Работа кинематической схемы управления, мощность электродвигателя и его тип
Содержание
Вступление
. Описание кинематической и функциональной схемы установки
. Определение мощности и выбор типа электродвигателя
. Построение механической характеристики двигателя
. Проверка выбранного двигателя на перегрузочную способность
. Определение полной, активной и реактивной мощности,
потребляемой двигателем из электрической сети
. Разработка принципиальных схем управления установкой.
Описание работы схемы
. Выбор аппаратуры управления и защиты
. Выбор проводов и кабелей для силовой проводки
. Разработка конструкции и схемы внутренних соединений
силовой части схемы
. Перечень выбранного оборудования
Выводы
Литература
Вступление
Электроприводом называется электромеханическая система, состоящая из
электродвигательного, преобразовательного, передаточного и управляющего
устройств, предназначенная для приведения в движение исполнительных органов
рабочей машины и управления этим движением. Электропривод преобразует
электрическую энергию в механическую и обеспечивает электрическое управление
преобразованной энергией.
В сельском хозяйстве электропривод - основное средство приведения в
движение практически всех стационарных и части мобильных машин.
Система электроприводов предполагает, что электропривод не только
максимально удовлетворяет требованиям машин, работающих в различных режимах, но
и конструктивно элементы электропривода построены рационально - достигнута
максимальная типизация и унификация элементов электроприводов массового
применения во всех их составных частях, более широко применены специальные,
встроенные электроприводы, а их исполнение соответствует требованиям окружающей
среды .
Токарно - винторезный станок ДИП - 500 предназначен для выполнения
разнообразных токарных работ, включая точение конусов и нарезание резьб:
метрических, дюймовых, модульных, питчевых.
Типовыми механизмами станка являются механизмы главного привода, подачи и
вспомогательные механизмы (зажима поперечины, перемещения узлов и др.)
Высокая мощность привода и жёсткость станка, широкий диапазон частоты
вращения шпинделя и подач позволяют полностью использовать возможности
прогрессивных инструментов при обработке различных материалов. Питание
электрооборудования станка осуществляется от сети трёхфазного переменного тока,
напряжением 380В частотой 50Гц.
На станке установлены пять электродвигателей: электродвигателя главного
привода (шпинделя), насоса смазки, насоса охлаждающей эмульсии, рабочих подач
суппорта, ускоренных подач суппорта в продольном и поперечном направлениях .
Присоединение электрооборудования станка к цеховой электрической сети
осуществляется с помощью вводного автомата(автоматического выключателя),
установленного на боковой стенке ниши передней бабки.
1. Описание кинематической схемы механизма подачи
По призматической закалённой направляющей (передней) передвигается
суппорт. В нём закрепляется режущий инструмент(резец). Суппорт состоит из
нескольких частей, перемещающихся в разных направлениях. Это обеспечивает
возможность осуществления подачи резца - продольной, параллельной центровой
линии станка и поперечной, перпендикулярной к этой линии. Верхняя часть
суппорта может быть повёрнута около вертикальной оси; подачу резца при этом
можно осуществить под углом к центровой лини станка, что требуется при
обработке конических поверхностей.
Все подачи резца могут быть ручными, а продольная и поперечная - также и
автоматическими.
Автоматические подачи резца заимствуются от ходового винта или от
ходового вала, получающих вращение с разными скоростями от коробки передач.
Ходовой винт используется при нарезании резьб, а ходовой вал - при всех
остальных токарных работах.
Включение подачи, заимствуемой от ходового винта осуществляется при
помощи двух рукояток. Для выключения реечного зубчатого колеса из рейки при
нарезании резьбы служит кнопка.
Одной рукояткой производится включение и выключение разъёмной гайки
ходового винта, другой рукояткой - подач, заимствуемых от ходового вала.
Третья рукоятка служит для реверсирования(изменение направления ходового
винта), что вызывает изменение направления перемещения суппорта, необходимая
при нарезании левых резьб.
На данной схеме электродвигатель через вал передаёт вращение редуктору
(коробки скоростей). Затем через обгонную муфту и другой вал, при включении
разъёмной гайки передаётся вращение ходовому винту. При этом происходят
механические рабочие подачи суппорта.
Ходовой винт при помощи реверса может изменять направление своего
вращения, имея при этом две скорости правого и одну скорость левого вращения.
