Структура операційної системи: поняття, види, основні напрямки розвитку в сучасних умовах

  • Вид работы:
    Курсовая работа (т)
  • Предмет:
    Менеджмент
  • Язык:
    Украинский
    ,
    Формат файла:
    MS Word
    804,2 Кб
  • Опубликовано:
    2014-04-20
Вы можете узнать стоимость помощи в написании студенческой работы.
Помощь в написании работы, которую точно примут!

Структура операційної системи: поняття, види, основні напрямки розвитку в сучасних умовах

Міністерство освіти і науки України

Державний ВНЗ "НАЦІОНАЛЬНИЙ ГІРНИЧИЙ УНІВЕРСИТЕТ"

Інститут економіки

ФАКУЛЬТЕТ МЕНЕДЖМЕНТУ

Кафедра менеджменту виробничої сфери








КУРСОВИЙ ПРОЕКТ

з дисципліни "Операційний менеджмент"

за напрямом підготовки 030601Менеджмент

на тему "Структура операційної системи: поняття, види, основні напрямки розвитку в сучасних умовах"


Виконала ст. гр. МН-10-1

Руденко О.С.

Науковий керівник

доц. Загорудько В. Л.


Дніпропетровськ

Зміст

Вступ

.        Теоретичні основи структури операційної системи: поняття, види, основні направлення розвитку у сучасних умовах

1.1 Поняття ОС

1.2 Підсистема ОС

1.3 Структура ОС

1.4 Види ОС

1.5 Взаемозвязок з іншими функціями організації

1.6 Ієрархія ОС

1.7 Сучасні підходи до побудови ОС

1.8 Життевий цикл ОС

1.9 Вимоги, яким мають відповідати сучасні ОС

Висновки до розділу 1

.        Практична частина

2.1 Аналіз структури ОС на українських підприємствах

2.2 Складання оптимальної програми виробництва та реалізації продукції промислового підприємства

Висновки

Список використаних джерел

Вступ

Підвищення ефективності виробництва продукції (послуг) - одна із головних задач розвитку економіки на теперішньому етапі будівництва незалежної України. Операційна система в свою чергу,забезпечує максимально ефективне використання матеріалів, людських ресурсів, устаткування і виробничих приміщень у процесі виготовлення продукції або надання послуг і управління ними.

Структура операційної системи дозволяє підприємству ефективно взаємодіяти із зовнішнім середовищем, продуктивно і доцільно розподіляти і спрямовувати зусилля своїх співробітників і таким чином задовольняти потреби клієнтів і досягати своїх цілей із високою ефективністю.

Актуальність теми даного курсового проекту полягає саме в значимості операційної системи для розвитку підприємств, організацій, установ та в пошуку ефективних шляхів оптимізації структури операційної системи. Об'єктом дослідження є структура операційної системи та її елементи. Предметом дослідження виступає процес роботи операційної системи.

Мета дослідження полягає у визначенні шляхів покращення ефективності роботи підприємства за допомогою структури операційної системи.

Поставлена мета досягається виконанням наступних завдань:

 аналізовування теорії формування структури ОС;

- складання оптимальної програми виробництва і реалізації продукції промислових підприємств.

Метою даного курсового проекту як інструменту навчення -поглиблення та закріплення знань з питань структури операційної системи та здобуття практичних навичок і вмінь щодо оптимізації виробничої та комерційної програми підприємства.

Курсовий проект виконано згідно з методичними вказівками [29, 30].

1. Теоретичні основи структури операційної системи: поняття, види, основні направлення розвитку в сучасних умовах

1.1 Поняття операційної системи

Операційний менеджмент формально репрезентується як сфера менеджменту, який пов'язаний з виробництвом товарів і послуг, що передбачає використання спеціалізованих методів і прийомів для вирішення виробничих завдань. До кола обов'язків операційних менеджерів входить уся діяльність організації, що стосується перетворення вхідних ресурсів на виробничий випуск. Тобто це менеджмент у процесі створення товарів (послуг), який здійснюється на рівні операцій, починаючи із забезпечення організації потрібними ресурсами та впродовж їхньої трансформації в готові товари (послуги) [22, с.4].

Термін "операції" є досить широким і стосується промислового та сільськогосподарського виробництва, а також надання послуг організацією будь-якого типу (державною, приватною тощо).

Операційна функція охоплює всі дії, результатом яких є товари, послуги, що пропонуються організацією на ринку. Без цієї функції, зрозуміло, жодна організація існувати не може. Для здійснення операційної функції створюється відповідна операційна система.

Операційна система створюється та функціонує з урахуванням стратегії операційної діяльності, яка у свою чергу є однією з функціональних стратегій (субстратегій) розвитку організації [21, с.8].

1.2 Підсистеми операційної системи

У загальному вигляді організацію можна розглядати як відкриту систему, яка перетворює вхідні величини у вихідні. Повна система виробничої діяльності організації називається операційною системою, вона складається з трьох підсистем: переробна; забезпечувальна та підсистема планування і контролю,що зображено на рис.1.1 [1, с.3].

Рис. 1.1 - Структура операційної системи

Переробна підсистема виконує продуктивну роботу, безпосередньо пов'язану з перетворенням вхідних величин у вихідні результати. Для університету основними результатами діяльності є розробка та поширення знань. Основна роль людського фактора проявляється в створенні цих результатів через науково -дослідну та педагогічну діяльність професорсько -викладацького складу. Матеріали, в тому числі папір та канцелярські товари, споживаються переробної підсистемою. Потрібні капіталовкладення у вигляді класних кімнат, лабораторій, кабінетів, меблів, обладнання [2, c.494].

Необхідно отримувати інформацію про досягнення в різних галузях науки з різноманітних друкованих джерел, шляхом проведення засідань кафедр, підтримки професійних контактів з колегами з інших університетів. Потрібна подача енергії від комунальних служб для освітлення, опалення та кондиціонування університетських приміщень, а також енергія для роботи ЕОМ, поліграфічного та іншого обладнання [3, с.11].

Забезпечувальна підсистема безпосередньо не пов’язана з виробництвом товарів чи послуг, однак забезпечує діяльність переробної. До забезпечувальної підсистеми належать обчислювальний центр, ремонтно-експлуатаційні, транспортні служби, охорона, експедиція, будівельні підрозділи, підрозділи соціально-побутового характеру тощо, її структура залежить від потреб і особливостей виробничого процесу, який відбувається у переробній підсистемі. Залежно від специфіки виробництва деякі з підрозділів забезпечувальної підсистеми можуть бути елементами переробної.

Варто зазначити, що підсистема забезпечення складається з трьох функціональних підсистем нижчого порядку: підсистеми технічної підготовки виробництва нових продуктів (послуг); підсистеми технічного обслуговування виробничої системи у процесі її функціонування; підсистеми ресурсного забезпечення виробничих процесів [11, с.16].

