|
Ціна
за одну упаковку грн..
|
Величина
попиту за тиждень шт.
|
|
5
|
1
|
|
4
|
2
|
|
3
|
4
|
|
2
|
7
|
|
1
|
11
|
Як бачимо, зменшення ціни на 1 упаковку йогурту
зумовлює збільшення попиту на нього. Зобразимо графічно (Рисунок 1.1.).
Крива попиту (Рисунок 1.1.) − відношення
між ринковою ціною товару і грошовим виразом попиту на неї.
Крива попиту показує вірогідну кількість товару,
який вдається продати за
певний час по цінах даного рівня.
Вона має негативний нахил, що демонструє
зворотну залежність між двома змінними - ціною за одиницю товару Р і обсягом
його продажу Q. Причому кожна додаткова купівля однорідного товару показує
зниження його граничної корисності. Це свідчить про те, що закон попиту діє
одночасно з законом спадної граничної корисності економічних благ.
Якщо ціна товару зростає від 1 грн. до 5 грн.,
обсяг продаж скорочується. Будь-якій точці на кривій попиту відповідає певне
значення двох змінних Р і Q.
Рух по кривій попиту з однієї точки до будь-якої
іншої показує, як зміна однієї змінної, тобто ціни, зумовлює зворотний рух,
тобто обсягу продаж.
Може бути і так, що крива попиту не змінюється,
не зміщується в той чи інший бік. Це означає, що попит не змінився. У цьому
разі зміна ціни впливає лише на обсяг продажу товарів, але не на попит.
Крива попиту ілюструє лише зміну співвідношення
цін і обсягу продаж у чистому вигляді, абстрагуючись від нецінових чинників
(суб'єктивних поглядів покупців, моди тощо). Проте в ринковому господарстві
вирішальне значення мають цінові чинники, тому абстрагування від нецінових
чинників цілком припустиме.
Ні дані таблиці, ні крива індивідуального попиту
не дають відповіді на запитання, яка ціна у зазначених варіантах є ринковою.
Вони тільки показують, як змінюється величина попиту, якщо змінюється ціна, а
всі інші чинники залишаються незмінними. І цифрове, й графічне зображення
вказують на обернений зв'язок між величиною попиту на товар і ціною цього
товару. Це означає, що збільшення ціни на будь-який товар зумовлює зменшення
величин попиту на нього, і навпаки, зменшення ціни сприятиме підвищенню попиту.
Закон попиту - величина (об'єм)
попиту зменшується у міру збільшення ціни товару. Математично це означає, що
між величиною попиту і ціною існує обернено пропорційна залежність
, де
- обсяг
попиту, Р - ціна.
Природа закону попиту не складна.
Якщо у покупця є певна сума грошей на придбання даного товару, то він зможе
купити тим менше товару, що більша ціна і навпаки. Звичайно, реальна картина
набагато складніша, оскільки покупець може залучити додаткові кошти, придбати
замість даного товару інший - товар субститут. Але в цілому закон попиту
відображає головну тенденцію - згортання об'єму закупівель зі зростанням цін на
товар в умовах, коли грошові можливості покупця обмежені певною межею.
Рух попиту об'єктивно регулюється
законом попиту. Він відбиває причинно-наслідковий зв'язок між зміною ціни і
зміною величини попиту. При цьому цей зв'язок має зворотний характер:
підвищення ціни зумовлює зменшення
попиту і навпаки - зниження ціни веде до його зростання.
Якщо ціна зросла, то при тому самому
платоспроможному попиті населення зменшуються можливості здійснення покупок.
Вони скорочуються не в номінальному грошовому, а в натуральному вираженні.
Інакше наприклад, замість вищого сорту чаю купують нижчий, замість кави - чай.
Вихід з цієї суперечності полягає у
зменшенні попиту на товари, ціна на які зросла.
Протилежна ситуація виникає тоді,
коли ціна знизилася. Споживач має можливість придбати ті товари, продаж яких
раніше стримувався через недостатню купівельну спроможність. У цьому разі попит
зростає на більш дорогі товари.
Форми вияву закону попиту
найрізноманітніші. Якщо ціни зросли, реалізація їх може знизитися. Це станеться
лише тоді, коли маса товарів залишиться незмінною. При скороченні товарної маси
за допомогою ціни встановлюють нову пропорцію (новий баланс) між масою товарів
і платоспроможним попитом.
У конкурентній боротьбі виробник
мусить реагувати на поведінку споживачів. При затримці реалізації товарів і
створенні товарних запасів можуть бути вжиті заходи щодо зниження цін і
зменшення товарних запасів.
Формою вияву закону попиту є також
ефект заміщення. Він полягає у переміщенні попиту на дешевші товари-замінники.
Однією з форм вияву закону попиту є ефект доходу. Він спостерігається тоді,
коли відбулось зниження ціни. Це призводить до того, що у споживача в
результаті зниження ціни з'явилась вільна сума грошей, яка може бути спрямована
на придбання додаткових життєвих засобів.
.2Розрахунково-аналітична частина
На товарному ринку є три продавці і
три покупці. Відомі функції пропозиції за ціною продавців:
QS1 = 2P - 10 ; QS2
= 2P - 16 ; QS3 = w • (P - h );
і функції попиту за ціною покупців:
QD1
= g - z • P ; QD2 = 8- 0.5P ; QD3 = 15- 3P
Значення коефіцієнтів h,
g, w
і z вибираються згідно
з номером варіанта з таблиць 1 та 2.
h = 40 ; g = 45 ;
Визначити:
. Ціну рівноваги та обсяг угоди кожного учасника
торгівлі.
. Подати рішення графічно.
. Розрахувати коефіцієнти цінової еластичності
на кожній ділянці кривої попиту та кривої пропозиції.
. Показати графічно надлишок споживача і
надлишок виробника.
На основі коефіцієнтів h і g згідно з номером
варіанта вибираються значення коефіцієнтів w і z (табл. 2) і підставляються у
відповідні функції пропозиції та попиту.і z
h = 25 - 3,0 ; h = 30 - 2,5 ; = 35 -
5,6 ; h = 40 - 7,5 ; = 50 - 8,06 ; g = 30 - 1,7 ; = 35 - 0,5 ;= 40 - 1,0 ;= 45
- 0,9 ;= 50 - 0,5 ;
Відповідь
:
Маючи функції
попиту
по
ціні
покупців,
знайдемо
мінімальні
ціни
початку
виробництва:
1)
=35-1,9P
2)
=8-0,5P
3)
=15-3P
35-1,9P=0 8-0,5P=0 15-3P=0
P=18,4 P=16 P=5
Звідси ми отримали три інтервали цін, при яких
можна побудувати функцію попиту, враховуючи ціни.
P є [18,4; 16) Q=35-1,9P
P є [16; 5) Q=8-0,5P+
35-1,9P=43-2,4P
P є [5; 0) Q=8-0,5P+
35-1,9P+15-3P=58-5,4P
P є [18,4; 16) 35-1,9⋅18,4=0
35-1,9⋅16=4,6
є [16; 5) 43-2,4⋅5=31 є [5; 0)
58-5,4⋅0=58
Аналогічно знаходимо максимальні ціни виробництва
за допомогою функцій пропозиції:
= 2P-10 2)
=P-16
3)
=3P-30
P-10=0 P-16=0 3P-30=0
P=5 P=16 P=10
В результаті ми отримуємо також три інтервали і
можемо побудувати функцію пропозиції.
