Экономико-статистический анализ наличия и использования трудовых ресурсов

  • Вид работы:
    Курсовая работа (т)
  • Предмет:
    Эктеория
  • Язык:
    Русский
    ,
    Формат файла:
    MS Word
    35,1 Кб
  • Опубликовано:
    2014-04-23
Вы можете узнать стоимость помощи в написании студенческой работы.
Помощь в написании работы, которую точно примут!

Экономико-статистический анализ наличия и использования трудовых ресурсов

Министерство сельского хозяйства Российской Федерации

 

Экономический факультет

Кафедра экономического анализа и статистики

 

 

 

 

 



Курсовая работа

по статистике

Тема: Экономико-статистический анализ наличия и использования трудовых ресурсов










Новосибирск 2012

Содержание

Введение

. Понятие трудовых ресурсов

. Группировка сельскохозяйственных предприятий Новосибирской области (Баганский, Краснозёрский, Сузунский районы) по обеспеченности трудовыми ресурсами

. Корреляционно-регрессионный анализ связи между обеспеченностью трудовыми ресурсами и фондовооруженностью

. Динамика фондоотдачи за 2006-2010 гг. по хозяйству ОАО «Надежда»

Заключение

Список использованной литературы

Введение

Цель данной работы - провести экономики - статистический анализ наличия и использования трудовых ресурсов.

Объектом исследования данной курсовой работы являются хозяйства трех районов Новосибирской области - это хозяйства Баганского, Краснозёрского, Сузунского районов.

С точки зрения занятости любой человек может быть отнесен к лицам одной из трех групп: занятым, безработным и находящимся вне совокупной рабочей силы.

К занятым относятся лица трудоспособного возраста, выполняющие работу по найму за вознаграждение на предприятиях любой формы собственности, а также иную работу, приносящую доход, занимающиеся предпринимательской деятельностью; самостоятельно обеспечивающие себя работой; выполняющие работу без оплаты на семейном предприятии; выполняющие работы по гражданско-правовым договорам. Занятыми считаются лица, проходящие военную службу и службу в органах внутренних дел; учащиеся очной формы профессионального обучения и лица, которые отсутствуют на рабочем месте по уважительной причине (отпуск, нетрудоспособность, переподготовка и др.). Также к занятым относятся безработные и та часть активного населения, которая нуждается в работе, но не зарегистрирована как безработные.

Безработные - это трудоспособные граждане в трудоспособном возрасте, которые не имеют работы и заработка, зарегистрированные в службе занятости, хотят работать, способны и готовы трудиться, но не находят соответствующего спроса на свои профессиональные способности на рынке труда.

Занятые и безработные образуют экономически активное население или совокупную рабочую силу. Экономически активное население или совокупная рабочая сила - это часть населения страны, обеспечивающая предложение труда для производства товаров и услуг. В совокупную рабочую силу не входят группы людей, составляющих экономически неактивное население. Это льготные пенсионеры; инвалиды трудоспособного возраста, полностью утратившие трудоспособность; лица, находящиеся в местах лишения свободы; лица трудоспособного возраста, временно не работающие по каким-либо причинам, но потенциально способные в будущем пополнить рынок труда; домохозяйки; лица, прекратившие поиск работы; лица, не нуждающиеся в работе как способе поддержания существования.

Группировка - распределение изучаемой совокупности единиц анализа на однородные группы по заданным признакам.

Корреляция - степень, с которой какая-либо одна характеристика воздействует на другую, причем эти характеристики являются взаимосвязанными и образуют пару.

 

1. Понятие трудовых ресурсов

трудовой ресурс регрессионный фондовооруженность

Трудовые ресурсы - это часть населения определенного возраста, которая обладает необходимым физическим развитием, знаниями и практическим опытом для работы в народном хозяйстве страны.

Трудовые ресурсы становятся рабочей силой только в процессе труда. Рабочая сила - люди, обладающие совокупностью физических, умственных способностей и применяющие их в настоящее время в процессе труда. Персонал - весь личный состав работающих по найму, постоянных и временных, квалифицированных и неквалифицированных работников, которые закреплены за различными участками деятельности. Под кадрами предприятия обычно понимается основной (штатный, постоянный) состав работников предприятия. В понятие «человеческие ресурсы» вкладывается более широкий и глубокий смысл, чем в вышеперечисленные категории за счет отражения активной роли человека в экономике, признания экономической целесообразности капитальных вложений в формирование и использование этого вида ресурсов.

