Этапы математического моделирования экономических систем
Содержание
Введение
Глава 1. Современное состояние
вопроса моделирования систем
1.1 Моделирование, как метод
научного познания
.2 Особенности использования моделей
.3 Классификация методов
моделирования систем
Глава 2. Математическое
моделирование экономических систем
2.1 Этапы создания математической
модели для экономического процесса
.2 Классификация
экономико-математических моделей
.3 Математические схемы
моделирования систем
.4 Основные подходы к построению
математических моделей систем
.5 Математические схемы
.6 Формальная модель объекта
.7 Типовые схемы
.8 Основные логико-математическое
характеристики для экономического процесса
Глава 3. Построение математических
моделей для экономических процессов
3.1 Постановка задачи
.2 Имитационные модели
.3 Постановка задачи
.4 Теоретический обзор методов
решения задачи
.5 Формализованная схема объекта
моделирования
.6 Имитационное моделирование
процесса
Заключение
Список использованной литературы
Введение
Математическое моделирование как метод научного
познания стало развиваться одновременно с зарождением основ высшей математики,
связанным с работами Р. Декарта (1596-1650), И. Ньютона (1643-1727), Г.
Лейбница (1646-1716). Первыми учеными, построившими математические модели
реальных физических объектов, были П. Ферма (1601-1665), Б. Паскаль (1623-1662)
и X. Гюйгенс (1629-1695). Развитие математического моделирования в экономике и
производстве в XX веке в значительной мере обязано выдающимся ученым Л.В.
Канторовичу, В.В. Леонтьеву, А.Н. Колмогорову, В.В. Новожилову, В.С. Немчинову,
А.Л. Лурье и др.
Необходимость использования метода моделирования
определяется тем, что многие объекты (или проблемы, относящиеся к этим
объектам) непосредственно исследовать или вовсе невозможно, или же это исследование
требует много времени и средств. Модель выступает как своеобразный инструмент
познания, который исследователь ставит между собой и объектом и с помощью
которого изучает интересующий его объект. Именно эта особенность метода
моделирования определяет специфические формы использования абстракций,
аналогий, гипотез, других категорий и методов познания.
Целью математического моделирования
экономических систем является использование методов математики для наиболее
эффективного решения задач, возникающих в сфере экономики, с использование, как
правило, современной вычислительной техники.
Целью данной курсовой работы является: Изучение
экономических процессов с помощью необходимых для этого математических моделей.
Глава 1. Современное состояние
вопроса моделирования систем
Моделирование (в широком смысле) является
основным методом исследований во всех областях знаний и научно обоснованным
методом оценок характеристик сложных систем, используемых для принятия решений
в различных сферах инженерной деятельности. Существующие и проектируемые
системы можно эффективно исследовать с помощью математических моделей
(аналитических и имитационных), реализуемых на современных ЭВМ, которые в этом
случае выступают в качестве инструмента экспериментатора с моделью системы.
.1 Моделирование, как метод научного
познания
Моделирование в научных исследованиях стало
применяться еще в глубокой древности и постепенно захватывало все новые области
научных знаний: техническое конструирование, строительство и архитектуру,
астрономию, физику, химию, биологию и, наконец, общественные науки. Большие
успехи и признание практически во всех отраслях современной науки принес методу
моделирования ХХ в. Однако методология моделирования долгое время развивалась
независимо отдельными науками. Отсутствовала единая система понятий, единая
терминология. Лишь постепенно стала осознаваться роль моделирования как
универсального метода научного познания.
Главная особенность моделирования в том, что это
метод опосредованного познания с помощью объектов-заместителей. Модель
выступает как своеобразный инструмент познания, который исследователь ставит
между собой и объектом и с помощью которого изучает интересующий его объект.
Именно эта особенность метода моделирования определяет специфические формы использования
абстракций, аналогий, гипотез, других категорий и методов познания.
Необходимость использования метода моделирования
определяется тем, что многие объекты (или проблемы, относящиеся к этим
объектам) непосредственно исследовать или вовсе невозможно, или же это
исследование требует много времени и средств.
Процесс моделирования включает три элемента:
· субъект (исследователь)
· объект исследования
· модель, познающего субъекта и
познаваемого объекта
Для понимания сущности моделирования важно не
упускать из виду, что моделирование - не единственный источник знаний об
объекте. Процесс моделирования "погружен" в более общий процесс
познания. Это обстоятельство учитывается не только на этапе построения модели,
но и на завершающей стадии, когда происходит объединение и обобщение
результатов исследования, получаемых на основе многообразных средств познания.
Моделирование циклический процесс. Это означает,
что за первым четырехэтапным циклом может последовать второй, третий и т.д. При
этом знания об исследуемом объекте расширяются и уточняются, а исходная модель
постепенно совершенствуется. Недостатки, обнаруженные после первого цикла
моделирования, обусловленные малым знанием объекта и ошибками в построении
модели, можно исправить в последующих циклах. В методологии моделирования,
таким образом, заложены большие возможности саморазвития.
.2 Особенности использования моделей
Выбор метода моделирования и необходимая
детализация моделей существенно зависят от этапа разработки сложной системы. На
этапах обследования объекта управления, например промышленного предприятия, и
разработки технического задания на проектирование автоматизированной системы
управления модели в основном носят описательный характер и преследуют цель
наиболее полно представить в компактной форме информацию об объекте,
необходимую разработчику системы. На этапах разработки технического и рабочего
проектов систем, модели отдельных подсистем детализируются, и моделирование
служит для решения конкретных задач проектирования, т. е. выбора оптимального
по определенному критерию при заданных ограничениях варианта из множества
допустимых. Поэтому в основном на этих этапах проектирования сложных систем
используются модели для целей синтеза. Целевое назначение моделирования на
этапе внедрения и эксплуатации сложных систем - это проигрывание возможных
ситуаций для принятия обоснованных и перспективных решений по управлению