Підсистема управління призначена для забезпечення функціонування переробної й забезпечувальної підсистем. У ній визначають цілі, політику, основні напрями розвитку операційної системи, планують випуск продукції (послуг), необхідні для цього ресурси. Підсистема управління коригує діяльність інших підсистем операційної системи, забезпечує їх взаємоузгоджене і ритмічне функціонування. Для цього вона постійно отримує необхідну внутрішню інформацію про стан переробної та забезпечувальної підсистем, наявність сировини, ресурсів тощо. Із зовнішнього середовища в цю підсистему надходить інформація про попит на продукцію, вартість ресурсів, тенденції розвитку технології, законодавчі та нормативні акти тощо [24, c.10].

Підсистема управління є своєрідною переробною підсистемою, ресурсом і продуктом діяльності якої є інформація. Функціонування підсистеми управління забезпечують відповідні засоби й інструменти для роботи з інформацією [2, с.495].

Відповідно до підсистем операційного менеджменту визначаються і його функції, які можна поділити на технологічні і управлінські. Технологічна функція пов’язана з технологічною діяльністю, не має прямого відношення до управлінської функції. До управлінської функції відноситься необхідність використання матеріальних, фінансових і людських ресурсів. На відміну від працівників виробництва, які не мають відношення до управління і виконують тільки виробничо-технологічну функцію, в обов’язки менеджера входять не тільки вирішення управлінських задач, а й виробничих [5]:

по організаційним питанням;

по мотиваційним питанням;

по координаційним питанням;

по плануванню;

по реалізації виробничих процесів.

Однією із необхідних підсистем функціонування операційного менеджменту є управління матеріально-технічним забезпеченням та збутом продукції.Забезпечення операційної системи матеріальними ресурсами є початковою ланкоюопераційного процесу, а збут готової продукції - завершальною. Матеріально-технічнезабезпечення (МТЗ) - процес забезпечення під приємства всіма видами матеріально-технічних ресурсів у визначені строки та в обсягах, необхіднихдля нормальної виробничо-господарської діяльності.

Процес МТЗ повинен здійснюватися з мінімальними транспортно-складськимивитратами та найдоцільнішим використанням цих ресурсів.

Управління збутовою діяльністю операційної системи і після реалізаційного обслуговування покупців (замовників) виготовленої продукції здійснюється управлінською структурою збутової діяльності. В ринкових умовах господарювання збут продукції для підприємства має вирішальне значення, так як існує жорстка конкуренція на вироблену продукцію. Управлінська структура служби збуту залежить від масштабів виробництва, обсягів збутової діяльності, кількістю та інтенсивністю обслуговування покупців і інше. Стратегія збутової діяльності базується на досягненні конкурентних переваг підприємства і створення свого ділового іміджу. Для цього, перш за усе, необхідно розробити систему маркетингово-комунікаційного менеджменту в операційній системі підприємства [5].

До складу входів операційної системи належать: об'єкти операційної діяльностіті, на які спрямовані зусилля системи в процесі трансформації: - матеріальні ресурси; - клієнти; - власність клієнтів - засоби операційної діял-ті; - персонал.

До складу виходів операційної системи належать:

- основні: готова продукції; клієнт, стан якого було піддано змінам; власність клієнта, що була піддана змінам

- побічні: матеріальні; енергетичні; інформаційні.


Завдання менеджера в процесі організації полягає в тому, аби надати усім компонентам організації такої форми та об’єднати їх таким чином, аби підприємство являло собою одне ціле і функціонувало цілеспрямовано. Саме тому, в будь-якому підприємстві існує певна підпорядкованість поміж її складовими частинами та рівнями менеджменту, чіткий розподіл влади, прав та відповідальності. Для відображення структурних взаємозв’язків основних рівнів та підрозділів організації, їх підпорядкованості на практиці використовують схеми структур операційної системи. Такі схеми є лише скелетом системи управління, оскільки не розкривають склад та зміст функцій, прав та обов’язків підрозділів та посадових осіб.

Теорія і практика менеджменту розробили багато різних принципів побудови структур ОС, які можна звести до наступних основних типів:

лінійна структура;

лінійно-штабна структура;

функціональна структура;

лінійно-функціональна структура;

дивізіональна структура;

матрична структура;

та інші: проектна, кластерна, модульна, атомістична[15, c.452].

Лінійна структура

Являє собою систему, в якій кожний підлеглий має тільки одного керівника і в кожному підрозділі виконується весь комплекс робіт, пов’язаних з його управлінням. Схематично ця структура представлена на рис.1.2.

Рис.1.2- Принципова схема лінійної структури

Переваги лінійної структури:

чіткість і простота взає’ємодії (неможливість отримання підлеглим суперечливих розпоряджень та вказівок);

відповідальність кожного за виконання свого завдання (надійний контроль та дисципліна);

оперативність підготовки і здійснення управлінських рішень;

економічність (за умови невеликих розмірів організації).

Недоліки лінійної структури:

необхідність високої кваліфікації керівників;

зростання числа рівнів управління при збільшенні розмірів організації;

обмеження ініціативи у робітників на нижчих рівнях.

Лінійно-штабна структура

Вона є різновидом лінійної структури. За такої структури для розвантаження вищого керівництва створюється штаб, до складу якого включають фахівців з різних видів діяльності. Всі виконавці підпорядковуються безпосередньо лінійним керівникам. Повноваження штабних спеціалістів стосуються підготовки порад та рекомендацій лінійним керівникам або видачі вказівок виконавцям за дорученням лінійного керівника. Завдяки цьому підвищується ступінь оперативного та організаційного реагування. Принципова схема лінійно-штабної структури наведена на рис.1.3 [17, c.54].

Рис.1.3- Принципова схема лінійно-штабної структури

Функціональна організаційна структура

Особливість цього типу структури полягає в тому, що для виконання певних функцій управління утворюються окремі управлінські підрозділи, які передають виконавцям обов’язкові для них рішення, тобто функціональний керівник в межах своєї сфери діяльності здійснює керівництво виконавцями.

Рис.1.4- Принципова схема функціональної структури

Завдяки спеціалізації функціональних керівників виникає можливість управління великою кількістю виконавців, а отже і зменшується кількість рівнів управління. До обов’язків вищого керівника входить: регулювання відносин поміж функціональними керівниками.

Переваги функціональної структури:

спеціалізація діяльності функціональних керівників;

скорочення часу проходження інформації;

розвантаження вищого керівництва.

Недоліки функціональної структури:

можливість отримання суперечливих вказівок;

порушення принципу єдиноначальності (розмивання єдності розпорядництва і відповідальності);

складність контролю;

недостатня гнучкість.

