Имитационное моделирование производственных и технологических процессов
МИНИСТЕРСТВО
ОБРАЗОВАНИЯ РЕСПУБЛИКИ БЕЛАРУСЬ
БЕЛОРУССКИЙ
ГОСУДАРСТВЕННЫЙ УНИВЕРСИТЕТ
КУРСОВАЯ
РАБОТА
по дисциплине «Модели и методы принятия решений»
на тему: имитационное моделирование производственных и
технологических процессов
Студент
курса 912 группы
Руководитель
старший
преподаватель
Минск 2012
Реферат
Курсовая работа: 33 с., 15
табл., 6 рис., 3 источника, 8 прил.
Модель,
ИМИТАЦИОННОЕ моделирование, адекватность модели, Гистограмма, КАРТЫ КОНТРОЛЯ
КАЧЕСТВА.
Объект исследования - имитационное
моделирование.
Предмет исследования - имитационная модель
технологического процесса.
Цель работы: построение имитационной модели
технологического процесса, а так же проведение исследования выходных
характеристик технологического процесса с применением
вероятностно-статистических методов.
Методы исследования: анализ
учебной и научной литературы, использование инструментов MS Excel для
проведения расчетов.
Оглавление
Введение
. Имитационная модель
технологического процесса
.1 Построение имитационной модели
технологического процесса
.2 Исследование построенной
имитационной модели на адекватность
. Построение статистических моделей
технологического процесса
.1 Анализ влияния входных факторов
на выходные величины
.2 Построение регрессионных моделей
выходных величин технологического процесса
. Разработка рекомендаций по
использованию имитационного моделирования в задачах контроля качества
технологического процесса
.1 Анализ влияния рассеивания
входных факторов на рассеивание выходных величин
.2 Построение карт контроля
Заключение
Список использованной литературы
Приложения
Введение
Имитационное моделирование - метод исследования
и оценки эффективности, при использовании которого исследуемая система
заменяется более простым объектом, описывающим реальную систему и называемым
моделью, что делает его наиболее мощным и универсальным методом изучения как
крупных, так и малых систем.
Моделирование применяется в случаях, когда
проведение экспериментов над реальной системой невозможно или нецелесообразно:
например, по причине хрупкости или дороговизны создания прототипа либо из-за
длительности проведения эксперимента в реальном масштабе времени.
В основе имитационного моделирования лежит
статистический эксперимент (метод Монте-Карло), реализация которого практически
невозможна без применения средств вычислительной техники.
Таким образом, под имитацией понимается
численный метод проведения машинных экспериментов с математическими моделями,
описывающими поведение сложных систем в течение продолжительных периодов
времени, при этом имитационный эксперимент состоит из следующих этапов:
) формулировка задачи,
) построение математической модели,
) составление программы,
) оценка адекватности модели,
) планирование эксперимента,
) обработка результатов эксперимента.
Для выполнения курсовой работы был использован
Пакет анализа электронных таблиц MS Excel.
· построить методом Монте-Карло
имитационную модель технологического процесса;
· исследовать построенную имитационную
модель на адекватность;
· оценить и спрогнозировать выходные
характеристики технологического процесса с помощью построенных регрессионных
моделей;
· разработать рекомендации по
использованию имитационного моделирования в задачах контроля качества
технологического процесса.
Целью курсовой работы является: построение
имитационной модели технологического процесса и проведение на её базе
исследования выходных характеристик технологического процесса с применением
вероятностно-статистических методов.
При выполнении курсовой работы проводился анализ
учебной и научной литературы, а так же инструменты MS Excel.
Курсовая работа выполнена на 61 странице,
включает введение, 3 раздела, 6 подразделов, заключение, список использованных
источников, 8 приложений.
1. Имитационная
модель технологического процесса
1.1 Построение имитационной модели
технологического процесса
Связь между выходными (У1и У2)
и входными (Х1, Х2, Х3, Х4, Х5)величинами
представлена выражением:
(1)
(2)
Числовые характеристики параметров и
коэффициенты математической модели технологического процесса представлены в
таблице 1.1:
Таблица 1.1 - Исходные параметры входных величин
|
№
вар-та
|
коэффициенты
математической модели технологического процесса
|
математические
ожидания выходных параметров X1, X2, X3, X4, X5
|
коэффициент
вариации Xi (varxi)
|
|
b1
|
b2
|
b3
|
b4
|
b5
|
m1
|
m2
|
m3
|
m4
|
m5
|
|
|
14
|
30
|
24
|
22
|
16
|
12
|
12
|
10
|
8
|
6
|
2
|
0,06
|
Выходные характеристики технологического
процесса Y1 и Y2 является функциями входных параметров X1,
X2, X3, X4, X5, которые подчиняются
нормальному закону распределения с известными числовыми характеристиками.
Используя метод Монте-Карло и имеющиеся данные,
смоделируем выходные характеристики для партии изделий объёмом 1000. На первом
этапе с помощью функции «Генерация случайных чисел» найдём случайные остатки
входных параметров Xi, причем входные величины X3 и X5
коррелируют со значением коэффициента корреляции равным 0,06.
Для этого необходимо найти стандартное
отклонение. Оно находится по формуле
σ = М[Х]/var x.
Вычисленные значения для X1, X2,
X3, X4, X5 представлены в таблице 1.2
Таблица 1.2 - Стандартное отклонение
|
σ1
|
σ2
|
σ3
|
σ4
|
σ5
|
|
0,72
|
0,6
|
0,48
|
0,36
|
0,12
|
На основании зависимости между выходными
характеристиками технологического процесса и входными параметрами смоделируем
выходные характеристики Y1 и Y2, значения которых
представлены в Приложении А.
На основании данных рассчитаем математическое
ожидание и дисперсию выходных величин- M[Y1], M[Y2], D[Y1], D[Y2];
(3)
(4)
Расчет производим при помощи инструмента Excel
«Описательная статистика». Результаты представлены в таблице 1.3.
Таблица 1.3. - Характеристики выходных величин
|
Y1
|
Y2
|
|
Среднее
|
3,093618
|
Среднее
|
3,273813737
|
|
Стандартная
ошибка
|
0,015605
|
Стандартная
ошибка
|
0,017200163
|
|
Медиана
|
3,024121
|
Медиана
|
3,206544724
|
|
Мода
|
#Н/Д
|
Мода
|
#Н/Д
|
|
Стандартное
отклонение
|
0,49347
|
Стандартное
отклонение
|
0,543916901
|
|
Дисперсия
выборки
|
0,243512
|
Дисперсия
выборки
|
0,295845595
|
|
Эксцесс
|
0,547606
|
Эксцесс
|
0,652973833
|
|
Асимметричность
|
0,561262
|
Асимметричность
|
0,603028265
|
|
Интервал
|
3,249439
|
Интервал
|
3,646428072
|
|
Минимум
|
1,857556
|
Минимум
|
1,926464498
|
|
Максимум
|
5,106995
|
Максимум
|
5,57289257
|
|
Сумма
|
3093,618
|
Сумма
|
3273,813737
|
|
Счет
|
1000
|
Счет
|
1000
|
|
Уровень
надежности(95,0%)
|
0,030622
|
Уровень
надежности(95,0%)
|
0,033752592
|
Рассчитаем трехсигмовую границу для каждой
выходной величины Y1и Y2.
Так как в реальном технологическом процессе
выход за трёхсигмовую границу невозможен, исключаем из модели образцы, не
входящие в трёхсигмовый интервал.
По отредактированным данным рассчитаем числовые
характеристики выходных параметров технологического процесса, а именно:
математическое ожидание и дисперсию выходных величин - M[Y1],M[Y2],
D[Y1], D[Y2]; коэффициент корреляции между величинами Y1и
Y2-ry..
Расчет произведем в Excel с помощью пакета
анализа инструментом «Описательная статистика». Полученные данные представлены
в таблице 1.4.
Таблица 1.4. - Характеристики скорректированных
выходных величин
|
Y1
скорр
|
Y2
скорр
|
|
Среднее
|
3,086273503
|
Среднее
|
3,262192704
|
|
Стандартная
ошибка
|
0,015226053
|
Стандартная
ошибка
|
0,01662698
|
|
Медиана
|
3,023611706
|
Медиана
|
3,203765373
|
|
Мода
|
#Н/Д
|
Мода
|
#Н/Д
|
|
Стандартное
отклонение
|
0,480526137
|
Стандартное
отклонение
|
0,524211524
|
|
Дисперсия
выборки
|
0,230905368
|
Дисперсия
выборки
|
0,274797722
|
|
Эксцесс
|
0,106938978
|
Эксцесс
|
0,09810026
|
|
Асимметричность
|
0,42995913
|
Асимметричность
|
0,432058873
|
|
Интервал
|
2,710582499
|
Интервал
|
3,052885602
|
|
Минимум
|
1,857556166
|
Минимум
|
1,926464498
|
|
Максимум
|
4,568138666
|
Максимум
|
4,9793501
|
|
Сумма
|
3073,928409
|
Сумма
|
3242,619548
|
|
Счет
|
996
|
Счет
|
994
|
|
Уровень
надежности(95,0%)
|
0,029878861
|
Уровень
надежности(95,0%)
|
0,032628051
|
Рисунок 1.1 - Гистограмма значений выходного
параметра Y1
Рассчитаем коэффициент корреляции между
величинами Y1 и Y2:
Коэффициент корреляции может принимать значения
от нуля до единицы, чем ближе значение к единице, тем сильнее линейная связь
между величинами. В данном случае, согласно шкале Чеддока, можно сделать
предположение, что линейная связь сильная.
Построим гистограммы значений выходных
параметров имитационной модели технологического процесса при помощи инструмента
Excel «Гистограмма».
Рисунок 1.2 - Гистограмма значений выходного
параметра Y2
Далее проверяем гипотезу о нормальном
распределении величин Y1и Y2с использованием критериев
Пирсона, Колмогорова-Смирнова, по оценкам коэффициентов эксцесса и асимметрии.
Критерий согласия Пирсона (χ2)
применяют
для проверки гипотезы о соответствии эмпирического распределения
предполагаемому теоретическому распределению F(x) при большом объеме выборки (n
≥ 100). Использование критерия χ2 предусматривает
разбиение размаха варьирования выборки на интервалы (карманы) и определения
числа наблюдений (частоты) nj для каждого из e интервалов.
По таблице критических точек распределения χ2
по
заданному уровню значимости 0,05 и числу степеней свободы 25 находим
критическую точкуχ2
крит=14,61140764. С
помощью таблиц Excel, представленных в Приложении Б, находим χ2
стат=56,85576483. Так
как χ2
стат>
χ2 крит,
то гипотеза о нормальном распределении величины Y1не принимается.
Данный критерий оценки не может дать нам ответ о нормальном распределении Y1.
Для Y2:χ2
крит=14,61140764(уровень
значимости 0,05 и число степеней свободы 24), χ2
стат=31,66837264. Эта
величина также больше табличной величины, поэтому можно сделать вывод о том,
что величина Y2не подчинена нормальному закону распределения, как и
Y1.
Теоретическое значение критерия
Колмогорова-Смирнова λтеор,
мы определяем по таблице, считая что α=0,05, λкр(0,05)=0,895.
А далее вычисляем эмпирические значения (Приложение В), и получаем следующие
результаты:
Для Y1:λэмп=1,35697,
что больше критического значения 0,895
Для Y2:λэмп=1,50701,
что больше критического значения 0,895
Результаты говорят о том, что обе величины
распределены не нормально.
Также следует оценить распределение величин по
оценкам коэффициентов асимметрии и эксцесса. Для этого мы их рассчитали с
помощью «Пакета анализа» в Excel. Данные представлены в таблице 1.5.
Таблица 1.5. - Эксцесс и асимметричность
выходных величин
|
Y1
скорр
|
|
Эксцесс
|
0,106938978
|
|
Асимметричность
|
0,42995913
|
|
Y2
скорр
|
|
Эксцесс
|
0,0981
|
|
Асимметричность
|
0,432059
|
Дисперсии соответствующих оценок рассчитываются
по формулам:
(5)
(6)
Считается, что выборка близка к нормальному
закону распределения, если выполняется следующее условие:
(7)
(8)
Для Y1:*Ex=
=
0,023976266*Sk=
=
0,006006018
,106938978
5*
;
0,106938978
0,774213564
0,42995913
3*
;
0,42995913
0,232495512
Для Y2:*Ex=
=
0,024024267*Sk=
=
0,006018066
0,0,0981
5*
;
0,106938978
0,774988181
0,432059
3*
;
0,42995913
0,232728591
В обоих случаях величины не проходят проверку на
нормальный закон распределения по второму условию,
.
Далее проводится расчет вероятности выхода
годных изделий в данном технологическом процессе. Как известно из условия,
изделие считается годным, если отклонение от номинального значения не превышает
10% для каждого параметра.
Для этого проводится сортировка величин Y и
выделение нужных интервалов. С помощью функции «СЧЕТ», а также построения
отношения попавших в интервал изделий к общему числу возможен подсчет процента
выхода годных изделий. Годное изделие удовлетворяет неравенству:
Для Y1интервал: 2,605747366≤ Y1
≤ 3,56679964
Для Y2 интервал: 2,73798118≤ Y1
≤ 3,7864042
Процент изделий попавших одновременно в оба
интервала составил 69,98% и 69,82%, для Y1иY2соответственно.
1.2 Исследование построенной
имитационной модели на адекватность
Из сформированного набора данных X1, X2, X3, X4,
X5 извлечём случайным образом выборки образцов объемом 40значений. Для этого
воспользуемся функцией «Выборка» в программе MS Excel, а так же рассчитаем
числовые характеристики выборок (анализ данных - описательная статистика).
Числовые характеристики представлены в Приложении Г.
Для выборок Хi рассчитаем
доверительные интервалы для среднего (случай с неизвестной генеральной
дисперсией): расчет полуширины получаем с помощью встроенной функции в Excel
СТЬЮДРАСПОБР, где указываем уровень значимости, количество элементов выборки и
стандартное отклонение. Уровень значимости равен 5%, значение полуширины равно:
Для Х1 = 0,286231
Для Х2 = 0,193029
Для Х3 = 0,146797
Для Х4 = 0,141111
Для Х5 = 0,043364
Доверительный интервал для M (Хi)равен:
,55911≤M (X1)≤ 12,13157
,868825≤M (X2) ≤ 10,25488
,908094≤M (X3) ≤ 8,201688
,855395≤M (X4) ≤ 6,137617
,927415≤M (X5) ≤ 2,014143
Для выборок Хi рассчитаем доверительные
интервалы для среднего (случай с известной генеральной дисперсией):
Используем следующую формулу:
(9)
Доверительный интервал для M (Хi)равен:
,62942≤M (X1) ≤ 12,06125
,87845≤M (X2)≤ 10,24526
,908069≤M (X3) ≤ 8,201713
,887204≤M (X4) ≤ 6,105808
,934857≤M (X5) ≤ 2,006702
Для выборок Хi рассчитаем
доверительные интервалы для среднеквадратичного отклонения, расчет произведем в
Excel с помощью встроенной функции ХИ2ОБР:
0,733139≤
σ(X1)
≤1,149196
,434415≤
σ(X2)
≤0,774995
,375999≤
σ(X3)
≤0,589379
,361436≤
σ(X4)
≤0,566551
,111071≤
σ(X4)
≤0,174103
Осуществим проверку гипотезы о равенстве
математического ожидания для величины X1: m1=12, для X2:
m2=10, для X3:m3=8, для X4: m4=6,
для X5: m5=2:
Процентная точка для всех выборок Хi
одинаковая и равна 2,022691(была рассчитана в Excel с помощью встроенной
функции СТЬЮДРАСПОБР(0,05;40-1)).