Коробка скоростей устроена так, что устанавливая в разные положения рукоятки
можно получить через ходовой винт подачи, соответствующие шагам всех принятых
по ГОСТу метрических дюймовых резьб.
Быстрые перемещения суппорта в продольном и поперечном направления
осуществляются от отдельного электродвигателя через клиноремённую передачу.
Скорость быстрых продольных перемещений суппорта - 3м/мин, а поперечных 1м/мин.
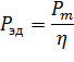
2. Определение мощности и выбор типа двигателя
двигатель мощность провод электрический
В зависимости от задания расчёт мощности выполняем с использованием
нагрузочной диаграммы рабочей машины с определением эквивалентной мощности на
валу машины по формуле:
Рm=
;
P - мощность в
отдельные промежутки времени в кВТ;
t - время
промежутка в мин.
Из
нагрузочной диаграммы: 
; 
; 
; 
; 
; 

кВТ
Определим
мощность на валу электродвигателя по формуле:
η - кпд клиноременной передачи передачи 0,8

кВТ
3.
Расчет и построение механической характеристики электродвигателя
С
помощью таблицы выбираем электродвигатель и выписываем номинальные данные
двигателя, необходимые для выбора пусковой и защитной аппаратуры.
Номинальная
мощность - 13кВТ
Тип
двигателя : АО2 - 61 - 4
А
- асинхронный;
О
- закрытое обдуваемое исполнение;
-
серия;
-
порядковый номер габарита (наружного диаметра сердечника статора);
-
порядковый номер длины электродвигателя (сердечника статора);
-
число пар полюсов, характеризующее частоту вращения двигателя.
Скорость
вращения об/мин - 1460;
Номинальное
напряжение (U,В) - 380;
Номинальный
ток ( I н , А) - 25;
КПД(%)
- 88,5;
Коэффициент
мощности - 0,89;
Кратность
пускового тока - 7;
Кратность
максимального момента(К max ) - 2,7;
Кратность
минимального момента(К min ) - 1,7;
Кратность
пускового момента(К п ) - 1,8;
Скольжение(S н ,
%) - 3.
Габаритные
размеры(мм):
Длина
- 600;
Ширина
- 438;
Вес
(кг) - 140.
Количество
пар полюсов определяется в соответствии с условным обозначением.
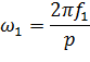
Синхронную
скорость вращения(мин -1 ) определяем по формуле:
где,
f 1 - частота тока в сети(Гц);
р
- число пар полюсов.
Синхронная
частота вращения в (сек -1 ) по формуле:
Номинальную
скорость и частоту вращения определяем по формулам:
где,
S н - номинальное скольжение
Номинальный
ток определяется по формуле:
P н -
номинальная мощность;
U н -
номинальное напряжение;
сosφн - номинальный коэффициент мощности;
η н - номинальный КПД
Определяем
частоту перемагничивания ротора:
Активная
мощность, которая потребляется из сети при номинальной нагрузке равна:
Номинальный
момент:
Реактивная
мощность, которая потребляется из сети при номинальной нагрузке:
где,

Пусковой
момент М п (Нм):
где,
К п - кратность пускового момента к номинальному
Максимальный
и минимальный моменты определим по формулам:
где,
Кmax и Кmin - кратность минимального и максимального моментов
Пусковой
ток двигателя равен:
Полная
мощность, потребляемая двигателем при пуске:
Критическое
скольжение:
Сопротивление
фазы при коротком замыкании:
где,
Uнф - номинальное фазное напряжение;
Iпф - пусковой
фазный ток;
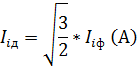
Допустимый
ток электродвигателя при однофазном питании, учитывая неизменность потерь
мощности в обмотке статора , определим по формуле:
где,
Iiф - фазный ток двигателя
Частота
перемагничивания ротора при пуске:
Sп - скольжение
двигателя при пуске. Sп=1
Частота
перемагничивания ротора при синхронной частоте вращения (при синхронной частоте
вращения Sс=0)
Полная
мощность, потребляемая двигателем при номинальной нагрузке:
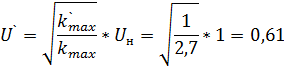
Перегрузочная
способность двигателя при U`=0,9Uн , если М2=Мн , Uн =1
Допустимая
потеря напряжения, исходя из условий статистической стойкости, если М2 = Мн
(при этом k`max=1).При расчётах номинальное напряжение берётся в
относительных единицах Uн=1
Определяем
допустимые потери напряжения, исходя из условий пуска, если М2=Мн (в этом
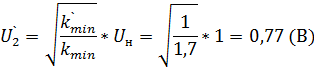
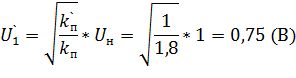
случае k`п=1), и Мmin=Mн (k`min=1)
Пусковой
момент при дополнительном сопротивлении в статоре, если Iп
уменьшится в 2 раза:
Механические
характеристики электрического двигателя строятся при Uн , U`=0,9Uн , U`=0,61Uн , U`1=0,75Uн , U`2=0,77Uн.
