Электроснабжение участка производства
Введение
Системой электроснабжения называется
комплекс устройств предназначенных для производства, передачи и распределения
электроэнергии.
Сложность вопросов проектирования
систем электроснабжения промышленных предприятий заключается в оптимальном,
рациональном и эффективном решении этой проблемы. Именно комплексное решение
данной задачи в совокупности с необходимыми требованиями и стандартами
электроснабжения позволяют экономически и технически грамотно работать всему
предприятию.
Нет необходимости говорить тяжелом
финансовом состоянии промышленности, поэтому руководителям предприятий нужно
решать данную проблему. Одними из самых прогрессивных мер в этом направлении
являются мероприятия по сбережению энергоресурсов и, следовательно, уменьшению
энергоемкости выпускаемой продукции, что приводит к снижению её себестоимости и
повышению конкурентоспособности. Оптимальное сочетание экономических и
технических решений при проектировании систем электроснабжения совместно с
внедрением энергосберегающих технологий есть наиболее существенная мера решения
этой задачи.
Качество электроэнергии в нашей
энергосистеме часто не удовлетворяет нормам установленным ГОСТ. В этом повинны
предприятия, на которых не всегда соблюдаются правила устройств
электроустановок, а также не применяются технические решения по уменьшению
влияния электроприемников (полупроводниковые преобразователи, вентильные
электроприводы, дуговые печи, и т.д.) на качество электроэнергии.
Технически правильное решение при
создании систем электроснабжения исключает появление недопустимых отклонений
параметров электроэнергии (падение напряжения), неравномерное распределение
токов по фазам, удорожание ремонтных, монтажных и эксплуатационных работ. Все
это влияет на производительность предприятия и качество продукции.
Проект электроснабжение предприятия
должен учитывать возможность дальнейшего развития и укрупнения производства и
связанного с этим увеличения потребляемой мощности.
Основной целью задания ставится
закрепление полученных на протяжении всего курса обучения знаний, получение
опыта проектирования системы электроснабжения конкретного предприятия и
подготовка к выполнению дипломного проекта.
1. Общая часть
.1 Назначение
металлургических предприятий, назначение проектируемых цехов
электроснабжение релейный трансформатор заземляющий
Черная металлургия - это отрасль
тяжелой промышленности, служащая основой строительства, машиностроения,
народного хозяйства. Можно сказать, что предприятия черной металлургии
Казахстана являются тем китом, на котором и стоит благополучие ряда отраслей,
да и государства в целом. Кроме того, металлургическая индустрия - это
достаточно трудоемкий и сложный процесс получения конечной продукции.
Назначение, конечная цель, а также
основное содержание промышленного предприятия - это выпуск продукции. Продукция
черной металлургии подразделяется на основную, побочную и попутную продукцию.
Однако ряд металлургических производств одновременно получает два и более
продукта.
Основная продукция - это та,
получение которой является главной целью производства, побочная - другие
продукты, которые получают одновременно с основной продукцией. Таким образом, в
доменном производстве основной продукцией является чугун, а побочной - доменный
газ, шлак; в сталеплавильном - сталь и шлак соответственно; в коксохимическом
производстве - кокс и коксовый газ соответственно. Побочная продукция также
должна иметь определенные свойства, которые также определяются стандартами и
техническими условиями.
Конечная продукция черной
металлургии - это готовый прокат, метизы, трубы, изделия дальнейшего передела,
чугун передельный и литейный, кокс, огнеупоры для ряда промышленных отраслей,
химическая продукция. Кроме вышеуказанной продукции, конечная продукция отрасли
состоит из поставляемого другим отраслям народного хозяйства литья,
строительных материалов (шлаковая вата, шлаки и т.д.), энергетических и
транспортных услуг, минеральных удобрений (шлаки, содержащие фосфор), товаров
народного потребления, выполнения ремонтов.
Кузнечно-термический цех
предназначен для, выполнения различных операций по термической и
химоко-термической обработке деталей. К числу операций, выполняемых здесь,
относятся: отжиг, нормализация, цементация, закалка с нагревом в печах и токами
высокой частоты различные виды отпуска. Участок обеспечивает удовлетворение
потребностей основного и вспомогательного производств.
Кузнечно-термический цех состоит из
двух отдельных самостоятельных участков кузнечного и термического. Кузнечный
цех относятся к группе основных цехов и имеют существенное значение в производственном
процессе: здесь закладываются основы прочности и долговечности машин.
Технология кузнечно-штамповочного производства позволяет получать поковки,
которые по своей форме и размерам приближаются к готовым деталям.
По технологическому процессу цех
относится к кузнечным цехам ковки, так как здесь преобладает весовой выпуск
кованых поковок. По используемому оборудованию данный цех можно отнести к
молотовым, так как основным оборудованием здесь являются молота. По характеру
производства - универсальным. Данный цех изготавливает средние и мелкие поковки
деталей.
Сталелитейный цех предназначен для
выпуска стальных и чугунных отливок, отливок из цветных металлов, для ремонта
металлургического оборудования. Цех выплавляет отливки до 10 тонн из углеродистых,
высоколегированных, термостойких и специальных сталей. В цехе производят
следующие отливки: молотки дробилок, боковины и футеровки дробилок, брони,
мульды, ролики, звенья цепи разливочных машин доменного производства, колосники
и ролики спекательных тележек аглофабрики, бондажи валковых дробилок, детали
сталеразливочных ковшей, и т.д. Цех оборудован дуговыми сталелитейными печами
емкостью 3-10 тонн, а также дуговыми печами цветного металла емкостью 0,5 тонн.
Штамповочный цех со сварочным
отделением предназначен для поковки из углеродистых, инструментальных и
высоколегированных сталей с упрочняющей термообработкой и механической
обработкой. Штамповки горячие различной конфигурации массой до 50 кг,
диаметром до 330 мм. В составе цеха имеется собственный инструментальный
участок, позволяющий изготавливать штампы. В сварочном отделении производится
сварка деталей для производственных механизмов, металлоконструкций. Сварочное
отделение оборудовано сварочными трансформаторами и преобразователями для
ручной и автоматической сварки, сварочными машинами для точечной и шовной
сварки.
Цех холодной обработки металла
предназначен для обработки металлических деталей, узлов, резки заготовок из
листового металла, уголка, труб, производство однотипных деталей; а в ряде случаев
и для сборки отдельных узлов. Технологический процесс состоит из следующих
операций: заготовка деталей, обработка на металлорежущих станках, ручная
слесарная обработка.
В состав вспомогательных отделений
входят: заготовительное, заточное, контрольное отделение, ремонтная мастерская,
отделение для приготовления охлаждающих жидкостей, отделение для переработки
стружки, склад материалов, склад масел, склад абразивов, склад вспомогательных
материалов.
1.2 Выбор схемы
электроснабжения
При определении схемы построения
систем электрического снабжения выделяют 3 основных варианта:
радиальную;
магистральную;
комбинированную.
Выбор схемы зависит от категории
надёжности и бесперебойности электрического снабжения. Радиальными называют
схемы, которые содержат прямую связь питания с точкой источника (ГПП),
радиальные схемы построения применяют для всех категорий надёжности.
Магистральная схема представляет собой систему электрического снабжения с
предусмотренными в ней дополнительными точками (РП), электрические приёмники в
такой системе исключают прямое питание от источника, поэтому применяется только
для 2 и 3 категории надёжности. Эта система позволяет сократить расходы при
проектировании. Комбинированная схема представляет собой общею систему
построения с радиальной и магистральной схемой на практике применяется часто
т.к. при расчётах встречаются 1, 2 и 3 категория надёжности [1].
Радиальные схемы просты, надежны, в
большинстве случаев позволяют использовать упрощенные схемы первичной
коммутации подстанции нижнего уровня. Аварийное отключение радиальной линии не
отражается на потребителях электроэнергии, подключенных к другим линиям.
С учетом расчетных нагрузок и исходя
из экономической целесообразности применяем радиальную схему электроснабжения,
так как имеются отдельные узлы достаточно больших по величине сосредоточенных
нагрузок, по отношению к которым ГПП занимает более или менее центральное
местоположение. Кроме того, радиальная схема обеспечивает высокую надежность
электроснабжения ответственных потребителей.
