Основные задачи математического моделирования
ФЕДЕРАЛЬНОЕ
АГЕНТСТВО ЖЕЛЕЗНОДОРОЖНОГО ТРАНСПОРТА ФИЛИАЛ ГОУ ВПО «УРАЛЬСКИЙ ГОСУДАРСТВЕННЫЙ
УНИВЕРСИТЕТ ПУТЕЙ СООБЩЕНИЯ»
в г. Нижнем
Тагиле
Кафедра: ОНД
Курсовая
работа по дисциплине:
Математические
модели вагонов и процессов
Тема:
Основные задачи математического моделирования
Проверил:
преподаватель
К.В.Курмаева
Выполнил:
студент
3 курса з/о
шифр
10 - В - 301
Н.С.Русаков
Нижний Тагил
г.
Содержание
Введение
. Общая постановка задачи линейного
программирования (ЛП)
. Приведение задачи линейного
программирования к стандартной форме
. Примеры экономических задач,
приводящихся к задачам ЛП
.1 Графический метод решение задач
ЛП
.2 Теоремы двойственности и их
использование в задачах ЛП
.3 Транспортная задача и её решение
методом потенциалов
. Метод аналитического представления
экспериментальных данных
.1 Интерполирование табличных
функций
.2 Эмпирические формулы табличных
функций
. Приложение
Заключение
Литература
Введение
Математическое моделирование - процесс
разработки, отладки, оперирования математическими моделями с целью получения
данных о свойствах объекта проектирования. В свою очередь математические модели
- совокупность математических выражений определяющих свойства объекта
проектирования: универсальность, экономичность, адекватность, точность.
Наиболее эффективное применение вычислительная
техника находит при проведении трудоемких расчетов в научных исследованиях. При
решении задачи основная роль принадлежит человеку, а машина выполняет роль по
разработанной программе. Основные этапы математического проектирования:
постановка задачи, которая определяет условия и конечную цель решения;
построение математической модели - формулировка задачи с помощью формул и
алгебраических (физических) законов; разработка численного метода - позволяет
свести задачу к некоторому вычислительному алгоритму; разработка алгоритма и
построение блок-схемы; анализ результатов. Процесс решения задачи записывается
в виде последовательности элементарных арифметических и логических операций,
приводящих к конечному результату.
Основное требование применяемое к математической
модели - она должна достаточно точно отражать характерные черты явления, вместе
с тем должна обладать сравнительно простой доступностью исследования.
Решения поставленной задачи производятся с
помощью численных методов. Для решения математических задач используются
следующие основные группы методов: графические - позволяют оценить порядок
искомой величины - решение находится путем геометрических построений;
аналитические - решение задачи удается выразить с помощью формул; численные -
основной инструмент для решения сложных математических задач, позволяют свести
решение задачи к выполнению конечного числа арифметических действий над
числами.
. Общая постановка задачи линейного
программирования (ЛП)
Задача линейного программирования (ЛП) состоит в
нахождении минимума (или максимума) линейной функции при линейных ограничениях.
Общая форма задачи имеет вид: найти
при
условиях
Где
Здесь и далее нам удобнее считать с и аі
вектор - строками, а x и b= (b1,...,bm) T-
вектор столбцами.
Наряду с общей формой широко используются также
каноническая и стандартная формы. Как в канонической, так и в стандартной форме
т.е. все переменные в любом допустимом решении
задачи должны принимать неотрицательные значения (такие переменные принято
называть неотрицательные в отличие от так называемых свободных переменных, на
область значений которых подобное ограничение не накладывается). Отличие же
между этими формами состоит в том, что в одном случае I2 = 0, а в
другом - I1 = 0.
Задача ЛП в канонической форме:
Задача ЛП в стандартной форме:
В обоих случаях А есть матрица размерности m x
n, i-я строка которой совпадает с вектором аi.
Задача ЛП в общей форме сводится (в определенном
смысле) к задаче ЛП в канонической (стандартной) форме. Под этим понимается
существование общего способа построения по исходной задаче (в общей форме) новой
задачи ЛП (в нужной нам форме), любое оптимальное решение которой
"легко" преобразуется в оптимальное решение исходной задачи и
наоборот. (Фактически, связь между этими задачами оказывается еще более
тесной). Тем самым мы получаем возможность, не теряя общности, заниматься
изучением задач ЛП, представленных либо в канонической, либо в стандартной
форме. Ввиду этого наши дальнейшие рассмотрения задач ЛП будут посвящены,
главным образом, задачам в канонической форме.
. Приведение задачи линейного программирования к
стандартной форме
Любая задача линейного программирования
приводится к стандартной (канонической) форме основной задачи линейного
программирования, которая формулируется следующим образом: найти
неотрицательные значения переменных X1, X2, Xn,
удовлетворяющих ограничениям в виде равенств:
11
X1 + A12 X2 + … + A1n Xn
= B1;21 X1 + A22 X2 + …
+ A2n Xn = B2;
……………………………………m1 X1
+ Am2 X2 + … + Amn Xn = Bm;
Xj
≥
0, j=1,…,n
и обращающих в максимум линейную функцию этих
переменных:
= C1 X1 + C2
X2 + … + Cn Xn Þ
max
При этом также требуется, чтобы правые части
равенств были неотрицательны, т.е. должны соблюдаться условия:
≥ 0, j=1,…,n
Приведение к стандартной форме необходимо, так
как большинство методов решения задач линейного программирования разработано
именно для стандартной формы. Для приведения к стандартной форме задачи
линейного программирования может потребоваться выполнить следующие действия:
перейти от минимизации целевой функции к ее
максимизации;
изменить знаки правых частей ограничений;
перейти от ограничений-неравенств к равенствам;
избавиться от переменных, не имеющих ограничений
на знак.
. Примеры экономических задач, приводящихся к
задачам ЛП
Задача о ресурсах, вариант №4
Предприятие выпускает два вида продукции А1
и А2, используя при этом три вида сырья S1,
S2,
S3.
Известны запасы сырья: S1
=
40ab +12 a2
(У.Е.)
, S2 =
56ab (У.Е.), S3
=
46ab +20 b2
(У.Е.).
Расход сырья вида S1
на
производство единицы продукции А1 составляет 2b+a
(У.Е.); на А2 составляет 2а (У.Е.). Расход сырья вида S2
на
производство единицы продукции А1 составляет 2b
(У.Е.); на А2 составляет 4а (У.Е.). Расход сырья вида S3
на
производство единицы продукции А1 составляет 2b
(У.Е.); на А2 составляет 2b+3a
(У.Е.). Доход от реализации единицы продукции А1 составляет 3b
(У.Е.), единицы продукции А2 составляет 2b+a
(У.Е.). При a=3; b=t+4;
t= № варианта.
Составить такой план производства продукции, при
котором доход будет максимальным.
.1 Графический метод решение задач ЛП
Решение
Обозначим x1
-
количество продукции А1, необходимой изготовить, x2
-
количество продукции А2, необходимой изготовить, a=3, b=4+4=8.
Составим таблицу:
|
Ресурсы
|
А1
|
А2
|
Объем
ресурсов
|
|
S1
|
2b+a=19
|
2а=6
|
40ab
+12 a2=1068
|
|
S2
|
2b=16
|
4а=12
|
56ab=1344
|
|
S3
|
2b=16
|
2b+3a=25
|
46ab
+20 b2=2384
|
|
Прибыль
|
3b=24
|
2b+a=19
|
|
На основе данной таблицы составим систему и
целевую функцию вида:



……………………


- max, прибыль от

реализации всей продукции.
16x1 + 25x2 ≤
2384
Решим задачу графическим методом.
Для этого построим график
(приложение 1), три прямые из
системы:

|
|
0
|
56,2
|
|
|
178
|
0
|

|
|
0
|
112
|
|
|
84
|
0
|
16x1 + 25x2 =
2384
|
|
0
|
146,7
|
|
|
93,9
|
0
|
Пересечение прямых образует четырехугольник: OABC
который является решением системы ограничений.
Целевая функция fx=24х1+19x2
достигает наибольшего значения (max)
в одной из вершин этого четырехугольника (B),
поэтому для ответа на поставленный вопрос необходимо найти координаты
пересечения прямых y1 и y2.
Координаты пересечения прямых y1
и y3 найдем, решая
систему уравнений:

/ х 6

/ х 12
х1 + 72х2
=8064
х1 + 72х2
=12816
-132х1 = -4752
х1 = -4752 / -132 х2 =
(1068- 19х1 ) / 6
х1 = 36 х2 = 64
Таким образом, функция fx=24х1+19x2
принимает максимальное значение в точке (36; 64), отсюда можно сделать
вывод, что доход будет максимальным при выпуске продукции А1=36 у.е
и А2=64 у.е.
При этом максимально возможная прибыль составит:
f(X
max) = f
(36; 64) =24 · 36+19 · 64 = 2080 ( У.Е.)
При этом на выполнение данного плана потребуется
ресурсов:
S1 -
19·36+6·64= 1068 - израсходуется полностью
S2 -
16·36+12·64= 1344 - израсходуется полностью
S2 -
16·36+25·64= 2176 - останется 208 ( У.Е.)
.2 Теоремы двойственности и их использование в
задачах ЛП
Каждой задаче линейного программирования можно
определенным образом сопоставить некоторую другую задачу (линейного
программирования), называемую двойственной или сопряженной по отношению к
исходной или прямой задаче. Дадим определение двойственной задачи по отношению
к общей задаче линейного программирования, состоящей, как мы уже знаем, в
нахождении максимального значения функции.
Задача: В условиях предыдущей задачи, найти
двойственные оценки цен на сырьё, из решения двойственной задачи по теореме
двойственности.
Чтобы составить двойственную задачу составим
расширенную матрицу:
:=
Транспонируем матрицу и сформулируем
двойственную задачу:
:=
y1 ≥02 ≥03
≥0
y1 + 16y2 +16y3
≥24
(y)=
1068y1
+1344y2
+2384y3
®min
·36+6·64 = 1068 - следовательно, y1>0
·36+12·64 = 1344 - следовательно, y2>0
·36+25·64 = 2176 - меньше 2384, следовательно y3=0
Найдем y1
;
y2
19 y1
+16y2
+0
= 24 / х 6 = 114 y1
+96
y2 =
144
6 y1 +12y2 +0 =
19 / х 19 =
114 y1 +228 y2 = 361
-132 y2
=
- 217
-132 y2
=
- 217
y2 =
-217 / -132 = 1,6439393939393939393939393939394;
y1 =
-0.121212121212121212121212121213
Проверим правильность найденного решения,
найденные значения подставим в целевую функцию.
g(y)= 1068y1 +1344y2 +2384y3 = 1068 ·
(-0.12121212121212121212121212121213) + 1344· 1.6439393939393939393939393939394
+ 2384· 0 = 2080 (у.е.)
Ответ: y1 =
-0.1212121212121213(у.е); y2 =1.643939393939394(у.е);
y3 = 0(у.е.) ,
увеличение запаса сырья вида S3 , прибыли
не увеличит.
.3 Транспортная задача и её решение
методом потенциалов
Транспортная задача ставится
следующим образом: имеется m пунктов отправ- ления А1, А2, ..., Am. B которых
сосредоточены запасы каких-то однородных грузов в количестве соответственно a1,
а2, ..., аm единиц. Имеется n пунктов назначения B1, В2, …, Вn подавшие заявки
соответственно на b1, b2, ..., bn единиц груза. Известны стоимости Сi,j
перевозки единицы груза от каждого пункта отправления Ai до каждого пункта
назначения Bj. Все числа Сi,j, образующие прямоугольную таблицу заданы.
Требуется составить такой план перевозок (откуда, куда и сколько единиц
поставить), чтобы все заявки были выполнены, а общая стоимость всех перевозок
была минимальна.
Рассмотрим решение «закрытой
транспортной задачи», т.е. когда сумма всех заявок равна сумме всех запасов.