Для построения механических характеристик производим расчёты, учитывая, что
скольжение при Mmin будет около 0,8.
4. Проверка выбранного двигателя на перегрузочную способность
Выбранный двигатель по нагрузке приведенной к валу должен
быть провернен на перегрузочную способность при перегрузках в рабочем режиме, а
также возникающих во время пуска.
Проверка двигателя по перегрузкам возникающим во время работы
проводится исходя из условия:
где, Рн - номинальная мощность выбраного двигателя (В)
Рmax - максимальная
мощность двигателя по нагрузке (В)
??м.доп - допустимая перегрузочная способность по максимальному моменту.
Согласно правил устройства электроустановок (ПУЭ) напряжение на зажимах
работающего двигателя при пуске другого двигателя не должно быть ниже 0,8 Uн.
где, Мmax и
Мн - максимальный и номинальный моменты (Нм)
Отношение

необходимо
принимать при синхронной частоте вращения: п=1500об/мин - 2.0
тогда имеем:

(кВТ)
5.
Определение полной, активной и реактивной мощности,
потребляемой двигателем из электрической сети
Активную мощность, потребляемую электродвигателем из электрической сети,
определим по формуле:
где, Рн - номинальная мощность электродвигателя (кВт);
Кз - коэффициент загрузки;
ηн - КПД электродвигателя.
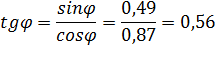
Реактивную мощность, потребляемую электродвигателем, определяем по
формуле:
где, tgφ
- тангенс угла при
номинальном значении cosφ
tgφ находим по формуле:
тогда:
Полную мощность определяем по формуле:

(кВа)
6.
Разработка принципиальных схем управления установкой. Описание работы схемы
Принципиальной
называют схему, которая определяет полный состав элементов электроустановки и
связи между ними. Она должна позволять выполнять программу работы рабочей
машины.
Двигатель
привода шпинделя пускают кнопкой SB1, а останавливают кнопкой SB8.
Аварийная
остановка электродвигателя привода шпинделя происходит автоматически при
понижении давления системы смазки. При этом размыкаются контакты SP,
из цепи тока исключается реле KV, его замыкающие контакты включают реле времени KT,
сигнальную лампу HL5 и сирену HA. Реле времени с выдержкой
времени отключает первый двигатель М1.
Электродвигатель
привода насоса охлаждения М3 пускают кнопкой SB3, а
останавливают кнопкой SB10.
Приводом
суппортов №1,2 управляют при помощи станций с кнопками SB4, SB5, SB6, SB7.
Движение суппортов ограничивают конечные выключатели ZL1, ZL2.
Тепловое
реле КК1, КК2, КК3 защищают двигатели от перегрузок.
7.
Выбор аппаратуры управления и защиты
Выбираем
рубильник
Рубильники
предназначены для неавтоматического включения и выключения электрических сетей
постоянного напряжения до 440В и переменного тока напряжением до 500В.
Рубильники
всех типов со степенью защиты IPOO выбирают исходя из условий:
где,
Uрн - номинальное напряжение рубильника (В);
Uсн -
номинальное напряжение сети (В);
Iрн -
номинальный ток рубильника (А);
Iраз - ток
разрыва (А).
Uрн=500(В);
Uсн=380(В);
Iрн=100 (А);
Iраз=25 (А).
Следуя
из этого я выбрал рубильник РБ 31.
