Облік і аналіз прибутку від операційної діяльності (на прикладі ВАТ 'Чернівецький емальзавод 'Карпати')
Зміст
Вступ
Розділ I. Теоретико-методологічні основи обліку й аналізу прибутку
від операційної діяльності
1.1 Сутність прибутку як економічної категорії та його види
1.2 Значення та функції прибутку в умовах ринкової економіки
1.3 Огляд літературних джерел з методології та організації обліку й
аналізу прибутку від операційної діяльності
Розділ ІІ. Методика та організація обліку прибутку від операційної
діяльності на ВАТ "Чернівецький емальзавод "Карпати" та шляхи
його удосконалення
2.1 Нормативно-правове забезпечення обліку прибутку від операційної
діяльності
2.2 Організація обліку прибутку від операційної діяльності на
підприємстві
2.3 Методологія обліку доходів, витрат та прибутку від операційної
діяльності підприємства
2.4 Удосконалення методики формування та відображення у фінансовій
звітності прибутку від операційної діяльності
Розділ ІІІ. Аналіз прибутку від операційної діяльності на ват
"чернівецький емальзавод "карпати" та шляхи його удосконалення
3.1 Оцінка методик аналізу фінансових результатів від операційної
діяльності
3.2 Аналіз рівня, динаміки та структури прибутку від операційної
діяльності підприємства
3.3 Факторний аналіз прибутку від операційної діяльності
підприємства
3.4 Удосконалення організації економічного аналізу прибутку від
операційної діяльності на підприємстві
Розділ IV. Охорона праці та безпека в надзвичайних ситуаціях на ват
"Чернівецький емальзавод "Карпати"
4.1 Поняття охорони праці та нормативно-правове забезпечення
охорони та безпеки праці на підприємстві
4.2 Система управління охороною праці на підприємстві
4.3 Аналіз небезпечних та шкідливих факторів умов праці в
організації
4.4 Безпека в надзвичайних ситуаціях на досліджуваному об’єкті
Висновки
Список використаних джерел
Вступ
Актуальність теми. Основу економічного
розвитку підприємства в сучасних ринкових умовах господарювання становить
прибуток, що являє собою грошовий вираз основної частини грошових надходжень,
які створюються підприємствами різних форм власності. Як економічна категорія
він характеризує фінансовий результат підприємницької діяльності.
Дослідження обліку та аналізу прибутку від
операційної діяльності на підприємствах є досить важливим та актуальним,
оскільки саме операційний прибуток, як основна складова загального прибутку є
основним джерелом фінансування розвитку підприємства, удосконалення його
матеріально-технічної бази, забезпечення всіх форм інвестування. Прибуток від
операційної діяльності є показником, який відображає фінансовий результат
діяльності підприємства, забезпечує фінансування розширеного виробництва та
його ефективність, обсяг та кількість виготовленої продукції, стан
продуктивності праці, рівень собівартості, а також з ним пов’язане вирішення
важливих соціальних, економічних, політичних, етичних проблем суспільства на
мікро- й макрорівні.
Слід відзначити і той факт, що операційний
прибуток займає одне з центральних місць у загальній системі вартісних
інструментів управління економікою, оскільки всі вони прямо або опосередковано
пов’язані з прибутком. Це стосується і ціни, кредиту, собівартості та інших
економічних важелів. Зважаючи на це, прибуток є одним із основних об’єктів
управління фінансового менеджменту.
Проведений теоретичний аналіз наукових уявлень та
висвітлення питань методології та організації обліку та аналізу прибутку від
операційної діяльності показав, що вагомий внесок у зазначений напрям
дослідження зробили такі вчені-економісти як: В.Г. Савицька, М.С. Білик, А.Г.
Загородній, Й.М. Петрович, І.О. Будіщева, І.Г. Устінова, С.З. Мошенський, О.В.
Олійник, Т.О. Примак, М.Я. Коробов, Б.М. Литвин, М.В. Стельмах, С.Ф.
Покропивний, А.М. Поддєрьогін, Л.Д. Буряк, Ф.Ф. Бутинець, О.В. Лишиленко, Р.Л.
Хомяк, Т.В. Гладких.
Мета дипломної роботи - на основі узагальнення
теоретико-методологічних та організаційних засад обліку та аналізу фінансових
результатів запропонувати основні шляхи вдосконалення обліку та аналізу
прибутку від операційної діяльності.
Для досягнення даної мети поставлені наступні
завдання:
¾ розглянути
економічну сутність прибутку від операційної діяльності;
¾ дослідити значення,
роль та функції прибутку в умовах ринкової економіки;
¾ провести
критичний огляд літературних джерел з методології й організації обліку та
аналізу прибутку від операційної діяльності;
¾ розглянути
законодавчі та нормативні документи щодо обліку та аналізу прибутку від
операційної діяльності;
¾ ознайомитись із
організацією обліку на досліджуваному підприємстві;
¾ розглянути
методику обліку формування прибутку від операційної діяльності на
досліджуваному підприємстві;
¾ здійснити оцінку
існуючих методик аналізу фінансових результатів від операційної діяльності;
¾ здійснити аналіз
та оцінку рівня, динаміки та структури показників операційного прибутку;
¾ провести
факторний аналіз прибутку від операційної діяльності досліджуваного
підприємства;
¾ запропонувати
шляхи покращення системи обліку та аналізу прибутку від операційної діяльності
на досліджуваному підприємстві;
¾ сформувати
конкретні висновки за результатами дослідження.
прибуток операційна облік структура
Об’єктом дослідження є операційна
діяльність та стан бухгалтерського обліку та аналізу прибутку від операційної
діяльності ВАТ "Чернівецький емальзавод "Карпати".
Предметом дослідження є сукупність
теоретико-методологічних, організаційних та практичних питань бухгалтерського
обліку та аналізу прибутку від операційної діяльності.
Методи дослідження. У дипломній роботі
використовувались такі методи як системний аналіз - для деталізації і
розчленування об’єкта дослідження на окремі важливі складові елементи;
конкретизація - для обґрунтування змісту форм облікового забезпечення;
дослідження документів та реєстрів обліку за формою та змістом - для виявлення
їх відповідності щодо адекватності вимогам стандартів; групування - для
визначення залежностей одних показників від інших; горизонтальний і вертикальний
аналіз - для визначення зміни та питомої ваги кожного окремого показника в
загальному результаті; конструктивний метод - для групування пропозицій щодо
обліку та аналізу прибутку від операційної діяльності; порівняння - для
зіставлення планових та фактичних даних щодо величини прибутку у динаміці;
середніх і відносних величин - для глибшого розуміння сутності і причини
відхилення від запланованого рівня.
Основним принципом при написанні курсової роботи
є системний підхід до узагальнення економічної інформації у відповідності з
поставленими завданнями.
Інформаційною базою наукового дослідження
слугують законодавчі й нормативні документи з питань бухгалтерського обліку та
аналізу прибутку від операційної діяльності, наукові праці вітчизняних і
зарубіжних учених з цих питань, періодичні видання з питань економіки,
бухгалтерського обліку й аналізу. Також була використана фінансова звітність та
документи первинного, аналітичного і синтетичного обліку.
Дослідження проводяться на основі матеріалів ВАТ
"Чернівецький емальзавод "Карпати".
Удосконалено:
¾ порядок
відображення доходів від реалізації в системі рахунків бухгалтерського обліку;
¾ методику
формування та відображення у Звіті про фінансові результати прибутку від
операційної діяльності;
¾ організацію аналізу
фінансових результатів на досліджуваному об’єкті. Запропоновано впровадити на
ВАТ "Чернівецький емальзавод "Карпати" посаду фінансового
аналітика для проведення економічного аналізу в цілому та аналізу прибутку від
операційної діяльності в тому числі, впровадити в практику економічного аналізу
підприємства розроблений "Тематичний план аналітичних робіт", а також
запропоновано загальну організаційну модель проведення аналізу прибутку від
операційної діяльності.
Практичне значення
одержаних результатів полягає у розробці рекомендацій з удосконалення
організації економічного аналізу та методики бухгалтерського обліку прибутку
від операційної діяльності для відображення його результатів у фінансовій
звітності. Основні теоретичні та прикладні розробки впроваджено у практичну
діяльність ВАТ "Чернівецький емальзавод "Карпати".
Структура дипломної роботи. Дипломна робота
складається зі вступу, чотирьох розділів, висновків, списку літератури,
додатків і включає 21 таблицю та 18 рисунків. Повний обсяг роботи 128 сторінок
комп’ютерного тексту. Список використаної літератури складається з 111
найменувань на 10 сторінках.
Розділ
I. Теоретико-методологічні основи обліку й аналізу прибутку від операційної
діяльності
1.1
Сутність прибутку як економічної категорії та його види
Здійснення господарської діяльності підприємства
передбачає ефективне поєднання великої кількості організаційних, трудових,
матеріальних, фінансових та інших ресурсів. Успішність таких дій вимірюється
шляхом співставлення отриманого результату з витратами, понесеними для його
досягнення. Результат господарської діяльності може мати дві форми прояву:
позитивний і негативний. Результат виробничої діяльності суб’єктів
господарювання, що виражається у вартісній (грошовій) формі, є фінансовим
результатом [33, с.9]. Фінансовий результат є узагальнюючим показником, який
характеризує ефективність діяльності суб’єкта господарювання. Фінансовим
результатом діяльності підприємства у звітному періоді може бути прибуток або
збиток.
Головною метою створення та подальшого розвитку
будь-якого суб'єкту господарської діяльності, незалежно від виду його
діяльності чи форми власності, є отримання саме позитивного кінцевого
фінансового результату, тобто прибутку. Таким чином, фінансовий результат є
одним із найважливіших економічних показників, який узагальнює усі результати
господарської діяльності та надає комплексну оцінку ефективності цієї
діяльності [46, с.57].
Прибуток є центральною категорією в економіці
кожного підприємства, а тому навколо цього питання завжди точилися дискусії як
серед економістів, так і серед бухгалтерів. Проблема визначення терміна
"прибуток" належить до найскладніших, важких і виключно гострих
проблем економічної теорії та бухгалтерської практики. Термін
"прибуток" витримав найзапеклішу полеміку в політекономії. Спочатку
стверджувалось, що прибуток є категорією виключно капіталізму. Пізніше вчені
дійшли висновку, що прибуток - необхідна умова успішного ведення господарства
[55, с. 198].
Прибуток - найпростіша і одночасно найскладніша
категорія ринкової економіки. Її простота визначається тим, що вона є стержнем
і головною рушійною силою економіки ринкового типу, основним спонукальним
мотивом діяльності підприємців у цій економіці. У той же час її складність
визначається різноманіттям сутнісних сторін, які вона відображає, а також
різноманіттям видів, у яких вона виступає [63, с.14].
Поняття прибутку в
економічній системі існує у зв'язку з наявністю товарно-грошових відносин,
появою і розвитком інституту власності, особливо приватної. Перші визначення
прибутку збігалися зі значенням валового доходу, який за індивідуалістичною
системою розподілу поділявся на три категорії: доходи від капіталу, землі та
доходи від праці. Вважалося, що кожен із видів доходів є обов'язковою
винагородою для одержувача за надані ним послуги у народному господарстві [68,
с.33].
Розглядаючи сутність
прибутку потрібно в першу чергу відзначити такі його характеристики:
. Прибуток являє
собою форму доходу підприємця, що здійснює певний вид діяльності. Ця зовнішня
форма вираження прибутку є разом з тим недостатньою для його повної
характеристики, тому що в низці випадків активна діяльність у будь-якій сфері
може і не бути пов’язаною із одержанням прибутку.
2. Прибуток є формою
доходу підприємця, що вклав свій капітал з метою досягнення певного
комерційного успіху. Категорія прибутку нерозривно пов’язана із категорією
капіталу - особливим фактором виробництва - й в усередненому вигляді
характеризує ціну функціонуючого капіталу.
. Прибуток не є
гарантованим доходом підприємця, що вклав свій капітал у той чи інший вид
бізнесу. Він є результатом тільки вмілого здійснення цього бізнесу.
. Прибуток
характеризує не весь дохід отриманий в результаті підприємницької діяльності, а
тільки ту частину доходу, яка очищена від понесених витрат на здійснення цієї
діяльності. Іншими словами у кількісному вираженні прибуток є залишковим
показником, що представляє собою різницю між сукупними доходами і сукупними
витратами в процесі здійснення підприємницької діяльності.
. Прибуток є
вартісним показником вираженим у грошовій формі. Така форма оцінки прибутку
пов’язана із практикою узагальненого вартісного обліку всіх пов’язаних з ним
основних показників - вкладеного капіталу, отриманого доходу, понесених витрат,
а також з діючим порядком податкового його регулювання [72, с.88].
Сучасні економісти,
розвивають теорії прибутку, пристосовуючи їх до нових умов господарювання. В
економічній науці ХХ ст. сформувалися такі основні теорії прибутку [73, с.329]:
. Теорія
"продуктивності капіталу", згідно з якою прибуток - дохід капіталу,
який є основним чинником будь-якого виробництва;
. Теорія
"утримання", тобто прибуток - це винагорода за ризик від інвестованих
у виробництво засобів;
. Теорія, яка визначає
прибуток як "трудовий дохід" підприємницької діяльності в усіх її
видах;
. Теорія, в якій прибуток
є результатом існування монополії - покупець повинен купувати товар (послуги)
монополіста, що забезпечує йому найвищий прибуток.
Такі вчені як А. Сміт і
Д. Рікардо виокремили поняття прибутку в особливу економічну категорію, яку
досліджували у тісному зв'язку із процесом накопичення капіталу [91, с.107].
У різні часи А. Сміт
трактував прибуток як:
) закономірний результат
продуктивності капіталу;
) винагороду
капіталістові за його діяльність і ризик;
) вирахування з частини
неоплаченої праці найманого робітника.
Прибуток за Карлом
Марксом - це перетворена форма додаткової вартості, результат відношення між
необхідним і додатковим робочим часом [103, с.109].
Е.С. Хендріксен та М.В.
Ван Бред вказують на те, що прибуток - це надлишок після підтримки
матеріального добробуту фірми на досягнутому рівні, визначеному на початок та
кінець звітного періоду, до його використання чи розподілу [28, с.154].
П.А. Семюелсон та В.Д.
Нордгауз визначали прибуток як чистий дохід, або різницю між сумою продажу та
величиною витрат [86, с.75].
Розвиток ринкових
відносин потребує нових підходів до управління формуванням прибутку, і тому не
дивно, що у сучасних умовах серед вітчизняних та зарубіжних вчених існують
різні точки зору на це поняття.
Такі вчені як Б.М. Литвин та М.В. Стельмах
стверджують: "Прибуток є основним джерелом фінансування витрат на
виробничий та соціальний розвиток підприємства, найважливішим джерелом
формування державного бюджету" [66, с.138].
Заслуговує на увагу визначення поняття
"прибуток", яке дає С.Ф. Покропивний: "Прибуток - це кінцевий
фінансовий результат діяльності підприємства, що являє собою різницю між
загальною сумою доходів і витрат на виробництво і реалізацію продукції [109,
с.278]. При цьому автор констатує той факт, що підприємство одержує прибуток
після того, як втілена у створеному продукті вартість буде реалізована і набуде
грошової форми.
А.М. Поддєрьогін, М.Д. Білик та Л.Д. Буряк
трактують прибуток як грошовий вираз частини вартості додаткового продукту, частина
заново створеної вартості, виробленої та реалізованої [79, с.218].
Як систему економічних відносин між підприємцями
і найманими працівниками щодо виробництва, розподілу та привласнення створеної
додаткової вартості, яка відображається у вигляді надлишку над витратами
вкладеного капіталу прибуток характеризує П.Я. Попович [81, с.89].
Потрібно зазначити, що
передусім прибуток - це частина грошових накопичень, що створюється
підприємством будь-якої форми власності. Тому М.Я. Коробов вважає, що прибуток підприємства
- це взагалі єдина форма його грошових накопичень [99, с.97].
Таким чином,
наголошується на важливості процесу реалізації виробленого продукту за кошти. У
публікаціях останніх років І.О. Бланк одним із перших в Україні використовує
поняття співвідношення ризику і доходу у своєму визначенні прибутку. На думку
вченого, прибуток - це втілений у грошовій формі чистий дохід підприємця на
вкладений капітал, що характеризує його винагороду за ризик здійснення
підприємницької діяльності та є різницею між сукупним доходом і сукупними
витратами [102, с.11].
Одні економісти віддають
безумовний пріоритет прибутку як цілі функціонування виробничого підприємства,
підкреслюючи, що він є "найвищою метою підприємницької діяльності",
інші вважають, що таким пріоритетом є забезпечення зростання добробуту
власників підприємства і прибуток є лише важливою умовою розв'язання цього
завдання. Деякі навіть стверджують, що основна мета діяльності підприємства -
зробити максимальний внесок, на який воно здатне, в благоустрій суспільства.
Проте між наведеними твердженнями немає суттєвих суперечностей, вони
розглядають категорію прибутку як головну мету діяльності підприємств, лише з
різним ступенем узагальнення.
Слід зазначити, що у
фінансовому менеджменті розрізняють поняття економічного та бухгалтерського
прибутку підприємства. Поняття економічного прибутку визначає прибуток як
"чисті грошові потоки та зміни вартості активів компанії" [88,
с.176]. Таке трактування прибутку узагальнює кінцеву віддачу на інвестований
капітал в усіх її формах. Поняття бухгалтерського прибутку більш вузьке - воно
визначається сумою перевищення отримуваних підприємством доходів над його
витратами. Якщо перше поняття прибутку використовується в практиці оцінки
ефективності інвестиційної діяльності підприємства, то друге дає змогу оцінити
цю ефективність за його операційною діяльністю [25, с.148].
В найбільш узагальненому
вигляді прибуток являє собою виражений у грошовій формі чистий дохід підприємця
на вкладений капітал, що характеризує його винагороду за ризик здійснення
підприємницької діяльності, що представляє собою різницю між сукупним доходом
та сукупними витратами в процесі здійснення цієї діяльності. Таким чином,
прибуток як економічна категорія відображає кінцеву грошову оцінку роботи підприємства
та є найважливішим показником фінансових результатів підприємницьких структур,
їх фінансового стану. Прибуток на підприємстві виникає в розрізі різних видів
діяльності. Під видом діяльності розуміють сукупність подібних за економічним
змістом господарських операцій [35, с.456]. Розрізняють наступні види
діяльності підприємства (рис.1.1.).
Рис.1.1 Класифікація
видів діяльності підприємства [85, с.516]
Під звичайною діяльністю розуміють будь-яку
основну діяльність підприємства, а також операції, які її забезпечують або
виникають внаслідок здійснення такої діяльності. До надзвичайних подій
відносять такі операції або події, які відрізняються від звичайної діяльності,
та не очікується, що вони повторюватимуться періодично або в кожному наступному
звітному періоді.
Звичайна діяльність, у
свою чергу, поділяється на операційну та іншу звичайну діяльність (фінансову та
інвестиційну). Операційна діяльність - це основна діяльність підприємства, а
також інші види діяльності, що не є інвестиційною або фінансовою діяльністю.
До основної діяльності
належать операції, пов'язані з виробництвом або реалізацією продукції (товарів,
робіт, послуг), що є головною метою створення підприємства, і забезпечують
основну частку його доходу. Інша операційна діяльність включає реалізацію
іноземної валюти, інших оборотних активів, операційну оренду активів, отримання
доходів або донесення витрат від операційної курсової різниці.
Інша діяльність
підприємства поділяється на інвестиційну та фінансову. Інвестиційною діяльністю
вважається придбання необоротних активів, а також і реалізація тих фінансових
інвестицій, які не є складовою еквівалентів грошових коштів. Під фінансовою
діяльністю розуміють діяльність, яка призводить до змін розміру власного та
позикового капіталу підприємства.
Прибуток займає одне з
центральних місць у загальній системі вартісних інструментів управління
економікою, оскільки всі вони прямо або опосередковано пов’язані з прибутком.
Прибуток є одним з основних об’єктів управління фінансового менеджменту, тому
важливо визначити види прибутку [24, с.145].
Класифікацію видів
прибутку наведено на рис.1.2.
Найбільшу частку в загальному прибутку займає
прибуток від операційної діяльності. Прибуток від операційної діяльності -
алгебраїчна сума валового прибутку, іншого операційного доходу,
адміністративних витрат, витрат на збут та інших операційних витрат [50, с.79].
Для вітчизняних підприємств важливим є
розмежування результатів їхньої операційної діяльності з виділенням результатів
основної (виробничо-збутової) діяльності та результатів іншої операційної
діяльності. Обґрунтуванням такого твердження є той факт, що основним джерелом
отримання прибутку більшості підприємств є реалізація продукції (товарів,
робіт, послуг). Прибуток від основної діяльності визначається як різниця
чистого доходу та собівартості реалізованої продукції (товарів, робіт, послуг),
адміністративних витрат і витрат на збут. Собівартість реалізованої продукції
(товарів, робіт, послуг) підприємств, які застосовують нормативний метод обліку
витрат, повинна бути скоригована на суму позитивних чи негативних відхилень
фактичних виробничих витрат від нормативних, що забезпечить точніше визначення
фінансового результату їхньої операційної діяльності [39, с.14].
Рис. 1.2 Класифікація видів прибутку [85, с.513]
Операційний фінансовий результат - це синтетичний
показник, який формується шляхом додавання результату основної діяльності та
результату іншої операційної діяльності. Останній, в свою чергу, визначається
як різниця інших операційних доходів і витрат [43, с.153]. Розглянемо схему
формування прибутку від операційної діяльності на рис.1.3.
Рис.1.3 Модель формування прибутку від
операційної діяльності
Прибуток, в тому числі і прибуток від операційної
діяльності не є сталою величиною, його розмір зумовлено багатьма чинниками. На
величина прибутку впливають як зовнішні, так і внутрішні фактори. Різноманіття
факторів, що впливають на прибуток, вимагає їхньої класифікації, що у той же
час має важливе значення для визначення основних напрямків пошуку резервів
підвищення ефективності господарювання [48, с.225].
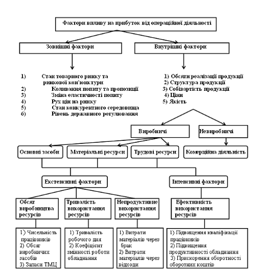
Систему факторів впливу на прибуток від
операційної діяльності наведено на рис.1.4.
Фактори, що впливають на прибуток, можуть
класифікуватися по різних ознаках. Так, виділяють зовнішні та внутрішні фактори
формування прибутку. До внутрішніх відносяться фактори, які залежать від
діяльності самого підприємства й характеризують різні сторони його роботи. До
зовнішніх факторів відносять фактори, які не залежать від діяльності самого
підприємства, але деякі з них можуть впливати на темпи зростання прибутку та
рентабельності виробництва [60, с.215].
Рис.1.4 Фактори впливу на величину прибутку від
операційної діяльності
У свою чергу внутрішні фактори поділяються на
виробничі та невиробничі. Невиробничі фактори пов'язані в основному з
комерційними, природоохоронними й іншими аналогічними видами діяльності
підприємства, а виробничі фактори відбивають наявність і використання основних
елементів виробничого процесу, що беруть участь у формуванні прибутку (засоби
праці, предмети праці й сама праця). По кожному із цих елементів виділяються
групи інтенсивних та екстенсивних факторів.
До екстенсивних відносяться фактори, які
відбивають обсяг виробничих ресурсів (наприклад, зміни чисельності працівників,
вартості основних засобів), їхнього використання за часом (зміна тривалості
робочого дня, коефіцієнта змінності устаткування), а також невиробниче
використання ресурсів (витрати матеріалів на виробництво, втрати через
відходи). До інтенсивних відносяться фактори, що відбивають ефективність
використання ресурсів (наприклад, підвищення кваліфікації працівників,
продуктивності устаткування, впровадження прогресивних технологій) [64, с.17].
У процесі здійснення виробничої діяльності
підприємства, пов'язаної з виробництвом, реалізацією продукції й одержанням
прибутку, ці фактори перебувають у тісному взаємозв'язку й залежності. Таким
чином, можна зробити висновок, що ті самі елементи процесу виробництва (засоби
праці, предмети праці й праця), розглядаються, з одного боку, як основні
первинні фактори збільшення обсягу продукції, а з іншого боку - як основні
первинні фактори, що визначають витрати виробництва. Оскільки прибуток являє
собою різницю між обсягом виробленої продукції і її собівартістю, то її
величина й темпи росту залежать від тих же трьох первинних факторів
виробництва, які впливають на прибуток через систему показників обсягу продукції
й витрат виробництва.
1.2
Значення та функції прибутку в умовах ринкової економіки
У той час як більшість економістів не прийшли до
однакової думки про природу прибутку та вважають її економічною категорією, що
важко піддається точному визначенню, то для більшості практиків значення
прибутку дуже просте. Це визначається тим, що саме прибуток є стрижнем і
головною рушійною силою економіки ринкового типу, основним спонукальним мотивом
діяльності підприємців в умовах ринку, певним гарантом прогресу економічної
системи, а відсутність прибутку - яскравий доказ регресу й соціальної
напруженості [97, с.155]. Вважається, що прибуток є основним джерелом
фінансових ресурсів на мікро- і макрорівні. А значення прибутку як показника,
який найбільш повно відображає ефективність виробництва, обсяг та якість
виробленої продукції, рівень продуктивності праці, динаміку рівня собівартості
та характеризує інтенсифікацію виробництва за будь-якої форми власності, э
досить багатогранним й важко оцінюваним [92, с.376].
Об'єктом економічних інтересів держави є частина
прибутку, яка сплачується у вигляді податків та обов'язкових платежів.
Економічний інтерес підприємства знаходить своє узагальнення в обсязі прибутку,
який залишається в розпорядженні підприємства і використовується для вирішення
виробничих і соціальних завдань його розвитку [49, с.24]. Економічний інтерес
працівників підприємства пов'язаний, передусім, з розміром прибутку, який
спрямовується на матеріальне заохочення, соціальні виплати та соціальний
розвиток. Власника підприємства цікавить, насамперед, розмір фондів виплати
дивідендів, а отже - та частина прибутку, котра пов'язана з виробничим
розвитком, а відповідно приростом капіталу підприємства. У зв'язку з тим, що
прибуток є єдиним джерелом реалізації економічних інтересів всіх перерахованих
сторін, жодна з них не може мати пріоритетів в задоволенні, оскільки це
призведе до ущемлення інтересів інших сторін. Наприклад, надмірні податки з
прибутку підприємства знижують економічну зацікавленість підприємства в збільшенні,
що призводить до зменшень надходжень в бюджет [94, с.247].
Значення прибутку в умовах ринкової економіки
можна сформулювати в контексті таких поглядів провідних вчених-економістів:
o Прибуток створює
базу економічного розвитку суспільства в цілому. Механізм перерозподілу
прибутку підприємства через податкову систему дає змогу "наповнювати"
дохідну частину державних бюджетів всіх рівнів, що дає змогу державі успішно
виконувати покладені на неї функції і реалізовувати намічені програми розвитку
економіки [104, с.93].
o Прибуток
підприємства є критерієм ефективності операційної діяльності підприємства.
Індивідуальний рівень прибутку підприємства порівняно з галузевим характеризує
ступінь вміння менеджерів ефективно здійснювати господарську діяльність.
Середньогалузевий рівень прибутку підприємств є основним регулятором
"переливу капіталу" в галузі з більш ефективним його використанням.
При цьому капітал переміщується в ті сегменти ринку, які характеризуються
значним обсягом незадоволеного попиту, що сприяє задоволенню суспільних та
особистих потреб [107, с.18].
o Прибуток є
основним внутрішнім джерелом формування фінансових ресурсів підприємства, які
забезпечують його розвиток. Чим вищий рівень прибутку, тим менша потреба в
залученні коштів із зовнішніх джерел, і тим вищий рівень самофінансування
розвитку підприємства, забезпечення реалізації стратегічних цілей, підвищення
конкурентної позиції підприємства на ринку. При цьому, на відміну від деяких
внутрішніх джерел формування фінансових ресурсів підприємства, прибуток є таким
джерелом, яке постійно відтворюється.
o Прибуток є
головним джерелом зростання вартості підприємства. Здатність самозростання
вартості капіталу забезпечується шляхом капіталізації частини отриманого
підприємством прибутку, тобто його спрямованість на приріст активів
підприємства. Чим вища сума і рівень капіталізації отриманого прибутку, тим
більшою мірою зростає вартість його чистих активів, а відповідно і ринкова
вартість підприємства в цілому [106, с.57].
o Прибуток
підприємства є важливим джерелом задоволення соціальних потреб суспільства.