P є [5; 10) Q=
2P-10
P є [10; 16) Q=
2P-10+3P-30=5P-40
P є [16; ∞) Q=
2P-10+3P-30+
P-16=6P-56
P є [5; 10) 2⋅5-10=0
2⋅10-10=10
P є [10; 16) 5⋅16-40=40
P є [16; ∞) 6⋅20-56=64
P є [5; 10) 58-5,4P=2P-10
43-2,4P=2P-10
-7,4P=-53
-4.4P=-53
P=9,1 ̶
нерівноважна ціна P=12
- нерівноважна ціна
Відрізки QD=43-2,4P
і QS=5P-40
перетнуться. Внаслідок чого утвориться рівноважна ціна:
P є [10; 16) 43-2,4P=5P-40
-7,4P=-83
P=11,2 - рівноважна
ціна
Якщо
=11,2
,то
=43-2,4⋅11,2=16,12
є [16; ∞) 35-1,9P=6P-56
-7,9P=-91
P=11,5 - нерівноважна ціна
Для визначення реакції покупців на зміну ціни
використовують цінову еластичність.
=
=
=
- 6,6
|
|=6,6 >1-
еластичний попит
=
=
=
-0,47
|
|=0,47<1-
нееластичний попит
=
=
= - 0,46
|
|=0,46<1-
нееластичний попит
Отже,при нееластичному попиті величина попиту є
меншою, ніж відносна зміна в ціні і навпаки.
=
=
=2
|
|=2 > 1 -
еластична пропозиція
=
=
=2
|
|=2 > 1 -
еластична пропозиція
=
=
=
|
|=
> 1 - еластична пропозиція
Отже, при нееластичній пропозиції величина
пропозиції є меншою, ніж відносна зміна ціни і навпаки.
1.3Проблемно-питальна частина
р1 = 6,8 ;
р2 = 15 .
Як побудувати графік галузевого попиту? Знайдіть
зміну величини
попиту, якщо ціна змінилася з р1 до р2.
р1 = 2,8 ;
р2 = 7 .
Розглянемо фактори, що впливають на поведінку підприємства
при прийнятті рішення щодо обсягу продукції, який пропонуватиметься для продажу
на ринку.
Пропозиція (S) - це кількість товару, яку
виробник бажає та може запропонувати на продаж в деякий проміжок часу за певних
умов.
Обсяг (величина) пропозиції (Qs) - це кількість
товару, яку виробник пропонує на продаж за кожним рівнем ціни в одиницю часу за
певних умов.
На пропозицію, як і на попит, впливають цінові
та нецінові фактори, тобто у загальному випадку пропозиція є функцією багатьох
факторів.
Залежність пропозиції від факторів, що впливають
на неї, виражає функція пропозиції :
QSX = f
(PX,
PY,
PZ,
K,
П, З, С,. .)
де QSX - обсяг пропозиції товару Х за одиницю
часу;
РХ - ціна товару Х;
РY - ціни альтернативних (які можуть вироблятися
з тих самих ресурсів) товарів;
РZ - ціни на ресурси;
К - технологія, використовувана при виробництві
товару;
П - податки і дотації;
З - стабільність законодавства та визначеність
правового поля;
С - специфічні фактори (кліматичні умови, зміна
моди, психологічна мотивація тощо);... - інші можливі фактори (структура ринку,
очікування щодо майбутніх економічних умов).

Рисунок 1.7 Крива пропозиції. Рисунок 1.8 Зміна
пропозиції
Вважаючи вплив нецінових факторів незмінним,
встановимо залежність пропозиції від ціни: QSX = f (PX) - так званий закон
пропозиції. Закон пропозиції визначає, що чим вища ціна товару, за інших
незмінних умов, тим більше стимулюються виробництво і продаж саме цього товару.
Відповідний графік - крива з додатним тангенсом кута нахилу (Рисунок 1.7).
Зміна ціни (від Р1 до Р2) спричиняє зміну обсягу
пропозиції. Рух відбувається вздовж кривої пропозиції. На відміну від цього,
зміна нецінових факторів обумовлює зміну пропозиції. Крива пропозиції
зміщується праворуч, якщо вона зростає, і ліворуч - у противному разі (Рисунок
1.8).
Еластичність пропозиції характеризує реакцію
виробника на коливання ціни товару, що ним виробляється. Коефіцієнт прямої
еластичності пропозиції від ціни ЕS показує, на скільки процентів зміниться
обсяг пропозиції товару за зміни ціни на 1%:
.
Рисунок 1.9 Еластичність пропозиції
Коли ЕS = 0, пропозиція не реагує на зміну ціни
(на Рисунку 1.9 це зображено вертикальною прямою).
Співвідношення ЕS = ¥
означає,
що нескінченно мале збільшення ціни призведе до безмежного росту обсягу
пропозиції або до повного її зникнення при зменшенні ціни. У разі ЕS < 1
пропозиція вважається нееластичною, тобто коливання ціни товару не викликає
помітного зменшення (збільшення) обсягу випуску товару. Якщо ES > 1, то
пропозиція еластична.
Фактори, що впливають на еластичність
пропозиції:
· мобільність товаровиробника, гнучкість і
рівень завантаження виробничої потужності підприємства;
· характер застосовуваної технології;
· можливості мобілізації внутрішніх і зовнішніх
джерел накопичення;
· фактор часу. Пропозиція реагує на зміну ціни
зазвичай з певним часовим лагом. Тому еластичність пропозиції тим вища, чим
більше часу має виробник для зміни обсягу пропозиції.
Перехід від індивідуальної до галузевої, або
ринкової, пропозиції може відбуватися шляхом горизонтального додавання (Рисунок
1.10) або через множення обсягу пропозиції товару найбільш типового продавця на
загальну кількість продавців на ринку.
Рисунок 1.10 Індивідуальна та ринкова пропозиція
2. Як у результаті взаємодії попиту та
пропозиції визначається ціна товару?
Перевірте свої результати: чи відповідають
розраховані рівноважна
ціна і рівноважний обсяг інтервалам цін і
обсягів попиту та пропозиції, на яких є точка перетину функції попиту і функції
пропозиції?
Залежність попиту від ціни називається функцією
попиту від ціни.
Qд = f(р),
де Рд - величина попиту,
р - ціна товару.
Один і той же взаємозв'язок даних про ціни та
покупки можна описати прямою чи зворотною функцією. Пряму функцію ми розглянули
вище. Зворотна функція попиту має вигляд р = h(Q). Це інша інтерпретація кривої
попиту, кожна точка якої показує максимальну ціну - (ціну попиту), яку покупець
згоден сплатити за дану кількість товару.
Далі розглянемо фактори (детермінанти) попиту.
Виділяють цінові та нецінові фактори попиту. Механізм дії цінового фактора
(ціна даного товару або послуги) закладений у законі попиту. Розглянемо вплив
на попит нецінових факторів.
Смаки і переваги споживачів. Сприятливі зміни
споживчих смаків або
переваг, викликані рекламою чи змінами моди,
означають, що попит зростає за кожною ціною. Несприятливі зміни в перевагах
споживачів викликають зменшення попиту і зміщення кривої попиту ліворуч униз.
Число покупців. Збільшення на ринку числа
споживачів обумовлює підвищення попиту (крива попиту зміщується праворуч
уверх), а зменшення їх числа призводить до зниження попиту (крива попиту
зміщується ліворуч униз).
Доход споживачів. Вплив на попит змін грошового
доходу дещо складніший. Для нормальних товарів існує пряма залежність від зміни
грошових доходів. Але є товари - винятки, попит на які змінюється в
протилежному напрямку, тобто підвищується при зниженні доходів (товари Гіффена
- товари для бідних, малоцінні товари; товари, про якість яких відсутня
інформація і про які судять за ціною).
Ціни на сполучені товари. Чи приведе зміна ціни
на сполучений товар до підвищення або зниження попиту на товар, залежить від
того, чи є розглядуваний товар замінником (альтернативою) першого або
супроводить (доповнює) його.
Ринковий попит - це сумарний попит усіх
споживачів на ринку певного товару. Величина ринкового попиту при кожному
значенні ціни дорівнює сумі величин окремих споживачів при даному значенні
ціни.