объектом. Моделирование (имитацию) также широко применяют при обучении и
тренировке персонала автоматизированных систем управления, вычислительных
комплексов и сетей, информационных систем в различных сферах. В этом случае
моделирование носит характер деловых игр. Модель, реализуемая обычно на ЭВМ,
воспроизводит поведение управляемого объекта и внешней среды, а люди в
определенные моменты времени принимают решения по управлению объектом. АСОИУ
являются системами, которые развиваются по мере эволюции объекта управления,
появления новых средств управления и т. д. Поэтому при прогнозировании развития
сложных систем роль моделирования очень высока, так как это единственная
возможность ответить на многочисленные вопросы о путях дальнейшего эффективного
развития системы и выбора из них наиболее оптимального.
.3 Классификация методов
моделирования систем
В основе моделирования лежит теория подобия, которая
утверждает, что абсолютное подобие может иметь место лишь при замене одного
объекта другим точно таким же. При моделировании абсолютное подобие не имеет
места и стремятся к тому, чтобы модель достаточно хорошо отображала исследуемую
сторону функционирования объекта. Классификационные признаки. В качестве одного
из первых признаков классификации видов моделирования можно выбрать степень
полноты модели и разделить модели в соответствии с этим признаком на полные,
неполные и приближенные. В основе полного моделирования лежит полное подобие,
которое проявляется как во времени, так и в пространстве. Для неполного
моделирования характерно неполное подобие модели изучаемому объекту. В основе
приближенного моделирования лежит приближенное подобие, при котором некоторые
стороны функционирования реального объекта не моделируются совсем.
Все виды моделирования могут быть разделены на
детерминированные и стохастические, статические и динамические, дискретные,
непрерывные и дискретно-непрерывные.
Глава 2. Математическое
моделирование экономических систем
Термин экономико-математические методы
понимается в свою очередь как обобщающее название комплекса экономических и
математических научных дисциплин, объединенных для изучения
социально-экономических систем и процессов. Под социально-экономической
системой будем понимать сложную вероятностную динамическую систему,
охватывающую процессы производства, обмена, распределения и потребления
материальных и других благ. Она относится к классу кибернетических систем, т.
е. систем управляемых.
Рассмотрим понятия, связанные с такими системами
и методами их исследования. Центральным понятием кибернетики является понятие
"система". Единого определения этого понятия нет; возможна такая
формулировка: системой называется комплекс взаимосвязанных элементов вместе с
отношениями между элементами и между их атрибутами. Исследуемое множество
элементов можно рассматривать как систему, если выявлены следующие четыре
признака:
• целостность системы, т. е. комплекс объектов,
рассматриваемых в качестве системы, представляет собой определенную
целостность, обладающий общими свойствами и поведением, • наличие цели и
критерия исследования данного множества элементов,
• наличие более крупной, внешней по отношению к
данной, системы, называемой " средой ";
• возможность выделения в данной системе
взаимосвязанных частей (подсистем).
Основным методом исследования систем является
метод моделирования, т. е. способ теоретического анализа и практического
действия, направленный на разработку и использование моделей. При этом под
моделью будем понимать образ реального объекта (процесса) в материальной или
идеальной форме (т. е. описанный знаковыми средствами на каком-либо языке),
отражающий существенные свойства моделируемого объекта (процесса) и замещающий
его входе исследования и управления. Метод моделирования основывается на
принципе аналогии, т. е. возможности изучения реального объекта не
непосредственно, а через рассмотрение подобного ему и более доступного объекта,
его модели. В дальнейшем мы будем говорить только об экономико-математическом
моделировании, т. е. об описании знаковыми математическими средствами
социально-экономических систем.
.1 Этапы создания математической
модели для экономического процесса
моделирование программирование
эвристический графический
Для построения математической модели необходимо
исследовать экономический процесс исследование которого состоит из следующих
этапов:
) идентификации проблемы;
) построения модели;
) решения поставленной задачи с помощью модели;
) проверки адекватности модели;
) реализации результатов исследования.
· На первом этапе задача исследования
заключается в идентификации проблемы. Здесь можно выделить следующие
основные стадии:
1. формулировка задачи или цели исследования,
2. выявление возможных альтернатив решения
применительно к исследуемой ситуации,
. определение присущих исследуемой
системе требований, условий и ограничений.
· Второй этап связан с построением
модели. На этом этапе выбирается модель, наиболее подходящая для
адекватного описания исследуемой системы. При построении такой модели должны
быть установлены количественные соотношения для выражения целевой функции и
ограничений в виде функций от управляемых переменных. Если разработанная модель
соответствует некоторому общему классу математических моделей экономических
процессов(например, моделям линейного программирования или календарного
программирования), то для получения решения нужно воспользоваться известными
математическими методами. Если же математические соотношения слишком сложны и
не позволяют получить аналитического решения задачи, более подходящей для
исследования может оказаться имитационная модель. В некоторых случаях возникает
необходимость совместного использования математических, имитационных и
эвристических моделей. Это все зависит от характерных особенностей и сложности
исследуемой задачи.
· На третьем этапе осуществляется решение
сформулированной задачи. При использовании математической модели решение
получают с помощью апробированных оптимизационных методов; при этом модель
приводит к оптимальному решению задачи. В случае применения имитационных или
эвристических моделей понятие оптимальности становится менее определенным, и
получаемое решение соответствует лишь приближенным оценкам критериев
оптимальности функционирования экономической системы.
На данном этапе кроме нахождения решения всякий
раз, когда это возможно, должно быть обеспечено также получение дополнительной
информации о возможных изменениях решения при изменение параметров системы. Эту
часть исследования называют анализом модели на чувствительность. Он необходим,