В задание говорится, что завод
является потребителем второй категории. Из этого следует, что питание будет
производиться по двум линиям электропередач, от ГПП, где установлены два
трансформатора, экономически целесообразно использовать кабельные линии, проложенные
в земле, так как расстояние от ГПП до распределительной подстанции меньше 10
километров. Каждый трансформатор подключен к отдельной линии, это связано с
тем, что при аварии на первой линии работа будет продолжаться, так как вторая
возьмет на себя всю нагрузку.
Схему ГПП выбираем с учетом
установленной мощности потребителей электроэнергии и категории их надежности,
характера электрических нагрузок и размещения их на генеральном плане
предприятия, а также производственных, архитектурно-строительных и
эксплуатационных требований.
Принимаем схему ГПП без сборных шин
на высшем напряжении как наиболее простую и экономичную.
Для РУ 10 кВ принимаем схему с одной
секционированной системой шин с двумя секциями. Каждая секция работает
раздельно и получает питание от отдельного трансформатора. В нормальном режиме
секционный выключатель отключен.
Трансформаторы размещаем, открыто,
все остальное оборудование размещаем в закрытом помещении.
Для устройства РУ 10 кВ используем
комплексные распределительные устройства КРУ серии К-104М
2. Специальная часть
.1 Расчет электрических
нагрузок
Определение электрических нагрузок
является первым этапом проектирования любой системы электроснабжения. По
назначению электрических нагрузок выбирают и проверяют электрооборудование
системы электроснабжения, определяют потерю мощности и ЭЭ. От правильной оценки
нагрузок зависят капитальные вложения на систему электроснабжения,
эксплуатационные расходы, надежность работы электрооборудования. При
проектировании системы электроснабжения или анализа режимов ее работы
потребители ЭЭ рассматриваются в качестве нагрузок. Для характеристики
потребляемой мощности используются следующие понятия:
Номинальная активная мощность
приемника ЭЭ - это мощность, указанная на заводской табличке или в паспорте
приемника ЭЭ, при которой ЭП должен работать.
Номинальная реактивная мощность -
понимают реактивная мощность, потребляемую или из сети или отдаваемую в сети
при номинальной активной мощности и номинальном напряжении.
Номинальная мощность активную или
реактивную определяют как алгебраическую сумму номинальных мощностей отдельных
приемников.
Производим расчет электрических
нагрузок для цеха №1 - кузнечный цех с термическим отделением. Расчет удобно
производить в таблице.
Исходные данные для
расчета (графы 1-3, 5, 6) заполнены в соответствии с заданием на курсовой
проект согласно варианту.
В графе 4 записаны
номинальные мощности индивидуальных электроприемников, рассчитываемые по
формуле:
(2.1)
где рн -
номинальная мощность индивидуального электроприемника;
Рн -
общая мощность подгруппы электроприемников с одинаковыми коэффициентами
использования Ки и коэффициентами реактивной мощности tgφ;
n - число электроприемников в подгруппе.
Например, для
моталок и ковочных машин:
Для
электродвигателей с повторно-кратковременным режимом работы их паспортная
мощность приведена к длительному режиму (ПВ= 100%).
Для каждой
подгруппы определены расчетные величины Ки·Рн, Kи·Pн·tgφ и n·рн2, которые
записаны в графы 7, 8 и 9 соответственно.
∑Ки ·
Рн=0,2 ∙ 200=40,
∑Ки ·
Рн ∙ tgφ=0,2 ∙ 200 ∙ 1,169=46,76,
∑ n · рн2=14· 142
= 2857,14
Аналогичный расчет
проводится для всех подгрупп электро-приемников цеха.
В итоговой строке
по силовой нагрузке определяются суммы этих величин:
∑Ки ·Рн=40+102+130+270+759,6+269,5+2+102,05+164,5+138=1977,65
∑Ки ·
Рн ∙ tgφ = 46,76+136+42,77+315,63+367,65+202,13+2,26+76,54+
,38+113,44 =
1426,44
∑ n · рн2 =
2857,14+16256,25+4506,67+18225+7914,84+22347,77 + 320 + 12324,5
+18408,33+1763,33=104923,84
В графе 5 итоговой
строки определяется групповой коэффициент использования по формуле:
(2.2)
В графе 10 итоговой
строки определяется эффективное число ЭП n э:
(2.3)
В графе 11 в
зависимости от группового коэффициента использования и эффективного числа
электроприемников по таблице 10 определяется коэффициент расчетной мощности Кр.
При
и
Кр
принимается равным 1.
В графе 12
определяется расчетная активная мощность подключенных к узлу питания силовых ЭП
Рр.с, кВт по формуле:
Рр.с=Кр·∑Ки·Рн
(2.4)
Рр.с=1∙1977,65
= 1977,65 кВт
Если расчетная
мощность Рр.с окажется меньше номинальной наиболее мощного
электроприемника, следует принимать Рр.с = рн. макс.
В графе 13
определяется расчетная реактивная мощность силовых ЭП:
Qp..c= Кр · ∑Ки · Рн· tgφ (2.5)
Qp..c= 1∙1426,44=1426,44 кВАр
При определении
полной расчетной нагрузки цеха к расчетной активной и реактивной мощностям
силовых ЭП напряжением до 1 кВ должны быть добавлены осветительные нагрузки:
активная Рр.о, кВт, и реактивная Qp.о, кВАр.
Значение расчетной
активной осветительной нагрузки Рр.о определяется методом удельной
мощности на единицу площади по формуле:
Рр.о
=Рн.о · Кс.о · Кпп, (2.6)
где Рн.о
- номинальная мощность осветительной установки, кВт;
Кс.о -
коэффициент спроса осветительной нагрузки
Кпп -
коэффициент, учитывающий потери мощности в пускорегулирующей аппаратуре.
Номинальная
мощность осветительной установки определяется по формуле:
Рн.о = руд
· F, (2.7)
где руд
- удельная мощность освещения на единицу производственной площади, кВт/м2;
F - площадь цеха, м2.
Расчетная
реактивная осветительная нагрузка Qp.о, кВАр, определяется по
формуле:
Qp.о = Рр.о· tgφо, (2.8)
Коэффициенты Кс.о, Кпп
и плотность осветительной нагрузки руд выбираются по справочным
данным: так как в цехе предполагается установить газоразрядные источники света,
то Кпп= 1,1, Кс.о = 0,95, руд = 6,3 Вт/м2,
tgφо = 0,33.
Площадь F, м2 цеха определяем по
генеральному плану предприятия:
F = a·b, (2.9)
где a - ширина цеха, b - длина цеха.
Для цеха №1:
а=45, b= 45 м
F = 45·45 = 2025 м2.
Рн.о =
6,3 · 2025 = 12760 Вт = 12,76 кВт
Рр.о
= 12,76 · 0,95 · 1,1 = 13,33 кВт
Qp.о = 13,33· 0,33 = 4,4
кВАр
Для цеха №2:
а=70, b= 70 м
F = 70*70 = 4900 м2.
Рн.о =
6,3 · 4900 = 30870 Вт = 30.87 кВт
Рр.о
= 30.87 · 0,95 · 1,1 = 33.26 кВт
Qp.о = 33.26· 0,33 = 10.65
кВАр
Для цеха №3:
а=35.7, b= 190 м
F = 35,7*190 = 6800 м2.
Рн.о =
6,3 · 6800 = 42840 Вт = 42.84 кВт
Рр.о
= 42.84 · 0,95 · 1,1 = 44.77 кВт
Qp.о = 44.77· 0,33 = 14.77
кВАр
Для цеха №4:
а=60, b= 65 м
F = 60*65 = 3906 м2.
Рн.о =
6,3 · 3906 = 24610 Вт = 24.61 кВт
Рр.о
= 24.61· 0,95 · 1,1 = 25.72 кВт
Qp.о = 25.72· 0.33 = 8.49
кВАр
Полученные значения
расчетных активной Рр.ои реактивной Qp.о нагрузок записываются соответственно в графы 12 и 13 таблицы в
строке для нагрузок освещения, а значение номинальной мощности освещения Рн.о
- в графу 3.