Лінійно-функціональна структура

Являє собою комбінацію лінійної та функціональної структур. В основу такої структури покладено принцип розподілення повноважень і відповідальності за функціями та прийнятті рішень по вертикалі. Лінійно-функціональна структура дозволяє організувати управління за лінійною схемою, а функціональні підрозділи допомагають лінійним керівникам у вирішенні відповідних управлінських функцій (див. рис.1.5) [5].

Із схеми випливає, що функціональні керівники мають право безпосередньо впливати на виконавців. При цьому аби усунути можливість отримання виконавцями суперечливих вказівок: 1) або вводиться пріоритет вказівок лінійного керівника; 2) або функціональному керівнику передається лише певна частина повноважень; 3) або функціональному керівнику передається тільки право рекомендацій.

Рис.1.5- Принципова схема лінійно-функціональної структури

Переваги лінійно-функціональної структури:

поєднує переваги лінійних та функціональних структур;

забезпечує відносно швидке здійснення управлінських рішень завдяки своїй ієрархічності;

спеціалізація функціональних керівників.

Недоліки лінійно-функціональної структури:

складність регулювання відносин лінійних і функціональних керівників;

в умовах реорганізації збільшується потік інформації, який спричиняє перевантаження керівників;

така структура чинить опір здійсненню змін в організації.

Лінійно-функціональна структура застосовується при вирішенні задач, які постійно повторюються, забезпечуючи максимальну стабільність організації. Вона ефективна для масового виробництва зі стабільним асортиментом продукції при незначних (еволюційних) змінах технології виробництва.

Дивізіональна структура

Групування видів діяльності тут здійснюється за принципом розподілу праці за цілями. Це означає, що навколо певного виробництва формується організаційний підрозділ з автономією у здійсненні своєї повсякденної операційної діяльності (див. рис.1.6) [16, c.56].

Рис.1.6- Принципова схема дивізіональної структури

Перехід до дивізіональної операційної структури означає подальший розподіл управлінської праці, який відбивається у децентралізації оперативних функцій управління, що передаються виробничим підрозділам та централізації загальнокорпоративних функцій управління, що сконцентровані на вищому рівні управління у штаб-квартирі компанії.

Переваги дивізіональної структури:

невтручання в оперативну діяльність виробничих підрозділів;

можливість для вищого керівництва зосередитись на вирішенні стратегічних проблем;

підвищення якості рішень, що приймаються (завдяки наближенню до місця виникнення проблеми);

внутрішньофірмова конкуренція.

Недоліки дивізіональної структури:

дублювання функцій управління на рівні підрозділів;

збільшення витрат на утримання апарату управління.

Дивізіональна операційна структура відповідає умовам динамічного середовища та організаціям з великою кількістю виробництв, життєвий цикл яких відносно тривалий.

Матрична структура

З’явилась як відповідь на підвищення ступеня динамічності (мінливості) середовища функціонування фірм.Особливістю структур у такому середовищі має бути високий ступінь адаптованості. Це можна забезпечити за рахунок тимчасового характеру функціонування структурних одиниць.

Переваги матричної структури:

високий ступінь адаптації до змін у середовищі;

наявність ефективних механізмів координації між багатьма складними і взаємопов’язаними проектами.

Недоліки матричної структури:

обмежена сфера застосування;

виникнення конфліктів на підставі "боротьби за владу" між функціональними керівниками і керівниками проектів.

Рис.1.7- Принципова схема матричної структури

Для вибору типу операційної структури використовуютьтакі основні методи:

1. Метод аналогій - полягає в застосуванні операційних форм, що виправдали себе в організаціях зі схожими операційними характеристиками (середовищем, стратегією, технологією, розмірами) відносно до організації, що проектується.

. Експертно-аналітичний метод - полягає в обстеженні і аналітичному вивченні організації кваліфікованими фахівцями-експертами, які і розробляють відповідну операційну структуру.

. Метод структуризації цілей - передбачає розробку системи цілей організації, включаючи їх кількісне та якісне формулювання і наступний аналіз базових операційних структур з точки зору їх відповідності системі цілей.

. Метод організаційного моделювання - базується на розробці різних варіантів можливих операційних структур для конкретних об’єктів управління з наступним їх порівнянням (співставленням) і оцінкою за певними критеріями. Критеріями ефективності при співставленні різних варіантів операційних структур слугують можливості щонайповнішого досягнення цілей організації при відносно нижчих витратах на її функціонування [5].

1.4 Види операційної системи

Найбільш поширеними видами операційних систем є наступні:

. Проста детермінована закрита система в рамках проектного або дрібносерійного виробництва, прикладом якої є предметно-замкнутий ділянку, що випускає один або трохи видів продукції на невеликій кількості обладнання за наявності значних запасів сировини.

. Складна детермінована безперервна закрита система, прикладом якої є робота роботизованого цеху (лінії, ділянки).

. Складна імовірнісна відкрита система дрібносерійного чи масового виробництва, прикладами якої є більшість підприємств, що займаються випуском продукції в ринкових умовах.

. Дуже складна імовірнісна відкрита система масового виробництва, прикладами якої є найбільш великі підприємства, що мають значну кількість постачальників і посередників [25, c.18].

1.5 Взаемозв’язок з іншими функціями організації

Між операційною функцією і рядом інших функцій організації існують дуже важливі і складні робочі відносини. Для оптимізації діяльності організації необхідно забезпечити ефективне управління цими відносинами.

Операції залежать від інженерної функції, яка забезпечує проектування нових видів продукції, виробничих потужностей і процесів. Інженерна функція повинна одержувати від виробництва відповідну інформацію щодо проблем, пов'язаних з конструкцією виробів, і про можливості удосконалення системи [27, c.164].

Маркетинг повинен забезпечити надійний прогноз попиту і реальні замовлення клієнтів на виходи операційної системи. Крім того, ця ж функція повинна інформувати виробництво про будь претензії споживачів за якістю або термінів поставки продукції. З іншого боку, маркетинг залежить від виробництва в частині інформації про наявність продукції і можливості своєчасного її виготовлення для задоволення попиту споживачів [26, c.105].

У сфері капіталів, необхідних для розширення потужностей і підтримки поточної роботи, операційна функція залежить від фінансової функції. Для того щоб надати капітали в потрібний час і в потрібних обсягах, фінансовій службі потрібно одержати від операційних підрозділів інформацію про плани виробництва та розвитку. Їй також потрібні докладні поточні дані, щоб оплатити працю працівників, заплатити постачальникам, виставити рахунки споживачам, вести облік готівки матеріально -технічних запасів і фінансову звітність [9, с.11].