например, в тех случаях, когда некоторые характеристики исследуемой системы не
поддаются точной оценке. В такой ситуации весьма важно исследовать возможные
изменения оптимального решения в зависимости от соответствующих параметров
системы в некоторых интервалах их количественных значений.
· Четвертый этап заключается в проверке
адекватности модели. Модель можно считать адекватной, если, несмотря на
некоторые неточности отображения системы-оригинала, она способна обеспечить
достаточно надежное предсказание поведения системы. Общий метод проверки
адекватности модели состоит в сопоставлении получаемых результатов с
характеристиками системы. Если при аналогичных входных параметрах модель
достаточно точно воспроизводит поведение системы-оригинала, то она считается
адекватной. Однако такое сопоставление не дает полной уверенности в том, что
поведение системы в предстоящем периоде будет таким же, как в прошлом. А
поскольку построение модели осуществляется с использованием ретроспективных
данных, то благоприятный исход такого сравнения во многом предопределен. В
отдельных случаях, когда система-оригинал исследуется с помощью математической
модели, допустима параллельная разработка имитационной модели, предназначенной
для проверки основной математической модели.
· Заключительный пятый этап связан с реализацией
полученных результатов. На данном этапе необходимо оформить конечные
результаты исследования в виде детальных инструкций, которые должны быть
составлены таким образом, чтобы они легко воспринимались лицами, ответственными
за управление экономической системой (службой) и обеспечение ее
функционирования.
Основным методом исследования экономических
систем является метод моделирования, т. е. способ теоретического анализа и
практического действия, направленный на разработку и использование моделей. При
этом под моделью будем понимать образ реального объекта (процесса) в
материальной или идеальной форме (т. е. описанный знаковыми средствами на
каком-либо языке), отражающий существенные свойства моделируемого объекта
(процесса) и замещающий его входе исследования и управления. Метод
моделирования основывается на принципе аналогии, т. е. возможности изучения
реального объекта не непосредственно, а через рассмотрение подобного ему и
более доступного объекта, его модели. В дальнейшем мы будем говорить только об
экономико-математическом моделировании, т. е. об описании знаковыми
математическими средствами социально-экономических систем.
Математические модели экономических процессов и
явлений более кратко можно назвать экономико-математическими моделями. Для
классификации этих моделей используются разные основания.
По целевому назначению экономико-математические
модели делятся на теоретико-аналитические, используемые в исследованиях общих
свойств и закономерностей экономических процессов, и прикладные, применяемые в
решении конкретных экономических задач (модели экономического анализа,
прогнозирования, управления).
Экономико-математические модели могут
предназначаться для исследования разных сторон народного хозяйства (в
частности, его производственно-технологической, социальной, территориальной
структур) и его отдельных частей. При классификации моделей по исследуемым
экономическим процессам и содержательной проблематике можно выделить модели
народного хозяйства в целом и его подсистем - отраслей, регионов и т.д.,
комплексы моделей производства, потребления, формирования и распределения
доходов, трудовых ресурсов, ценообразования, финансовых связей и т.д.
Остановимся более подробно на характеристике
таких классов экономико-математических моделей, с которыми связаны наибольшие
особенности методологии и техники моделирования.
В соответствии с общей классификацией
математических моделей они подразделяются на функциональные и структурные, а
также включают промежуточные формы (структурно-функциональные). В исследованиях
на народнохозяйственном уровне чаще применяются структурные модели, поскольку
для планирования и управления большое значение имеют взаимосвязи подсистем.
Типичными структурными моделями являются модели межотраслевых связей.
Функциональные модели широко применяются в экономическом регулировании, когда
на поведение объекта ("выход") воздействуют путем изменения
"входа". Примером может служить модель поведения потребителей в
условиях товарно-денежных отношений. Один и тот же объект может описываться
одновременно и структурой, и функциональной моделью. Так, например, для
планирования отдельной отраслевой системы используется структурная модель, а на
народнохозяйственном уровне каждая отрасль может быть представлена
функциональной моделью.
Выше уже показывались различия между моделями
дескриптивными и нормативными. Дескриптивные модели отвечают на вопрос: как это
происходит? или как это вероятнее всего может дальше развиваться? т.е. они
только объясняют наблюдаемые факты или дают вероятный прогноз. Нормативные
модели отвечают на вопрос: как это должно быть? т.е. предполагают
целенаправленную деятельность. Типичным примером нормативных моделей являются
модели оптимального планирования, формализующие тем или иным способом цели
экономического развития, возможности и средства их достижения.
Применение дескриптивного подхода в
моделировании экономики объясняется необходимостью эмпирического выявления
различных зависимостей в экономике, установления статистических закономерностей
экономического поведения социальных групп, изучения вероятных путей развития
каких-либо процессов при неизменяющихся условиях или протекающих без внешних воздействий.
Примерами дескриптивных моделей являются производственные функции и функции
покупательского спроса, построенные на основе обработки статистических данных.
Является ли экономико-математическая модель
дескриптивной или нормативной, зависит не только от ее математической
структуры, но от характера использования этой модели. Например, модель
межотраслевого баланса дескриптивна, если она используется для анализа
пропорций прошлого периода. Но эта же математическая модель становится
нормативной, когда она применяется для расчетов сбалансированных вариантов
развития народного хозяйства, удовлетворяющих конечные потребности общества при
плановых нормативах производственных затрат.
Многие экономико-математические модели сочетают
признаки дескриптивных и нормативных моделей. Типична ситуация, когда
нормативная модель сложной структуры объединяет отдельные блоки, которые
являются частными дескриптивными моделями. Например, межотраслевая модель может
включать функции покупательского спроса, описывающие поведение потребителей при