Теоретическая точка для X1:
Аналогично расчеты для Х2 - Х5:2=0,648153=0,756344=-0,050085=-1,36298
Гипотеза о равенстве математического ожидания
подтверждается, если ∣Ti∣
меньше процентной точки:
≤ 2,022691
,64815≤ 2,022691
,75634≤ 2,022691
,05008≤ 2,022691
,36298≤ 2,022691
Следовательно, гипотеза о равенстве
математического ожидания подтверждается для всех выборок Хi.
Проверим гипотезу о справедливости нормального
закона распределения для смоделированных величин Х1, Х2,
Х3, Х4, Х5, используя оценки коэффициентов
асимметрии и эксцесса. Алгоритм будет таким же, как и при проверке величин Y1
и Y2 на нормальный закон распределения.
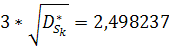
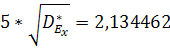
Т.к. все выборки содержат по 40 элементов,
то
и
для всех
выборок будут одинаковы и соответственно равны:
Для выборок Хi асимметричность и
эксцесс возьмем из ранее полученных расчетов.
|
X1
|
X2
|
X3
|
X4
|
X5
|
|
Асимметричность
|
0,112213
|
0,124563
|
-0,0324364
|
-0,3197041
|
-0,42305
|
|
Эксцесс
|
-0,57394
|
-0,619719
|
0,2448355
|
-0,570717
|
0,049428
|
Эксцесс:
,57394≤ 2,498237
,619719≤ 2,498237
,2448355≤ 2,498237
,570717≤ 2,498237
,049428≤ 2,498237
Асимметрия:
,124563≤ 2,134462
,0324364≤ 2,134462
,3197041≤ 2,134462
,42305≤ 2,134462
Гипотеза о нормальном распределении для всех
выборок Хi подтверждена. Так как гипотеза подтвердилась при выборке
в 40 значений, также был проведена аналогичная процедура для выборки в 20
значений, результаты которой совпадают с результатами выборки из 40 значения.
Поэтому можно сказать, что будет нецелесообразно производить выборку в 60
значений. Следовательно, можно снизить издержки и время проведения анализа,
используя малое количество значения для проверки.
2. Построение
статистических моделей технологического процесса
2.1 Анализ влияния входных
факторов на выходные величины
Проверим влияние входных факторов X1,
X2, X3, X4, X5на выходные величины
Y1, Y2. В качестве уровней варьирования входных факторов
выбрать следующие значения: m-2*σ, m-σ, m, m+σ,
m+2*σ.
При каждом уровне варьирования входного фактора
выбираем серию экспериментальных данных, объемом 10 экспериментов. Значения
выборок представлены в Приложении Д.
Далее проведём однофакторный дисперсионный
анализ, а также двухвыборочный F-тест для дисперсии и парный двухвыборочный
t-тест для средних по каждой переменной Y1(X1) … Y1(X5),
Y2(X1)… Y2(X5), для определения оказывает ли
влияние переменная Х на величину Y.
Результаты анализа приведены в Приложении Е.
Сравнив результаты трех анализов можно прийти к
выводу, что на конечный результаты величины Y1 и Y2 максимальное
влияние оказывают величины Х1 и Х3.
2.2 Построение регрессионных
моделей выходных величин технологического процесса
Используя модель пассивного эксперимента,
построим регрессионные модели выходных величин Y1, Y2 на
базе случайных выборок объёмом 30 и 100 образцов. Строки матрицы пассивного
эксперимента выбираются из исходной экспериментальной совокупности случайным
образом.
Регрессионный анализ проводится с помощью
инструмента «Регресс» Пакета анализа. Анализ для выборки Y1из 30
элементов.
Таблица 2.1. - Регрессионный анализ для Y1
(30)
|
Регрессионная
статистика
|
|
|
Множественный
R
|
0,99839262
|
|
|
R-квадрат
|
0,996787823
|
|
|
Нормированный
R-квадрат
|
0,99611862
|
|
|
Стандартная
ошибка
|
0,028886296
|
|
|
Наблюдения
|
30
|
|
|
Дисперсионный
анализ
|
|
|
df
|
SS
|
MS
|
F
|
Значимость
F
|
|
Регрессия
|
5
|
6,214386645
|
1,242877329
|
1489,51384
|
4,35665E-29
|
|
Остаток
|
24
|
0,020026035
|
0,000834418
|
|
|
|
Итого
|
29
|
6,234412679
|
|
|
|
|
Коэффициенты
|
Стандартная
ошибка
|
t-статистика
|
P-Значение
|
|
Y-пересечение
|
3,39838644
|
0,203784234
|
16,67639527
|
1,05814E-14
|
|
Переменная
X 1
|
0,471126661
|
0,009081348
|
51,87849471
|
3,67842E-26
|
|
Переменная
X 2
|
-0,010891523
|
0,010301909
|
-1,057233442
|
0,300931171
|
|
Переменная
X 3
|
-0,740732132
|
0,011027463
|
-67,17158176
|
7,77694E-29
|
|
Переменная
X 4
|
-0,033213095
|
0,014706836
|
-2,258344073
|
0,033291106
|
|
Переменная
X 5
|
0,140561193
|
0,046573017
|
3,01808215
|
0,005944531
|
|
|
Нижние
95%
|
Верхние
95%
|
Нижние
95,0%
|
Верхние
95,0%
|
|
Y-пересечение
|
2,977796452
|
3,818976428
|
2,977796452
|
3,818976428
|
|
Переменная
X 1
|
0,45238368
|
0,489869642
|
0,45238368
|
0,489869642
|
|
Переменная
X 2
|
-0,032153618
|
0,010370572
|
-0,032153618
|
0,010370572
|
|
Переменная
X 3
|
-0,763491697
|
-0,717972567
|
-0,763491697
|
-0,717972567
|
|
Переменная
X 4
|
-0,063566513
|
-0,002859678
|
-0,063566513
|
-0,002859678
|
|
Переменная
X 5
|
0,044439209
|
0,236683176
|
0,044439209
|
0,236683176
|
Можно утверждать, что данная регрессионная
модель работоспособна, так как регрессионная дисперсия значительно больше
остаточной, а коэффициент корреляции близок к единице. Величина R2
очень близка к 100%, что свидетельствует об очень большой точности описания
представленной моделями производственного процесса. В данном контексте введение
нелинейных членов представляется нецелесообразным.
Анализ для выборки Y1из 100элементов.
Таблица 2.2. - Регрессионный анализ для Y1
(100)
|
Регрессионная
статистика
|
|
|
Множественный
R
|
0,997039387
|
|
|
R-квадрат
|
0,994087538
|
|
|
Нормированный
R-квадрат
|
0,993773046
|
|
|
Стандартная
ошибка
|
0,038375074
|
|
|
Наблюдения
|
100
|
|
|
|
df
|
SS
|
MS
|
F
|
Значимость
F
|
|
Регрессия
|
5
|
23,2746193
|
4,65492386
|
3160,924586
|
4,6873E-103
|
|
Остаток
|
94
|
0,138428751
|
0,001472646
|
|
|
|
Итого
|
99
|
23,41304805
|
|
|
|
|
|
Коэффициенты
|
Стандартная
ошибка
|
t-статистика
|
P-Значение
|
|
Y-пересечение
|
3,086998733
|
0,138761971
|
22,2467201
|
3,13047E-39
|
|
Переменная
X 1
|
0,47204449
|
0,005112013
|
92,34023663
|
4,81966E-94
|
|
Переменная
X 2
|
0,018682786
|
0,007090974
|
2,634727901
|
0,009848418
|
|
Переменная
X 3
|
-0,729866866
|
0,008635508
|
-84,5192774
|
1,79194E-90
|
|
Переменная
X 4
|
-0,027955196
|
0,011425801
|
-2,446672661
|
0,01627706
|
|
Переменная
X 5
|
0,084314814
|
0,030947541
|
2,724443088
|
0,007680741
|
|
|
Нижние
95%
|
Верхние
95%
|
Нижние
95,0%
|
Верхние
95,0%
|
|
Y-пересечение
|
2,811483586
|
3,36251388
|
2,811483586
|
3,36251388
|
|
Переменная
X 1
|
0,461894469
|
0,482194512
|
0,461894469
|
0,482194512
|
|
Переменная
X 2
|
0,004603492
|
0,03276208
|
0,004603492
|
0,03276208
|
|
Переменная
X 3
|
-0,747012869
|
-0,712720863
|
-0,747012869
|
-0,712720863
|
|
Переменная
X 4
|
-0,050641392
|
-0,005268999
|
-0,050641392
|
-0,005268999
|
|
Переменная
X 5
|
0,022867746
|
0,145761882
|
0,022867746
|
0,145761882
|
Как и в анализе из 30 элементов, можно утверждать,
что данная регрессионная модель работоспособна, так как регрессионная дисперсия
(4,655) значительно больше остаточной (0,0015), а коэффициент корреляции близок
к единице, что указывает на существование линейной зависимости между
переменными Xи Y. Величина R2 очень близка к 100%. Следовательно
описания данной модели очень точны.
Аналогично проводим анализ для выборки из Y2,
состоящие из 30 и 100 элементов. Результаты приведены в таблице 2.3.и 2.4.
соответственно.
Таблица 2.3. - Регрессионный анализ для Y2
(30)
|
Регрессионная
статистика
|
|
|
Множественный
R
|
0,997948483
|
|
|
R-квадрат
|
0,995901175
|
|
|
Нормированный
R-квадрат
|
0,995047253
|
|
|
Стандартная
ошибка
|
0,03613034
|
|
|
Наблюдения
|
30
|
|
|
Дисперсионный
анализ
|
|
|
df
|
SS
|
MS
|
F
|
Значимость
F
|
|
Регрессия
|
5
|
7,612235213
|
1,522447043
|
1166,26732
|
8,10844E-28
|
|
Остаток
|
24
|
0,031329635
|
0,001305401
|
|
|
|
Итого
|
29
|
7,643564848
|
|
|
|
|
|
Коэффициенты
|
Стандартная
ошибка
|
t-статистика
|
P-Значение
|
|
Y-пересечение
|
3,843970213
|
0,254888807
|
15,08096906
|
9,65523E-14
|
|
Переменная
X 1
|
0,499519858
|
0,011358749
|
43,97666184
|
1,86512E-24
|
|
Переменная
X 2
|
-0,014942618
|
0,0128854
|
-1,159655002
|
0,257596682
|
|
Переменная
X 3
|
-0,840323001
|
0,013792906
|
-60,92428757
|
7,99058E-28
|
|
Переменная
X 4
|
0,005713119
|
0,018394985
|
0,310580241
|
0,758800998
|
|
Переменная
X 5
|
0,140772627
|
0,058252499
|
2,41659379
|
0,023634227
|
|
|
Нижние
95%
|
Верхние
95%
|
Нижние
95,0%
|
Верхние
95,0%
|
|
Y-пересечение
|
3,317905571
|
4,370034856
|
3,317905571
|
4,370034856
|
|
Переменная
X 1
|
0,476076553
|
0,522963164
|
0,476076553
|
0,522963164
|
|
Переменная
X 2
|
-0,041536775
|
0,01165154
|
-0,041536775
|
0,01165154
|
|
Переменная
X 3
|
-0,868790161
|
-0,811855841
|
-0,868790161
|
-0,811855841
|
|
Переменная
X 4
|
-0,032252263
|
0,043678501
|
-0,032252263
|
0,043678501
|
|
Переменная
X 5
|
0,020545378
|
0,260999875
|
0,020545378
|
0,260999875
|
Таблица 2.4. - Регрессионный анализ для Y2
(100)
|
Регрессионная
статистика
|
|
|
Множественный
R
|
0,996740405
|
|
|
R-квадрат
|
0,993491435
|
|
|
Нормированный
R-квадрат
|
0,993145234
|
|
|
Стандартная
ошибка
|
0,043960864
|
|
|
Наблюдения
|
100
|
|
|
Дисперсионный
анализ
|
|
|
df
|
SS
|
MS
|
F
|
|
Регрессия
|
5
|
27,72931557
|
5,545863114
|
2869,701337
|
4,278E-101
|
|
Остаток
|
94
|
0,181660414
|
0,001932558
|
|
|
|
Итого
|
99
|
27,91097598
|
|
|
|
|
|
Коэффициенты
|
Стандартная
ошибка
|
t-статистика
|
P-Значение
|
|
Y-пересечение
|
3,484742642
|
0,158959856
|
21,92215529
|
9,99164E-39
|
|
Переменная
X 1
|
0,503982621
|
0,005856106
|
86,06104428
|
3,34705E-91
|
|
Переменная
X 2
|
0,018584794
|
0,00812312
|
2,287888683
|
0,024385729
|
|
Переменная
X 3
|
-0,8264869
|
0,009892473
|
-83,54704658
|
5,24206E-90
|
|
Переменная
X 4
|
0,007175109
|
0,013088916
|
0,548182051
|
0,584866418
|
|
Переменная
X 5
|
0,065982901
|
0,035452196
|
1,861179484
|
0,065844156
|
|
|
Нижние
95%
|
Верхние
95%
|
Нижние
95,0%
|
Верхние
95,0%
|
|
Y-пересечение
|
3,169124122
|
3,800361161
|
3,169124122
|
3,800361161
|
|
Переменная
X 1
|
0,492355185
|
0,515610057
|
0,492355185
|
0,515610057
|
|
Переменная
X 2
|
0,002456149
|
0,034713439
|
0,002456149
|
0,034713439
|
|
Переменная
X 3
|
-0,846128637
|
-0,806845163
|
-0,846128637
|
-0,806845163
|
|
Переменная
X 4
|
-0,01881324
|
0,033163457
|
-0,01881324
|
0,033163457
|
|
Переменная
X 5
|
-0,004408266
|
0,136374068
|
-0,004408266
|
0,136374068
|
Данная регрессионная модель работоспособна, так
как коэффициент корреляции близок к единице и регрессионная дисперсия
значительно больше остаточной. Однако можно ее улучшить, исключив те входные
факторы, которые не оказываю влияния на величину Y2, то есть
доверительные интервалы которых содержат ноль, поэтому исключаем Х4
и Х2. Результаты повторного регрессионного анализа для
усовершенствованной модели Y2 представлены в таблице 2.5.