Р
- рубильник;
Б
- с боковой рукояткой;
-
количество ножей;
-
рассчитан на ток 100А.
Выбор
предохранителей
Предохранители
предназначены для защиты от токов короткого замыкания и длительных перегрузок.
Защитный элемент у предохранителя плавкая вставка, изготовленная из лёгких
металлов или их сплавов. Время сгорания плавкой вставки зависит от силы
(кратности) тока, проходящего через предохранитель. Чем больше кратность тока,
тем меньше время сгорания вставки. Предохранители нужно выбирать так, чтобы
напряжение на которое они рассчитаны Uн ,было не меньше напряжения
сети Uсн ,номинальный ток плавких вставок предохранителей Iвн
был не меньше расчётного тока Iвр ,а номинальный ток выбранных вставок то есть должны
выполнятся условия:
Расчётный
ток плавких вставок предохранителей определяем по формуле:
где,
Iн - номинальный ток двигателя (А);
Ki - кратность
пускового тока;
£ - коэффициент, который учитывает условия пуска двигателя. При нормальных
(лёгких) условиях пуска £=2,5.
Следуя
из этого я выбрал предохранитель ПН2 - 100
П
- предохранитель;
Н
- с наполнителем обычного быстродействия.
Номинальный
ток предохранителя 100А, а ток плавкой вставки 80А.
Выбор
автоматических выключателей
Автоматические
выключатели (автоматы) предназначены для защиты электрических установок
недопустимых перегрузок и токов короткого замыкания, а также для нечастых
включений и отключений при нормальных условиях роботы то есть, они заменяют
одновременно предохранитель и рубильник. В автоматах функции защитного элемента
выполняют расцепители реагирующие на отклонение той или иной величины от своего
нормального значения. Расцепители представляют собой электромагнитные и
тепловые реле, измерительные органы которых включены в электрическую цепь, а
исполнительные воздействуют непосредственно на отключение автомата.
Учитывая
силу тока двигателя выбираем автоматический выключатель типа: АП50 - 3МТ.
АП
- автоматический выключатель;
-
число полюсов;
М
- наличие электромагнитного расцепителя;
Т
- наличие теплового расцепителя.
Сила
номинального тока расцепителя :
Проверим
выбранный автоматический выключатель на срабатывание при пуске двигателя.
Пусковой
ток двигателя определяется по формуле:
где,
Ki - коэффициент пускового тока
Силу
расчётного тока срабатывания автоматического выключателя при пуске двигателя
определяем по формуле:
Определяем
значение каталожного тока срабатывания:
где,
Кк - коэффициент каталожного тока срабатывания;
Iн.р -
номинальный ток расцепления.
Значит
Iср.к
Iфр , поэтому автоматический выключатель при пуске
двигателя не сработает. Так называемых «ложных» срабатываний не будет.
Выбор
магнитного пускателя
Магнитные
пускатели предназначены для переключений нереверсивных и реверсивных трехфазных
электродвигателей, их защиты от перегрузки при напряжении до 500 В, и
номинальном токе до 150 А.
Ещё
электромагнитные пускатели предназначены для дистанционного управления
двигателями и другими электроустановками мощностью до 75 кВТ и напряжением до
500 В. Пускатели защищают электрооборудование от самовольных срабатываний при
исчезновении напряжения и работы при чрезмерном уменьшении напряжения, и так
защищает электродвигатели от перегрузки при наличии теплового реле.
Электромагнитные
пускатели выбирают:
По
назначению в зависимости от режима работы и способа пуска двигателя.
По
конструктивному исполнению в зависимости от места установки и необходимости в
сигнализации.
По
наличию тепловых реле.
По
номинальному рабочему напряжению.

Uн.с -
номинальное напряжение сети (В).
По
величине номинального рабочего тока;
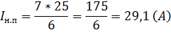
Iн.п ≥ Iн.д
Iн.п ≥ 25
По
необходимому количеству контактов.
Зная
номинальный ток двигателя предварительно выбираем магнитный пускатель. После
предварительного выбора пускателя необходимо проверить условие коммутации:
тогда:

,1
≥ 25
Исходя
из этого мы можем выбрать магнитный пускатель типа ПАЕ - 312
-
величина пускателя;
-
открытое исполнение пускателя;
-
нереверсивный с тепловым реле.