Соціальне значення прибутку проявляється, насамперед, в тому, що засоби, які
перераховуються в бюджет різних рівнів в процесі оподаткування прибутку, є
джерелом реалізації різних загальнодержавних і місцевих соціальних програм, які
забезпечують "виживання" окремих соціально-незахищених членів
суспільства. Крім того, це значення проявляється в задоволенні за рахунок
отриманого прибутку підприємства соціальних потреб його персоналу. Соціальне
значення прибутку проявляється також в тому, що він є джерелом зовнішньої
благодійницької діяльності підприємства, спрямованої на фінансування окремих
неприбуткових організацій, установ соціальної сфери, наданням матеріальної
допомоги окремим категоріям громадян [36, с.234].
o Прибуток є
основним захисним механізмом, який захищає підприємство від загрози
банкрутства. Хоча загроза банкрутства існує і в умовах прибуткової діяльності
підприємства, але підприємство набагато швидше виходить з кризового стану при
високому потенціалі генерування прибутку. За рахунок капіталізації отриманого
прибутку може бути швидко збільшена частка високоліквідних активів, тобто
відновлена платоспроможність; збільшена частка власного капіталу при
відповідному зниженні обсягу залучених засобів, тобто підвищена фінансова
стійкість; сформовані відповідні фінансові резерви.
Характеризуючи значення прибутку в ринковій
економіці, необхідно зазначити, що деякі економісти вважають, що таке значення
не завжди є позитивним, оскільки окремі види прибутку є джерелом тільки
особистого збагачення окремих категорій громадян і не приносять користі для
суспільства в цілому. Це стосується таких видів прибутку, як прибуток,
отриманий від спекулятивних комерційних операцій, від невиправдано високих цін
на товари чи послуги в зв'язку з монопольним становищем на ринку, від
"тіньової" діяльності підприємства [95, с.17].
Виходячи із вище викладеного, прибуток як
економічний показник дає змогу поєднувати економічні інтереси держави,
підприємства, як господарюючого суб'єкта, працівників і власників підприємства.
Вирішення цього завдання, насамперед, пов'язане з пропорціями в розподілі та
використанні прибутку [71, с.125].
У конкурентній ринковій економіці прибуток
виконує ряд функцій:
· розвитку виробництва,
оскільки частина прибутку знову вкладається в розширення та становлення
виробництва, підготовку і перепідготовку кадрів, преміювання працівників, тощо;
· стимулу виробництва,
оскільки прибуток спонукає підприємця до пошуку нових, нетрадиційних рішень у
виробництві та реалізації продукції;
· орієнтира доцільного
розподілу ресурсів, оскільки прибуток показує, яку галузь слід розвивати, а яку
- скорочувати як неконкурентоспроможну.
Дослідження підходів науковців до функцій
прибутку, дозволяє зробити висновок, що домінуючою є позиція, що прибуток
виконує оціночну, стимулюючу та розподільчу функції [44, с.259].
Сутність оціночної функції полягає в тому, що
прибуток є основним показником та критерієм ефективності діяльності суб’єктів
господарювання. Одним із основних факторів належного виконання прибутком цієї
функції є: формування системою бухгалтерського обліку повної та достовірної
інформації про здійсненні у звітному періоді операції; встановлення в ході
здійснення контрольних дій законності та доцільності операцій з формування
прибутку, раціональності використання майна власників [23, с.45].
Стимулююча функція ґрунтується на тому, що
прибуток як результат діяльності, слугує стимулом для управлінського персоналу
та працюючих підприємства здійснювати свою діяльність з найвищою ефективністю,
що дозволить забезпечити стабільне отримання винагороди за вкладену працю та
(або) прийняти участь у розподілі отриманого прибутку. Реалізація стимулюючої
функції передбачає вибір та затвердження таких напрямів розподілу прибутку, які
б забезпечували можливість створення та подальшого використання фонду
споживання за напрямом матеріального стимулювання працюючих в оптимальній
пропорції з фондом накопичення. Завдання, яке стоїть перед системою
бухгалтерського обліку для забезпечення належного виконання названої функції,
полягає у вартісному вимірі результатів роботи управлінського персоналу по
досягненню поставленої мети діяльності. Практика діяльності переважної
більшості суб’єктів господарювання свідчить про те, що в існуючих умовах господарювання
виконання прибутком стимулюючої функції нівелюється через небажання власників
"ділитися" прибутком з тими, хто його створює. Аналогічна ситуація
спостерігається і з таким джерелом формування прибутку як людський капітал
представлений у вигляді підприємницьких та організаторських здібностей
працюючих, який виступає головним ресурсом діяльності підприємств та від якого
залежить прибутковість діяльності. Враховуючи домінуючу роль інтелектуального
капіталу у формуванні прибутку доцільним є його розподіл за напрямом
стимулювання найманих працівників, які генерують ефективні управлінські
рішення, що позитивно вплине як на продуктивність їх праці так і на загальний
фінансовий результат діяльності суб’єкта господарювання [67, с.118].
Розподільча функція реалізується шляхом
використання прибутку в якості джерела формування дохідної частини бюджетів
усіх рівнів починаючи з державного бюджету, через розподіл прибутку у вигляді
податку на прибуток, закінчуючи бюджетом окремого структурного підрозділу підприємства.
Для реалізації цієї функції обліковий персонал суб’єкта господарювання
покликаний забезпечити належний облік за напрямами використання прибутку та
контроль за фактичним використанням прибутку. При цьому вагомого значення
набуває необхідність налагодження оберненого зв’язку між управлінським
персоналом та бухгалтерською службою в частині прийняття управлінського рішення
щодо напрямів розподілу та використання прибутку -
відображення в бухгалтерському обліку результатів
прийнятих рішень - надання інформації управлінському персоналу про розподіл та
використання прибутку - здійснення управлінським персоналом наступного контролю
за повнотою та достовірністю облікових даних [37, с.241].
Розглядаючи функції прибутку з позиції їх
реалізації для досягнення економічного розвитку суб’єктів господарювання,
доцільним є виділення соціальної функції, яка передбачає виконання
підприємством програм соціального захисту працюючих та суспільства в цілому. В
науковій літературі часто зміст соціальної функції пов’язують зі стимулюючою
функцією, хоча вони мають різну направленість, що проявляється у виконанні
різних завдань. Так, стимулююча функція спрямована на оцінку вкладу кожного
працюючого в досягнення запланованих результатів, в той час як соціальна
функція передбачає створення системи захисту працюючих та суспільства для
виконання покладених на них виробничих функції. Відповідно основне завдання
управління прибутком в рамках виконання соціальної функції полягає в
гармонізації інтересів власників, держави та найманого персоналу щодо розподілу
прибутку та визначення пріоритетних напрямів його використання.
Соціальна функція прибутку знаходиться у
нерозривному зв’язку з регулюючою функцією оскільки спрямування прибутку до
бюджетів різних рівнів сприяє реалізації різних загальнодержавних і
регіональних соціальних програм [93, с.146].
Таким чином, налагодження на підприємстві системи
формування та управління прибутком, яка спрямована на реалізацію оціночної,
розподільчої та стимулюючої функції прибутку дозволить забезпечити економічний
розвиток підприємства в частині зростання продуктивності праці та економічного
зростання кожного суб’єкта господарювання шляхом підвищення ефективності та
відповідальності кожного працюючого та окремого структурного підрозділу за
результати діяльності. Виконання прибутком соціальної функції виступає
запорукою добробуту не лише власників, працівників, суспільства, а й соціальної
відповідальності бізнесу в цілому. Завдання бухгалтерського обліку в реалізації
функцій прибутку полягає в забезпеченні користувачів через систему зовнішньої
та внутрішньої звітності достовірною інформацією про процеси, що відбуваються
на підприємстві.
1.3
Огляд літературних джерел з методології та організації обліку й аналізу
прибутку від операційної діяльності
Проведений теоретичний аналіз наукових уявлень та
висвітлення питань методології та організації обліку та аналізу прибутку від
операційної діяльності показав, що вагомий внесок у зазначений напрям
дослідження зробили такі вчені економісти як: В.Г. Савицька, М.С. Білик, А.Г.
Загородній, Й.М. Петрович, І.О. Будіщева, І.Г. Устінова, С.З. Мошенський, О.В.
Олійник, Т.О. Примак, М.Я. Коробов, Б.М. Литвин, М.В. Стельмах, С.Ф.
Покропивний, А.М. Поддєрьогін, Л.Д. Буряк, Ф.Ф. Бутинець, О.В. Лишиленко, Р.Л.
Хомяк, Т.В. Гладких.
Зазначеними вченими було сформульовано поняття
категорії "прибуток" у контексті як економічної так і облікової
категорії. Автори звертають увагу у своїх дослідженнях на необхідність
постійного пошуку шляхів максимізації прибутку особливо в умовах ринкових
важелів управління. У сучасних наукових працях вчені-економісти постійно
підкреслюють той факт, що якісний процес формування, розподілу та використання
прибутку вітчизняних підприємств, перш за все, залежить від правильного
розуміння і трактування категорії "прибуток".
Вчені-економісти розрізняють поняття економічного
та бухгалтерського прибутку. Зарубіжні вчені у більшості випадків розглядають
економічний прибуток. З цього приводу висловлюються у своїй праці В.М.
Гринькова та В.О. Коюда, які зауважують, що прибуток, обчислений у
бухгалтерському обліку, не відображає дійсного результату господарської
діяльності. Вітчизняні дослідники звертають увагу на те, що бухгалтерський
прибуток є результатом реалізації товарів і послуг, а економічний прибуток - результатом
роботи капіталу [72, с.93].
Багато вчених приділяють увагу визначенню та
формуванню саме прибутку від операційної діяльності, оскільки даний прибуток
займає левову частку в загальному прибутку більшості підприємств.
Такі економісти як М.А. Болюх, В.З. Бурчевський,
М.І. Горбатюк розглядають прибуток від операційної діяльності як перевищення
валового прибутку та іншого операційного доходу над операційними витратами
(адміністративними витратами, витратами на збут, іншими операційними витратами)
[47, с.293].
На думку Ю.Б. Кашубіної прибуток від операційної
діяльності визначається як сукупний обсяг прибутку від реалізації продукції й
прибутку від іншої операційної діяльності [55, с. 197].
Вчений В.Г. Швець стверджує, що: "Прибуток
від операційної діяльності це різниця між загальним доходом (валовим виторгом)
підприємства від реалізації продукції та сукупними витратами на її
виробництво" [108, с.284].
Г.Б. Назарова у своїх наукових працях приділяє
багато уваги прибутку від операційної діяльності, який на її думку, являє собою
сукупний обсяг прибутку від реалізації продукції й прибутку від інших операцій,
що не відносяться до інвестиційної або фінансової діяльності [73, с.328].
Такого ж твердження дотримуються і більшість вітчизняних науковців.
Н.В. Чебанова, Т.І. Єфіменко у своїх роботах із
фінансового обліку розглядають операційний прибуток як прибуток від основної
діяльності підприємства, тобто від виробництва і реалізації продукції, послуг
та робіт [101, с.473].
На думку Т.О. Примак, операційний прибуток підприємства
в загальному значенні являє собою частину виторгу, яка залишається після
відшкодування всіх витрат на виробничу і комерційну діяльність підприємства
[68, с.37].
З практичної діяльності підприємств більшість
науковців стверджують, що саме прибуток є основним джерелом забезпечення
власників підприємств, розширення і модернізації виробництва, а також виступає
джерелом фінансування соціально-економічних програм. У зв’язку з цим можна
стверджувати, що відповідно до бухгалтерського обліку прибуток разом з іншими
надходженнями включають до джерел власних економічних ресурсів підприємства.
Разом з тим здійснення екскурсу в економічну
наукову літературу свідчить про ряд праць, присвячених саме методології та
організації обліку та аналізу прибутку від операційної діяльності. Такі
науковці, як O.I. Коблянська та О.В. Лишиленко зазначають, що завдання
раціональної організації аналітичного обліку фінансових результатів від
операційної діяльності на кожному підприємстві в тому, щоб відповідно до
законодавства на аналітичних рахунках фінансових результатів протягом року
наростаючим підсумком з початку року в розрізі звітних статей накопичувались
дані про операційні доходи та витрати підприємства, необхідні як для контролю
та аналізу, так і для складання Звіту про фінансові результати [57, с.237].
А.Г. Загороднім розкриваються теоретичні та
практичні основи бухгалтерського обліку операційного прибутку. Висвітлюються
принципи, предмет, методи та методичні прийоми бухгалтерського обліку,
технології відображення господарських операцій на бухгалтерських рахунках,
сутність, призначення та форми первинної документації, облікової реєстрації,
формування облікової політики підприємства та складання бухгалтерської
звітності відповідно до національних стандартів обліку [51, с. 198].
При формуванні прибутку від операційної
діяльності такі вчені, як Й.М. Петрович, І.О. Будіщева, І.Г. Устінова до уваги
беруть той факт, що для правильного вимірювання прибутку необхідно, щоб виручка
і витрати були визнані в одному обліковому періоді. Сума на яку виручка від
реалізації продукції (робіт, послуг) з урахуванням державного регулювання цін
перевищує витрати, назувається прибутком від реалізації продукції [77, с.153].
С.В. Голов описує операційний прибуток як
грошовий вираз вартості реалізованого чистого доходу, основну форму грошових
накопичень господарських суб’єктів, а також приділяє увагу дослідженню методики
формування прибутку від операційної діяльності відповідно до національних
стандартів бухгалтерського обліку та фінансової звітності [40, с.332].
В сучасних умовах інформаційних технологій
важливим є дослідження питань щодо обліку прибутку від операційної діяльності
із застосуванням автоматизованих систем обробки даних. Одним із вчених, які
досліджують дані питання є С.В. Івахненко, який розглядає теоретичні та
практичні аспекти застосування інформаційних комп’ютерних технологій в
управлінні підприємством і в організації бухгалтерського обліку прибутку від
операційної діяльності. Теоретичні, методологічні і практичні питання автоматизації
бухгалтерського обліку операційного прибутку розглядаються з комплексі: від
обробки первинних документів та реєстрації облікової інформації в електронних
регістрах до бухгалтерського моделювання і формування облікової політики [53,
с.237].
М.А. Болюх та М.І. Горбатюк у своїх працях з
економічного аналізу розкривають найважливіші проблеми сучасного економічного
аналізу. Ними грунтовно висвітлено методику вивчення господарських процесів,
проведення фінансового аналізу прибутку від операційної діяльності і
забезпечення ефективного управління діяльністю підприємства з урахуванням
положень (стандартів) бухгалтерського обліку та звітності [47, с.371].
Т.І. Кучеренко досліджує вдосконалення
методології та методики формування та аналізу доходів, витрат та фінансових
результатів операційної діяльності підприємствами у Звіті про фінансові
результати [62, с.34].
М.І. Ковальчук висловлює теоретичне та практичне
обґрунтування методики аналізу прибутку від операційної діяльності у системі
фінансового аналізу, з урахуванням вимог діючої законодавчої бази [58, с.157].
Характеристика інформаційного забезпечення
аналізу прибутку від операційної діяльності, а також виокремлення основних
етапів аналізу та розкриття методики аналізу на основі конкретних прикладів
висвітлено в працях з економічного аналізу В.Г. Савицької [85, с.157].
С.З. Мошенський та О.В. Олійник розглядають
питання ефективної організації аналізу прибутку від операційної діяльності на
підприємстві, а також в аналізі операційного прибутку виділяють такі основні
етапи, як аналіз рівня, динаміки та структури доходів, витрат та прибутку від
операційної діяльності, факторний аналіз операційного прибутку та виявлення
резервів збільшення прибутку [71, с.546].
Оскільки основною метою аналізу прибутку від
операційної діяльності будь-якого підприємства є розробка і обґрунтування
управлінських рішень, направлених на підвищення ефективності діяльності
господарюючого суб'єкта, то Ф.Ф. Бутинець розглядає операційний прибуток, як
позитивну форму фінансових результатів, яка є рушійною силою підприємницької
діяльності та показником її ефективності. Також визначення фінансового
результату як процесу розрахунку прибутку (збитку) поділяє на такі етапи:
визначення чистого доходу від реалізації продукції, визначення валового прибутку,
визначення прибутку від операційної діяльності, визначення прибутку від
звичайної діяльності, визначення чистого прибутку звітного періоду та надає
важливого значення економічному аналізу прибутку в умовах ринкової економіки
[30, с.325].
Узагальнюючи вищевикладене, зауважимо, що
дослідження сутності прибутку від операційної діяльності та організації й
методології обліку та аналізу операційного прибутку в умовах конкурентної
економіки є досить актуальним та дослідженим багатьма економістами-науковцями,
адже основною метою функціонування будь-якого підприємства є отримання
прибутку, значною частиною якого є саме прибуток від операційно
Розділ
ІІ. Методика та організація обліку прибутку від операційної діяльності на ВАТ
"Чернівецький емальзавод "Карпати" та шляхи його удосконалення
2.1
Нормативно-правове забезпечення обліку прибутку від операційної діяльності
Функціонування будь-якого господарюючого суб’єкту
значно залежить від нормативної бази, що регулює правові та економічні
відносини підприємства з державою, з іншими підприємствами та організаціями, з
трудовим колективом, тощо. Тому одним із важливих питань в процесі дослідження
є огляд нормативно-правової бази з обліку та аналізу прибутку від операційної
діяльності.
Правова інформація міститься у законодавчих актах
вищої юридичної сили, до яких належать закони України, що регулюють діяльність
суб’єктів підприємництва у галузі фінансових, господарських та трудових
відносин.
Нормативна інформація надходить з постанов
Кабінету Міністрів України, Національного банку України, наказів Міністерства
фінансів України, Державного Комітету статистики України, інших міністерств та
відомств. Нормативна інформація не може вступати в протиріччя з правовою
інформацією. Важливим джерелом нормативної інформації щодо фінансових
результатів є затверджені наказом Міністерства фінансів України План рахунків
бухгалтерського обліку та Інструкція про його застосування. Серед основних
документів даної групи, що містять інформацію про доходи, витрати і прибуток,
треба назвати національні і міжнародні стандарти бухгалтерського обліку. Вся
система нормативно-правових актів щодо регулювання бухгалтерського обліку
прибутку від операційної діяльності в Україні може бути представлена 5-рівневою
структурою (рис.2.1.).
Рис.2.1 Структура законодавства, що регулює
бухгалтерський облік прибутку від операційної діяльності
В сучасних умовах господарювання законодавство
постійно змінюється, тому виникає необхідність системно аналізувати нові
положення законодавчих актів, що регулюють бухгалтерський облік прибутку від
операційної діяльності.
Міністерства фінансів України опубліковало Наказ
від 07.02.2013р. №73 "Про затвердження Національного положення (стандарту)
бухгалтерського обліку 1 "Загальні вимоги до фінансової звітності"
[17]. Цим Національним положенням (стандартом) визначаються мета, склад і
принципи підготовки фінансової звітності та вимоги до визнання і розкриття її
елементів.
Норми цього положення (стандарту) застосовуються
до фінансової звітності юридичних осіб усіх форм власності (крім банків та
бюджетних установ), які зобов’язані подавати фінансову звітність згідно із
законодавством.
Наказом затверджені нові форми фінансової
звітності, які застосовуються починаючи зі звітності за І квартал 2013 року.
Форми фінансової звітності, які вступили в дію
вже в квітні поточного року включають: "Баланс" (Звіт про фінансовий
стан); "Звіт про фінансові результати" (Звіт про сукупний дохід);
"Звіт про рух грошових коштів"; "Звіт про власний капітал".
Крім того втратив чинність Наказ Міністерства
фінансів України від 31 березня 1999 року №87 "Про затвердження Положень
(стандартів) бухгалтерського обліку", яким були затверджені ПСБО: 1 -
"Загальні вимоги до фінансової звітності"; 2 - "Баланс"; 3
- "Звіт про фінансові результати"; 4 - "Звіт про рух грошових
коштів"; 5 - "Звіт про власний капітал".
Зауважимо, що відповідно до Закону України
"Про бухгалтерський облік та фінансову звітність в Україні" від
16.07.1999 року №996-ХІV за І квартал 2013 року фінансова звітність подається у
складі "Балансу" і "Звіту про фінансові результати".
Основні нормативно-правові акти, які регулюють
питання обліку прибутку від операційної діяльності наведені в табл.2.1.
Таблиця 2.1
Нормативно-правові акти, що регулюють питання
обліку прибутку від операційної діяльності
|
№ п/п
|
Нормативно-правове джерело
|
Стислий зміст
|
|
1
|
2
|
3
|
|
1.
|
Господарський кодекс України ВРУ №
436-IV від 13.01.2003 р. [1]
|
Цей Кодекс визначає основні засади
господарювання в Україні і регулює господарські відносини, що виникають в
процесі організації та здійснення господарської діяльності між суб’єктами
господарювання.
|
|
2.
|
Закон України "Про бухгалтерський
облік та фінансову звітність в Україні" від 16.07.99 року № 996-XIV [6]
|
Цей закон визначає правові засади
регулювання, організації, ведення бухгалтерського обліку на підприємстві та
облік прибутку від операційної діяльності на підприємстві в тому числі.
|
|
3.
|
Національне Положення (стандарт)
бухгалтерського обліку №1 "Загальні вимоги до фінансової звітності"
затверджено Наказом Міністерства фінансів України №73 від 07.02.2013 р. [13]
|
Визначає мету, склад і принципи
підготовки фінансової звітності та вимоги до визнання і розкриття її
елементів, в тому числі інформації щодо операційного прибутку
|
|
4.
|
План рахунків бухгалтерського обліку
активів, капіталу, зобов'язань і господарських операцій підприємств і
організацій, затверджено Наказом Міністерства фінансів України від 09.12.2011
№ 1591 [16]
|
Наведено синтетичні рахунки на яких
здійснюється облік доходів, витрат, та фінансових результатів.
|
|
5.
|
Інструкція "Про застосування плану
рахунків бухгалтерського обліку активів, капіталу, зобов’язань і
господарських операцій підприємств і організацій" затверджено Наказом
Міністерства фінансів України № 291 від 30.11.1999 р. [12]
|
Встановлює призначення і порядок ведення
рахунків бухгалтерського обліку для узагальнення методом подвійного запису
інформації про наявність і рух активів, капіталу, зобов’язань та факти
фінансово-господарської діяльності підприємств, організацій та інших юридичних
осіб (крім банків та бюджетних установ), незалежно від форм власності,
організаційно-правових норм і видів діяльності, а також виділених на окремий
баланс філій.
|
|
7.
|
Положення (стандарт) бухгалтерського
обліку № 15 "Дохід" затверджено Наказом Міністерства фінансів
України від 29.11.1999 № 290 [18]
|
Норми цього положення визначають
методологічні засади формування в бухгалтерському обліку інформації про
доходи підприємства та її розкриття у фінансовій звітності, наводиться
класифікація доходів та умови їх визнання.
|
|
8.
|
Положення (стандарт) бухгалтерського
обліку № 16 "Витрати" затверджено Наказом Міністерства фінансів
України від 31.12.1999 № 318 [19]
|
Норми цього положення визначають
методологічні засади формування в бухгалтерському обліку інформації про
витрати підприємства та її розкриття у фінансовій звітності, наводиться
класифікація доходів та умови їх визнання.
|
|
9.
|
Положення (стандарт) бухгалтерського
обліку № 6 "Виправлення помилок та зміни у фінансових звітах"
затверджено Наказом Міністерства фінансів України від 28.05.1999 № 137 [20]
|
Цим положенням визначається порядок
виправлення помилок, внесення та розкриття інших змін у фінансовій звітності.
|
|
11.
|
Положення про документальне забезпечення
записів у бухгалтерському обліку, затверджено Наказом Міністерства фінансів
України від 24.05.1995р. №88 [21]
|
Встановлює порядок відображення та
зберігання первинних документів, облікових регістрів, бухгалтерської
звітності пов’язаної із обліком прибутку від операційної діяльності.
|
|
12.
|
Податковий Кодекс України від 02.12.2010
№ 2755-VI [17]
|
Встановлює порядок відображення в обліку
при формуванні прибутку від операційної діяльності ПДВ, акцизного податку та
інших податків та обов’язкових платежів.
|
|
13.
|
Порядок подання фінансової звітності,
затверджений постановою КМУ №419 від 28.02.2000 року [22]
|
Визначає порядок, загальні вимоги і
строки представлення фінансової звітності юридичними особами, незалежно від
організаційно-правової форми і форми власності
|
Нормативна-правова інформація щодо фінансових
результатів діяльності підприємства за напрямками використання має на меті,
перш за все, забезпечення таких функцій управління, як облік, аналіз,
контрольні прогнозування доходів, витрат та прибутку. Правова, нормативна та
довідкова інформація використовується для оцінки, контролю і прогнозування
відповідності фінансових результатів чинному законодавству, директивним
документам, стандартам бухгалтерського обліку.
Таким чином, саме стабільна та обґрунтована
законодавча база є запорукою успішного ведення обліку прибутку від операційної
діяльності, а в кінцевому результаті і успішної діяльності підприємства
загалом.
2.2
Організація обліку прибутку від операційної діяльності на підприємстві
Відкрите акціонерне товариство "Чернівецький
емальзавод "Карпати" засноване на підставі наказу Регіонального
відділення фонду державного майна України по Чернівецькій області від 28 грудня
1994р. №216, шляхом перетворення державного підприємства виробничо-торгівельної
фірми "Карпати" у відкрите акціонерне товариство відповідно до
постанови Кабінету Міністрів України "Про затвердження порядку
перетворення в процесі приватизації майна державних підприємств у відкриті
акціонерні товариства" №686 від 07.12.1992р.
ВАТ "Чернівецький емальзавод
"Карпати" відповідно до Статуту (додаток А) займається виробництвом
та реалізацією продовольчих та непродовольчих товарів, продукції
виробничо-технічного призначення, організацією оптової та роздрібної торгівлі
промисловими товарами, комерційною діяльністю, наданням платних послуг населенню,
наданням консультаційних послуг, спонсорською та іншою благодійною діяльністю,
а також здійсненням інших видів діяльності, що не заборонені чинним
законодавством. Видами готової продукції, яку виготовляє та реалізує
підприємство є хімічне обладнання та емальпосуд.
Прибуток підприємства утворюється із надходжень
від господарської діяльності після покриття матеріальних та прирівнюваних до
них витрат і витрат на оплату праці. З прибутку сплачуються всі обов’язкові
платежі, передбачувані законодавством України, податки та інші обов’язкові
платежі до бюджету. Чистий прибуток, отриманий після зазначених розрахунків,
залишається в повному розпорядженні підприємства.
Організаційна структура управління підприємством
є лінійно-функціональною, яка спирається на розподіл повноважень та
відповідальності по функціях управління по горизонталі та прийняття рішення по
вертикалі.
Організація обліку залежить від багатьох
чинників: технологічного процесу на підприємстві; складу та обсягу відомостей,
необхідних для управління господарськими процесами; нормативно-правових актів;
принципів матеріальної відповідальності; структури бухгалтерського апарату та
розподілу обов’язків між працівниками; документообігу; форми ведення
бухгалтерського обліку; наукової організації праці [27, c.62].
Організація обліку прибутку від операційної
діяльності включає три аспекти: методичний (облікова політика); технологічний;
організаційний.
Методичний аспект відображає методи оцінки
активів і зобов’язань, порядок визнання доходів і витрат, тощо.