Таблица 2.5. - Регрессионный анализ
скорректированной моделиY2 (100)
|
Регрессионная
статистика
|
|
|
Множественный
R
|
0,996547874
|
|
|
R-квадрат
|
0,993107665
|
|
|
Нормированный
R-квадрат
|
0,99289228
|
|
|
Стандартная
ошибка
|
0,044764638
|
|
|
Наблюдения
|
100
|
|
|
Дисперсионный
анализ
|
|
|
df
|
SS
|
MS
|
F
|
Значимость
F
|
|
Регрессия
|
3
|
27,71860419
|
9,23953473
|
4610,838837
|
1,3695E-103
|
|
Остаток
|
96
|
0,192371793
|
0,002003873
|
|
|
|
Итого
|
99
|
27,91097598
|
|
|
|
|
|
Коэффициенты
|
Стандартная
ошибка
|
t-статистика
|
P-Значение
|
|
Y-пересечение
|
3,692239645
|
0,117078469
|
31,53645303
|
1,86779E-52
|
|
X1
|
0,503669686
|
0,005828792
|
86,41064475
|
7,66735E-93
|
|
X5
|
0,069004373
|
0,036044078
|
1,914444128
|
0,058541206
|
|
X3
|
-0,824082761
|
0,010013432
|
-82,29773707
|
7,78122E-91
|
|
|
Нижние
95%
|
Верхние
95%
|
Нижние
95,0%
|
Верхние
95,0%
|
|
Y-пересечение
|
3,459840721
|
3,92463857
|
3,459840721
|
3,92463857
|
|
X1
|
0,492099626
|
0,515239747
|
0,492099626
|
0,515239747
|
|
X5
|
-0,002542556
|
0,140551301
|
-0,002542556
|
0,140551301
|
|
X3
|
-0,843959266
|
-0,804206256
|
-0,843959266
|
-0,804206256
|
Оценим точность построенных регрессионных
моделей в случае, когда входные величины принимают значения, равные
математическому ожиданию. Сопоставим регрессионные и теоретические значения
выходных величин Y1, Y2. Используя регрессионную модель,
оценим предельно возможные отклонения выходных величин Y1, Y2
и сопоставить с отклонениями, наблюдаемыми при имитационном моделировании.
Для Y130 значение по исходной модели:
Для Y130 значение по регрессионной
модели:
,3984+12 * 0,4711+10*(-0,0109) + 8*(-0,7407)+
6*(-0,0332)+ 2*0,1406 =3,0989
Для Y230 значение по исходной модели:
Для Y230 значение по регрессионной
модели:
,8439+12*0,4995+10*(-0,0149)+8*(-0,8403)+6*0,0057+2*0,1408=3,282
Как мы видим, значения очень близки, что
свидетельствует о точности построенных регрессионных моделей.
Определим доверительные интервалы для данных
моделей. Результаты вычислений для обеих моделей представлены в таблице 2.6.
Таблица 2.6. - Доверительные интервалы для
моделей
|
Доверительные
интервалы:
|
Для
Y1 30
|
Для
Y2 30
|
|
min
|
3,086486945
|
3,266398877
|
|
max
|
3,111468863
|
3,297645707
|
Как мы видим, интервалы, полученные при
регрессионном моделировании для Y1 30, полностью входят в интервалы,
наблюдаемые при имитационном моделировании, чего не скажешь про Y2
30.
Регрессионная статистика и расчет значений
приведен в файле Excel.
3. Разработка
рекомендаций по использованию имитационного моделирования в задачах контроля
качества технологического процесса
3.1 Анализ влияния рассеивания
входных факторов на рассеивание выходных величин
Благодаря построенным регрессионным моделям
можно проанализировать влияние рассеивания входных факторов на рассеивание
выходных величин. Исходя из проведенных раннее вычислений и анализа было
выяснено, что наибольшее влияние на Y1 и Y2 оказывают
одни и те же величиныX1и Х3, что упростило работу по
анализу рассеяния.
В ходе анализа влияния рассеивания изменялось
среднеквадратичное отклонение с шагом 0,6 начиная с 0,72 до 0,48 для X1,
и с шагом 0,08 для X3, с 0,48 до 0,16. Используя инструмент Excel
(анализ данных - описательная статистика) мы определили изменения стандартного
отклонения для Y1 и Y2 при изменении стандартного отклонения X1 и Х3.
Результаты вычислений представлены в таблицах 3.1.- 3.2. Для более наглядного
представления информации были созданы графики.
Таблица 3.1. - Изменение стандартного отклонения
Y1 при Х1
|
Стандартное
отклонение Y1
|
Стандартное
отклонение Х1
|
|
0,493469701
|
0,72
|
|
0,474003245
|
0,66
|
|
0,457150583
|
0,6
|
|
0,433826114
|
0,54
|
|
0,41214684
|
0,48
|
Рисунок 3.1. - Изменение стандартного отклонения
Y1 при Х1
Таблица 3.2. - Изменение стандартного отклонения
Y2 при Х1
|
Стандартное
отклонение Y2
|
Стандартное
отклонение Х1
|
|
0,543916901
|
0,72
|
|
0,522728013
|
0,66
|
|
0,506211277
|
0,6
|
|
0,481956584
|
0,54
|
|
0,459483093
|
0,48
|
Рисунок 3.2. - Изменение стандартного отклонения
Y2 при Х1
Таблица 3.3. - Изменение стандартного отклонения
Y1 при Х3
|
Стандартное
отклонение Y1
|
Стандартное
отклонение Х3
|
|
0,493469701
|
0,48
|
|
0,452262394
|
0,4
|
|
0,416674867
|
0,32
|
|
0,387605527
|
0,24
|
|
0,36608703
|
0,16
|
Рисунок 3.3. - Изменение стандартного отклонения
Y1 при Х3
Таблица 3.4. - Изменение стандартного отклонения
Y2 при Х3
|
Стандартное
отклонение Y2
|
Стандартное
отклонение Х3
|
|
0,543916901
|
0,48
|
|
0,495163674
|
0,4
|
|
0,453006813
|
0,32
|
|
0,41847956
|
0,24
|
|
0,392830894
|
0,16
|
Рисунок 3.4. - Изменение стандартного отклонения
Y2 при Х3
Из произведенного выше расчета изменения
рассеивания можно сделать вывод, что при уменьшении стандартного отклонения
входных факторов, уменьшается стандартное отклонение выходных факторов.
В первом разделе данной работы посчитан процент
выхода годных при заданных параметрах входных факторов. Во втором разделе нами
были получены результаты анализа, по которому мы выяснили какой из факторов
оказывает наибольшее влияние на Y1 и Y2. Далее мы
попробуем повлиять на процент выхода годных изделий, изменяя параметры входных
величин, а именно уменьшая коэффициент рассеивания.
Исходя из результатов вычислений в первом
разделе выпуск годных изделий равен 69,98% для У1 и 69,82% длят У2.
Попробуем его улучшить. Нами доказано, что наиболее влиятельные факторы - это Х1
иХ3 поэтому сгенерируем его значения со средним квадратичным
отклонением равным 0,48 для Х1 и 0,16 для Х3 При этом
было получено 76,7% и 75,3% при генерировании Х1 для У1 и
У2 соответственно. При генерировании Х3 мы получили 80,8%
для обоих выходных показателей. Как видно из результатов, произошли
незначительные изменения и выпуск годных изделий увеличился на порядка 10%.
Однако, если сгенерируем оба входные показатели, то получим 95,4% для выходного
У1 и 95% для У2. Очевидно, что данные изменения являются
значительными и выпуск годных изделий увеличился на 25,42% и 25,12% для У1
и У2 соответственно.
Из произведенного выше расчета изменения
рассеивания можно сделать вывод, что при уменьшении стандартного отклонения
входных факторов, уменьшается стандартное отклонение выходных факторов, что
ведет к улучшению технологического процесса и выпуска большего числа годных
изделий.
3.2 Построение карт контроля
имитационный модель технологический
регрессионный
При организации любого производственного
процесса возникает задача установки пределов характеристик изделия, в рамках
которых произведенная продукция удовлетворяет своему предназначению.
Контрольные карты - инструмент, позволяющий
отслеживать изменение показателя качества во времени для определения
стабильности технологического процесса, а также корректировки процесса для
предотвращения выхода показателя качества за допустимые пределы.
Пока значения остаются в пределах контрольных
границ, вмешательство в процесс не требуется. Процесс статистически управляем.
Если значения выходят за контрольные границы, необходимо вмешательство
менеджмента для выявления причин отклонений.
Для контроля по непрерывному признаку, в данной
работе были построены следующие контрольные карты:
- Х - карта. На эту контрольную карту
наносятся значения выборочных средних для того, чтобы контролировать отклонение
от среднего значения непрерывной переменной.
- R - карта. Для контроля за степенью
изменчивости непрерывной величины в контрольной карте этого типа строятся
значения размахов выборок.
Строим Х-карты и R-карты для Y1 и Y2
на основе вычисленных по формулам данных. Результаты вычислений приведены в
таблице в Приложении Ж. Так же в приложении представлены карты контроля.
Удобнее всего карты строит в 3 этапа и на каждом
из них проводить ряд тестов:
. Строим две диаграммы:
верхняя диаграмма: x-карта (текущие значения
xi),
нижняя диаграмма: R-карта (текущий размах Ri).
На первом шаге построения можно провести два
теста:
Тест “6”: Шесть
последовательных точек расположены по возрастанию или по убыванию.
Тест “14”: Есть
14 последовательных точек, чередующихся вверх-вниз.
. Определяем параметры диаграммы, для
чего рассчитываем оценки статистического распределения, а так же верхнюю и
нижнюю границы. На втором шаге построения также можно провести два теста:
Тест одной точки: Точка
выходит за контрольные пределы.
Тест “9”: Девять
последовательных точек находятся с одной стороны от центральной линии.
. Определяем зоны A, B и C на контрольных
картах.
На (завершающем) шаге построения проводят еще
четыре теста:
Тест “3”: Две
из трех последовательных точек находятся с одной стороны от центральной линии в
зоне A или дальше.
Тест “5”: Четыре
из пяти последовательных точек находятся с одной стороны от центральной линии в
зоне B или дальше.
Тест “8”: Восемь
последовательных точек находятся вне зоны C с обеих сторон от центральной
линии.
Тест “15”: Есть
15 последовательных точек в зоне C (по обе стороны от центральной линии).
Контрольные карты представлены в Приложении З.
Результаты тестов для каждой карты приведены
ниже.
Для Y1:
Тест “6”: На
R-карте самая длинная растущая и убывающая последовательность наблюдается из
трех точек. Таким образом, Тест “6” дает отрицательный результат, т.е. у нас
нет оснований считать какие-нибудь из анализируемых точек R-карты особыми.
На x-карте максимально растущая
последовательность наблюдаются из трех точек, а максимальная убывающая из пяти.
Поэтому Тест “6” для x-карты также дает отрицательный результат.
Тест “14”: Максимальный
знакочередующийся рад на R-карте наблюдается из шести точек. Тест “14” для
R-карты дает отрицательный результат.
Для x-карты максимальная знакочередующаяся
последовательность наблюдается из 4 точек. Тест “14” для x-карты также дает
отрицательный результат.
Тест одной точки: Ни
одна из исследуемых точек R-карты и x-карты не выходит за контрольные пределы.
Тест “9”: На
R-карте максимальные последовательности одного знака состоят из трех точек.
На x-карте максимальные последовательности
одного знака состоят из четырех точек.
Таким образом, Тест одной точки и Тест “9” не
выявили особых точек на строящейся диаграмме Шухарта.
Тест “3”: На
R-карте в зоне A находятся только одна точка. На x-карте в зоне A также одна
точка. Тест “3” для карты Шухарта отрицательный.
Тест “5”: Максимальное
количество точек находящихся с одной стороны от центральной линии в зоне B или
дальше для R-карты составляют три случая по одной точке.
Для x-карты случай с двумя точками находящимися
с одной стороны от центральной линии в зоне B или дальше.
Тест “5” для карты Шухарта отрицательный.
Тест “8”: Для
R-карты максимальное количество последовательных точек вне зоны C составляет 3.
Особых точек нет. Тест “8” для R-карты отрицательный.
Максимальная длина ряда последовательных точек
вне зоны C равна 2. Тест “8” для x-карты отрицательный.
Тест “15”: Для
R-карты максимальная длина ряда последовательных точек в зоне C равна девяти.
Для x-карты - два случая по 4 точки.
Тест “15” для строящейся карты отрицательный.
Таким образом,
все 8 тестов дали отрицательный результат. Особых точек на карте Шухарта не
обнаружено. Причин отклонить предположение о том, что рассматриваемая
последовательность подчинена нормальному закону - нет. Это говорит о достаточно
эффективном технологическом процессе, однако некоторые образцы по значениям
приближаются к пограничным значениям, и, следовательно, если никак не повлиять
на это, может быть уменьшен процент выхода годных изделий.
Для Y2:
Тест “6”: На
R-карте самая длинная растущая последовательность наблюдается из четырех точек
и убывающая из трех. Таким образом, Тест “6” дает отрицательный результат, т.е.
у нас нет оснований считать какие-нибудь из анализируемых точек R-карты
особыми.
На x-карте максимально растущая последовательность
наблюдаются из четырех точек, а максимальная убывающая из трех. Поэтому Тест
“6” для x-карты также дает отрицательный результат.
Тест “14”: Максимальный
знакочередующийся рад на R-карте, также как и на x-карте наблюдается из пяти
точек.
Тест “14” дает отрицательный результат.
Тест одной точки: Ни
одна из исследуемых точек R-карты не выходит за контрольные пределы.
Одна из исследуемых точек х-карты выходит за
контрольные пределы
Тест “9”: На
R-карте максимальные последовательности одного знака состоят из четырех точек.
На x-карте максимальные последовательности
одного знака состоят из трех точек.
Таким образом, Тест одной точки и Тест “9” не
выявили особых точек на строящейся диаграмме Шухарта.
Тест “3”: На
R-карте и на x-карте в зоне A отсутствуют точки. Тест “3” для карты Шухарта
отрицательный.
Тест “5”: Максимальное
количество точек находящихся с одной стороны от центральной линии в зоне B или
дальше для R-карты составляют три случая по одной точке.
Для x-карты случай с двумя точками находящимися
с одной стороны от центральной линии в зоне B или дальше.
Тест “5” для карты Шухарта отрицательный.
Тест “8”: Для
R-карты особых точек нет. Тест “8” для R-карты отрицательный.
Максимальная длина ряда последовательных точек
вне зоны C равна двум. Тест “8” для x-карты отрицательный.
Тест “15”: Для
R-карты максимальная длина ряда последовательных точек в зоне C равна четырем.
Для x-карты - пять точек.
Тест “15” для строящейся карты отрицательный.
Таким образом,
только один тест из 8 дал положительный результат. Обнаружена одна особая точка
на карте Шухарт. Причин отклонить предположение о том, что рассматриваемая
последовательность подчинена нормальному закону нет. Возможно это связано с
отклонением от нормы или технологическим процессом.