Індивідуальні розбіжності попиту можуть бути
досить різноманітними. До того ж відомо, що обсяг попиту зазвичай спадає при
зростанні ціни. Але характер й певна форма цієї закономірності в окремих
споживачів можуть бути неоднаковими.
Таким чином, різні споживачі, кожен зі своєю
кривою попиту, з’являються на ринку певного товару.
Чотири точки, розраховані за даними варіанту
нанесемо на графік (Рисунок 1.11), у зв'язку з тим, що сума лінійних функцій -
лінійна функція, то точки з’єднаємо прямолінійними відрізками й отримаємо криву
ринкового попиту споживачів А, В і С на ринку даного товару.
Рисунок 1.11 Криві індивідуального попиту
споживачів А (QдА), В (QдВ), С (QдС) і крива їх ринкового попиту (Qдрин.)
Якщо індивідуальний попит кожного із споживачів
задано аналітично, то, визначаючи ринковий попит, необхідно враховувати те, що
за рівнем ціни вище певного порогу (для кожного споживача свого) обсяг попиту
дорівнює нулю.
Слід зауважити, що при русі по кривій ринкового
попиту праворуч донизу абсолютні величини коефіцієнтів при Р закономірно
зростають через включення нових покупців, а крива ринкового попиту в цілому є
випуклою донизу.
Це свідчення відіграє важливу роль при розробці
математичних моделей ринку, бо число споживачів на реальному ринку є значним,
тому зломи на кривій ринкового попиту стають незначними і її можна зобразити у
вигляді плавної (гладкої) кривої.
Таким чином, крива ринкового попиту відображає
загальний обсяг попиту усіх споживачів за будь-якою ціною й визначається як
сума індивідуальних попитів.
Ринковий попит, з одного боку, залежить від
факторів, що впливають на індивідуальний попит, а з другого - від самої
кількості носіїв попиту (споживачів).
Пропозиція (S - supply) - це бажання продати
товар чи послуги, це загальна кількість товарів чи послуг, які є на ринку або
які можуть на нього
надійти, при різних можливих цінах.
Закон пропозиції відображує пряму залежність
величини пропозиції від ціни товару за решти рівних умов (чим вища ціна товару,
тим більша кількість товару пропонується; нижча ціна обумовлює менший рівень
пропозиції).
Пропозиція подана кривою SS (Рисунок 1.12), яка
має позитивний нахил, що підтверджує закон пропозиції. Крива SS - це графічне
зображення залежності пропозиції від цін.
Рисунок 1.12 Крива пропозиції
Аналітично функція пропозиції від
ціни Qs
= f(p)
виражає залежність величини пропозиції даного товару від його ціни, (де Qs
- величина пропозиції, р- ціна даного товару). Функція Qs
= f(p)
- частковий випадок функції пропозиції, залежності пропозиції від факторів, що
її визначають:
де Qs
- величина пропозиції; Р - ціна даного товару; Pa,
Pb
- ціни на ресурси та інші товари; К - технологія виробництва; С - податки або
дотації; Z - сподівання
виробників тощо.
Рисунок 1.13 Крива пропозиції (зміна величини
пропозиції)
Зміна пропозиції пов'язана з
неціновими факторами пропозиції і означає зміщення кривої пропозиції праворуч
униз або ліворуч уверх (Рисунок 1.14).
Рисунок 1.14 Крива пропозиції (зміна пропозиції)
. Чому крива ринкового попиту є більш пологою,
ніж будь-яка з кривих індивідуального попиту, що її складають?
Форма кривої попиту та її нахил мають
надзвичайно важливе значення в ціноутворенні, адже вони відображають
особливості реакції покупців у відповідь на зміну ціни. Кількісно вимірити
чутливість попиту до зміни ціни (або інших чинників) дає змогу еластичність.
Еластичність - це відношення темпів зростання залежної змінної до темпів
зростання незалежної змінної. Коефіцієнт еластичності показує, на скільки
відсотків зміниться залежна змінна при зміні незалежної змінної на 1%:
В економічному аналізі в якості
залежної змінної найчастіше використовують такі величини як попит, виторг від
продаж, прибуток та ін., а незалежної змінної - ціна товару, ціни
взаємозв'язаних товарів, доходи споживачів, витрати на рекламу тощо.
Зважаючи на знак коефіцієнта еластичності (плюс
або мінус), між змінними величинами спостерігається два типи залежності:
) пряма (Е > 0) - зростання однієї змінної
викликає зростання іншої;
) зворотна (Е < 0) - зростання однієї змінної
викликає зниження іншої.
Щодо еластичності попиту, то в економічній
теорії і практиці розрізняють такі види коефіцієнтів еластичності попиту:
) пряма еластичність попиту за ціною (цінова
еластичність);
) перехресна еластичність попиту за ціною;
) еластичність попиту за доходом.
Кожен з цих видів еластичності можна розрахувати
двома методами - точкової еластичності або дугової еластичності.
Цінова еластичність (еластичність попиту за
ціною) показує, на скільки відсотків зміниться величина попиту при зміні ціни
на 1%. Як було зазначено вище, для її визначення застосовують методи точкової
чи дугової еластичності.
. Які є види еластичності? Які способи
розрахунків коефіцієнта еластичності ви використовували у своїх розрахунках.
Чому?
Залежно від величини коефіцієнта еластичності
розрізняють такі основні види еластичності попиту і пропозиції:
) попит і пропозиція абсолютно еластичні;
) попит і пропозиція відносно еластичні;
) попит і пропозиція одинично еластичні;
) попит і пропозиція відносно нееластичні;
) попит і пропозиція абсолютно нееластичні.
Відносно еластичний, або просто еластичний, - такий
попит, коли незначні зміни в ціні призводять до значних (більших) змін у
кількості реалізованої продукції (наприклад, зниження ціни на 2% зумовлює
зростання попиту на 4%).
Коефіцієнт еластичності в цьому разі повинен
бути більшим за одиницю, а в нашому випадку він дорівнює двом. Таким, зокрема,
є попит на предмети розкоші.
Нееластичний попит - попит, коли незначна зміна
в ціні зумовлює ще меншу зміну в кількості реалізованої продукції. Так, із
зниженням ціни на 3% попит зростає лише на 1%. Коефіцієнт еластичності у цьому
разі становить 1/3, тобто для нееластичного попиту характерний коефіцієнт,
менший за одиницю. Таким, наприклад, є попит на хліб. Між названими видами
еластичності попиту (еластичним та нееластичним) виникає проміжна ситуація,
відсоткова зміна ціни дорівнюватиме відсотковій зміні попиту (наприклад,
зниження ціни на 1% зумовлює зростання продажу на 1%). Такий вид попиту
називають одиничним.
Абсолютно нееластичний попит - попит, коли зміна
ціни не зумовлює жодної зміни кількості реалізованої продукції (таким, зокрема,
є попит на сіль). Абсолютно еластичний попит характеризується тим, що найменше
зниження ціни спонукає покупця збільшувати закупівлі від нуля до межі своїх можливостей.
Практика, на думку західних учених, свідчить про
те, що коефіцієнт цінової еластичності на хліб становить 0,15%, на яловичину -
0,64, на яйця - 2,65, на електроенергію - 0,13, на одяг і взуття - 0,20, на
квитки до кінотеатру - 0,87%.
На ринковий механізм ціноутворення впливають чисельність
покупців та продавців на ринку товарів, їх конкуренція. Так, конкуренція між
покупцями зумовлює зростання цін, а конкуренція між продавцями - їх зниження.
. Що показує надлишок споживача і надлишок
виробника?
Надлишок споживача - це інтегральна різниця між
ціною, котру згоден сплатити покупець за дану одиницю товару , та ціною,
встановленою ринком.
Тобто ціна попиту на товар (РD) визначається
граничною корисністю кожної одиниці товару, а рівноважна ринкова ціна товару -
взаємодією попиту та пропозиції. В результаті цієї взаємодії товар продається
по ринковій ціні (Рe).