Расчетные нагрузки
цеха активная Pp.ц (графа 12) и реактивная
Qp.ц (графа 13) определяются
суммированием расчетных нагрузок силовых электроприемников и нагрузок
освещения, т.е.:
Pp.ц = Рр.с + Рр.о,
(2.10)
Pp.ц =1977,65 + 13,33
=1991кВт
Qp.ц = Qp.с + Qp.о (2.11)
Qp.ц = 1426,44 + 4,4 =
1431кВАр
Графа 14 полная
расчетная нагрузка цеха Sр.ц, кВ·А, определяется по
формуле:
(2.12)
Таблица 1 - Кузнечный цех с
термическим отделением
|
№
|
Наименование ЭП
|
n, шт
|
Рн, кВт
|
рн, кВТ
|
Ки
|
tgφ
|
|
1
|
Моталка, ковочные машины
|
14
|
200
|
14
|
0,2
|
1,169
|
|
2
|
Печи сопротивления с непрерывной загрузкой
|
16
|
510
|
32
|
0,2
|
1,333
|
|
3
|
Индукционные печи низкой частоты
|
15
|
260
|
17
|
0,5
|
0,329
|
|
4
|
Ламповые генераторы индукционных печей высокой частоты
|
16
|
540
|
34
|
0,5
|
1,169
|
|
5
|
Мелкие нагревательные приборы
|
90
|
844
|
9
|
0,9
|
0,484
|
|
6
|
Двигатель-генератор индукционных печей высокой частоты
|
13
|
539
|
41
|
0,5
|
0,75
|
|
7
|
Мостовые краны ПВ 40%
|
5
|
40
|
8
|
0,05
|
1,132
|
|
8
|
Компрессоры
|
2
|
157
|
79
|
0,65
|
0,75
|
|
9
|
Насосы
|
3
|
235
|
78
|
0,7
|
0,75
|
|
10
|
Вентиляционное оборудование
|
30
|
230
|
8
|
0,6
|
0,822
|
|
11
|
Итого силовой нагрузки
|
204
|
3555
|
320,58
|
0,56
|
-
|
|
12
|
Освещение цеха
|
-
|
12,76
|
-
|
-
|
-
|
|
-
|
Всего по цеху
|
-
|
-
|
-
|
-
|
-
|
|
|
Ки·Рн
|
Ки·Рн·tgφ
|
n·p2н
|
nэ, шт
|
Кр
|
Рр, кВт
|
Qр, квар
|
Sp, кВ·А
|
|
1
|
40
|
46,76
|
2857,14
|
-
|
-
|
-
|
-
|
-
|
|
2
|
102
|
135,97
|
16256,25
|
-
|
-
|
-
|
-
|
-
|
|
3
|
130
|
42,77
|
4506,67
|
-
|
-
|
-
|
-
|
-
|
|
4
|
270
|
315,63
|
18225
|
-
|
-
|
-
|
-
|
-
|
|
5
|
759,6
|
367,65
|
7914,84
|
-
|
-
|
-
|
-
|
-
|
|
6
|
269,5
|
202,13
|
22347,77
|
-
|
-
|
-
|
-
|
-
|
|
7
|
2
|
2,26
|
320
|
-
|
-
|
-
|
-
|
-
|
|
8
|
102,05
|
76,54
|
12324,5
|
-
|
-
|
-
|
-
|
-
|
|
9
|
164,5
|
123,38
|
18408,33
|
-
|
-
|
-
|
-
|
-
|
|
10
|
138
|
113,44
|
1763,33
|
-
|
-
|
-
|
-
|
-
|
|
11
|
1977,65
|
1426,51
|
104923,84
|
120
|
1,00
|
1977,65
|
1426,51
|
-
|
|
12
|
75
|
25
|
-
|
-
|
-
|
13,33
|
4,40
|
-
|
|
13
|
-
|
-
|
-
|
-
|
-
|
1991
|
1431
|
2451,84
|
№
|
Наименование ЭП
|
n, шт
|
Рн, кВт
|
рн, кВТ
|
Ки
|
tgφ
|
|
1
|
Дуговые сталелитейные печи емкостью 3-10 т для фасонного литья
|
4
|
2200
|
550
|
0,75
|
0,484
|
|
2
|
Дуговые сталелитейные печи емкостью 1 т
|
1
|
134
|
134
|
0,5
|
0,75
|
|
3
|
Дуговые печи цветного металла емкостью 0,5 т
|
1
|
72
|
72
|
0,7
|
0,822
|
|
4
|
Насосы
|
1
|
39
|
39
|
0,7
|
0,75
|
|
5
|
Компрессоры
|
1
|
39
|
39
|
0,65
|
0,75
|
|
6
|
Вентиляционное оборудование
|
2
|
44
|
22
|
0,6
|
0,822
|
|
7
|
Мостовые краны ПВ 25%
|
1
|
73
|
73
|
0,7
|
0,62
|
|
8
|
Транспортеры несблокированные
|
1
|
54
|
54
|
0,4
|
0,822
|
|
9
|
Переносной электроинструмент
|
23
|
24
|
1
|
0,2
|
1,333
|
|
10
|
Итого силовой нагрузки
|
-
|
2679
|
984,04
|
0,72
|
-
|
|
11
|
Освещение цеха
|
-
|
30,87
|
-
|
-
|
-
|
|
12
|
Всего по цеху
|
-
|
-
|
-
|
-
|
-
|
|
№
|
Ки·Рн
|
Ки·Рн·tgφ
|
n·p2н
|
nэ, шт
|
Кр
|
Рр, кВт
|
Qр, квар
|
Sp, кВ·А
|
|
7
|
8
|
9
|
10
|
11
|
12
|
13
|
14
|
|
1
|
1650
|
798,6
|
1210000
|
-
|
-
|
-
|
-
|
-
|
|
2
|
67
|
50,25
|
17956
|
-
|
-
|
-
|
-
|
-
|
|
3
|
50,4
|
41,43
|
5184
|
-
|
-
|
-
|
-
|
-
|
|
4
|
27,3
|
20,48
|
1521
|
-
|
-
|
-
|
-
|
-
|
|
5
|
25,35
|
19,01
|
1521
|
-
|
-
|
-
|
-
|
-
|
|
6
|
26,4
|
21,7
|
968
|
-
|
-
|
-
|
-
|
-
|
|
7
|
51,1
|
31,68
|
5329
|
-
|
-
|
-
|
-
|
-
|
|
8
|
21,6
|
17,76
|
2916
|
-
|
-
|
-
|
-
|
-
|
|
9
|
4,8
|
6,4
|
25,04
|
-
|
-
|
-
|
-
|
-
|
|
10
|
1923,95
|
1007,3
|
1245420
|
6
|
1,00
|
1923,95
|
1007,3
|
-
|
|
11
|
-
|
-
|
-
|
-
|
-
|
32,26
|
10,65
|
-
|
|
12
|
-
|
-
|
-
|
-
|
-
|
1956,21
|
1018
|
2205,21
|
|
|
|
|
|
|
|
|
|
|
|
|
Таблица 3 - Штамповочный цех со
сварочным отделением
|
№
|
Наименование ЭП
|
n, шт
|
Рн, кВт
|
рн, кВТ
|
Ки
|
tgφ
|
|
1
|
2
|
3
|
4
|
5
|
6
|
|
1
|
Штампы и прессы
|
3
|
340
|
113
|
0,17
|
1,169
|
|
2
|
Конвейеры несбалансированные
|
2
|
324
|
162
|
0,4
|
0,822
|
|
3
|
Краны мостовые ПВ 25%
|
2
|
54
|
27
|
0,7
|
0,62
|
|
4
|
Сварочные трансформаторы для ручной сварки
|
6
|
410
|
68
|
0,2
|
0,955
|
|
5
|
Многопостовые сварочные двигатель-генераторы
|
10
|
690
|
69
|
0,2
|
2,291
|
|
6
|
Сварочные машины шовные
|
6
|
370
|
62
|
0,3
|
1,333
|
|
7
|
Сварочные машины точечные
|
5
|
220
|
44
|
0,5
|
1,02
|
|
8
|
Однопостовые сварочные двигатель - генераторы
|
3
|
120
|
40
|
0,2
|
2,291
|
|
9
|
Насосы
|
4
|
44
|
11
|
0,7
|
0,62
|
|
10
|
Вентиляционное оборудование
|
2
|
90
|
45
|
0,6
|
0,822
|
|
11
|
Итого силовой нагрузки
|
43
|
2662
|
641,33
|
0,29
|
-
|
|
12
|
Освещение цеха
|
-
|
42,84
|
-
|
-
|
-
|
|
13
|
Всего по цеху
|
-
|
-
|
-
|
-
|
-
|
|
№
|
Ки·Рн
|
Ки·Рн·tgφ
|
n·p2н
|
nэ, шт
|
Кр
|
Рр, кВт
|
Qр, квар
|
Sp, кВ·А
|
|
7
|
8
|
9
|
10
|
11
|
12
|
13
|
14
|
|
1
|
57,8
|
67,57
|
38533,33
|
-
|
-
|
-
|
-
|
-
|
|
2
|
129,6
|
106,53
|
-
|
-
|
-
|
-
|
-
|
|
3
|
37,8
|
23,44
|
1458
|
-
|
-
|
-
|
-
|
-
|
|
4
|
82
|
78,31
|
28016,67
|
-
|
-
|
-
|
-
|
-
|
|
5
|
138
|
316,16
|
47610
|
-
|
-
|
-
|
-
|
-
|
|
6
|
111
|
147,96
|
22816,67
|
-
|
-
|
-
|
-
|
-
|
|
7
|
110
|
112,2
|
9680
|
-
|
-
|
-
|
-
|
-
|
|
8
|
24
|
54,98
