и которая препятствует
введению налога на недвижимость. Создание кадастра недвижимости является одним
из важнейших этапов проведения реформы налогообложения недвижимости. Следующим
этапом должна быть оценка для целей налогообложения стоимости недвижимости на
основе методик, установленных в законодательном порядке, а также оценка земли
на основе средних цен на единицу площади, установленной для региона.
Рассмотренное предприятие - ООО «Мегалюм»,
уплачивает налог на имущество организаций. Предприятие рентабельно, наблюдается
увелечение прибыли за 2010-2012гг. Оно не имеет льгот по данному налогу и
ставка по налогу равна 2,2%. Налог уплачивается по отчетным периодам и к концу
году осуществляется доплата по налогу на имуществу (разница между суммой налога
и авансовыми платежами). Расчеты по авансовым платежам по налогу
предоставляются не позднее 30 календарным дней с даты окончания
соответствующего налогового периода. Налоговая декларация предоставляется по
истечении каждого налогового периода, не позднее 30 марта года, следующего за
истекшим налоговым периодом.
Говоря о совершенствовании ООО «Мегалюм» в
области расчетов в бюджет по налогу на имущество, самое оптимальное это
предложить правильно скорректировать работу программы 1С: Бухгалтерия, версия
8.1, редакция 2.0 и следить за правильностью её работы.
СПИСОК ЛИТЕРАТУРЫ
1. Конституция
РФ / Справочно-правовая система «КонсультантПлюс»
. Гражданский
кодекс РФ ч.1 от 30.11.1994 N 51-ФЗ / Справочно-правовая система
«КонсультантПлюс»
. Налоговый
кодекс РФ ч. 1 от 31.07.1998 N 146-ФЗ / Справочно-правовая система
«КонсультантПлюс»
. Налоговый
кодекс РФ ч. 2 от 05.08.2000 N 117-ФЗ / Справочно-правовая система
«КонсультантПлюс»
. Федеральный
закон от 21.11.96г. № 129-ФЗ «О бухгалтерском учете » / Справочно-правовая
система «КонсультантПлюс»
. Федеральный
закон РФ от 8.08.2001г. № 129-ФЗ «О государственной регистрации юридических лиц
и индивидуальных предпринимателей» / Справочно-правовая система
«КонсультантПлюс»
. Федеральный
закон РФ от 06.10.2003 № 131-ФЗ «Об общих принципах организации местного
самоуправлении в Российской Федерации» / Справочно-правовая система «КонсультантПлюс»
. Федеральный
закон от 11.11. 2003г. № 139-ФЗ «О внесение дополнений в часть вторую НК РФ » /
Справочно-правовая система «КонсультантПлюс»
. Федеральный
закон от 19.05.10г. № 86-ФЗ о внесении изменений в федеральный закон "О
правовом положении иностранных граждан в российской федерации" и отдельные
законодательные акты Российской Федерации / Справочно-правовая система
«КонсультантПлюс»
. Постановление
Правительства РФ от 30 сентября 2004г. «О перечне имущества» / Информационно
правовой портал «Гарант»
. Приказ
от 24 ноября 2011г. N ММВ-7-11/895 «Об утверждении форм и форматов
представления в электронном виде налоговой декларации и налогового расчета по
авансовому платежу по налогу на имущество организаций и порядков их заполнения»
/ Информационно правовой портал «Гарант»
. Методические
указания по бухгалтерскому учету основных средств, утвержденными Приказом
Минфина России от 13.10.2003 N 91н "Об утверждении Методических указаний
по бухгалтерскому учету основных средств" / Информационно правовой портал
«Гарант»
. ПБУ
6/01 «Учет основных средств» / Информационно правовой портал «Гарант»
. Письмо
Минфина Российской Федерации от 26.10.2006г.№ 03-02-07/1294-« Порядок
исчисления и уплаты налога» / Информационно правовой портал «Гарант»
15. Закон
Брянской области от 27 ноября 2003г. № 79-3 «О налоге на имущество организаций»
/ <http://www.r32.nalog.ru/ul/ul_im_org/>
. Закон
Брянской области №29-З от 19.08.96г. «Об инвестиционной деятельности, налоговых
льготах и гарантиях инвесторам на территории Брянской области» /
<http://www.r32.nalog.ru/ul/ul_im_org/>
. Алиева
Б.Х. - Налоги и налогообложение: Учебное пособие- М.: Финансы и статистика,
2004. - 416 С.
18. Бакина
С.: «Организация раздельного учета имущества»; журнал «Главбух», №1-08;
. Губин
В.Е., О.В. Губина; «Анализ финансово-хозяйственной деятельности», М. «Форум» -
Инфра:
. Данилин
В.В. Оптимизация налога на имущество организаций через договоры//Налоговый учет
для бухгалтера. 2005. № 4. Статья: Налоговая проверка по налогу на имущество
(Налоговый вестник, август 2012)
. Жидкова
Е.Ю. - Налоги и налогообложение - учеб. пособие 2-е изд., перераб. и доп. - М.
: Эксмо, 2009. - 480 с. - (Новое экономическое образование).
. Колесников
А.М. Налог на имущество организаций. Комментарий (постатейный) к главе
30 НК РФ. - М.: Издательство: Вершина, 2005.
. Миляков
Н.В. Налоги и налогообложение: Учебник. - 5-е изд., перераб. и доп. - М.:
ИНФРА-М, 2006. - 509 С.
24. Петров С.Е. - налоговая оптимизация в
договорах 2012г.
25. Российский
статистический ежегодник. 2009: Статистический сборник / Росстат. - М., 2009 -
795 с.
. Салина
А.И. Налог на имущество организаций, 2004 №9 / Справочно - правовая система
«КонсультантПлюс»
27. Статья:
Налог на имущество организаций: определение объекта налогообложения исходя из
стандартов бухгалтерского учета и состояния объекта (Семенихин В.В.) ("Все
для бухгалтера", 2011, N 6) /
<consultantplus://offline/ref=ECF7A3C1C80FE5DB39755C74F8C1CD7F8F5FFF44C530DEF4CED0BD680728498EC66F467E6A33DF36A71A00F2TAj8F>
Справочно-правовая система «КонсультантПлюс»
28. Статья: Налоговая проверка по налогу на
имущество (Е. Смирнова) (Налоговый вестник, август, 2012)
29. Статья:
Типичные ошибки, допускаемые при исчислении налога на имущество организаций
(Кириченко М.) ("Финансовая газета. Региональный выпуск", 2011, N
34)
<consultantplus://offline/ref=1C36827051BA725492CE678ADF8B6388B7C901AD35C44D609C3330C7CB268DC4EE8DD6C2879FDBC65B2F1BEA24hDF>
. <http://duma.bryansk.ru/>
. <http://www.rbc.ru/>
. <http://www.r32.nalog.ru/statistic/pn32/streg32/>
. <http://www.gks.ru/wps/wcm/connect/rosstat/rosstatsite/main/>
. <http://www.garant.ru/>
. <http://www.budgetrf.ru/>