Решение транспортной задачи методом
потенциалов.
Для того, чтобы некоторый допустимый
план X={xi,j}m.n транспортной зада- чи был оптимальным необходимо и достаточно,
чтобы ему соответствовала система из m+n чисел U1, U2, ..., Um; V1, V2, ...,
Vn, удовлетворяющих условиям Vj-Ui<=Cij (i=1,m; j=1,n) (1), а для всех Xij>0
имело бы место строгое равенство Vj-Ui=Cij. Числа Ui, Vi называются
потенциалами соответственно пунктов отправления, а условия (1) (2) называются
условиями потенциальности системы.
Теорема.
Для оптимальности плана транспортной
задачи необходимо и достаточно, чтобы он был потенциальным. Алгоритм метода
потенциалов состоит из предварительного и повторяющегося общего шага.
Предварительный план состоит из
следующих операций: составление первоначального ациклического плана перевозок;
построение для полученного плана системы m+n чисел U1 ,U2, ..., Um; V1, V2, …,
Vn таких, чтобы выполнялись условия Vj-Ui=Cij для всех базисных клеток;
проверка построенной системы на потенциальность.
Если система нe потенциальна, т.е.
план Х не оптимален, переходим к об- щему шагу.
Общий шаг повторяется до тех пор,
пока система не станет потенциальной.
Он состоит из следующих операций:
улучшение плана, т.е. замена плана Х новым планом X' со стоимостью перевозок,
не превышающей стоимость плана X; построение для X' новой системы потенциалов
U'i, V'j путем перестроения старой; проверка системы U'i, V'j на
потенциальность.
Предложенный алгоритм сходится за
конечное число шагов.
Составление опорного плана.
Решение транспортной задача
начинается с нахождения опорного плана. Для этого существуют различные способы.
Например, способ "северо-западного угла", способ минимальной
стоимости по строке, способ минимальной стоимости по столбцу и способ
минимальной стоимости таблицы.
Способ "северо-западного
угла".
Будем заполнять таблицу перевозками
постепенно начиная с левой верхней ячейки (“ceвеpo-западного” угла таблицы).
Будем рассуждать при этом следующим образом. пункт B1 подал заявку на 18 единиц
груза. Удовлетворим эту заявку за счёт запаса 48, имеющегося в пункте A1 , и
запишем перевозку 18 в клетке (1:1). После этого заявка пункта B1
удовлетворена, а в пункте A1 осталось ещё 30 единиц груза. Удовлетворим засчёт
них заявку пункта В2, (27 единиц), запишем 27 в клетке (1: 2); оставшиеся 3
единицы пункта а1 назначим пункту В3. В составе заявки пункта В3 остались
неудовлетворенными 39 единиц. Из них 30 покроем за счет пункта А2, чем его
запас будет исчерпан, и еще 9 возьмём из пункта Аз. Из оставшихся 18 единиц
пункта Аз 12 выделим пункту В4; оставшиеся 6 единиц назначим пункту В5, что
вместе со всеми 20 единицами пункта А4 покроет его заявку. За этом
распределение запасов закончено; каждый пункт назначения получил груз согласно
своей заявки. Это выражается в том, что сумма перевозок в каждой строке равна
соответствующему запасу, а в столбце - заявке. Таким образом, нами сразу же
составлен план перевозок, удовлетворяющий балансовым условиям. Полученное
решение является опорным решением транспортной задачи:
Задача.
На станциях
сосредоточен
однородный груз в количестве
единиц груза, который требуется
перевезти на станции назначения
в соответствии с заявками каждой
станции
единиц
груза. Известны затраты на перевозку единицы груза с любой станции
на любую
станцию
.
Требуется составить такой план
перевозок, чтобы весь груз был вывезен, все заявки были удовлетворены, а
суммарные затраты были бы минимальны.
Таблица 1. Запасы и заявки на
станциях - участников процесса перевозок.
|
Запасы
|
Заявки
|
|
      
