Розрахунок принципової теплової схеми ТЕС
Розрахунок
принципової теплової схеми ТЕС
Зміст
1. Теплова схема ТЕС
. Опис принципової теплової
схеми паротурбінної установки з турбіною ПТ-135/165-130/15
. Вихідні дані
. Побудова процесу розширення
пари в проточній частині турбіни В Н-S діаграмі
. Параметри пари і конденсату в
основних точках теплової схеми
. Розрахунок мережевої
підігрівальної установки
. Визначення попередньої
витрати пари на турбіну
. Теплові та матеріальні
баланси елементів теплової схеми ТЕЦ
Список використаної літератури
1. Теплова схема ТЕС
тепловий паротурбінна
електростанція схема
Тепловою схемою паротурбінної
електростанції (ТЕС) або енергоблоку називають умовне графічне зображення
взаємозв'язків основного і допоміжного обладнання, що бере участь у технологічному
процесі вироблення електроенергії і відпустці теплоти. Розрізняють принципову і
повну теплові схеми.
Принципова теплова схема (ПТС)
містить графічне зображення основного і допоміжного обладнання, напрямок руху,
фізичні властивості, параметри і витрати потоків робочого тіла в основних
точках схеми. На ПТС однотипне устаткування зображується один раз, не
зображуються резервні обладнання та магістралі, а також обладнання, яке не
впливає на теплові характеристики робочого тіла. Для графічного зображення елементів
ПТС використовуються уніфіковані умовні позначення.
На повній тепловій схемі ТЕС
зображується все обладнання, основне і допоміжне, включаючи резервне. На ній
показують всі можливі зв'язки між обладнанням. Повна теплова схема
розробляється на підставі ПТС.
При використанні устаткування, що
серійно випускається (парогенератори, турбіни та ін.) ПТС будується на основі
типових заводських рішень по паротурбінному агрегату. Для нових типів турбін
розробка ПТС припускає проведення повного циклу досліджень щодо раціонального
вибору обладнання і побудові схеми взаємозв'язків. Одним із принципів
оптимальної побудови ПТС є мінімізація необоротних втрат енергії в
технологічному процесі ТЕС при найменшому рівні приведених витрат.
Важливе значення при розробці ПТС
має забезпечення надійної роботи ТЕС на всіх можливих режимах, в першу чергу на
номінальному, а також на режимах знижених навантажень і на перехідних, в тому
числі на режимах пуску і зупинки. При формуванні ПТС розглядається велика
кількість різних варіантів і вибір найбільш прийнятного виконується з
використанням обчислювальної техніки і методів оптимізації.
Особливо велика кількість варіантів
розглядається при проектуванні ПТС енергоблоків з промисловим тепловим та
теплофікаційним навантаженнями.
. Опис принципової теплової схеми
паротурбінної установки з турбіною ПТ-135/165-130/15
Принципова теплова схема
теплофікаційного енергоблоку (рисунок 1) складається з парового котла ПК,
парової турбіни Т, конденсатора К, конденсатного насоса КН, живильного насоса
ПН, конденсато-відвідників КО, перекачувальних насосів Н, системи
регенеративного підігріву живильної води РППВ, сепараторів безперервної
продувки котла С1 і С2, підігрівачів підживлювальної води продувної водою ТО,
теплофікаційної системи з мережевими підігрівачами СП1 і СП2, піковим
водогрійним котлом ПВК і мережевим насосом СН.
Система РППВ включає холодильники
ежекторной установки ЕЖ, підігрівачі конденсату парою ущільнень УП, чотири
регенеративних підігрівача низького тиску ПНД4 - ПНД7, деаератор Д з
баком-акумулятором БА, три регенеративних підігрівача високого тиску ПВД1 -
ПВД3.Пара з пароперегрівача ПП барабанного котла ПК з параметрами Р0,
t0 і h0 в кількості DТ надходить через
паророзподільні органи (стопорні і регулюючі клапани і систему паророзподілу) в
турбіну Т. Між котлом і турбіною є два відбори пари високих параметрів на
власні потреби котельного відділення і власні потреби машинного залу DСН.
Турбіна ПТ-135/165-130/15 -
промислово-теплофікаційного типу має наступні характеристики:
номінальна електрична потужність
енергоблоку - 135 МВт;
максимальна електрична потужність -
165 МВт;
частота обертання валу - 50 1/с;
тиск свіжої пари - 130 кг/см2
(12,75 МПа);
температура свіжої пари - 565 °С;
номінальний витрата свіжої пари -
205 кг/с;
максимальна витрата свіжої пари -
211 кг/с;
кількість регенеративних відборів
пари - 7;
кількість регульованих (промислових
і теплофікаційних) відборів пари - 3;
тиск пари промислового відбору - 15
кг/см2 (1,47 МПа).