Тому споживач виграє, купуючи товар дешевше, чим
він міг за нього заплатити. Цей виграш дорівнює площі заштрихованого трикутника
РDЕРe.
Розміри надлишку споживача характеризують рівень
його добробуту.
Надлишок виробника - це інтегральна різниця між
ціною, по якій згоден реалізувати товар продавець, та ціною ринку. Знання
граничних витрат (МС) дозволяє визначити виграш виробника. Справа в тому, що
мінімальна ціна, за якою фірма може без втрат продавати одиницю продукції, не
повинна бути нижча граничних витрат (МС)(приріст затрат , пов’язаний з
виробництвом кожної наступної одиниці продукції). Будь-яке перевищення ринкової
ціни одиниці продукції над її МС буде означати ріст прибутку фірми. Таким
чином, надлишок споживача ще можна визначити як величину перевищення ціни
реалізації (ринкової ціни) над граничними витратами виробництва.
Рішення про кількість, в якій варто споживати
будь-яке благо, - це результат зіставлення споживачем вигод і витрат. Виражаючи
корисність блага в грошових одиницях, отримуємо цінність блага.
|
Рисунок
1.15 Надлишок споживача
|
Витрати споживання або вартість даної кількості
блага - це грошові кошти або ринкова ціна одиниці блага, помножена на кількість
одиниць блага. Вигода (цінність) перевищує витрати (вартість), оскільки
споживач готовий заплатити за попередні одиниці блага більш високу ціну, ніж
ту, яку він реально платить при купівлі.
Різниця між цінністю і вартістю блага
називається споживчим надлишком (надлишком споживача).
Надлишок споживача можна розглядати як різницю
між максимальною ціною, яку споживач заплатив би за кожну кількість блага Х, і
ринковою вартістю цієї кількості.
. Яким чином встановлюється ринкова рівновага за
А. Маршаллом і Л. Вальрасом?
|
Ринкова
рівновага
|
|
В
умовах ринкової економіки взаємодія конкурентних сил приводить до
синхронізації цін попиту і цін пропозиції, що обумовлює рівноважність обсягів
попиту і пропозиції
|
Рисунок 1.16 Ринкова рівновага попиту та
пропозиції.- ціна;- обсяг попиту, обсяг пропозиції;- крива попиту;- крива
пропозиції;
С - точка перетину кривої Q і кривої S, яка
визначає рівноважну ціну (Рc) та рівноважний обсяг попиту та пропозиції (Qc).
Точка перетину кривої попиту (D) і кривої пропозиції
(S) - це точка їх рівноваги (C)
В точці перетину кривої попиту (Qc) і кривої
пропозиції (S) обсяг пропозиції буде дорівнювати обсягу попиту (Qc). Завдяки
такому співвідношенню встановлюється ціна рівноваги (Pc), яка однаково
задовольняє і покупців, і продавців.
Рівноважна ціна (Рс) - ціна, що урівноважує
попит і пропозицію внаслідок взаємодії конкурентних сил.
Якщо ціна буде нижчою, ніж рc, надлишок попиту
буде піднімати її догори (конкуренція покупців) і створювати дефіцит; якщо ціна
буде вищою, ніж рівноважна Р„ пропозиція перевищить попит, створиться надлишок
пропозиції (конкуренція продавців), внаслідок чого ціна буде знижуватися до
рівня рівноваги.
Модель встановлення рівноважної ціни;- ціна;-
обсяг попиту га обсяг пропозиції;- точка рівноваги;- рівноважна
ціна;рівноважний обсяг попиту та пропозиції;, Pд - ціни, при яких
встановлюється дефіцит та надлишок., Q2 - обсяги попиту та пропозиції, при яких
визначається дефіцит та надлишок.
Рівноважна ціна та рівноважний обсяг мають місце
на рівні, де кількість товару, яку виробники можуть і бажають поставляти,
дорівнює обсягу товару, яку покупці можуть і хочуть купувати. На конкурентному ринку
ця рівновага досягається на перетині кривих попиту (D) і пропозиції (S). При
ціні рівноваги (РC) немає ані надлишку, ані дефіциту.
Важливо зауважити, що рівноважний метод аналізу
попиту та пропозиції на мікрорівні передбачає пошук ситуації, при якій
економічна система знаходиться в стані «ідеального спокою». Саме тому в умовах
рівноваги економічний суб’єкт (виробник, продавець, покупець, фірма) практично
не має стимулів до зміни своєї економічної поведінки. Тобто, у точці рівноваги
попиту та пропозиції стимули до економічного руху практично згасають і він
припиняється. Але як тільки відбудеться зміна у співвідношенні факторів, що
впливають рівновагу (зросте або зменшиться рівень цін, вдосконалиться
технологія, не виправдаються сподівання виробників і споживачів), знову почнуть
діяти економічні стимули.
Це означає, що рівність попиту і пропозиції -
теоретична абстракція. Вона майже не зустрічається в реальній господарській
практиці. Але за допомогою такої абстракції стає можливим пошук найбільш
важливих закономірностей функціонування ринкового механізму.
Умови сталої рівноваги на ринку розглядалися
такими відомими вченими-економістами, як А.Маршалл і Л.Вальрас.
Загальновизнаний на сьогодні метод Л.Вальраса
розгляд криві попиту та пропозиції як кінцеві точки горизонтальні прямих, які
відповідають обсягам попиту чи пропозиції при даній ціні А.Маршалл розглядав їх
як кінцеві точки ряду вертикальних ліній, кожна з яких відповідає ціні, за
якою дана кількість товару виробляється і споживається (тобто д Маршалл
розглядає кількість товару як незалежну змінну, а ціну - як залежну змінну).
Рисунок 1.17 Механізм формування рівноважної
ціни:
а - за Л.Вальрасом (модель Л.Вальраса);
б - за А.Маршаллом (модель А.Маршалла).
Метод Л.Вальраса засновується на
зміні динаміки ціни в напрямку досягнення стану рівноваги, тоді як підхід А
Маршалла базується на зміні динаміки обсягів товару; тобто Вальрас розробив
«модель коригування ринкових цін», тоді як А.Маршалл - «модель коригування
випуску».
Безперечно, і ціна, і кількість
товару взаємообумовлюються - і для вирішення проблем урівноваження всіх
параметрі, Принципової різниці між цими підходами немає. Але динамічні
передумови цих двох підходів принципові розрізняються.
У процесі функціонування ринку
відбувається взаємне узгодження економічних інтересів продавців і покупців. Важливу
роль у цьому процесі відіграють ціни, сприяючи швидкому обміну інформацією.
Саме ціни роблять умови обміну простими, прозорими і стандартизованими для
всіх суб'єктів ринкової економіки.
. Що таке «павутиноподібна» модель?
Досягнення рівноваги - це процес, що залежить
від часу, опис якого здійснюється за допомогою динамічних моделей. Однією з
найпростіших динамічних моделей ціноутворення є «павутиноподібна» модель, де
продавці розробляють свою цінову стратегію, базуючись на минулому періоді.
QSt = fS ( Pt - 1)
8. Що відбувається на ринку, коли, наприклад,
держава втручається в процес ринкового ціноутворення? Яка ситуація складеться
на вашому ринку, якщо встановити ціну:
р1 = 1,9 ;
р2 = 14,4 .
Якщо ціна вища за рівноважну, пропозиція
перевищує попит, то утворюється надлишок. Якщо ціна нижча за рівноважну, а
пропозиція менша за попит, то утворюється дефіцит.