|
|
|
|
|
|
|
|
|
30
|
28
|
22
|
18
|
14
|
19
|
12
|
17
|
Таблица 2. Стоимость перевозки единицы груза
|
             
|
|
|
|
|
|
|
|
|
|
|
|
|
|
|
|
12
|
10
|
9
|
7
|
6
|
3
|
5
|
11
|
13
|
3
|
10
|
8
|
3
|
8
|
2
|
Решение.
Стоимость доставки единицы груза из каждого
пункта отправления в соответствующие пункты назначения задана матрицей тарифов
|
    Запасы
|
|
|
|
|
|
|
121097630
|
|
|
|
|
|
|
|
351113328
|
|
|
|
|
|
|
|
10838222
|
|
|
|
|
|
|
|
Заявки
|
18
|
14
|
19
|
12
|
17
|
|
Проверим необходимое и достаточное
условие разрешимости задачи:
,
.
Используя метод наименьшей
стоимости, построим первый опорный план транспортной задачи.
|
    Запасы
|
|
|
|
|
|
|
12[4]
10[14] 9[12] 7630
|
|
|
|
|
|
|
|
[18]
3[10] 51113328
|
|
|
|
|
|
|
|
108[5]
38[17] 222
|
|
|
|
|
|
|
|
Заявки
|
18
|
14
|
19
|
12
|
17
|
|
В результате получен первый опорный
план
, который
является допустимым, так как все грузы из баз вывезены, потребность магазинов
удовлетворена, а план соответствует системе ограничений транспортной задачи.
Подсчитаем число занятых клеток таблицы, их 7, а должно быть
.
Следовательно, опорный план является невырожденным.
Проверим оптимальность опорного
плана. Найдем предварительные потенциалы
по занятым клеткам таблицы, в
которых
, полагая,
что
.
Опорный план не является
оптимальным, так как существуют оценки свободных клеток, для которых
. Выбираем
максимальную оценку свободной клетки (1;5): 6. Для этого в перспективную клетку
(1;5) поставим знак «+», а в остальных вершинах многоугольника чередующиеся
знаки «-», «+», «-».
12[4] 10[14]
9
[-][12]
76
|
[+]30
|
|
|
|
|
|
|
|
[18]
3[10] 51113328
|
|
|
|
|
|
|
108[5] 3
[+]8[17]
2
|
[-]22
|
|
|
|
|
|
|
|
Заявки
|
18
|
14
|
19
|
12
|
17
|
|
Из грузов
, стоящих в
минусовых клетках, выбираем наименьшее, то есть
.
|
1
|
2
|
3
|
4
|
5
|
Запасы
|
|
1
|
12
|
[4]10
|
9
|
[12]7
|
[14]6
|
30
|
|
2
|
[18]3
|
[10]5
|
11
|
13
|
3
|
28
|
|
3
|
10
|
8
|
[19]3
|
8
|
[3]2
|
22
|
|
Заявки
|
18
|
14
|
19
|
12
|
17
|
|
Прибавляем 14 к объемам грузов
, стоящих в
плюсовых клетках и вычитаем 14 из
, стоящих в минусовых клетках. В
результате получим новый опорный план.
Проверим оптимальность опорного плана.
Найдем предварительные потенциалы
по занятым клеткам таблицы, в
которых
, полагая,
что
.
линейный
программирование транспортный задача
Опорный план
является
оптимальным, так все оценки свободных клеток удовлетворяют условию
.
Минимальные затраты составят:
.
Оптимальный план предписывает из
цеха А1 перевозить на склад B2 4 единицы
груза, на склад B4 12 единиц
груза, на склад B5 14. Из
цеха А2 перевозить на склад B1 18 единиц
груза, на склад B2 10 единиц
груза. Из цеха А3 перевозить на склад B3 19 единиц
груза, на склад B5 3 единицы
груза.
. Метод аналитического представления
экспериментальных данных
Первоначально, исследование любого объекта
начинается с накопления информации, как правило экспериментальным путем. Этот
этап математического моделирования называется математической обработкой
экспериментальных данных. Изучим описание этих данных в аналитическом виде ( с
помощью математических формул).
Допустим, исследуется экспериментальными
методами, зависимость между двумя величинами x
и y. Любой опыт может
быть поставлен конечное число раз, это означает что из эксперимента связь между
указанными величинами может быть известна в виде конечного количества пар их
числовых значений.
Пусть в ходе эксперимента изменили величину Х и
измерили зависимость от этих изменений величину Y.
Эту зависимость можно рассматривать как функцию y=y(x),
значение которой известны только при конечном количестве изолированных значений
аргумента X, т.е. как функцию
заданную в виде таблицы:
|
x
|
x0
|
x1
|
…
|
xn-1
|
xn
|
|
y
|
y0
|
y1
|
…
|
yn-1
|
yn
|
Для построения математической модели объекта
иследователю неоходимо научиться определять значения функций, заданной таблично
при значения аргумента не входящих в эту таблицу. Наилучший способ это сделать
- найти аналитическое выражение для зависимости y=y(x).
Геометрически, это означает, найти кривую y=y(x)
проходящую через заданную систему точек (Xi;
Yi) i=0,
n.
Y
0 X
В этом случае можно получить значения функции
для любых значений аргумента Х, взятых из области определения функции.
Функцию, в аналитическом виде удобно
исследовать, т.е. можно использовать обширный аппарат математического анализа.
(дифференцировать, интегрировать)
В инженерной практике существует два подхода к
этой задаче:
.Построение интерполяционного многочлена.
. Построение эмпирической формулы, по методу
наименьших квадратов.
.1 Интерполирование табличных функций
Пусть функция y=y(x)
заданная в виде таблицы (1), требуется найти значения функции при значениях
аргумента не входящих в таблицу, с определенной степенью точности. Будем
подбирать функцию Φ(x),
приближающую табличную функцию y(x)
так , чтобы в точках Хi
она
принимала те же значения что и yi,
(как исходная функция).
Этот процесс называется интерполяцией. Функция Φ(x),
называется интерполирующей функцией.
Табличные значения аргументов x0,
x1, x2,
….
xn, (n+1)называются
узлами интерполяции.
Чаще всего интерполирующую функцию ищут в виде
интерполяционного многочлена. Многочленом (полиномом) n-ой
степени, от неизвестной x
называется функция вида:
n(x)
= a0 + a1x+ a2x2+….. + an
· xn (2)
Действительные числа a0,
a1,
a2…..
an
-
называются коэффициентами многочлена, их количество на единицу больше, чем его
порядок (степень).
Многочлен нулевой степени:
0(x)
= a0 (const)
Многочлен первой степени:
1(x)
= a0 +
a1x
- линейная функция
Многочлен второй степени:
2(x)
= a0 +
a1x+
a2x2
- квадратичная функция
Интерполяционным многочленом называется
многочлен, коэффициент которого выбрали таким образом, чтобы значение
многочлена в узлах таблицы, в точности совпадали со значениями табличной
функции.
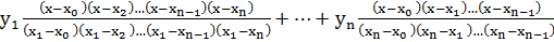
Интерполяционный многочлен в форме Лагранжа.
Применяется для интерполирования табличных
функций, с небольшим количеством узлов, этот многочлен составляют на основе
таблицы (1), по формуле:
+
(3)
Многочлен Лагранжа может быть составлен если в
таблице (1) нет одинаковых аргументов, в противном случае, в одном из
знаменателей окажется нулевой сомножитель. Каждое слагаемое в правой части
формулы (3), представляет собой многочлен в степени n,
следовательно и сам многочлен Лагранжа является многочленом n
- ой степени.
Задание
Для функции, заданной таблицей,
составить интерполяционный многочлен Лагранжа. С его помощью найти приближенное
значение функции в точке
.
|
|
|
|
0.920.991.16
|
|
|
|
Решение