Технологічний аспект включає розробку Робочого
плану рахунків, вибір форми обліку, порядок документообігу, періодичність
інвентаризацій та складання внутрішньої звітності. Організаційний аспект
характеризує ведення обліку з точки зору побудови бухгалтерської служби, її
місця в управлінській структурі підприємства та взаємодії з іншими службами
підприємства [41, c.137]. Тоді раціональна організація бухгалтерського обліку
прибутку від операційної діяльності повинна базуватися на прийнятті трьох груп
рішень: організаційних, технологічних та методичних, що узагальнено на рис.2.2.
Рис.2.2 Організація обліку прибутку від
операційної діяльності
На ВАТ "Чернівецький
емальзавод "Карпати" застосовують повну централізацію обліку, тобто
всі облікові роботи (обробка документів, аналітичний і синтетичний облік,
складання фінансової звітності) зосереджені в єдиному обліковому підрозділі - у
бухгалтерії підприємства. Організаторами бухгалтерського обліку на підприємстві
виступають - директор та головний бухгалтер, які організовують обліковий
процес, працю виконавців, надають інформаційно-технологічне забезпечення
обліку. Обліковий процес на підприємстві організовувався та формувався декілька
десятків років назад.
В бухгалтерії підприємства працює 5 обліковців,
їх очолює головний бухгалтер. Загальна чисельність працівників бухгалтерії 6
чоловік. Склад бухгалтерської служби на досліджуваному підприємстві наведено на
рис.2.3.
Рис.2.3 Склад бухгалтерської служби на ВАТ
"Чернівецький емальзавод "Карпати"
Бухгалтер з обліку грошових коштів та розрахунків
веде облік розрахунків з підзвітним особами, облік розрахунків з покупцями, з
іншими дебіторами та кредиторами, за податками.
Бухгалтер з обліку матеріалів веде облік
придбання запасів та їх використання, займається калькулюванням фактичної
собівартості продукції, визначає склад витрат на незавершене виробництво.
Бухгалтер з оплати праці на підставі первинної
облікової інформації виконує всі розрахунки з оплати праці та утримань з неї,
нарахування до фондів соціального страхування.
На бухгалтера-касира покладаються наступні
функції:
здійснення операцій з грошовими коштами
і цінними паперами.
- ведення касових книг (у валюті і
гривнях).
складання касової звітності.
Розподіл облікової роботи між окремими
виконавцями вимагає від головного бухгалтера уважного підходу, врахування
індивідуальних особливостей та рівня знань виконавців. На підприємстві у
підрозділах реалізується функція збору бухгалтерських даних, а її опрацювання
та формування звітності відбувається в бухгалтерії.
Облік формування прибутку від операційної
діяльності та відображення його у звітності здійснює головний бухгалтер.
Функції працівників бухгалтерії закріплено в
"Положенні про бухгалтерію" та посадових інструкціях бухгалтерів
(додаток Б).
На головного бухгалтера покладено такі завдання
організації обліку прибутку від операційної діяльності підприємства:
— організація правильного розмежування
доходів та витрат за видами діяльності;
забезпечення правильного визначення та
достовірної оцінки доходів та витрат від операційної діяльності підприємства;
забезпечення правильного й повного
документального оформлення та своєчасного відображення в регістрах обліку
доходів, витрат та прибутку від операційної діяльності;
забезпечення контролю за виконанням договорів на
реалізацію продукції;
— вибір методики синтетичного та
аналітичного обліку доходів та витрат від операційної діяльності шляхом
складання облікової політики;
— організація контролю простоїв та втрат від
браку;
— вибір методики розподілу
загальновиробничих витрат;
— розробка графіку та порядку проведення
інвентаризації незавершеного виробництва;
— організація калькулювання собівартості
продукції;
— забезпечення контролю за правильним
визначенням фінансового результату від операційної діяльності;
— визначення обов’язків бухгалтерів,
відповідальних за облік доходів, витрат та прибутку від операційної діяльності.
Об’єктами організації бухгалтерського обліку
прибутку від операційної діяльності є:
Ø перелік первинних
документів;
Ø база розподілу
загальновиробничих витрат;
Ø порядок
проведення інвентаризації незавершеного виробництва;
Ø графік
документообороту;
Ø робочий план
рахунків доходів та витрат від операційної діяльності;
Ø порядок
формування прибутку від операційної діяльності.
Графік документообігу операцій із формування
прибутку від операційної діяльності на ВАТ "Чернівецький емальзавод
"Карпати" наведено на рис.2.4.
Організація аналітичного обліку витрат, доходів і
фінансових результатів від операційної діяльності здійснюється за кожним їх
видом у розрізі рахунків.
Аналітичний облік загальновиробничих витрат
організовується на підприємстві за їх статтями.
Аналітичний облік адміністративних витрат та
витрат на збут організовується за економічними елементами. Організація
аналітичного обліку адміністративних витрат та витрат на збут за економічними
елементами передбачає розподіл витрат за розрізами: матеріальні витрати,
витрати на оплату праці, відрахування на соціальні заходи, амортизаційні
відрахування та інші витрати. Аналітичний облік доходів від реалізації ведеться
за видами продукції, товарів, робіт та послуг, визначеними підприємством.
Особливості організації бухгалтерського обліку
визначаються в наказі про облікову політику. Облікову політику підприємство
визначає самостійно в особі його керівника та головного бухгалтера відповідним
наказом чи розпорядженням.
Рис.2.4 Документообіг за операціями із формування
прибутку від операційної діяльності
Наказ про облікову політику - це документ
внутрішнього користування, який підписують особи, що мають право першого та
другого підпису (традиційно - керівник та головний бухгалтер або бухгалтер).
У наказі про облікову політику на ВАТ
"Чернівецький емальзавод "Карпати" (додаток Б) визначено, що
ведення обліку на підприємстві здійснює бухгалтерська служба на чолі з головним
бухгалтером. Бухгалтерський облік ведеться відповідно до діючого плану
рахунків. Для забезпечення необхідної деталізації облікової інформації
дозволяється головному бухгалтеру своїм розпорядженням вводити додаткові субрахунки.
На підприємстві затверджено робочий план рахунків, яким користуються працівники
бухгалтерії.
Бухгалтерський облік на ВАТ "Чернівецькому
емальзаводі "Карпати" ведеться за журнально-ордерною формою.
Журнально-ордерна форма бухгалтерського обліку заснована на використанні
принципу систематизації та накопичування даних первинних документів
безпосередньо в регістрах аналітичного і синтетичного обліків. Схему
журнально-ордерної форми організації обліку фінансових результатів від
операційної діяльності на ВАТ "Чернівецький емальзавод "Карпати"
наведено на рис.2.5.
Рис.2.5 Схема журнально-ордерної форми обліку ВАТ
"Чернівецький емальзавод "Карпати"
На головного бухгалтера покладено
відповідальність за недопущення несанкціонованого доступу до облікової
інформації на підприємстві. На ВАТ "Чернівецький емальзавод
"Карпати" облік витрат ведеться на рахунках класу 9 "Витрати
діяльності" без використання рахунків класу 8 "Витрати за елементами".
Щорічно на підприємстві проводиться
інвентаризація активів, капіталу та зобов’язань. Щомісяця раптово проводиться
ревізія каси. Інвентаризацію проводить затверджена постійно діюча
інвентаризаційна комісія. Також затверджено перелік осіб, уповноважених
отримувати товарно-матеріальні цінності від імені підприємства.
Для створення резерву сумнівних боргів на ВАТ
"Чернівецький емальзавод "Карпати" використовується метод
абсолютної суми сумнівної заборгованості. Змінні та постійні загальновиробничі
витрати розподіляються на об’єкти витрат пропорційно заробітній платі.
Фінансові витрати, пов’язані зі створенням активів, включаються до фінансових
витрат поточного періоду.
Підприємство встановило дні видачі готівки із
каси підприємства заробітної плати, аліментів та інших соціальних виплат 8-10
числа, якщо дані числа припадають на вихідні й святкові дні, відповідно
переносяться дні видачі готівки.
Також, в наказі про облікову політику щодо
доходів, витрат та прибутку від операційної діяльності зазначається наступне:
— об’єкти обліку доходів та витрат
операційної діяльності;
— склад доходів та витрат, що формують
собівартість продукції;
— методи оцінки доходів та витрат
операційної діяльності;
— порядок обліку та розподілу
загальновиробничих витрат;
— методи оцінки використаних робіт при
розрахунках із замовниками за повністю готовий об’єкт або поетапно виконані
роботи;
— метод розподілу витрат виробництва
продукції на її реалізовану частину;
— склад витрат майбутніх періодів та порядок
їх списання на витрати виробництва;
— алгоритм визначення фінансових результатів
в розрізі видів діяльності.
ВАТ "Чернівецький емальзавод
"Карпати" складає квартальну та річну фінансову звітність, яку подає
користувачам відповідно до чинного законодавства. Найбільшим за обсягом й
інформативністю є річний звіт у складі: Балансу, Звіту про фінансові
результати, Звіту про рух грошових коштів, Звіту про власний капітал та
Приміток до річного фінансового звіту. Підготовка та складання річного
фінансового звіту має свої етапи, що зумовлено тривалістю облікового періоду і
складністю виконуваних робіт.
На підприємстві перед складанням річної
фінансової звітності:
Ø перевіряють
повноту відображення в поточному обліку господарських операцій, оформлених
відповідними документами, і завершеність облікових записів;
Ø уточнюють
розподіл витрат і доходів між суміжними звітними періодами;
Ø перевіряють стан
розрахунків з дебіторами і кредиторами, зокрема розрахунків із податковими та
фінансовими органами, у необхідних випадках відрегульовують їх;
Ø визначають обсяги
доходів і витрат та списують відповідні суми на фінансові результати та
закривають рахунки;
Ø відображають
чисті прибутки (збитки) і їх розподіл чи погашення.
Під час проведення цієї роботи перевіряють
правильність облікових запасів, звіряють дані синтетичного й аналітичного обліку
і роблять виправні записи для усунення виявлених помилок.
Якісна відмінність між квартальним і річним
фінансовим звітом полягає в тому, що перший складають в основному за даними
поточного обліку, а показники річної звітності підтверджуються результатами
інвентаризації активів та зобов'язань, що забезпечує їх достовірність.
На ВАТ "Чернівецький емальзавод
"Карпати" квартальна фінансова звітність подається не пізніше 25
числа місяця, що настає за звітним кварталом, а річна - не пізніше 9 лютого
наступного за звітним року.
Датою подання фінансової звітності для
підприємства вважається день фактичної її передачі за належністю, а в разі
надсилання її поштою - дата одержання адресатом звітності, зазначена на
штемпелі підприємства зв'язку, що обслуговує адресата. У разі, коли дата
подання звітності випадає на неробочий день, термін подання переноситься на
перший після вихідного робочий день.
Форми фінансової звітності підписуються
керівником підприємства і головним бухгалтером. Особи, які підписали звітність,
несуть повну відповідальність за достовірність звітних даних.
Відповідальність за організацію бухгалтерського
обліку на ВАТ "Чернівецький емальзавод "Карпати" та забезпечення
фіксування фактів здійснення усіх господарських операцій в первинних
документах, регістрах та в звітності несе уповноважений власниками керівник
підприємства.
Дослідивши організацію обліку на ВАТ
"Чернівецький емальзавод "Карпати" можемо зробити висновок, що
бухгалтерський облік на досліджуваному підприємстві організований на
застосуванні законодавчо встановлених та загальноприйнятих у національній
практиці передумов та принципів.
2.3
Методологія обліку доходів, витрат та прибутку від операційної діяльності
підприємства
Методологічні засади формування в бухгалтерському
обліку інформації про доходи і витрати від операційної діяльності та її
розкриття у фінансовій звітності регламентуються:
¾ НП (С) БО 1
"Загальні вимоги до фінансової звітності";
¾ П (С) БО 15
"Дохід";
¾ П (С) БО 16
"Витрати".
¾ Інструкція про
застосування Плану рахунків бухгалтерського обліку активів, капіталу,
зобов’язань і господарських операцій підприємств і організацій.
Відповідно до НП (С) БО 1 "Загальні вимоги
до фінансової звітності", затвердженого Наказом Міністерства Фінансів
України від 07.02.2013р. №73 фінансова звітність підприємства формується з
дотриманням певних принципів, якими слід керуватись при вимірюванні, оцінці та
реєстрації господарських операцій і при відображенні їх результатів у
фінансовій звітності.
Найбільш важливими принципами, яких повинні дотримуватись
підприємства для обліку доходів та витрат є:
· принцип нарахування;
· принцип відповідності
доходів та витрат.
Відповідно до принципу нарахування доходи та
витрати відображаються в обліку та звітності тоді, коли вони виникають,
незалежно від часу надходження і сплати грошових коштів. Фінансові звіти,
складені з дотриманням цього принципу, надають користувачам інформацію не
тільки про операції, що вже відбулися (тобто були отримані або виплачені
грошові кошти), але й про зобов’язання виплатити грошові кошти у майбутньому
або про грошові кошти, які очікується отримати у майбутньому.
Згідно з принципом відповідності доходів та
витрат, для визначення фінансового результату звітного періоду слід зіставити
доходи звітного періоду з витратами, які були здійснені для отримання цих
доходів [61, c.48].
Будь-яка господарська операція повинна
відображатись у відповідних бухгалтерських документах. Така реєстрація
господарських операцій називається первинним обліком, який є основою
бухгалтерського обліку. Господарські операції відображаються у бухгалтерському
обліку методом їх суцільного і безперервного документування. Записи в
бухгалтерському обліку здійснюються на підставі первинних документів. Первинні
документи повинні бути складені у момент проведення кожної господарської
операції, або, якщо це неможливо, безпосередньо після її завершення.
Первинні документи складаються на бланках типових
форм, затверджених Міністерством статистики України, а також на бланках
спеціалізованих форм, затверджених міністерствами і відомствами України.
Документування господарських операцій може здійснюватись з використанням
виготовлених самостійно бланків, які повинні обов'язково містити реквізити
типових або спеціалізованих форм [31, с.72].
Бухгалтерський облік доходів та витрат від
операційної діяльності вимагає їх належного документального оформлення
(рис.2.4.).
На ВАТ "Чернівецький емальзавод
"Карпати" первинними документами, що підтверджують наявність доходів
від реалізації та інших операційних доходів є: прибутковий касовий ордер;
виписка банку; рахунок-фактура; товарно-транспортна накладна; вимога-накладна
на відпуск (внутрішнє переміщення) матеріалів; акти інвентаризації; довідки та
розрахунки бухгалтерії.
Первинними документами, що підтверджують
наявність витрат від операційної діяльності є: договір; рахунок; накладна; акти
інвентаризації; акти переоцінки; звіти про використання коштів
матеріально-відповідальних осіб; авансові звіти; касові ордери; виписки банку;
платіжні доручення; акт на списання матеріалів; розрахунково-платіжні
відомості; акт приймання-здачі виконаних робіт.
Первинним документом щодо обліку прибутку від
операційної діяльності є розрахунок (довідка) бухгалтерії (додаток С).
Для розуміння методики обліку доходів, витрат та
фінансових результатів важливим є з’ясування сутності наведених категорій.
Витрати - зменшення економічних вигід у вигляді
вибуття активів або збільшення зобов'язань, що призводять до зменшення власного
капіталу підприємства (за винятком зменшення капіталу за рахунок його вилучення
або розподілу між власниками) [75, с.236].
Доходи - це збільшення економічних вигід у
вигляді надходження активів або зменшення зобов'язань, внаслідок чого
збільшується власний капітал підприємства (за винятком збільшення капіталу за
рахунок внесків власників). Дохід визнається під час збільшення активу або
зменшення зобов'язання, що зумовлює зростання власного капіталу (за винятком
зростання капіталу за рахунок внесків учасників підприємства), за умови, що
оцінка доходу може бути достовірно визначена [78, с.28].
Фінансовий результат - це кінцевий результат
діяльності підприємства, виражений у вигляді прибутку або збитку.
На ВАТ "Чернівецький емальзавод
"Карпати" для обліку витрат не застосовують рахунки 8 класу. Рахунки
класу 9 "Витрати діяльності" застосовуються для узагальнення
інформації про витрати операційної, інвестиційної, фінансової діяльності та
витрати на запобігання надзвичайним подіям і ліквідацію їх наслідків.
Облік витрат операційної діяльності на ВАТ
"Чернівецький емальзавод "Карпати" ведеться на таких рахунках 9
класу:
1.
Собівартість реалізації. Рахунок 90 "Собівартість
реалізації" призначено для узагальнення інформації про собівартість
реалізованої продукції, товарів, виконаних робіт, наданих послуг. За дебетом
рахунка 90 відображається виробнича собівартість реалізованої готової
продукції, робіт, послуг; фактична собівартість реалізованих товарів (без
торгових націнок), за кредитом - списання в порядку закриття дебетових оборотів
на рахунок 791 "Результат операційної діяльності".
2.
Загальновиробничі витрати. На рахунку 91 "Загальновиробничі
витрати" ведеться облік виробничих накладних витрат на організацію
виробництва, а також витрат на утримання машин та устаткування. За дебетом
рахунка 91 відображається сума визнаних витрат, а за кредитом змінні та
постійні розподілені загальновиробничі витрати списуються на 23 рахунок, а
постійні нерозподілені загально виробничі витрати включаються до складу
собівартості реалізованої продукції (робіт, послуг) у період їх виникнення в
дебет рахунку 90 "Собівартість реалізації".
3.
Адміністративні витрати. На рахунку 92 "Адміністративні
витрати" відображаються загальногосподарські витрати, пов'язані з
управлінням та обслуговуванням підприємства. До них належать витрати на
утримання адміністративно-управлінського персоналу, витрати на їх службові
відрядження, витрати на утримання основних засобів, інших матеріальних
необоротних активів загальногосподарського призначення (оренда, амортизація,
ремонт, комунальні послуги), охорона, юридичні, аудиторські, транспортні послуги,
поштово-телеграфні, канцелярські витрати, сума податків, зборів (обов'язкових
платежів). За дебетом рахунка 92 відображається сума визнаних адміністративних
витрат, за кредитом - списання на рахунок 791 "Результат операційної
діяльності".
4.
Витрати на збут. На рахунку 93 "Витрати на збут"
ведеться облік витрат, пов'язаних зі збутом (реалізацією, продажем) продукції,
товарів, робіт, послуг. За дебетом рахунка відображається сума визнаних витрат
на збут, за кредитом - списання на рахунок 791 "Результат операційної
діяльності".
5.
Інші витрати операційної діяльності. На рахунку 94 "Інші
витрати операційної діяльності" ведеться облік витрат операційної
діяльності підприємства, крім витрат, які відображаються на рахунках 90, 91,
92, 93. За дебетом рахунка 94 відображається сума визнаних витрат, за кредитом
- списання на рахунок 791 "Результат операційної діяльності".
Рахунки класу 7 (за
винятком рахунка 79 "Фінансові результати") - це рахунки, на яких
відображаються доходи від різних видів діяльності.
Доходи від операційної
діяльності на ВАТ "Чернівецький емальзавод "Карпати"
відображаються на 70 рахунку "Доходи від реалізації" та 71 рахунку
"Інший операційний дохід".
За кредитом рахунка 70
"Доходи від реалізації" в кореспонденції з дебетом рахунків 30
"Каса", 36 "Розрахунки з покупцями і замовниками" та ін.
відображається дохід від реалізації товарів, робіт, послуг, готової продукції,
тобто загальний дохід без вирахування наданих знижок, повернення проданих
товарів, ПДВ, акцизу й інших податків із продажу. Одразу за дебетом рахунка 70
у кореспонденції з рахунком 64 "Розрахунки за податками і платежами"
відображають нараховані з продажу суми ПДВ, акцизного податку.
Крім доходів від основної
діяльності, підприємство отримує доходи від іншої операційної діяльності.
На рахунку 71 "Інший
операційний дохід" ведеться узагальнення інформації про інші доходи від
операційної діяльності підприємства у звітному періоді, крім доходу (виручки)
від реалізації продукції (товарів, робіт, послуг).
До інших операційних
доходів відносяться: доходи від реалізації іноземної валюти; доходи від
реалізації інших оборотних активів (крім фінансових інвестицій); доходи від
операційної оренди активів; доходи від операційної курсової різниці за
операціями в іноземній валюті; суми штрафів, пені, неустойок та інших санкцій
за порушення господарських договорів, які визнані боржником або щодо яких
одержані рішення суду про їх стягнення; доходи від списання кредиторської
заборгованості, щодо якої минув строк позовної давності; відшкодування раніше списаних
активів (надходження боргів, списаних як безнадійні); суми одержаних безоплатно
оборотних активів та субсидій; інші доходи від операційної діяльності.
За кредитом рахунку 71 "Інший операційний
дохід" відображається збільшення (одержання) доходу, за дебетом - суми
непрямих податків (податку на додану вартість, акцизного податку та інших
зборів (обов'язкових платежів)) та списання в порядку закриття на рахунок 791
"Результат операційної діяльності".
У кінці звітного періоду
зазначені рахунки закриваються записами по дебету рахунка 71 та кредиту рахунка
791 "Результат операційної діяльності".
Узагальнюючим фінансовим результатом
господарської діяльності будь-якого підприємства є прибуток або збиток.
Визначення фінансового результату діяльності підприємств здійснюється шляхом
порівняння доходів звітного періоду і витрат, понесених для одержання цих
доходів.
Для узагальнення інформації про фінансові
результати від звичайної діяльності і надзвичайних подій передбачено рахунок 79
"Фінансові результати". Даний рахунок є тимчасовий, результатний, має
ознаки пасивного рахунку. За кредитом рахунку 79 "Фінансові
результати" відображаються суми в порядку закриття рахунків обліку
доходів, за дебетом - суми в порядку закриття рахунків обліку витрат, також
належна сума нарахованого податку на прибуток. Сальдо рахунку при його закритті
списується на рахунок 44 "Нерозподілені прибутки (непокриті збитки)"
- якщо кредитовий оборот більший за дебетовий, то підприємство на суму різниці
має нерозподілений прибуток, і навпаки, якщо дебетовий оборот більший за
кредитовий, то підприємство зазнало збитку.
Для обліку прибутку від операційної діяльності на
ВАТ "Чернівецький емальзавод "Карпати" призначено субрахунок 791
"Результат операційної діяльності". По кредиту субрахунку 791 "Результат
операційної діяльності" відображається в порядку закриття рахунків сума
доходів від реалізації готової продукції, товарів, робіт, послуг та від іншої
операційної діяльності:
70 "Доходи від реалізації";
- 71 "Інший операційний дохід".
А по дебету субрахунку відображається сума в
порядку закриття рахунків обліку собівартості реалізованої готової продукції,
товарів, робіт і послуг, адміністративних витрат, витрат на збут, інших
операційних витрат:
90 "Собівартість реалізації";
- 92 "Адміністративні витрати";
93 "Витрати на збут";
94 "Інші витрати операційної
діяльності".
Шляхом порівняння на субрахунку 791
"Результат операційної діяльності" кредитового обороту (загальна сума
одержаних доходів від реалізації та інших операційних доходів) з дебетовим
оборотом (загальна сума операційних витрат) визначають фінансовий результат
(прибуток, збиток) від операційної діяльності підприємства.
Прибуток від операційної діяльності включає в
себе прибуток від основної діяльності та прибуток від іншої операційної діяльності.
Визначену суму фінансового результату від
операційної діяльності списують на фінансово-результатний активно-пасивний
рахунок 44 "Нерозподілені прибутки (непокриті збитки)" записом на
суму одержаного прибутку: Д-т рах.791 "Результат операційної діяльності",
К-т рах.441 "Прибуток нерозподілений". Методику обліку формування
прибутку від операційної діяльності на ВАТ "Чернівецький емальзавод
"Карпати" наведено на рис.2.5.
Рис.2.5 Методика обліку формування прибутку від
операційної діяльності на ВАТ "Чернівецький емальзавод "Карпати"
Таким чином, на рахунку 791 "Результат
операційної діяльності" по конкретному виду діяльності буде визначено
результат діяльності. Арифметичний підсумок показників рахунків відповідної
діяльності дає можливість визначити загальний результат діяльності
підприємства. Якщо до підсумку додати суми, які характеризують доходи або
витрати іншої операційної діяльності, то підсумок буде характеризувати
фінансовий результат від операційної діяльності підприємства в цілому.
Кореспонденція рахунків по обліку доходів та
витрат від операційної діяльності на ВАТ "Чернівецький емальзавод
"Карпати", на підставі первинних документів, наведена у таблиці 2.2.
Таблиця 2.2
|
№
|
Документ
|
Зміст господарської операції
|
Д-т
|
К-т
|
Сума
|
Додаток
|
|
1.
|
Прибутково-видаткова накладна
|
Відображено дохід від реалізації
продукції ТОВ завод "Конвектор"
|
3612
|
701
|
64247,82
|
Дод. В
|
|
2.
|
Податкова накладна
|
Відображено ПДВ
|
701
|
641
|
10707,97
|
Дод. Д
|
|
3.
|
Рахунок-фактура
|
Відображено дохід від реалізації інших
оборотних активів
|
3611
|
712
|
3721,9
|
Дод. Е
|
|
4.
|
Податкова накладна
|
Відображено ПДВ
|
712
|
641
|
531,6
|
Дод. Е
|
|
4.
|
Прибутково-видаткова накладна
|
Відображено дохід від реалізації
продукції ТзОВ "Бранд майстер"
|
3613
|
701
|
26612,16
|
Дод. Ж
|
|
5.
|
Податкова накладна
|
Відображено ПДВ
|
701
|
641
|
4435,33
|
Дод. Ж
|
|
6.
|
Накопичувальна відомість випуску готової
продукції
|
Списано фактичну собівартість
реалізованої продукції
|
901
|
26
|
519250,67
|
Дод. З
|
|
7.
|
Розрахунково-платіжна відомість
|
Нараховано заробітну плату працівнику
заводоуправління Мельничук А.А.
|
92
|
661
|
2255,45
|
Дод. И
|
|
8.
|
Розрахунково-платіжна відомість
|
Нараховано заробітну плату працівнику,
що зайнятий обслуговуванням виробництва Звонкевич Б.П.
|
91
|
66
|
1790,25
|
Дод. К
|
|
9.
|
Розрахунково-платіжна відомість
|
Нараховано заробітну плату працівнику
відділу збуту Годинюк І.І.
|
93
|
661
|
1782,3
|
Дод. Л
|
|
10.
|
Посвідчення про відрядження
|
Списано витрати по відрядженню Мельничук
А.А.
|
92
|
372
|
996,77
|
Дод. М
|
|
11.
|
Відомість нарахування амортизації
|
Нараховано амортизацію необоротних
активів загальногосподарського призначення
|
92
|
131
|
4097
|
Дод. Н
|
|
12.
|
Відомість нарахування амортизації
|
Нараховано амортизацію необоротних
активів відділу цеху
|
93
|
131
|
3740
|
Дод. Н
|
В цілому можна говорити, що використання рахунків
для обліку операційних доходів та витрат на підприємстві відповідає чинному
законодавству України.
Основні бухгалтерські проведення щодо обліку
формування операційного прибутку на ВАТ "Чернівецький емальзавод
"Карпати" наведено в табл.2.3.
Таблиця 2.3
Бухгалтерські проведення з обліку формування
прибутку від операційної діяльності на ВАТ "Чернівецький емальзавод
"Карпати" за грудень 2012 р.
|
№
|
Первинний документ
|
Зміст господарської операції
|
Д-т
|
К-т
|
Сума, грн.
|
Додаток
|
|
1.
|
Довідка бухгалтерії
|
Віднесено собівартість реалізованої
продукції на фінансовий результат
|
791
|
901
|
706384,5
|
Дод. C
|
|
2.
|
Довідка бухгалтерії
|
Списано адміністративні витрати на
фінансовий результат
|
791
|
92
|
86453
|
Дод. C
|
|
3.
|
Довідка бухгалтерії
|
Списано витрати на збут на фінансовий
результат
|
791
|
93
|
1346,09
|
Дод. C
|
|
4.
|
Довідка бухгалтерії
|
Списано інші витрати операційної
діяльності на фінансовий результат
|
791
|
94
|
68346
|
Дод. C
|
|
5.
|
Довідка бухгалтерії
|
Віднесено доходи від реалізації
продукції на фінансовий результат
|
701
|
791
|
818743
|
Дод. Т
|
|
6.
|
Довідка бухгалтерії
|
Віднесено інші доходи операційної
діяльності на фінансовий результат
|
71
|
791
|
58639
|
Дод. Т
|
|
7.
|
Довідка бухгалтерії
|
Відображено прибуток від операційної
діяльності
|
791
|
44
|
14852,4
|
Дод. У
|
Після відображення облікової інформації у журналі
реєстрації господарських операцій узагальнені дані заносять до регістрів
обліку. Записи в накопичувальних регістрах виконують по показниках, необхідних
для управління і контролю за фінансово-господарською діяльністю підприємства, а
також для складання періодичної та річної бухгалтерської звітності. Основними
регістрами при цій формі обліку є журнали-ордери, що ведуться по кредиту
синтетичних рахунків (синтетичного обліку) і дебету кореспондуючих рахунків.