Заключение
В данной курсовой работе была построена
имитационная модель технологического процесса и проведены на её базе
исследования выходных характеристик технологического процесса с применением
вероятностно-статистических методов.
Были решены следующие задачи:
- Построение методом Монте-Карло
имитационной модели технологического процесса.
- Исследование построенной
имитационной модели на адекватность.
- Оценка и прогнозирование выходных
характеристик технологического процесса с помощью построенных регрессионных
моделей.
Для выполнения курсовой работы был использован
Пакет анализа электронных таблиц MS Excel.
Проделав данную работу мы научились практически
использовать пакет Excel анализ данных и с помощью его определять многие
статистически-математические расчеты по которым можно принимать стратегические
решения управления процессом в зависимости от внешних факторов.
Список использованной литературы
1. Орлов
А.И. Теория принятия решений: учебник для вузов. М.: Изд. «Экзамен», 2006. -
574 с.
2. Емельянов
А.А. Имитационное моделирование экономических процессов. М.: Финансы и
статистика. 2002 - 368 с
3. Шмидт
Б. Искусство моделирования и имитации: Введение в имитационную систему
Simplex3. Изд-во "Финансы и статистика" 2003.
Приложение А
|
X1
|
X2
|
(доп.
Х3)
|
X3
|
X4
|
(доп.
Х5)
|
X5
|
Y1
|
Y2
|
|
12,850958
|
0,435545
|
8,209061
|
5,439817
|
0,979976
|
2,1175971
|
3,352043991
|
3,512538615
|
|
12,376753
|
10,17281
|
0,504065
|
8,241951
|
6,147312
|
-0,30287
|
1,9636552
|
3,067493537
|
3,238417499
|
|
12,027353
|
10,01981
|
1,564331
|
8,750879
|
5,54528
|
0,051391
|
2,0061669
|
2,609896213
|
2,71867746
|
|
11,959909
|
8,763429
|
-1,44051
|
7,308556
|
6,662625
|
-0,69011
|
1,9171872
|
3,546461235
|
3,830644803
|
|
11,397448
|
9,511491
|
-2,39139
|
6,852133
|
6,017564
|
0,689815
|
2,0827778
|
3,699358007
|
3,993782615
|
|
11,336314
|
8,972865
|
0,815676
|
8,391524
|
6,213482
|
-0,42179
|
1,949385
|
2,496844907
|
2,627638745
|
|
11,739493
|
9,627812
|
-0,2087
|
7,899823
|
5,62923
|
-0,60307
|
1,9276321
|
3,014387269
|
3,179657873
|
|
11,664827
|
9,259743
|
1,373028
|
8,659053
|
5,889436
|
1,136652
|
2,1363983
|
2,499779892
|
2,609377757
|
|
12,976423
|
9,887604
|
1,246303
|
8,598226
|
6,256751
|
2,173729
|
2,2608474
|
3,098807233
|
3,251826693
|
|
11,492798
|
9,706233
|
-0,58182
|
7,720725
|
5,550671
|
-2,38739
|
1,7135135
|
3,02146058
|
3,199211533
|
|
12,70701
|
10,0953
|
-0,15108
|
7,92748
|
5,295878
|
-1,42345
|
1,8291865
|
3,493765384
|
3,678845572
|
|
11,207054
|
9,700944
|
0,36443
|
8,174926
|
6,122492
|
-0,59519
|
1,9285767
|
2,579631989
|
2,721150703
|
|
13,646376
|
9,824561
|
0,180945
|
8,086854
|
6,052302
|
-3,9E-05
|
1,9999954
|
3,82299502
|
4,046946035
|
|
12,273724
|
9,66
|
1,51455
|
8,726984
|
6,003126
|
0,720618
|
2,0864741
|
2,71137732
|
2,835629285
|
|
11,126247
|
9,985104
|
0,26829
|
8,128779
|
5,567576
|
-0,06848
|
1,9917822
|
2,593409181
|
2,719582598
|
|
12,163802
|
10,47659
|
-0,98072
|
7,529255
|
6,104603
|
-0,2352
|
1,9717755
|
3,522212734
|
3,760650065
|
|
11,918779
|
10,46596
|
0,607108
|
8,291412
|
6,07027
|
-0,7236
|
1,9131684
|
2,831082644
|
2,983844813
|
|
12,458438
|
10,5067
|
2,069337
|
8,993282
|
5,92422
|
1,519625
|
2,182355
|
2,64960175
|
2,758629275
|
|
11,895563
|
9,619542
|
1,301401
|
8,624672
|
6,414386
|
0,134853
|
2,0161824
|
2,601795736
|
2,735157756
|
|
12,200373
|
9,528869
|
-1,87146
|
7,1017
|
6,078034
|
-0,77992
|
1,9064097
|
3,925903233
|
4,230689172
|
|
13,1753
|
9,329273
|
0,390967
|
8,187664
|
6,138551
|
-1,13505
|
1,8637943
|
3,479384286
|
3,682830637
|
|
12,776092
|
9,442066
|
-0,80136
|
7,615349
|
5,097164
|
0,911657
|
2,1093988
|
3,813770649
|
4,015702128
|
|
11,984053
|
10,54658
|
-0,09281
|
7,95545
|
5,893443
|
0,224678
|
2,0269614
|
3,10155314
|
3,276190412
|
|
12,108836
|
10,17352
|
0,904724
|
8,434268
|
5,607842
|
1,445055
|
2,1734066
|
2,840069079
|
2,966676584
|
|
12,587133
|
9,863027
|
-0,72499
|
7,652006
|
5,350697
|
1,701392
|
2,204167
|
3,674594861
|
3,873548439
|
|
11,586296
|
10,89495
|
0,32175
|
8,15444
|
6,451074
|
-0,51059
|
1,9387292
|
2,76728006
|
2,931699265
|
|
11,474923
|
10,45671
|
0,760265
|
8,364927
|
5,430289
|
0,709456
|
2,0851347
|
2,61540421
|
2,729128249
|
|
12,313895
|
9,162421
|
-1,39759
|
7,329157
|
6,152899
|
1,414446
|
2,1697335
|
3,76918593
|
4,035372582
|
|
11,739081
|
10,88803
|
-0,84527
|
7,594271
|
5,586094
|
-0,73217
|
1,9121395
|
3,268610076
|
3,464278364
|
|
12,888544
|
9,308554
|
0,313222
|
8,150347
|
5,373207
|
-0,29264
|
1,9648835
|
3,394858073
|
3,56286681
|
|
11,944121
|
10,74026
|
1,224321
|
8,587674
|
5,936455
|
1,127937
|
2,1353525
|
2,673943356
|
2,79675885
|
|
12,033197
|
10,08091
|
-0,90173
|
7,567169
|
6,04638
|
-0,46816
|
1,9438205
|
3,414076078
|
3,64026398
|
|
12,931259
|
9,828389
|
-0,49566
|
7,762084
|
5,590542
|
0,076918
|
2,0092302
|
3,746321696
|
3,96258700
|
|
10,534509
|
10,50206
|
0,083826
|
8,040236
|
6,147132
|
1,223996
|
2,1468795
|
2,391653125
|
2,51816132
|
|
12,509392
|
9,50326
|
0,440428
|
8,211406
|
6,036622
|
-0,4379
|
1,9474519
|
3,144421657
|
3,31847886
|
|
10,709986
|
9,912877
|
-0,01174
|
7,994363
|
5,703389
|
-0,05369
|
1,9935572
|
2,489004639
|
2,61662827
|
|
12,831771
|
10,41011
|
1,020471
|
8,489826
|
6,072067
|
-1,68693
|
1,7975683
|
3,106781507
|
3,27267594
|
Приложение Б
Проверка на нормальность распределения по
критерию Пирсона для Y1
|
Карман
|
Частота
|
Теоретическая
частота
|
Скорр.
теор. частота
|
Скорр.
частота
|
Хи-квадрат
|
|
1,857556166
|
1
|
5,257467458
|
|
|
|
|
1,944994312
|
1
|
3,480450592
|
|
|
|
|
2,032432457
|
5
|
5,355630701
|
14,09354875
|
7
|
|
2,119870602
|
7
|
7,973431884
|
7,973431884
|
7
|
0,118840876
|
|
2,207308747
|
7
|
11,4852254
|
11,4852254
|
7
|
1,751576147
|
|
2,294746892
|
12
|
16,00638918
|
16,00638918
|
12
|
1,002796702
|
|
2,382185037
|
19
|
21,58275499
|
21,58275499
|
19
|
0,309071911
|
|
2,469623182
|
26
|
28,15659193
|
28,15659193
|
26
|
0,165179392
|
|
2,557061328
|
37
|
35,53964007
|
35,53964007
|
37
|
0,060007673
|
|
2,644499473
|
56
|
43,40159865
|
43,40159865
|
56
|
3,65700162
|
|
2,731937618
|
67
|
51,28120445
|
51,28120445
|
67
|
4,818149966
|
|
2,819375763
|
72
|
58,62333461
|
58,62333461
|
72
|
3,052285891
|
|
2,906813908
|
67
|
64,83994653
|
64,83994653
|
67
|
0,071959205
|
|
2,994252053
|
84
|
69,38644218
|
69,38644218
|
84
|
3,077778099
|
|
3,081690198
|
74
|
71,84001947
|
71,84001947
|
74
|
0,064943132
|
|
3,169128344
|
74
|
71,96446788
|
71,96446788
|
74
|
0,057575511
|
|
3,256566489
|
52
|
69,74766145
|
69,74766145
|
52
|
4,51598635
|
|
3,344004634
|
52
|
65,40350674
|
65,40350674
|
52
|
2,746855665
|
|
3,431442779
|
51
|
59,33791211
|
59,33791211
|
51
|
1,171608099
|
|
3,518880924
|
55
|
52,08627715
|
52,08627715
|
55
|
0,16299458
|
|
3,606319069
|
43
|
44,23583066
|
44,23583066
|
43
|
0,0345258
|
|
3,693757214
|
27
|
36,34836227
|
36,34836227
|
27
|
2,40428651
|
|
3,781195359
|
20
|
28,89716745
|
28,89716745
|
20
|
2,739354602
|
|
3,868633505
|
22
|
22,22723479
|
22,22723479
|
22
|
0,00232308
|
|
3,95607165
|
17
|
16,54151569
|
16,54151569
|
17
|
0,012707896
|
|
4,043509795
|
12
|
11,91035835
|
11,91035835
|
12
|
0,000674675
|
|
4,13094794
|
7
|
8,297246179
|
8,297246179
|
7
|
0,202820022
|
|
4,218386085
|
6
|
5,592457553
|
5,592457553
|
6
|
0,02969908
|
|
4,30582423
|
10
|
3,64695949
|
3,64695949
|
10
|
11,06706116
|
|
4,393262375
|
4
|
2,301010756
|
5,552914133
|
13
|
9,987384386
|
|
4,480700521
|
3
|
1,404642374
|
|
|
|
|
Еще
|
6
|
1,847261003
|
|
|
|
|
|
|
Статистика
хи-кв.
|
56,85576483
|
|
|
|
Ошибка
|
0,05
|
|
|
|
Число
степеней свободы
|
25
|
|
|
|
Табл.значение
|
14,61140764
|
|
|
|
Проверка
условия
|
не
выполняется
|
Проверка на нормальность распределения по
критерию Пирсона для Y2
|
Карман
|
Частота
|
Теоретическая
частота
|
Скорр.
теор. частота
|
Скорр.
частота
|
Хи-квадрат
|
|
1,926464498
|
1
|
5,383524314
|
|
|
|
|
2,024944679
|
1
|
3,694036775
|
|
|
|
|
2,123424859
|
6
|
5,747806384
|
14,82536747
|
8
|
3,142292508
|
|
2,22190504
|
6
|
8,634163219
|
8,634163219
|
6
|
0,803646594
|
|
2,320385221
|
9
|
12,5214796
|
12,5214796
|
9
|
0,990363674
|
|
2,418865401
|
10
|
17,53106809
|
17,53106809
|
10
|
3,235227098
|
|
2,517345582
|
25
|
23,69618797
|
23,69618797
|
25
|
0,071738366
|
|
2,615825763
|
31
|
30,92188974
|
30,92188974
|
31
|
0,00019731
|
|
2,714305944
|
42
|
38,95570256
|
38,95570256
|
42
|
0,237904755
|
|
2,812786124
|
67
|
47,37983729
|
47,37983729
|
67
|
8,124780636
|
|
2,911266305
|
70
|
55,63314728
|
55,63314728
|
70
|
3,710134467
|
|
3,009746486
|
66
|
63,06541534
|
63,06541534
|
66
|
0,136553245
|
|
3,108226666
|
81
|
69,01865269
|
69,01865269
|
81
|
2,079911411
|
|
3,206706847
|
86
|
72,92212145
|
72,92212145
|
86
|
2,345391276
|
|
3,305187028
|
76
|
74,38232022
|
74,38232022
|
76
|
0,035181584
|
|
3,403667209
|
60
|
73,24833552
|
73,24833552
|
60
|
2,39621
|
|
3,502147389
|
51
|
69,63753814
|
69,63753814
|
51
|
4,98808311
|
|
3,60062757
|
51
|
63,9155691
|
63,9155691
|
51
|
2,60987937
|
|
3,699107751
|
61
|
56,63533835
|
56,63533835
|
61
|
0,336367221
|
|
3,797587931
|
50
|
48,44912161
|
48,44912161
|
50
|
0,049644322
|
|
3,896068112
|
26
|
40,01306874
|
40,01306874
|
26
|
4,907549001
|
|
3,994548293
|
27
|
31,90327936
|
31,90327936
|
27
|
0,753594894
|
|
4,093028473
|
20
|
24,5576198
|
24,5576198
|
20
|
0,845843302
|
|
4,191508654
|
22
|
18,24965474
|
18,24965474
|
22
|
0,770704418
|
|
4,289988835
|
11
|
13,09303786
|
13,09303786
|
11
|
0,334590608
|
|
4,388469016
|
8
|
9,068668618
|
9,068668618
|
8
|
0,125933879
|
|
4,486949196
|
6
|
6,06406602
|
6,06406602
|
6
|
0,000676849
|
|
4,585429377
|
11
|
3,914727401
|
3,914727401
|
11
|
12,82364841
|
3
|
2,439811526
|
5,762621823
|
13
|
9,089550642
|
|
4,782389738
|
5
|
1,46800693
|
|
|
|
|
4,880869919
|
4
|
0,852740574
|
|
|
|
|
Еще
|
1
|
1,002062793
|
|
|
|
|
|
|
Статистика
хи-кв.