;
с помощью полученного многочлена,
можно получить приближенное значение функции y=y(x), при любом
значении x, из
промежутка для которого составлена таблица [2.5; 3.2].
Ответ:
Интерполяционный многочлен в форме
Ньютона.
Существует несколько разновидностей многочленов
Ньютона.
n(x) = С0
+ С1(x - x0) + C2(x - x0) (x - x1)
+ ...+ Cn(x - x0)(x - x1) ... (x - xn-1) (4)
Сi(i =0, n),
где Сi -
коэффициенты которые определяются из условий совпадения значений многочлена в
узлах интерполяции с соответствующими значениями таблицы функции.
n(xi)= yi
Формула (4) называется
интерполяционным многочленом Ньютона для интерполирования вперед. Его применяют
когда требуется вычислить значения от аргументов близких к x0.
Если нужно вычислить значения
функции для аргумента находящегося вблизи xn , то
используют многочлен Ньютона для интерполирования назад.
n(x) = С0
+ С1(x - xn) + C2(x
- xn) (x - xn-1) + ...+ Cn(x
- xn)(x - xn -1)· ... ·(x - x2)( x - x1)
(5)
Интерполяционный многочлен Ньютона
при равноотстоящих узлах.
Пусть функция y=y(x) задана
таблицей (1), предположим что разность между любыми соседними значениями
аргумента есть постоянное число, называемое шагом таблицы, с обозначением:
=Δ=xi+1-xi
, где
i=0,…n-1.
Разность между значениями функции в
соседних узлах интерполяции, называется разностями первого порядка:
Δyi=yi+1-yi
, где
i=0,…n-1.
Разностями второго порядка,
называются разности полученные из разностей первого порядка, в соседних узлах
интерполяции:
Δ2
yi=yi+1-yi , где i=0,…n-1.
Разностями порядка m называются разности
полученные из разностей порядка m -1, в соседних узлах интерполяции.
Δm
yi=Δm-1·yi-1-
Δm+1·yi
, где
I =0 , …, n-m.
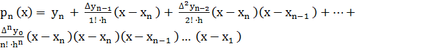
С учетом этого многочлен Ньютона,
для интерполирования вперед (4) примет вид:
(4.1)
Многочлен Ньютона для
интерполирования назад (5) примет вид:
(6)
Для ее записи используются данные
записанные из таблицы (7)
|
xi
|
yi
|
Δyi
|
Δ2
yi
|
Δ3
yi
|
Δ4
yi
|
|
x0
|
y0
|
Δy0=y1-y0
|
Δ2y0=Δy1-y0
|
Δ3y0=
Δ2y1-y0
|
Δ4y0=
Δ3y1-y0
|
|
x1
|
y1
|
Δy1=y2-y1
|
Δ2y1=Δy2-y1
|
Δ3y1=Δ2y2-y1
|
|
|
x2
|
y2
|
Δy2=y3-y2
|
Δ2y2=Δy3-y2
|
|
|
|
x3
|
y3
|
Δy3=y4-y3
|
|
|
|
|
x4
|
y4
|
|
|
|
|
(табл.7)
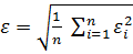
Интерполирование с заданной точностью.
Пусть задана функция в виде таблицы (1), с
большим количеством равноотстоящих узлов. Требуется найти значение функции y(x),
при промежуточном значении аргумента
с
заданной точностью ε нужно:
) В каждое слагаемое найденного Pn(x),
в место x подставить
,
вычислить.
) При вычислении суммы, отбросить те слагаемые,
которые меньше заданной точности.
Задание
В условиях предыдущей задачи, построить
многочлен Ньютона и чертеж (приложение 2).
|
2.52.73.2
|
|
|
|
|
0.920.991.16
|
|
|
|
Ответ:
Задание
Функция
задана
таблицей. Требуется составить многочлены Ньютона для интерполирования вперед и
назад. С их помощью вычислить значения функции в точках
и
с
погрешностью не более чем 0.005.
|
0.10.20.30.40.50.60.70.80.91.0
|
|
|
|
|
|
|
|
|
|
|
|
0.1000.1990.2960.3890.4790.5650.6440.7390.8440.965
|
|
|
|
|
|
|
|
|
|
|
Решение
)
|
   