К трудовым ресурсам сельского хозяйства относят:

мужчин в трудоспособном возрасте 16-60 лет;

женщин в трудоспособном возрасте 16-55 лет;

лиц пенсионного возраста постоянно проживающих в сельской местности;

подростков в возрасте 14-16, сезонно работающих в сельском хозяйстве.

Изменение численности трудовых ресурсов зависит от естественного движения населения, рождаемости и смертности. Рождаемость на изменении трудовых ресурсов сказывается лишь через 16 лет. Меняется также соотношение численности поколений, вступающих в трудоспособный возраст и переходящих в пенсионный возраст. Поэтому удельный вес трудоспособного населения колеблется.

Отличие трудовых ресурсов от других видов ресурсов предприятия заключается в их активной роли. Например, каждый наемный работник может отказаться от предложенных ему условий труда, потребовать их изменения и модификации неприемлемых с его точки зрения работ, переобучения другим профессиям и специальностям, наконец, уволиться с предприятия по собственному желанию.

Трудовые ресурсы предприятия - это часть трудовых ресурсов страны, занятых на данном предприятии.

Кадровый состав предприятия и его изменения можно оценить при помощи определенных количественных, качественных характеристик и показателей эффективности.

Система показателей и порядок их расчетов

1) Фондообеспеченность тыс.руб. =

) Фондовооруженность тыс.руб. =

) Энергообеспеченность, л.с./га =

) Энерговооруженность,л.с./чел. =

) Обеспеченность трудовыми ресурсами,чел =

) Производительность труда =

) Уровень рентабельности =

2. Группировка сельскохозяйственных предприятий Новосибирской области по обеспеченности трудовыми ресурсами

Статистическая группировка представляет собой процесс образования однородных групп на основе расчленения статистической совокупности на части или объединение изучаемых единиц в частные совокупности по существенным для них признакам.

Признаки, по которым производится распределение единиц наблюдаемой совокупности на группы, называют группировочными признаками или основанием группировки (например, совокупность предприятий можно прогруппировать по следующим признакам - объем товарооборота, численность работников и т.д.).

Важнейшим вопросом теории группировок является выбор группировочных признаков, т. к. от выбора группировочного признака зависят результаты группировки, которые получают в процессе ее разработки. Статистика выделяет следующие основные правила выбора группировочных признаков:

) при выборе группировочных признаков необходимо руководствоваться знанием сущности данного явления, законов его развития;

) в основание группировки должно быть положено необходимое число наиболее существенных признаков, отвечающих задачам исследования;

) группировочные признаки должны отбираться с учетом конкретных особенностей изучаемых явлений;

) для всесторонней характеристики сложных общественных явлений целесообразно брать несколько группировочных признаков (два или более).

В нашем случае группировочным признаком является уровень обеспеченности трудовыми ресурсами сельскохозяйственных предприятий.

Составляем таблицу с исходными данными для расчёта показателей по предприятиям.

Необходимо определить взаимосвязь группировочного признака с другими. Для определения данных признаков будем пользоваться формулами, отображенными в системе показателей.

) Фондообеспеченность, тыс.руб.

) Фондовооруженность, тыс.руб.

)Энергообеспеченность, л.с./га.

) Энерговооруженность, л.с./чел.

) Обеспеченность трудовыми ресурсами, чел.

) Производительность труда.

) Уровень рентабельности, %

После определения основания группировки признаков следует построить ранжированный ряд с/х предприятий, в котором данные будут расположены по мере возрастания размера группировочного признака.

Таким образом мы получили ряд в котором данные расположены по возрастанию размера трудовых ресурсов.

Размер интервала определим по формуле:


Формируем группы:

группа: 0,001-0,011

группа: 0,012-0,021

группа: 0,022-0,031

группа: 0,032-0,041

3. Корреляционно-регрессионный анализ связи между обеспеченностью трудовыми ресурсами и фондовооруженностью

Для определения взаимосвязи между обеспеченностью трудовыми ресурсами и фондовооруженностью рассчитаем показатели корреляционного анализа.

Таблица 6 Вспомогательная таблица для определения взаимосвязи между обеспеченностью трудовыми ресурсами и фондовооруженностью Новосибирской области

Обеспеченность трудовыми ресурсами,чел.

Фондовооруженность, тыс.руб.