Турбіна складається з двох корпусів:
у першому розміщується циліндр високого тиску ЦВТ, а в другому - циліндри
середнього ЦСД і низького ЦНД тиску.
На корпусі ЦВД розташовані чотири
регулюючих клапана, до яких пар підводиться від двох стопорних клапанів,
встановлених біля турбіни. ЦВД має три регенеративних відбору пари з тиском Р1,
Р2 і Р3. Третій регенеративний відбір і промисловий
відбір пари в кількості DП виконується з вихідного патрубка ЦВТ.
Турбіна працює без проміжного
перегріву пари.
По перепускним трубам через чотири
регулюючих клапана пара поступає в ЦСД, який має три відбори пари на
регенерацію з тисками Р4, Р5 та Р6. З камери
шостого відбору виконується опалювальний (теплофікаційний) відбір пари на
мережевий підігрівач СП2. Витрата пари в цей відбір регулюється поворотною
діафрагмою з дросельним паророзподілом.
Далі пара розширюється в ЦНД турбіни
звідки проводиться відбір пари з тиском Р7 для регенеративного
підігріву живильної води й на мережевий підігрівач СП1. Витрата пари у відбір
регулюється другою регулюючою діафрагмою, розміщеною в ЦНД.
Відбори пари для системи РППВ є
нерегульованими, а промисловий і теплофікаційні відбори - регульовані.
Рисунок 1. Принципова теплова схема
паротурбінної установки
Після розширення в турбіні пара в
кількості DK конденсується в поверхневому конденсаторі К, через який
циркуляційними насосами прокачується охолоджуюча вода в кількості 12400 м3/год.
Потім основний конденсат проходить через систему РППВ. Початковий підігрів
конденсату відбувається в охолоджувачах ежекторной установки ЕЖ, основним
призначенням якої є підтримка високого вакууму в конденсаторі. Кількість пари,
що проходить через ежектора - DЕЖ. Після підігріву парою ущільнень в
УП основний конденсат надходить в підігрівачі низького тиску ПНТ, гріюча пара в
які надходить з чотирьох відборів турбіни.
Конденсат пари, що гріє, з ПНД7
надходить в конденсатор турбоустановки. З ПНД6 конденсат гріючої пари
перекачуючим насосом Н2 відводиться в лінію основного конденсату. Конденсат
пари, що гріє, з ПНД4 через конденсатовідвідник КО1 скидається в ПНД5 звідки
разом з конденсатом гріючої пари ПНД5 перекачувальним насосом Н1 відводиться в
лінію основного конденсату.
У ПНД6 надходить пара з сепаратора
безперервної продувки другого ступеня С2.
Конденсат пари, що гріє, з мережних
підігрівників СП1 і СП2 перекачувальними насосами Н4 і Н3 відводиться в лінію
основного конденсату відповідно після ПНД7 і ПНД6. Конденсат пари промислового
відбору в кількості GВК з температурою tВК надходить в
лінію основного конденсату перед ПНД5.
Весь основний конденсат в кількості
GКД надходить в колонку деаератора Д. Прокачування основного
конденсату через частину низького тиску системи РППВ і підтримання необхідного
тиску конденсату на вході деаератора здійснює конденсатний насос КН.
У деаератор через ПВД3 зливається
конденсат пари з ущільнень турбіни в кількості GУП і конденсат пари,
що гріє, з підігрівачів високого тиску ПВД1 - ПВД3, а також надходить пара з
сепаратора безперервної продувки першого ступеня С1 в кількості DСЕП1.
В якості пари, що гріє, в деаераторі
використовується пар третього відбору з тиском Р3 в кількості DД.
Необхідний тиск пари на вході деаератора РД забезпечується
спеціальним дросельним регулюючим органом ДР.
Всі потоки конденсату, що надходять
в деаератор, після видалення з них газів, що не конденсуються, зливаються в
бак-акумулятор БА. Деаерований основний конденсат називається живильною водою.
Живильна вода насосом ПН прокачується через підігрівачі високого тиску ПВД в
економайзер парового котла. Напір, створюваний живильним насосом повинен
забезпечувати підтримку необхідного тиску свіжої пари на вході турбіни.
Для нагріву живильної води в ПВД1 -
ПВД3 подається пар з трьох відборів ЦВТ з тиском Р1, Р2 и
РЗ. Конденсат пари, що гріє, з підігрівачів високого тиску через конденсатовідвідники
КО2, КО3, КО4 зливається каскадно в деаератор
Д.
Сепаратори безперервної продувки С1
і С2 призначені для повернення в основний цикл турбоустановки частини теплоти і
робочого тіла, що видаляються з продувної водою з барабана котлоагрегату. Випар
з сепаратора першого ступеня С1 в кількості DСЕП1 надходить в
деаератор, а з сепаратора другого ступеня С2 у кількості DСЕП2 - в
ПНД6.