Використовують також регістри аналітичного обліку - відомості, таблиці, книги і
картки. Облік доходів від операційної діяльності на ВАТ "Чернівецький
емальзавод "Карпати" ведеться в журналі-ордері №11, а облік витрат
від операційної діяльності ведеться в журналі-ордері №12.
Дані з журналів-ордерів наприкінці місяця
переносять до головної книги, в якій підраховують обороти по дебету та кредиту
кожного рахунка. Головну книгу використовують для узагальнення даних
журналів-ордерів, взаємної перевірки зроблених записів по окремих рахунках та
складання звітності. У Головній книзі відображають початкове сальдо, поточні
обороти і сальдо на кінець звітного періоду (місяця, кварталу, року) по кожному
субрахунку. За методом подвійного запису суми дебетових та кредитових оборотів,
а також дебетових і кредитових сальдо мають бути відповідно між собою рівними.
Головна книга відкривається на рік.
Узагальнення інформації про доходи та витрати
операційної діяльності підприємства відображається у Звіті про фінансові
результати у І розділі "Фінансові результати".
Враховуючи зміни, що відбулися у
нормативно-правовому забезпечення бухгалтерського обліку із прийняттям НП (С)
БО 1 "Загальні вимоги до фінансових звітів" у Звіті про фінансові
результати процес визначення прибутку від операційної діяльності здійснюється в
декілька етапів.
Першим кроком до визначення прибутку від
операційної діяльності є визначення валового прибутку (ф.2, ряд. 2090), який
розраховується, як різниця між чистим доходом від реалізації продукції
(товарів, робіт, послуг) (ф.2, ряд. 2000) і собівартістю реалізованої продукції
(товарів, робіт, послуг) (ф.2, ряд. 2050).
Валовий прибуток визначається лише за
результатами роботи основної діяльності підприємства. В ньому не відображаються
адміністративні витрати, витрати на збут, інші операційні витрати (собівартість
реалізованих виробничих запасів, сумнівні борги та витрати від знецінення
запасів, втрати від операційних курсових різниць, визнані екологічні санкції, а
також всі інші витрати, що виникають у процесі операційної діяльності
підприємства). До валового прибутку не включені також суми інших доходів від
операційної діяльності підприємства (дохід від курсових різниць, відшкодування
раніше списаних активів, дохід від реалізації оборотних активів, тощо). Тому
поряд із визначенням валового прибутку від основної діяльності є показник -
фінансовий результат від операційної діяльності.
Прибуток від операційної діяльності формується
шляхом додавання до валового прибутку (ф.2, ряд. 2090) інших операційних
доходів (ф.2, ряд. 2020) та віднімання від даної суми адміністративних витрат
(ф.2, ряд.2130), витрат на збут (ф.2, ряд.2150) та інших операційних витрат
(ф.2, ряд.2180).
У Звіті про фінансові результати прибуток від
операційної діяльності відображається у І розділі "Фінансові
результати" у рядку 2190.
Таким чином, можна зробити висновок, що на ВАТ
"Чернівецький емальзавод "Карпати" застосовується
загальноприйнята методика ведення обліку доходів, витрат та фінансових
результатів, яка відповідає вимогам національних положень бухгалтерського
обліку та інших нормативно-правових актів, що регулюють облік ведення прибутку
від операційної діяльності.
2.4
Удосконалення методики формування та відображення у фінансовій звітності
прибутку від операційної діяльності
У сучасних ринкових відносинах відбуваються
значні перетворення в бухгалтерському обліку, зумовлені вимогами, що ставляться
до фінансової інформації, яку формує попит зацікавлених користувачів.
У прийнятті ефективних управлінських рішень
велику роль відіграє бухгалтерська фінансова звітність як одне із головних
джерел інформації про фінансовий стан, результати діяльності та рух грошових
потоків підприємства. Варто зазначити, що бухгалтерська фінансова звітність
настільки впливає на ефективність прийняття обґрунтованих управлінських рішень,
наскільки вона відповідає запитам користувачів. Дослідження складу, структури і
показників існуючої бухгалтерської звітності дає змогу стверджувати, що вона
недостатньо задовольняє інформаційні потреби управління.
Одним із основних показників
фінансово-господарської діяльності підприємства, виміру ефективності
виробництва є прибуток від операційної діяльності, який виражається
перевищенням суми доходів над пов’язаними із ними витратами. Тому відображення
його займає одне із центральних місць у системі бухгалтерського обліку і
фінансовій звітності, передусім у формі №2 "Звіті про фінансові
результати".
Зміст та форма Звіту про фінансові результати і
вимоги до розкриття його статей визначається НП (С) БО 1 "Загальні вимоги
до фінансових звітів". Метою складання Звіту про фінансові результати є
надання користувачам повної, правдивої і неупередженої інформації про доходи,
витрати, прибутки та збитки від діяльності підприємства за звітний період.
Користувачі фінансової звітності, аналізуючи статті Звіту про фінансові
результати, одержують інформацію про величину одержаного за звітній період
прибутку від операційної діяльності та суму витрат, що поглиблює розуміння
формування показників прибутковості.
Джерелом інформації для заповнення статті
"Чистий дохід від реалізації продукції (товарів, робіт, послуг)"
Звіту про фінансові результати є рахунок 70 "Доходи від реалізації".
Зосередимо увагу на обліку доходів від реалізації продукції (товарів, робіт,
послуг), які обліковуються на рахунку 70 "Доходи від реалізації". Він
призначений для обліку кожного об’єкта за відповідними групами, для яких
відкриваються субрахунки.
За кредитом даного рахунка відображають загальну
суму доходів разом із сумою непрямих податків, за дебетом - належну суму
непрямих податків (ПДВ, акцизного податку та інших відрахувань, передбачених
чинним законодавством) та списання у порядку закриття суми чистого доходу на
рахунок 79 "Фінансові результати". Таким чином, рахунки класу 7 у
кінці звітного періоду закривають і залишку на них немає.
Вважаємо, що схему відображення на рахунках
доходів від реалізації продукції обрано не зовсім вдало.
Згідно з П (С) БО 15 "Дохід" не
визнаються доходами такі надходження від інших осіб: сума податку на додану
вартість, акцизів, інших податків та обов’язкових платежів, що підлягають
перерахуванню до бюджету і позабюджетних фондів. Проте, як зазначалося вище, ці
суми включають до складу доходу, але на нашу думку, вони не можуть бути його складовими.
Адже саме визначення доходу, яке дається в
діючому законодавстві, підкреслює, що доходи - це збільшення економічних вигід
у вигляді надходження активів, або зменшення зобов’язань, що призводить до
зростання власного капіталу (крім зростання капіталу за рахунок внесків
власників). Виходячи із вищенаведеного, податок на додану вартість, акцизний
податок не є економічними вигодами і не зумовлюють зростання власного капіталу,
а значить їх не можна визнавати доходами та відповідно не слід відображати на
рахунках класу 7.
У тому разі, коли плата за продукцію буде
здійснена після відвантаження зі складу на умовах наступної оплати, записи на
бухгалтерських рахунках згідно із Інструкцією про застосування Плану рахунків
бухгалтерського обліку активів, капіталу, зобов’язань і господарських операцій
підприємств і організацій будуть наступними.
. Відображати суму, на яку покупцеві пред’явлені
розрахункові документи за реалізовану продукцію слід у такій кореспонденції
рахунків:
Д-т 36 "Розрахунки з покупцями та замовниками"
К-т 70 "доходи від реалізації"
. Відображено суму нарахованого податку з
доходу:
Д-т 70 "Доходи від реалізації"
К-т 64 " Розрахунки за податками і
платежами"
Пропонуємо дещо іншу схему обліку реалізації
продукції на відміну від наведеної вище (рис 2.6.).
Д-т 36 "Розрахунки з покупцями і
замовниками"
К-т 70 "Доходи від реалізації"
К-т 64 "Розрахунки за податками і
платежами"
Відповідно до такої схеми, по кредиту рахунка 70
буде показаний дохід від реалізації без податку на додану вартість, акцизного
податку та інших відрахувань, передбачених чинним законодавством. Дані доходи
відображатимуться у 1 розділі Звіту про фінансові результати.
Рис. 2.6 Удосконалена методика відображення
виручки від реалізації продукції на рахунках бухгалтерського обліку
Чітке розмежування результатів за видами
діяльності має принципове значення для оцінки фінансово-господарської
діяльності підприємства. Використання методики розподілу фінансових результатів
за видами діяльності є перспективним напрямом розвитку системи обліку, оскільки
дасть змогу отримувати оперативну інформацію про результативність діяльності
підприємства в розрізі її окремих видів.
У даному контексті для досліджуваного
підприємства та вітчизняних підприємств загалом важливим є розмежування
результатів їхньої операційної діяльності з виділенням результатів основної
діяльності та результатів іншої операційної діяльності. Обґрунтуванням такого
твердження є той факт, що основним джерелом отримання прибутку підприємств є
реалізація продукції.
Відповідно до вищеподаних пропозицій та НП (С) БО
1 "Загальні вимоги до фінансових звітів" нами розроблена удосконалена
модель формування фінансового результату від операційної діяльності підприємств
(рис. 2.7.).
Відповідно до удосконаленої моделі формування
фінансових результатів постає потреба у розмежованому відображенні фінансових
результатів в обліку.
Рис. 2.7 Удосконалена модель формування
фінансового результату від операційної діяльності підприємства
Для вирішення поставленого завдання нами
пропонується введення відповідних аналітичних рахунків до рахунка 791
"Результат операційної діяльності", саме:
· 7911 "Результат
основної діяльності";
· 7912 "Результат
іншої операційної діяльності".
Відображення господарських операцій на
аналітичних рахунках 7911 і 7912 дозволить без додаткових трудових і часових
затрат отримати інформацію стосовно результатів основної та іншої операційної
діяльності, а також динаміки їх показників для забезпечення потреб ефективного
менеджменту. На основі вищезазначених пропозицій з удосконалення методології
обліку фінансових результатів операційної діяльності нами побудовано схему їх
визначення, зображену на рис.2.8.
Рис. 2.8 Удосконалена методика формування
фінансових результатів від операційної діяльності підприємства
Результат основної діяльності (прибуток чи
збиток), тобто результат виробничо-збутових процесів, визначається як різниця
чистого доходу та собівартості реалізованої продукції (товарів, робіт, послуг),
адміністративних витрат і витрат на збут. Собівартість реалізованої продукції
(товарів, робіт, послуг) підприємств, які застосовують нормативний метод обліку
витрат, повинна бути скоригована на суму позитивних чи негативних відхилень
фактичних виробничих витрат від нормативних, що забезпечить точніше визначення
фінансового результату їхньої операційної діяльності, а також кінцевого
фінансового результату - чистого прибутку (збитку). Операційний фінансовий
результат - це синтетичний показник, який формується шляхом додавання
результату основної діяльності та результату іншої операційної діяльності.
Останній, в свою чергу, визначається як різниця інших операційних доходів і
витрат.
Як демонструє рис.2.8, в дебет рахунка 7911
"Результат основної діяльності" пропонуємо списувати витрати основної
діяльності з кредиту рахунків 90 "Собівартість реалізації", 92
"Адміністративні витрати", 93 "Витрати на збут", а на
кредит 7911 рахунка - доходи від основної діяльності з дебету рахунка 70
"Доходи від реалізації". Порівняння дебетового та кредитового
оборотів на рахунку 7911 дає можливість визначити прибуток (якщо сума за
кредитом перевищує суму за дебетом) чи збиток (якщо сума за дебетом перевищує
суму за кредитом) в результаті основної (виробничо-збутової) діяльності.
На дебет рахунка 7912 "Результат іншої
операційної діяльності" пропонується списувати витрати іншої операційної
діяльності з кредиту рахунка 94 "Інші витрати операційної
діяльності", а на його кредит - доходи від іншої операційної діяльності з
дебету рахунка 71 "Інший операційний дохід". При перевищенні суми за
кредитом над сумою за дебетом на рахунку 7912 підприємство отримало прибуток
від іншої операційної діяльності, у протилежному випадку - збиток від іншої
операційної діяльності.
Результати операційної діяльності відображають на
рахунку 44 "Нерозподілений прибуток (непокриті збитки)", причому
прибутки від основної та іншої операційної діяльності необхідно списувати
відповідно з дебетів рахунків 7911 і 7912 в кредит рахунка 441 "Прибуток
нерозподілений", збитки - з кредитів 7911 і 7912 в дебет рахунка 442
"Непокриті збитки". Таким чином, для повного та достовірного
відображення результатів операційної діяльності підприємств, доцільно
удосконалити порядок їх визначення відповідно до вищевикладених пропозицій.
Зміни механізму визначення фінансових результатів операційної діяльності
зумовлюють потребу відповідних змін змісту Звіту про фінансові результати, що
згідно наших пропозицій передбачає:
) уточнення економічного змісту та економічної
назви окремих показників;
) доповнення форми необхідними показниками,
наявність яких сприятиме підвищенню аналітичної цінності інформації;
) виділення статті "Результат основної
діяльності", що визначається як різниця між валовим прибутком/збитком і
адміністративними витратами та витратами на збут, і присвоєння кодів рядків:
2150 - прибуток, 2155 - збиток;
) виділення статті "Результат іншої
операційної діяльності", що визначається як різниця між іншими
операційними доходами й іншими операційними витратами, та присвоєння кодів
рядків: 2180 - прибуток, 2185 - збиток;
) перегрупування та присвоєння кодів рядків таким
статтям: 2120 - "Адміністративні витрати", 2130 - "Витрати на
збут", 2160 - "Інші операційні доходи", 2170 - "Інші
операційні витрати";
) визначення фінансових результатів операційної
діяльності (прибутку/збитку) як алгебраїчну суму результату основної діяльності
та результату іншої операційної діяльності.
Відповідно до запропонованих рекомендацій частина
Звіту про фінансові результати, що підлягає змінам, матиме наступний вигляд
(рис.2.9.).
Звіт про фінансові результати
За __________ 2012р.
Форма №2 Код за ДКУД 1801003
І. ФІНАНСОВІ РЕЗУЛЬТАТИ
|
Стаття
|
Код рядка
|
За звітній період
|
За попередній період
|
|
1
|
2
|
3
|
4
|
|
Чистий дохід від реалізації продукції
(товарів, робіт, послуг)
|
2000
|
7197
|
6043
|
|
Собівартість реалізованої продукції
(товарів, робіт, послуг)
|
2050
|
(6231)
|
(5104)
|
|
Валовий: прибуток
|
2090
|
966
|
939
|
|
збиток
|
2095
|
|
|
|
Адміністративні витрати
|
2120
|
(698)
|
(658)
|
|
Витрати на збут
|
2130
|
(14)
|
(13)
|
|
Результат основної діяльності: прибуток
|
2150
|
254
|
268
|
|
збиток
|
2155
|
|
|
|
Інші операційні доходи
|
2160
|
446
|
338
|
|
Інші операційні витрати
|
2170
|
(599)
|
(530)
|
|
Результат іншої операційної діяльності:
прибуток
|
2180
|
|
|
|
збиток
|
2185
|
(153)
|
(192)
|
|
Фінансові результати від операційної
діяльності: прибуток
|
2190
|
101
|
76
|
|
збиток
|
2195
|
|
|
Рис.2.9 І розділ Звіту про фінансові результати
із урахуванням запропонованих змін
Проведене дослідження дозволяє зробити висновок,
що з метою отримання оперативної та точної інформації про фінансові результати
підприємств потрібно чітко розмежовувати їх за видами діяльності. Це зумовлює
необхідність змін в організації та методиці їх обліку, а також змісту форми
Звіту про фінансові результати. Практичне використання підприємствами
запропонованих пропозицій дозволить без додаткових часових і трудових затрат
оперативно отримувати інформацію про доходи, витрати та результати операційної
діяльності в розрізі видів операційної діяльності, необхідному для потреб управління.
Складання та використання
Звіту про фінансові результати з урахуванням запропонованих змін дозволить
конкретизувати інформацію щодо фінансових результатів від основних видів
операційної діяльності, що є важливим для забезпечення потреб зовнішніх і внутрішніх
користувачів.
Розділ
ІІІ. Аналіз прибутку від операційної діяльності на ват "чернівецький
емальзавод "карпати" та шляхи його удосконалення
3.1
Оцінка методик аналізу фінансових результатів від операційної діяльності
Значення аналізу прибутку
від операційної діяльності підприємства обумовлено новим змістом прибутку в
умовах сучасного економічного розвитку країни. У зростанні прибутку зацікавлені
як підприємство, так і держава. Саме тому на кожному підприємстві необхідно
систематично аналізувати формування, розподіл та використання прибутку [54,
с.147]. Цей аналіз має надзвичайно важливе значення як для внутрішніх так і для
зовнішніх суб’єктів.
Провівши аналіз навчальних посібників та наукових
праць провідних вітчизняних авторів, можна стверджувати, що єдиної методики
проведення аналізу фінансових результатів від операційної діяльності не існує.
Кожен із авторів пропонує свою методику аналізу, хоча між ними є досить багато
спільного.
В процесі аналізу прибутку від операційної
діяльності Г.В. Савицька вважає, що необхідно дати оцінку складу та динаміки
операційного прибутку; провести аналіз фінансових результатів від реалізації
товарів, робіт та послуг; визначити вплив на формування операційного прибутку
асортиментної політики підприємства; провести аналіз середньореалізаційних цін
та показників рентабельності операційної діяльності. При цьому автор зазначає,
що основну частину прибутку підприємства одержують від реалізації продукції і
послуг. У процесі аналізу, на думку автора, необхідно вивчати динаміку,
виконання плану прибутку від реалізації продукції та фактори зміни його суми.
Прибуток від реалізації продукції в цілому по
підприємству залежить від чотирьох факторів першого рівня
співпідпорядкованості: обсягу реалізації продукції; структури; собівартості і
рівня середньореалізаційних цін. Значну увагу автор приділяє факторному аналізу
показників рентабельності, які об’єднує в три групи:
) показники, що базуються на витратному підході
(рентабельність продукції, рентабельність операційної діяльності);
) показники, що характеризують прибутковість
продажів (валова рентабельність продажів і чиста рентабельність продажів);
) показники, в основі яких лежить ресурсний
підхід (рентабельність операційного капіталу, рентабельність основного
капіталу).
Аналіз операційного прибутку доцільно завершувати
підрахунком резервів, які необхідно визначати за кожним видом товарної
продукції. Основними їхніми джерелами є збільшення обсягу реалізації продукції,
зниження її собівартості, підвищення якості товарної продукції, реалізація її
на вигідніших ринках збуту [85, с.376].
Б.М. Литвин та М.В. Стельмах розглядають прибуток
від операційної, інвестиційної та фінансової діяльності, а також отриманий в
результаті надзвичайних подій. Величина прибутку, рівень рентабельності
залежить від виробничої, постачальницької, маркетингової, збутової,
інвестиційної та фінансової діяльності підприємства. У процесі аналізу, на
думку наведених вчених, важливо дати оцінку динаміки операційного прибутку,
визначити фактори впливу на його величину та визначити резерви зростання
рентабельності операційної діяльності підприємства. Аналізуючи прибуток від
операційної діяльності, як основну складову загального прибутку підприємства у
зіставленні з попередніми періодами, пропонують застосовувати прийоми
вертикального, горизонтального і трендового аналізу. Горизонтальний аналіз
фінансових результатів за звітний період необхідно використовувати для
дослідження змін кожного показника у часі з розрахунками абсолютних і відносних
відхилень (темпів). Вертикальний аналіз полягає у визначенні у відсотках
структури прибутку від операційної діяльності, операційних витрат, операційних
доходів. За допомогою вертикального аналізу можна порівнювати відносні
показники підприємств, що відрізняються за абсолютними показниками
господарської діяльності.
Трендовий аналіз дозволяє простежити у загальному
вигляді динаміку зміни показників фінансових результатів за кілька звітних
періодів. Наведені вчені-економісти до факторів, що впливають на прибуток від
операційної діяльності відносять такі:
ціни на реалізовану продукцію;
обсягів реалізації продукції;
структури реалізованої продукції;
собівартості одиниці продукції;
собівартості продукції за рахунок структурних
зрушень у складі
продукції.
Суть методики визначення впливу факторів на
прибуток від операційної діяльності полягає в послідовному аналізі кожного з
них, тобто припускається, що інші фактори в даний момент на прибуток не
впливають.
Оцінюючи фінансові результати діяльності
підприємства, доцільно дослідити співвідношення між витратами, обсягом
виробництва і прибутком. Це дозволяє визначити той необхідний рівень
використання виробничого потенціалу, при якому забезпечується прибутковість
діяльності підприємства. До важливих елементів методики названого аналізу
відносяться: визначення точки беззбитковості, у тому числі графічним способом,
визначення обсягу реалізації, необхідного для одержання планової суми прибутку,
дослідження факторів впливу на точку беззбитковості.
Під точкою беззбитковості розуміють той обсяг
виробництва продукції, реалізація якого забезпечує підприємству повне
відшкодування всіх витрат.
Автори наводять три методи розрахунку точки
беззбитковості:
метод рівняння;
метод маржинального доходу;
графічний спосіб.
Б.М. Литвин та М.В. Стельмах подають методики
разрахунку показниників рентабельності на основі валового прибутку та прибутку
від операційної діяльності [66, c.48].
Є.В. Мних відзначає, що функціонування будь-якого
суб'єкта господарювання, незалежно від видів його діяльності і форм власності,
в умовах становлення ринкових відносин визначається його здатністю створювати
необхідну і достатню величину доходу або прибутку. Тому аналіз прибутку займає
провідне місце у системі комплексного економічного аналізу, оскільки за ним
оцінюється ступінь досягнення кінцевої мети діяльності. Автор в методиці
аналізу операційного прибутку виокремлює: аналіз обґрунтованості плану
(прогнозу) досягнення фінансових результатів операційної діяльності; аналіз та
оцінку динаміки показників операційного прибутку і рентабельності; аналіз
виконання планових показників з прибутку і рентабельності; визначення та
вимірювання впливу факторів на відхилення з операційного прибутку і
рентабельності; виявлення резервів підвищення прибутку від операційної
діяльності та обґрунтування заходів щодо його мобілізації.
У процесі аналізу фінансових результатів
операційної діяльності, автор пропонує проводити дослідження у двох аспектах. У
першому аспекті фінансовий результат оцінюють як ступінь досягнення кінцевої
мети та визначення ефективності виробничої діяльності. Тут пріоритетною є
оцінка ступеня використання сприятливих можливостей та втраченої вигоди. Другий
аспект передбачає визначення пріоритетів вкладення капіталу за видами
діяльності, за масштабами у стратегічному і тактичному вимірах, які дають
максимальний приріст фінансових результатів. Є.В. Мних звертає увагу на те, що
важливим моментом аналізу є досягнення зіставності показників у динамічному
ряді з урахуванням інфляційних процесів, зміни облікової політики, зміни обсягу
та структури акціонерної діяльності. Коректнішим є зіставлення можливостей і
наслідків впливу на операційний прибуток, насамперед виробничих, управлінських
і збутових можливостей [70, c.183].
Аналізуючи показники прибутку, автором
виокремлюються такі етапи досліджень. На першому етапі дається оцінка динаміки
та виконання плану з операційного прибутку, виокремлюється прибутковість
окремих структурних підрозділів (центрів прибутковості). На другому етапі
проводять порівняльний аналіз прибутку цього суб'єкта господарювання з
середньогалузевими та показниками прибутковості конкурентів. На третьому етапі
здійснюють факторний аналіз операційного прибутку, дають оцінку внутрішніх і
зовнішніх резервів. У процесі аналізу абсолютних показників фінансових
результатів від операційної діяльності автор виокремлює горизонтальний (зміна
показників за аналізований період) і вертикальний (зміна структури показників)
аналіз.
Б. Є. Грабовецький описує, що важлива роль
прибутку і рентабельності зобов'язує підвищувати конкретність аналізу, виявляти
досягнення і недоліки у господарській діяльності, передусім у виробництві і
реалізації продукції, вивчати не тільки взаємозв'язки прибутку і рентабельності
з іншими показниками діяльності підприємства, але і конкретні прояви цих
взаємозв'язків, щоб врешті-решт підвищити рівень прибутку і рентабельності.
На думку автора аналіз
прибутку, одержаного в процесі виготовлення продукції, дозволяє оцінити
ефективність діяльності виробництва. В процесі виробництва приховуються
найбільші резерви зростання прибутку підприємства. Тому нарівні з аналізом
прибутку від реалізації продукції автор пропонує проводити аналіз прибутку від
виробництва продукції. Прибуток від реалізації окремих видів продукції
змінюється під впливом таких факторів: обсягу і структури реалізованої
продукції; середньореалізаційної ціни; собівартості реалізованої продукції.
Б. Є. Грабовецький стверджує, що як і кожен
абсолютний показник розмір прибутку не завжди характеризує ефективність
діяльності підприємства. Тому, щоб оцінити ефективність роботи підприємства,
одержаний прибуток необхідно співвідносити зі здійсненими витратами - поточними
(собівартість продукції) і авансованими (активи або частини їх). Тому окремим
розділом автор розглядає показники рентабельності, що пов'язані з виробництвом
і реалізацією продукції. При розрахунках показників рентабельності, пов'язаних
із виробництвом і реалізацією продукції, як прибуток повинен використовуватися
прибуток від виробництва або реалізації продукції, оскільки лише він
характеризує виробничу діяльність підприємства.
Автором наводиться методика розрахунку
виробничого левериджу, який характеризується можливістю впливати на формування
прибутку від реалізації продукції шляхом зміни обсягу реалізованої продукції та
співвідношення змінних і постійних витрат. Останнє означає, що в результаті
зростання обсягу виробництва (реалізації) продукції скорочується рівень
постійних витрат, а отже, збільшується прибуток на одиницю продукції. Заключним
етапом проведення аналізу операційного прибутку є пошук та підрахунок резервів
його зростання [42, c.167-168].
О.О. Шеремет зазначає, що на першому етапі
аналізу фінансових результатів від операційної діяльності необхідно оцінити
динаміку прибутку, виявити і кількісно оцінити вплив різних чинників на його
розмір, а також оцінити резерви збільшення прибутку. Автор розрізняє такі
напрями аналізу як зміни показників за розглядуваний період (горизонтальний
аналіз) та структура показників та їх зміна (вертикальний аналіз).
При проведенні факторного аналізу операційного
прибутку, автором пропонується методика розрахунку таких факторів впливу на
зміну операційного прибутку: зміна цін на реалізовану продукцію, зміна обсягів
реалізованої продукції, зміна у структурі реалізованої продукції та зміна
собівартості одиниці продукції.
Розрахунок основних показників рентабельності
операційної діяльності ґрунтується на використання вихідних даних із фінансової
звітності: Балансу та Звіту про фінансові результати. Розкрито методику
визначення рентабельності реалізованої продукції за прибутком від реалізації,
рентабельності реалізованої продукції за прибутком від операційної діяльності,
рентабельності реалізованої продукції за чистим прибутком [111, c.61].