Функція трудових ресурсів несе відповідальність за вербування, відбір, а іноді і навчання кадрів для роботи в операційній системі. Операційні підрозділи, в свою чергу, повинні завчасно інформувати кадрову службу про потребу в робочій силі з вказівкою як кількості, так і кваліфікації.

Такі залежності між операціями (зокрема, виробництвом ) та іншими функціями організації, природно, можуть вести до виникнення конфліктів. Служба маркетингу, наприклад, може скаржитися на те, що виробництво недостатньо гнучко реагує на неординарні запити клієнтури. Виробничники ж можуть звинувачувати службу маркетингу в тому, що остання обіцяє клієнтам все, що тільки їм заманеться, без будь-якої перевірки можливостей виробництва. Виробництво, наприклад, вимагає фонди для придбання нового обладнання, а фінансова служба вважає, що капітали потрібно накопичити самим за рахунок зниження обсягу матеріально -технічних запасів.

Основними причинами конфліктів між групами є спільне користування ресурсами, взаємозв'язок завдань, відмінності цілей і сприйняття цінностей, несумісність характерів, погана комунікабельність. Всі ці фактори потенційно можуть бути причиною конфлікту між виробничою та іншими функціями організації. Для досягнення успіху в роботі необхідно, щоб керуючий виробництвом умів віртуозно вирішувати проблеми при врегулюванні конфліктів [9, с.10].

1.6 Ієрархія операційної системи

Окремі складові системи (її підсистеми), такі як виробнича дільниця, цех, самі виступають як системи. Вони, у свою чергу, можуть складатися із дрібніших підсистем (бригада, ланка, робоче місце). Отже, підсистема - це сукупність взаємопов'язаних і взаємодіючих елементів, які реалізують певну групу функцій системи. Належність підсистеми до того чи іншого рівня системи зумовлює наявна сукупність визначених властивостей. Вони визначають рівень (ступінь) ієрархії окремих підсистем як складових компонентів тієї чи іншої системи,що зображено на рис.1.8 [22, c.25]. Всі ступені ієрархії можуть поділятися на підсистеми функціонального характеру і як кібернетичні системи мають об'єкт і суб'єкт управління.

Для системи характерна не тільки наявність зв'язків між її складовими (певна організованість системи), а й нерозривна єдність із зовнішнім середовищем, у взаємодії з яким система виявляє свою цілісність.

Кожну систему певного рівня ієрархії можна розглядати як підсистему системи вищого рівня та одночасно як систему, в яку входять елементи підсистеми нижчого рівня. При цьому кожен вищерозташований ступінь ієрархії є компонентом зовнішнього середовища для нижчого, а нижчерозташований є компонентом внутрішнього середовища для вищого. Багаторівневість (ієрархічність) є характерною рисою складних систем. Окремі рівні системи реалізують певні функції,що зображені на рис.1.8, а цілісне функціонування системи є результатом взаємодії її елементів усіх ієрархічних рівнів.

Складність функціонування й розвитку системного об'єкта проявляється не лише в тому, що він складається з великої кількості елементів (багатьох підсистем), а й у тому, що в процесі формування структури складної системи необхідно усувати деякі суперечності на окремих етапах створення та розвитку системи, а також на різних рівнях її функціонально-структурної організації.

В основу виробничої системи покладено два поняття: виріб і виробництво. Вони займають різне місце в системі: одне є результатом у вигляді продукту (товар, послуга), друге - діяльністю, спрямованою на його створення (процес).

Рис. 1.8- Ієрархія виробничої системи підприємства

Розглядаючи виробничі системи, необхідно пам'ятати про ще одну складову, яка значною мірою впливає на побудову та функціонування системи, - це зовнішнє середовище, в якому споживається продукт.

Отже, на першому місці перебуває сам виріб, потім процес його створення і практичне використання результату споживачем. Обґрунтовуючи з погляду системного і ситуаційного підходів уявлення про виробництво як складну динамічну відкриту систему, необхідно передусім чітко визначити об'єкт підприємницької діяльності - його межі, сутність, специфіку, побудову, функції. Визначення об'єкта дає змогу окреслити контур (межі) системи, структура якої характеризує її "анатомію", органи виконання дії, функція - саму дію. Унаслідок взаємодії органів створюється цілісний організм, взаємодія якого з іншими системами визначає функціонування системи в конкретних ситуаціях, а виконувана системою корисна праця - ефект результативності її функціонування. У всіх цих рисах виражена сутність виробничої системи, складові частини, її діяльність, реальне існування і зміст цього існування [12, c.67].

1.7 Сучасні підходи до побудови операційних систем

Нерідко у менеджера відсутня необхідна інформація про детальні вимоги щодо завершального результату, особливо коли мова йде про новий бізнес. У цьому випадку варто будувати операційні системи у прямій послідовності від попередніх і підготовчих функцій до результативних. Елемент, що забезпечує виконання основних функцій, називається "процесором операційної системи". У даному випадку систему можна будувати за аналогією, використовуючи вже наявні операційні моделі. Тоді менеджер страхує себе від занадто серйозних помилок і втрат, але в той же час обмежує можливості підйому ефективності.

Функціональна операційна система може розглядатися як особливий тип побудови системи операційного менеджменту й одночасно як вихідна управлінська модель, на основі якої можна конструювати більш конкретні й адаптивні моделі керування. Функціональний підхід дає змогу в наочній формі реалізовувати методику "вхід-вихід" [22, c.70].

Функціональний підхід посідає особливе місце в ряді інших підходів формування операційних систем ще й тому, що на його основі можна формувати більш витончені, адекватні й адаптивні операційні системи.

Частіше всього функціональний підхід використовують як первинну або навіть тимчасову конструкцію операційної системи, а також як найбільш доступний і відповідно надійний. Нерідко в менеджера відсутня необхідна інформація про детальні вимоги до кінцевого результату, особливо, якщо мова йде про новий бізнес. У цьому випадку варто будувати операційні системи в прямій послідовності від попередніх і підготовчих функцій до результуючих. Елемент, що забезпечує виконання основних функцій, називається "процесором операційної системи" [16, с.25].

У даному випадку систему можна звести за аналогією, використовуючи вже наявні операційні моделі. Тоді менеджер страхує себе від занадто серйозних помилок і втрат, але в той же час обмежує можливості підйому ефективності.

Функціональний підхід дає змогу в наочній формі реалізовувати методику "вхід-вихід".Функціональний підхід посідає особливе місце в ряді інших підходів формування операційних систем ще й тому, що на його основі можна формувати більш витончені, адекватні й адаптивні операційні системи [28, c.267].