Залишки продувної води в кількості GПРII
використовуються для попереднього нагріву хімочіщеной підживлювальної води в
поверхневому теплообміннику ТО після чого, зливаються в каналізацію з
температурою tСЛ = 60 °С. Підживлювальна вода в кількості GХОВ,
після підігріву направляється в конденсатор К.
. Вихідні дані для розрахунку
Послідовність розрахунку принципової
теплової схеми з турбіною ПТ-135/165-130/15 ілюструється чисельним прикладом з
наступними вихідними даними.
*. Електрична потужність турбіни NЕ
= 135 МВт.
*. Початкові параметри пари Р0
= 12,75 МПа, t0 = 565 °С.
. Тиск пари у відборах:
• нерегульовані (на регенерацію) Р1
= 3,3 МПа; Р2 = 2,238 МПа;
• регульований промисловий РЗ
= РП = 1,47 МПа;
• нерегульовані (на регенерацію) Р4=0,518
МПа; Р5=0,267 МПа;
• регульований опалювальний Р6
= РОТ1 = 0,1176 МПа;
• регульований опалювальний Р7
= РОТ2 = 0,0638 МПа.
*. Тиск в конденсаторі турбіни РК
= 0,004 МПа = 4 кПа.
*. Кількість пари, що відпускається
з промислового відбору DП = 90 кг/с.
6 *. Частка конденсату, що
повертається вВК = 95 % (GВК = вВК·DП).
7 *. Температура конденсату, що
повертається tВК = 85 °C.
*. Кількість теплоти, що йде на
опалення QОТмакс = 200 МВт.
*. Коефіцієнт теплофікації бТ
= 0,45.
*. Температурний графік теплової
мережі фП / фОБ = 145/45 °С.
. Котел - барабанний з параметрами
пари: Р = 13,72 МПа; t = 570 °С.
. Внутрішньостанційні втрати
конденсату бПОТ = 0,013.
*. Температура живильної води на
вході економайзера котла tПВ = 210 °С.
. Тиск води після живильного насоса
РН = 1,15·Р.
. Коефіцієнт власних потреб ТЕЦ бСН
= 0,012.
. Температура підживлювальної
хімочіщенной води tХОВ = 30 єС.
. Тиск в деаератори РД =
0,588 МПа.
. ККД теплообмінників зТО
= 0,98.
. Електромеханічний ККД генератора зЕМ
= 0,98.
*. Внутрішній відносний ККД:
· ЦВД -- зoiЦВД
= 0,79;
· ЦСД -- зoiЦСД
= 0,83;
· ЦНД -- зoiЦНД
= 0,55.
. За даними заводу:
а) у ПВДЗ надходить пара з ущільнень
в кількості DУП = 1,33 кг/с, з ентальпією hУП = 3240
кДж/кг;
б) кількість пари, що надходить з
кінцевих ущільнень турбіни в конденсатор DКУ = 0,011 кг/с;
в) кількість пари, що надходить з ущільнень
турбіни в підігрівач УП DСП = 1,795 кг/с;
г) кількість пари, яка надходить в
ежектори DЕЖ = 0,654 кг/с.
. Побудова процесу розширення пари в
проточній частині турбіни в Н-S діаграмі
Для визначення параметрів пари і
конденсату в основних точках принципової теплової схеми ТЕЦ будуємо процес
розширення пари в проточній частині турбіни в Н-S діаграмі в наступному порядку
(рисунок 2):
На Н-S діаграмі знаходимо точку 0 ,
що відповідає параметрам пари після котла Р0 = 12,75МПа = 127,5 бар,
t0 = 565 °С, і визначаємо ентальпію пари в цій точці h0 =
3525 кДж/кг.
Будуємо процес дроселювання пари в
паровпускних органах турбіни 0 - 0I при постійній ентальпії h0I
= h0 = 3525 кДж/кг
Втрата тиску в органах паровпуска
зазвичай складає 3-5%. Приймаємо ДР = 0,05·Р0 = 0,05·12,75 = 0,64
МПа. Тоді тиск пари в кінці дроселювання становить, МПа
МПа (4.1)
Точку 0I в кінці
дроселювання знаходимо на перетині ліній h0 = 3525 кДж/кг = const і
ізобари Р0 = 12,11 МПа.
Рисунок 2. Процес розширення пари в
проточній частині турбіни
За Н-S діаграмою (або за таблицями
властивостей води і водяної пари) визначаємо відповідну точці 0I
температуру пари t0I = 563 °С і ентропію S0I
= 6,68 кДж/(кг·К).
Точку 3 в кінці ізоентропійного
процесу розширення пари в ЦВД знаходимо на перетині ізоентропи S0I
= соnst = 6,68 кДж/(кг·К) і ізобари Р3 = 1,47 МПа, що відповідає
тиску пари після ЦВД. На Н-S діаграмі знаходимо ентальпію пари в цій точці h3
= 2910 кДж/кг.