|
4800
|
-
|
-
|
-
|
-
|
-
|
|
9
|
30,8
|
19,1
|
484
|
-
|
-
|
-
|
-
|
-
|
|
10
|
54
|
44,39
|
4050
|
-
|
-
|
-
|
-
|
-
|
|
11
|
775
|
970,63
|
209937
|
34
|
1,00
|
775
|
970,63
|
-
|
|
12
|
-
|
-
|
-
|
-
|
-
|
44,77
|
14,77
|
-
|
|
13
|
-
|
-
|
-
|
-
|
-
|
819,77
|
985,41
|
1281,81
|
|
|
|
|
|
|
|
|
|
|
|
Таблица 4 - Цех холодной обработки
металла
|
№
|
Наименование ЭП
|
n, шт
|
Рн, кВт
|
рн, кВТ
|
Ки
|
tgφ
|
|
1
|
2
|
3
|
4
|
5
|
6
|
|
1
|
Металлорежущие станки малой серии
|
16
|
1300
|
81,25
|
0,12
|
2,29
|
|
2
|
Металлорежущие станки при крупносерийном производстве
|
15
|
260
|
17,33
|
0,16
|
1,73
|
|
3
|
Металлорежущие станки при тяжелом режиме работы
|
14
|
370
|
26,42
|
0,17
|
1,169
|
|
4
|
Автоматическая точечная линия обработки металлов
|
2
|
104
|
52
|
0,5
|
1,02
|
|
5
|
Транспортеры несблокированные
|
3
|
154
|
51,33
|
0,4
|
0,88
|
|
6
|
Транспортеры сблокированные
|
3
|
990
|
330
|
0,4
|
0,88
|
|
7
|
Насосы
|
8
|
143
|
17,87
|
0,7
|
0,75
|
|
8
|
Вентиляторы
|
15
|
165
|
11
|
0,6
|
0,88
|
|
9
|
Мостовые краны ПВ 40%
|
3
|
133
|
44,33
|
0,05
|
1,73
|
|
10
|
Итого силовой нагрузки
|
-
|
3619
|
-
|
0,27
|
-
|
|
11
|
Освещение цеха
|
-
|
24,61
|
-
|
-
|
-
|
|
12
|
Всего по цеху
|
-
|
-
|
-
|
-
|
-
|
|
№
|
Ки·Рн
|
Ки·Рн·tgφ
|
n·p2н
|
nэ, шт
|
Кр
|
Рр, кВт
|
Qр, квар
|
Sp, кВ·А
|
|
7
|
8
|
9
|
10
|
11
|
12
|
13
|
14
|
|
1
|
156
|
357,4
|
105625
|
-
|
-
|
-
|
-
|
-
|
|
2
|
41
|
72,05
|
4506,67
|
-
|
-
|
-
|
-
|
-
|
|
3
|
62
|
73,53
|
9778,57
|
-
|
-
|
-
|
-
|
-
|
|
4
|
52
|
53,04
|
5408
|
-
|
-
|
-
|
-
|
-
|
|
5
|
61,6
|
54,33
|
7905,33
|
-
|
-
|
-
|
-
|
-
|
|
6
|
396
|
349,27
|
326700
|
-
|
-
|
-
|
-
|
-
|
|
7
|
100,1
|
75,08
|
2556,13
|
-
|
-
|
-
|
-
|
-
|
|
8
|
99
|
87,32
|
1815
|
-
|
-
|
-
|
-
|
-
|
|
9
|
6,65
|
11,52
|
5896,33
|
-
|
-
|
-
|
-
|
-
|
|
10
|
975,85
|
1133,53
|
470191
|
28
|
1,00
|
975,85
|
1133,53
|
-
|
|
11
|
-
|
-
|
-
|
-
|
-
|
25,72
|
8,49
|
-
|
|
12
|
-
|
-
|
-
|
-
|
-
|
1001,57
|
1142
|
1519
|
|
|
|
|
|
|
|
|
|
|
|
|
|
|
|
Расчетную нагрузку всего предприятия
определяют с учетом разновременности максимумов нагрузки отдельных цехов:
(2.13)
где - активная расчетная мощность отдельного цеха;
-
реактивная расчетная мощность отдельного цеха,
значение Крм можно
принять равным 0,9.
2.2 Определение центра
электрических нагрузок и построение картограммы
Картограммой электрических нагрузок
называют план, на котором изображена картина распределения нагрузок
электроприемника. Если картограмму строят на генплане предприятия, то в
качестве электроприемников рассматривают цеха предприятия.
Геометрическое изображение
интенсивности распределения нагрузок по подразделениям предприятия осуществляют
в виде кругов, площади которых соответствуют в выбранном масштабе расчетным
мощностям. В качестве центра окружности выбирается центр тяжести
соответствующего цеха (если цех изображен в виде прямоугольника, его центром
является точка пересечения диагоналей). Центр электрических нагрузок (ЦЭН)
предприятия представляет собой символический центр потребления электроэнергии,
где должна быть расположена ГПП. В случае невозможности размещения ГПП в ЦЭН,
она смещается в сторону источника питания. Цеховые ТП следует располагать как
можно ближе к центрам питаемых ими нагрузок.
Для определения
условного центра электрических нагрузок (ЦЭН) предприятия на его генеральном
плане наносят оси координат и ,
и по известным расчетным мощностям цехов и их координатам определяют центр
нагрузок предприятия в целом. Картограмму строим для активных нагрузок.
Координаты ЦЭН предприятия определяются по формулам:
(2.14)
где - координата х центра тяжести геометрической фигуры, изображающей
цех (точки пересечения диагоналей прямоугольника, изображающего цех).
(2.15)
где - координата у центра тяжести геометрической фигуры, изображающей
цех
м
м
Следовательно, точка А (111,26;
183,89) будет характеризовать центр активной мощности предприятия.
Находим соотношение активной и
реактивной мощностей.
Радиус активной мощности
(2.16)
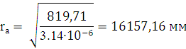
где m = - масштабный коэффициент.
Цех №2:
Цех №3:
Цех №4:
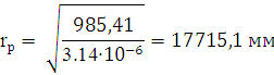
Радиус реактивной мощности:
(2.17)
Цех №1:
Цех №2:
Цех №3:
Цех №4:
По полученным данным строится
картограмма электрических нагрузок. (Рис. 1) Окружности активной мощности
чертим сплошной линией, реактивной мощности пунктирной.
2.3 Расчет и выбор числа
и мощности трансформаторов главной понизительной подстанции
электроснабжение релейный трансформатор заземляющий
Так как электроприемники
рассматриваемого предприятия относятся ко второй категории, принимаем к
установке двухтрансформаторную ГПП.
Номинальная мощность трансформатора
выбирается из условия, чтобы при выходе одного трансформатора в ремонт,
оставшиеся работали с перегрузкой в 40%. [2]
Определяем расчетную мощность
трансформатора по формуле:
(2.18)
Предварительно принимаем
трансформатор на 6300 кВА.
Коэффициент загрузки в аварийном
режиме:
(2.19)
где n - число трансформаторов, работающих
в аварийном режиме
(рекомендуется
< 0,75)
Определяем число подстанций:
(2.20)
Принимаем одну подстанцию 2·6300
кВА.