Расчетные данные


X

Y

x*y

Y(x)=a+b*x

1

0,013

1156,7

15,037

0,000169

1337955

754,7638

2

0,003

1250,76

3,752

0,000009

1564401

169,5547

3

0,007

96,6

0,676

0,000049

9331,56

403,6384

4

0,01

423,8

4,238

0,0001

179606,4

579,2011

5

0,001

428,64

0,429

0,000001

183732,2

52,51291

6

0,002

2744,55

5,489

0,000004

7532555

111,0338

7

0,013

440,4

5,725

0,000169

193952,2

754,7638

8

0,014

526,78

7,375

0,000196

277497,2

813,2847

9

0,009

754,4

6,790

0,000081

569119,4

520,6802

10

0,013

504,59

6,560

0,000169

254611,1

754,7638

11

0,012

292,63

3,512

0,000144

85632,32

696,2429

12

0,009

612,94

5,516

0,000081

375695,4

520,6802

13

0,008

1384,24

11,074

0,000064

1916120

462,1593

14

0,009

264,83

2,383

0,000081

70134,93

520,6802

15

0,017

294,26

5,002

0,000289

86588,95

988,8475

16

0,007

949,29

6,645

0,000049

901151,5

403,6384

17

0,009

265,34

2,388

0,000081

70405,32

520,6802

18

0,013

832,73

10,825

0,000169

693439,3

754,7638

19

0,005

706,14

3,531

0,000025

498633,7

286,5966

20

0,009

723,77

6,514

0,000081

523843

520,6802

21

0,02

252,12

5,042

0,0004

63564,49

1164,41

22

0,017

480,46

8,168

0,000289

230841,8

988,8475

23

0,005

3312,56

16,563

0,000025

10973054

286,5966

24

0,009

101,64

0,915

0,000081

10330,69

520,6802

25

0,004

2624,93

10,500

0,000016

6890258

228,0756

26

0,011

564,14

6,206

0,000121

318253,9

637,722

27

0,027

498,6

13,462

0,000729

248602

1574,057

28

0,036

529,01

19,044

0,001296

279851,6

2100,745

29

0,017

375,52

6,384

0,000289

141015,3

988,8475

30

0,039

436,71

17,032

0,001521

190715,6

2276,307

31

0,014

695,51

9,737

0,000196

483734,2

813,2847

32

0,012

455,97

5,472

0,000144

207908,6

696,2429

33

0,009

629,32

5,664

0,000081

396043,7

520,6802

34

0,008

477

3,816

0,000064

227529

462,1593

35

0,01

946,54

9,465

0,0001

895938

579,2011

36

0,017

412,82

7,018

0,000289

170420,4

988,8475

37

0,02

217,19

4,344

0,0004

47171,5

38

0,024

521,97

12,527

0,000576

272452,7

1398,494

39

0,006

814,56

4,887

0,000036

663508

345,1175

40

0,019

429,83

8,167

0,000361

184753,8

1105,889

Итого

0,507

29429,79

287,874

0,009025

40220351

29429,78


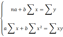
Для определения параметров составим уравнения:

=-6.008тыс.руб

b= 58520.91чел.

Таким образом уравнение имеет вид:

Y(x)=-6.008+58520.91X

Расчет коэффициента корреляции:


Если возвести коэффициент в квадрат, то он показывает, что доля влияния факторного признака на результативный равна величине:

d=0.000001

Коэффициент А показывает, что при нулевом значении Х (т.е. обеспечение трудовыми ресурсами, чел.) фондовооруженность будет -6.008 тыс. руб. Коэффициент В показывает, что при увеличении обеспеченности трудовыми ресурсами фондовооруженность увеличится 58520.91 чел.

4. Динамика фондоотдачи за 2006-2010 гг. по хозяйству ОАО «Надежда»

Ряды динамики - статистические данные , отображающие развитие во времени изучаемого явления . Их также называют динамическими рядами , временными рядами.

В каждом ряду динамики имеется два основных элемента :

) показатель времени t;

) соответствующие им уровни развития изучаемого явления y;

В качестве показаний времени в рядах динамики выступают либо определенные даты (моменты), либо отдельные периоды (годы , кварталы,месяцы, сутки).

Уровни рядов динамики отображают количественную оценку (меру) развития во времени изучаемого явления . Они могут выражаться абсолютными, относительными или средними величинами .

Ряды динамики различаются по следующим признакам:

) По времени. В зависимости от характера изучаемого явления уровни рядов динамики могут относиться или к определенным датам (моментам) времени, или к отдельным периодам. В соответствии с этим ряды динамики подразделяются на моментные и интервальные.