Крапку 3I в кінці
дійсного політропний процесу розширення пари в ЦВД знаходимо на перетині
ізобари Р3 = Р3I = 1,47 МПа і лінії ентальпії
пари h3I = соnst, що відповідає заданому значенню
внутрішнього відносного ККД ЦВД - зoiцвд = 0,79.
Політропу розширення пари в ЦВТ
будуємо у вигляді відрізка прямої, що з'єднує точки 0I и 3I
.
Визначаємо параметри пари в
нерегульованих відборах ЦВД для регенеративного підігріву живильної води в ПВД1
і ПВД2, для чого знаходимо точки 1 і 2 на перетині політропи розширення пари в
ЦВД 0I - 3I з ізобарами Р1 і Р2, що
відповідають тиску в 1-м і 2-м відборах пара.
На Н-S діаграмі знаходимо параметри
пари (ентальпію):
в точці 1 (перетин ізобари Р1
= 3,3 МПа і політропи 0I - 3I ):1 = 3200
кДж/кг;
в точці 2 (перетин ізобари Р2
= 2,238 МПа і політропи 0I - 3I ):2 = 3125
кДж/кг.
.6 Після ЦВД виконується
регульований відбір пари для промислового споживача з тиском Р3I
= 1,47 МПа. Цей же відбір використовується для постачання гріючою пари до
підігрівача ПВД3. Втрата тиску пари на регуляторі приймається за даними
заводу-виготовлювача турбіни. Її величина ДР1 = 0,23 МПа. Тоді тиск
пари в точці 3II після регулятора і на вході ЦСД становить, МПа
МПа (4.3)
Точку 3II знаходимо як
закінчення процесу дроселювання пари з точки 3I при постійній
ентальпії h3I = h3II = 3040 кДж/кг
від ізобари Р3I = 1,47 МПа до ізобари Р3IІ
= 1,24 МПа. Визначаємо значення ентропії в точці 3II S3II
= 7,05 кДж/(кг·К).
Будуємо процес ізоентропного
розширення пари в ЦСД турбіни від точки 3II до точки 6 - точки
перетину ізоентропи S3II = соnst = 7,05 кДж/(кг·К) з
ізобарой Р6 = РОТ1 = 0,1176 МПа, що відповідає тиску
регульованого верхнього опалювального (теплофікаційного) відбору пари. З Н-S
діаграми знаходимо відповідну цій точці ентальпію пари h6 = 2575
кДж/кг.
Точку 6I в кінці дійсного
політропний процесу розширення пари в ЦСД знаходимо на перетині ізобари Р6
= Р6I = 0,1176 МПа і лінії ентальпії пара h6I
= соnst, що відповідає заданому значенню внутрішнього відносного ККД ЦСД зoiцcд
= 0,83.
Політропу розширення пари в ЦСД
будуємо у вигляді відрізка прямої, що з'єднує точки 3II і 6I
.
Визначаємо параметри пари в
нерегульованих відборах ЦСД для регенеративного підігріву основного конденсату
в ПНД4 і ПНД5, для чого знаходимо точки 4 і 5 перетину політропи розширення
пари в ЦСД 3II -6I з ізобарами Р4 та Р5,
що відповідають тиску в 4 -м і 5-м відборах.
На Н-S діаграмі знаходимо ентальпію
пари:
в точці 4 (перетин ізобари Р4
= 0,518 МПа і політропи 3II -6I ):4 = 2900
кДж/кг;
в точці 5 (перетин ізобари Р5
= 0,267 МПа і політропи 3II -6I ):5 = 2800
кДж/кг.
.10 Після ЦСД виконується верхній
опалювальний регульований відбір пари з тиском Р6I =
0,1176 МПа. З цього ж відбору проводиться нерегульована подача пари, що гріє, в
регенеративний підігрівник ПНД6.
Втрата тиску пари на регулюючій
діафрагмі, що розташована після відбору, за заводськими даними становить ДP2
= 0,0156 МПа. Тому тиск пари перед ЦНД в точці 6II дорівнює, МПа:
МПа (4.5)
Точку 6II знаходимо як
закінчення процесу дроселювання пари з точки 6I при постійній
ентапьпіі h6I = h6II = 2654кДж/кг
від ізобари Р6 = 0,1176 МПа до ізобари Р6II =
0,102 МПа. Визначаємо ентропію пара в точці 6II S6II
= 7,35 кДж/(кг·К).
Точку К в кінці ізоентропійного
розширення пари в ЦНД знаходимо на перетині ізоентропи S6II
= соnst = 7,35 кДж/(кг·К) і ізобари РК = 0,004 МПа, що відповідає
тиску пари в конденсаторі турбіни.
На Н-S діаграмі знаходимо відповідну
цій точці ентальпію пари:К = 2525 кДж/кг.