Выбираем трансформатор
ТМН-6300/110-6300/110 с номинальными данными:
Sн.тр=6300 кВА, Рхх=11,5
кВт, Ркз=44 кВт, Iхх=0,8%, Uк=10,5%.
2.4 Компенсация
реактивной мощности
Большинство электроприемников
потребляет через сеть реактивную мощность. Ее передача из сети вызывает
повышение потерь активной мощности, электроэнергии и напряжения в сети. Для
уменьшения этих потерь и увеличения пропускной способности линий и
трансформаторов предусматривается в сетях потребителей установка компенсирующих
устройств (КУ). [2]
В случае установки
трансформаторной подстанции мощность трансформатора следует выбирать с учетом
компенсации реактивной мощности.
Необходимая
мощность компенсирующих устройств Qку.расч при проектировании
определяется формуле:
Qку.расч = Рр.ц
· (tgφест - tgφнорм) (2.21)
где tgφест - естественный коэффициент реактивной мощности, определяемый из
соотношения ;
tgφнорм - нормативное значение
коэффициента реактивной мощности, равное 0,33.
Для цеха №1:
Qку.расч = · (0,718 - 0,33) = 774 кВАр
Для цеха №2:
tgφест =
Qку.расч = · (0,52 - 0,33) = 371,68 кВАр
Для цеха №3:
tgφест =
Qку.расч = · (1,2 - 0,33) = 713,15 кВАр
Для цеха №4:
tgφест =
Qку.расч = · (1,14 - 0,33) = 811,27 кВАр
Затем определяется
значение реактивной мощности Qc, кВАр, которая будет передаваться из сети по питающей линии с
учетом мощности компенсирующих устройств:
Qc = Qр.ц - Qку.расч
(2.22)
Для цеха №1:
Qc = 1431 - 774 = 657кВАр
Для цеха №2:
Qc = 1018 - 371,68 = 646,32 кВАр
Для цеха №3:
Qc = 985,41 - 713,15 = 272,26 кВАр
Для цеха №4:
Qc = 1142 - 811,27 = 330,73 кВАр
С учетом
компенсации реактивной мощности полная мощность трансформатора цеховой ТП
пересчитывается по формуле:
(2.23)
Цех №1:
Цех №2:
Цех №3:
Цех №4:
2.5 Выбор числа и
мощности трансформаторов цеховой ТП
Для первой и второй категории
электроснабжения число трансформаторов цеховой подстанции должно быть не менее
двух.
Для двухтрансформаторной цеховой
подстанции расчетная мощность:
(2.24)
Определяем расчетную мощность
трансформатора:
Цех №1:
Цех №2:
Цех №3:
Цех №4:
Предварительно для цеха №1 выбираем
трансформатор мощностью 2500 кВА.
Коэффициент загрузки в аварийном
режиме:
<
0,75
Определяем число подстанций:
(2.25)
Принимаем одну подстанцию 2·2500
кВА.
Выбираем трансформатор ТМ - 2500/6 с
номинальными данными:
Sн.тр=2500 кВА, Рхх=2,5
кВт, Ркз=28 кВт, Iхх=0,4%, Uк=6,5%. [3]
Предварительно для цеха №2 выбираем
трансформатор мощностью 2500 кВА.
Коэффициент загрузки в аварийном
режиме:
Определяем число подстанций:
Принимаем одну подстанцию 2·2500
кВА.
Выбираем трансформатор ТМ - 2500/6 с
номинальными данными:
Sн.тр=2500 кВА, Рхх=2,5
кВт, Ркз=28 кВт, Iхх=0,4%, Uк=6,5%. [3]
Предварительно для цеха №3 выбираем
трансформатор мощностью 1000 кВА.
Коэффициент загрузки в аварийном
режиме:
<
0,75
Определяем число подстанций:
Принимаем одну подстанцию 2·1000
кВА.
Выбираем трансформатор ТМ - 1000/6 с
номинальными данными:
Sн.тр=1000 кВА, Рхх=2,45
кВт, Ркз=12,2 кВт, Iхх=1,4%, Uк=5,5%.n [3]
Предварительно для цеха №4 выбираем
трансформатор мощностью 1000 кВА.
Коэффициент загрузки в аварийном
режиме:
<
0,75
Определяем число подстанций:
Принимаем одну подстанцию 2·1000
кВА.
Выбираем трансформатор ТМ - 1000/6 с
номинальными данными:
Sн.тр=1000 кВА, Рхх=2,45
кВт, Ркз=12,2 кВт, Iхх=1,4%, Uк=5,5%. [3]
2.6 Расчет токов
короткого замыкания
Короткое замыкание - всякое
случайное или преднамеренное, не предусмотренное нормальным режимом работы,
электрическое соединение разных точек электроустановки между собой или землей,
при котором токи в ветвях электроустановки резко возрастают, превышая
наибольший допустимый ток продолжительного режима.
В системе трехфазного переменного
тока могут быть следующие виды коротких замыканий: трехфазные, двухфазные,
однофазные и двухфазные на землю. Так как трехфазные к.з. приводят к появлению
наибольших токов в поврежденной цепи, при проверке аппаратуры за расчетный ток
к.з. принимают ток трехфазного к.з.
Для проверки оборудования подстанции
(шин, реакторов, кабелей) на устойчивость к термическому и электродинамическому
действию токов короткого замыкания необходимо правильно выбрать точки короткого
замыкания и рассчитать токи к.з. в этих точках.
Под расчетной схемой установки
понимают упрощенную однолинейную схему электроустановки с указанием всех
элементов (трансформаторов, линий, реакторов) и их параметров, которые влияют
на ток к.з. и поэтому должны быть учтены при выполнении расчетов.
В расчетную схему вводятся все
источники питания, участвующие в питании места к.з. и все элементы системы
электроснабжения (трансформаторы, линии, реакторы), расположенные между ними и
местом к.з. [3]
Расчетная схема для расчетов токов
к.з. в максимальном режиме приведена на рис. 1.
Схемы замещения выполняют в
однолинейном изображении; при этом сопротивления отмечают порядковыми номерами
и указывают их численные значения. Сопротивления всех элементов схемы замещения
указываются в относительных единицах при выбранных базисных условиях.
Основные допущения при расчетах тока
КЗ:
·
отсутствует насыщение магнитных систем генераторов,
трансформаторов, двигателей;
·
практически не учитывается емкостная проводимость линий
электропередачи;
·
не учитываются токи намагничивания трансформаторов;
·
не учитываются активные сопротивления трансформаторов из-за
незначительной величины по сравнению с индуктивными сопротивлениями.
Составляем расчетную схему и схему
замещения.
Данные для расчета:
а) воздушная линия: xуд1 = 0,4 Ом/км, rуд1 = 0,432 Ом/км, L1 = 2 км;
б) трансформатор Т1: Uк = 10,5%, =
6,3 МВА;
в) кабельная линия: xуд3=
0,091 Ом/км, rуд2
= 1,21 Ом/км, L2
= 0,116 км;
г)
трансформатор Т3: Uк
= 6,5%, =
2,5 МВА, ,
нагрузка на Т3 -
Расчет токов короткого
замыкания элементов схемы электроснабжения высшего напряжения ведем в
относительных и именованных единицах.
При расчете в
относительных единицах все величины сравнивают с базисными, в качестве которых
принимают базисную мощность Sб и базисное
напряжение Uб.
За базисную
мощность принимают мощность одного трансформатора ГПП или условную единицу
мощности, например, 100 или 1000 МВА.
Базисное
напряжение каждой ступени принимают на 5% выше номинального напряжения сети (Uб =
0,23; 0,4; 0,69; 3,15; 6,3; 10,5; 21; 37; 115; 230 кВ).
Принимаем за базисную
мощность Sб
= 100 МВА, за базисные напряжения Uб1 = 115 кВ; Uб2 = 10,5 кВ; Uб3 = 0,4 кВ.