|
64,94559895
|
|
|
|
Ошибка
|
0,05
|
|
|
|
Число
степеней свободы
|
24
|
|
|
|
Табл.значение
|
13,84842503
|
|
|
|
Проверка
условия
|
нет
|
Приложение В
Проверка на нормальность распределения по
критерию Колмогорова-Смирнова для Y1
|
ni
|
F*
|
Fт
|
|F*-FT|
|
|
1
|
0,001004
|
0,005279
|
0,004275
|
|
2
|
0,002008
|
0,008773
|
0,006765
|
|
7
|
0,007028
|
0,01415
|
0,007122
|
|
14
|
0,014056
|
0,022156
|
0,008099
|
|
21
|
0,021084
|
0,033687
|
0,012603
|
|
33
|
0,033133
|
0,049758
|
0,016625
|
|
52
|
0,052209
|
0,071427
|
0,019218
|
|
78
|
0,078313
|
0,099697
|
0,021383
|
|
115
|
0,115462
|
0,135379
|
0,019917
|
|
171
|
0,171687
|
0,178955
|
0,007268
|
|
238
|
0,238956
|
0,230442
|
0,008514
|
|
310
|
0,311245
|
0,289301
|
0,021944
|
|
377
|
0,378514
|
0,354401
|
0,024113
|
|
461
|
0,462851
|
0,424066
|
0,038785
|
|
535
|
0,537149
|
0,496195
|
0,040954
|
|
609
|
0,611446
|
0,568448
|
0,042997
|
|
661
|
0,663655
|
0,638476
|
0,025178
|
|
713
|
0,715863
|
0,704142
|
0,011721
|
|
764
|
0,767068
|
0,763719
|
0,00335
|
|
819
|
0,822289
|
0,816014
|
0,006275
|
|
862
|
0,865462
|
0,860427
|
0,005034
|
|
889
|
0,89257
|
0,896922
|
0,004352
|
|
909
|
0,912651
|
0,925935
|
0,013284
|
|
931
|
0,934739
|
0,948252
|
0,013513
|
|
948
|
0,951807
|
0,96486
|
0,013052
|
|
960
|
0,963855
|
0,976818
|
0,012962
|
|
967
|
0,970884
|
0,985148
|
0,014265
|
|
973
|
0,976908
|
0,990763
|
0,013856
|
|
983
|
0,986948
|
0,994425
|
0,007477
|
|
987
|
0,990964
|
0,996735
|
0,005771
|
|
990
|
0,993976
|
0,998145
|
0,004169
|
|
996
|
1
|
0,998145
|
0,001855
|
|
|
λэмп
|
1,356975
|
|
|
λкрит
|
0,895
|
Проверка на нормальность распределения по
критерию Колмогорова-Смирнова для Y2
|
ni
|
F*
|
Fт
|
|F*-FT|
|
|
1
|
0,001006
|
0,005416
|
0,00441
|
|
2
|
0,002012
|
0,009132
|
0,00712
|
|
8
|
0,008048
|
0,014915
|
0,006867
|
|
14
|
0,014085
|
0,023601
|
0,009517
|
|
23
|
0,023139
|
0,036198
|
0,013059
|
|
33
|
0,033199
|
0,053835
|
0,020636
|
|
58
|
0,05835
|
0,077674
|
0,019324
|
|
89
|
0,089537
|
0,108783
|
0,019246
|
|
131
|
0,131791
|
0,147974
|
0,016183
|
|
198
|
0,199195
|
0,19564
|
0,003556
|
|
268
|
0,269618
|
0,251608
|
0,018009
|
|
334
|
0,336016
|
0,315055
|
0,020962
|
|
415
|
0,417505
|
0,38449
|
0,033015
|
|
501
|
0,504024
|
0,457852
|
0,046172
|
|
577
|
0,580483
|
0,532683
|
0,047799
|
|
637
|
0,640845
|
0,606374
|
0,034471
|
|
688
|
0,692153
|
0,676432
|
0,015721
|
|
739
|
0,743461
|
0,740733
|
0,002728
|
|
800
|
0,804829
|
0,79771
|
0,007119
|
|
850
|
0,855131
|
0,846452
|
0,008679
|
|
876
|
0,881288
|
0,886707
|
0,005419
|
|
903
|
0,908451
|
0,918802
|
0,010352
|
|
923
|
0,928571
|
0,943508
|
0,014937
|
|
945
|
0,950704
|
0,961868
|
0,011164
|
|
956
|
0,961771
|
0,97504
|
0,01327
|
|
964
|
0,969819
|
0,984164
|
0,014345
|
|
970
|
0,975855
|
0,990264
|
0,014409
|
|
981
|
0,986922
|
0,994203
|
0,007281
|
|
984
|
0,98994
|
0,996657
|
0,006717
|
|
989
|
0,99497
|
0,998134
|
0,003164
|
|
993
|
0,998994
|
0,998992
|
2,08E-06
|
|
994
|
1
|
0,998992
|
0,001008
|
|
|
λэмп
|
1,50701
|
|
|
λкрит
|
0,895
|
Приложение Г
Выборки для входных факторов X1 - X5 и их
числовые характеристики
|
Х1
|
Х2
|
Х3
|
Х4
|
Х5
|
|
11,33816
|
9,364225
|
7,536213363
|
5,43392
|
1,999454
|
|
11,43779
|
10,5196
|
8,141884993
|
6,401256
|
2,020846
|
|
10,87275
|
9,220121
|
8,547558739
|
6,631871
|
1,821372
|
|
12,506
|
9,883772
|
8,489826198
|
5,352511
|
2,145741
|
|
13,24416
|
9,44362
|
7,67496442
|
5,818474
|
1,938132
|
|
10,91521
|
10,70372
|
6,924313695
|
5,983953
|
2,021145
|
|
11,56955
|
10,49371
|
7,550075154
|
6,339242
|
1,913347
|
|
11,5103
|
9,653784
|
8,57937068
|
5,795806
|
1,929441
|
|
11,4253
|
7,533041773
|
5,430289
|
1,950866
|
|
12,48651
|
10,43553
|
8,190441642
|
5,901073
|
1,803908
|
|
12,96915
|
10,2917
|
8,620839273
|
5,180898
|
1,956229
|
|
11,18476
|
9,90856
|
8,232409002
|
5,082365
|
2,045473
|
|
11,12625
|
10,34481
|
7,743764238
|
6,274652
|
1,934123
|
|
13,37203
|
10,53357
|
7,698098691
|
6,504158
|
1,981396
|
|
10,81478
|
9,321587
|
8,913107942
|
6,364278
|
1,989784
|
|
11,35553
|
9,914129
|
7,755209137
|
5,345878
|
1,97119
|
|
11,0169
|
9,609726
|
7,895729343
|
5,942516
|
2,145587
|
|
12,25904
|
9,017615
|
8,908882066
|
6,556332
|
1,979713
|
|
12,85552
|
9,809559
|
8,258906948
|
5,913712
|
1,77289
|
|
11,48187
|
10,23627
|
7,758048943
|
5,835843
|
1,887077
|
|
11,11861
|
9,889846
|
7,755501631
|
6,14821
|
1,977698
|
|
12,26628
|
11,30866
|
8,413231101
|
6,710766
|
2,088739
|
|
11,94412
|
10,02766
|
7,77059997
|
5,821937
|
2,088221
|
|
10,65571
|
9,752533
|
8,310135874
|
5,658649
|
1,748632
|
|
12,12748
|
10,51621
|
7,792270137
|
6,742633
|
2,057793
|
|
12,85619
|
10,71312
|
8,283635745
|
5,821937
|
1,92584
|
|
12,09632
|
11,01484
|
8,256617204
|
5,805118
|
2,082464
|
|
13,80439
|
10,50847
|
8,020440712
|
6,147132
|
2,035232
|
|
11,72438
|
10,31259
|
8,09972664
|
5,921346
|
1,622325
|
|
11,94572
|
9,914129
|
7,563572419
|
5,994065
|
1,947563
|
|
12,23962
|
9,83555
|
8,39178085
|
6,407675
|
2,125509
|
|
10,54865
|
9,326004
|
8,139470285
|
5,965398
|
2,174827
|
|
12,11145
|
9,727067
|
8,190799074
|
6,488418
|
1,724465
|
|
13,01616
|
11,2144
|
8,212458326
|
5,703157
|
1,923436
|
|
11,1598
|
10,9224
|
8,132131754
|
6,41551
|
1,832872
|
|
10,69802
|
8,978385
|
8,077500954
|
6,07027
|
1,766157
|
|
12,49276
|
9,887604
|
7,129364733
|
5,143369
|
2,066486
|
|
12,6208
|
10,10586
|
9,066824188
|
6,476123
|
2,214365
|
|
12,76972
|
9,852263
|
7,668376222
|
6,22599
|
2,017332
|
|
9,875711
|
9,084566
|
7,968527482
|
6,103512
|
2,203506
|
|
Х1
|
Х2
|
Х3
|
|
Среднее
|
11,8453
|
Среднее
|
10,0618
|
Среднее
|
8,05489128
|
|
Стандартная
ошибка
|
0,14151
|
Стандартная
ошибка
|
0,09543
|
Стандартная
ошибка
|
0,07257513
|
|
Медиана
|
11,8342
|
Медиана
|
9,91412
|
Медиана
|
8,11592919
|
|
Мода
|
#Н/Д
|
Мода
|
9,91412
|
Мода
|
#Н/Д
|
|
Стандартное
отклонение
|
0,89498
|
Стандартное
отклонение
|
0,60356
|
Стандартное
отклонение
|
0,45900547
|
|
Дисперсия
выборки
|
0,80100
|
Дисперсия
выборки
|
0,36428
|
Дисперсия
выборки
|
0,21068602
|
|
Эксцесс
|
-0,57394
|
Эксцесс
|
-0,61972
|
Эксцесс
|
0,24483548
|
|
Асимметричность
|
0,11221
|
Асимметричность
|
0,12456
|
Асимметричность
|
-0,03243639
|
|
Интервал
|
3,92867
|
Интервал
|
2,33027
|
Интервал
|
2,14251049
|
|
Минимум
|
9,87571
|
Минимум
|
8,97838
|
Минимум
|
6,92431369
|
|
Максимум
|
13,8043
|
Максимум
|
11,3086
|
Максимум
|
9,06682418
|
|
Сумма
|
473,813
|
Сумма
|
402,474
|
Сумма
|
322,195651
|
|
Счет
|
40
|
Счет
|
40
|
Счет
|
40
|
|
Уровень
надежности(95,0%)
|
0,28623
|
Уровень
надежности (95,0%)
|
0,19302
|
Уровень
надежности (95,0%)
|
0,14679707
|
|
Х4
|
X5
|
|
Среднее
|
5,996506
|
Среднее
|
1,970779
|
|
Стандартная
ошибка
|
0,069764
|
Стандартная
ошибка
|
0,021439
|
|
Медиана
|
5,974676
|
Медиана
|
1,978706
|
|
Мода
|
5,821937
|
Мода
|
#Н/Д
|
|
Стандартное
отклонение
|
0,441227
|
Стандартное
отклонение
|
0,135591
|
|
Дисперсия
выборки
|
0,194681
|
Дисперсия
выборки
|
0,018385
|
|
Эксцесс
|
-0,57072
|
Эксцесс
|
0,049428
|
|
Асимметричность
|
-0,3197
|
Асимметричность
|
-0,42305
|
|
Интервал
|
1,660268
|
Интервал
|
0,59204
|
|
Минимум
|
5,082365
|
Минимум
|
1,622325
|
|
Максимум
|
6,742633
|
Максимум
|
2,214365
|
|
Сумма
|
239,8602
|
Сумма
|
78,83117
|
|
Счет
|
40
|
Счет
|
40
|
|
Уровень
надежности(95,0%)
|
0,141111
|
Уровень
надежности (95,0%)
|
0,043364
|
Приложение Д
|
Y1
|
Y2
|
|
X1
|
X1
|
|
|
m-1,5σ
|
m-σ
|
m
|
m+σ
|
m+1,5σ
|
|
m-1,5σ
|
m-σ
|
m
|
m+σ
|
m+1,5σ
|
|
|
10,92
|
11,28
|
12,00
|
12,72
|
13,08
|
|
10,92
|
11,28
|
12,00
|
12,72
|
13,08
|
|
1
|
2,626886
|
2,46767
|
2,609896
|
3,317304
|
3,47938
|
1
|
2,765915
|
2,596465
|
2,71868
|
3,51096
|
3,682831
|
|
2
|
3,135894
|
2,58722
|
2,56549
|
3,699322
|
3,58845
|
3,361944
|
2,73473
|
2,68731
|
3,94123
|
3,791382
|
|
3
|
2,304887
|
2,59766
|
2,950267
|
4,424793
|
3,10031
|
3
|
2,425712
|
2,72190
|
3,10463
|
4,77832
|
3,290858
|
|
4
|
2,666901
|
2,74138
|
2,990621
|
2,881781
|
3,36045
|
4
|
2,819377
|
2,88800
|
3,16962
|
3,02493
|
3,562607
|
|
5
|
2,465508
|
2,62434
|
2,900262
|
3,815376
|
3,82746
|
5
|
2,587611
|
2,761284
|
3,03318
|
4,05022
|
4,098505
|
|
6
|
2,574251
|
2,40148
|
2,892414
|
3,827458
|
3,57868
|
6
|
2,724101
|
2,498233
|
3,05704
|
4,06688
|
3,779735
|
|
7
|
2,471105
|
2,73026
|
3,026599
|
2,692106
|
2,95932
|
7
|
2,597541
|
2,889726
|
3,19525
|
2,80587
|
3,100127
|
|
8
|
2,086394
|
2,70793
|
3,097301
|
3,387265
|
3,48344
|
8
|
2,171242
|
2,854489
|
3,27761
|
3,59241
|
3,653282
|
|
9
|
2,199345
|
2,56001
|
2,674851
|
3,65756
|
5,107
|
9
|
2,300952
|
2,679293
|
2,79904
|
3,90766
|
5,572893
|
|
10
|
2,534109
|
2,68038
|
2,830217
|
3,154336
|
3,27452
|
10
|
2,641492
|
2,823822
|
2,96532
|
3,32778
|
3,447345
|
|
X2
|
X2
|
|
|
m-1,5σ
|
m-σ
|
m
|
m+σ
|
m+1,5σ
|
|
m-1,5σ
|
m-σ
|
m
|
m+σ
|
m+1,5σ
|
|
|
9,10
|
9,40
|
10,00
|
10,60
|
10,90
|
|
9,10
|
9,40
|
10,00
|
10,60
|
10,90
|
|
1
|
3,769186
|
3,04229
|
3,10291
|
1,857556
|
2,76454
|
1
|
4,035373
|
3,251359
|
3,29426
|
1,92646
|
2,903198
|
|
2
|
3,655826
|
3,38758
|
2,666901
|
2,465508
|
3,31232
|
2
|
3,891218
|
3,576083
|
2,81938
|
2,58761
|
3,518716
|
|
3
|
2,850506
|
3,57967
|
2,725203
|
3,583961
|
3,45753
|
3
|
2,994278
|
3,781157
|
2,87302
|
3,78839
|
3,704393
|
|
4
|
3,189112
|
2,98178
|
2,44913
|
2,938002
|
2,56549
|
4
|
3,374135
|
3,149464
|
2,59213
|
3,09011
|
2,687312