Особливу увагу автор приділяє питанню аналізу
маржинального доходу, що властивий системі "директ-костинг", яка дає
змогу послідовно визначити оптимальний асортимент продукції, оптимальний рівень
цін на продукцію, критичні обсяги реалізації, критичний рівень постійних
витрат, критичний рівень змінних витрат на одиницю продукції, оптимізувати прибуток.
Виходячи із методики, яку пропонує В.О. Мец
аналіз прибутку від операційної діяльності включає: аналіз валового прибутку,
аналіз прибутку від виробництва, аналіз прибутку від реалізації продукції,
аналіз позареалізаційних операцій, аналіз рівня беззбитковості, аналіз резервів
зростання прибутку, аналіз показників рентабельності.
Формування прибутку від виробництва продукції
проходить у дві стадії:
. Створення додаткового продукту в процесі
виробництва.
. Перетворення додаткового продукту в грошову форму
під час реалізації продукції.
Реальний прибуток підприємство одержує після
реалізації продукції, однак нова вартість утворюється тільки в процесі
виробництва, тому аналізуючи прибуток, який підприємство одержує в процесі
виробництва, можна зробити висновки щодо ефективності цього виробництва: саме
тут знаходяться резерви зростання прибутку. З огляду на це поряд з аналізом
прибутку від реалізації продукції на підприємстві в першу чергу треба
аналізувати прибуток від виробництва продукції. Під час аналізу цього питання
необхідно розрахувати вплив факторів на понадплановий прибуток, визначити
резерви збільшення цього прибутку на підприємстві. На відхилення планового
операційного прибутку діють такі фактори: зміна обсягу продукції, зміна цін,
зміна структури, зміна собівартості.
В.О. Мец описує внутрішній та зовнішній аналіз
прибутку від реалізації продукції. Методика аналізу в усіх випадках однакова:
порівнюються фактичні дані з даними попереднього звітного періоду або плану,
розраховується загальна сума зміни прибутку від реалізації, після чого
розраховуються фактори, які змінили фактичний прибуток від реалізації від
базового [69, c.53].
Залежно від мети аналізу вплив факторів можна
визначити більш детально (в разі коли проводиться внутрішній аналіз цього показника
для прийняття управлінських рішень, спрямованих на збільшення балансового
прибутку). При зовнішньому аналізі, коли обсяг наданої інформації значно
менший, ніж при внутрішньому, можуть бути встановлені лише основні шляхи зміни
прибутку від реалізації продукції. Також автором пропонується методика аналізу
позареалізаційних операцій, яка полягає у порівнянні показників за ряд звітних
періодів та визначенні абсолютних та відносних відхилень.
Ф.Ф. Бутинець розглядає прибуток, як позитивну
форму фінансових результатів, яка є рушійною силою, метою підприємницької
діяльності та показником її ефективності. Визначення фінансового результату як
процесу розрахунку прибутку поділяє на такі етапи: визначення чистого доходу
від реалізації продукції, визначення валового прибутку, визначення прибутку від
операційної діяльності, визначення прибутку від звичайної діяльності,
визначення чистого прибутку звітного періоду.
Методика аналізу прибутку від операційної
діяльності, запропонована автором, включає такі етапи:
. Аналіз обсягів, динаміки та структури
доходів, витрат і фінансових результатів від операційної діяльності. У процесі
аналізу здійснюється оцінка рівня і динаміки прибутку від операційної
діяльності; досліджується структура прибутку (вертикальний аналіз); зміна
темпів зростання прибутку в розрізі окремих складових частин (горизонтальний
аналіз).
2. Розрахунок впливу факторів на прибуток
від операційної діяльності. При цьому необхідно встановити чи правильно доходи
і витрати віднесені до операційної діяльності, чи не було порушень діючих
положень при віднесенні певних сум на збитки. Автор зазначає, що в процесі
факторного аналізу фінансових результатів від операційної діяльності необхідно
звернути увагу на прибуток від реалізації продукції (товарів, робіт, послуг).
Отримані результати аналітичних розрахунків складають необхідну інформаційну
базу для розробки асортиментної політики та пошуку резервів зниження
собівартості продукції.
. Аналіз показників рентабельності. Автор
виділяє такі групи показників рентабельності за якими проводиться аналіз
ефективності діяльності підприємства: витратні, ресурсні, доходні та розкриває
методику їх розрахунку.
. Аналіз взаємозв’язку
"витрати-обсяг-прибуток". Результати даного виду аналізу є підставою
для обґрунтування вибору управлінських рішень щодо технології виробництва для
мінімізації витрат і максимізації прибутку. В процесі проведення аналізу
"витрати-обсяг-прибуток" з’являється можливість моделювати
співвідношення цих показників з вибором найбільш оптимальної моделі. Автором
наводиться методика визначення обсягу реалізації, який забезпечить
відшкодування всіх витрат та отримання бажаного прибутку та розрахунок впливу
змін величини витрат, обсягу та ціни реалізації на прибуток підприємства
загалом та на операційний прибуток в тому числі.
. Аналіз резервів збільшення прибутку та
підвищення рентабельності. Пропонуються можливі варіанти пошуку резервів
збільшення операційного прибутку [34, с.374-376].
П.Я. Попович у системі управління підприємством
основну увагу приділяє аналізу чинників, що формують прибуток. При цьому
досліджують взаємозв’язок витрат, обсягу виробництва і прибутку підприємства.
Методика проведення такого аналізу, так званого
аналізу беззбитковості, базується на класифікації витрат на змінні та постійні
категорії маржинального доходу. Аналіз беззбитковості є високо ефективним для
вирішення завдань поточного управління підприємством. При його проведенні
вивчають зміну цін на продукцію, витрат (рівня і структури), обсягу реалізації
на прибуток, який прогнозують. Крім цього, аналіз беззбитковості є
високоефективним для підготовки й оцінювання різних проектів з точки зору
їхньої можливої прибутковості. У цілому аналіз взаємозв’язку "витрати -
обсяг - прибуток” спрямований на підготовку раціональних управлінських рішень.
Основними методами аналізу фінансових результатів
від операційної діяльності, запропонованими автором є горизонтальний,
вертикальний, трендовий, коефіцієнтний і аналіз чинників. У ході
горизонтального аналізу визначають абсолютні та відносні зміни величин різних
статей звітності за певний період. Мета вертикального аналізу - обчислення
питомої ваги окремих статей у загальному підсумку, тобто визначення структури
доходів, витрат та фінансових результатів від операційної діяльності на певну
дату. Трендовий аналіз - полягає у зіставленні величин статей звітності за
кілька років (або інших суміжних звітних періодів) для виявлення тенденцій, що
переважають у динаміці показників. При аналізі фінансових коефіцієнтів їх
значення зіставляють з базовими величинами, а також вивчають динаміку за
звітний період і за кілька суміжних звітних періодів [81, c.265].
Ю.С. Цал-Цалко наводить методику аналізу
фінансових результатів від операційної діяльності, яка відповідає алгоритму їх
формування у фінансовій звітності. Для аналізу рівня змінних витрат, чистого
доходу, валового прибутку і операційного прибутку автор вважає за доцільне
використовувати показники їх співвідношень щодо цінового, натурального і
комбінованого факторів, а також моделі функціональних зв’язків впливу цін і
натуральних обсягів реалізації на фінансові результати господарської діяльності
[100, c.449].
Автор стверджує, що всі фактори які визначають
величину прибутку від операційної діяльності матеріалізуються через збільшення
обсягів реалізації продукції і цін, зменшення виробничої собівартості,
оптимізацію структури та асортименту продукції, адміністративних витрат та
витрат на збут.
Для оцінки рівня ефективності господарювання в
динаміці, просторі за окремими регіонами, кількісними і якісними характеристиками
показників автор пропонує методику розрахунку показників валової та операційної
рентабельності. Для факторного аналізу прибутку Цал-Цалко Ю.С. рекомендує
використовувати індексний метод, як найбільш характерний прийом вивчення впливу
факторів на економічний показник [100, c.459].
Розгляд питань методики аналізу фінансових
результатів у працях вітчизняних авторів представлено у таблиці 3.1.
Таблиця 3.1
Розгляд питань методики аналізу фінансових
результатів від операційної діяльності у працях вітчизняних авторів
|
Питання,
що розглядалися Автор
|
Методика аналізу фінансових результатів
|
|
Аналіз обсягу та структури фін.
результатів
|
Аналіз динаміки фін. результатів
|
Аналіз взаємо- зв’язку
"витрати-обсяг-прибуток
|
Аналіз рентабе- льності операційної
діяльності
|
Факторний аналіз опера- ційно- го прибу-
тку
|
Оцінка резервів
|
|
1
|
2
|
3
|
4
|
5
|
6
|
7
|
|
Бутинець Ф.Ф. [34]
|
+
|
+
|
+
|
+
|
+
|
|
Грабовецький Б. Є. [42]
|
+
|
+
|
-
|
+
|
+
|
+
|
|
Литвин Б. М., Стельмах М.В. [66]
|
+
|
+
|
+
|
+
|
+
|
+
|
|
Мец В.О. [69]
|
+
|
-
|
+
|
+
|
+
|
-
|
|
Мних Є.В. [70]
|
-
|
+
|
-
|
+
|
+
|
+
|
|
Попович П.Я. [81]
|
+
|
+
|
+
|
-
|
+
|
-
|
|
Савицька Г.В. [85]
|
+
|
+
|
-
|
+
|
+
|
+
|
|
Цал-Цалко Ю.С. [100]
|
+
|
+
|
-
|
+
|
+
|
-
|
|
Шеремет О.О. [111]
|
+
|
+
|
+
|
+
|
+
|
+
|
Проаналізувавши таблицю 3.1 та здійснивши аналіз
праць вітчизняних вчених, можна зробити висновок, що методика аналізу
фінансових результатів від операційної діяльності розглядається всіма авторами,
проте із деякими відмінностями. Найбільш повно розкривається методика аналізу у
працях Ф.Ф. Бутинця, Б.М. Литвина та М.В. Стельмаха. Найбільше авторів
розглядають методики аналізу обсягу, структури та динаміки фінансових
результатів від операційної діяльності. Достатньо уваги приділено визначенню
показників рентабельності та методиці проведення факторного аналізу валового
прибутку та операційного прибутку. Найменше розглянуто методику аналізу
взаємозв’язку "витрати-обсяг-прибуток" та оцінку резервів підвищення
прибутку.
3.2
Аналіз рівня, динаміки та структури прибутку від операційної діяльності
підприємства
Інформацію про основні види прибутку підприємства,
як і основні дані для їх розрахунку, містить Звіт про фінансові результати
(додаток Ф). Аналіз фінансових результатів від операційної діяльності
розпочинається із дослідження їх рівня та динаміки. В процесі аналізу вивчають
зміну кожного з показників фінансових результатів операційної діяльності за
звітний період порівняно із попереднім періодом. Для оцінки рівня та динаміки
фінансових результатів операційної діяльності підприємства складаємо за даними
Звіту про фінансові результати аналітичну таблицю, що містить інформацію про
доходи, витрати, прибуток від операційної діяльності підприємства за звітний та
попередній періоди, їх абсолютну і відносну зміну.
За даними фінансової звітності ВАТ
"Чернівецький емальзавод "Карпати" проаналізуємо рівень прибутку
від операційної діяльності в табл.3.2.
Таблиця 3.2
Аналіз рівня прибутку від операційної діяльності
на ВАТ "Чернівецький емальзавод "Карпати" за 2011-2012 роки
|
№
|
Показник, тис. грн.
|
2011 рік
|
2012 рік
|
Відхилення
|
|
|
|
|
Абсол., +/-
|
Віднос, %
|
|
1
|
2
|
3
|
4
|
5
|
6
|
|
1.
|
Чистий дохід (виручка) від реалізації
продукції (товарів, робіт, послуг)
|
6043
|
7197
|
1154
|
19,1
|
|
2.
|
Собівартість реалізованої продукції
(товарів, робіт, послуг)
|
5104
|
6231
|
1127
|
22,1
|
|
3.
|
Валовий прибуток
|
939
|
966
|
27
|
2,8
|
|
4.
|
Інші операційні доходи
|
338
|
446
|
108
|
32
|
|
5.
|
Адміністративні витрати
|
658
|
698
|
40
|
6
|
|
6.
|
Витрати на збут
|
13
|
14
|
1
|
7,7
|
|
7.
|
Інші операційні витрати
|
530
|
599
|
69
|
13
|
|
8.
|
Прибуток від операційної діяльності
|
76
|
101
|
25
|
32,9
|
Аналіз даних табл.3.2 свідчить, що прибуток від
операційної діяльності на ВАТ "Чернівецький емальзавод "Карпати"
у 2012 році в порівнянні із 2011 роком зріс на 25 тис. грн., що у відсотковому
відношенні становить збільшення прибутку майже на 33%. Проте слід відмітити й
наступні негативні зміни: чистий дохід збільшився 19,1% при зростанні валового
прибутку на 2,8%, тобто темп приросту витрат на виробництво реалізованої
продукції є більшим за темп приросту доходу підприємства. У звітному періоді
також зросли інші операційні доходи на 108 тис. грн. (32%), що є позитивним
явищем для підприємства. Адміністративні витрати, витрати на збут та інші
операційні витрати у порівнянні із 2011 роком зросли на 6%, 7,7% та 13%
відповідно, що пов’язано із збільшенням обсягу реалізованої продукції на 19%.
Динаміку окремих показників фінансових
результатів - прибутку від операційної та валового прибутку як основної
складової операційного прибутку проаналізуємо за допомогою табл.3.3 та
табл.3.4.
Таблиця 3.3
Аналіз динаміки валового прибутку на ВАТ
"Чернівецький емальзавод "Карпати" за 2010-2012 роки
|
Період, рік
|
Валовий прибуток
|
Абсол. приріст, грн.
|
Темп зростання, %
|
Темп приросту, %
|
|
|
базисний
|
ланцюг.
|
базисний
|
ланцюг.
|
базисний
|
ланцюг.
|
|
2010
|
909
|
-
|
-
|
-
|
-
|
-
|
-
|
|
2011
|
939
|
30
|
30
|
103
|
103
|
3
|
3
|
|
2012
|
966
|
57
|
27
|
106
|
104
|
6
|
4
|
Проаналізувавши динаміку валового прибутку, ми
дійшли висновку, що на підприємстві протягом останніх трьох років відбувалося
стабільне зростання суми валового прибутку у порівнянні із базисним рівнем.
Найбільший темп зростання у порівнянні із 2010 роком склав 106% у 2012 році, у
порівнянні із 2011 роком - 104%. Дані розрахунки свідчать про позитивну
динаміку зміни валового прибутку.
Таблиця 3.4
Аналіз динаміки прибутку від операційної
діяльності на ВАТ "Чернівецький емальзавод "Карпати" за
2010-2012 роки
|
Період, рік
|
Операційний прибуток
|
Абсол. приріст, грн.
|
Темп зростання, %
|
Темп приросту, %
|
|
|
базисний
|
ланцюг.
|
базисний
|
ланцюг.
|
базисний
|
ланцюг.
|
|
2010
|
53
|
-
|
-
|
-
|
-
|
-
|
-
|
|
2011
|
76
|
23
|
23
|
143
|
143
|
43
|
43
|
|
2012
|
101
|
48
|
25
|
191
|
133
|
91
|
33
|
Аналізуючи дані таблиці 3.4, можна стверджувати,
що протягом останніх трьох років на ВАТ "Чернівецький емальзавод
"Карпати" відбувалося постійне зростання прибутку від операційної
діяльності. Так, у 2012 році прибуток від операційної діяльності у порівнянні
із 2011 роком зріс на 33%, а у порівнянні із 2010 роком - збільшився на 91%,
майже втричі, що характеризує підвищення господарської діяльності підприємства.
Після оцінки динаміки прибутку від операційної
діяльності необхідно провести аналіз його структури. Але перед цим доцільно
проаналізувати структуру доходів і витрат, понесених для отримання цих доходів,
адже у ході їх порівняння й визначаються фінансові результати. Аналіз структури
та динаміки доходів і витрат від операційної діяльності свідчить про
доцільність здійснених витрат у порівняння з отриманими доходами. Для оцінки
структури доходів, витрат та фінансових результатів також використаємо дані
Звіту про фінансові результати і складемо наступну аналітичну таблицю 3.5.
Таблиця 3.5
Аналіз структури доходів від операційної
діяльності на ВАТ "Чернівецький емальзавод "Карпати" за
2011-2012 роки
|
№
|
Показники
|
2011 р.
|
2012 р.
|
Відхилення
|
|
|
Сума, грн.
|
Пит. вага,%
|
Сума, грн.
|
Пит. вага,%
|
Абс., грн.
|
Відн.,%
|
Пунктів структур
|
|
1
|
2
|
3
|
4
|
5
|
6
|
7
|
8
|
9
|
|
2.
|
Чистий дохід від реалізації продукції
|
6043
|
94,7
|
7197
|
94,2
|
1154
|
19,1
|
-0,5
|
|
3.
|
Інші операційні доходи
|
338
|
5,3
|
446
|
5,8
|
108
|
32
|
0,5
|
|
4.
|
Разом доходів
|
6381
|
100
|
7643
|
100
|
1262
|
20
|
0
|
Аналіз даних про доходи підприємства у 2012 році
свідчить про їх позитивну динаміку у порівнянні із попереднім роком. Також
відбулися незначні структурні зрушення, зокрема на 0,5 пунктів структури
зменшилася питома вага чистого доходу від реалізації продукції у загальній сумі
доходів від операційної діяльності, та на 0,5 пунктів структури збільшилась
питома вага інших операційних доходів. Разом з цим найбільшу питому вагу в
структурі доходів від операційної діяльності займає дохід від реалізації
продукції (94,2 і 94,7% відповідно за 2012 та 2011 роки).
Аналіз структури витрат від операційної
діяльності проведемо в таблиці 3.6.
Таблиця 3.6
Аналіз структури витрат від операційної
діяльності на ВАТ "Чернівецький емальзавод "Карпати" за
2011-2012 роки
|
№
|
Показники
|
2011 р.
|
2012 р.
|
Відхилення
|
|
|
Сума, грн.
|
Пит. вага,%
|
Сума, грн.
|
Пит. вага,%
|
Абс., грн.
|
Відн.,%
|
Пунктів структур
|
|
1
|
2
|
3
|
4
|
5
|
6
|
7
|
8
|
9
|
|
2.
|
Собівартість реалізованої продукції
|
5104
|
68
|
6231
|
69
|
1127
|
22
|
1
|
|
3.
|
Адміністративні витрати
|
658
|
8,5
|
698
|
7,7
|
40
|
6
|
-0,8
|
|
4.
|
Витрати на збут
|
13
|
0,2
|
14
|
0,1
|
1
|
7,7
|
-0,1
|
|
5.
|
Інші операційні витрати
|
530
|
7,2
|
599
|
7,2
|
69
|
13
|
-
|
|
6.
|
Разом витрат від операційної діяльності
|
7514
|
100
|
8981
|
100
|
1467
|
19,5
|
0
|
Таким чином, виходячи із розрахунків, наведених в
таблиці 3.6 на підприємстві відбулося зростання витрат операційної діяльності
на 1467 грн. (або 19,5%). Зокрема така зміна зумовлена зростанням собівартості
реалізованої продукції на 22%, адміністративних витрат на 6%, витрат на збут на
7,7% а також інших операційних витрат на 13%. Відповідно такі зміни вплинули на
загальну структуру витрат: на 1 пункт структури зросла собівартість
реалізованої продукції, на 0,8 пунктів структури зменшились адміністративні
витрати та на 0,1 пункт структури зменшились витрати на збут. Найбільшу питому
вагу серед витрат займає собівартість реалізованої продукції (68% та 69%
відповідно за 2011 та 2012 рік). Зростання частки собівартості реалізованої
продукції на 22% є результатом зростання обсягу реалізації.
Наведену структуру витрат можна охарактеризувати
як незадовільну для підприємства, оскільки досить великий відсоток в їх
загальному обсязі займає собівартість реалізованої продукції та низьку питому
вагу займають адміністративні витрати та витрати на збут.
Проведемо аналіз структури фінансових результатів
та оцінку структурних зрушень, а також визначимо питому вагу, яку займає
валовий прибуток та прибуток від операційної діяльності у загальному прибутку
досліджуваного підприємства в таблиці 3.7.
Таблиця 3.7
Аналіз структури фінансових результатів на ВАТ
"Чернівецький емальзавод "Карпати" за 2011-2012 роки
|
№
|
Показники
|
2011 р.
|
2012 р.
|
Відхилення
|
|
|
Сума, грн.
|
Пит. вага,%
|
Сума, грн.
|
Пит. вага,%
|
Абс., грн.
|
Відн.,%
|
Пунктів структур
|
|
1.
|
2.
|
3.
|
4.
|
5.
|
6.
|
7.
|
9.
|
|
1.
|
Прибуток від звичайної діяльності, у т.
ч.:
|
76
|
100
|
101
|
100
|
25
|
33
|
0
|
|
1.1
|
Прибуток від операційної діяльності
|
76
|
100
|
101
|
100
|
25
|
33
|
0
|
|
1.2
|
Прибуток від фінансової діяльності
|
0
|
0
|
0
|
0
|
0
|
0
|
0
|
|
1.3
|
Прибуток від інвестиційної діяльності
|
0
|
0
|
0
|
0
|
0
|
0
|
0
|
|
2.
|
Прибуток від надзвичайної діяльності
|
0
|
0
|
0
|
0
|
0
|
0
|
0
|
|
3.
|
Загальний прибуток
|
76
|
100
|
101
|
100
|
25
|
33
|
0
|
|
|
|
|
|
|
|
|
|
|
За даними таблиці 3.7 основну 100% частку в
загальному прибутку підприємства займає прибуток від операційної діяльності.
Підприємство не отримало доходів та не понесло витрат від фінансової,
інвестиційної та надзвичайної діяльності. Отже основне джерело одержання
прибутку на ВАТ "Чернівецький емальзавод "Карпати" за 2011-2012
роки була саме операційна діяльність. Прибуток від операційної діяльності у
досліджуваному періоді зріс на 33%, що є позитивним явищем для підприємства.
Проте, негативним є той факт, що підприємство не здійснює ніяких фінансових та
інвестиційних операцій, які б підвищили прибутковість його діяльності загалом.
Таким чином, можна стверджувати, що прибутковість
операційної діяльності досліджуваного підприємства у звітному періоді у
порівнянні із рядом попередніх періодів характеризується позитивною динамікою
зростання, що свідчить про підвищення ефективності управління господарською
діяльністю підприємства загалом.
3.3
Факторний аналіз прибутку від операційної діяльності підприємства
Об'єктом особливої уваги на будь-якому
підприємстві є прибуток від операційної діяльності, тому що його розмір складає
основну частину прибутку від звичайної діяльності підприємства. На ВАТ
"Чернівецький емальзавод "Карпати" саме прибуток від операційної
діяльності за мінусом податку на прибуток формує чистий прибуток підприємства,
оскільки на підприємстві немає фінансових та інвестиційних доходів та витрат.
Саме тому важливим є виявлення та кількісне вимірювання факторів впливу на
прибуток від операційної діяльності.
Факторний аналіз операційного прибутку наведемо в
табл.3.8.
Таблиця 3.8
Факторний аналіз прибутку від операційної
діяльності на ВАТ "Чернівецький емальзавод "Карпати" за
2010-2012 роки
|
№ п/п
|
Найменування показника
|
Роки
|
|
|
2010
|
2011
|
2012
|
|
1
|
2
|
3
|
4
|
5
|
|
1.
|
Чистий дохід (виручка) від реалізації
продукції (товарів, робіт, послуг)
|
5872
|
6043
|
7197
|
|
2.
|
Собівартість реалізованої продукції
(товарів, робіт, послуг)
|
4963
|
5104
|
6231
|
|
3.
|
Інші операційні доходи
|
321
|
338
|
446
|
|
4.
|
Адміністративні витрати
|
627
|
658
|
698
|
|
5.
|
Витрати на збут
|
11
|
13
|
14
|
|
6.
|
Інші операційні витрати
|
539
|
530
|
599
|
|
7.
|
Прибуток від операційної діяльності
|
53
|
76
|
101
|
|
8.
|
Зростання (зменшення) прибутку від
операційної діяльності Всього
|
-
|
23
|
25
|
|
8.1
|
За рахунок зростання (зменшення) чистого
доходу від реалізації продукції
|
-
|
171
|
1154
|
|
8.2
|
За рахунок зростання (зменшення)
собівартості реалізованої продукції
|
-
|
-141
|
-1127
|
|
8.3
|
За рахунок зростання (зменшення) інших
операційних доходів
|
-
|
17
|
108
|
|
8.4
|
За рахунок зростання (зменшення)
адміністративних витрат
|
-
|
-31
|
-40
|
|
8.5
|
За рахунок зростання (зменшення) витрат
на збут
|
-
|
-2
|
-1
|
|
8.6
|
За рахунок зростання (зменшення) інших
операційних витрат
|
-
|
9
|
-69
|
Виходячи із даних табл.3.8, можна стверджувати,
що прибуток від операційної діяльності на ВАТ "Чернівецький емальзавод
"Карпати" у 2012 році порівняно із 2010 та 2011 роками збільшився на
23 та 25 тис. грн. відповідно, в тому числі за рахунок впливу таких факторів
формування прибутку:
¾ Збільшення
чистого доходу від реалізації продукції зумовило зростання операційного
прибутку на 171 та 1154 тис. грн. у порівнянні із 2010 та 2011 роками
відповідно;
¾ За рахунок
збільшення собівартості реалізованої продукції, операційний прибуток зменшився
на 141 та 1127 тис. грн. відповідно;
¾ За рахунок
збільшення інших операційних витрат, операційний прибуток у порівнянні із
попередніми періодами збільшився на 108 тис. грн.;
¾ За рахунок
збільшення адміністративних витрат, операційний прибуток зменшився на 31 та 40
тис. грн.;
¾ За рахунок
збільшення витрат на збут, операційний прибуток зменшився на 2 та 1 тис. грн.;
¾ За рахунок зміни
інших операційних витрат, прибуток від операційної діяльності у порівнянні із
2010 зріс на 9 тис. грн., а у порівнянні із 2012 роком зменшився на 69 тис.
грн.
Дана ситуація є позитивним явищем для
підприємства, найбільший вплив на зміну прибутку від операційної діяльності
здійснило збільшення доходів від реалізації та зміна собівартості реалізованої
продукції.
Особливу увагу в процесі факторного аналізу
прибутку від операційної діяльності необхідно звернути на найбільш суттєву
складову його формування - прибуток від реалізації продукції - результат
основної діяльності.
На прибуток від реалізації продукції в цілому по
підприємству впливає чотири основних фактори першого рівня:
обсяг реалізації продукції в натуральних
одиницях (ОР);
- собівартість одиниці і-го виду продукції
(Сі);
структура реалізації (ПВ);
рівень цін одиниці і-го виду продукції
(Ці).
Модель залежності прибутку від наведених факторів
має такий вигляд:
ВП = ОР

і (Ці - Сі), (3.1)
де n - кількість видів продукції,
ВП - валовий прибуток.
Методика факторного аналізу валового прибутку наведена в
табл.3.9.