Точку КI в кінці
дійсного політропний процесу розширення пари в ЦНД знаходимо на перетині
ізобари РК = РКI = 0,004 МПа і лінії ентальпії
hКI = соnst, що відповідає заданому значенню внутрішнього
відносного ККД ЦНД - зoiцнд = 0,55.
Політропу розширення пари в ЦНТ
будуємо у вигляді відрізка прямої, що з'єднує точки 6II і КI
.
.13 Визначаємо параметри пари в 7-му
регульованому опалювальному відборі для мережевого підігрівача СП1, з якого
гріючий пар надходить також у регенеративний підігрівник ПНД7, для чого
знаходимо точку перетину ізобари, що відповідає тискові у відборі P7
= 0,0638 МПа з політропою розширення пари в ЦНД 6II і КI
. Точці 7 відповідає ентальпія h7 = 2625 кДж/кг. Падінням тиску в
регулюючий діафрагмі за відбором нехтуємо.
Ламана лінія, що з'єднує точки 0 - 0I
- 3I - 3II - 6I - 6II - КI
на H-S діаграмі, ілюструє процес розширення пари в проточній частині турбіни.
5. Параметри пари і конденсату в
основних точках теплової схеми
Користуючись даними таблиць
властивостей води та водяної пари і побудованим в H-S діаграмі процесом
розширення пари в турбіні, будуємо зведену таблицю параметрів пари, конденсату
і живильної води в основних точках принципової теплової схеми теплофікаційного
паротурбінного енергоблоку, тобто теплоносіїв на вході і виході в
регенеративних і мережних підігрівачах (загальний вигляд - таблиця 3, з
результатами розрахунків - таблиця 4).
-й рядок. Тиск пари у відборах і
конденсаторі турбіни, за вихідними даними.
-й рядок. Ентальпія пари у відборах
і конденсаторі турбіни, за результатами побудови процесу розширення пари в
проточній частині турбіни.
-й рядок. Тиск пари, що гріє в
регенеративних і мережних підігрівачах, а також в деаератори.
Завод-виробник рекомендує приймати в
розрахунку принципової теплової схеми середнє значення втрати тиску в
паропроводах, однакове для всіх підігрівачів (крім деаератора) 8% від тиску у
відборі. Отже, якщо тиск пари у відборі РR, то тиск в підігрівачі
складе
. (5.1)
Користуючись цим співвідношенням
розраховуємо тиск пари, що гріє в підігрівниках і заповнюємо 3-й рядок таблиці.
Тиск в мережевих підігрівниках
отримаємо враховуючи, що відносна втрата тиску в паропроводах становить: до СП1
- 5,2% і до СП2 - 6,5% (за даними проектуючих організацій).
. (5.2)
Тиск в деаератори задано у вихідних
даних: РД = 0,588 МПа.
-й рядок. Ентальпія конденсату пари,
що гріє.
Використовуючи таблиці властивостей
води і водяної пари, знаходимо значення ентальпії конденсату пари, що гріє hRk
(ентальпія води на лінії насичення) в підігрівниках, а також в деаератори і
мережевих підігрівниках при значеннях тиску пари, одержаних в 3-му рядку.
-й рядок. Ентальпія води, що
нагрівається на виході з підігрівників.
Визначається при умовах, що різниця
ентальпій конденсату пари, що гріє hRk (наведені в 4-й
рядку) і води, що нагрівається, на виході підігрівачів hВRII
становить
для ПВД - 8,4 кДж/кг (недогрів 2
°С);
для деаератора - 0 кДж/кг.
Значення ентальпії води на виході
конденсатора (основний конденсат) визначаємо по таблицях властивостей води та
водяної пари при РК = 4 кПа.
Значення ентальпії мережної води на
виході підігрівача СП2 (hСП2) отримаємо в результаті розрахунку
мережевої підігрівальної установки (п. 6.2).
-й рядок. Ентальпія води, що
нагрівається, на вході в підігрівач.
Для системи ПВД:
а) ентальпія живильної води на вході
в ПBД3 hB3I визначається в п.8.2.4, з урахуванням її
підвищення в живильному насосі;
б) ентальпія живильної води на вході
в підігрівачі ПВД2 і ПВД1 приймається рівною ентальпії живильної води на виході
з попередніх підігрівачів, тобто без урахування втрат в трубопроводах: hB2I
= hB3II; hB1I = hB2II.