.5
Выбор электротепловых реле.
Электротепловые
реле предназначены для защиты трёхфазных асинхронных двигателей от симметричных
перегрузок недопустимой длительности и работы на двух фазах.
Выбрать
электротепловое реле необходимо так, чтобы его серия и тип соответствовали типу
электромагнитного пускателя, с которым оно комплектуется. Наибольший ток
несрабатывания был не меньше от номинального тока двигателя. Номинальный ток
двигателя должен находиться в пределах регулирования номинальной силы тока
несрабатывания.
После
выбора реле регулятор вставки по току необходимо поставить в положение, при
котором ток вставки равен номинальному току двигателя:
≥
25
Из
этих условий я выбрал электротепловое реле ТРН - 40 .
Номинальный
ток сменных тепловых элементов 40А.
8. Выбор проводов и кабелей для силовой проводки
От долговечности и надежности электропроводок зависит бесперебойность
работы электропотребителей, безопасность людей и животных.
Вид электропроводки, марку и способ прокладки провода или кабеля выбирают
в зависимости от назначения, ценности и архитектурных особенностей здания,
условий окружающей среды, характеристики и режима работы электроприемников,
требований техники безопасности и противопожарных правил и т.д.
Изоляция проводов и кабелей во всех случаях должна соответствовать
номинальному напряжению электроустановки, а защитные оболочки - активности
окружающей среды и способа прокладки ( в воздухе, в трубах, в земле ).
В сельскохозяйственных электроустановках в основном используют провода и
кабели с алюминиевыми жилами сечением 2,5 мм2 и больше. Электропроводку в
стальных трубах применяют только тогда, когда по условиям внешней среды или
места прокладки другая проводка недопустима или нецелесообразна.
Для сельскохозяйственных помещений виды электропроводок, марки и способы
прокладки проводов и кабелей можно выбрать из таблицы на стр.105 Л.[ 5 ].
Для электродвигателя мощностью 13кВТ выбираем кабель АВРГ4×6
мм2.
А - с алюминиевыми жилами ;
В - с поливинилхлоридной изоляцией;
Р - в резиновой оболочке;
Г - голый (не имеющий поверх оболочки защитных покровов и брони);
- число жил;
- поперечное сечение жил кабеля.
Длительно допустимые токовые нагрузки для жил с сечением 6 мм2 при
прокладке в воздухе Iдоп=32 А.
Площадь
поперечного сечения токопроводящих жил провода или кабеля в каждом случае надо
выбирать так, чтобы продолжительно допустимый для него по нагреву ток нагрузки 
был не
меньше максимального длительного рабочего тока электрической цепи 
.
Для
цепей к отдельным приёмникам, которые работают с постоянной номинальной
нагрузкой за максимальный постоянный рабочий ток принимают его номинальный ток:
Iмакс.р= Iн
≥
25
Выбранный
по нагреву провод или кабель необходимо проверить на соответствие его сечения
аппарата защиты по условию
где
К3 - кратность допустимого длительного тока проводника по отношению к
номинальному току или тока срабатывания защитного аппарата. (Для автоматических
выключателей с тепловым расцепителем К3 = 1, а для автоматических выключателей,
которые имеют лишь электромагнитный расцепитель К3 = 0,22);
Iз - сила
номинального тока или тока срабатывания защитного аппарата.
≥ 1×25
Определив
площадь сечения провода (кабеля) по двум условиям, выбирают больше. При этом
нужно учитывать, что ПУЭ допускает при выборе поперечного сечения по второму
условию, принимать меньшее сечение.
9.
Разработка конструкции и схемы внутренних соединений силовой части схемы
Схемой
внутренних соединений ( монтажной ) называют схему, на которой указаны
соединения всех составных частей устройства управления, провода и кабеля,
которыми соединяются элементы схемы, также места присоединения и ввода.
Аппараты
и приборы на схеме изображают в виде прямоугольников или фигур, которые внешним
видом напоминают соответствующий аппарат, а их элементы - в виде условных
графических обозначений.
Выполнять
схемы внутренних соединений желательно адресным способом, так как этот способ
выполнения схем является основным и наиболее распространённым.