Определяем базисные токи:
(2.26)
Определяем сопротивления
элементов схемы замещения:
а) воздушная линия
x1*б=
xуд1∙ L1 · (2.27)
x1
= (2.28)
r1*б=
rуд1∙ L1 · (2.29)
r1
= (2.30)
б) трансформатор Т1
x2*б= (2.31)
x2
= 1,667 ∙ Ом
в) кабельная линия
x3*б=
xуд3∙ L2 · ·
0,116 ·
x3
= 0,0096 ∙ Ом
r2*б=
rуд2∙ L2 · ·
0,116 ·
r2
= 6.238 ∙ Ом
г) трансформатор Т3
x4*б=
x4
= 2,6 ∙ Ом
Рассчитываем ток короткого замыкания
в точке К1.
x∑К1 = x1*б + x2*б= 0,0065 + 1.667 = 1.6735 (2.32)
r∑К1 = r1*б = 0.006
r∑К1 < x∑К1, следовательно активное
сопротивление не учитывается
z∑К1*б = x∑К1 = 1.6735
Ток КЗ в точке К1 равен:
кА; (2.33)
Ударный ток в точке К1:
кА; (2.34)
Куд
определяем по кривой Куд=f( )
по графику.
Рассчитываем ток короткого замыкания
в точке К2.
x∑К2 = x∑К1 + x3*б + x4*б = 1,6735 + 0,0096 +
2,6= 4,283 (2.35)
r∑К2 = r∑К1 + r2*б = 0.006 + 6,238 = 6,244 (2.36)
r∑К2 > x∑К2, следовательно активное
сопротивление учитывается
z∑К2*б = = =
7.546 (2.37)
Ток КЗ в точке К2 равен:
кА;
Ударный ток в точке К1:
кА
Результаты расчета представлены в
таблице.
Токи короткого замыкания
|
Точка
|
х∑
|
r∑
|
z∑
|
Iк, кА
|
iуд, кА
|
|
К1
|
1.6735
|
0.006
|
1.6735
|
3.286
|
9.294
|
|
К2
|
4.238
|
6.244
|
7.546
|
19.128
|
28.404
|
2.7 Выбор электрической
аппаратуры
Выбор электрических аппаратов
состоит из выбора аппаратов по условиям длительной работы в нормальном режиме и
проверки аппаратов по условиям кратковременной работы в аварийном режиме, т.е.
в режиме короткого замыкания. Все аппараты, включенные в электрические цепи
последовательно, должны надежно работать не только в нормальном режиме, но и
обладать необходимой устойчивостью при коротком замыкании.
Выбор выключателей
Из [4] выберем и проверим
выключатель BГТ - 110 - 40/2500У1 - элегазовый, трехполюсный, для умеренного
климата.
Паcпортные данные выбранного
выключателя
|
Uн, кВ
|
Iн, кА
|
Iотк.н, кА
|
вн, %
|
Iпр.ск, кА
|
iпр.ск, кА
|
Iтер, кА
|
tтер, c
|
tc.откл, с
|
|
110
|
2,500
|
40,0
|
25
|
40
|
102
|
40,0
|
3
|
0,04
|
Проверка выбранного выключателя
|
Характеристика
|
Обозначение и формулы
|
Расчет
|
|
Номинальное напряжение, кВ
|
|
110 = 110 (вып.)
|
|
Длительный максимальный ток, кА
|
|
|
Номинальный ток
динамической стойкости, кА: Периодический (действ. значение) Полный (макс.
значение)
3,28 40,0
(вып.)
|
9.29 102
(вып.)
|
Номинальный ток
отключения, кА: Периодический (действ. значение) Полный (макс. значение)
3,28
40,0
(вып.)
|
13,9 70,7
(вып.)
|
|
Номинальный тепловой
импульс (термическая стойкость), А2∙с 
Все условия выбора выполняются.
Принимаем к установке выключатель данного типа.
ТТ выбираются по номинальному току,
напряжению и допустимой нагрузке вторичной цепи. Проверка трансформаторов тока
осуществляется по динамической и термической стойкости.
При питании от системы требуется
установка на ГПП как трансформаторов тока для счетчиков с классом точности 0,5,
так и трансформаторов тока для питания цепей релейной защиты с классом 10Р.
Для первой цели предусмотрим
установку 6 (по одному на фазу) трансформаторов тока марки ТФЗМ110Б с
коэффициентом трансформации 200/5. Для второй встроенные в силовые
трансформаторы марки ТВТ110-1-200/5
Условия:р < Iномуд
< iдин
ВК <ВК ДОП
Выбор трансформаторов тока на 110 кВ
|
Марка трансформатора тока
|
Ip, А
|
Iн, А
|
iуд, кА
|
iтер, кА
|
BК, кА2*м
|
ВК ДОП, кА2*м
|
|
ТФЗМ110Б
|
33
|
200
|
15,121
|
4
|
1,699
|
48
|
|
ТВТ110-1-200/5
|
33
|
200
|
15,121
|
25
|
1,699
|
1875
|
Выбор трансформаторов напряжения [4]
Для установки счетчиков также
предусмотрим установку трансформаторов напряжения с классом точности 0,5 марки
НАМИ-110-УХЛ1
Выбор аппаратов ГПП на стороне 10 кВ
Выбор выключателей
Из [4] выберем и проверим КРУ серии
К-104М, на основе вакуумного выключателя серии ВВ/TEL-10-20/1600 У2
Паспортные данные выбранного КРУ
|
Uн, кВ
|
Iн, А
|
Iотк.н, кА
|
вн, %
|
Iпр.ск, кА
|
iпр.ск, кА
|
Iтер, кА
|
tтер, c
|
tc.откл, с
|
|
10
|
1000
|
20
|
55
|
20
|
51
|
20
|
3
|
0,015
|
Проверка выбранного КРУ
|
Характеристика
|
Обозначение и формулы
|
Расчет
|
|
Номинальное напряжение, кВ
|
Uуст ≤ Uн
|
10 = 10 (вып.)
|
|
Длительный максимальный ток, кА
|
Iраб.форс≤ Iдл.н
|
≤ 1 (вып.)
|
Номинальный ток
динамической стойкости, кА: Периодический (действ. значение) Полный
(максимальное значение) Iпо
≤ Iпр.ск 19,12
≤ 20 (вып.)
Номинальный ток
отключения, кА: Периодический (действ. значение) Полный (макс. значение)
19,12 20
(вып.)
,64+19,12 ≤
|
34,76 43,8 (вып.)
|
|
Номинальный тепловой
импульс (термическая стойкость), кА2∙с 
Все условия выбора выполняются.
Принимаем к установке КРУ данного типа.
Данные ячейки КРУ установим в цепи
низшего напряжения за силовыми трансформаторами (выключатели ввода) и между
секций (секционный выключатель).
Необходимо подобрать ячейку КРУ
К-104М и вакуумный выключатель к ней, для установки на отходящие линии к
потребителям.
Предварительно ВВ/TEL-10-20/630 У2
Паспортные данные выбранного КРУ
|
Uн, кВ
|
Iн, А
|
Iотк.н, кА
|
вн, %
|
Iпр.ск, кА
|
iпр.ск, кА
|
Iтер, кА
|
tтер, c
|
tc.откл, с
|
|
10
|
630
|
20
|
55
|
20
|
51
|
20
|
3
|
0,015
|
Проверка выбранного КРУ
|
Характеристика
|
Обозначение и формулы
|
Расчет
|
|
Номинальное напряжение, кВ
|
10 = 10 (вып.)
|
|
|
Длительный максимальный ток, кА
|

|
|
Номинальный ток
динамической стойкости, кА: Периодический (действ. значение) Полный (макс.
знач) 
Номинальный ток
отключения, кА: Периодический (действующее значение) Полный (макс. значение)
19,12 20
(вып.)
,64+19,12
≤
|
34,76 43,8 (вып.)
|
|
Номинальный тепловой
импульс (термическая стойкость), А2∙с 19,122∙(1+0,015)≤202∙3
Все условия выбора выполняются.
Принимаем к установке КРУ данного типа.
Принимаем к установке на отходящих к
потребителям линиях проверенную ячейку КРУ К-104М компонуемую выключателем
ВВ/TEL-10-20/630 У2.
Конструкция данной ячейки
предполагает установку трансформаторов тока с классом точности - 0,5,
предназначенных для подключения приборов для учета электроэнергии. Произведем
выбор и проверку трансформаторов тока в ячейку секционного выключателя и на
отходящие линии.
Выбор трансформаторов тока.
Из [4] выберем и проверим
трансформатор тока ТПЛК-10. Класс точности - 0,5, предназначенного для учета
электроэнергии.