Таблиця 3.9
Порядок визначення впливу факторів на зміну валового
прибутку
|
№
|
Показники
|
Алгоритм розрахунку
|
|
1
|
2
|
3
|
|
1.
|
Чистий дохід за період, з яким
проводиться порівняння
|
ЧДо = Ціо
 ОРіо
|
|
2.
|
Чистий дохід за період, який
аналізується
|
ЧД1 = Ці1
 ОРі1
|
|
3.
|
Собівартість за період, з яким
проводиться порівняння
|
Со = Сіо
 ОРіо
|
|
4.
|
Собівартість за період, який
аналізується
|
С1 = Сі1
 ОРі1
|
|
5.
|
Чистий дохід при структурі та обсязі
реалізації за період, який аналізується, та цінах за період, з яким
проводиться порівняння
|
ЧДум = ОРі1 іо і1
|
|
6.
|
Собівартість реалізації при структурі та
обсязі реалізації за період, який аналізується, та собівартості одиниці
продукції за період, з яким проводиться порівняння
|
Сум = ОРі1 іо і1
|
|
7.
|
Прибуток від реалізації за період, з
яким проводиться порівняння
|
ВПо = ЧДо
- Со
|
|
8.
|
Прибуток за період, який аналізується
|
ВП1 = ЧД1
- С1
|
|
9.
|
Прибуток від реалізації при структурі та
обсязі реалізації за період, який аналізується
|
ВПум = ЧДум
- Сум
|
|
10.
|
Зміна прибутку від реалізації під
впливом структурних зрушень і фактичного обсягу реалізації
|
 ВППВ, ОР = ВПум
- ВПо
|
10.1 Зміна прибутку від реалізації під впливом
зміни обсягу реалізації 
ВПОР = ВП0 
- ВПо,
|
де І - індекс фактичного обсягу
реалізації
|
|
|
10.2
|
Зміна прибутку від реалізації під
впливом структурних зрушень
|
 ВППВ =  ВППВ, ОР -  ВПОР
|
|
11.
|
Зміна прибутку від реалізації під
впливом зміни цін реалізації
|
 ВПЦ = (ЧД1 - Сум)
- ВПум
|
|
12.
|
Зміна прибутку від реалізації під
впливом зміни собівартості
|
 ВПС = ВП1 -
(ЧД1 - Сум)
|
|
13.
|
Загальна зміна прибутку від реалізації
|
 ВП = ВП1 - ВПо
=  ВППВ, ОР +  ВПЦ +  ВПС
|
Розглянемо застосування наведеної методики
факторного аналізу валового прибутку на підставі даних ВАТ "Чернівецький
емальзавод "Карпати", наведених в табл.3.10.
Таблиця 3.10
Вихідні дані для аналізу валового прибутку на ВАТ
"Чернівецький емальзавод "Карпати" за 2011-2012 роки
|
№
|
Вид продукції на підприємстві
|
Обсяг реалізованої продукції, од.
|
Ціна за одиницю продукції, грн.
|
Собівартість реалізації од. продукції,
грн.
|
|
|
2011
|
2012
|
2011
|
2012
|
2011
|
2012
|
|
1
|
2
|
3
|
4
|
5
|
6
|
7
|
8
|
|
1.
|
Обладнання
|
4647
|
5286
|
628,1
|
653,04
|
530,54
|
565,39
|
|
2.
|
Посудини з емальпокриттям
|
4642
|
5362
|
672,98
|
698,4
|
568,41
|
604,68
|
Для аналізу впливу факторів на валовий прибуток
підприємства складається наступна аналітична табл.3.11.
Таблиця 3.11
Факторний аналіз валового прибутку на ВАТ
"Чернівецький емальзавод "Карпати" за 2011-2012 роки
|
№
|
Показники
|
Розрахунок
|
Результат
|
|
1.
|
ЧД1
|
628,1 4647+672,98 46426042753,8
|
|
|
2.
|
ЧД2
|
653,04 5286+698,4 53627196790,2
|
|
|
3.
|
С1
|
530,54 4647+568,41 46425103978,5
|
|
|
4.
|
С2
|
565,39 5286+604,68 53626230945,6
|
|
|
5.
|
ЧДУМ
|
5286 628,1+5362 672,986928655,3
|
|
|
6.
|
СУМ
|
5286 530,54+5362 568,415842699,1
|
|
|
7.
|
ВП1
|
6042753,8 - 5103978,5
|
938775,3
|
|
8.
|
ВП2
|
7196790,2 - 6230945,6
|
965844,6
|
|
9.
|
ВПУМ
|
6928655,3 - 5842699,1
|
1085956,2
|
|
10.
|
 ВППВ, ОР1085956,2 -
938775,3147180,9
|
|
|
|
10.1
|
 ВПОР938775,3 (5286+5362) / (4647+4642) 1076120
|
|
|
|
10.2
|
 ВППВ147180,9 -
1076120-928939,1
|
|
|
|
11.
|
 ВПЦ (7196790,2-5842699,1) -
1085956,2268134,9
|
|
|
|
12.
|
 ВПС965844,6 -
(7196790,2-5842699,1) -388246,5
|
|
|
|
13.
|
 ВП147180,9+268134,9-388246,527069,3
|
|
|
Виходячи із розрахунків табл.3.11 можна зробити
висновок про те, що відбулося зростання суми валового прибутку в 2012 році на
27069 грн. Це відбулося завдяки зміні структури та обсягу реалізації, що
збільшило валовий прибуток на 147180 грн. та за рахунок підвищення цін на
268134 грн. Негативно вплинуло на величину прибутку (зменшення на 388246 грн.)
збільшення собівартості продукції. Вказана сума є резервом підвищення прибутку
за умови ефективнішого використання виробничих ресурсів.
Проаналізувавши прибуток від реалізації продукції
у цілому по підприємству, необхідно оцінити рівень та динаміку прибутку від
реалізації окремих видів продукції, на які впливають наступні фактори першого
порядку:
· обсяг реалізації
продукції;
· собівартість одиниці
продукції;
· ціна одиниці продукції.
Відповідно модель прибутку від реалізації окремих
видів продукції наступна:
ВПі = ОРі
(Ці - Сі) (3.2)
Для аналізу прибутку від реалізації за окремими видами
продукції використаємо дані табл.3.10.
Таблиця 3.12
Факторний аналіз валового прибутку за окремими
видами продукції на ВАТ "Чернівецький емальзавод "Карпати" за
2011-2012 роки
|
№
|
Показник
|
Обладнання
|
Посудини з емальпокриттям
|
|
|
Розрахунок
|
Результат
|
Розрахунок
|
Результат
|
|
1
|
2
|
3
|
4
|
5
|
6
|
|
1.
|
ЧД1
|
628,1 46472918780,7672,98 46423123973,1
|
|
|
|
|
2.
|
ЧД2
|
653,04 52863451969,4698,4 53623744820,8
|
|
|
|
|
3.
|
С1
|
530,54 46472465419,3568,41 46422638559,2
|
|
|
|
|
4.
|
С2
|
565,39 52862988651,5604,68 53623242294,1
|
|
|
|
|
5.
|
ЧДУМ
|
5286 628,13320136,65362 672,983608518,7
|
|
|
|
|
6.
|
СУМ
|
5286 530,542804434,45362 568,413047814,4
|
|
|
|
|
7.
|
ВП1
|
2918780,7 - 2465419,3
|
453361,4
|
3123973,1 - 2638559,2
|
485413,9
|
|
8.
|
ВП2
|
463317,9
|
3744820,8 - 3242294,1
|
502526,7
|
|
9.
|
ВПУМ
|
3320136,6 - 2804434,4
|
515702,2
|
3608518,7 - 3047814,4
|
560704,3
|
|
10.
|
 ВПОР515702,2 -
453361,462340,8560704,3 - 485413,975290,4
|
|
|
|
|
|
11.
|
 ВПЦ3451969,4 - 2804434,4 -
515702,2 131832,83744820,8 - 3047814,4 - 560704,3136302,1
|
|
|
|
|
|
12.
|
 ВПС- (2988651,5 - 2804434,4)
-184217,1- (3242294,1 - 3047814,4) -194479,7
|
|
|
|
|
|
13.
|
 ВП62340,8+131832,8-184217,19956,575290,4+136302,1-194479,717112,8
|
|
|
|
|
Аналізуючи дані табл.3.12 можна стверджувати, що
за обома видами продукції відбулося зростання прибутку від реалізації. Зокрема,
за продукцією - обладнання - прибуток збільшився на 9956 грн., посудини з
емальпокриттям - на 17112 грн. Це стало можливим: за першим видом продукції за
рахунок збільшення обсягу реалізації на 639 одиниць, валовий прибуток зріс на
62340 грн., за рахунок зростання ціни на 25 грн. - валовий прибуток зріс на
131832 грн., а за рахунок збільшення собівартості валовий прибуток зменшився на
184217 грн.; за другим видом продукції - валовий прибуток збільшився на 75290
грн. за рахунок збільшення обсягу реалізації на 620 одиниць, валовий прибуток
збільшився на 136302 грн. за рахунок збільшення ціни на 25,5 грн., та валовий
прибуток зменшився на 194479 грн. за рахунок збільшення собівартості.
Визначимо вплив таких факторів на зміну прибутку
від операційної діяльності:
обсяг реалізації продукції в натуральних
одиницях (ОР);
- собівартість одиниці і-го виду продукції
(Сі);
структура реалізації (ПВ);
рівень цін одиниці і-го виду продукції
(Ці).
Нами запропоновано модель залежності операційного
прибутку від наведених факторів, яка має наступний вигляд:
П = ОР

і (Ці - Сі) + ІОД - АВ-ЗВ -
ІОВ, (3.3)
де n - кількість видів продукції,
П - прибуток від операційної діяльності,
ІОД - інші операційні доходи,
АВ - адміністративні витрати,
ЗВ - витрати на збут,
ІОВ - інші операційні витрати.
Використовуючи дані табл.3.11 визначимо вплив наведених
вище факторів на зміну операційного прибутку в табл.3.13.
Таблиця 3.13
Факторний аналіз прибутку від операційної
діяльності на ВАТ "Чернівецький емальзавод "Карпати" за
2011-2012 роки
Аналізуючи розрахунки, наведені в табл.3.13,
можна зробити висновок, що операційний прибуток на ВАТ "Чернівецький
емальзавод "Карпати" у 2012 році у порівнянні із попереднім звітним
періодом зріс на 25 тис. грн. Це відбулося за рахунок впливу таких факторів:
¾ зміна структури
та обсягу реалізації призвела до збільшення операційного прибутку на 145 тис.
грн.;
¾ підвищення цін
зумовило зростання прибутку на 266 тис. грн.;
¾ зростання
собівартості призвело до зменшення операційного прибутку на 390 тис. грн.
Резервом підвищення прибутку від операційної
діяльності є зниження собівартості продукції за умови ефективнішого
використання виробничих ресурсів.
Абсолютна сума прибутку не характеризує рівень
ефективності господарської діяльності. Щоб зробити висновок про рівень
ефективності господарювання, отриманий прибуток необхідно порівняти з
понесеними витратами. Для цього розрахуємо показники рентабельності.
Аналіз рентабельності операційної діяльності на
ВАТ "Чернівецький емальзавод "Карпати" за 2011 та 2012 роки
наведемо у табл.3.14.
Таблиця 3.14
Аналіз показників рентабельності операційної
діяльності на ВАТ "Чернівецький емальзавод "Карпати" за 2011 та
2012 роки
|
№
|
Показник
|
2011 р.
|
2012 р.
|
Абс. відх. +,-
|
|
1.
|
Валовий прибуток, тис. грн.
|
939
|
966
|
27
|
|
2.
|
Чистий дохід, тис. грн.
|
6043
|
7197
|
1154
|
|
3.
|
Операційний прибуток, тис. грн.
|
76
|
101
|
25
|
|
4.
|
Чистий прибуток, тис. грн.
|
37
|
41
|
4
|
|
5.
|
Доходи від операційної діяльності, тис.
грн.
|
6381
|
7643
|
1262
|
|
6.
|
Собівартість реалізованої продукції,
тис. грн.
|
5104
|
6231
|
1127
|
|
7
|
Операційні витрати, тис. грн.
|
7514
|
8981
|
1467
|
|
8.
|
Рентабельність продукції, %
|
18,4
|
15,5
|
-2,9
|
|
9.
|
Операційна рентабельність, %
|
12,6
|
14
|
1,4
|
|
10.
|
Валова рентабельність реалізованої
продукції, %
|
15,5
|
13,4
|
-2,1
|
|
14.
|
Чиста рентабельність реалізованої
продукції, %
|
0,6
|
0,6
|
-
|
|
15.
|
Рентабельність доходу від операційної
діяльності, %
|
12
|
13,2
|
1,2
|
За розрахунками, наведеними в таблиці, можна
зробити наступні висновки про те, що у 2012 році порівняно із 2011 роком
рентабельність реалізованої продукції зменшилась на 2,9%, що свідчить про
зростання собівартості реалізованої продукції у звітному періоді, також
зменшилась валова рентабельність реалізованої продукції на 2,1%. Проте
позитивним є зростання операційної рентабельності на 1,4% порівняно із 2011
роком та зростання рентабельності доходу від операційної діяльності на 1,2%, що
свідчить про підвищення ефективності операційної діяльності. Чиста
рентабельність реалізованої продукції залишилась без змін.
3.4
Удосконалення організації економічного аналізу прибутку від операційної
діяльності на підприємстві
Ефективно організоване управління господарською
діяльністю підприємств відбувається завдяки сукупності взаємопов’язаних
послідовно здійснюваних функцій. Необхідною складовою процесу управління
підприємством у сучасних умовах виступає організація аналітичної роботи.
Виявлення можливостей і перспективи розвитку підприємства є головним напрямком
його практичної реалізації [80, с.126].
Основним завданням економічного аналізу на
підприємстві є оцінка результатів господарської діяльності, виявлення резервів
виробництва і факторів, які мають позитивний чи негативний вплив на кінцеві
показники роботи підприємства. Розгалужена система аналітичної роботи в
народному господарстві, промисловості та окремих підприємствах потребує
відповідної організації, тобто упорядкування, налагодження координації та
погодження її здійснення з метою попередження дублювання, внесення єдності в
роботу окремих посадових осіб чи аналітичних органів [90, с.98].
Раціональна організація забезпечує реальність і
дієвість економічного аналізу, зводиться до мінімуму втрата чи спотворення
вхідної інформації. Забезпечується вихід аналітичної інформації за різною
ієрархією управління чи за різним ступенем досягнення проміжних і кінцевих
аналітичних результатів.
Головними завданнями організації економічного
аналізу є: забезпечення ефективності аналізу, його розвиток та вдосконалення;
раціональна організація праці; автоматизація аналітичних робіт; підвищення
якості використання аналітичної інформації; раціоналізація аналітичних процесів
тощо.
Важливим принципом аналізу є комплексний підхід
для пов'язання мети з ресурсами та можливостями підприємства, виробітку шляхів
досягнення мети, що є реальною тільки в результаті розробки програм аналізу на
підприємстві. Методи розробки таких програм вимагають орієнтування на
максимальне використання потенційних можливостей підприємства та резервів
виробництва.
Організація аналітичної роботи на підприємствах
включає розробку загальних планів та планів (програм) конкретних аналітичних
робіт: порядок проведення аналізу; матеріальне, методичне й наукове
забезпечення; загальне керівництво, способи виконання аналітичних робіт,
контроль за впровадженням у виробництво виявлених резервів [62, с.34].
На ВАТ "Чернівецький емальзавод
"Карпати" немає аналітичного відділу, який б займався веденням
економічного аналізу в цілому по підприємству та зокрема досліджував б
прибутковість операційної діяльності. Оскільки важливе значення для успішного
аналізу мають організаційні форми його проведення, то рекомендується ввести на
заводі посаду фінансового аналітика. Одним з основних напрямків його роботи
повинен бути аналіз фінансової звітності, що дасть змогу оцінити результати
діяльності, прогнозувати напрямки підвищення ефективності господарювання та
запропонувати ефективні управлінські рішення, а також дослідження прибутку від
операційної діяльності в цілому та в розрізі структурних підрозділів з метою
надання рекомендацій щодо покращення ефективності діяльності підприємства.
Цілеспрямованість
аналітичного дослідження, вагомість його висновків та обґрунтованість
пропозицій значною мірою залежать від добору виконавців. Розподіл аналітичної
роботи між окремими виконавцями вимагає уважного підходу, врахування
індивідуальних особливостей та рівня знань виконавців.
Аналітичну роботу на ВАТ "Чернівецький
емальзавод "Карпати" рекомендується розпочинати з планування.
Важливим є складання загального плану аналітичної роботи та плану (програми)
конкретних аналітичних робіт.
Відповідальність за розробку плану аналітичної
роботи та контроль за його дотриманням рекомендується покласти на
планово-економічний відділ.
Для кращої організації аналітичної роботи щодо
аналізу прибутку від операційної діяльності пропонується ввести в практику
підприємства розроблений "Тематичний план аналітичних робіт". Даний
план містить основну інформацію щодо виду аналітичної роботи, мети аналізу,
періоду проведення, відповідальних виконавців та співвиконавців, документи, які
необхідні для проведення аналізу, терміни та способи подання, а також
відповідальну особу за подання. Зразок плану аналітичних робіт наведений в
таблиці 3.14.
Таблиця 3.14
Розроблений тематичний
план робіт по аналізу прибутку від операційної діяльності для ВАТ
"Чернівецький емальзавод "Карпати"
|
Вид аналітичної роботи (завдання)
|
Мета аналізу
|
Періодичність проведення
|
Відповідальний виконавець
|
Співвиконавці
|
Вихідна інформація
|
Кому пропону ють
|
Термін подання
|
Спосіб подання
|
Відповідаль ний за подання
|
Інформаційне забезпечення
|
|
1
|
2
|
3
|
4
|
5
|
6
|
7
|
8
|
9
|
10
|
11
|
|
Аналіз прибутку від опера ційної
діяльності
|
Пошук напрямів підвище ння ефектив ності
операцій ної діяльності
|
Квартал, рік, місяць, в міру необхідно
сті
|
Фінансо вий аналітик
|
Головний бухгалтер
|
Висновки, рекомендації
|
Керівнику підприємства, керівникам
структурних підрозділів
|
Квартал, рік, місяць
|
Таблиці, графіки, розраху нки,
|
Фінансовий аналітик
|
Фінансова звітність, дані управлінського
обліку, статистична звітність
|
Важливим елементом в організації аналітичної
роботи є застосування впорядкованих послідовних етапів під час проведення
аналітичного дослідження. На ВАТ "Чернівецький емальзавод
"Карпати" аналіз прибутку від операційної діяльності та інших
об’єктів рекомендується проводити використовуючи етапи, наведені в табл.3.15
Таблиця 3.15
Рекомендовані етапи
аналізу прибутку від операційної діяльності для ВАТ "Чернівецький
емальзавод "Карпати"
|
Етапи аналізу
|
Складові етапу
|
Виконавці робіт
|
|
1. Підготовчий етап
|
1. Розробка плану та програми проведення
аналізу 2. Формування цілей та завдань аналізу і напрямків використання його
результатів. 3. Розробка системи показників, за допомогою яких
характеризується прибуток від операційної діяльності. 4. Розподіл роботи між
аналітиками. 5. Розробка макетів і форм аналітичних таблиць, графіків. 6.
Перевірка достовірності джерел інформації та вивчення попередніх обстежень. 7.
Визначення конкретних виконавців та розподіл обов'язків між ними, а також
інші організаційні питання.
|
Планово-економічний відділ
|
|
2. Основний етап
|
1. Збирання та опрацьовування звітної
інформації по доходах, витратах та фінансових результатах від операційної
діяльності по підприємству, планів та розрахунків виробництва. 2. Проведення
аналізу рівня та динаміки прибутку від операційної діяльності. 3. Проведення
аналізу структури доходів та витрат від операційної діяльності. 4. Визначення
загальних відхилень фактичних обсягів доходів, витрат та прибутку від
операційної діяльності від планових розрахунків. 5. Виявлення взаємодіючих
факторів і обчислення їхнього впливу на операційний прибуток підприємства. 6.
Аналіз резервів збільшення прибутку від операційної діяльності
|
Фінансовий аналітик, відділ бухг. обліку
|
|
3. Завершальний етап
|
1. Узагальнення результатів аналізу. 2.
Розробка висновків і пропозицій щодо прийняття належних управлінських рішень
за результатами аналізу, відповідно до його цілей і завдань.
|
Фінансовий аналітик
|
Важливим питанням в
організації економічного аналізу є визначення завдань та об’єктів аналізу. Для
ВАТ "Чернівецький емальзавод "Карпати" розроблено загальну
модель аналізу прибутку від операційної діяльності, наведену на рис.3.1.
Рис.3.1 Запропонована
загальна модель аналізу прибутку від операційної діяльності на ВАТ
"Чернівецький емальзавод "Карпати"
Вирішення задач аналізу
фінансових результатів залежить багато в чому від якісного інформаційного забезпечення.
Джерела інформації, які рекомендується використовувати для проведення аналізу
прибутку від операційної діяльності та їхні аналітичні можливості наведено в
табл.3.16.
Таблиця 3.16
Рекомендовані джерела
інформації для аналізу прибутку від операційної діяльності на ВАТ
"Чернівецький емальзавод "Карпати"
|
Інформаційне джерело
|
Форма
|
Аналітичні можливості
|
|
Публічна фінансова звітність
|
Звіт про фінансові результати, Ф. №2
|
Горизонтальний та вертикальний аналіз
фінансових результатів від операційної діяльності. Оцінка ефективності
господарювання на основі показників рентабельності та ділової активності.
|
|
Звіт про рух грошових коштів, Ф. №3
|
Оцінка руху грошових коштів в процесі
операційної діяльності.
|
|
Примітки до річної фінансової звітності,
Ф. №5
|
Оцінка ступеня впливу на прибуток від
операційної діяльності простроченої дебіторської заборгованості, нестач і
втрат від псування цінностей.
|
|
Статистична звітність
|
Звіт про фінансові результати і
дебіторську та кредиторську заборгованість, Ф. №1-Б
|
Оцінка ступеня впливу простроченої
дебіторської та кредиторської заборгованості на прибуток від операційної
діяльності.
|
|
Звіт про основні показники діяльності
підприємства, Ф. №1-підприємництво
|
Система основних показників фінансових
результатів від операційної діяльності (операційний, валовий прибуток,
собівартість реалізованої продукції) за 2 періоди.
|
|
Річний звіт підприємства по продукції,
Ф. №1-п
|
Склад операційних витрат виготовленої
продукції в системі факторного аналізу прибутку від операційної діяльності.
|
|
Дані бухгалтерського обліку
|
Рахунки класів 7 "Доходи та
результати діяльності", 8 "Витрати за елементами", 9
"Витрати діяльності"
|
Оцінка правильності віднесення доходів
та витрат до операційної діяльності та правильність формування прибутку від
операційної діяльності.
|
|
Облікові регістри
|
Журнали-ордери по обліку доходів, витрат
та фінансових результатів
|
Відображення узагальненої інформації
щодо доходів, витрат та фінансових результатів у розрізі видів діяльності.
|
|
Інша інформація
|
Експертні оцінки
|
Аудиторські висновки щодо правильності
визначення прибутку від операційної діяльності.
|
|
Дані внутрішньогосподарського
управлінського обліку
|
Інформаційна база факторного аналізу
операційного прибутку (склад, структура, асортимент продукції, її
собівартість).
|
Узагальнюючи все вищевикладене, нами
запропоновано організаційну модель аналізу прибутку від операційної діяльності,
наведену на рис.3.2.
Органічною складовою аналітичної роботи є
перевірка вірогідності джерел інформації. Достовірність аналітичних висновків
за результатами проведеного економічного аналізу залежить передовсім від якості
досліджуваних матеріалів. Помилки, недоліки, неузгодженості, які іноді мають
місце у документах, можуть негативно та суттєво вплинути на результати
аналітичної роботи, у процесі якої можна користуватися тільки об'єктивними,
реальними даними [52, с.107].
Сучасний стан інформаційної бази та необхідність
отримання оперативних даних про фінансові результати діяльності підприємства
вимагають пошуку шляхів прискорення отримання усіх необхідних даних.
Автоматизована обробка аналітичної інформації ґрунтується на перетворенні
вихідних облікових даних у результативну інформацію, придатну для прийняття
управлінських рішень щодо удосконалення фінансово-господарського механізму. У
сучасних умовах раціональним є використання інформаційних технологій для
підвищення точності та прискорення розрахунків, зменшення кількості помилок,
економії робочого часу, для більш точного контролю роботи, підвищення якості
обробки облікової інформації. Ще однією ланкою в системі аналізу на всіх рівнях
управління можуть стати обчислювальні центри, забезпечені ЕОМ. Перекладення
аналізу господарської діяльності на ЕОМ, використання в аналізі
економіко-математичних методів дасть змогу не лише покращити його проведення та
підвищити оперативність, а й звільнить фахівців у майбутньому від рутинної
обчислювальної роботи з перетворення початкової інформації у вихідні аналітичні
машинограми. Роль фінансових аналітиків (крім методологічного боку справи) буде
зведено до уніфікації поданих обчислювальними центрами машинограм, вироблення
на їх основі багатоваріантних рекомендацій з регулювання господарської
діяльності, вибору шляхів реалізації виявлених резервів.
Розділ
IV. Охорона праці та безпека в надзвичайних ситуаціях на ват "Чернівецький
емальзавод "Карпати"
4.1
Поняття охорони праці та нормативно-правове забезпечення охорони та безпеки
праці на підприємстві
Охорона праці за своєю сутністю є турботою про
людину у процесі використання її праці і розглядається як охорона
працездатності людини. З іншого боку, відносини щодо охорони праці - невід'ємна
складова організації процесу праці, що створює умови для стабільної та успішної
трудової діяльності громадян [38, с.137].
Охорону праці і здоров'я громадян віднесено до
пріоритетних напрямків соціальної політики України. Так, Конституція України
одним з основних соціальних прав громадян визначає право кожного на належні,
безпечні й здорові умови праці, встановлює, що використання праці жінок і
неповнолітніх на небезпечних для їхнього здоров'я роботах забороняється. Право
на охорону здоров'я закріплено і в Основах законодавства України про охорону
здоров'я.
Закон України "Про охорону праці"
визначає, що охорона праці - це система правових, соціально-економічних,
організаційно-технічних, санітарно-гігієнічних і лікувально-профілактичних
заходів та засобів, спрямованих на збереження життя, здоров'я і працездатності
людини у процесі трудової діяльності [9].
Зміст охорони праці розглядають у соціальному,
технічному, медико-біологічному, юридичному, галузевому та вузькоспеціальному
аспектах. Кожен аспект охорони праці має свій зміст і є самостійним напрямком у
системі заходів щодо безпеки життя та здоров'я у процесі трудової діяльності.
Соціальний аспект охорони праці передбачає забезпечення
всебічного соціального розвитку кожної працюючої особи, захист особи.
Соціальний аспект охорони праці передбачає визнання пріоритету життя та
здоров'я людини у процесі виробничої та трудової діяльності. До соціального
змісту охорони праці належить запобігання шкідливим наслідкам, до яких може
призвести ігнорування вимог техніки безпеки та гігієни праці на виробництві.
Запобігання шкідливим наслідкам потребує встановлення юридичних гарантій:
надання технічним та санітарним правилам сили
правових норм;
запровадження нагляду та контролю за додержанням
норм з охорони праці;
встановлення відповідальності за невиконання норм
з охорони праці.
Техніко-економічний аспект охорони праці має бути
спрямований на удосконалення засобів праці, техніки та технологій.
Медико-біологічний аспект охорони праці
враховується насамперед при нормуванні праці.
Юридичний аспект охорони праці полягає у
забезпеченні права працівника на життя, охорону здоров'я, на належні, безпечні
і здорові умови праці. Охорона праці в юридичному аспекті являє собою правовий
інститут, що має міжгалузевий характер. Норми цього інституту захищають
інтереси різних суб'єктів права:
а) роботодавців та працівників, які перебувають з
ними у трудових правовідносинах;
б) членів виробничих кооперативів;
в) студентів, які проходять виробничу практику;
в) громадян, які відбувають покарання за вироком
суду, в період їх роботи в організації.
Дія Закону України "Про охорону праці"
поширюється на всіх юридичних та фізичних осіб, які відповідно до законодавства
використовують найману працю, та на всіх працюючих.
Державна політика у сфері охорони праці
спрямована на створення належних, безпечних і здорових умов праці, запобігання
нещасним випадкам та професійним захворюванням. До основних правових принципів
у сфері охорони праці в Україні належать:
Ø пріоритет охорони
життя та здоров'я працівників перед економічними інтересами;
Ø повна
відповідальність роботодавця за створення належних, безпечних і здорових умов
праці;
Ø соціальний захист
працівників, повне відшкодування шкоди особам, які потерпіли від нещасних
випадків на виробництві та професійних захворювань;
Ø компетентність
діяльності щодо забезпечення охорони праці;
Ø двосторонній
зобов'язуючий (і працівника, і роботодавця) характер діяльності щодо додержання
норм з охорони праці;
Ø встановлення
єдиних вимог з охорони праці для всіх підприємств та суб'єктів підприємницької
діяльності незалежно від форм власності та видів діяльності;
Ø встановлення та
гарантування заходів самозахисту прав працівників на здорові та безпечні умови
праці;
Ø обов'язковість
відшкодування шкоди, заподіяної працівникові у зв'язку з виконанням трудових
обов'язків;
Ø соціальне
страхування ризику втрати працездатності та трудового доходу у зв'язку з
нещасним випадком чи професійним захворюванням.