|
|
5
|
2,981893
|
3,10273
|
3,89838
|
2,996683
|
3,77867
|
5
|
3,154884
|
3,282892
|
4,16963
|
3,18088
|
4,091108
|
|
6
|
2,936303
|
3,30466
|
2,922982
|
2,861963
|
3,27237
|
6
|
3,066067
|
3,520396
|
3,07441
|
3,03617
|
3,447142
|
|
7
|
3,673361
|
3,46605
|
2,644128
|
3,317627
|
2,97971
|
7
|
3,902234
|
3,740384
|
2,78384
|
3,47374
|
3,129482
|
|
8
|
3,665652
|
3,00196
|
3,006398
|
3,500379
|
3,44757
|
8
|
3,891896
|
3,157895
|
3,14793
|
3,71858
|
3,695453
|
|
9
|
2,734505
|
2,85804
|
2,674742
|
2,664556
|
3,01417
|
9
|
2,875907
|
2,988921
|
2,81072
|
2,82425
|
3,215409
|
|
10
|
3,218024
|
3,14442
|
2,505213
|
3,023432
|
2,54501
|
10
|
3,446744
|
3,318479
|
2,62897
|
3,1922
|
2,657213
|
|
X3
|
X3
|
|
|
m-1,5σ
|
m-σ
|
m
|
m+σ
|
m+1,5σ
|
|
m-1,5σ
|
m-σ
|
m
|
m+σ
|
m+1,5σ
|
|
|
7,28
|
7,52
|
8,00
|
8,48
|
8,72
|
|
7,28
|
7,52
|
8,00
|
8,48
|
8,72
|
|
1
|
3,546461
|
2,71442
|
3,064994
|
2,74825
|
2,64267
|
1
|
3,830645
|
2,883562
|
3,24355
|
2,87997
|
2,759397
|
|
2
|
4,363994
|
3,45554
|
3,427684
|
2,968362
|
2,76641
|
2
|
4,689009
|
3,681286
|
3,63852
|
3,1154
|
2,88349
|
|
3
|
3,485248
|
3,36771
|
2,946713
|
2,674175
|
2,56549
|
3
|
3,728391
|
3,549748
|
3,11401
|
2,80155
|
2,687312
|
|
4
|
4,23421
|
3,5855
|
3,588447
|
2,616074
|
2,2404
|
4
|
4,519196
|
3,813187
|
3,79138
|
2,74264
|
2,330533
|
|
5
|
3,816561
|
3,28024
|
3,229156
|
2,409309
|
2,01999
|
5
|
4,113902
|
3,509416
|
3,396
|
2,52262
|
2,113042
|
|
6
|
3,0022
|
3,60746
|
3,285721
|
2,529396
|
2,9363
|
6
|
3,222852
|
3,830467
|
3,50163
|
2,64789
|
3,066067
|
|
7
|
4,162951
|
3,09825
|
3,220895
|
2,474875
|
7
|
4,47484
|
3,307178
|
3,41048
|
2,58564
|
2,506348
|
|
8
|
3,510735
|
3,18912
|
2,759102
|
3,176514
|
2,69642
|
8
|
3,758825
|
3,389945
|
2,90511
|
3,34305
|
2,823926
|
|
9
|
3,574218
|
3,28287
|
3,182009
|
2,201124
|
2,40859
|
9
|
3,842221
|
3,53166
|
3,34963
|
2,30399
|
2,528941
|
|
10
|
3,666036
|
3,50718
|
3,091083
|
2,37757
|
2,50236
|
10
|
3,929687
|
3,748965
|
3,25354
|
2,48757
|
2,633192
|
|
X4
|
X4
|
|
|
m-1,5σ
|
m-σ
|
m
|
m+σ
|
m+1,5σ
|
|
m-1,5σ
|
m-σ
|
m
|
m+σ
|
m+1,5σ
|
|
|
5,46
|
5,64
|
6,00
|
6,36
|
6,54
|
|
5,46
|
5,64
|
6,00
|
6,36
|
6,54
|
|
1
|
2,701314
|
2,61657
|
3,522213
|
2,845349
|
3,18777
|
1
|
2,809326
|
2,726407
|
3,76065
|
3,01058
|
3,407138
|
|
2
|
2,766407
|
2,85051
|
3,135894
|
3,630444
|
2,97843
|
2
|
2,88349
|
2,994278
|
3,36194
|
3,90153
|
3,174544
|
|
3
|
3,195791
|
2,70069
|
3,081514
|
3,392484
|
2,68153
|
3
|
3,364382
|
2,82963
|
3,2612
|
3,61678
|
2,83927
|
|
4
|
2,576868
|
3,97509
|
2,403428
|
3,417156
|
3,37468
|
4
|
2,692691
|
4,232957
|
2,5175
|
3,63045
|
3,620876
|
|
5
|
3,834992
|
3,25756
|
4,274824
|
2,528727
|
2,80769
|
5
|
4,086088
|
3,46567
|
4,61838
|
2,67105
|
2,975382
|
|
6
|
3,302703
|
3,00471
|
2,576924
|
3,045576
|
3,40552
|
6
|
3,47948
|
3,165538
|
2,72288
|
3,20661
|
3,626575
|
|
7
|
3,707781
|
2,96497
|
2,39968
|
3,89838
|
2,53326
|
7
|
3,913125
|
3,110116
|
2,53149
|
4,16963
|
2,655442
|
|
8
|
3,287042
|
3,2153
|
2,830912
|
3,205357
|
3,52527
|
8
|
3,478917
|
3,376772
|
2,97901
|
3,40204
|
3,768279
|
|
9
|
2,75707
|
3,06332
|
2,942912
|
4,123884
|
3,14995
|
9
|
2,874574
|
3,222499
|
3,08595
|
4,47837
|
3,3397
|
|
10
|
2,545008
|
3,19226
|
2,77286
|
2,963232
|
3,5632
|
10
|
2,657213
|
3,36655
|
2,92461
|
3,15882
|
3,815714
|
|
X5
|
X5
|
|
|
m-1,5σ
|
m-σ
|
m
|
m+σ
|
m+1,5σ
|
|
m-1,5σ
|
m-σ
|
m
|
m+σ
|
m+1,5σ
|
|
|
1,82
|
1,88
|
2,00
|
2,12
|
2,18
|
|
1,82
|
1,88
|
2,00
|
2,12
|
2,18
|
|
1
|
2,824901
|
2,54564
|
3,126546
|
3,273736
|
2,6496
|
1
|
2,982316
|
2,679449
|
3,3319
|
3,47474
|
2,758629
|
|
2
|
4,191276
|
4,03907
|
3,411615
|
2,814514
|
3,06499
|
2
|
4,510064
|
4,290474
|
3,66107
|
2,95443
|
3,243548
|
|
3
|
3,10291
|
2,76641
|
3,566297
|
3,146637
|
3,31232
|
3
|
3,294258
|
2,88349
|
3,77987
|
3,326
|
3,518716
|
|
4
|
2,959586
|
3,21431
|
3,536056
|
3,471698
|
2,97197
|
4
|
3,142546
|
3,429034
|
3,7556
|
3,65078
|
3,125763
|
|
5
|
3,374676
|
2,91037
|
2,984191
|
3,588435
|
2,84488
|
5
|
3,620876
|
3,069964
|
3,14399
|
3,79984
|
3,01086
|
|
6
|
3,77867
|
4,0768
|
2,752885
|
4,203395
|
3,11341
|
6
|
4,091108
|
4,371797
|
2,88574
|
4,52041
|
3,307135
|
|
7
|
2,82485
|
3,62621
|
3,800125
|
2,561525
|
1,9703
|
7
|
2,984809
|
3,914884
|
4,03098
|
2,71634
|
2,06022
|
|
8
|
3,286694
|
2,88553
|
3,005771
|
3,405238
|
2,46029
|
8
|
3,476678
|
3,041182
|
3,18128
|
3,63381
|
2,580387
|
|
9
|
4,003767
|
2,76025
|
3,834085
|
2,774788
|
2,47909
|
9
|
4,282516
|
2,895836
|
4,09118
|
2,90264
|
2,578508
|
|
10
|
3,6671
|
2,61977
|
3,155613
|
3,023432
|
3,27697
|
10
|
3,899378
|
2,783733
|
3,3424
|
3,1922
|
3,432915
|
Приложение Е
|
Х1
У1
|
|
|
|
|
|
Однофакторный
дисперсионный анализ
|
|
ИТОГИ
|
|
|
|
|
|
Группы
|
Счет
|
Сумма
|
Среднее
|
Дисперсия
|
|
m-1,5σ
|
10
|
25,0653
|
2,506528
|
0,08401386
|
|
m-σ
|
10
|
2,6098328
|
0,01259778
|
|
m
|
10
|
28,5379
|
2,8537918
|
0,03289095
|
|
m+σ
|
10
|
34,8573
|
3,48573
|
0,25832318
|
|
m+1,5σ
|
10
|
35,759
|
3,5759004
|
0,35213054
|
|
Дисперсионный
анализ
|
|
|
|
|
|
|
Источник
вариации
|
SS
|
df
|
MS
|
F
|
P-Значение
|
F
критическое
|
|
Между
группами
|
9,8451
|
4
|
2,4612869
|
16,6312988
|
1,952E-08
|
2,578739184
|
|
Внутри
групп
|
6,6596
|
45
|
0,1479913
|
|
|
|
|
Итого
|
16,505
|
49
|
|
|
|
|
|
Fкрит<
F,
фактор оказывает влияние
|
|
Двухвыборочный
F-тест для дисперсии
|
|
|
m
|
m+σ
|
|
Среднее
|
2,853791774
|
3,485730019
|
|
Дисперсия
|
0,032890946
|
0,25832318
|
|
Наблюдения
|
10
|
10
|
|
df
|
9
|
9
|
|
F
|
0,127324794
|
|
|
P(F<=f)
одностороннее
|
0,002583468
|
|
|
F
критическое одностороннее
|
0,314574906
|
|
|
F
крит>F расчет, следовательно, фактор оказывает влияние
|
|
Парный
двухвыборочный t-тест для средних
|
|
|
m+σ
|
m+1,5σ
|
|
Среднее
|
3,485730019
|
3,575900384
|
|
Дисперсия
|
0,25832318
|
0,35213054
|
|
Наблюдения
|
10
|
10
|
|
Корреляция
Пирсона
|
0,238622285
|
|
|
Гипотетическая
разность средних
|
0
|
|
|
df
|
9
|
|
|
t-статистика
|
-0,41747507
|
|
|
P(T<=t)
одностороннее
|
0,343056961
|
|
|
t
критическое одностороннее
|
1,833112933
|
|
|
P(T<=t)
двухстороннее
|
0,686113921
|
|
|
t
критическое двухстороннее
|
2,262157163
|
|
|
tстат<tкрит
не оказывает влияние
|
|
Х2
У1
|
|
|
|
|
|
Однофакторный
дисперсионный анализ
|
|
ИТОГИ
|
|
|
|
|
|
Группы
|
Счет
|
Сумма
|
Среднее
|
Дисперсия
|
|
m-1,5σ
|
10
|
32,6744
|
3,2674368
|
0,15372851
|
|
m-σ
|
10
|
31,8692
|
3,1869179
|
0,05561704
|
|
m
|
10
|
28,596
|
2,8595986
|
0,17707818
|
|
m+σ
|
10
|
29,2097
|
2,9209668
|
0,26185052
|
|
m+1,5σ
|
10
|
31,1374
|
3,1137376
|
0,16780165
|
|
Дисперсионный
анализ
|
|
|
|
|
|
|
Источник
вариации
|
SS
|
df
|
MS
|
F
|
P-Значение
|
F
критическое
|
|
Между
группами
|
1,2104
|
4
|
0,3026084
|
1,85404543
|
0,1351589
|
2,578739184
|
|
Внутри
групп
|
7,3447
|
45
|
0,1632152
|
|
|
|
|
Итого
|
8,5551
|
49
|
|
|
|
|
|
Fкрит>
F,
фактор не оказывает влияние
|
|
Двухвыборочный
F-тест для дисперсии
|
|
|
m
|
m+σ
|
|
Среднее
|
2,859598636
|
2,920966803
|
|
Дисперсия
|
0,177078184
|
0,261850521
|
|
Наблюдения
|
10
|
10
|
|
df
|
9
|
9
|
|
F
|
0,676256756
|
|
|
P(F<=f)
одностороннее
|
0,284685036
|
|
|
F
критическое одностороннее
|
0,314574906
|
|
|
F
крит< F расчет, следовательно, фактор не оказывает влияние
|
|
Парный
двухвыборочный t-тест для средних
|
|
|
m+σ
|
m+1,5σ
|
|
Среднее
|
2,920966803
|
3,113737646
|
|
Дисперсия
|
0,261850521
|
0,167801647
|
|
Наблюдения
|
10
|
10
|
|
Корреляция
Пирсона
|
0,3434772
|
|
|
Гипотетическая
разность средних
|
0
|
|
|
df
|
9
|
|
|
t-статистика
|
-1,140565225
|
|
|
P(T<=t)
одностороннее
|
0,141746069
|
|
|
t
критическое одностороннее
|
1,833112933
|
|
|
P(T<=t)
двухстороннее
|
0,283492138
|
|
|
t
критическое двухстороннее
|
2,262157163
|
|
|
tстат<tкрит
не оказывает влияние
|
|
Х3
У1
|
|
|
|
|
|
Однофакторный
дисперсионный анализ
|
|
ИТОГИ
|
|
|
|
|
|
Группы
|
Счет
|
Сумма
|
Среднее
|
Дисперсия
|
|
m-1,5σ
|
10
|
37,3626
|
3,7362615
|
0,17227134
|
|
m-σ
|
10
|
33,0883
|
3,3088305
|
0,07150499
|
|
m
|
10
|
31,7958
|
3,1795803
|
0,05512835
|
|
m+σ
|
10
|
26,1757
|
2,6175651
|
0,08425489
|
|
m+1,5σ
|
10
|
25,1827
|
2,5182735
|
0,07073065
|
|
|
|
|
|
|
Дисперсионный
анализ
|
|
|
|
|
|
|
Источник
вариации
|
SS
|
df
|
MS
|
F
|
P-Значение
|
F
критическое
|
|
Между
группами
|
10,22
|
4
|
2,5550739
|
28,1463854
|
9,672E-12
|
2,578739184
|
|
Внутри
групп
|
4,085
|
45
|
0,090778
|
|
|
|
|
Итого
|
14,305
|
49
|
|
|
|
|
|
Fкрит<
F,
фактор оказывает влияние
|
|
Двухвыборочный
F-тест для дисперсии
|
|
|
m
|
m+σ
|
|
Среднее
|
3,179580314
|
2,617565103
|
|
Дисперсия
|
0,055128353
|
0,084254893
|
|
Наблюдения
|
10
|
10
|
|
df
|
9
|
9
|
|
F
|
0,654304472
|
|
|
P(F<=f)
одностороннее
|
0,268733539
|
|
|
F
критическое одностороннее
|
0,314574906
|
|
|
F
крит< F расчет, следовательно, фактор не оказывает влияние
|
|
Парный
двухвыборочный t-тест для средних
|
|
|
m+σ
|
m+1,5σ
|
|
Среднее
|
2,617565103
|
2,518273542
|
|
Дисперсия
|
0,084254893
|
0,070730653
|
|
Наблюдения
|
10
|
10
|
|
Корреляция
Пирсона
|
0,487441935
|
|
|
Гипотетическая
разность средних
|
0
|
|
|
df
|
9
|
|
|
t-статистика
|
1,112010534
|
|
|
P(T<=t)
одностороннее
|
0,147477031
|
|
|
t
критическое одностороннее
|
1,833112933
|
|
|
P(T<=t)
двухстороннее
|
0,294954062
|
|
|
t
критическое двухстороннее
|
2,262157163
|
|
|
tстат<tкрит
не оказывает влияние
|
|
Х5
У1
|
|
|
|
|
|