изменении доходов. Подобные примеры характеризуют тенденцию эффективного
сочетания дескриптивного и нормативного подходов к моделированию экономических
процессов. Дескриптивный подход широко применяется в имитационном
моделировании.
По характеру отражения причинно-следственных
связей различают модели жестко детерминистские и модели, учитывающие
случайность и неопределенность. Необходимо различать неопределенность,
описываемую вероятностными законами, и неопределенность, для описания которой
законы теории вероятностей неприменимы. Второй тип неопределенности гораздо
более сложен для моделирования.
По способам отражения фактора времени
экономико-математические модели делятся на статические и динамические. В
статических моделях все зависимости относятся к одному моменту или периоду
времени. Динамические модели характеризуют изменения экономических процессов во
времени. По длительности рассматриваемого периода времени различаются модели
краткосрочного (до года), среднесрочного (до 5 лет), долгосрочного (10-15 и
более лет) прогнозирования и планирования. Само время в
экономико-математических моделях может изменяться либо непрерывно, либо
дискретно.
Модели экономических процессов чрезвычайно
разнообразны по форме математических зависимостей. Особенно важно выделить
класс линейных моделей, наиболее удобных для анализа и вычислений и получивших
вследствие этого большое распространение. Различия между линейными и
нелинейными моделями существенны не только с математической точки зрения, но и
в теоретико-экономическом отношении, поскольку многие зависимости в экономике
носят принципиально нелинейный характер: эффективность использования ресурсов
при увеличении производства, изменение спроса и потребления населения при
увеличении производства, изменение спроса и потребления населения при росте
доходов и т.п. Теория "линейной экономики" существенно отличается от
теории "нелинейной экономики". От того, предполагаются ли множества
производственных возможностей подсистем (отраслей, предприятий) выпуклыми или
же невыпуклыми, существенно зависят выводы о возможности сочетания
централизованного планирования и хозяйственной самостоятельности экономических
подсистем.
По соотношению экзогенных и эндогенных
переменных, включаемых в модель, они могут разделяться на открытые и закрытые.
Полностью открытых моделей не существует; модель должна содержать хотя бы одну
эндогенную переменную. Полностью закрытые экономико-математические модели, т.е.
не включающие экзогенных переменных, исключительно редки; их построение требует
полного абстрагирования от "среды", т.е. серьезного огрубления
реальных экономических систем, всегда имеющих внешние связи. Подавляющее
большинство экономико-математических моделей занимает промежуточное положение и
различаются по степени открытости (закрытости)
Таким образом, общая классификация
экономико-математических моделей включает более десяти основных признаков. С
развитием экономико-математических исследований проблема классификации
применяемых моделей усложняется. Наряду с появлением новых типов моделей
(особенно смешанных типов) и новых признаков их классификации осуществляется
процесс интеграции моделей более сложных математических конструкций.
.3 Математические схемы
моделирования систем
Наибольшие затруднения и серьезные ошибки при
моделировании возникают при переходе от содержательного к формальному описанию
объектов исследования, что объясняется участием в этом творческом процессе
коллективов разных специальностей: специалистов в области систем, которым
требуется моделировать (заказчиков), и специалистов в области машинного
моделирования (исполнителей). Эффективным средством для нахождения
взаимопонимания между этими группами специалистов является язык математических
схем, позволяющий во главу угла поставить вопрос об адекватности перехода от
содержательного описания системы к её математической схеме, а лишь затем решать
вопрос о конкретном методе получения результатов с использованием ЭВМ:
аналитическом или имитационном, возможно и комбинирование, т.е.
аналитико-имитационном.
.4 Основные подходы к построению
математических моделей систем
Исходной информацией при построении
математических моделей процессов функционирования систем служат данные о
назначении и условиях работы исследуемой (проектируемой) системы S.
Эта информация определяет основную цель моделирования систем S
и позволяет сформулировать требования к разрабатываемой математической модели
М, причем уровень абстрагирования зависит от круга тех вопросов, на которые
исследователь системы хочет получить ответ с помощью модели, и в какой- то
степени определяет выбор математической схемы.
.5 Математические схемы
Математическую схему можно определить как звено
при переходе от содержательного к формальному описанию процесса
функционирования системы с учетом воздействия внешней среды, т.е. имеет место
цепочка "описательная модель - математическая схема - математическая
[аналитическая или (и) имитационная] модель".
Каждая конкретная система S характеризуется
набором свойств, под которыми понимаются величины, отражающие поведение
моделируемого объекта (реальной системы) и учитывающие условия ее
функционирования во взаимодействии с внешней средой (системой) Е. При
построении математической модели системы необходимо решить вопрос об ее
полноте. Полнота модели регулируется в основном выбором границы "система S
- среда Е". Также должна быть решена задача упрощения модели, которая
помогает выделить основные свойства системы, отбросив второстепенные. Причем
отнесение свойств системы к основным или второстепенным существенно зависит от
цели моделирования системы (например, анализ вероятностно-временных
характеристик процесса функционирования системы, синтез структуры системы и т.
д.).
.6 Формальная модель объекта
Модель объекта моделирования, т. е. системы S,
можно представить в виде множества величин, описывающих процесс
функционирования реальной системы и образующих в общем случае следующие
подмножества: совокупность входных воздействий на систему
совокупность воздействий внешней среды
совокупность внутренних (собственных) параметров
системы
совокупность выходных характеристик системы
При этом в перечисленных
подмножествах можно выделить управляемые и неуправляемые переменные. В общем
случае 
являются элементами
непересекающихся подмножеств и содержат как детерминированные, так и
стохастические составляющие. При моделировании системы S входные воздействия,
воздействия внешней среды Е и внутренние параметры системы являются
независимыми (экзогенными) переменными, которые в векторной форме имеют
соответственно вид