<#"721437.files/image042.gif">=
=
MUxPy
=Py
Звідси:
=
Далі підставляємо граничні корисності та ціни на
товари X та Y в умову рівноваги:
=
.6x0.25=3x-0.75y=
=
/
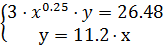
11.2x=y
Рівняння бюджетного обмеження має вигляд:
I=Px⋅X+Py⋅Y=Px+35
I=11.2+35=46.2
.2=11.2x+4y=
=11.55-2.8x
Визначимо кількість товару X, яка споживається
покупцем, прирівнявши рівняння:
11.55-2.8x=11.2x
.55=11.2x+2.8x
.55=14x=
=0.825
Тепер підставимо значення X до рівняння, щоб
знайти величину Y:
y=11.2⋅0.825=9.24
Визначимо корисність, яку споживач отримає
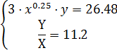
внаслідок споживання набору з товарів X та Y:
U=3⋅0.8250.25⋅9.24=26.48
) Рівняння кривої байдужості, на якій споживач
буде знаходитись в момент рівноваги має вигляд:
26.48=3x0.25y
Визначається перехресна еластичність наступною
формулою:
, де
=1.5,
=11.2;
;
.
=
=(46,2-12,7⋅0,825)/4=6,9
=
=
=-1,92
Отже, якщо
,
товари X та Y - товари-комплементи.
=11.2+1.5=12.7
.2=12.7x+4y
.7x=4y-46.2=-0.3y+3.6=3.6-0.3y
Звідси:
x=3.6-0.3⋅11.2x+3.36x=3.6
.36x=3.6=
=0.82=11.2⋅0.82=9.2
Отже, нова рівновага споживача буде досягатися,
коли споживач буде купляти 0,82 одиниць товару Х та 9,2 одиниць товару Y.
Визначимо корисність, яку отримає споживач від
споживання даного набору товарів:
U2=3⋅0.820.25⋅9.2=26.2
3) Загальний ефект заміни ціни може бути
розділений на два окремих ефекти: ефект доходу та ефект заміщення. Ефект
заміщення - це зміна обсягу попиту, спричинена зміною відносної ціни товару при
незмінному реальному доході. Ефект доходу - це зміна обсягу попиту, спричинена
зміною реального доходу при незмінності відносних цін.
Для знаходження ефекту заміщення та ефекту
доходу необхідно визначити, в якій точці нахил вихідної кривої байдужості U0
дорівнює нахилу нової бюджетної лінії ( точка Е3). Знаходимо цю точку:
Звідси :
Х=0,83
У=9,3
Е3(0,83;9,3) - розбиває загальний ефект на ефект
заміни та ефект доходу;
Е1(0,83; 9,24) - рівноважний набір;
Е2(0,82;9,24 ) - новий набір
Ефект заміщення: Е2E3
Ефект доходу: E1E3
Таким чином, загальний ефект від збільшення ціни
першого товару призвів до зменшення споживання цього товару на
одиниці.
І не вплинув на споживання другого товару, тобто загальний ефект у другого
товару дорівнює нулю:
2.3 Проблемно-питальна частина
. Які властивості мають криві байдужості? Нарисуйте
криві байдужості, якщо споживач вважає, що:
№ варіанта 48
Взаємозв’язок між товарами X і Y - для товарів X
і Y, якщо MRSXY = const
2. Нарисуйте криві заданого виду
№ варіанта 48
Вид кривої - «дохід - споживання» ;
Товари Х і У - X - нормальний товар, Y - товар
нижчої якості .
. На основі лінії «ціна - споживання» побудуйте
криву індивідуального попиту на товар , X якщо PY = const.
Відповідь :
Постійні витрати (FC)- витрати фірми, які
залишаються незмінними при будь-якій кількості виробленої продукції (витрати на
машини й устаткування, орендна плата, оплата управлінського персоналу й т.п.).
Змінні витрати (VC) - витрати фірми, величина
яких знаходиться в прямій залежності від обсягів виробництва (витрати на
сировину, енергію, паливо, трудові ресурси й т.п.).
Динаміка змінних витрат нерівномірна: спочатку,
при організації виробництва з нуля, вони ростуть дуже швидко; потім, у міру
налагодження виробництва, починає позначатися економія на масштабах виробництва
і зростання витрат сповільнюється; надалі вступає в дію закон зменшення
(спадання) граничної продуктивності й змінні витрати знову починають переганяти
зростання виробництва.
Загальні витрати (ТС) - сума постійних і змінних
витрат при кожному даному обсязі виробництва. ТС=FC+VC
При виборі фірмою обсягу виробництва вирішальне
значення має аналіз динаміки граничних і середніх витрат.
Граничні витрати (МС) - додаткові витрати,
пов'язані з виробництвом однієї додаткової одиниці продукції.
МС= = ; МС=ТС -TCQ-1,
де Q - кількість одиниць продукції.
Середні (питомі) витрати (АС) - витрати
розраховані на одиницю виробленої продукції.
Розрізняють середні постійні витрати: AFC=FC/Q;
середні змінні витрати: AVC=VC/Q;
середні загальні (валові) витрати: ATC=TC/Q
Крива граничних витрат перетинає середніх
змінних і загальних витрат у місцях мінімального значення кожної з них. Це
відбувається тому, що поки додаткова величина, що приєднується до суми змінних
або загальних витрат, залишається менше середньої величини цих витрат, показник
середніх витрат зменшується. І навпаки, коли гранична величина, що приєднується
до суми змінних або загальних витрат, виявляється більше середніх змінних або
загальних витрат, середні витрати повинні рости.
3. ВИБІР ОПТИМАЛЬНОЇ КОМБІНАЦІЇ ВИРОБНИЧИХ
РЕСУРСІВ ПРИ ЗАДАНИХ ЦІНАХ НА НИХ І ТЕХНОЛОГІЇ. ФОРМУВАННЯ ВИТРАТ
НА
ВИРОБНИЦТВО БЛАГА
.1 Теоретична частина
В мікроекономіці процес виробництва
розглядається суто функціонально - як процес перетворення вхідного потоку
затрат, тобто ресурсів, у вихідний потік випуску з використанням певної
технології виробництва.
Випуск - це товари або послуги у грошовому чи
натуральному вимірі, які вироблені фірмою (галуззю) за певний проміжок часу з
використанням необхідних для цього ресурсів.
Ресурси, або фактори виробництва - блага, які
потрібно придбати фірмі для забезпечення випуску інших благ - готової
продукції; основні види факторів - капітал, праця, земля (природні ресурси),
підприємницькі здібності.
Технологія - знання про те, як сполучити різні
фактори виробництва для забезпечення певного випуску блага; кількісно характеризується
сукупністю норм затрат ресурсів на випуск одиниці готової продукції.
Технологічна залежність між структурою затрат
ресурсів (факторів виробництва - працею L та капіталом К) і максимально
можливим випуском продукції (Q) записується за допомогою виробничої функції:
Q = F (L,K)
Зв'язок між обсягами затрачених
ресурсів (L,К) і вартістю
виробництва показує функція сукупної вартості виробництва (ТС), яка відображає
сумарну вартість усіх використаних факторів виробництва і у випадку двох
факторів має вигляд:
TC = PL
• L
+ PK
• K.
Мінімізація вартості - процес
досягнення фірмою таких обсягів використання ресурсів, коли вартість набору
ресурсів, необхідних для забезпечення певного обсягу випуску продукції, буде
найменшою у порівнянні з вартістю всіх інших наборів ресурсів, які забезпечують
той самий обсяг випуску. Аналітична умова мінімізації вартості має вигляд:
MPL ∕
MPK
= PL
∕ PK
де MPL,
МРК - граничні продукти відповідно праці і капіталу; PL
PK
- ціна одиниці відповідного ресурсу.
.2 Розрахункова частина
На регіональному ринку кондитерських
виробів фірми, що діють за встановленою рівноважною ціною і представляють весь
обсяг пропозиції галузі, випускають продукцію згідно з технологією, яка
характеризується виробничою функцією класу Кобба - Дугласа:
Q = B •KС • LD
- кількість використаного капіталу; - кількість
найманої праці; , c ,d - дійсні числа. Витрати на одиницю робочої сили
визначаються за ставкою заробітної плати , PL а витрати на одиницю капіталу -
прокатною ціною капіталу РK. Бюджет фірми складається з суми витрат (TC) на
придбання факторів виробництва.