Таблиця 3 - Значення параметрів
робочого тіла в елементах теплової схеми
|
№ п/п
|
Найменування величин
|
Елементи теплової схеми
|
|
|
ПВД1
|
ПВД2
|
ПВД3
|
Д
|
ПНД4
|
ПНД5
|
ПНД6
|
ПНД7
|
К
|
СП2
|
СП1
|
|
1
|
Тиск пари відбору, МПа
|
3,3
|
2,238
|
1,47
|
1,47
|
0,518
|
0,267
|
0,1176
|
0,0638
|
0,004
|
0,1176
|
0,0638
|
|
2
|
Ентальпія пари відбору, кДж/кг
|
3200
|
3125
|
3040
|
3040
|
2900
|
2800
|
2654
|
2625
|
2583
|
2654
|
2625
|
|
3
|
Тиск пари в підігрівниках, МПа
|
3,036
|
2,059
|
1,352
|
0,588
|
0,477
|
0,246
|
0,1082
|
0,0587
|
--
|
0,11
|
0,0605
|
|
4
|
Ентальпія конденсату пари, що гріє, кДж/кг
|
1011,5
|
914,8
|
822,5
|
667,0
|
632,3
|
532,9
|
426,8
|
--
|
428,8
|
360,2
|
|
5
|
Ентальпія води на виході, кДж/кг
|
1003,1
|
906,4
|
814,1
|
667,0
|
611,3
|
511,9
|
405,8
|
336,5
|
111,8
|
420,7
|
339,2
|
|
6
|
Ентальпія води на вході, кДж/кг
|
906,4
|
814,1
|
693,7
|
611,3
|
513,7
|
403,5
|
345,1
|
248,0
|
--
|
339,2
|
209,25
|
|
7
|
Ентальпія дренажу пари, кДж/кг
|
948,3
|
856,0
|
735,5
|
--
|
632,3
|
532,9
|
426,8
|
357,5
|
--
|
428,8
|
360,2
|
|
8
|
Використаний теплоперепад пари, кДж/кг
|
325
|
400
|
485
|
485
|
625
|
725
|
871
|
900
|
942
|
871
|
900
|
Для системи ПНД:
а) ентальпія основного конденсату на
вході в ПНД7 залежить від початкової ентальпії конденсату на виході з
конденсатора турбіни hК = 111,8 кДж/кг, підвищення ентальпії за
рахунок теплоти підживлювальної хімочіщеной води GХОВ, теплоти
конденсату пари, що гріє, підігрівачів ЕЖ, УП, ПНД7 та підігріву конденсату в
холодильнику ежекторной установки ЕЖ і підігрівнику конденсату парою ущільнень
УП. За даними заводу величина ентальпії основного конденсату на вході в ПНД7
дорівнює hB7I = 248 кДж/кг, тобто. загальний нагрів
становить 32,5 ° С до температури 59,2 ° С. Такий сильний нагрів пояснюється
малою кількістю пари, що надходить у конденсатор на режимах великих
теплофікаційних навантажень.
б) ентальпію конденсату на вході в
підігрівач ПНД4, ПНД5 і ПНД6 - hB4I, hB5I
і hB6I знаходимо в ході розрахунків з рівнянь змішування
(п.8.4.20).
Для деаератора ентальпія води на
вході дорівнює ентальпії основного конденсату на виході ПНД4 (hB4II)
Для теплофікаційної установки.
Ентальпія мережної води на вході в
підігрівач СП1 (hОБ) залежить від температурного графіка теплової
мережі (див. п. 6.1), а на вході в СП2 приймається рівною ентальпії після СП1
(hСП1 - див. 5-й рядок таблиці).
-й рядок. Ентальпія дренажів гріючої
пари.
Ентальпія дренажу пари в ПВД
приймається на 41,9 кДж/кг (тобто на 10 °С) вище, ніж ентальпія живильної води
на вході даного ПВД.
Для підігрівачів низького тиску ПНД
ентальпія дренажу гріючої пари приймається рівною ентальпії конденсату пари, що
гріє, тобто hДР R = hRk (для R від 4 до 7).
Значення для ПНД4-ПНД7 беремо з рядка 4 таблиці 4 і заносимо в сьомий рядок для
цих підігрівачів.
Ентальпію дренажу гріючої пари для
мережних підігрівників СП2 і СП1 визначаємо аналогічно ПНД, заносимо до рядка 7
значення з рядка 4 таблиці 4.
У деаераторі і конденсаторі дренаж
пари, що гріє, відсутен.
-й рядок. Використаний теплоперепад
потоку пари.
Використовуючи графік процесу
розширення пари в проточній частині турбіни, побудований в Н-S діаграмі,
визначаємо використаний теплоперепад в елементах теплової схеми і заносимо його
в таблицю, кДж / кг
Дh1 = h0I
- h1 = 3525 - 3200 = 325 кДж/кг;
Дh2 = h0I
- h2 = 3525 - 3125 = 400 кДж/кг;
Дh4 = h0I
- h4 = 3525 - 2900 = 625 кДж/кг;
Дh5 = h0I
- h5 = 3525 - 2800 = 725 кДж/кг;
Дh6 = ДhОТ2 =
h0I - h6I = 3525 - 2654= 871
кДж/кг;
Дh7 = ДhОТ1 =
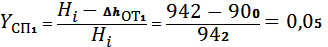
h0I - h7 = 3525 - 2625= 900 кДж/кг;
ДhK = h0I
- hKI = 3525 - 2583=942 кДж/кг.