Адресный
способ выполнения схем состоит в том, что линии связи между отдельными
элементами и аппаратами не изображают. Вместо этого возле места подсоединения
провода на каждом аппарате или элементе проставляется цифровой или буквенно -
цифровой адрес того аппарата или элемента, с которым он должен быть
электрически связан( позиционное обозначение согласно с принципиальной схемой
или порядковый номер изделия ). При таком выполнении схем не загромождается
чертёж линиями связи и схема легко читается.
10.
Перечень выбранного оборудования
|
Обозначение
|
Наименование
|
Количество
|
Примечание
|
Электродвигатель
|
АИР180М4У3; 30кВт; 58 А;
380 В; 1470об./мин.
|
|
|
|
Кабель
|
ПН10 с алюминиевыми жилами,
в поливинилхлоридной изоляции, в резиновой оболочке, голый, четырёх
жильный.10м.
|
|
|
|
Плавкий предохранитель.
|
ПН2 - 250 с плавкой
вставкой на 250 А3
|
|
|
|
Магнитный пускатель
|
ПМЛ - 4100, Iн=63
А, открытого исполнения, с тепловым реле1
|
|
|
|
Электротепловое
реле
Автоматический
выключатель.
|
АП50 - 3МТ, с тепловым и
электромагнитным расцепителями 1
|
КЕ - 081 У3 с Iн
= 10 А, Uн= 660 В.10
|
|
|
|
Вывод
Во время выполнения курсовой работы основной целью было произвести
описание работы кинематической схемы управления, определить мощность электродвигателя,
его тип. Проверить двигатель на перегрузочную способность, определить полную,
активную и реактивную мощность, потребляемую из сети, выбрать и описать
принципиальную схему, аппаратуру управления и защиты, проводов и кабелей
силовой сети, разработать схему внутренних соединений.
Двигатель рассчитан для токарно - винторезного станка ДИП - 500.
Во втором разделе описана работа кинематической схемы механизма подачи
суппорта станка.
В третьем разделе, по данному графику длительной неравномерной нагрузки
при продолжительном режиме работы, по формуле эквивалентной мощности,
определяем мощность и тип электродвигателя.
В четвёртом разделе рассчитывается механическая характеристика двигателя
с построением графика.
Затем проверяется двигатель на перегрузочную способность при рабочих
режимах и во время пуска.
В шестом разделе определяем активную, реактивную и полную мощность,
потребляемую двигателем из электрической сети.
Потом описываем работу электрической принципиальной схемы станка.
В восьмом пункте, пользуясь таблицами, выбираем аппаратуру управления и
защиты.
Для электрического питания двигателя станка мощностью 13кВТ, при
прокладке в воздухе, выбираем кабель АВРГ, с поперечным сечением жил 6мм2.
Разрабатываем схему внутренних соединений, выбираем кнопки управления,
заносим в таблицу, в соответствии с принципиальной схемой, применяемые элементы
и аппараты.
Данная курсовая работа проделана для определения правильного выбора
электродвигателя, аппаратуры управления и защиты, кабелей для силовой проводки,
а также для закрепления знаний, полученных во время изучения специальных
предметов и улучшения качества усвоения теоретического материала и его
применение в практических расчётах.
Литература
1. Фоменков А.П. «Электропривод сельскохозяйственных машин, агрегатов
и поточных линий». Москва. «Колос» 1973г. , 312стр.
. Кудрявцев И.Ф. «Электрооборудование и автоматизация
сельскохозяйственных агрегатов и установок». Москва ВО «Агропромиздат» 1988г.
,480стр.
. Таран В.П. «Справочник по электрооборудованию». Киев
«Урожай» 1973г. ,298стр.
. Попов В.С. ,Николаев С.А. «Электротехника». Москва
«Энергия» 1968г. ,600стр.
. Ганелин А.М. ,Мильман Н.Э. «Справочник электромонтёра
сельского хозяйства». Москва ВО «Агропромиздат» 1987г. ,240стр.
. Электропривод сельскохозяйственных машин, методические
рекомендации по выполнению курсового проекта для студентов высших учебных
заведений по подготовке младших специалистов по специальности «Монтаж,
обслуживание и ремонт электротехнических установок в АПК».
. Прищеп Л.Г. «Учебник сельского электрика». Москва ВО
«Агропромиздат» 1986г. ,510стр.
Похожие работы на - Работа кинематической схемы управления, мощность электродвигателя и его тип
|