У короткостроковому періоді постійною величиною
є капітал - K = const Записуємо умову мінімізації витрат
Визначимо кількість праці, яка використовується
MPL/ rL = MPK / rK
MPL/ MPK = rL / rK
,3 * 2000,7 / L0,7 / 7,7 * L0,3 /
200 0,3 = 3 / 2
3,3 * 2000,7 / L0,7 * 2 = 7,7 * L0,3 / 200 0,3 *
3
,6 * 40,81 / L0,7 = 23,1 * L0,3 / 4,9
,35 / L0,7 = 4,71 * L0,3
,35 = 4,71 * L0,7 + 0,3
,19 = L
При використанні L = 57,19 та К = 200 - фірма
мінімізує витрати
Визначення оптимального обсягу виробництва
Q = 11 * К0,7 * L0,3= 11 * 2000,7 * 57,190,3 =
11 * 137,38 = 1 511,18 (одиниць)
Визначення середньої продуктивності праці при
знаходженні фірми в стані рівноваги
Середня продуктивність праці (AL) розраховується
за формулою
AL = Q / L
511,18 / 57,19 = 26,42 (одиниць)
Виведення функції граничних витрат фірми в
довгостроковому періоді
Довгострокові граничні витрати (LRMC) показують
приріст витрат при збільшенні виробництва продукції на одиницю, яке
супроводжується відповідною оптимальною зміною інших факторів (розміру
підприємства, технології, обсягу залученого капіталу).
LRMC (Q)
= lim
(TC
(Q
+ Δ)
- TC
(Q))
/ Δ
= TC’
(Q)
= dTC
(Q)
/ dQ
Δ→ 0
Визначення граничних витрат виробництва даної
фірми, коли K - const К = 200
Фірма, що максимізує прибуток у
короткостроковому періоді, має збільшувати обсяг виробництва до точки, в якій
остання одиниця її змінного ресурсу (праці) додаватиме однакову величину
вартості як до загального доходу, так і до загальних витрат. Тоді рівняння
попиту на працю можна записати
Р * МРL = rL
де МРL - граничний продукт робочої сили, тобто
приріст виробництва при залученні додаткової одиниці робочої сили.
Р - ціна готового продукту фірми rL - заробітна
плата
MRРL
= Р * МРL
MRРL
- гранична доходність робочої сили, показує наскільки зростає доход за умови
залучення додаткової одиниці робочої сили.
Якщо капітал зафіксовано на рівні К* = 200, то
Q = 11 * 2000,7 * L0,3; Q = 448,9 * L0,3,
L0,3 = Q / 448,9 - рівняння кривої попиту на
працю.
Визначимо загальні затрати:
ТС = 2 * 200 + 3 * (Q / 448,9 )-0,3 = 400 + (Q /
448,9 )-0,3 ,
. МС = 0,3 * (Q / 448,9 )0,7
3.3 Проблемно-питальна частина
. Карта кривих байдужості - це засіб
відображення переваг споживача, що відповідають різному рівню задоволення його
потреб.
Карта байдужості - сукупність кривих
байдужості, що відповідають усім можливим рівням корисності для даного
споживача. Карта байдужості є графічним зображенням шкали переваг споживача.
Криві байдужості на карті байдужості відображають ранжування наборів споживчих
товарів, але кількісно їх не визначають. Карти байдужості виключно
індивідуальні, і для різних споживачів вони можуть не збігатися. За картою
байдужості можна говорити про переваги і смаки конкретного споживача[9].
Ізокванта відображає різні
комбінації витрат факторів виробництва ,які можуть бути використані для випуску
певного обсягу продукції.
Ізокванта показує, що існує безліч
варіантів для виробництва даного обсягу продукції[10].
Отже, таким чином можна зробити
висновок, що обидві карти взаємопов’язані між собою, адже разом вони створюють
звязок між попитом і пропозицією. Одна із них характеризує споживача і інша
показує поведінку виробника та його виробництво, продукцію [ 11,c.203].
. Для багатьох виробничих процесів
той самий обсяг випуску може бути отриманий за різних комбінацій факторів
виробництва. Це означає, що фактори у визначеній мірі (частково або цілком) є
взаємозамінними.Нахил ізокванти називається нормою технологічної заміни фактора
праці фактором капіталу.
Гранична норма технологічної заміни
праці капіталом визначається величиною праці, що її може замінити одиниця
капіталу, не викликаючи при цьому зміни обсягу виробництва. Гранична норма
технологічного заміщення працею капіталу визначається за формулою: MRTSL,K=
.
. Мінімізація витрат - процес
досягнення фірмою таких обсягів використання ресурсів, коли вартість набору
ресурсів, необхідних для забезпечення певного обсягу випуску продукції буде
найменшою у порівнянні з вартістю всіх інших наборів ресурсів, які забезпечують
той самий обсяг випуску. Умова мінімізації витрат виробника за наявної
технології і заданих цінах ресурсів має вигляд:
MPL ∕ MPK = PL ∕ PK
де MPL, ,
МРК - граничні продукти відповідно праці і капіталу; PL PK -
ціна одиниці відповідного ресурсу.
Рис.3.1. Можливі конфігурації
ізоквант [3, c.101]
Лінійна ізокванта (рис.3.1, а) характеризує
досконалу, повну, абсолютну взаємозамінність виробничих факторів. У такому разі
випуск може бути отриманий за допомогою витрат або тільки праці (точка А), або
тільки капіталу (точка В), або з використанням будь-яких комбінацій того й
іншого факторів.
У разі жорсткої доповнюваності
факторів (рис. 3.1, б) праця і капітал комбінуються в єдино можливому
співвідношенні (K1, L1). Таку ізокванту називають лінійно-лімітаційною
ізоквантою або ізоквантою леонтьєвського типу, за ім’ям В. Леонтьєва, який
поклав цей тип ізокванти в основу розробленого ним методу “витрати-випуск”. Тут
випуск Q описується точкою з координатами L1K1, але, щоб показати, що за
фіксованого значення одного фактора (наприклад, L1) збільшення іншого понад
фіксований розмір (K1) не впливає на випуск, її заведено відображати у вигляді
прямого кута.
Ламана ізокванта (рис. 3.1, в)
описує випадок наявності лише кількох методів виробництва, що повною мірою
відповідає дійсності. На рисунку наведено різні способи виробництва
(технології: Т1, Т2, Т3), що характеризуються різними поєднаннями праці і
капіталу (Т1 ( L1; K1), Т2 (L2; K2), Т3( L3; K3)). Нахил променя показує
пропорцію застосування ресурсів (технологія Т1 капіталоінтенсивніша за Т2).
Ізокванта подібної конфігурації використовується в лінійному програмуванні
(метод економічного аналізу, розроблений нобелівськими лауреатами Т. Купмансом
і Л. Канторовичем).
Неперервна ізокванта (рис. 3.1, г)
характеризує заміщеність факторів у певних інтервалах, за межами яких заміщення
одного фактора іншим технічно неможливе або неефективне. Конфігурація такої
ізокванти допускає однорідність і необмежену подільність застосовуваних
факторів виробництва. Розміщення неперервної ізокванти відносно осей координат
визначається співвідношенням еластичностей випуску за факторами виробництва.
. Якщо капітал є змінним фактором
виробництва, то середній, граничний і загальний продукти праці напряму залежать
від його величини. Сукупний продукт змінного фактора зростає у міру того, як
збільшуються затрати капіталу. Однак це зростання затухаюче. Більше того,
настає момент, коли збільшення кількості капіталу не збільшує, а зменшує
загальні результати виробництва. Це означає, що виробничий процес перенасичений
капіталом, який не може ефективно використовуватися за даного обсягу праці.