Загальним об'єктом охорони праці є працездатність
як специфічна якість особи, тому для трудового права важливе значення має
оцінка професійної працездатності особи (якісна характеристика здатності до
певних видів діяльності та кількісна характеристика допустимих обсягів
навантаження). Це дає можливість обмежити для конкретних категорій працівників
виконання певних видів трудової діяльності чи знизити трудове навантаження
(наприклад, для неповнолітніх, жінок, інвалідів) [56, с.124].
Останнім часом у сфері охорони праці визначаються
стандарти вимог, які є обов'язковими для всіх роботодавців, удосконалюється
механізм управління національною системою охорони праці, державного нагляду за
додержанням законодавства щодо охорони праці в Україні.
Поняття "охорона праці" в галузевому
аспекті розглядається в широкому і вузькому значенні. У широкому значенні під
охороною праці розуміють фактично трудове право в цілому, тому що його норми
враховують і захищають переважно права та інтереси працівників (як система всіх
норм, що встановлені в інтересах працівників). У вузькоспеціальному значенні
під охороною праці розуміють норми інституту трудового права, що містяться в
різних джерелах права. До них належать:
Ø норми, що містять
вимоги щодо забезпечення здорових і безпечних умов роботи, запобігають
виробничому травматизму, загальним та професійним захворюванням;
Ø норми, що
гарантують право працівника на працю в умовах, які відповідають вимогам безпеки
та гігієни, захист працівника в разі отримання травми чи захворювання у період
роботи, а також травм та захворювань, які пов'язані з виконанням його трудових
обов'язків;
Ø норми, що
забезпечують участь працівників та професійних спілок у встановленні умов
праці;
Ø норми, що
забезпечують здійснення нагляду та контролю за реалізацією зазначених вимог у
сфері охорони праці;
Ø норми, що
визначають відповідальність за порушення у сфері охорони праці [89, с.79].
Слід врахувати, що особливістю змісту норм і
правил з охорони праці є припис їх додержуватися.
Нормативно-правові акти з охорони праці мають на
меті забезпечити захист організму працюючих від фізичних травм і впливу
технічних засобів, що використовуються в процесі праці. У них визначаються
правила безпечного ведення робіт, належного устаткування машин, верстатів тощо.
Нормативно-правове регулювання охорони праці в
Україні здійснюється на трьох рівнях: конституційному, законодавчому та
нормативному.
Правовою основою законодавства щодо охорони праці
є Конституція України. У ст.3 Конституції України проголошено, що людина, її життя
і здоров’я, недоторканність і безпека визнаються найвищою соціальною цінністю;
кожен має право на належні, безпечні і здорові умови праці. У ст.43 Конституції
України написано: "Кожен має право на працю,…"; "Кожен має право
на належні безпечні і здорові умови праці,…"; ст.45 Конституції України
проголошує, що "Кожен, хто працює, має право на відпочинок"; ст.46
Конституції України вказує на те, що громадяни мають право на соціальний захист
[15].
На законодавчому рівні основні положення
реалізації конституційного права громадян на охорону їхнього життя і здоров’я в
процесі трудової діяльності визначає "Кодекс законів про працю" [14]
та закони України: "Про пожежну безпеку" [10], "Про використання
ядерної енергії та радіаційний захист" [7], "Про забезпечення
санітарного та епідеміологічного благополуччя населення" [8], "Про
охорону здоров’я" [9], "Про загальнообов’язкове державне страхування
від нещасного випадку на виробництві та професійного захворювання, які
спричинили втрату працездатності". В Україні, згідно з законом "Про
соціальний діалог в Україні", який набрав чинність з 18.01.2011р.,
передбачено формування порядку утворення, склад та організацію роботи
Національної тристоронньої соціально-економічної ради та територіальних
соціально-економічних рад у регіонах [11]. Галузевий закон "Про охорону
праці в Україні", який прийнятий у новій редакції 21 листопада 2002 року
та введений у дію 18 грудня 2002 року і є основоположним законодавчим
документом у галузі охорони праці, дія якого поширюється на всі підприємства,
установи та організації незалежно від форм власності та видів їх діяльності, на
усіх громадян, які працюють, а також залучені до праці на цих підприємствах.
На нормативному рівні досить вагомими є:
Указ Президента України від 13 липня 2001 р. "Про
невідкладні заходи щодо запобігання виробничому травматизму та професійним
захворюванням";
Постанови Кабінету Міністрів України, зокрема:
від 21 серпня 2001 р. №1094 "Деякі питання розслідування та обліку
нещасних випадків, професійних захворювань і аварій на виробництві" та від
22 березня 2001 р. № 270 "Про затвердження Порядку розслідування та обліку
нещасних випадків невиробничого характеру" [76, с.35].
Нормативні правові акти про охорону праці (НПАОП)
почали функціонувати з 01.01.2007 р. взамін ДНАОПів.
Нормативні акти про охорону праці (НПАОП) - це
правила, стандарти, норми, регламенти, положення, інструкції та інші документи,
яким надано чинність правових норм, обов’язкових для виконання. НПАОПи можуть
бути міжгалузевими або галузевими.
На основі НПАОП власники підприємств, установ,
організацій або уповноважені ними органи розробляють і затверджують власні
положення, інструкції або інші нормативні акти про охорону праці які є
нормативними актами підприємств, що діють у межах підприємства, установи,
організації. Якщо міжнародним договором або міжнародною угодою, в яких бере
участь Україна, встановлені інші правила, ніж ті, які містить законодавство
України про працю, то застосовуються правила міжнародного договору або
міжнародної угоди (ст.8-1 КЗпП України) [14].
Таким чином, в Конституції нашої держави і в
Кодексі законів про працю України закріплений принцип пріоритету
міжнародно-правових норм перед нормами національного. Взагалі-то, міжнародне
правове регулювання праці - це встановлена міжнародними договорами (актами)
система стандартів щодо регулювання праці, яку держави, що приєдналися до
відповідного міжнародного договору (ратифікували його), використовують в
національному трудовому законодавстві. Суб’єктами міжнародно-правового
регулювання праці є ООН та її спеціалізований орган - Міжнародна Організація
Праці (МОП).
Опрацювання та прийняття нових, перегляд і
скасування чинних нормативно-правових актів з охорони праці провадяться
спеціально уповноваженим центральним органом виконавчої влади з нагляду за
охороною праці за участю професійних спілок і Фонду соціального страхування від
нещасних випадків та за погодженням з органами державного нагляду за охороною
праці.
4.2
Система управління охороною праці на підприємстві
Кожна людина для забезпечення своїх життєво
необхідних потреб здійснює певний вид трудової діяльності. Така діяльність
людини супроводжується потенційною небезпекою, може призводити до травм,
захворювань, погіршення самопочуття, інших негативних наслідків. Тому для
мінімізації таких негативних явищ в процесі трудової активності людини
розробляються та закріпляються державою методологічні основи, правові бази
охорони праці працівників.
Основними законодавчими актами, якими керується
ВАТ "Чернівецький емальзавод "Карпати" при організації охорони
праці та забезпеченні безпеки життєдіяльності своїх працівників є Конституція
України, Кодекс законів про працю та Закон України "Про охорону
праці". Саме ці документи визначають основні положення щодо реалізації
конституційного права працівників на охорону їх життя й здоров’я в процесі
трудової діяльності, регулюють за участю відповідних органів державної влади
відносини між роботодавцем і працівником з питань безпеки і гігієни праці та
виробничого середовища, встановлюють єдиний порядок організації охорони праці в
Україні.
Згідно з Законом України "Про охорону
праці" служба охорони праці на досліджуваному підприємстві створюється для
організації виконання правових, організаційно-технічних, санітарно-гігієнічних,
соціально-економічних і лікувально-профілактичних заходів, спрямованих на
запобігання нещасних випадків, професійних захворювань й аварій у процесі
праці.
На ВАТ "Чернівецький емальзавод
"Карпати" затверджене Положення про службу охорони праці та Положення
про систему управління охороною праці, вони розроблені з урахуванням специфіки
виду діяльності підприємства, чисельності працівників, умов праці та інших
факторів (Додаток Х).
Так як чисельність працюючих на досліджуваному
підприємстві у 2012 році склала більше ніж 150 чоловік, то на підприємстві була
створена служба охорони праці, до цього часу функції служби охорони праці
виконувалися у порядку сумісництва особою, яка мала відповідну підготовку.
Положенням про службу охорони праці визначено, що
функція керівника служби охорони праці на ВАТ "Чернівецький емальзавод
"Карпати" покладена на головного інженера з охорони праці.
Інженер з охорони праці на підприємстві в своїй
діяльності керується законодавством України, нормативно-правовими актами з
охорони праці, колективним договором та актами з охорони праці, що діють в
межах підприємства.
Основними завданнями інженера з охорони праці на
ВАТ "Чернівецький емальзавод "Карпати" є:
- інформування та
надання роз'яснень працівникам підприємства з питань охорони праці;
- організація
проведення профілактичних заходів, спрямованих на усунення шкідливих і
небезпечних виробничих факторів;
- контроль за
дотриманням працівниками вимог законів та інших нормативно-правових актів з
охорони праці, розділу "Охорона праці" колективного договору та актів
з охорони праці, що діють у межах підприємства.
Інженер з охорони праці здійснює контроль за
дотриманням працівниками вимог нормативно-правових актів з охорони праці. Він
розробляє комплексні заходи і контролює їх виконання для забезпечення безпеки
робіт, гігієни праці і виробничої санітарії, створює інструкції з охорони
праці, пожежної безпеки, забезпечує навчання працівників питанням охорони
праці, проводить з працівниками вступний інструктаж, здійснює аналіз причин
виробничого травматизму, професійних захворювань, аварій, заподіяної ними
шкоди, забезпечує належне оформлення і зберігання документації з питань охорони
праці, а також своєчасну передачу їх до архіву для тривалого зберігання згідно
з установленим порядком.
У його функції також входить взаємодія з природоохоронними
і санітарними, пожежними інспекціями, посадовими особами державного нагляду
охорони праці.
Робоче місце інженера з охорони праці на ВАТ
"Чернівецький емальзавод "Карпати" розміщується в окремому
приміщенні, забезпечується належною оргтехнікою, технічними засобами зв'язку та
є зручним для прийому відвідувачів.
На ВАТ "Чернівецький емальзавод
"Карпати" в обов’язковому порядку інженер з охорони праці проводить
вступний інструктаж при прийнятті працівників на роботу, а перед початком
трудової діяльності проводиться первинний інструктаж керівником структурного
підрозділу. У разі введення в дію нових норм, правил, інструкцій з охорони
праці проводиться позаплановий інструктаж, а при ліквідації наслідків аварій,
стихійних лих - цільовий інструктаж. Повторний інструктаж проводять за
програмою первинного інструктажу один раз у півріччя, а для шкідливих робіт -
один раз у три місяці. Проводяться інструктажі по пожежній, технічній,
енергетичній безпеці, а також по наданню першої медичної допомоги. Робітники,
що пройшли інструктаж, мають поставити свій підпис в журналі з охорони праці.
Окрім Положення про службу охорони праці на ВАТ
"Чернівецький емальзавод "Карпати" діє колективний договір, в
якому також висвітлені питання охорони праці та забезпечення безпечної
діяльності працівників.
До основних пунктів колективного договору з
питань охорони праці можна віднести:
- створення
безпечних та здорових умов праці на підприємстві відповідно до вимог ЗУ
"Про охорону праці";
- забезпечення
своєчасного виконання комплексних заходів щодо досягнення встановлених
нормативів безпеки, гігієни праці та підвищення існуючого рівня охорони праці;
- проведення в
установлені строки інструктажів з питань охорони праці на підприємстві;
- здійснення витрат
на заходи з охорони праці;
- забезпечення
проходження медичних оглядів;
- забезпечення
працівників засобами індивідуального захисту, спецодягом, спецвзуттям;
- забезпечення
санітарно-побутових та умивальних приміщень засобами гігієни;
- забезпечення
виробничих та офісних приміщень медичними препаратами для першої допомоги.
Також в додатки до колективного договору внесені
основні комплексні заходи щодо досягнення встановлених нормативів безпеки,
гігієни праці та виробничого середовища, підвищення існуючого рівня охорони
праці, вказані строки їх виконання та відповідальних осіб. До цих комплексних
заходів на досліджуваному підприємстві відносять:
- розробку та
забезпечення виконання заходів з підготовки підприємства до роботи в
осінньо-зимовий період;
- забезпечення
безперебійної роботи умивальних приміщень відповідно до санітарних норм і
правил;
- забезпечення
умивальних та санітарно-побутових приміщень засобами гігієни;
- забезпечення
проходження медичного догляду працівників підприємства;
- проведення
укомплектування аптечки;
- видача нового
спецодягу персоналу;
- забезпечення
працівників цеху засобами захисту (респіраторами. окулярами).
Слід зазначити, що неабиякий вплив у сфері
охорони праці має державний нагляд та громадський контроль за станом безпеки
життєдіяльності на підприємстві та охорони праці.
Державний нагляд та контроль за охороною праці на
підприємстві згідно Закону України "Про охорону праці" здійснюють:
- Державний комітет
України по нагляду за охороною праці;
- Державний комітет
України з ядерної та радіаційної безпеки;
- органи державного
пожежного нагляду управління пожежної охорони Міністерства внутрішніх справ
України;
- органи та заклади
санітарно-епідеміологічної служби Міністерства охорони здоров'я України;
- Генеральний
прокурор України і підпорядковані йому прокурори.
Громадський контроль за додержанням законодавства
про охорону праці на ВАТ "Чернівецький емальзавод "Карпати"
здійснює трудовий колектив через обраних ними уповноважених.
Виходячи із вищевикладеного, можна зробити
висновок, що на ВАТ "Чернівецький емальзавод "Карпати" добре
організована служба охорони праці. За організацію охорони праці та безпеки
життєдіяльності відповідає інженер з охорони праці, який у своїй роботі
керується Положенням про службу охорони праці, ЗУ "Про охорону праці",
та іншими чинними законодавчими та нормативними актами.
4.3
Аналіз небезпечних та шкідливих факторів умов праці в організації
Незадовільний стан охорони праці призводить до
зниження продуктивності праці, травматизму та професійного захворювання
працівників. В процесі праці організм людини сприймає комплекс чинників, що
можуть позитивно або негативно впливати на стан її здоров’я та рівень
працездатності. Залежно від інтенсивності та часу дії ці чинники можуть бути
небезпечними або шкідливими.
Бухгалтерська служба не відноситься до об’єкту
підвищеної небезпеки, але деякі фактори все ж таки можуть негативно впливати на
працездатність людини.
Відділ бухгалтерії ВАТ "Чернівецький
емальзавод "Карпати" розташований в трьохповерховому будинку,
залізобетонної конструкції, на другому поверсі. Поблизу будівлі заводу
управління не має високих дерев і багатоповерхових будинків які могли б
зменшити природну освітленість приміщень, але є автодорога, яка є джерелом шуму
та вібрацій. Загальна площа відділу бухгалтерії складає 35 м2, при
висоті стелі 2,7 метри. У приміщенні є 4 вікна шириною 2,2 метри і висотою 1,5
метри і 2 дверей шириною 1,5 метри. У відділі працює 5 осіб. Тобто площа на
одного працівника складає 7 м2, що повністю відповідає встановленим
нормам, тобто більша за 6,5 м2 для однієї людини з використанням
персонального комп’ютера.
Для працівника бухгалтерії відведений робочий
стіл, крісло, та стілець для відвідувачів. Також в приміщенні розташовані дві
великі шафи для зберігання робочих документів, для верхнього одягу та особистих
речей робітників. Даних шаф недостатньо для зберігання всієї сукупності
документів, оскільки багато документів лежить на столах та біля столів
обліковців. Пропонуємо створити у приміщенні адміністративної будівлі окремий
кабінет для зберігання бухгалтерських документів та звітності, так званий
архів, для того щоб звільнити простір у кабінеті бухгалтерів.
Для освітлення офісного приміщення бухгалтерії на
ВАТ "Чернівецький емальзавод "Карпати" використовується змішане
освітлення, що складається з природного, створюваного світлом з вікна, та
штучного, отримуваного з освітлювальних пристроїв. Щодо природного освітлення,
то в приміщенні знаходяться чотири великих вікна, які виходить на західну
сторону. Так як влітку з таким розташуванням вікна сонце може бути зайвим, тому
у кабінеті застосовуються жалюзі. У приміщенні також використовується штучне
освітлення.
У кабінеті також розташований кондиціонер, який
підтримує необхідну температуру у приміщенні, тобто вентиляційний режим
приміщення відповідає встановленим нормам. Це дозволяє ефективно працювати
відділу.
Усю будівлі, в тому числі і кабінет бухгалтерії,
електрифіковано згідно з усіма відповідними нормами. Для швидкого і якісного
виконання своїх службових обов’язків працівники користуються персональними
комп’ютерами, телефонами, принтерами та іншою оргтехнікою. На робочому місці
бухгалтера знаходиться персональний комп’ютер. Слід зазначити, що використання
персонального комп’ютера у бухгалтерії забезпечується з дотриманням всіх
ергономічних показників.
У відділі наявні 3 комп’ютери з
рідкокристалічними моніторами та телефон. Ці прилади використовуються виключно
за призначенням, так як можуть бути електронебезпечними при неправильному
використанні. Рентгенівське випромінювання від рідкокристалічних моніторів
комп’ютерів не становить небезпеки для користувача, оскільки інтенсивність
такого випромінювання значно нижча від гранично допустимого рівня. Рівень
електромагнітного випромінювання дорівнює 0,7 Вт/м2, який передбачає можливий
12-ти годинний час перебування у зоні випромінювання. Рівень напруженості
електростатичного поля становить 12 кВ/м, тобто знаходиться в межах норми.
Комп’ютери і телефонні апарати також є основними
джерелами шуму у відділі. Рівень шуму в приміщенні досягає приблизно 35 ДБл, що
відповідає оптимальному рівню згідно з ДСН 3.3.6.037-99 "Санітарні норми
виробничого шуму, ультразвуку та інфразвуку" [3].
У приміщенні також є 3 комп’ютерних столи, 5
офісних крісел і 4 шафи для документів. Усі вони розміщені відповідно до їх
функціонального призначення, а їх кількість відповідає номенклатурі знарядь
праці, змісту та особливостям виконуваної роботи.
Щодо організації робочого місця, то воно оснащено
комфортабельним кріслом, висота та нахил спинки якого регулюється власноруч,
оснащене підлокітниками та м’якими сидіннями та спинкою. Крісло також оснащено
прогумованими колесами, які дозволяють вільно обертатись та рухатись. Поверхня
сидіння є плоскою, передній край - заокруглений.
Робоче крісло є підйомно-поворотним, регульованим
за висотою, з переднім заокругленим краєм. Висота поверхні сидіння регулюється
в межах від 400 до 500 мм, а ширина і глибина становлять по 450 мм. Кут нахилу
спинки регулюється в межах від 0° до 30° відносно вертикального положення. Для
зниження статичного напруження м'язів верхніх кінцівок встановлені стаціонарні
підлокітники завдовжки 250 мм. Поверхня сидіння відповідає усім вимогам.
Висота робочої поверхні столу для персонального
комп’ютера знаходиться на 700 мм, ширина - 800мм, довжина - 1300 мм. Робочий
стіл для персонального комп’ютера обладнаний підставкою для ніг шириною 300 мм
та глибиною 400 мм.
Монітор комп’ютера розташовується на відстані 700
мм від очей користувача. Клавіатура розташована на поверхні столу на відстані
200 мм від краю, звернутого до працюючого. У конструкції клавіатури
передбачений опорний пристрій, який дає змогу змінювати кут нахилу поверхні
клавіатури у межах від 5 до 15. Таким чином, ергономічні параметри робочого
місця відповідають вимогам до їх організації та конструкції та забезпечують підтримання
оптимальної робочої пози.
У холодний період року для обігріву будівлі
використовується власна незалежна парова система опалення, що позитивно
відображається на самопочутті працівників, так як є можливість керувати
обігрівом приміщень.
Забезпечення метеорологічних умов праці та
чистоти повітря в приміщенні відділу здійснюється за допомогою системи
припливно-витяжної вентиляції, регулярного провітрювання, та вологого
прибирання.
Відповідно до даних лікарняних листів за останні
три роки не було засвідчено випадків професійних захворювань та нещасних
випадків у відділу бухгалтерії, що свідчить про надзвичайно низький рівень
виробничого травматизму та професійних захворювань.
Таким чином, умови праці співробітників відділу
бухгалтерії в цілому відповідають існуючим санітарно-гігієнічним нормам. Але у
зв’язку з тим, що більшу частину часу працівник займає сидяче положення і мало
рухається, то пропонується ввести п’ятихвилинну виробничу гімнастику, яку
необхідно проводити після кожних 60 хвилин сидячої роботи, і яка буде
спрямована на покращення фізичного і морального стану і самопочуття працівника.
З вищевикладеного можна стверджувати, що на ВАТ
"Чернівецькому емальзаводі "Карпати" забезпечені у повному
обсязі всі умови для ефективного та продуктивного функціонування працівників
облікового апарату. Робоче місце бухгалтера відповідає усім нормативним
показникам, забезпечене засобами офісної техніки, добре освітлене. Основними
недоліками робочого середовища, у якому працює бухгалтер можна назвати
недостатню кількість шаф для зберігання документів, а також монотонність праці.
4.4
Безпека в надзвичайних ситуаціях на досліджуваному об’єкті
Хоча приміщення бухгалтерії підприємства
знаходиться й окремо від виробничих цехів, тобто більш-менш захищене від дії
шуму, вібрації та інших чинників, все ж таки ця захищеність не стосується
пожежної безпеки.
В адміністративній будівлі та у бухгалтерії
знаходиться значна кількість комп’ютерного обладнання та офісної техніки, на
спеціально обладнаній кухні для працівників - електричні прилади типу
електричний чайник, мікрохвильова піч, кавоварка, тому заходи щодо попередження
пожежі є досить актуальними.
Для дослідження безпеки в надзвичайних ситуаціях
на ВАТ "Чернівецький емаль завод "Карпати" перш за все потрібно
охарактеризуємо приміщення з погляду пожежної безпеки. Враховуючи той факт, що
в приміщенні використовуються тільки негорючі речовини та матеріали у холодному
стані, за ступенем вибухопожежної та пожежної небезпеки приміщення відділу
бухгалтерії відноситься до категорії "Д". Пожежну небезпеку несуть у
собі лише кабельні електропроводки до обладнання, що є припустимим для даної
категорії приміщень.
За вогнестійкістю будинок відноситься до другої
категорії згідно з ДБН В.1.1.7-2002 "Пожежна безпека об’єктів
будівництва" [4], що відповідає вимогам НПАОП 0.00-1.28-10 "Правила
охорони праці під час експлуатації ЕОМ". Робоча зона приміщення віднесена
до класу вибухонебезпечності В-IIa та пожежонебезпечності П-IIa, оскільки
вибухонебезпечна концентрація пилу і волокон може утворюватися лише внаслідок
аварії або несправності.
Також у відділі знаходиться переносний
вуглекислотний вогнегасник типу ОУ-5. Підходи до засобів первинного
пожежогасіння та відключення електросхем устаткування вільні.
У коридорі приміщення розташована схема евакуації
людей при пожежі. Шляхи евакуації з відділу відповідають правилам пожежної
безпеки. У будинку є два виходи, ширина коридору - 2-3 метри, ширина дверей -
0,8 м., двері відкриваються по ходу руху людей у випадку евакуації. Кожне
приміщення адміністративної будівлі підприємства оснащено системою сповіщення у
випадку надзвичайної ситуації. На видних місцях біля телефонних апаратів
встановлені таблички із зазначенням номера телефону для виклику пожежної
охорони - 101.
У відділі бухгалтерії наявна медична аптечка, яка
розміщена у помітному легкодоступному місці сухого і захищеного від сонячних
променів та тепловипромінювань приміщення. Нами були розглянуті головні можливі
причини виникнення пожежі у приміщенні відділу бухгалтерії такі як:
ü несправна електропроводка
(іскріння, перегрів провідників, пересихання електроізоляційних матеріалів);
ü використання
електропобутових пристроїв (електрочайники, мікрохвильові печі);
ü попадання вологи
на працюючі електроагрегати;
ü розповсюдження
вогню з сусідніх приміщень;
ü залишення без
нагляду увімкнутих комп’ютерів, обчислювальної техніки та інших
електроприладів.
Для покращення такої ситуації нами були
запропоновані заходи, що направлені на покращення ситуації в галузі безпеки в
надзвичайних ситуаціях такі:
- щорічне проведення
повторних протипожежних інструктажів та занять за програмою пожежно-технічного
мінімуму з особами, що відповідальні за пожежну безпеку;
- утримання в справному
стані засобів протипожежного захисту і зв’язку, обладнання та інвентарю, не
допускаючи їх використання не за призначенням;
- своєчасне інформування
пожежної охорони про несправність пожежної техніки, систем протипожежного
захисту, водопостачання тощо.
Необхідне також приведення систем автоматичної
пожежної сигналізації та пожежогасіння у відповідності до вимог ДБН В.2.5-56:
2010 "Системи протипожежного захисту" [5], що передбачає використання
вогнестійких кабелів в системах живлення та забезпечення автоматичного запуску
системи оповіщення та управління евакуацією людей у випадку пожежі.
В цілому приміщення бухгалтерії по категорії
вибухо - і пожежонебезпечності та ступеню вогнестійкості відповідають нормам,
але особливу увагу потрібно звернути на утримання в справному стані засобів
протипожежного захисту та своєчасне інформування пожежної охорони про
несправність пожежної техніки, впровадження систем протипожежного захисту.
Організаційні та технічні заходи, спрямовані на попередження виникнення пожежі,
обмеження поширення вогню та успішної евакуації людей розроблені та реалізовані
належним чином.
Загалом, характеризуючи стан охорони праці та
безпеки в надзвичайних ситуаціях на ВАТ "Чернівецькому емальзаводі
"Карпати", слід відзначити, що на підприємстві з урахуванням
специфіки його роботи досить відповідально ставляться до її забезпечення.
Безпосередні обов’язки із забезпечення належної охорони праці співробітників
підприємства покладені на інженера з охорони праці. На підприємстві за час його
діяльності не зафіксована нещасних випадків та випадків виробничого
травматизму. Санітарно-гігієнічні, будівельні, пожежні норми неухильно
дотримуються. Проте, на нашу думку, керівництву підприємства слід звернути
більшу увагу на забезпечення постійного контролю за дотриманням правил безпеки
працівниками при роботі з оргтехнікою, сприяти встановленню короткочасних
додаткових перерв під час роботи з комп’ютерами, а також необхідне приведення
систем автоматичної пожежної сигналізації та пожежогасіння у відповідності до
нормативних вимог.
Висновки
На основі проведеного в дипломній роботі
дослідження можна зробити наступні висновки:
. У дипломній роботі розглянуто підходи
різних вчених-економістів до визначення суті прибутку як економічної категорії.
На нашу думку, прибуток як економічна категорія відображає кінцеву грошову
оцінку роботи підприємства та є найважливішим показником фінансових результатів
підприємницьких структур, їх фінансового стану. В процесі дослідження
розглянуто різноманітні ознаки класифікації видів прибутку, а також наведено
модель формування прибутку від операційної діяльності, враховуючи НП (С) БО1
"Загальні вимоги до фінансових звітів" та узагальнено внутрішні та
зовнішні фактори впливу на операційний прибуток.