Галузевий підхід припускає, що операційні системи будуються на підставі максимального обліку і відображення галузевої специфіки діяльності. Головний критерій складання галузевої операційної системи -- це критерій керованості основною технологією. Цей підхід більш ризикований, тому що він істотно підвищує потенційні втрати від хибних рішень, але і сприяє істотному підвищенню ефективності керування операціями. Наочний приклад галузевого підходу -- операційні методи керування в галузях з безперервним виробничим циклом, на машинобудівних підприємствах.

Галузева операційна система, з одного боку, максимально прив'язана до конкретних технологій і операцій і тому дуже ефективна, але, з іншого, вона не допускає змін і тому не є адаптивною, отже, така операційна система вимагає обов'язкових зовнішніх операційних демпферів.

Організаційний підхід допускає, що технічні, функціональні та галузеві чинники вже враховані у вигляді деяких операційних констант. З використанням цих операційних блоків будується система, що уможливлює оптимізування і відбір процесів підготовки інформації і прийняття рішень.

Організаційний підхід є найбільш адекватними і гнучким, оскільки налагоджує керування операціями виходячи з власне інформаційних критеріїв ефективності керування, але все це допустимо тільки при безумовному врахуванні операційних констант [16, c.45].

1.8 Життєвий цикл виробничої (операційної) системи

 

Життєвий цикл виробничої системи залежить від рівня попиту на продукцію і прив'язаний до типу виробництва. В одиничному виробництві життєвий цикл операційної системи найвищий, оскільки продукція виконується в основному на замовлення (високий попит). Слід врахувати умову впровадження інновацій як фактор якості продукції і виробництва.

У серій ному виробництві життєвий цикл операційної системи циклічний в рамках серії і має такі ж залежності [25, c.39].

У масовому виробництві мінімальний життєвий цикл операційної системи, це пов'язано з труднощами зміни асортименту і впровадження інновацій. Існування операційної системи повністю прив'язане до попиту на продукцію.

Варто звернути увагу на те, що ефективність складних операційних систем, як правило, розвивається своєрідними еволюційними циклами, кожний з яких добре проявляється кривою. Дана крива ніби окреслює еволюційні цикли, які відповідають кількісній, айв окремих випадках і якісній зміні параметрів системи, при незмінних принципах її побудови. Локальні цикли "життя" операційної системи також добре описуються подібними кривими, приблизний вигляд яких показано на рис.1.9 [17, c.35].

Вони описують збільшення ефективності операційної системи за рахунок зміни окремих параметрів системи, можливо вхідних, вихідних, внутрішніх, або одночасно декількох. Кожний з еволюційних локальних циклів проходить на часовому інтервалі від виникнення нового принципу побудови системи до його вичерпування.

Рис. 1.9- Етапи життєвого циклу операційної системи

Рис. 1.10- Графічна інтерпретація локального циклу

Час проектування конкретної системи невеликий в порівнянні з еволюційним циклом, тому інтервал зміни параметрів малий і визначається обмеженнями, які витікають з рівня розвитку науки і техніки на момент проектування [17, с.38].

Слід наголосити, що дані обмеження ніби "вирізують" певний відрізок на S-подібній кривій. І вже в залежності від вирізаної частини крива може бути випуклою або ввігнутою (початкова частина), наближатися до лінійної (середня), або увігнутої (кінцева), або добре проявляється ними. Таким чином, в процесі розвитку операційної системи слід виділити етапи життєвого циклу, які характеризують поточну ефективність будь-якої операційної системи (див. рис. 1.9) [17, c.35]..

Етап перший - зародження і формування операційної системи

Він характеризується порівняно низькою ефективністю, і відносно низькими темпами зростання (слабкий підйом кривої).

Головна причина низької ефективності - слабо передані ефекти координації й інтеграції, тобто на цьому етапі ще не сформовані всі необхідні основні й допоміжні ланки, а координація між сформованими ще недостатня.

На цьому етапі вимагається особлива, переважно централізована система менеджменту, яка передбачає виняткову концентрацію повноважень і відповідальності [24, c.68].

Етап другий - швидкий ріст ефективності

Віддача, тобто поточна ефективність тут зростає за рахунок зняття обмежень координації ланок, підрозділів та їх функцій.

Операційна система сформувалась як цілісність. На другому етапі змінюються вимоги до операційних систем. Надмірна концентрація повноважень й відповідальності звільняє місце їх збалансованому розподілу. Головна передумова управління операційною системою - це раціональна внутрішня структура, правильна організація інформаційних потоків і чітка спеціалізація підрозділів й ланок, яка виражається як розподіл зон відповідальності [23, c.5].

Етап третій - період стабільності

Який характеризується практично найвищими значеннями ефективності функціонування операційної системи, незмінністю (постійністю) вихідних параметрів системи, низькою ймовірністю відмов, високими показниками життєвості й чутливості й т.п. Тут резерви ефективності пов'язані з керуванням витратами, раціональною системою стимулювання з частковими технологічними покращеннями й перенавчанням персоналу.

Період (лабільності-найдовший період існування операційної системи. Він прямо пропорційно залежить від стилю управління операційного менеджера, наявності й якості вхідних ресурсів, маркетингової служби. В реальному житті даний період є найтяжчим у плані тривалого зберігання цілі організації, її стратегії й тактики.

Етап четвертий

Він складається з двох частин А та Б. Ділянка А - стадія спаду ефективності, на яку йдуть "сигнали тривоги" про втрату досятнутих значень й інших параметрів системи. Тут вирішується проблема вибору - ліквідації або модернізації операційної системи, або зміни дислокації. Ділянка Б - приріст ефективності. Значення приросту в цей період незначне і пов'язане в основному зі згортанням діяльності.

Зниження ефективності на даному етапі зумовлено двома групами факторів:

) зміною зовнішніх умов функціонування, наприклад, зниження цін (розширення маркетингового поля), зниженням об'єму реалізації, зростанням конкурентів та ін.;

) внутрішніми деструктивними процесами, які пов'язані з падінням дисципліни й відповідальності, погіршенням відносної "якості персоналу", фізичним і моральним старінням обладнання й т.п.

На другому і четвертому етапах життєвого циклу дуже важливо забезпечити формування гнучкого, схильного до інновацій менеджменту, який може дозволити якомога раніше вийти на обґрунтування рішень про подальшу долю системи.

Дуже часто на цих стадіях виникає необхідність зміни попереднього керівництва на нове, яке може неупереджено й об'єктивно судити про перспективи даної операційної системи.

Система управління операціями, яка є, таким чином, гнучкою повинна ґрунтуватися на кривій життєвого циклу. Варто зазначити, з позиції S-подібної кривої можна виділити певний клас операційних систем, які володіють надзвичайно високим запасом змінності, тобто спроможних до переходу на нові ділянки цієї кривої без ліквідації бізнесу. В області консервативного бізнесу - це банківські системи, освітні системи й особливо інформаційні системи [17, с.39-43].

