Моделирование производственных процессов
МИНИСТЕРСТВО
ОБРАЗОВАНИЯ И НАУКИ РОССИЙСКОЙ ФЕДЕРАЦИИ
Федеральное
Государственное бюджетное образовательное учреждение
высшего
профессионального образования
"Владимирский
государственный университет имени Александра Григорьевича и Николая
Григорьевича Столетовых"
Кафедра
Автомобильного транспорта
Контрольная
работа по дисциплине
"Моделирование
производственных процессов"
Выполнил:
студент
гр. ЗСТуд-111
Беспалов
Д.А.
Принял:
доцент
кафедры АТ
Баженов
М.Ю.
Владимир
2014
Задание 1
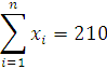
Используя опытные данные рассчитать коэффициенты
регрессии с помощью ручного счета и ЭВМ. Привести графики теоретической и
экспериментальной зависимости.
Заданы некоторые значения 
и соответствующие им значения 
, которые заданы таблицей 1.
Таблица 1 Исходные
данные
|
|
Значения
   =iЗначения 
|
|
|
|
1
|
3,90
|
11
|
2,35
|
|
2
|
3,82
|
12
|
2,49
|
|
3
|
3,60
|
13
|
2,19
|
|
4
|
3,47
|
14
|
1,82
|
|
5
|
3,31
|
15
|
1,69
|
|
6
|
3,05
|
16
|
1,54
|
|
7
|
3,14
|
17
|
1,22
|
|
8
|
2,89
|
18
|
1,17
|
|
9
|
2,66
|
19
|
1,04
|
|
10
|
2,53
|
20
|
1,12
|
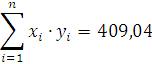
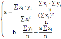
Требуется найти зависимость 
: 
Для определения численной величины
параметров а и b составим расчетную таблицу 2:
|
i
|
|
|
|
|
|
1
|
1
|
3,90
|
1
|
|
2
|
2
|
3,82
|
7,64
|
4
|
|
3
|
3
|
3,60
|
10,8
|
9
|
|
4
|
4
|
3,47
|
13,88
|
16
|
|
5
|
5
|
3,31
|
16,55
|
25
|
|
6
|
6
|
3,05
|
18,3
|
36
|
|
7
|
7
|
3,14
|
21,98
|
49
|
|
8
|
8
|
2,89
|
23,12
|
64
|
|
9
|
9
|
2,66
|
23,94
|
81
|
|
10
|
10
|
2,53
|
25,3
|
100
|
|
11
|
11
|
2,35
|
25,85
|
121
|
|
12
|
12
|
2,49
|
29,88
|
144
|
|
13
|
13
|
2,19
|
28,47
|
169
|
|
14
|
14
|
1,82
|
25,48
|
196
|
|
15
|
15
|
1,69
|
225
|
|
16
|
16
|
1,54
|
24,64
|
256
|
|
17
|
17
|
1,22
|
20,74
|
289
|
|
18
|
18
|
1,17
|
21,06
|
324
|
|
19
|
19
|
1,04
|
19,76
|
361
|
|
20
|
20
|
1,12
|
22,4
|
400
|
|
|
|
|
|
Находим координаты для теоретической
зависимости:
регрессия дисперсия гистограмма
кумулятивный
Рисунок 1. Теоретическая
и экспериментальная зависимость.
Задание 2
По предоставленной методике обработать
статистический ряд, рассчитать, определить основные числовые характеристики.
Привести графики гистограммы распределения признака и кумулятивной прямой.
Таблица 1. Исходные
данные
|
i
|
|
i
|
|
|
1
|
0,03
|
16
|
0,21
|
|
2
|
0,20
|
17
|
|
3
|
0,10
|
18
|
0,05
|
|
4
|
0,13
|
19
|
0,10
|
|
5
|
0,14
|
20
|
0,18
|
|
6
|
0,08
|
21
|
0,19
|
|
7
|
0,07
|
22
|
0,08
|
|
8
|
0,13
|
23
|
0,14
|
|
9
|
0,22
|
24
|
0,17
|
|
10
|
0,16
|
25
|
0,19
|
|
11
|
0,17
|
26
|
0,09
|
|
12
|
0,12
|
27
|
0,14
|
|
13
|
0,15
|
28
|
0,13
|
|
14
|
0,09
|
29
|
0,14
|
|
15
|
0,14
|
30
|
0,14
|
1 Определить
среднеарифметическую случайную величину:

,
где 
- значения элементов ряда.
n - число
элементов ряда.

;
где h - ширина
частичного интервала;
R - размах
измерения значений параметра;
K - число
интервалов.
Определение границы интервалов.

;
где 
- нулевое, крайнее значение
интервала.

3 Определяем число элементов
значений, попавших в i - интервал:
й интервал 0,015÷0,045; 
й интервал 0,045÷0,075; 
й интервал 0,075÷0,105; 
й интервал 0,105÷0,135; 
й интервал 0,135÷0,165; 
й интервал 0,165÷0,195; 
й интервал 0,195÷0,225; 
Определяем частоту i интервала

;

;

;

;

;

;

;
Определяем накопленную часть
Результаты вводим в таблицу
|
№
интервала
|
Ширина
интервала;  Середина интервала;
 Частота;
 Частность;
 Накопленная частность;

|
|
|
|
|
|
1
|
0,015÷0,045
|
0,03
|
1
|
0,033
|
0,033
|
|
2
|
0,045÷0,075
|
0,06
|
2
|
0,067
|
0,1
|
|
3
|
0,075÷0,105
|
0,09
|
6
|
0,2
|
0,3
|
|
4
|
0,105÷0,135
|
0,12
|
5
|
0,167
|
0,467
|
|
5
|
0,135÷0,165
|
0,15
|
8
|
0,267
|
0,734
|
|
6
|
0,165÷0,195
|
0,18
|
5
|
0,167
|
0,9
|
|
7
|
0,21
|
3
|
0,1
|
1
|
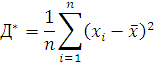
6 Определяем основные числовые характеристики
.1 Определяем среднеарифметическое значение
6.2 Определение статистической дисперсии
.3 Определение среднего квадратичного отклонения
регрессия дисперсия гистограмма
кумулятивный
7 Строим графики
Рисунок 1. Гистограмма распределения признака
Рисунок 2. Кумулятивная кривая