Однофакторный
дисперсионный анализ
|
|
|
ИТОГИ
|
|
|
|
|
|
Группы
|
Счет
|
Сумма
|
Среднее
|
Дисперсия
|
|
m-1,5σ
|
10
|
34,0144
|
3,4014429
|
0,2402897
|
|
m-σ
|
10
|
31,4444
|
3,1444352
|
0,32809136
|
|
m
|
10
|
33,1732
|
0,13422679
|
|
m+σ
|
10
|
32,2634
|
3,2263397
|
0,22702255
|
|
m+1,5σ
|
10
|
28,1438
|
2,8143841
|
0,1797068
|
|
Дисперсионный
анализ
|
|
|
|
|
|
|
Источник
вариации
|
SS
|
df
|
MS
|
F
|
P-Значение
|
F
критическое
|
|
Между
группами
|
2,0498
|
4
|
0,5124436
|
2,30968364
|
0,0723588
|
2,578739184
|
|
Внутри
групп
|
9,984
|
45
|
0,2218674
|
|
|
|
|
Итого
|
12,034
|
49
|
|
|
|
|
|
Fкрит>
F,
фактор не оказывает влияние
|
|
Двухвыборочный
F-тест для дисперсии
|
|
|
|
m
|
m+σ
|
|
Среднее
|
3,317318282
|
3,226339726
|
|
Дисперсия
|
0,134226792
|
0,22702255
|
|
Наблюдения
|
10
|
10
|
|
df
|
9
|
9
|
|
F
|
0,591248722
|
|
|
P(F<=f)
одностороннее
|
0,222878421
|
|
|
F
критическое одностороннее
|
0,314574906
|
|
|
F
крит< F расчет, следовательно, фактор не оказывает влияние
|
|
Парный
двухвыборочный t-тест для средних
|
|
|
m+σ
|
m+1,5σ
|
|
Среднее
|
3,226339726
|
2,814384077
|
|
Дисперсия
|
0,22702255
|
0,179706802
|
|
Наблюдения
|
10
|
10
|
|
Корреляция
Пирсона
|
0,410661796
|
|
|
Гипотетическая
разность средних
|
0
|
|
|
df
|
9
|
|
|
t-статистика
|
2,654547333
|
|
|
P(T<=t)
одностороннее
|
0,013139799
|
|
|
t
критическое одностороннее
|
1,833112933
|
|
|
P(T<=t)
двухстороннее
|
0,026279597
|
|
|
t
критическое двухстороннее
|
2,262157163
|
|
|
tстат>tкрит,
оказывает влияние
|
|
Х1
У2
|
|
|
|
|
|
Однофакторный
дисперсионный анализ
|
|
ИТОГИ
|
|
|
|
|
|
Группы
|
Счет
|
Сумма
|
Среднее
|
Дисперсия
|
|
m-1,5σ
|
10
|
26,3959
|
2,6395885
|
0,10682911
|
|
m-σ
|
10
|
27,4479
|
2,7447936
|
0,01641939
|
|
m
|
10
|
30,0077
|
3,0007683
|
0,04197377
|
|
m+σ
|
10
|
37,0062
|
3,7006242
|
0,32915347
|
|
m+1,5σ
|
10
|
37,9796
|
3,7979563
|
0,46641338
|
|
Дисперсионный
анализ
|
|
|
|
|
|
|
Источник
вариации
|
SS
|
df
|
MS
|
F
|
P-Значение
|
F
критическое
|
|
Между
группами
|
11,664
|
4
|
2,9160996
|
15,1755443
|
6,296E-08
|
2,578739184
|
|
Внутри
групп
|
8,6471
|
45
|
0,1921578
|
|
|
|
|
Итого
|
20,312
|
49
|
|
|
|
|
|
Fкрит<
F,
фактор оказывает влияние
|
|
Двухвыборочный
F-тест для дисперсии
|
|
|
m-1,5σ
|
m+1,5σ
|
|
Среднее
|
2,639588534
|
3,797956306
|
|
Дисперсия
|
0,106829108
|
0,466413383
|
|
Наблюдения
|
10
|
10
|
|
df
|
9
|
9
|
|
F
|
0,229043832
|
|
|
P(F<=f)
одностороннее
|
0,0194209
|
|
|
F
критическое одностороннее
|
0,314574906
|
|
|
F
крит> F расчет, следовательно, фактор оказывает влияние
|
|
Парный
двухвыборочный t-тест для средних
|
|
|
m-σ
|
m
|
|
Среднее
|
2,744793577
|
3,00076829
|
|
Дисперсия
|
0,016419389
|
0,041973768
|
|
Наблюдения
|
10
|
10
|
|
Корреляция
Пирсона
|
0,518165377
|
|
|
Гипотетическая
разность средних
|
0
|
|
|
df
|
9
|
|
|
t-статистика
|
-4,58363135
|
|
|
P(T<=t)
одностороннее
|
0,000660481
|
|
|
t
критическое одностороннее
|
1,833112933
|
|
|
P(T<=t)
двухстороннее
|
0,001320961
|
|
|
t
критическое двухстороннее
|
2,262157163
|
|
|
tстат<tкрит
не оказывает влияние
|
|
Х2
У2
|
|
|
|
|
|
Однофакторный
дисперсионный анализ
|
|
ИТОГИ
|
|
|
|
|
|
Группы
|
Счет
|
Сумма
|
Среднее
|
Дисперсия
|
|
m-1,5σ
|
10
|
34,6327
|
3,4632734
|
0,19032115
|
|
m-σ
|
10
|
33,767
|
3,3767028
|
0,07044865
|
|
m
|
10
|
30,1943
|
3,0194287
|
0,21262127
|
|
m+σ
|
10
|
30,8184
|
3,0818392
|
0,30309903
|
|
m+1,5σ
|
10
|
33,0494
|
3,3049426
|
0,22191743
|
|
Дисперсионный
анализ
|
|
|
|
|
|
|
Источник
вариации
|
SS
|
df
|
MS
|
F
|
P-Значение
|
F
критическое
|
|
Между
группами
|
1,46
|
4
|
0,3649903
|
1,82786248
|
0,1400733
|
2,578739184
|
|
Внутри
групп
|
8,9857
|
45
|
0,1996815
|
|
|
|
|
Итого
|
10,446
|
49
|
|
|
|
|
|
Fкрит>
F,
фактор не оказывает влияние
|
|
Двухвыборочный
F-тест для дисперсии
|
|
|
m-1,5σ
|
m+1,5σ
|
|
Среднее
|
3,463273449
|
3,304942578
|
|
Дисперсия
|
0,190321147
|
0,221917427
|
|
Наблюдения
|
10
|
10
|
|
df
|
9
|
9
|
|
F
|
0,857621457
|
|
|
P(F<=f)
одностороннее
|
0,411385292
|
|
|
F
критическое одностороннее
|
0,314574906
|
|
|
F
крит< F расчет, следовательно, фактор не оказывает влияние
|
|
Парный
двухвыборочный t-тест для средних
|
|
|
m-σ
|
m
|
|
Среднее
|
3,376702837
|
3,019428725
|
|
Дисперсия
|
0,070448646
|
0,212621269
|
|
Наблюдения
|
10
|
10
|
|
Корреляция
Пирсона
|
-0,133073018
|
|
|
Гипотетическая
разность средних
|
0
|
|
|
df
|
9
|
|
|
t-статистика
|
2,01095997
|
|
|
P(T<=t)
одностороннее
|
0,037605729
|
|
|
t
критическое одностороннее
|
1,833112933
|
|
|
P(T<=t)
двухстороннее
|
0,075211458
|
|
|
t
критическое двухстороннее
|
2,262157163
|
|
|
tстат<tкрит
не оказывает влияние
|
|
Х3
У2
|
|
|
|
|
|
Однофакторный
дисперсионный анализ
|
|
ИТОГИ
|
|
|
|
|
|
Группы
|
Счет
|
Сумма
|
Среднее
|
Дисперсия
|
|
m-1,5σ
|
10
|
40,1096
|
4,0109566
|
0,19732884
|
|
m-σ
|
10
|
35,2454
|
3,5245415
|
0,08099712
|
|
m
|
10
|
33,6038
|
3,3603845
|
0,0644454
|
|
m+σ
|
10
|
27,4303
|
2,7430312
|
|
m+1,5σ
|
10
|
26,3322
|
2,6332248
|
0,07715358
|
|
Дисперсионный
анализ
|
|
|
|
|
|
|
Источник
вариации
|
SS
|
df
|
MS
|
F
|
P-Значение
|
F
критическое
|
|
Между
группами
|
13,039
|
4
|
3,2598595
|
31,610904
|
1,496E-12
|
2,578739184
|
|
Внутри
групп
|
4,6406
|
45
|
0,1031245
|
|
|
|
|
Итого
|
17,68
|
49
|
|
|
|
|
|
Fкрит<
F,
фактор оказывает влияние
|
|
Двухвыборочный
F-тест для дисперсии
|
|
|
|
m-1,5σ
|
m+1,5σ
|
|
Среднее
|
4,010956604
|
2,633224754
|
|
Дисперсия
|
0,197328836
|
0,077153577
|
|
Наблюдения
|
10
|
10
|
|
df
|
9
|
9
|
|
F
|
2,557610972
|
|
|
P(F<=f)
одностороннее
|
0,089022468
|
|
|
F
критическое одностороннее
|
3,178893104
|
|
|
F
крит> F расчет, следовательно, фактор оказывает влияние
|
|
Парный
двухвыборочный t-тест для средних
|
|
|
m-σ
|
m
|
|
Среднее
|
3,524541499
|
3,360384496
|
|
Дисперсия
|
0,080997119
|
0,064445405
|
|
Наблюдения
|
10
|
10
|
|
Корреляция
Пирсона
|
0,470116587
|
|
|
Гипотетическая
разность средних
|
0
|
|
|
df
|
9
|
|
|
t-статистика
|
1,864556489
|
|
|
P(T<=t)
одностороннее
|
0,047560186
|
|
|
t
критическое одностороннее
|
1,833112933
|
|
|
P(T<=t)
двухстороннее
|
0,095120372
|
|
|
t
критическое двухстороннее
|
2,262157163
|
|
|
tстат<tкрит
не оказывает влияние
|
|
Х4
У2
|
|
|
|
|
|
Однофакторный
дисперсионный анализ
|
|
ИТОГИ
|
|
|
|
|
|
Группы
|
Счет
|
Сумма
|
Среднее
|
Дисперсия
|
|
m-1,5σ
|
10
|
32,2393
|
3,2239287
|
0,2646205
|
|
m-σ
|
10
|
32,4904
|
3,2490417
|
0,17623067
|
|
m
|
10
|
31,7636
|
3,1763612
|
0,40317363
|
|
m+σ
|
10
|
35,2458
|
3,5245848
|
0,30335656
|
|
m+1,5σ
|
10
|
33,2229
|
3,322292
|
0,16130975
|
|
Дисперсионный
анализ
|
|
|
|
|
|
|
Источник
вариации
|
SS
|
df
|
MS
|
F
|
P-Значение
|
F
критическое
|
|
Между
группами
|
0,746
|
4
|
0,1865063
|
0,71256821
|
0,5876837
|
2,578739184
|
|
Внутри
групп
|
11,778
|
45
|
0,2617382
|
|
|
|
|
Итого
|
12,524
|
49
|
|
|
|
|
|
Fкрит>
F,
фактор не оказывает влияние
|
|
Двухвыборочный
F-тест для дисперсии
|
|
|
m-1,5σ
|
m+1,5σ
|
|
Среднее
|
3,223928722
|
3,322291972
|
|
Дисперсия
|
0,264620502
|
0,161309748
|
|
Наблюдения
|
10
|
10
|
|
df
|
9
|
9
|
|
F
|
1,640449542
|
|
|
P(F<=f)
одностороннее
|
0,236185654
|
|
|
F
критическое одностороннее
|
3,178893104
|
|
|
F
крит> F расчет, следовательно, фактор оказывает влияние
|
|
Парный
двухвыборочный t-тест для средних
|
|
|
m-σ
|
m
|
|
Среднее
|
3,24904166
|
3,176361155
|
|
Дисперсия
|
0,176230671
|
0,403173635
|
|
Наблюдения
|
10
|
10
|
|
Корреляция
Пирсона
|
-0,270547282
|
|
|
Гипотетическая
разность средних
|
0
|
|
|
df
|
9
|
|
|
t-статистика
|
0,270182941
|
|
|
P(T<=t)
одностороннее
|
0,396556436
|
|
|
t
критическое одностороннее
|
1,833112933
|
|
|
P(T<=t)
двухстороннее
|
0,793112871
|
|
|
t
критическое двухстороннее
|
2,262157163
|
|
|
tстат<tкрит
не оказывает влияние
|
|
Х5
У2
|
|
|
|
|
|
Однофакторный
дисперсионный анализ
|
|
ИТОГИ
|
|
|
|
|
|
Группы
|
Счет
|
Сумма
|
Среднее
|
Дисперсия
|
|
m-1,5σ
|
10
|
36,2846
|
3,6284551
|
0,29946017
|
|
m-σ
|
10
|
33,3598
|
3,3359843
|
0,40221311
|
|
m
|
10
|
35,204
|
3,5204006
|
0,16173435
|
|
m+σ
|
10
|
34,1712
|
3,4171201
|
0,27748332
|
|
m+1,5σ
|
10
|
29,6167
|
2,961668
|
0,21183841
|
|
Дисперсионный
анализ
|
|
|
|
|
|
|
Источник
вариации
|
SS
|
df
|
MS
|
F
|
P-Значение
|
F
критическое
|
|
Между
группами
|
2,5949
|
4
|
0,6487365
|
2,39787991
|
0,0640985
|
2,578739184
|
|
Внутри
групп
|
12,175
|
45
|
0,2705459
|
|
|
|
|
Итого
|
14,77
|
49
|
|
|
|
|
|
Fкрит>
F,
фактор не оказывает влияние
|
|
Двухвыборочный
F-тест для дисперсии
|
|
|
m-1,5σ
|
m+1,5σ
|
|
Среднее
|
3,628455059
|
2,961668005
|
|
Дисперсия
|
0,299460167
|
0,211838406
|
|
Наблюдения
|
10
|
10
|
|
df
|
9
|
9
|
|
F
|
1,413625478
|
|
|
P(F<=f)
одностороннее
|
0,307192397
|
|
|
F
критическое одностороннее
|
3,178893104
|
|
|
F
крит> F расчет, следовательно, фактор оказывает влияние
|
|
Парный
двухвыборочный t-тест для средних
|
|
|
m-σ
|
m
|
|
Среднее
|
3,335984295
|
3,520400601
|
|
Дисперсия
|
0,402213107
|
0,161734345
|
|
Наблюдения
|
10
|
10
|
|
Корреляция
Пирсона
|
-0,06627262
|
|
|
Гипотетическая
разность средних
|
0
|
|
|
df
|
9
|
|
|
t-статистика
|
-0,754289885
|
|
|
P(T<=t)
одностороннее
|
0,234974951
|
|
|
t
критическое одностороннее
|
1,833112933
|
|
|
P(T<=t)
двухстороннее
|
0,469949903
|
|
|
t
критическое двухстороннее
|
2,262157163
|
|
|
tстат<tкрит
не оказывает влияние
|
Приложение Ж
Данные для построения контрольных карт.