.9 Вимоги, яким мають відповідати сучасні операційні системи

Операційні системи відповідають таким вимогам:

·        ОС має бути стабільною, тобто при перетвореннях вона повинна зберігати відносно постійний склад та структуру своїх основних елементів.

Стабільність операційної системи як базисна стратегія породжує ряд приватних практичних розходжень у порівнянні з загальною стратегією бізнесу.Часовий обрій операційної стратегії завжди менше тимчасового обрію загальної стратегії на величину (різниця між мінімально необхідним терміном стабільності операційної системи і періодом приходу істотних інновацій). Керівник не може забезпечити одночасно і високу технічну ефективність операційної системи, і вимогу її зміни. З погляду практичного керування, найкраще максимально розтягнути в строках процес змін, аби не втратити керованості операційною системою. Але занадто тривале затягнення цього процесу може набрати характеру необоротного погіршення системи [24, c.45]. Мистецтво керівника полягає в тому, щоб віднайти баланс між мінімально необхідною стабільністю системи і її зміною. Практично ця вимога реалізується завдяки формуванню двох груп стратегічних повноважень: базисні повноваження операційної системи передаються першому заступникові; повноваження, пов'язані з ухваленням рішення на зміну ціною зниження поточної ефективності, залишаються за першим керівником [13, с.74].

·        ОС має бути адаптивною, тобто мати властивість пристосовуватись до змін у зовнішньому середовищі. Принципи побудови і закони функціонування адаптивних виробничих систем, істотно відрізняються від тих, що використовуються при організації масового, серійного і / або гнучкого позамовно -поточного виробництва. Для їх формулювання нагадаємо, що адаптивні системи живої природи, які є прототипом інтегрованих виробничих систем, являють собою органічну сукупність простих / базових елементів, "еволюційна збірка " яких в єдине ціле, здійснюється за допомогою різних типів зв'язків і подальшої їх диференціюванням по виконуваних функцій (відповідної реакції на стан середовища). Кожен елемент інтегрованої адаптивної системи концептуально формується як жорстка умовно - автономна програма / модуль сприйняття характеристики середовища та обмеженого набору відповідних дій на її зміну.

·        ОС має бути ефективною, тобто мати високий рівень продуктивності при відносно низькому рівні витрат.

Ефективність операційного менеджменту на підприємстві передбачає кілька найважливіших елементів, що визначають життєздатність системи - це стратегічне планування, управління персоналом і система контролю над виконанням поставлених цілей [21, с.15].

Висновок за розділом 1

Установлено, що операційна система являє собою злагоджений механізм функціонування підприємства, установи чи організації. Такий механізм складається з сукупності елементів або підсистеми, які між собою взаємопов’язані. В основному виділяють три таких підсистеми - це управлінська, переробна та забезпечувальна.

Структура операційної системи підприємства забезпечує виконання усіх функцій менеджменту, визначає права й обов’язки на управлінських рівнях.Від операційної структури залежить ефективна діяльність підприємства, його виживання і процвітання. Структура, прийнята в конкретній формі, визначає організаційну поведінку її працівників, тобто стиль менеджменту і якість роботи колективу.

Сучасний етап розвитку економіки України ставить нові вимоги до побудови операційних структур підприємства. Так, забезпечення широких можливостей для підприємництва зумовлює необхідність наступних змін в операціонній структурі: посилення функцій, зв’язаних з маркетингом; підвищення ролі стратегічного планування на вищих рівнях управління; здійснення системної оцінки керівних кадрів з врахуванням комплексних результатів їх праці;

Слід відмітити,що будь-які зміни зовнішніх чинників призводять до різноманітних змін в самій операційній системі, які можуть мати як позитивні, так і негативні наслідки, а від цього залежить прибутковість підприємства. Тому, операційна система повинна бути пристосована до таких змін і відповідно реагувати з метою забезпечення постійності своєї ефективності.

2. Практична частина

.1 Аналіз структури ОС на українських підприємствах

На сьогоднішній день існує велика проблема виживання вітчизняних підприємств. Негативно впливають на діяльність підприємств зовнішні умови, в яких вони розвиваються: економічне законодавство України є нестабільним, не визначені пріоритети державного регулювання економіки, наявні політичні катаклізми та інші чинники.

Наші підприємства сполучають в собі елементи функціональної та лінійної структури операційної системи.Я вважаю,що нашим підприємствам потрібно перейняти досвід зарубіжних підприємств, які використовують дивізіональну структуру ОС.

Перехід від лінійно-функціональної до дівізіоналиюй структури дозволяє збільшити область поширення партисипативного управління. Під областю поширення в даному випадку розуміється кількість працівників, залучених до такого управління. Вона складається із зон участі - окремих груп працівників усередині організації, об'єднаних власної вузькогрупової метою і неформально беруть участь у її досягненні.

Зона участі не обов'язково охоплює всіх членів групи. Справа в тому, що витрати на партисипативне управління будуть зростати випереджаючими темпами по відношенню до кількості учасників управління, а темпи приросту економічного ефекту, навпаки, будуть знижуватися.

Організація буде прагнути до розширення області участі тоді, коли технологічні процеси в організації складні настільки, що вимагають активної участі як можна більшого числа працівників. Розширити область участі можна наступним чином:

- Збільшивши кількість зон участі, мета організації необхідно декомпозіровать на підцілі, тобто встановитиіндивідуальні цілі для підрозділів. При лінійно-функціональної структурі мети підрозділів встановлюються і коригуються центральним апаратом управління, він же оцінює ступінь їх досягнення. Такий підхід багато в чому обмежує застосування партисипативного управління - його суб'єктивність викликає опір учасників групи.

Виходом може стати використання операційної структури, при якій у встановленні цілей для підрозділів і оцінці їхнього виконання бере участь ринок. Це, однак, не повинно означати повної автономності підрозділів, інакше буде втрачено позитивний ефект від великого масштабу. Тому дивізіональна структура в ряді випадків може виявитися оптимальною - вона дозволяє цілеспрямовано координувати діяльність напівавтономних дивізіонів і при цьому широко використовувати партисипативне управління.

Кожен з дивізіонів має можливість створити всередині себе власну зону участі, ще одна може бути створена всередині підрозділу, що займається координацією.

2.2 Перевірка плану виробництва та реалізації продукції на оптимальність

Перевірка виробничої програми на оптимальність була проведена на прикладі діяльності підприємства ТОВ"Біосфера", основна діяльність якого - це виробництво товарів для дому та персональної гігієни. Проектна потужність підприємства складає 13 тонн нетканого полотна в добу. На підприємстві виробничі процеси здійснюються із застосуванням прогресивних технологічних схем і сучасного устаткування, механізації технологічних процесів, що забезпечують підвищення продуктивності праці і якості випущеної продукції.