2. Значення прибутку в умовах ринкової
економіки визначається тим, що саме прибуток є стрижнем і головною рушійною
силою економіки ринкового типу, основним спонукальним мотивом діяльності
підприємців в умовах ринку, певним гарантом прогресу економічної системи, а
відсутність прибутку - яскравий доказ регресу й соціальної напруженості.
Прибуток як економічний показник дає змогу поєднувати економічні інтереси
держави, підприємства, як господарюючого суб'єкта, працівників та власників
підприємства. Дослідження підходів науковців до функцій прибутку, дозволяє
стверджувати, що домінуючою є позиція, що прибуток виконує оціночну, стимулюючу
та розподільчу функції.
3. Екскурс в
економічну наукову літературу свідчить про ряд праць, присвячених методології
та організації обліку та аналізу прибутку від операційної діяльності, в яких
розкриваються теоретичні та практичні основи бухгалтерського обліку
операційного прибутку, висвітлюються принципи, предмет, методи та методичні
прийоми бухгалтерського обліку, технології відображення господарських операцій
на бухгалтерських рахунках, сутність, призначення та форми первинної
документації, облікової реєстрації, формування облікової політики підприємства
та складання бухгалтерської звітності відповідно до національних стандартів обліку.
Також не менше уваги приділяється вітчизняними вченими теоретичному та
практичному обґрунтуванню методики аналізу прибутку від операційної діяльності
у системі фінансового аналізу, з урахуванням вимог діючої законодавчої бази та
питанням ефективної організації аналізу прибутку від операційної діяльності на
підприємствах. В сучасних умовах господарювання науковцями розкривається
необхідність організації обліку та аналізу фінансових результатів із
використанням інформаційних технологій.
4. В процесі дослідження
розглянуто структуру системи нормативно-правових актів щодо регулювання
бухгалтерського обліку фінансових результатів в Україні, а також надано
характеристику нормативно-правового забезпечення обліку операційного прибутку.
. В процесі
написання роботи розглянуто процес організації обліку на досліджуваному
об’єкті. Наведено структуру бухгалтерії та висвітлено основні завдання та
об’єкти організації обліку прибутку від операційної діяльності, а також
розкрито елементи облікової політики щодо методики обліку прибутку від
операційної діяльності підприємства. Організація бухгалтерського обліку на
досліджуваному підприємстві ґрунтується на застосуванні законодавчо
встановлених та загальноприйнятих у національній практиці передумов та
принципів.
7. В роботі досліджено методику обліку формування
прибутку від операційної діяльності на ВАТ "Чернівецький емальзавод
"Карпати" та розкрито етапи процесу формування прибутку від
операційної діяльності у Звіті про фінансові результати.
. В процесі дослідження удосконалено процес
відображення доходів від реалізації в системі рахунків бухгалтерського обліку
та розроблено удосконалену методику формування та відображення у фінансовій
звітності прибутку від операційної діяльності, що згідно запропонованих
пропозицій передбачає: уточнення економічного змісту та економічної назви
окремих показників; доповнення форми необхідними показниками, наявність яких
сприятиме підвищенню аналітичної цінності інформації; виділення статті
"Результат основної діяльності" та "Результат іншої операційної
діяльності"; перегрупування та присвоєння кодів рядків статтям звіту;
визначення прибутку від операційної діяльності як алгебраїчної суми прибутку
від основної діяльності та прибутку від іншої операційної діяльності. Складання
та використання Звіту про фінансові результати з урахуванням запропонованих
змін дозволить конкретизувати інформацію про результати операційної діяльності,
що є важливим для забезпечення потреб зовнішніх і внутрішніх користувачів.
. У дипломній роботі надано оцінку існуючих
методик аналізу фінансових результатів від операційної діяльності. Вітчизняними
вченими-економістами приділено значну увагу аналізу фінансових результатів та
наведено достатню кількість методик проведення аналізу фінансових результатів
від операційної діяльності. Найбільше авторів розглядають методики аналізу
обсягу, структури та динаміки фінансових результатів від операційної
діяльності. Достатньо уваги приділено визначенню показників рентабельності та
методиці проведення факторного аналізу валового прибутку та операційного
прибутку. Найменше розглянуто методику аналізу взаємозв’язку
"витрати-обсяг-прибуток" та оцінку резервів підвищення прибутку.
. В процесі аналізу рівня, динаміки та структури
виявлено, що на ВАТ "Чернівецький емальзавод "Карпати" прибуток
від операційної діяльності в порівнянні із попереднім роком у 2012 році
збільшився. Постійне зростання прибутку від операційної діяльності на
підприємстві відбувалося протягом останніх трьох років, що свідчить про
позитивну динаміку. Відбулися незначні структурні зрушення в структурі доходів
та витрат від операційної діяльності. Разом з цим найбільшу питому вагу в
структурі доходів від операційної діяльності займає дохід від реалізації
продукції, а найбільшу питому вагу серед витрат займає собівартість
реалізованої продукції. Основним джерелом одержання прибутку на ВАТ
"Чернівецький емальзавод "Карпати" за 2011-2012 роки була саме
операційна діяльність. Негативним є той факт, що підприємство не здійснює
ніяких фінансових та інвестиційних операцій, які б могли підвищити
прибутковість його діяльності загалом. Позивна динаміка зростання операційного
прибутку свідчить про підвищення ефективності управління господарською
діяльністю підприємства.
. При проведенні факторного аналізу прибутку від
операційної діяльності на ВАТ "Чернівецький емальзавод "Карпати"
було встановлено, що зростання операційного прибутку відбулося за рахунок
впливу таких факторів: валового прибутку; інших операційних доходів;
адміністративних витрат; витрат на збут; інших операційних витрат. В роботі
проведено факторний аналіз валового прибутку як основної складової операційного
прибутку. У 2012 році відбулося зростання суми валового прибутку завдяки зміні
структури та обсягу реалізації. Негативно вплинуло на величину прибутку
збільшення собівартості продукції. Вказана сума є резервом підвищення прибутку
за умови ефективнішого використання виробничих ресурсів.
У роботі запропоновано розроблену модель
факторного аналізу операційного прибутку, яка дозволяє визначити вплив таких
факторів другого порядку на зміну величини прибутку від операційної діяльності:
обсягу реалізації, собівартості продукції, структури реалізації та рівня цін.
У 2012 році порівняно із 2011 роком
рентабельність реалізованої продукції зменшилась, що свідчить про зростання
собівартості реалізованої продукції у звітному періоді, також зменшилась валова
рентабельність реалізованої продукції. Проте позитивним для підприємства є
зростання операційної рентабельності та зростання рентабельності доходу від
операційної діяльності, що свідчить про підвищення ефективності операційної
діяльності.
12. В роботі обґрунтовано
необхідність вдосконалення організації економічного аналізу на ВАТ
"Чернівецький емальзавод "Карпати". Рекомендується впровадити
посаду фінансового аналітика та пропонується ввести в практику підприємства
розроблений спеціальний "Тематичний план аналітичних робіт". Також
запропоновано загальну модель проведення аналізу прибутку від операційної
діяльності на досліджуваному підприємстві. Впровадження ефективної організації
економічного аналізу забезпечить ефективніше прийняття управлінських рішень і
запобігання негативним наслідкам та дасть змогу досягти найкращих результатів
діяльності підприємства та покращення прибутковості й ефективності його роботи
в тому числі.
13. В сучасних умовах важливим є приділення
особливої уваги охороні праці та безпеці в надзвичайних ситуаціях на
підприємстві. В дипломній роботі розглядається зміст охорони праці та надається
характеристика нормативно-правового регулювання охорони праці в Україні, яке
здійснюється на трьох рівнях: конституційному, законодавчому та нормативному.
Надано характеристику системи управління охороною праці на ВАТ
"Чернівецький емальзавод "Карпати", проведено аналіз небезпечних
та шкідливих факторів умов праці на підприємстві та розглянуто безпеку в
надзвичайних ситуаціях на досліджуваному об’єкті.
Список
використаних джерел
1. Господарський кодекс України ВРУ №436-IV від
13.01.2003р.: [електронний ресурс] // zakon. rada.gov.ua
2. ДБН В.1.1.7-2002 "Пожежна безпека об’єктів
будівництва" затверджені Наказом Міністерства охорони здоровя України №54
від 02.02.2005р.: [електронний ресурс] // zakon. rada.gov.ua
. ДСН 3.3.6.037-99 "Санітарні норми виробничого шуму,
ультразвуку та інфразвуку" затверджені Наказом Міністерства охорони
здоровя України №37 від 01.12.99р.: [електронний ресурс] // zakon. rada.gov.ua
. ДБН В.2.5-56: 2010 "Системи протипожежного
захисту" затверджені Наказом Мінрегіонбуду України № 537 від 22.12.2010р.:
[електронний ресурс] // zakon. rada.gov.ua
. Закон України "Основи законодавства України про
охорону здоров'я" ВРУ № 2801-XII від 19.11.1992р.: [електронний ресурс] //
zakon. rada.gov.ua
. Закон України "Про бухгалтерський облік та фінансову
звітність в Україні" від 16.07.1999 р. № 996-XIV // Бухгалтерія. Право.
Податки. Консультації. - 2005. - №29. - С.13-17.
. Закон України "Про використання ядерної енергії та
радіаційний захист" затверджений Постановою Верховної Ради від
08.02.1995р. № 39/95-ВР: [електронний ресурс] // zakon. rada.gov.ua
. Закон України "Про забезпечення санітарного та
епідеміологічного благополуччя населення" затверджений Постановою
Верховної Ради від 24.02.1994р. № 4004-XII: [електронний ресурс] // zakon.
rada.gov.ua
. Закон України "Про охорону праці" // Відомості
Верховної Ради України. - 2003. - №2. - С.10.
. Закон України "Про пожежну безпеку"
затверджений Постановою Верховної Ради №3747-XII від 17.12.93р.: [електронний
ресурс] // zakon. rada.gov.ua
. Закон України "Про соціальний діалог в Україні"
затверджений Постановою Верховної Ради № 5067-VI від 18.01.2011р.: [електронний
ресурс] // zakon. rada.gov.ua
. Інструкція "Про застосування плану рахунків
бухгалтерського обліку активів, капіталу, зобов’язань і господарських операцій
підприємств і організацій" затверджена Наказом Міністерства фінансів
України №291 від 30.11.1999 р.: [електронний ресурс] // zakon. rada.gov.ua
. Національне положення (стандарт) бухгалтерського обліку №
1 "Загальні вимоги до фінансової звітності" затверджено Наказом
Міністерства фінансів України від 07.02.2013р. №73: [електронний ресурс] //
zakon. rada.gov.ua
. Кодекс законів про працю Україн: [електронний ресурс] //
zakon. rada.gov.ua/cgi-bin/laws/main
. Конституція України. - К.: Видання Верховної Ради
України, 1996. - 120 с.
. План рахунків бухгалтерського обліку активів, капіталу,
зобов'язань і господарських операцій підприємств і організацій, затверджено
Наказом Міністерства фінансів України від 30.11.99р. №291: [електронний ресурс]
// zakon. rada.gov.ua
. Податковий Кодекс України від 02.12.2010р. №2755-VI:
[електронний ресурс] // zakon. rada.gov.ua
. Положення (стандарт) бухгалтерського обліку №15
"Дохід" затверджено Наказом Міністерства фінансів України від
29.11.1999р. №290: [електронний ресурс] // zakon. rada.gov.ua
. Положення (стандарт) бухгалтерського обліку №16
"Витрати" затверджено Наказом Міністерства фінансів України від
31.12.1999р. №318: [електронний ресурс] // zakon. rada.gov.ua
. Положення (стандарт) бухгалтерського обліку №6
"Виправлення помилок та зміни у фінансових звітах" затверджено Наказом
Міністерства фінансів України від 28.05.1999р. №137: [електронний ресурс] //
zakon. rada.gov.ua
. Положення про документальне забезпечення записів у
бухгалтерському обліку, затверджено Наказом Міністерства фінансів України від
24.05.1995р. №88: [електронний ресурс] // zakon. rada.gov.ua
. Порядок представлення фінансової звітності, затверджений
постановою КМУ №419 від 28.02.2000р.: [електронний ресурс] // zakon.
rada.gov.ua
. Азаренков Г.Ф. Економічний аналіз: Навч. посіб. - Ч.2. -
Х.: Вид. ХНУ, 2004. - 232 с.
. Анісімов Ю.П. Гармонізація діяльності підприємства:
Монографія. - Вороніж: ВГТА, 2010. - 304с.
. Багров В. П, Багрова І.В. Економічний аналіз: Навчальний
посібник. - К.: Центр навчальної літератури, 2006. - 160 c.
. Басовський Л.Е. Економічний аналіз: Навчальний посібник.
- М., 2003. - 222с.
. Бирюкова И.К., Кодрянський А.В. Бухгалтерский учет в
Украине. - К.: Товариство "Знання", КОО, 2001. - 408с.
. Білик М.Д. До питання формування прибутку підприємства та
управління ним / М.Д. Білик // Формування ринкових відносин в Україні. - 2010.
- №7-8. - С.150-154.
. Богатко А.Н. Основи економічного аналізу. - М.: Фінанси і
статистика, 2001. - 208 с.
. Бутинець Ф.Ф. Бухгалтерський управлінський облік:
Навчальний посібник для студентів спеціальності "Облік і аудит". -
Житомир, 2000. - 448 с.
. Бутинець Ф.Ф., Івахненков С.В., Давидюк Т.В., Шахрайчук
Т.В. Інформаційні системи бухгалтерського обліку: Підручник для студентів вищих
навчальних закладів спеціальності 7.050.106 "Облік і аудит" -
Житомир: ПП "Рута", 2002. - 267 с.
. Бутинець Ф.Ф. Організація бухгалтерського обліку.
Житомир: ПП "Рута”, 2002. - 592 с.
. Бутинець Ф.Ф. П’ятнадцять років надій та ілюзій // Вісник
ЖДТУ. Економічні науки. - 2010. - № 1 (39). - С.7-23.
. Бутинець Ф.Ф. Економічний аналіз: Навчальний посібник для
студентів вузів. - Житомир: ЖІТІ, 2000. - 416 с.
. Бухгалтерський фінансовий облік: Підручник для студентів
спеціальності "Облік і аудит" вищих навчальних закладів. / За ред.Ф.
Ф. Бутинця. - 6-те вид., доп. і перероб. - Житомир: ПП "Рута", 2005.
- 756 с.
. Бухгалтерський фінансовий облік. Конспект лекцій:
Навчальний посібник для студентів вищих навчальних закладів спеціальності
"Облік і аудит" / За ред.Ф. Ф. Бутинця. - 3-е вид., доп. і перероб. -
Житомир: ПП "Рута", 2005. - 320с.
. Верба В.А., Загородніх О.А. Економічний аналіз:
Підручник. - К.: КНЕУ, 2005. - 416 с.
. Гандзюк М.П., Желібо Є. П, Халімовський М.О. Основи
охорони праці: Підручник.3-є вид. / За ред. М.П. Гандзюка. - К.: Каравела,
2006. - 392 с.
. Гаращенко О.В. Облік і аналіз формування фінансових
результатів та розподілу прибутку: автореф. дис. на здобуття наук. ступеня
канд. екон. наук: спец.08.06.04 "Бухгалтерський облік, аналіз та
аудит" / О.В. Гаращенко. - К., 2004. - 19 с.
. Голов С.Ф. Бухгалтерський облік в Україні: Аналіз стану
та перспективи розвитку. - К.: Центр учбової літератури, 2010. - 522 c.
. Голов С.Ф., Єфіменко В.І. Фінансовий та управлінський
облік: - К.: ТОВ "Автоінтерсервіс" - , 2003. - 544с.
. Грабовецький Б. Є. Економічний аналіз: Навчальний
посібник. - К.: Центр учбової літератури, 2009. - 256с.
. Грещак М.Г., Гребешкова О.М., Коцюба О.С. Внутрішній
економічний механізм підприємства: Навч. Посібник / За ред. М.Г. Грешака. - К.:
КНЕУ, 2005. - 228с.
. Гура Н.О. Облік видів економічної діяльності: Навч. посіб.
- К.: Знання, 2004. - 541 с.
. Даньків Й.Я., Остап'юк М.Я. Організація бухгалтерського
обліку. - К.: Знання, 2007. - 469 c.
. Дзюбенко Л.М. Еволюція теорії прибутковості підприємства
/ Л.М. Дзюбенко // Формування ринкової економіки: зб. наук. праць. - К., -
2010. - №22. - С.56-58.
. Економічний аналіз: Навч. Посібник / М.А. Болюх, В.З.
Бурчевський, М.І. Горбатюк та ін.; За ред. акад. НАНУ, проф. М.Г. Чумаченка. -
Вид.2-ге, перероб. і доп. - К.: КНЕУ, 2003. - 556с.
. Економіка підприємства: Навч. посіб. / А.В. Шегда, Т.М.
Литвиненко, М.П. Нахаба та ін.; За ред. А.В. Шегди. - 3-тє вид., випр. - К.:
Знання - Прес, 2003. - 335с.
. Єфіменко Т.І., Ловінська Л.Г., Ярошенко Ф.О., Податок на
прибуток: концепція визначення об’єкта оподаткування. - К.: НДФІ, 2010. - С.24.
. Житна І.П., Нескреба А.М. Економічний аналіз
господарської діяльності підприємств. - К.: Вища школа, 2002. - 184 с.
. Загородній А.Г. Бухгалтерський облік: основи теорії та
практики: Навч. посіб. - 3-тє вид., перероб. і доп. - К.: Т-во
"Знання", КОО, 2004. - 377 с.
. Зінченко О.А. Показники і критерії якості прибутку
підприємства / О.А. Зінченко // Актуальні проблеми економіки. - 2011. - №7. -
С.106 - 111.
. Івахненков С.В. Інформаційні, технології в організації
бухгалтерського обліку та аудиту: Навч. посіб. - К.: Знання-Прес, 2003. - 349
с.
. Івахненко В.М. Курс економічного аналізу: Навчальний
посібник. - К.: Знання - Прес, 2002. - 256 с.
. Кашубіна Ю.Б. Система оцінювання прибутку від операційної
діяльності підприємства. - Актуальні проблеми економіки. - 2011. - №8. - с.
196-201.
. Керб Л.П. Основи охорони праці: Навч. - метод. посібник
для самост. вивч. дисцип. - К.: КНЕУ, 2001. - 252с.
. Кобилянська О.І. Фінансовий облік: навч. посібник / Олена
Іванівна Кобилянська. - К.: Знання, 2004. - 473 с.
. Ковальчук М.І. Економічний аналіз діяльності підприємств.
Навч. підручник. - К.: КНЕУ, 2004. - 314 с.
. Ковальчук Т.М. Бухгалтерський облік (теорія): навч.
Посібник / Т.М. Ковальчук, Н.М. Королюк; за ред. . Т.М. Ковальчук. - Чернівці:
Чернівецький нац. Ун-т, 2012. - 536 с.
. Кужельний М.В. Теорія бухгалтерського обліку: підручник /
М.В. Кужельний, В.Г. Линник. - К.: КНЕУ, 2001. - 334 с.
. Кундря - Висоцька О.П. Бухгалтерський облік: Навчальний
посібник. - К.: Алерта, 2004. - 303 с.
. Кучеренко Т.М. Особливості формування фінансових
результатів підприємствами у Звіті про фінансові результати / Т.М. Кучеренко //
Бухгалтерія в сільському господарстві. - 2010. - №10. - С.33-35.
. Кучеркова С.О. Сутність прибутку та методика визначення
фінансового результату діяльності підприємства / С.О. Кучеркова // Економіка
АПК. - 2011. - №4. - С.12-16.
. Лебедзевич Я.В. Фінансові результати та їх контроль в
системі бухгалтерського обліку: методологія і практика: автореф. дис. на
здобуття наук. ступеня канд. екон. наук: спец.08.06.04 "Бухгалтерський
облік, аналіз та аудит" / Я.В. Лебедзевич. - К., 2002. - 20 с.
. Лишиленко О.В. Бухгалтерський фінансовий облік.
Навчальний посібник. - Київ: Вид-во "Центр учбової літератури", 2003.
- 524 с.
. Литвин Б.М. Фінансовий аналіз: навч. посібн. / Б.М.
Литвин, М.В. Стельмах. - К.: "Хай-Тек Прес", 2008. - 336 с.
. Мазурок П.П. Дослідження ролі і стану наукових поглядів
на трактування категорії "прибуток" підприємства / П.П. Мазурок //
Держава та регіони. - 2011. - №4. - С.117-121.
. Мельник В.М., Борзенкова О.Д. Еволюція поглядів на дохід
і прибуток підприємства як потенційні об’єкти оподаткування // Фінанси України.
- 2011. - №10. - С.32-39.
. Мец В.О. Економічний аналіз фінансових результатів та
фінансового стану підприємства: Навч. посібник. - К.: КНЕУ, 1999. - 132 с.
. Мних Є.В. Економічний аналіз. Підручник. - Житомир, 2007.
- 321с.
. Мошенський С.З., Олійник О.В. Економічний аналіз:
Підручник для студентів економічних спеціальностей вищих навчальних закладів. /
За ред. д. е. н., проф., Заслуженого діяча науки і техніки України Ф.Ф.
Бутинця. - 2-гевид., доп. і перероб. - Житомир: ПП "Рута", 2007. -
704с.
. Нагаєвич Ю.В. Основні аспекти еволюції поняття
фінансового результату: екскурс у минуле / Ю.В. Нагаєвич // Економіка АПК. -
2010. - №5. - С.87-96.
. Назарова Г.Б. Еволюція економічної категорії прибутку /
Г.Б. Назарова // Наукові праці Кіровоградського національного технічного
університету: Економічні науки. - Вип.5. - Ч. ІІ. - Кіровоград: КНТУ, 2011. -
С.327-335.
. Нашкерська Г.В. Бухгалтерський облік: Навчальний
посібник. - Київ: Центр навчальної літератури, 2004. - 464.
. Нестеренко Ж.К. Бухгалтерський облік промислових
підприємств: навчальний посібник, Ж.К. Нестеренко. - К.: Центр навчальної
літератури, 2005. - 311 с.
. Нормативно-правове регулювання охорони праці в Україні:
реалії та перспективи / М.В. Грищук // Часопис Національного університету
"Острозька академія". Серія "Право". - 2012. - № 2 (6). -
С.35.
. Петрович Й.М. Організація промислового виробництва:
Підручник. - К.: Знання, 2009. - 328с.
. Пилипчук О.В. Прибуток як узагальнений показник
господарсько-фінансової діяльності підприємства / О.В. Пилипчук // Формування
ринкових відносин в Україні. - 2010. - №2. С.26-30.
. Поддєрьогін А. М.: Фінанси підприємств: Підручник. - К,:
КНТЕУ, 2007. - 345 с.
. Попович П.Я. Операційний аналіз: проблеми та перспективи
розвитку: Монографія. - Тернопіль: Економічна думка, 2010. - 168с.
. Попович П.Я. Економічний аналіз діяльності суб’єктів
господарювання.: Підручник. - Тернопіль: Економічна думка, 2001. - 454с.
. Подольський П.М. Проблеми вдосконалення фінансового
обліку на підприємствах // Економіка АПК. - 2010. - №5. - С.23-27.
. Прокопенко І.Ф. Методика і методологія економічного
аналізу: Підручник. Видавництво ЦУЛ. - 2008. - 430 с.
. Пушкар М.С. Фінансовий облік. - Тернопіль: Карт-бланш,
2002. - 628с.
. Савицька Г.В. Економічний аналіз діяльності підприємства:
Навч. посіб. - 3-тє вид., випр. і доп. - К.: Знання, 2007. - 668с.
. Семюелсон П.А., Нордгауз В.Д. Макроекономика: Пер. з
англ. - К.: Основи, 1995. - С.75.
. Сей Ж.Б. Трактат политической экономии: Пер. з англ. -
М., 1998. - С.65-67.
. Сєрікова Т.М., Понікаров В.Д., Кожанова Є.П., Оленко І.
П.: Облік, аналіз, аудит. Навчальний посібник. - X.: ВД "ІНЖЕК" 2003,
- 367 с.
. Сивко В.Й. Правові та організаційні основи охорони праці
в Україні: Навчальний посібник. - К.: Кондор, 2003. - 140 с.
. Сопко В. Г Завгородній В. Організація бухгалтерського
обліку, економічного контролю та аналізу: Підручник. - К.: КНЕУ, 2000. - 260 с.
. Смит А. Исследование о природе и причинах богатства
народов: Пер. с англ. / Предисл.В.С. Афанасьева. - М.: Эскмо, 2009. - С.107.
. Тарасенко Н.В. Економічний аналіз діяльності промислового
підприємства. - 2-ге вид. - К.: Алерта, 2007. - 485с.
. Тарасенко Н.В. Економічний аналіз. Навчальний посібник. -
3-тє видання, перероблене. - Львів: "Новий світ - 2000", 2004. -
344с.
. Теорія економічного аналізу. Підручник / В.М.
Серединська, О.М. Загородна, Р.В. - Тернопіль: Видавництво Астон, 2006. - 368с.
. Терещенко Є.Ю., Заргана М.А. Організація економічного
аналізу на підприємстві // Економіка і організація управління. - 2010. - Вип.5.
- С.13-33.
. Ткаченко Н.М. Бухгалтерський фінансовий облік,
оподаткування і звітність: Підручник. - 3-те вид. допов. і перероб. - К.:
Алерта, 2008. - 926 с.
. Трофіменко О.В. Значення аналізу стану підприємства в
умовах ринкової економіки // Формування ринкових відносин в Україні. - 2010. -
№10. - С.152-159.
. Уолш К. Ключові фінансові показники. Аналіз та управління
розвитком підприємства: пер. з англ. / Уолш Кяран - К.: Всеувито: Наукова
думка, 2001. - 367 с.
. Фінансова діяльність підприємства / Бандурко О.М.,
Коробов М.Я., Орлов П.І., Петрова К.Я. - К.: Либідь, 2008. - 310 с.
. Цал-Цалко Ю.С. Фінансовий аналіз. Підручник / Ю.С.
Цал-Цалко. - К.: Центр учбової літератури, 2008. - 566 с.
. Чебанова Н.В., Єфіменко Т.І. Фінансовий облік: Підручник.
- К.: ВЦ "Академія", 2007. - 704с.
. Червінська С.Л. Визначення та облік фінансових
результатів діяльності аграрних підприємств: автореф. дис. на здобуття наук.
ступеня канд. екон. наук: спец.08.06.04 "Бухгалтерський облік, аналіз та
аудит" / С.Л. Червінська. - К., 2010. - 20 с.
. Червінська С.Л. Особливості визначення фінансових
результатів діяльності підприємств / С.Л. Червінька // Облік і фінанси АПК. -
2011. - №6. - С.107-110.
. Чернелевський Л.М. Економічний аналіз на підприємствах
промисловості і торгівлі. Підручник. - К., 2003. - 278 с.
. Чумаченко М.Т. Економічний аналіз. - К.: КНЕУ, 2003. -
556 с.
. Шаблиста О.Л. Механізм подолання збитковості підприємств
і забезпечення їх фінансової стійкості /О.Л. Шаблиста // Економіка України. -
2010. - №6 - С.53-64.
. Шара Є.Ю. Фінансовий облік та аналіз результатів
діяльності промислових підприємств: автореф. дис. на здобуття наук. ступеня
канд. екон. наук: спец.08.06.04 "Бухгалтерський облік, аналіз та
аудит" / Є.Ю. Шара. - К., 2011. - 24 с.
. Швець В.Г. Теорія бухгалтерського обліку: Підручник. -
К.: Знання, 2004. - 447 с.
. Швиданенко Г.О., Покропивний С.Ф., Клименко С. М.:
Економіка підприємства: Навч. - метод. посібник для самост. вивч. - К.: КНЕУ,
2000. - 398с.
. Шевчук М.В. Дослідження ролі і стану наукових поглядів на
трактування категорії "прибуток" // Держава та регіони. - 2010. - №4.
- С.117.
. Шеремет О.О. Фінансовий аналіз: Навчальний посібник /
О.О. Шеремет. - К.: 2005. - 196 с.