Паспортные данные выбранного
трансформатора тока
|
Uн, кВ
|
I1н, А
|
I2н, А
|
Kт
|
Iпр. ск., kA
|
Iтер, kA
|
tтер, c
|
|
10
|
400
|
5
|
400/5
|
74,5
|
18,9
|
3
|
Проверка выбранного трансформатора
тока
|
Характеристика
|
Обозначение и формулы
|
Расчет
|
|
Номинальное напряжение, кВ
|
10 = 10 (вып.)
|
|
|
Номинальный ток, кА
|
0,4 ≥
0,13 (вып.)
|
|
Динамическая стойкость,
кА
19,12 ≤ 74,5
(вып.)
Термическая стойкость,
кА2∙с 19,122∙(1+0,015)≤18,92∙3
Все условия выбора выполняются.
Принимаем к установке трансформатор тока данного типа. Установим его в ячейку
КРУ К-104М на отходящие линии.
Из [4] выберем и проверим
трансформатор тока ТПЛК-10. Класс точности - 0,5, предназначен для учета
электроэнергии.
Паспортные данные выбранного
трансформатора тока
|
Uн, кВ
|
I1н, А
|
I2н, А
|
Kт
|
Iпр. ск., kA
|
Iтер, kA
|
tтер, c
|
|
10
|
600
|
5
|
600/5
|
74,5
|
28,3
|
3
|
Проверка выбранного трансформатора
тока
|
Характеристика
|
Обозначение и формулы
|
Расчет
|
|
Номинальное напряжение, кВ
|
10 = 10 (вып.)
|
|
|
Номинальный ток, кА
|
0,6 ≥
0,364 (вып.)
|
|
Динамическая стойкость,
кА
19,12 ≤ 74,5
(вып.)
Термическая стойкость, А2∙с 19,122∙(1+0,015)≤28,32∙3
Все условия выбора выполняются.
Принимаем к установке трансформатор тока данного типа. Установим его в ячейку
КРУ К-104М за силовыми трансформаторами и ячейку секционного выключателя.
В соответствии с ПУЭ сечение кабелей
с алюминиевыми жилами в распределительных сетях 10кВ при прокладке их в
земляных траншеях, следует принимать не менее 35 мм2. Выбор
экономически целесообразного сечения производится по экономической плотности
тока в зависимости от металла провода и числа часов использования максимума
нагрузки:
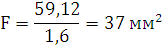
(2.38)
где Im - расчетный
максимальный ток, А;
jэ - нормальное значение экономической плотности тока, А/мм2,
jэ=1,4 А/мм2
(2.39)
где Sm - максимальная
расчетная мощность, передающаяся по кабелю, кВА;
Выбираем сечение кабеля на участке
ГПП - ТП1 (цех1).
Выбираем кабель марки ААБ с сечением
жилы 95 мм2 Iдоп = 205А
Выбираем сечение кабеля на участке
ГПП - ТП2 (цех2).
Выбираем кабель марки ААБ с сечением
жилы 95 мм2 Iдоп = 205А
Выбираем сечение кабеля на участке
ГПП - ТП3 (цех3).
Выбираем кабель марки ААБ с сечением
жилы 35 мм2 Iдоп = 115А
Выбираем сечение кабеля на участке
ГПП - ТП4 (цех4).
Выбираем кабель марки ААБ с сечением
жилы 50 мм2 Iдоп = 140А
2.8 Расчет заземляющего
устройства
Заземление - это гальваническое
соединение электроустановки с заземляющими устройствами, при котором все
металлические корпуса электроприемников и металлических конструкций, которые
могут оказаться под опасным напряжением из-за повреждения изоляции, должны быть
преднамеренно надежно соединены с землей. При защитном заземлении между
корпусом защищаемого объекта и землей предусматривается электрическое
соединение с малым сопротивлением, чтобы в случае замыкания на корпус этого
объекта и прикосновения человека к корпусу через тело человека не смог пойти
ток, опасный для его жизни и здоровья. Для этого соединение с землей должно иметь
сопротивление во много раз меньше чем сопротивление тела человека. Тогда
основная часть тока будет проходить через контур заземления. [5]
В качестве местных заземлителей
принимаем стальные трубы длиной 5 м и диаметром 12 мм. Сопротивление заземление
принимаем Rз=4 Ом.
Определяем сопротивление одного
вертикального заземлителя:
Ом; (2.40)
Где Ом/м
- удельное сопротивление суглинок с учетом коэффициента сезонности;
ρ=100 Ом/м - удельное сопротивление глины;с=1,25 -
коэффициент сезонности;=3,2 - глубина заглубления труб;=5 м - длина
вертикального заземлителя;=12 мм - диаметр заземлителя;
Ом
Определяем сопротивление
одного горизонтального заземлителя:
Ом; (45) (2.41)
где Ом/м
- удельное сопротивление суглинок с учетом коэффициента сезонности;
ρ=100 Ом/м
- удельное сопротивление глины;с=3 - коэффициент сезонности;=240 м -
длина горизонтального заземлителя;=40 мм - ширина полосы горизонтального
заземлителя;
Ом (2.42)
Определяем полное сопротивление
горизонтального заземлителя:
, Ом (2.43)
где ηг=0,34 - коэффициент
использования горизонтальной полосы;
Ом;
Определяем общее
сопротивление вертикального заземлителя:
, Ом; (47) (2.44)
Ом
Определяем количество вертикальных
заземлителей:
, шт. (2.45)
где ηв =0,75 - коэффициент
использования вертикального заземлителя;
шт.
Определяем общее сопротивление сети
заземления:
, Ом
Ом; з.общ=4
Ом = Rз=4 Ом что удовлетворяет требованиям.
2.9 Релейная защита
трансформатора
Для силовых
трансформаторов с обмоткой высшего напряжения больше 1000 В предусматривается
релейная защита от следующих видов повреждении и ненормальных режимов работы:
многофазных замыканий в
обмотках и на их выводах,
внутренних повреждений
(витковых замыканий в обмотках и «пожара стали» магнитопровода),
однофазных замыканий на
землю,
сверхтоков в обмотках,
обусловленных внешними короткими замыканиями,
сверхтоков в обмотках,
обусловленных перегрузкой (если она возможна),
понижения уровня масла.
Для защиты от
многофазных замыканий в обмотках и на выводах трансформаторов мощностью 6300
кВА и выше, работающих одиночно, мощностью 4000 кВА и выше, работающих
параллельно, а также мощностью 1000 кВА и выше, если токовая отсечка не
обеспечивает необходимой чувствительности, максимальная токовая защита имеет
выдержку времени более 0,5 с и отсутствует газовая защита, предусматривается
продольная дифференциальная защита с циркулирующими токами, действующая на
отключение выключателей силового трансформатора без выдержки времени.
Если не
предусматривается продольная дифференциальная защита (как правило, на одиночно
работающих трансформаторах мощностью ниже 6300 кВА и параллельно работающих
трансформаторах мощностью ниже 4000 кВА), то в этих случаях со стороны
источника питания устанавливается токовая отсечка без выдержки времени,
охватывающая часть обмотки трансформатора. [6]
Наиболее простой схемой выполнения
продольной дифзащиты является дифференциальная токовая отсечка, которая
применяется в случаях, когда она удовлетворяет требованиям чувствительности.
Если это условие не выполняется, в продольной дифзащите используют реле типа
РНТ.
Для защиты от внутренних
повреждений (витковых замыканий в обмотках, сопровождающихся выделением газа) и
от понижения уровня масла на трансформаторах мощностью 6300 кВА и выше, а также
на трансформаторах мощностью 1000 - 4000 кВА, не имеющих дифзащиты или отсечки,
и если максимальная токовая защита имеет выдержку времени 1 с и более,
применяется газовая защита с действием на сигнал при слабых и на отключение при
интенсивных газообразованиях. Применение газовой защиты является обязательным
на внутрицеховых трансформаторах мощностью 630 кВА и выше независимо от наличия
других быстродействующих защит. Газовая защита является единственной защитой
трансформаторов от «пожара стали» магнитопровода, возникающего при нарушении
изоляции между листами стали.
Для защиты от однофазных
замыканий на землю повышающих трансформаторов мощностью 1000 кВА и более,
присоединенных к сетям с большими токами замыкания на землю, а также на
понижающих трансформаторах с заземленной нейтралью предусматривается
максимальная токовая защита нулевой последовательности от токов внешних
замыканий на землю, действующая на отключение.