;
;

;
а выходные характеристики системы
являются зависимыми переменными и в векторной форме имеют вид

;
Процесс функционирования системы S описывается
во времени оператором 
, который в общем случае преобразует
экзогенные переменные в эндогенные в соответствии с соотношениями вида


Совокупность зависимостей выходных
характеристик системы от времени 
для всех видов

называется выходной траекторией 
. Зависимость называется законом
функционирования системы S и обозначается
. В общем случае закон
функционирования системы 
может быть задан в виде функции,
функционала, логических условий, в алгоритмической и табличной формах или в
виде словесного правила соответствия.
Весьма важными для описания и
исследования системы S является понятие алгоритма функционирования

, под которым понимается метод
получения выходных характеристик с учетом выходных воздействий 
, воздействий внешней среды 
и собственных параметров системы
. Очевидно, что один и тот же закон
функционирования 
системы S может быть
реализован различными способами, т.е. с помощью множества различных алгоритмов
функционирования 
.
Соотношения


являются математическим описанием
поведения объекта (системы) моделирование во времени 
, т.е. отражают его динамические
свойства. Поэтому математические модели такого вида принято называть
динамическими моделями (системами).
Для статических моделей
математическая модель

представляет собой отображение между
двумя подмножествами свойств моделируемого объекта Y и {X, V, H}, что в
векторной форме может быть записано как


Соотношения

и 

могут быть заданы различными
способами: аналитически (с помощью формул), графически, таблично и т.д. Такие
соотношения в ряде случаев могут быть получены через свойства системы S в
конкретные моменты времени, называемые состояниями. Состояние системы S
характеризуется векторами

и 
где

,
,…,
в момент

, 
, …, 
и т.д., 
Таким образом, под математической
моделью объекта (реальной системы) понимают конечное подмножество переменных 
вместе с математическими связями
между ними и характеристиками 
Если математическое описание объекта
моделирования не содержит элементов случайности или они не учитываются, т.е.
если можно считать, что в этом случае стохастические воздействия внешней среды 
и стохастические внутренние
параметры 
отсутствуют, то модель называется
детерминированной в том смысле, что характеристики однозначно определяются
детерминированными входными воздействиями

Очевидно, что детерминированная
модель является частным случаем стохастической модели.
.7 Типовые схемы
Приведенные математические
соотношения представляют собой математические схемы общего вида и позволяют
описать широкий класс систем. Однако в практике моделирования объектов в
области системотехники и системного анализа на первоначальных этапах
исследования системы рациональнее использовать типовые математические схемы:
дифференциальные уравнения, конечные и вероятностные автоматы, системы
массового обслуживания, сети Петри и т. д. Не обладая такой степенью общности,
как рассмотренные модели, типовые математические схемы имеют преимущества
простоты и наглядности, но при существенном сужении возможностей применения. В
качестве детерминированных моделей, когда при исследовании случайные факторы не
учитываются, для представления систем, функционирующих в непрерывном времени,
используются дифференциальные, интегральные, интегро-дифференциальные и другие
уравнения, а для представления систем, функционирующих в дискретном времени,-
конечные автоматы и конечно-разностные схемы. В качестве стохастических моделей
(при учете случайных факторов) для представления систем с дискретным временем
используются вероятностные автоматы, а для представления системы с непрерывным
временем - системы массового обслуживания и т. д. Перечисленные типовые
математические схемы, естественно, не могут претендовать на возможность
описания на их базе всех процессов, происходящих в больших информационно-управляющих
системах. Для таких систем в ряде случаев более перспективным является
применение агрегативных моделей. Агрегативные модели (системы) позволяют
описать широкий круг объектов исследования с отображением системного характера
этих объектов. Именно при агрегативном описании сложный объект (система)
расчленяется на конечное число частей (подсистем), сохраняя при этом связи,
обеспечивающие взаимодействие частей. Таким образом, при построении
математических моделей процессов функционирования систем можно выделить
следующие основные подходы: непрерывно-детерминированный (например,
дифференциальные уравнения); дискретно-детерминированный (конечные автоматы);
дискретно-стохастический (вероятностные автоматы); непрерывно-стохастический
(системы массового обслуживания); обобщенный, или универсальный (агрегативные
системы).
2.8 Основные логико-математическое
характеристики для экономического процесса
Для математического моделирования экономического
процесса характерно рассмотрение именно случайных процессов, которые состоят из
последовательности случайных событий и (или) значений случайных величин. Это
может быть: возникновение или отсутствие события; выбор одного события из
нескольких возможных; задание промежутка времени между событиями; задание значения
какого-либо параметра и т. д.
В зависимости от возникновения события или от
значения какой-либо величины выбирается направление развития моделируемого
процесса. Именно это сочетание случайности и зависящего от неё выбора создаёт в
сложных объектах большое число возможных траекторий процесса (реализаций), что
затрудняет его аналитическое исследование и приводит к необходимости
имитационного моделирования. При математическом моделировании задают случайным
образом какое-либо событие или значение какой-либо величины (т. е. причину), а
затем прослеживают всю цепочку связанных с этой причиной следствий.
Таким образом, имитационная модель в целом
отражает причинно-следственные связи, но хотя при этом одна и та же причина
вызывает одни и те же следствия, сами эти причины появляются случайным образом.
Кроме того, на отдельных участках траектории
процесса могут появляться дополнительные случайные воздействия и непредвиденным
заранее образом менять направление развития процесса. Это повторяется большое
число раз и таким образом создаётся выборка результатов моделирования при
различных входных случайных явлениях. Характерно то, что при имитационном
моделировании экономического процесса всегда имеют дело не с отдельными
случайными явлениями, а с их совокупностью - потоком.
Фактически, в процессе моделирования
экономического процесса находится выборка выходных случайных явлений (событий,
величин) в зависимости от заданной выборки входных случайных явлений.
Глава 3. Построение математических
моделей для экономических процессов
Можно отметить несколько этапов построения
математической модели:
) Осмысление задачи, выделение наиболее
важных для нас качеств, свойств, величин и параметров.
2) Введение обозначений.
) Составление системы ограничений, которым
должны удовлетворять введенные величины.
) Формулировка и запись условий, которым
должно удовлетворять искомое оптимальное решение.
Процесс моделирования не заканчивается
составлением модели, а только им начинается. Составив модель, выбирают метод
нахождения ответа, решают задачу, после того как ответ найден сопоставляют его
с реальностью.
.1 Постановка задачи
Задача:
Для
изготовления продукции двух видов А и Б предприятие расходует ресурсы, а от
реализации этой продукции получает доход. Информация о нормах затрат ресурсов
на единицу выпускаемой продукции, запасах расходуемых ресурсов, имеющихся в
распоряжении предприятия, и выручки от реализации готовой продукции приведены в
таблице (таблица 1).
Задача предприятия заключается в том, чтобы
разработать программу выпуска, обеспечивающую получение максимальной выручки от
реализации готовой продукции.
Таблица 1
|
Наименование
ресурсов
|
Норма
затрат на
|
Объем
ресурса
|
|
Продукт
А
|
Продукт
В
|
|
|
Сырье
(кг)
|
3
|
1
|
418
|
|
Оборудование
(ст. час)
|
1
|
4
|
388
|
|
Трудоресурсы
(чел час)
|
7
|
1
|
475
|
|
Цена
реализации (руб.)
|
121
|
214
|
|
Требуется:
1. Построить математическую модель оптимизации
выпуска продукции в форме задачи линейного программирования.
. Используя графический метод решения задачи
линейного программирования, найти оптимальную программу выпуска продукции и
максимум ожидаемой выручки.
. Составив задачу, двойственную к задаче
оптимизации выпуска продукции, найти ее оптимальное решение, используя условия
"дополняющее не жесткости". Дать экономическую интерпретацию этого
решения.
Решение:
1. Построим математическую модель оптимизации
выпуска продукции и запишем ее в форме задачи линейного программирования:
Обозначим:

- количество производимой продукции
А

- количество производимой продукции
Б
Тогда производственная программа
выпуска изделий А и Б будет определяться вектором Х= (х1,х2)
Искомая программа должна
удовлетворять всем ресурсным ограничениям:

121
+214
MAX
. Используя графический метод
решения задачи линейного программирования, найдем оптимальную программу выпуска
продукции
I. 
+
=418
|
|
0
|
139,3
|
|
|
418
|
0
|
II. 
+
=388
|
0388
|
|
|
|
|
97
|
0
|
II. 
+
=475
|
067,9
|
|
|
|
|
475
|
0
|
Так как О.Д.Р. представляет собой некоторый
замкнутый многоугольник, полученный путём пересечения полуплоскостей,
отвечающих отдельным неравенствам задачи, определим по какую сторону от
граничных прямых располагается искомая полуплоскость. Для этого в каждое из
трёх неравенств - ограничений подставим пробную точку (0;0):


Т.к. точка (0;0) удовлетворяет всем трём
неравенствам, то искомые полуплоскости будут располагаться слева (ниже)
граничных прямых (1) -(3).
Кроме основных ограничений на
ресурсы, в задаче имеются также тривиальные неравенства 
;
. Неравенству 
0 отвечает полуплоскость,
расположенная справа от оси 
, а граничная прямая, задаваемая
уравнением 
=0 совпадает с осью 
. Граничная прямая 
=0 совпадает с осью 
, а множество точек удовлетворяющих
неравенству 
0 - это полуплоскость, лежащая выше
оси ОХ. Изобразим О.Д.Р. графически:
Найдём теперь в этой области точку
максимума целевой функции Z: grad Z=(121;214)=
. Из начала координат, в направлении
вектора 
откладываем вектор произвольной
длины и перпендикулярно ему проведём через начало координат нулевую линию
уровня.
Двигая эту линию в направлении
вектора 
или параллельно самой себе,
достигнем самой крайней точки О.Д.Р., это и будет точка максимума целевой
функции Z:
В нашей задаче точка 
* лежит на пересечении граничных
прямых (II) и (III):

*: 
Þ
Оптимальная производственная
программа 
*=(56;83) состоит в выпуске 56 ед.
продукции А и 83 ед. продукции Б.
Ожидаемая выручка от их реализации
составит:
Z=121×56+214×83=24538
руб.
. Запишем задачу, двойственную к
задаче оптимизации выпуска продукции.
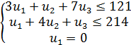
Исходная задача:

Þ 3
+
£418

Þ 
+4
£388

Þ 7
+
£475

³0; 
³0
Z=121
+214
®MAX
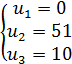
Двойственная задача:
x1Þ 3
+
+7
³121
x2Þ 
+4
+
³214

³0; 
³0; 
³0
W=418
+388
+475
®MI
Здесь 
, 
, 
- двойственные оценки используемых
ресурсов.
Используя условия "дополняющей
не жёсткости", найдём оптимальное решение двойственной задачи:
Условия "дополняющей не
жёсткости":
: 
×
=0;
: 
×
=0;
При известном оптимальном векторе
Х*=(56;83):
: 
×
=0 Þ 
=56 Þ 
=0 ~ 3
+
+7
=121