Моментные ряды динамики отображают состояние изучаемых явлений на определенные даты (моменты) времени.

Интервальные ряды динамики отражают итоги развития (функционирования) изучаемых явлений за отдельные периоды (интервалы) времени. Каждый уровень интервального ряда уже представляет собой сумму уровней за более короткие промежутки времени . При этом единица совокупности , входящая в состав одного уровня , не входит в состав других уровней .

) По форме представления уровней. Могут быть построены также ряды динамики, уровни которых представляют собой относительные и средние величины. Они также могут быть либо моментными либо интервальными.

) По расстоянию между датами или интервалам времени выделяют полные или неполные ряды динамики.

Полные ряды динамики имеют место тогда, когда даты регистрации или окончания периодов следуют друг за другом с равными интервалами. Это равноотстоящие ряды динамики. Неполные - когда принцип равных интервалов не соблюдается.

) По числу показателей можно выделить изолированные и комплексные (многомерные) ряды динамики. Если ведется анализ во времени одного показателя, имеем изолированный ряд динамики. Комплексный ряд динамики получается в том случае, когда в хронологической последовательности дается система показателей, связанных между собой единством процесса или явления.

Проведем анализ рядов динамики одного предприятия со средней величиной трудообеспеченности: ОАО «Надежда» Баганского района. Анализ будем проводить по величине трудообеспеченности за пять лет. Для этого нам нужно воспользоваться годовыми отчетами выбранного предприятия за период 2006-2010 гг.

Выписанные данные оформим в таблицу:

Таблица 7 Данные, выписанные из годовых отчетов по ОАО «Надежда»

Год

Численность работников,чел

S c/x угодий,га

S использованных с/х угодий, га

Прибыль от продаж, тыс.руб

Выручка тыс.руб

Урожайность зерновых ц/га

Затраты труда на производство зерновых, чел.час

Валовое производство зерна в весе после доработки, ц

2006

338

24301

24301

7783

44670

7,9

42

46024

2007

331

24301

24301

28758

72729

17,6

42

102273

2008

311

24301

24301

23653

88320

15,2

45

92038

2009

324

24301

24301

22658

107071

17,8

46

108077

2010

315

24034

24034

46309

143959

13,9

46,5

66848


Выполним расчет показателей рядов динамики:

Таблица 8 Расчет показателей рядов динамики для ОАО «Надежда»

Год

Трудообеспеченность

Абсолютный прирост

Темп роста

Темп прироста



цепной

базисный

цепной

базисный

цепной

базисный

2006

0,0139

-

-

-

-

-

-

2007

0,0136

-0,0003

-0,0003

97,84

97,84

-2,16

-2,16

2008

0,0128

-0,0008

-0,0011

94,12

92,09

-5,88

-7,91

2009

0,0133

0,0005

-0,0006

103,91

95,68

3,91

-4,32

2010

0,0131

-0,0002

-0,0008

98,51

92,24

-1,49

-7,76

Абсолютный прирост (цепной)

Абсолютный прирост (базисный)

Темп роста (цепной)

Темп роста (базисный)

Темп прироста

В нашем примере с 2006г. до 2010г. абсолютное изменение величины трудообеспеченности сначала уменьшалось, потом увеличилось и снова уменьшилось.

Таблица 9 Аналитическое выравнивание урожайности зерновых культур по ОАО «Надежда» за 2006-2010 гг.

Год

Трудообеспеченность (Y)

t

Y*t

2006

0,0139

-2

4

-0,0278

0.01372

2007

0,0136

-1

1

-0,0136

0.01353

2008

0,0128

0

0

0

0.01334

2009

0,0133

1

1

0,0133

0.01315

2010

0,0131

2

4

0,0262

0.01296

Итого

0,0667

0

10

-0,0019

0.0667


=0.01334-0.00019*t

Заключение

Для изучения взаимосвязи ряда факторов (среднегодовая стоимость; общая земельная площадь; среднегодовая численность работников; площадь с/х угодий; всего энергетических мощностей; себестоимость; прибыль) я решила ряд конкретных задач:

) Провела статистическое исследование, включив в него следующие методы:

· статистическое наблюдение;

·        аналитическая группировка;

·        корреляционно - регрессионный анализ;

·        ряды динамики;

2) Выполнила все требуемые расчеты.

) Провела анализ полученных данных.

) Подвела итоги во выполненной работе.