. Розрахунок мережевої
підігрівальної установки
Метою розрахунку мережевої
підігрівальної установки є визначення витрати мережної води, теплового
навантаження, що покривається теплофікаційні відборами, і кількості пари, що
відбирається з турбіни для мережних підігрівників.
Схема мережевої підігрівальні
установки наведена на рисунку 3.
Витрата мережної води через
підігрівальну установку теплофікаційної турбіни визначається температурним
графіком теплової мережі та максимальним опалювальним навантаженням.
Заданий температурний графік: фП
/ фОБ = 145/45 °С.
Ентальпія води при цих температурах
дорівнює (за таблицями властивостей води і водяної пари)ОБ = 209,25
кДж/кг;П = 632,15 кДж/кг.
Задане значення максимального
опалювального навантаженняОТмакс = 200 МВт = 200·103
кВт.
Витрата мережної води, кг/с
Теплове навантаження опалювальних
відборів паротурбінної установки приймається за умови покриття не максимального
теплового навантаження QОТмакс, а його частини, величина
якої визначається коефіцієнтом теплофікації:
,
де - QОТБ - теплове
навантаження, що покривається з опалювальних відборів турбіни;
бТ - коефіцієнт
теплофікації.
При заданій величині коефіцієнта
теплофікації найбільше теплове навантаження опалювальних відборів турбіни, кВт
Підвищення ентальпії мережної води в
мережевих підвгрівниках за рахунок теплоти пари відборів турбіни складе, кДж/кг
|
Рисунок 3. Схема мережевої підігрівальної
установки
|
|
Рисунок 4 - Схема сепаратора безперервної
продувки котла
|
Значення hОБ = 209,25 кДж
/ кг і hСП2 = 400 кДж/кг заносимо в 6-й і 5-й рядки таблиці 4.
Теплова навантаження, що перевищує
потужність відборів, покривається піковим водогрійним котлом (ПВК). Його
теплова потужність складе, кВт
. Визначення попередньої витрати
пари на турбіну
На другому етапі розрахунку теплової
схеми паротурбінної установки виконується попередній розрахунок витрати пари на
турбіну. Для стандартних турбін витрата пари визначається за заводськими даними
- диаграмами режимів, для заданої електричної потужності та витрат пари з
регульованих відборів на зовнішні теплові навантаження.
При розробці теплових схем і
проектуванні нових турбін з похибкою не більше 1-2% попереднє визначення
витрати пари на турбіну може бути виконане за наближеною формулою з наступним
уточненням.
Для турбіни з трьома регульованими
відборами пари (одним промисловим і двома опалювальними), враховуючи за
допомогою коефіцієнта регенерації відбори пари на підігрів живильної води,
витрату пари можна оцінити використовуючи наступну формулу, кг/с
, (7.1)
де - NЕ - потужність
турбіни з вироблення електричної енергії, МВт;
Ні = ДhK -
використаний теплоперепад при розширенні пари в турбіні від початкових
параметрів до тиску в конденсаторі (з п.5.8), кДж/кг;
зЕМ - електромеханічний
ККД генератора;П - величина промислового відбору пари, кг/с;СП1,
DСП2 - величина опалювальних відборів пари на СП1 и СП2, кг/с;П,
YОТ1, YОТ2 - коефіцієнти недовикористання потужностей
промислового та опалювальних відборів;
КРЕГ - коефіцієнт
регенерації.
У вихідних даних визначені:Е
= 135 МВт;
зЕМ = 0,98;П =
90 кг/с.
Раніше отримані:
в п. 4.8 Н i = ДhК
= 942 кДж/кг;
ДhП = 485 кДж/кг; ДhОТ1
= 900 кДж/кг; ДhОТ2 = 871кДж/кг;
в пп. 6.4 и 6.5 DСП1 =
27,68 кг/с;СП2 = 13,18 кг/с.
Коефіцієнти недовикористання
потужностей промислового та опалювальних відборів обчислюються наступним чином:

;(7.2)

; (7.3)

(7.4)
Коефіцієнт регенерації КРЕГ
враховує збільшення витрати пари на турбіну в зв'язку з відбором пари в систему
регенеративного підігріву живильної води. Його визначають аналітично або
приймають по досвіду експлуатації аналогічних турбоагрегатів з наступним
уточненням. Приймемо попередньо КРЕГ = 1,181.
Тоді попередня величина витрати пари
на турбіну складе, кг/с

кг/с.
8. Теплові та матеріальні баланси
елементів теплової схеми ТЕЦ
Складання балансів починають з
парового котла і виконують проти ходу живильної води для всіх ПВД, що пов'язано
з напрямом потоків дренажів конденсату пари, що гріє, регенеративних відборів
турбіни від усіх ПВД в деаератор (каскадний злив). Розрахунки виконуються з
точністю до 0,5 кг/с і до 0,5 кДж/кг. Спочатку проводиться розрахунок
сепаратора безперервної продувки.