×
=0 Þ 
=83 Þ 
=0 ~ 
+4
+
=214
: 
×
=0 Þ 
=418-3
-
=418-3×56-83=167, Þ 
=0

×
=0 Þ 
=388-
-4
=388-56-4×83=0 Þ 
³0

×
=0 Þ 
=475-7
-
=475-7×56-83=0, Þ 
³0
Итак, получили систему уравнений:

*: 
Þ
Þ
*=(0;51;10)
Оптимальные целевой функции при этом
W*=418×0+388×51+475×10=24538
руб.
Получены следующие результаты
расчета модели:
X*=(56;83)
U*=(0;51;10)
Z*=W*=24538 руб.
Проведем экономическую интерпретацию
полученных результатов решения двойственной задачи:
Единицы измерения двойственных оценок
определяются по формуле:

=
,
где 
; 
; 
- единицы измерения соответственно
двойственной оценки оптимизируемого показателя и ресурса -ого вида.
В нашей задаче оптимизируемый
показатель - выручка 
, измеряемая в рублях, единицы
измерения ресурсов заданы в исходных данных задачи.
Оптимальная оценка 
=0 руб./кг означает, что сырье в
имеющемся объеме является избыточным, т.е. оно недоиспользуется.
Оптимальная оценка ресурса
оборудования 
=51 руб./ст.-час показывает, что
если имеющийся фонд времени на оборудование увеличить (снизить) на 1 кг, то
ожидаемая выручка может увеличиться (снизиться) на 51 руб.
Оптимальная оценка 
=10 руб./чел.-час. означает, что
если имеющийся объем трудоресурса увеличить (снизить) на 1 чел.-час., то
ожидаемая выручка может увеличиться (снизиться) на 10 рублей.
.2 Имитационные модели
Однако с усложнением системы в построении
моделей, в которых мы нуждаемся, их точное аналитическое описание становится
все более проблематичными. Кроме того есть необходимость в изучении поведения
системы в условиях изменяющихся случайным образом внешних воздействий. Эти два
фактора усложнение и случайный характер воздействий приводит к необходимости
создания другого класса моделей так называемых имитационных.3.3 Постановка
задачи
Задача:
Фирма имеет в городе 1 точку розничной продажи. Спрос на товары (в единицах
товара) в этих точках имеет пуассоновское распределение с математическим
ожиданием 10 единиц в день. Торговая точка обслуживаются оптовым магазином. На
передачу запроса торговой точки в магазин требуется 1 день. Товары по запросу
поступают из оптового магазина в торговую точку в среднем через 5 дней после
получения запроса. Эта величина имеет логнормальное распределение с дисперсией
1. Оптовый магазин каждые 14 дней размещает заказы на фабрике. Время, в течение
которого магазин получает груз с фабрики, распределено нормально с ожиданием 90
дней, среднеквадратичным отклонением 10 дней; однако заказ при этом никогда не
выполняется ранее 60 дней и позднее 120 дней. Смоделировать работу
описанной системы с целью определения изменения уровня запаса при данной
стратегии управления розничной торговой точкой и оптовым магазином.
Задать следующие начальные условия
моделирования: первый запрос поступает в нулевой момент времени; текущий запас
товара в каждой торговой точке составляет 70 единиц, нормативный запас также 70
единиц; запас в магазине составляет 1920 единиц; с фабрики отправлены три
груза, в каждом из которых находится по 1800 единиц товара, причем первый груз
поступит в магазин на 30-й день, второй - на 60-й, а третий - на 90-й день.
.4 Теоретический обзор методов
решения задачи
В данной задаче применяются следующие
распределения: равномерное, нормальное, логнормальное, пуассоновское
распределение. Время ответа на запрос точки магазином имеет логнормальное
распределение. Спрос на товары в точке за день имеет пуассоновское распределение.
Время ответа на запрос магазина фабрикой распределено нормально, а для
нахождения одного нормального числа нужно найти 12 равномерно распределенных
чисел.
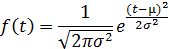
Нормальное распределение
Функция плотности вероятности нормального закона
имеет вид:

- параметры нормального закона, (
- среднее значение,
- дисперсия нормального
распределения).
Генератор нормально распределенной
случайной величины X можно получить по формулам:

6
+µ, X=
Где 
значения независимых случайных
величин, равномерно распределенных на интервале (0,1)
Равномерное
распределение
Функция плотности вероятности равномерного
распределения задает одинаковую вероятность для всех значений, лежащих между
минимальным и максимальным значениями переменной. Другими словами, вероятность
того, что значение попадает в указанный интервал, пропорциональна длине этого
интервала. Применение равномерного распределения часто вызвано полным
отсутствием информации о случайной величине, кроме ее предельных значений.
Равномерное распределение называют также прямоугольным.
Среднее значение распределения
равно
дисперсия равна
Равномерно распределенная случайная
величина 
на отрезке [
,
] выражается через равномерно
распределенную на отрезке [0,1] случайную величину 
формулой
Логнормальное распределение
Метод получения случайного
выборочного значения
Где 
- нормальное распределение
случайной величины с дисперсией
и средним значением
Распределение Пуассона
Для получения пуассоновским
распределенной случайной величины 
можно воспользоваться следующим
методом:
Где 
.5 Формализованная
схема объекта моделирования
.6 Имитационное моделирование
процесса
В этом разделе мы рассматриваем разработку
программной реализации имитационной модели. На основе алгоритма мы пишем
программу на языке С++. Далее приведены переменные и код программы для
моделирования экономического.
Переменные используемые в программной реализации
экономического процесса:
|
TTEK
- текущее время; KOLTOV - спрос на товары в торговой точке; ZAKTOV
-заказанное магазином количество товаров у фабрики; Z - заказанное торговой
точкой количество товаров у магазина; KOLTEK - текущее количество запасов
торговой точке SHOP[i] - массив с данными о текущем времени и числом товаров
TOVMAG -число товаров в оптовом магазине. time - текущее время при обращении
в оптовый магазин
|
Листинг программы
|
#include<iostream.h>
#include<math.h> #include<conio.h> #include<stdlib.h>
#include<stdio.h> float ravnom(float d11, float d21) { randomize();
float R; R=d11+(d21-d11)*random(100)/100.0; return R; } float normal(float
b1, float b2) { randomize(); float X=0; int i; float R,d1,d2;
d1=(b1-sqrt(3*b2*12))/12; d2=(b1+sqrt(3*b2*12))/12; for(i=1;i<=12;i++)
X=X+ravnom(d1,d2); return X; } float lognorm(float Ay, float By) {
randomize(); float X,Y,a,b; b=log(By/pow(Ay,2)+1); a=log(Ay-0.5*b);
X=normal(a,b); Y=exp(X); return Y; } int puasson(float t) { randomize(); int
n; int R, R11; do { R*=random(100)/100.0; R11=R; R*=random(100)/100.0; n++; }
while(exp(-t)>=R11&&exp(-t)<R); return (n-1); } float
optmag(float &TTEK, int ZZ) { int Tzak,a=90,b=10; static int TOVMAG;
if(ZZ<=1920){ TOVMAG=1920-ZZ; TTEK=TTEK+lognorm(5,1); } if(TTEK==30)
TOVMAG+=1800; if(TTEK==60) TOVMAG+=1800; if(TTEK==90) TOVMAG+=1800;
if(TOVMAG<=0) Tzak=normal(a,b); if(Tzak>=60&&Tzak<=120) {
TOVMAG=1920-TOVMAG; TTEK+=Tzak; } return (TOVMAG); } main() { clrscr(); int
Z,SHOP,KOLTEK,KOLTOV; float TTEK; cout""Vvedite tekushee
kolichestvo tovarov v torgovoj tochke:\n"; cin"KOLTEK;
cout""\n\n"; TTEK=0; KOLTOV=puasson(TTEK); if
(KOLTOV<=KOLTEK) KOLTEK=KOLTEK-KOLTOV; TTEK++; Z=KOLTOV-KOLTEK;
SHOP=optmag(TTEK,Z); cout""Tekushee
vremya=""TTEK""\n"; cout""Spros na tovari
v torg. tochke=""KOLTOV""\n";
cout""Zakazannoe magazinom kol-vo tovarov y
fabriki=""SHOP""\n"; cout""Zakazannoe
torg. tochkoj kol-vo tovarov y magazina=""Z""\n";
cout""Normativnij zapas tivarov v magazine =
70"""\n"; getch(); return 0; }
|
Результаты эксперимента:
При запуске программы со следующими входными
параметрами:
Vvedite tekushee kolichestvo tovarov
v torgovoj tochke:70
Получим следующие результаты:vremya=98
Spros na tovari v torg.
tochke=2730magazinom kol-vo tovarov y fabriki=1920torg. tochkoj kol-vo tovarov
y magazina=2660zapas tоvarov
v magazine = 70
Анализ результатов:
Программа выдает на экран вероятностные и
статистические характеристики объекта моделирования. Она имитирует работу
описанной системы с целью определения изменения уровня запаса при заданной
стратегии управления розничной торговой точкой и оптовым магазином.
На основании проделанной работы, можно сделать
следующие выводы:
. Созданная математическая модель адекватна
реальному объекту;
. Проведенные исследования показали
эффективность модели и способов "приведения её в действие" при
определении необходимых нам параметров по сравнению с ручным способом
моделирования и расчетов параметров;
. Созданная модель имеет достаточную, для таких
моделей, степень универсальности, т.к. диапазон входных параметров системы можно
легко и быстро изменить.
Заключение
В ходе написания этой курсовой работы были
рассмотрены математические методы в экономическом исследовании, а именно
раскрыты основные понятия данного раздела науки, как математическое
моделирование, при помощи математической схемы.
При изучении нами был сделан вывод, что
математическое моделирование удобно для изучения экономических процессов, а так
же в ходе написания работы были рассмотрены экономические процессы, на примерах
которых были построены математические модели.
В заключении можно сказать, что этой аспект
науки нужно интенсивно развивать, так как он, на данный момент времени, при
построении больших (масштабных) работ, мало эффективен из - за того, что мало
построено моделей, исходя из которых можно развивать практически все отрасли,
но прогресс не стоит на месте и каждый день приобретаются более глубокие данные
в этом аспекте науки.
Список использованной литературы
. Бусленко Н.П. Моделирование
сложных систем. - М.: Наука, 1988.
. Веников В.А., Веников Г.В. Теория
подобия и моделирования. - М.: Высшая школа, 1984.
. Гнеденко Б.Д., Коваленко И.Н.
Введение в теорию массового обслуживания. - М.: Наука, 1987.
. Головин Ю.А., Яковлев С.А.
Применение языков моделирования в обучении методам программной имитации сложных
систем // Тез. докл. 6-й Междунар. конф. "Региональная информатика-
98"; Ч. 1. - СПб, 1998.
. Калашников В.В., Рачев С.Т.
Математические методы построения стохастических моделей обслуживания. - М.:
Наука, 1988.
. Моисеев И.Н. Математические задачи
системного анализа. М.: Наука, 1981.
. Мухин О.И. Компьютерная
инструментальная среда. - Пермь: ПГТУ, 1991.