|
|
|
|
|
|
0.1
|
0.100
|
0.099
|
-0.002
|
-0.002
|
|
0.2
|
0.199
|
0.097
|
-0.004
|
0.001
|
|
0.3
|
0.296
|
0.093
|
-0.003
|
-0.001
|
|
0.4
|
0.389
|
0.09
|
-0.004
|
-0.003
|
|
0.5
|
0.479
|
0.086
|
-0.007
|
0.023
|
|
0.6
|
0.565
|
0.079
|
0.016
|
-0.006
|
|
0.7
|
0.644
|
0.095
|
0.010
|
0.006
|
|
0.8
|
0.739
|
0.105
|
0.016
|
|
|
0.9
|
0.844
|
0.121
|
|
|
|
1.0
|
0.965
|
|
|
|
)
Ответ: 

.2 Эмпирические формулы табличных
функций
Требуется подобрать формулу
приближенно описывающую функциональную зависимость
заданную
этой таблицей. При этом не требуется чтобы приближающая функция в узлах
интерполяции совпадала с табличными значениями yi , но не
далеко отклонялась от них, кроме этого ее аналитическая формула не должна
одержать большое количество параметров, а их количество не должно зависеть от
количества табличных точек. Всем этим требованиям удовлетворяет эмпирическая
формула.
Задача отыскания эмпирической
формулы для табличной функции, состоит из следующих этапов:
. Определение вида эмпирической
формулы.
Реализация этого этапа начинается с
построения в прямоугольно-декартовой системе координат, точечного графика
функции, по исходным данным таблицы (1). Затем, построенный точечный график,
сравнивается с различными кривыми, графики которых известны (линейных,
квадратичных, показательных, логарифмических и д.р.) Это дает основание для
выбора возможного типа формул.
Например, по результатам таблицы
(эксперимента) получен точечный график.
Y
0 X
Эту зависимость можно попытаться описать:
а) y=a0
+ a1x
+ a2x2
-
уравнение параболы
б) y=a0
+
- уравнение гиперболы
в) y=a0
+ ebx
,
b<0 -
показательная функция
В формуле (а) три неизвестных параметра (a0
a1 a2
),
в остальных по два. Таким образом, у поставленной задачи может быть несколько
решений, начинать исследование нужно всегда с более простой формулы. При
рассмотрении графика всегда следует иметь в виду, что при использовании
эмпирической формулы используется лишь часть кривой, которая соответствует
интервалу изменения аргумента х.
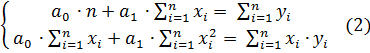
) Определение параметров эмпирической формулы,
методом наименьших квадратов.
Метод наименьших квадратов позволяет подобрать
оптимальные значения параметров эмпирической формулы таким образом, чтобы сумма
квадратов, всех уклонений значений эмпирической формулы, от опытных данных была
бы наименьшей.
Пусть эмпирическая формула является линейной
функцией y=a0
+ a1x
(1) Для определения неизвестных параметров, составляется система линейных
алгебраических уравнений (СЛАУ).
Где n
- количество узлов в исходной таблице данных. Для составления системы вида (2),
на практике обычно составляют таблицу вида:
|
i
|
xi
|
yi
|
|
|
(xi
a0 a1)
|
εi
|
|
|
1
|
x1
|
y1
|
|
|
(xi
a0 a1)
|
ε1
=y1-
|
=(y1-
|
|
2
|
x2
|
y2
|
|
|
(xi
a0 a1)
|
ε2
=y2-
|
=(y2-
|
|
…
|
…
|
…
|
…
|
…
|
…
|
…
|
…
|
|
n
|
xn
|
yn
|
|
|
(xi
a0 a1)
|
εn
=yn-
|
=(yn-
|
|
Σ
|
|
|
|
|
|
|
|
(табл. 3)
и 3 столбцы - исходные данные
В табл.3 сначала заполняют первые 5 столбцов,
последняя строка которых содержит коэффициент системы (2), по этим данным
записывается система (2), затем по формулам Крамера из системы определяется
значение параметров a0
,
a1.
Далее заполняется 6-ой столбец таблицы: при заданных значениях хi
,
при найденных параметрах a0
a1 ,
вычисляется значение линейной функции. В 7-ом столбце находятся разности между
табличными значениями функции (3 столб.) и значениями эмпирической формулы (6
столб.) Последний столбец таблицы
-
все значения ε возведенные в
квадрат.
Три последних столбца таблицы (3), заполняются
для вычисления среднеквадратичного уклонения (СКУ), которое определяется по
формуле:
(4)
Оценка точности эмпирической формулы.
Для оценки точности эмпирической формулы
используется понятие (СКУ) среднеквадратичного уклонения. СКУ показывает
среднюю величину уклонения опытных значений исследуемой зависимости, от
расчетных, полученных по эмпирической формуле. Каждое измерение в эксперименте,
всегда проводится с некоторой погрешностью и табличные значения функции
отличаются от истинных. Одной из задач построения эмпирической формулы,
является сглаживание случайных погрешностей измерения, путем подбора такой
зависимости между (x) и (y),