Пiдприємство випускає бiльше 100 найменувань товару, в цьому числi вологі серветки-50 найменувань, аксесуари для кухні -40 та 10 найменувань пакетів для сміття.

Значну частку серед покупцiв продукцiї пiдприємства займають супермаркети та приватнi пiдприємцi. Найвагомiшими покупцями продукцiї пiдприємства є: ТОВ "Спар Центр", ТОВ " Рейнфорд", ТОВ "АТБ", ТОВ "ЕВА".

Основним конкурентом пiдприємства є ТОВ "Єрголайн". Сьогодні лідируючу позицію тримає ТОВ " Біосфера", яка випускає 4745 тонн вологих серветок, та 3600 тонн пакетів для сміття у рік. Другим по потужності є ТОВ " Єрголайн", який у рік випускає 3000 тонн серветок та 2795 тонн пакетів.

Перед нами ставиться завдання, чи могло підприємство у звітному періоді отримати прибуток у межах фінансових ресурсів підприємства (повної собівартості). Визначаємо критерії оцінювання ефективної діяльності підприємства менеджменту продажів.Дана задача може бути вирішена з використанням методів лінійного програмування, алгоритм вирішення якого реалізується за допомогою команди "Пошук рішення" в MS Excel.

Для цього нам треба скласти завдання "Економіко-математична модель".

Цільова функція (формула 2.1.):

операційний система виробництво продукція

F = (Ці - Сі) * Vi → max, (2.1)

де і - номер проекту реалізації продукції;кількість проектів

Цi - ціна за і-тим проектом реалізації продукції;

Сi - собівартість за і-тим проектом реалізації продукції;- об`єм реалізації за і-тим проектом реалізації продукції;- загальний прибуток підприємства (цільова функція).

Система обмежень для оптимізаційної задачі складається з наступних умов:

)        Обсяг реалізації по кожній групі продукції не може набувати від’ємного значення: Vі ≥ 0.

)        Умова неперевищення ринкового попиту: Vі ≤ РПі, обсяг реалізації повинен бути менше або дорівнювати ринковому попиту.

)        Умова виконання контрактів: Хі ≥ Крі, якщо підприємство має зобов’язання перед своїми замовниками, то обсяг реалізації продукції має в повному обсязі забезпечити виконання контрактів.

)        Умова обмеженості фінансових ресурсів, які є в наявності у підприємства: ∑Сіі ≤ ФР.

)        Умова обмеженості за виробничим потужностям: ∑, де  - к-тий продукт, - виробнича потужність по к-ому продукту. Підприємство має змогу підвищувати випуск продукції до того моменту, коли будуть резерви виробничої потужності.

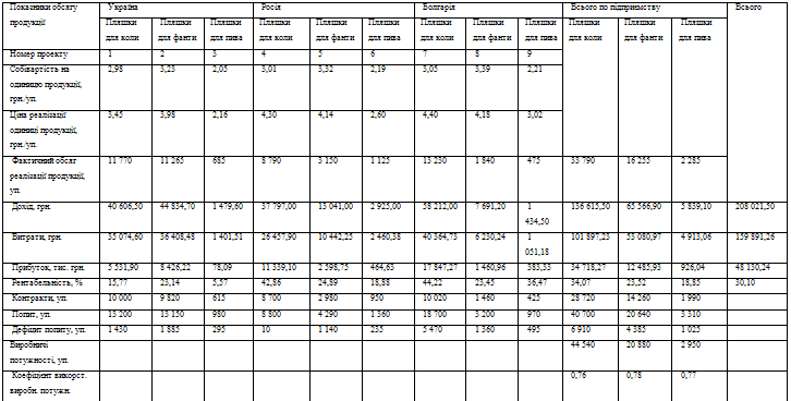
Аналізуючи фактичну програму виробництва та реалізації продукції на підприємстві, маємо такі показники:

·        загальний дохід від реалізації продукції склав 208021,5. грн., в т.ч.:

         Пляшки для коли- 136615,5 грн.;

         Пляшки для фанти - 65566,9 грн.;

         Пляшки для пива - 5839,1 грн.

·        загальні витрати на виробництво-159819,26 грн.;

·        за таких умов отриманий прибуток склав 48130,24 грн.;

·        рентабельність виробництва -30,1%.

Порівнюючи оптимальну і фактичну програму можна зробити висновок, що підприємство в цілому досить ефективно використовує ресурси. Недоотриманий прибуток склав 3 025,02 грн, що є резервом підвищення ефективності також спостерігається збільшення рентабельності на 1,89%. При цьому слід зазначити, що обсяг реалізації таких товарів, як вологі серветки зменшився, оскільки рентабельність даного виду продукції найнижча і становить 5,57%. За рахунок цього, обсяг релаізації інших видів продукції збільшився при тому же обсязі витрат. Можна зробити висновок, що менеджмент підприємтва у звітньому році недостатьо ефективно використав всі наявні ресурси підприємтва для досягнення кінцевої мети підприємтва - отримання максимального прибутку. Рекомендується переглянути товарну стратегію виробу вологих серветок.

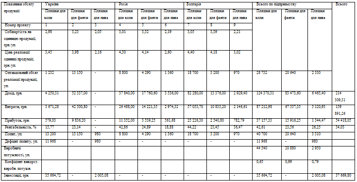
Перевірка виробничої програми на оптимальність показала, що без урахування контрактів прибуток підприємства більше на 6 287,81 грн. порівняно з фактичним, при цьому рентабельність підприємства збільшилася на 3,93%. Підприємство отримає прибуток у розмірі 54 418,05 грн., якщо виключити виробництво позицій вологих серветок та пакетів для сміття в Україні. Хоча це призведе до дефіциту попиту у розмірі 11 968 та 980 шт. відповідно.

Для покриття дефіциту можна залучити інвестиції у розмірі 37 669,8 грн.

Для покриття дефіциту ринку по всім позиціям продукції необхідно інвестувати 36 933,24 грн. Отже, можна зробити висновок, що завдяки залученим інвестиціям прибуток виріс на 5 695,65 грн. Рентабельність у порівнянні із фактом зросла на 0,44%.