Середній продукт буде збільшуватися
доти, поки граничний продукт буде більший за нього. Якщо до виробництва
залучається нова порція ресурсу, продуктивність якої більша за середню, то таке
залучення, звичайно, збільшить і середній показник. Навпаки, якщо гранична
продуктивність змінного фактора виявиться менше середньої, то нове залучення
зменшить середні показники. Тому свого максимального значення середній продукт
змінного фактора досягатиме в точці перетину кривих середнього та граничного
продуктів, тобто при АР = МР.
. Закон спадної віддачі, або спадної
граничної продуктивності, був сформульований англійським економістом Дейвидом
Рікардо ще на початку XIX ст. Він ґрунтується на тому факті, що взаємозв'язок
між змінним виробничим фактором і обсягом випуску продукції не означає, що
останній завжди зростає пропорційно до зростання змінного фактора. Найбільш
вагоме зростання загального продукту приносять початкові прирости змінного
фактора. Потім настає момент, після якого такі ж його прирости приносять щораз
менший ефект. Із часом можливою стає ситуація, коли приріст змінного фактора
призводить до зменшення загального обсягу випуску [12].
. Віддача від масштабу (ефект
масштабу) - це зміни економічної фективності за зростання масштабів виробничої
діяльності. Ефект масштабу може бути:
Позитивним (зростаючим) - коли
обсяг|обсяг| випуску продукції збільшується більшою мірою, чим витрати|затрати|
ресурсів (сума ступенів L та K більше 1 у виробничій функції Кобба-Дугласа,
тобто α+β
> 1).
Дана в моєму завданні виробнича
функція має вигляд Q = 6K0,7L0,3 .Щоб дізнатися ефект масштабу ми додаємо
степеневі показники 0,7+0,3=1. Відповідно наш ефект масштабу буде постійним.
Коефіцієнти c і d характеризують
технологію виробництва. Якщо c=0,3; d=0,7 то ефект масштабу буде постійним,
адже 0,3+0,7=1.
. Позитивний ефект від масштабу
відбувається коли при збільшенні розмірів організації і кількості продукції, що
випускається, витрати на одиницю продукції зменшуються. Звичайно пов'язаний з
поглибленням розподілу праці. Завдяки цьому ефекту дуже вигідним виявився
перехід від ручної праці до мануфактури і потім до конвеєра.
Негативний ефект від масштабу,
зворотний позитивному ефекту, при якому середні витрати збільшуються разом із
зростанням підприємства. Пов'язується з деякою втратою керованості.
Рис.3.2. Ефект масштабу в залежності
від середніх витрат
Говорячи про дію ефекту
масштабу, слід враховувати, що характер його обумовлений не дією закону спадної
віддачі (всі фактори є змінними) і не інтенсивністю використання якогось
фактора (припускає незмінність співвідношення факторів). Збереження незмінним
співвідношення факторів виробництва для будь-якого рівня випуску дозволяє
простежити прояв ефекту масштабу, аналізуючи карту ізоквант. Якщо при одній і
тій же пропорції збільшення обсягу факторів ізокванти зближуються, це свідчить
про позитивний ефект масштабу; якщо вони розходяться, то має місце негативний
ефект масштабу; якщо зберігають крок - постійний.
Рис.3.3. Відображення ефекту
масштабу за допомогою ізоквант [3, c. 115]
Рис.3.4. Криві загальних витрат в
короткостроковому періоді
Крива ТС в короткостроковому періоді
будується на основі кривої TVC, а її початкова точка знаходиться на рівні TFC
(рис. 3.4).
Рис.3.5. Крива загальних витрат в
довгостроковому періоді
Так як в довгостроковому періоді всі
витрати є змінними, то і крива загальних витрат LTC виходить з початку координат
(рис.3.5).
Рис.3.6. Криві середніх загальних,
середніх змінних та граничних витрат в короткостроковому періоді.
Рис.3.7. Побудова кривої
довгострокових середніх витрат
Так як у довгостроковому періоді всі
витрати стають змінними, то аналізується поведінка середніх сукупних витрат
(ATC) фірми. Відповідно і крива довгострокових середніх витрат будується на
основі кривих короткострокових загальних середніх витрат та граничних витрат у
короткостроковому періоді [3, c.94].
ВИСНОВКИ
Ринок є механізмом взаємодії
основних мікроекономічних суб’єктів - споживачів і фірм, завдяки якому
відбувається реалізація господарських рішень та їх оптимізація.
Основними ринковими змінними є попит, пропонування
та ціна, які формують ринковий механізм саморегулювання.
Ринкова ціна є складною функцією попиту і
пропонування.
Водночас попит і пропозиція виступають як
функції ціни.
Попит - це множина співвідношень цін і
відповідних кількостей товару.
Обсяг попиту - це конкретна кількість товару,
яку покупці бажають і можуть купити за деякий період часу за певного значення
ціни.
Пропозиція - характеризує можливість і бажання
продавця (виробника) пропонувати свої товари для реалізації її на ринку за
певними цінами.
Об'єм, величина пропозиції - це кількість
продукту (товару, послуг), яка продавець (виробник) бажає, може і здатний у
відповідності з наявністю або продуктивними можливостями запропонувати для
продажу на ринку протягом деякого періоду часу за певної ціни.
Закон попиту твердить, що між ціною і обсягом
попиту існує обернений зв'язок .
Закон пропонування полягає у тому, що між ціною
і обсягом пропонування існує прямий зв'язок.
Ціна є основним чинником попиту і пропозиції,
зміни ціни спричиняють зміни в обсягах попиту і пропозиції.
Нецінові чинники попиту і пропозиції спричиняють
зміни у попиті та пропозиції.
Взаємодія попиту і пропозиції визначає ринкову
рівновагу.
Ринкова рівновага - це стан ринку, за якого
обсяги попиту та пропозиції збігаються; не існує ні дефіциту, ні надлишку
продукції.
Ціна рівноваги - це ринкова ціна, за якої обсяг
попиту дорівнював обсягу пропонування. Це ціна, яка задовольняє і продавців, і
покупців, за цією ціною їхні інтереси співпадають.
Рівноважна ринкова ціна є основним індикатором,
який визначає поведінку покупців і спрямовує зусилля та ресурси виробників.
Рівновага окремого ринку певного товару
називається частковою рівновагою. Точка ринкової рівноваги є стійка.
За своєю природою ринковий механізм є механізмом
ліквідації дефіцитів та надлишків. Урядове втручання в ринкове ціноутворення,
відхилення цін від рівноважних призводить до розбалансування ринку.
Запровадження податків чи надання субсидій ведуть до зміни параметрів
рівноваги.
СПИСОК ЛІТЕРАТУРИ
Мікроекономіка
і макроекономіка: Підручник у двох частинах / [С.М. Будаговська, О.І. Кілієвич,
Т.М. Пахомова та ін.] ; заг. Ред. С. Будаговської. - [Вид.
3-тє.] - К.: Вид-во Соломії Павличко “Основи”, 2003.
Мікроекономіка:
[Підручник] / [За ред. В.Д. Базилевича]. - К.: Знання, 2007. - 677с. -
(Класичний університетський підручник).
Базілінська,
Олена Яківна
<http://194.44.242.243/cgi-bin/irbis64r_91/cgiirbis_64.exe?Z21ID=&I21DBN=BD1&P21DBN=BD1&S21STN=1&S21REF=3&S21FMT=fullwebr&C21COM=S&S21CNR=20&S21P01=0&S21P02=1&S21P03=A=&S21STR=%D0%91%D0%B0%D0%B7%D1%96%D0%BB%D1%96%D0%BD%D1%81%D1%8C%D0%BA%D0%B0,%20%D0%9E%D0%BB%D0%B5%D0%BD%D0%B0%20%D0%AF%D0%BA%D1%96%D0%B2%D0%BD%D0%B0>.