Курсовая работа выполнялась на основе конкретных данных, источником которых являются годовые отчеты сельскохозяйственных предприятий Баганского, Краснозёрского и Сузунского районов.

Таким образом, к трудовым ресурсам относится та часть населения, которая обладает необходимыми физическими данными, знаниями и навыками труда в соответствующей отрасли. Достижение обеспечить предприятия нужными трудовыми ресурсами, их рационального использования, высокий уровень производительности труда имеют большое значение для увеличения объемов продукции и повышения эффективности производства.

Мы рассмотрели основные характеристики трудовых ресурсов и теперь можем подвести итоги и сделать выводы по всей изучаемой теме.

Во всей совокупности ресурсов особое место занимают трудовые ресурсы. Кадры, в широком понимании, есть главная производительная сила общества. От кадровой политики зависит очень многое, в первую очередь насколько рационально используется рабочая сила и эффективность работы предприятия.

Кадры на предприятии классифицируются на рабочих, специалистов, руководителей, служащих, учеников, младший обслуживающий персонал и работников пожарно-сторожевой охраны. Приоритет следует отдавать руководителям. Исследованиями и практикой установлено, что эффективность работы предприятия на 70-80% зависит от руководителя предприятия. С переходом на рыночные отношения они получили большую самостоятельность в области оплаты труда. Предприятия в этот период стали чаще применять повременно-премиальную и бестарифную систему оплаты труда, а также оплату труда по контракту.

Кадры и заработная плата - эти понятия тесно связаны между собой. На каждом предприятии должен разрабатываться план по труду и заработной плате, цель которого заключается в изыскании резервов по улучшению рабочей силы и на этой основе повышение производительности труда. При этом план должен быть разработан так, чтобы темпы роста производительности труда опережали темпы роста заработной платы.

Использование различных форм и методов стимулирования позволит сформировать руководству фирм действенную мотивацию кадров к эффективной деятельности, что, в свою очередь, будет способствовать не только функционированию, но и их развитию.

Успех любой фирмы во многом зависит от того, насколько полно и точно было проанализировано реальное состояние дел в области управления предприятием. Экономические реформы предполагают утверждение таких условий хозяйствования, при которых работники получают реальную возможность проявить свою инициативу и чтобы эти условия пробудили у них интерес к трудовой деятельности.

Список использованной литературы

1 Афанасьев В.Н., Маркова А.И. Статистика сельского хозяйства: Учеб. пособие. - М.: Финансы и статистика, 2003, - 272

2 Волков О.И., Девяткин О.В. Экономика предприятия. М.: Инфра-М, 2005.

3 Журн. Экономика с.-х. и перерабатывающих предприятий. -2005-2009гг.

4 Зинченко А.П. Сельскохозяйственная статистика с основами социально-экономической статистики. Учебник. - М.: Изд-во МСХА, 1998.-427 с.

5 Коваленко Н.Я. Экономика сельского хозяйства с основами аграрных рынков. Курс лекций. - М.: Ассоциация авторов и издателей ТАНДЕМ: Изд-во ЭКМОС,1999. - 448с.

6 Курс социально-экономической статистики. Учебник. Под ред. Назарова М.Г. - М.: Финстатинформ. ЮНИТИ, 2000.- 771 с.

7 Лекции по курсу «Экономика сельского хозяйства» Ю.А. Меркулова 2001г.

8 Методические положения по статистике. Госкомстат России. М: Вып. 2005 - 2008 гг.

9 Статистика: учеб. / Л.П. Харченко, В.Г. Ионин, В.В. Глинский и др.; под ред. канд. экон. наук, проф. В.Г. Ионина. - 3-е изд., перераб. и доп. - М.: ИНФРА-М, 2008. - 445с.

10Статистика: Учебник / И.И. Елисеева, И.И. Егорова и др.; Под ред. проф.И.И. Елисеевой. - М.: ТК Велби, Изд-во Проспект, 2005, 2009. - 448 с.

11Теория статистики: Учебник / Под ред. проф. Р.А. Шмойловой.- 4-е изд., перераб.-М: Финансы и статистика, 2001.-560 с.

12Цыпкин А.Ю. Управление персоналом. М.: ЮНИТИ, 2001.

13Чуев И.Н, Чечевицына Л.Н. Экономика предприятия. М.: «Дашков и Ко», 2006.

Похожие работы на - Экономико-статистический анализ наличия и использования трудовых ресурсов

 

Не нашли материал для своей работы?
Поможем написать уникальную работу
Без плагиата!
Без нейросетей!