Розрахунок сепаратора безперервної
продувки котла
Мета розрахунку сепаратора
безперервної продувки котла полягає у визначенні кількості та параметрів
робочого тіла, що повертається в основний цикл паротурбінної установки, а також
кількості та температури підживлювальної води, що надходить у цикл.
Розрахункова схема двоступінчастого
сепаратора наведена на рисунку 4.
Застосування сепараторів
безперервної продувки котла дозволяє повернути в основний цикл паротурбінної
установки частку відбираного робочого тіла, що дорівнює і частку відібраної з
продувної водою теплової енергії, що дорівнює
Витрата підживлювальної хімочіщенной
води, що подається в конденсатор повинен відшкодовувати втрати робочого тіла
паротурбінного циклу, викликані зливом частини продувної води,
внутрішньостанційних втратами конденсату, безповоротною витратою пари на власні
потреби електростанцій та не поверненням конденсату промисловим споживачем
пари, кг/с.
Висновок
Принципова теплова схема (ПТС)
містить графічне зображення основного і допоміжного обладнання, напрямок руху,
фізичні властивості, параметри і витрати потоків робочого тіла в основних
точках схеми. На ПТС однотипне устаткування зображується один раз, не
зображуються резервні обладнання та магістралі, а також обладнання, яке не
впливає на теплові характеристики робочого тіла. Для графічного зображення
елементів ПТС використовуються уніфіковані умовні позначення.
На повній тепловій схемі ТЕС
зображується все обладнання, основне і допоміжне, включаючи резервне. На ній
показують всі можливі зв'язки між обладнанням. Повна теплова схема
розробляється на підставі ПТС.
При використанні устаткування, що
серійно випускається (парогенератори, турбіни та ін.) ПТС будується на основі
типових заводських рішень по паротурбінному агрегату. Для нових типів турбін
розробка ПТС припускає проведення повного циклу досліджень щодо раціонального
вибору обладнання і побудові схеми взаємозв'язків. Одним із принципів
оптимальної побудови ПТС є мінімізація необоротних втрат енергії в
технологічному процесі ТЕС при найменшому рівні приведених витрат.
Важливе значення при розробці ПТС
має забезпечення надійної роботи ТЕС на всіх можливих режимах, в першу чергу на
номінальному, а також на режимах знижених навантажень і на перехідних, в тому
числі на режимах пуску і зупинки. При формуванні ПТС розглядається велика
кількість різних варіантів і вибір найбільш прийнятного виконується з
використанням обчислювальної техніки і методів оптимізації.
Особливо велика кількість варіантів
розглядається при проектуванні ПТС енергоблоків з промисловим тепловим та
теплофікаційним навантаженнями.
Список використаної література
1. Коновалов Є.В. Студентська
навчальна звітність. Текстова частина (пояснювальна записка). Загальні вимоги
до побудови, викладення та оформлення: Методичний посібник з додержання вимог
нормо-контролю у студентській навчальній звітності/ Є.В. Коновалов, Л.М. Козар.
- Х.: УкрДАЗТ, 2010. - 40 с.
. Коновалов Є.В. Студентська
навчальна звітність. Графічні конструкторські документи. Загальні вимоги до
побудови, викладення та оформлення: Методичний посібник з додержання вимог
нормоконтролю у студентській навчальній звітності/ Є.В. Коновалов. - Х.:
УкрДазт, 2006. - 34 с.
. Баженов М.И. Промышленные
тепловые электростанции: Учебник для вузов/ М.И. Баженов, А.С. Богородский,
Б.В. Сазонов, В.Н. Юренев; под ред. Е.Я. Соколова. - М.: Энергия, 2009. - 296
с. Ил.
. Рыжкин В.Я. Тепловые
электрические станции. Учебник для вузов/ В.Я. Рыжкин. - М.: Энергия, 1976. -
448 с. Ил.
. Баженов М.И. Сборник задач по
курсу Промышленные тепловые электростанции: Учебное пособие для вузов/ М.И.
Баженов, А.С. Богородский. - М.: Энергоатомиздат, 1990. - 128 с. Ил.
. Щепетильников М.И. Сборник
задач по курсу ТЭС: Учебное пособие для вузов/ М.И. Щепетильников, В.И.
Хлопушин. - М.: Энергоатомиздат, 1983. - 176 с. Ил.
. Вукалович М.П. Таблицы
теплофизических свойств воды и водяного пара/ М.П. Вукалович, С.Л. Ривкин, А.А.
Александров. - М.: Изд-во стандартов, 2008. - 408 с.
. Ривкин С.Л. Термодинамические
свойства воды и водяного пара. Справочник/ С.Л. Ривкин, А.А. Александров. - М.:
Энергоатомиздат, 2009. - 180 с.