которая наилучшим образом приближает не только исходные но и промежуточные
значения.
Величину СКУ используют для определения
пригодности эмпирической формулы. Если ее значение приблизительно равно
погрешности экспери- ментальных данных и число параметров много меньше точек в
таблице, то эмпирическая формула может использоваться.
Способы сведения сложных эмпирических формул к
линейным.
Если зависимость между (x)
и (y) не является
линейной или квадратичной, то для подбора оптимальных параметров эмпирической
формулы, переходят с помощью соответствующей замены переменных, к линейной или
квадратичной функции. Неизвестные параметры определяются по методу наименьших
квадратов. После этого возвращаются к исходным переменным. Оценка точности
полученной эмпирической формулы, определяется по значению (СКУ), которое
вычисляется для исходного вида эмпирической формулы.
Пример сложных эмпирических формул и их
преобразования.
) y(x)
= a·xb
-
степенная функция, неизвестные параметры (a)
и (b). Для их
нахождения прологарифмируем обе части выражения.
Ln
y = ln
(a·xb)
Ln y = ln a · ln xby = ln
a + b· ln x
Y
A X
=A+b·X
- преобразовали к линейной функции, для нее СЛАУ будет иметь вид:
где неизвестные (А и b),
столбцы для таблицы (3) - i,
xi, yi,
Xi=ln
xi, Yi=ln
yi,
,
Xi
·
Yi . Систему решим по
формулам Крамера. Находим (А и b).
Зная (А), учитывая формулу A
= ln a
, находим a = eA
.
Задание
При проведении опыта получена таблица значений
двух величин. Задана эмпирическая формула, которая в пределах опыта достаточно
точно определяет зависимость между ними.
Требуется, используя метод наименьших квадратов,
найти параметры эмпирической формулы, вычислить среднеквадратическое уклонение
и построить на одном чертеже графики эмпирической и табличной зависимости.
В таблице приведены результаты наблюдений за n-
числом групп вагонов, поступающих на данный путь сортировочного парка станции,
от m - числа вагонов в
группе:
|
m
|
2
|
4
|
6
|
8
|
10
|
12
|
|
n
|
40
|
21
|
13
|
7
|
9
|
2
|
Эмпирическая формула: n
= ae -bm
1. Прологарифмируем заданную
нелинейной зависимость
. Проведем
замену
и перейдем к
линейной зависимости
. Используя
исходную таблицу с данными mi, ni составим
для неё таблицу значений mi , Ni для линейной
зависимости.
|
m
|
|
2
|
4
|
6
|
8
|
10
|
12
|
|
N
|
|
3.689
|
3.045
|
2.565
|
1.946
|
2.197
|
0.693
|
2. Возьмем прямоугольную систему координат,
построить точки (mi
,
Ni
)
из таблицы линейной зависимости (приложение 3).
Как видно точки (mi
,
Ni
)
располагаются вдоль некоторой прямой.
. Найдем методом наименьших квадратов
коэффициенты в линейной зависимости.
Продифференцировав функцию S по b и A , получим
систему уравнений:

Т.о. N=4.170-0.259m
. Найдем уклонения эмпирической
зависимости от значений исходной таблицы εi = f(m) - ni , i= 1,2 .., 6.
|
ε
|
1.449
|
-1.965
|
-0.681
|
-1.150
|
4.145
|
-0.892
|
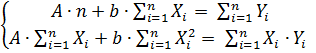
Вычислим среднеквадратичное уклонение:
Вывод: найденное значение СКУ
определяет пригодность нашей эмпирической формулы, т.к. ее значение
приблизительно равно погрешности экспериментальных данных.
Построим график эмпирической формулы и на этом
же чертеже нанесем точки (mi
; ni
)
исходной таблицы (приложение 4).
Индивидуальное задание
По результатам наблюдений, проведенным на
железнодорожной станции, составлена таблица зависимости времени расформирования
составов на сортировочной горке от числа вагонов в составе:
Требуется найти зависимость времени
расформирования t (мин) от
числа вагонов m, в виде трех
формул:
t = am+b;
;
t = am2+bm+c .
Вычислить среднеквадратичные уклонения (СКУ) и
выбрать наиболее подходящую эмпирическую формулу. Построить графики
эмпирических зависимостей вместе с точками исходной таблицы. Написать вывод о
пригодности эмпирической формулы по значению СКУ.
|
m - количество
вагонов в составе
|
|
20
|
24
|
28
|
32
|
36
|
40
|
44
|
48
|
52
|
56
|
|
t(мин) - время
расформирования состава
|
|
5,3
|
6,5
|
7,8
|
9,5
|
11,6
|
14,1
|
17,1
|
20,0
|
21,5
|
23,2
|
) = am+b;
. Т.к. зависимость линейная
преобразования не требуются.
. Найдем методом наименьших квадратов
коэффициенты в линейной зависимости.
Продифференцировав функцию S по b и a ,
получим систему уравнений:


Т.о. t=0.53m-6.48
. Найдем уклонения эмпирической
зависимости от значений исходной таблицы
εi = f(m) - yi , i= 1,2 ..,
10.
|
ε
|
4.2
|
6.3
|
8.4
|
10.5
|
12.7
|
14.8
|
16.9
|
19.0
|
21.1
|
23.3
|
4. Вычислим среднеквадратичное уклонение:
. Построим график
эмпирической формулы и на этом же чертеже нанесем точки (mi ; ti ) исходной
таблицы (приложение 5).
b)
;
1. Перейдем с помощью преобразования
от заданной
нелинейной зависимости к линейной
. Используя исходную таблицу с
данными mi , ti составим
для неё таблицу значений Mi , ti для линейной
зависимости.
|
M
|
|
0.05
|
0.04
|
0.035
|
0.031
|
0.025
|
0.023
|
0.021
|
0.019
|
0.018
|
|
t
|
|
5,3
|
6,5
|
7,8
|
9,5
|
11,6
|
14,1
|
17,1
|
20,0
|
21,5
|
23,2
|
2. Возьмем прямоугольную систему координат,
построим точки (Mi
;
ti
)
из таблицы линейной зависимости (приложение 6).
Как видно точки (Mi
,
ti
)
располагаются вдоль некоторой прямой.
. Найдем методом наименьших квадратов
коэффициенты в линейной зависимости.
Продифференцировав функцию S по b и a ,
получим систему уравнений:


Т.о. t=-587,44M+30,695
. Найдем уклонения эмпирической
зависимости от значений исходной таблицы εi = f(m) - yi , i= 1,2 ..,
10.
|
ε
|
-3,98
|
-0,28
|
1,92
|
2,84
|
2,78
|
1,91
|
0,24
|
-1,54
|
-2,10
|
-3,00
|
Вычислим среднеквадратичное уклонение:
Построим график эмпирической формулы
и на этом же чертеже нанесем точки (mi ; ti ) исходной
таблицы (приложение 7).
c) t
= am2+bm+c
. Найдем методом наименьших квадратов
коэффициенты в полиномиальной зависимости.
Продифференцировав функцию S по с, b и a ,
получим систему уравнений:

Т.о. t
= 0.004m2+0.235m-1.474
. Найдем уклонения эмпирической зависимости от
значений исходной таблицы εi
=
f(m)
- yi
,
i= 1,2 .., 10.
|
ε
|
0.474
|
0.03
|
0.442
|
0.642
|
0.57
|
0.226
|
0.49
|
0.978
|
0.062
|
1.03
|
4. Вычислим среднеквадратичное
уклонение:
. Построим график
эмпирической формулы и на этом же чертеже нанесем точки (mi ; ti ) исходной
таблицы (приложение 8).
Вывод: найденное значение СКУ определяет
пригодность нашей эмпирической формулы, т.к. ее значение (0,589) ближе к
значению погрешности экспериментальных данных (0,1), чем (0,74 и 2,34) таким
образом, наиболее подходящая эмпирическая формула это
= 0.004m2+0.235m-1.474
Заключение
Особую роль в науке играют математические
модели, строительный материал и инструменты этих моделей - математические
понятия. Они накапливались и совершенствовались в течении тысячелетий.
Современная математика дает исключительно мощные и универсальные средства
исследования. Практически каждое понятие в математике, каждый математический
объект, начиная от понятия числа, является математической моделью. При
построении математической модели, изучаемого объекта или явления выделяют те
его особенности, черты и детали, которые с одной стороны содержат более или
менее полную информацию об объекте. Построение математической модели - это
центральный этап исследования или проектирования любой системы. От качества
модели зависит весь последующий анализ объекта. Построение модели - это
процедура не формальная. Сильно зависит от исследователя, его опыта и вкуса,
всегда опирается на определенный опытный материал. Модель должна быть
достаточно точной, адекватной и должна быть удобна для использования.
Литература
1.
Лунгу К. Н. Линейное программирование. Руководство к решению задач. - М.: ФИЗМАТЛИТ,
2005. - 128 с.
.
Кузнецов А.В., Сакович А.В., Холод Н.И. Высшая математика. Математическое
программирование. - Минск: Вышэйшая школа, 2001. - 352 с.
.
Князев Б.А., Черкасский B.C. Начала обработки экспериментальных данных.
Электронный учебник и программа обработки данных для начинающих: Учебное
пособие. - Новосибирск: НГУ, 1996. - 93 с.
.Румянцев
С.А. Основы математического моделирования и вычислительной математики. -
Екатеринбург: Полиграфист, 2006. - 114 с.