Для защиты понижающих
трансформаторов от токов, обусловленных внешними короткими замыканиями,
предусматривается максимальная токовая защита без пуска или с пуском от реле
минимального напряжения, или токовая защита нулевой последовательности
действующая на отключение выключателя. Вследствие низкой чувствительности
максимальная токовая защита без пуска от реле минимального напряжения
применяется только на трансформаторах мощностью до 1000 кВА.
Для защиты от перегрузки
параллельно работающих нескольких трансформаторов мощностью по 400 кВА и более,
а также при раздельной работе и наличии АВР предусматривается однофазная
максимальная токовая защита, действующая на сигнал.
На необслуживаемых
подстанциях защита может выполняться с действием на автоматическую разгрузку
или отключение трансформатора.
На трансформаторах
наряду с защитами, действующими при повреждении в трансформаторе и его
соединениях, предусматриваются резервные защиты для действия при внешних
коротких замыканиях в случае отказа защит или выключателей смежных элементов.
Одновременно они являются основными защитами шин, на которые работает
трансформатор, если на шинах отсутствует собственная защита. В качестве защит
от внешних коротких замыканий применяются токовые защиты с выдержкой времени с
включением реле на полные токи фаз и на их симметричные составляющие. Эти
защиты реагируют и на внутренние короткие замыкания, поэтому могут
использоваться как резервные или даже как основные защиты трансформаторов.
Расчёт МТЗ
трансформатора:
Ток срабатывания защиты
определяется по формуле:
(2.46)
где: = 1,2 - коэффициент отстройки,
= 2,5
- коэффициент самозапуска,
= 0,8
- коэффициент возврата.
Ток срабатывания реле:
(2.47)
Коэффициент чувствительности:
Проверяем защиту на чувствительность
к двухфазным коротким замыканиям на стороне низкого напряжения:
, где (2.48)
где: - двухфазное короткое замыкание на стороне низкого
напряжения, приведенное к стороне
высокого напряжения.
-
Принимается по таблице 3.
-
коэффициент трансформации защищаемого трансформатора
ГПП.
(2.49)
Если , то оставляем МТЗ, если , т.е. защита по чувствительности не проходит, устанавливаем МТЗ с
пуском по напряжению.
Время срабатывания защиты:
(2.50)
Принимаем реле тока РТ-40/6 и реле
времени РВ-235 с диапазоном уставок: 0.5-0.9 с.
На рис 2. приведена типовая
принципиальная схема защиты и управления на переменном оперативном токе
двухобмоточного трансформатора 110/10 (6) кВ со схемой соединения обмоток
У/Л-11 и с регулированием напряжения под нагрузкой, без выключателя на стороне
ВН.
На поясняющей схеме показаны
трансформаторы тока на стороне 110 кВ типа ТВТ-110 (встроенные во вводы
трансформатора) с двумя одинаковыми сердечниками ITT и 2ТТ, а также
трансформаторы тока на стороне 10 (6) кВ, например типа ТВЛМ, сердечниками
класса 0,5.
Условно обозначены типы
установленных защит: 1 - дифференциальная токовая с торможением; 2 -
максимальная токовая с пуском по напряжению с выдержкой времени; 3 - газовая; 4
- максимальная токовая защита от перегрузки.
На схеме показаны трансформаторы
тока и измерительные органы (токовые реле) следующих защит трансформатора:
дифференциальной токовой с торможением типа ДЗТ-11; максимальной токовой защиты
от внешних к.з. КА1 и КА2 типа РТ-40/Р; максимальной токовой защиты от
перегрузки, действующей на сигнал реле КА5 типа РТ-40.
Пусковой орган напряжения включен на
шинки переменного напряжения, питающиеся от ТН 10 кВ. Номинальное напряжение на
шинках 100 В.
Схема дана для случая осуществления
максимальной токовой зашиты на стороне высшего напряжения с использованием
комбинированного пускового органа напряжения, установленного в шкафу КРУ ввода
6-10 кВ. Поскольку при этом в шкафу КРУ будет установлена и остальная
аппаратура релейной защиты в рассматриваемой схеме защиты от внешних
многофазных КЗ в целях унификации выполняются в виде двух комплектов установленных
со стороны высшего (комплектное устройство АК1) и низшего (реле КА3 КА4 КТ1
КТ2) напряжении с общий пусковым органом напряжения KV1 KL5 Защита установленная
со стороны 6-10 кВ действует на отключение выключателя Q2 при этом пускается устройство АПВ
выключателя Q2 Защита АК1 действует с выдержкой времени, на ступень большей
времени действия защиты, установленной на стороне низшего напряжении, на
выходные промежуточные реле KL1-KL3. При отключении выключателя Q2 контакт пускового органа
напряжения защиты АК1 шунтируется контактом реле положения «включено»
выключателя KQC21, что необходимо для ликвидации повреждения между выключателем Q2 и трансформаторами тока ТА3.
Защита от перегрузки выполнена с
помощью реле тока КА5 установленного со стороны высшего напряжения и реле
времени КТЗ
В схеме предусмотрено автоматическое
ускореннее максимальной токовой защиты с пуском напряжения установленной на
стороне 6-10 кВ. Пуск ускорения осуществляется контактом реле положения
«отключено» выключателя (реле KQT2) ускорение вы полнено с выдержкой времени (реле КТ2) для
предотвращения ложного действия защиты из за броска пусковых токов двигателей
нагрузки.
В рассматриваемой схеме выполнено
само удерживание выходных промежуточных реле KU-KL3.
На рисунке представлена основная
часть схемы оперативных цепей управления. Шинки управления +ЕС и - ЕС имеют
напряжение 220 В и нормально питаются через выпрямитель от ТСН 10/0,22 кВ (или
6/0,22 кВ). Они называются шинками обеспеченного питания, так как при потере
основного источника автоматически переключаются на другой: либо на ТСН
соседнего силового трансформатора, либо на свой ТСН 10 (6) кВ (через
промежуточный трансформатор 0,1/0,22 кВ).
На схеме показаны цепи управления
коммутационными аппаратами, цепи сигнализации, в том числе газовой защиты и
максимальной токовой защиты от перегрузки, показаны цепи отдельной газовой
защиты устройства РПН. [7]
Заключение
В данной пояснительной
записке произведен расчет электроснабжения электрооборудования
металлургического предприятия, целью которого является выбор наиболее
оптимального варианта схемы, параметров электросети и ее элементов, позволяющих
обеспечить необходимую надежность электропитания и бесперебойность работы.
В ходе выполнения курсового проекта
мы произвели расчет электрических нагрузок. Выбрали количество и мощность
трансформаторов с учетом оптимального коэффициента их загрузки и категории
питающихся электроприемников. Выбрали наиболее надежный вариант сечения
проводов и кабелей питающих и распределительных линий. Произвели расчет токов
короткого замыкания. Определили мощность компенсирующих устройств. Произвели
расчет оптимального количества и сопротивление заземляющих устройств.
На основе произведенных расчетов
можно сделать вывод, что выбран наиболее оптимальный и рациональный вариант
электроснабжения электрооборудования предприятия.
Список литературы
1 Рожкова Л.Д., Козулин В.С. Электрооборудование станций и
подстанций: Энергия, 1980 г.
2 Правила устройства электроустановок. - М.:Госэнергонадзор,
2000.
Справочник по электроснабжению и электрооборудованию в 2
томах. /Под общ. редакцией А.А. Федорова - М: Энергоатомиздат 1987.
4 Промышленный каталог электротехнической продукции
«Информэлектро».
Справочник энергетика промышленных предприятий. в 4 т. - /
Под общ. ред. А.А. Федорова, Г.В. Сербиновского и Я.М. Большама. - М.-Л.: Госэнергоиздат, 1963.
Чернобровов Н.В. Релейная защита. Учебное пособие для
техникумов. Изд. 5-е, перераб. и доп. м., Энергия, 1974. 680 с. с ил.
7 Руководящие издания по релейной защите вып. 13А. Релейная защита понижающих трансформаторов и автотрансформаторов
110-500 кВ. Схемы.-М: Энергоатомиздат. 1985 г.-112 с.
8 Правила техники безопасности при эксплуатации электроустановок
потребителей - М.:Госэнергонадзор, 2000.
9 Чекалин. «Охрана
труда в электрохозяйствах промышленных предприятий» Москва, Энергоатомиздат,
1990 г.
Похожие работы на - Электроснабжение участка производства
|