<http://194.44.242.243/cgi-bin/irbis64r_91/cgiirbis_64.exe?Z21ID=&I21DBN=BD1&P21DBN=BD1&S21STN=1&S21REF=3&S21FMT=fullwebr&C21COM=S&S21CNR=20&S21P01=0&S21P02=0&S21P03=M=&S21STR=>
Мікроекономіка [навч. посіб. для студ. вищ. навч. закл.] : / О. Я. Базілінська,
О. В. Мініна ; Чернігівський держ. технологічний ун-т. - Чернігів : ЧДТУ, 2004.
- 187 с.
Стеблій,
Галина Ярославівна
<http://194.44.242.243/cgi-bin/irbis64r_91/cgiirbis_64.exe?Z21ID=&I21DBN=BD1&P21DBN=BD1&S21STN=1&S21REF=3&S21FMT=fullwebr&C21COM=S&S21CNR=20&S21P01=0&S21P02=1&S21P03=A=&S21STR=%D0%A1%D1%82%D0%B5%D0%B1%D0%BB%D1%96%D0%B9,%20%D0%93%D0%B0%D0%BB%D0%B8%D0%BD%D0%B0%20%D0%AF%D1%80%D0%BE%D1%81%D0%BB%D0%B0%D0%B2%D1%96%D0%B2%D0%BD%D0%B0>.
<http://194.44.242.243/cgi-bin/irbis64r_91/cgiirbis_64.exe?Z21ID=&I21DBN=BD1&P21DBN=BD1&S21STN=1&S21REF=3&S21FMT=fullwebr&C21COM=S&S21CNR=20&S21P01=0&S21P02=0&S21P03=M=&S21STR=>Мікроекономіка
[навч. посібник для студ. вищ. навч. закладів] : / Г. Я. Стеблій ; Національний
банк України, Львівський банківський ін-т. - К. : Інкос : Центр навч. літ-ри,
2007. - 221 с.
Веріан,
Гел Р.
<http://194.44.242.243/cgi-bin/irbis64r_91/cgiirbis_64.exe?Z21ID=&I21DBN=BD1&P21DBN=BD1&S21STN=1&S21REF=3&S21FMT=fullwebr&C21COM=S&S21CNR=20&S21P01=0&S21P02=1&S21P03=A=&S21STR=%D0%92%D0%B5%D1%80%D1%96%D0%B0%D0%BD,%20%D0%93%D0%B5%D0%BB%20%D0%A0.>.
<http://194.44.242.243/cgi-bin/irbis64r_91/cgiirbis_64.exe?Z21ID=&I21DBN=BD1&P21DBN=BD1&S21STN=1&S21REF=3&S21FMT=fullwebr&C21COM=S&S21CNR=20&S21P01=0&S21P02=0&S21P03=M=&S21STR=>Мікроекономіка:
проміжний рівень. Сучасний підхід [підручник] : / Г. Р. Веріан ; пер. з англ.
С. Слухай. - 6-те вид. - К. : Видавництво "Лібра", 2006. - 632 с.
Міхов,
Леонід Іванович
<http://194.44.242.243/cgi-bin/irbis64r_91/cgiirbis_64.exe?Z21ID=&I21DBN=BD1&P21DBN=BD1&S21STN=1&S21REF=3&S21FMT=fullwebr&C21COM=S&S21CNR=20&S21P01=0&S21P02=1&S21P03=A=&S21STR=%D0%9C%D1%96%D1%85%D0%BE%D0%B2,%20%D0%9B%D0%B5%D0%BE%D0%BD%D1%96%D0%B4%20%D0%86%D0%B2%D0%B0%D0%BD%D0%BE%D0%B2%D0%B8%D1%87>.
<http://194.44.242.243/cgi-bin/irbis64r_91/cgiirbis_64.exe?Z21ID=&I21DBN=BD1&P21DBN=BD1&S21STN=1&S21REF=3&S21FMT=fullwebr&C21COM=S&S21CNR=20&S21P01=0&S21P02=0&S21P03=M=&S21STR=>Мікроекономіка
[навч. посібник] : / Л. І. Міхов, Л. Л. Кірова. - Донецьк : Юго-Восток, Лтд,
2006. - 310 с.
Кирилюк,
Є. М. <http://194.44.242.243/cgi-bin/irbis64r_91/cgiirbis_64.exe?Z21ID=&I21DBN=BD1&P21DBN=BD1&S21STN=1&S21REF=3&S21FMT=fullwebr&C21COM=S&S21CNR=20&S21P01=0&S21P02=1&S21P03=A=&S21STR=%D0%9A%D0%B8%D1%80%D0%B8%D0%BB%D1%8E%D0%BA,%20%D0%84.%20%D0%9C.>.
<http://194.44.242.243/cgi-bin/irbis64r_91/cgiirbis_64.exe?Z21ID=&I21DBN=BD1&P21DBN=BD1&S21STN=1&S21REF=3&S21FMT=fullwebr&C21COM=S&S21CNR=20&S21P01=0&S21P02=0&S21P03=M=&S21STR=>Мікроекономіка
[навчально-метод. посібник для вивчення дисципліни] : / Є. М. Кирилюк. -
Черкаси : Видавничий від. ЧНУ ім. Богдана Хмельницького, 2008.
Нарижна,
Людмила Дмитрівна
<http://194.44.242.243/cgi-bin/irbis64r_91/cgiirbis_64.exe?Z21ID=&I21DBN=BD1&P21DBN=BD1&S21STN=1&S21REF=3&S21FMT=fullwebr&C21COM=S&S21CNR=20&S21P01=0&S21P02=1&S21P03=A=&S21STR=%D0%9D%D0%B0%D1%80%D0%B8%D0%B6%D0%BD%D0%B0,%20%D0%9B%D1%8E%D0%B4%D0%BC%D0%B8%D0%BB%D0%B0%20%D0%94%D0%BC%D0%B8%D1%82%D1%80%D1%96%D0%B2%D0%BD%D0%B0>.
<http://194.44.242.243/cgi-bin/irbis64r_91/cgiirbis_64.exe?Z21ID=&I21DBN=BD1&P21DBN=BD1&S21STN=1&S21REF=3&S21FMT=fullwebr&C21COM=S&S21CNR=20&S21P01=0&S21P02=0&S21P03=M=&S21STR=>Мікроекономіка:
теорія виробництва [навч. посіб. для студ. екон. спец. вищ. навч. закл.] : / Л.
Д. Нарижна, Л. М. Пономарьова, В. Б. Мішура ; Донбас. держ. машинобуд. акад. -
Краматорськ : ДДМА, 2010. - 140 с.
Полтавченко,
Н. Д. <http://194.44.242.243/cgi-bin/irbis64r_91/cgiirbis_64.exe?Z21ID=&I21DBN=BD1&P21DBN=BD1&S21STN=1&S21REF=3&S21FMT=fullwebr&C21COM=S&S21CNR=20&S21P01=0&S21P02=1&S21P03=A=&S21STR=%D0%9F%D0%BE%D0%BB%D1%82%D0%B0%D0%B2%D1%87%D0%B5%D0%BD%D0%BA%D0%BE,%20%D0%9D.%20%D0%94.> <http://194.44.242.243/cgi-bin/irbis64r_91/cgiirbis_64.exe?Z21ID=&I21DBN=BD1&P21DBN=BD1&S21STN=1&S21REF=3&S21FMT=fullwebr&C21COM=S&S21CNR=20&S21P01=0&S21P02=0&S21P03=M=&S21STR=>Мікроекономіка
в питаннях та відповідях. Теорія і практикум [навч. посіб.] : / Н. Д.
Полтавченко. - О. : Фенікс, 2010. - 308 с.