Таблиця 2.2 - Показники реалізації виробництва за звітній період



Таблиця 2.3 - Оптимальний план виробництва та реалізації продукції з урахуванням всіх обмежень



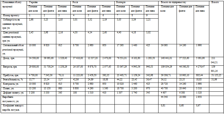
Таблиця 2.4 - Оптимальний план виробництва та реалізації продукції без урахування контрактів



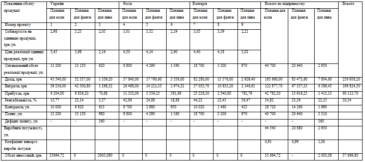
Таблиця 2.7 - Оптимальний план виробництва та реалізації продукції



Висновки

В процесі дослідження теми даного курсового проекту було вивчено та засвоєно структуру операційної системи. В першому розділі роботи було визначено, що операційна система являє собою злагоджений механізм функціонування підприємства, установи чи організації. Структура операційної системи дозволяє підприємству ефективно взаємодіяти із зовнішнім середовищем, продуктивно і доцільно розподіляти і спрямовувати зусилля своїх співробітників і таким чином задовольняти потреби клієнтів і досягати своїх цілей із високою ефективністю.

Оптимізація діяльності підприємства є однією з найважливіших задач. Виробнича програма або план виробництва реалізації продукції визначає потрібний обсяг виробництва продукції в плановому періоді, який відповідає номенклатурою, асортиментом і якістю вимогам плану продажів за найкращого використання ресурсів підприємства та отриманні максимального прибутку.

Перевірка виробничої програми на оптимальність була проведена на основі фактичних даних фінансово-господарської діяльності ТОВ "Біосфера". В результаті дослідження було виявлено, що менеджмент підприємства у звітньому році недостатьо ефективно використав всі наявні ресурси підприємтва для досягнення кінцевої мети підприємтва - отримання максимального прибутку. Рекомендується переглянути товарну стратегію виробів пакетів для сміття та вологих серветок.

Список використаних джерел

1.         Мескон А.Х., Альберт М., Хедоуи Ф. Основы менеджмента: Перевод с англ. - М.:Дело, 1992- 365 с.

.        Перерабатывающая пидсистема операционной системы предприятия [Електр. ресурс] - Режим доступу: http://www.coolreferat.com

4.      Тарнавська Н.П., Пушкар Р.М. Менеджмент: теорія та практика:Підручник для вузів. -Тернопіль:Карт-банш,1997.

.        Електронна бібліотека [Електр.ресурс] - Режим доступу: www.books.efaculty.kiev.ua

.        Гриньова В.М., Салун М.М. Організація виробництва: Навчальний посібник. - ВД „ІНЖЕК", 2005 с. 478 - 509 с.

.        Економіка підприємства:Підручник/За аг. Ред. С.Ф. Покропивного -Вид2-ге.-К.: КНЕУ,2000-279 с

.        Гетьман О.О., Шаповал В.М. Економіка підприємства: Навчальний посібник для студентів вищих навчальних закладів. - Київ, Центр навчальної літератури, 2006. - 488 с.

.        Гэлловей Л. Операционный менеджмент: Принципы и практика. Пер. с нем.: Питер, 2002. - 320 с.

.        Михайловська О.В. "Операційний менеджмент". Навчально-методичний посібник для самостійного вивчення дисципліни. - К. Кондор, 2008 - 550 с.

.        Плоткін Я.Д., Пащенко І.Н. Виробничий менеджмент. - Львів: ІВЦ "ШТЕЛЕКТ+", 1999.- 405c.

.        Капінос, Г. І. Операційний менеджмент: Навч. посібн. Реком. МОНУ для студ. ВНЗ / Г. І. Капінос, І. В. Бабій. - К.: ЦУЛ, 2013. - 352с.

13.    Гевко І.Б. Операційний менеджмент. - К.: Кондор, 2005. - 228 с.

.        Проектування операційної системи [Електр. ресурс] - Режим доступу: http://www.coolreferat.com/

15.    Сотник І. Операційний менеджмент: навч. посібник / Сумський держ. ун-т. - Суми: Видавництво СумДУ, 2007. - 165 c.

16.    Бай С.І., Іванова І.В., Микитенко Н.В. Операційний менеджмент. -- К.: КНТЕУ, 2004. -- 188 с.

17.    Яковенко Е.Г., Басс М.И.,Махров Н.В. Циклы жизни экономических процессов, объектов и систем.-1991-188 с.

.        Гринчуцький, Валерій Іванович. Економіка підприємства: навч. посібник Нав - К.: Центр учбової літератури, 2010. - 304 с.

.        Гриньова В.М., Салун М.М. Організація виробництва: Навчальний посібник. - ВД „ІНЖЕК", 2005 с. 478 - 509 с.

20.    Марков Ю.Г. Функциональный подход в современном научном познании / Ю.Г. Марков. - Новосибирск: Наука, 1982.

21.    Чернявский А.Д. Организация управления: Учеб. пособие. -- К.: МАУП, 1998.

22.    Шморгун, Л. Г.Менеджмент організацій: навч. посібник Издательство: Знання, 2010 г.-492 с.

.        Васильков В.Г. Організація виробництва: Навч. посібник. - К.: КНЕУ, 2003 - 524 с.

.        Воронкова В.Г., Беліченко А.Г., Желябін В.О., Кириченко І.Г., Ажажа М.А. Операційний менеджмент. Навчальний посібник для студентів вищих навчальних закладів. "Магнолія 2006". Львів - 2010, - 438 с.

.        Виробничий менеджмент: Підручник для вузів. 4-е изд. Р. А. Фатхутдінов. - СПб.: Питер, 2003. - 491 с.

.        Білоусова С.М., Бєлоусов А.Г. Маркетинг: Навчальний посібник. - Ростов-на-Дону: "Фенікс", 2006.

27.    Белінський П.І. Менеджмент виробництва та операцій: Підручник. - К.: Центр навчальної літератури, 2005. - 624 с.

.        Гоберман В.А., Гоберман Л.А. Основы производственного менеджмента: Моделирование операций и упр. решений: Учеб. пособие / Гоберман В.А., Гоберман Л.А.. - М.: Юристъ, 2002. - 333 с.

.        Методичні вказівки та вимоги до виконання дипломної роботи студентів освітньо-кваліфікаційного рівня "бакалавр" напряму підготовки 6.030601 "Менеджмент" / В.Я. Швець, О.А. Барабан, О.В. Трифонова, В.В. Ільїнський - М: Державний ВНЗ "НГУ", 2013. - 44 с.

.        Методичні вказівки та вимоги до виконання курсового проекту з дисципліни "Операційний менеджмент" для студентів напряму 6.030601 "Менеджмент"/В.Я. Швець, В.Л. Загорудько - М: Державний ВНЗ "НГУ", 2012. - 23 с.

Похожие работы на - Структура операційної системи: поняття, види, основні напрямки розвитку в сучасних умовах

 

Не нашли материал для своей работы?
Поможем написать уникальную работу
Без плагиата!
Без нейросетей!