|
Статистика
X
|
Центральное
Х
|
Нижняя
граница
|
Верхняя
граница
|
Выборочные
средние
|
Нижняя
граница Х 2/3
|
Верхняя
граница Х 2/3
|
Нижняя
граница Х 1/3
|
Верхняя
граница Х 1/3
|
|
1
|
3,0638
|
2,7327
|
3,3949
|
2,9651
|
2,8431
|
3,2846
|
3,1742
|
2,9535
|
|
2
|
3,0638
|
2,7327
|
3,3949
|
3,1402
|
2,8431
|
3,2846
|
3,1742
|
2,9535
|
|
3
|
3,0638
|
2,7327
|
3,3949
|
2,8431
|
3,2846
|
3,1742
|
2,9535
|
|
4
|
3,0638
|
2,7327
|
3,3949
|
3,1107
|
2,8431
|
3,2846
|
3,1742
|
2,9535
|
|
5
|
3,0638
|
2,7327
|
3,3949
|
3,0683
|
2,8431
|
3,2846
|
3,1742
|
2,9535
|
|
6
|
3,0638
|
2,7327
|
3,3949
|
3,2101
|
2,8431
|
3,2846
|
3,1742
|
2,9535
|
|
7
|
3,0638
|
2,7327
|
3,3949
|
2,9919
|
2,8431
|
3,2846
|
3,1742
|
2,9535
|
|
8
|
3,0638
|
2,7327
|
3,3949
|
3,1023
|
2,8431
|
3,2846
|
3,1742
|
2,9535
|
|
9
|
3,0638
|
2,7327
|
3,3949
|
3,0389
|
2,8431
|
3,2846
|
3,1742
|
2,9535
|
|
10
|
3,0638
|
2,7327
|
3,3949
|
2,9683
|
2,8431
|
3,2846
|
3,1742
|
2,9535
|
|
11
|
3,0638
|
2,7327
|
3,3949
|
2,9363
|
2,8431
|
3,2846
|
3,1742
|
2,9535
|
|
12
|
3,0638
|
2,7327
|
3,3949
|
2,8843
|
2,8431
|
3,2846
|
3,1742
|
2,9535
|
|
13
|
3,0638
|
2,7327
|
3,3949
|
3,1382
|
2,8431
|
3,2846
|
3,1742
|
2,9535
|
|
14
|
3,0638
|
2,7327
|
3,3949
|
2,9545
|
2,8431
|
3,2846
|
3,1742
|
2,9535
|
|
15
|
3,0638
|
2,7327
|
3,3949
|
3,1685
|
2,8431
|
3,2846
|
3,1742
|
2,9535
|
|
16
|
3,0638
|
2,7327
|
3,3949
|
3,1158
|
2,8431
|
3,2846
|
3,1742
|
2,9535
|
|
17
|
3,0638
|
2,7327
|
3,3949
|
2,9738
|
2,8431
|
3,2846
|
3,1742
|
2,9535
|
|
18
|
3,0638
|
2,7327
|
3,3949
|
3,1233
|
2,8431
|
3,2846
|
3,1742
|
2,9535
|
|
19
|
3,0638
|
2,7327
|
3,3949
|
3,3203
|
2,8431
|
3,2846
|
3,1742
|
2,9535
|
|
20
|
3,0638
|
2,7327
|
3,3949
|
3,0313
|
2,8431
|
3,2846
|
3,1742
|
2,9535
|
|
Шаг
|
0,110372723
|
|
|
Статистика
R
|
Центральное
R
|
Нижняя
граница
|
Верхняя
граница
|
Размах
|
Нижняя
граница R 2/3
|
Верхняя
граница R 2/3
|
Нижняя
граница R 1/3
|
Верхняя
граница R 1/3
|
|
1
|
1,8431
|
0,7544
|
2,8836
|
1,8165
|
1,1092
|
2,5287
|
1,4882
|
2,1980
|
|
2
|
1,8431
|
0,7544
|
2,8836
|
1,6771
|
1,1092
|
2,5287
|
1,4882
|
2,1980
|
|
3
|
1,8431
|
0,7544
|
2,8836
|
1,7789
|
1,1092
|
2,5287
|
1,4882
|
2,1980
|
|
4
|
1,8431
|
0,7544
|
2,8836
|
2,3422
|
1,1092
|
2,5287
|
1,4882
|
2,1980
|
|
5
|
1,8431
|
0,7544
|
2,8836
|
1,5944
|
1,1092
|
2,5287
|
1,4882
|
2,1980
|
|
6
|
1,8431
|
0,7544
|
2,8836
|
1,7581
|
1,1092
|
2,5287
|
1,4882
|
2,1980
|
|
7
|
1,8431
|
0,7544
|
2,8836
|
1,9785
|
1,1092
|
2,5287
|
1,4882
|
2,1980
|
|
8
|
1,8431
|
0,7544
|
2,8836
|
1,4758
|
1,1092
|
2,5287
|
1,4882
|
2,1980
|
|
9
|
1,8431
|
0,7544
|
2,8836
|
2,6412
|
1,1092
|
2,5287
|
1,4882
|
2,1980
|
|
10
|
1,8431
|
0,7544
|
2,8836
|
1,4899
|
1,1092
|
2,5287
|
1,4882
|
2,1980
|
|
11
|
1,8431
|
0,7544
|
2,8836
|
1,8906
|
1,1092
|
2,5287
|
1,4882
|
2,1980
|
|
12
|
1,8431
|
0,7544
|
2,8836
|
1,6308
|
1,1092
|
2,5287
|
1,4882
|
2,1980
|
|
13
|
1,8431
|
0,7544
|
2,8836
|
1,9766
|
1,1092
|
2,5287
|
1,4882
|
2,1980
|
|
14
|
1,8431
|
0,7544
|
2,8836
|
1,7386
|
1,1092
|
2,5287
|
1,4882
|
2,1980
|
|
15
|
1,8431
|
0,7544
|
2,8836
|
1,7198
|
1,1092
|
2,5287
|
1,4882
|
2,1980
|
|
16
|
1,8431
|
0,7544
|
2,8836
|
1,9268
|
1,1092
|
2,5287
|
1,4882
|
2,1980
|
|
17
|
1,8431
|
0,7544
|
2,8836
|
1,6541
|
1,1092
|
2,5287
|
1,4882
|
2,1980
|
|
18
|
1,8431
|
0,7544
|
2,8836
|
2,4817
|
1,1092
|
2,5287
|
1,4882
|
2,1980
|
|
19
|
1,8431
|
0,7544
|
2,8836
|
2,0846
|
1,1092
|
2,5287
|
1,4882
|
2,1980
|
|
20
|
1,8431
|
0,7544
|
2,8836
|
1,4335
|
1,1092
|
2,5287
|
1,4882
|
2,1980
|
|
Шаг
|
0,354864491
|
Статистика
X
|
Центральное
Х
|
Нижняя
граница
|
Верхняя
граница
|
Выборочные
средние
|
Нижняя
граница Х 2/3
|
Верхняя
граница Х 2/3
|
Нижняя
граница Х 1/3
|
Верхняя
граница Х 1/3
|
|
1
|
3,2386
|
2,8737
|
3,6036
|
3,3664
|
2,9953
|
3,4819
|
3,1170
|
3,3603
|
|
2
|
3,2386
|
2,8737
|
3,6036
|
3,0896
|
2,9953
|
3,4819
|
3,1170
|
3,3603
|
|
3
|
3,2386
|
2,8737
|
3,6036
|
3,3926
|
2,9953
|
3,4819
|
3,1170
|
3,3603
|
|
4
|
3,2386
|
2,8737
|
3,6036
|
3,6163
|
2,9953
|
3,4819
|
3,1170
|
3,3603
|
|
5
|
3,2386
|
2,8737
|
3,6036
|
3,1794
|
2,9953
|
3,4819
|
3,1170
|
3,3603
|
|
6
|
3,2386
|
2,8737
|
3,6036
|
3,4642
|
2,9953
|
3,4819
|
3,1170
|
3,3603
|
|
7
|
3,2386
|
2,8737
|
3,6036
|
3,3140
|
2,9953
|
3,4819
|
3,1170
|
3,3603
|
|
8
|
3,2386
|
2,8737
|
3,6036
|
3,2208
|
2,9953
|
3,4819
|
3,1170
|
3,3603
|
|
9
|
3,2386
|
2,8737
|
3,6036
|
3,2969
|
2,9953
|
3,4819
|
3,1170
|
3,3603
|
|
10
|
3,2386
|
2,8737
|
3,6036
|
3,3370
|
2,9953
|
3,4819
|
3,1170
|
3,3603
|
|
11
|
3,2386
|
2,8737
|
3,6036
|
3,3594
|
2,9953
|
3,4819
|
3,1170
|
3,3603
|
|
12
|
3,2386
|
2,8737
|
3,6036
|
3,1685
|
2,9953
|
3,4819
|
3,1170
|
3,3603
|
|
13
|
3,2386
|
2,8737
|
3,6036
|
3,2699
|
2,9953
|
3,4819
|
3,1170
|
3,3603
|
|
14
|
3,2386
|
2,8737
|
3,6036
|
3,1305
|
2,9953
|
3,4819
|
3,1170
|
3,3603
|
|
15
|
3,2386
|
2,8737
|
3,6036
|
3,3460
|
2,9953
|
3,4819
|
3,1170
|
3,3603
|
|
16
|
3,2386
|
2,8737
|
3,6036
|
3,2693
|
2,9953
|
3,4819
|
3,1170
|
3,3603
|
|
17
|
3,2386
|
2,8737
|
3,6036
|
3,0314
|
2,9953
|
3,4819
|
3,1170
|
3,3603
|
|
18
|
3,2386
|
2,8737
|
3,6036
|
3,4256
|
2,9953
|
3,4819
|
3,1170
|
3,3603
|
|
19
|
3,2386
|
2,8737
|
3,6036
|
3,2243
|
2,9953
|
3,4819
|
3,1170
|
3,3603
|
|
20
|
3,2386
|
2,8737
|
3,6036
|
3,3570
|
2,9953
|
3,4819
|
3,1170
|
3,3603
|
|
Шаг
|
0,12165608
|
|
|
Статистика
R
|
Центральное
R
|
Нижняя
граница
|
Верхняя
граница
|
Размах
|
Нижняя
граница R 2/3
|
Верхняя
граница R 2/3
|
Нижняя
граница R 1/3
|
Верхняя
граница R 1/3
|
|
1
|
2,0315
|
0,8315
|
3,1783
|
1,9631
|
1,2226
|
2,7872
|
1,6404
|
2,4227
|
|
2
|
2,0315
|
0,8315
|
3,1783
|
2,0537
|
1,2226
|
2,7872
|
1,6404
|
2,4227
|
|
3
|
2,0315
|
0,8315
|
3,1783
|
2,1914
|
1,2226
|
2,7872
|
1,6404
|
2,4227
|
|
4
|
2,0315
|
0,8315
|
3,1783
|
2,5104
|
1,2226
|
2,7872
|
1,6404
|
2,4227
|
|
5
|
2,0315
|
0,8315
|
3,1783
|
2,1634
|
1,2226
|
2,7872
|
1,6404
|
2,4227
|
|
6
|
2,0315
|
0,8315
|
3,1783
|
1,6262
|
1,2226
|
2,7872
|
1,6404
|
2,4227
|
|
7
|
2,0315
|
0,8315
|
3,1783
|
2,1609
|
1,2226
|
2,7872
|
1,6404
|
2,4227
|
|
8
|
2,0315
|
0,8315
|
3,1783
|
1,6056
|
1,2226
|
2,7872
|
1,6404
|
2,4227
|
|
9
|
2,0315
|
0,8315
|
3,1783
|
1,9750
|
1,2226
|
2,7872
|
1,6404
|
2,4227
|
|
10
|
2,0315
|
0,8315
|
3,1783
|
2,1025
|
1,2226
|
2,7872
|
1,6404
|
2,4227
|
|
11
|
2,0315
|
0,8315
|
3,1783
|
2,0319
|
1,2226
|
2,7872
|
1,6404
|
2,4227
|
|
12
|
2,0315
|
0,8315
|
3,1783
|
1,3934
|
1,2226
|
2,7872
|
1,6404
|
2,4227
|
|
13
|
2,0315
|
0,8315
|
3,1783
|
1,8015
|
1,2226
|
2,7872
|
1,6404
|
2,4227
|
|
14
|
2,0315
|
0,8315
|
3,1783
|
1,8153
|
1,2226
|
2,7872
|
1,6404
|
2,4227
|
|
15
|
2,0315
|
0,8315
|
3,1783
|
2,1083
|
1,2226
|
2,7872
|
1,6404
|
2,4227
|
|
16
|
2,0315
|
0,8315
|
3,1783
|
1,5278
|
1,2226
|
2,7872
|
1,6404
|
2,4227
|
|
17
|
2,0315
|
0,8315
|
3,1783
|
2,1723
|
1,2226
|
1,6404
|
2,4227
|
|
18
|
2,0315
|
0,8315
|
3,1783
|
2,1222
|
1,2226
|
2,7872
|
1,6404
|
2,4227
|
|
19
|
2,0315
|
0,8315
|
3,1783
|
1,6896
|
1,2226
|
2,7872
|
1,6404
|
2,4227
|
|
20
|
2,0315
|
0,8315
|
3,1783
|
2,1907
|
1,2226
|
2,7872
|
1,6404
|
2,4227
|
|
Шаг
|
0,391142138
|
|
Приложение З
Контрольные карты для Y1
Контрольные карты для Y2
Похожие работы на - Имитационное моделирование производственных и технологических процессов
|