Выбор оборудования и расчет тепловой схемы промышленной теплоэлектроцентрали (электрическая мощность 200 МВт)
Выбор
оборудования и расчет тепловой схемы промышленной теплоэлектроцентрали
(электрическая мощность 200 МВт)
Введение
теплоэлектроцентраль
тепловой схема
Тепловая электростанция (или тепловая
электрическая станция) - электростанция, вырабатывающая электрическую энергию
за счет преобразования химической энергии топлива в механическую энергию
вращения вала электрогенератора.
Типы ТЭС:
· Котлотурбинные электростанции
· Конденсационные электростанции (КЭС, исторически
получили название ГРЭС - государственная районная электростанция)
· Теплоэлектроцентрали (теплофикационные
электростанции, ТЭЦ)
· Газотурбинные электростанции
· Электростанции на базе парогазовых установок
· Электростанции на основе поршневых двигателей
С воспламенением от сжатия
(дизель)воспламенением от искры
· Комбинированного цикла
Более подробно остановимся, на
теплоэлектроцентрали, так как именно данную станцию мы проектируем в данном
курсовом проекте.
Теплоэлектроцентраль (ТЭЦ) - разновидность
тепловой электростанции, которая не только производит электроэнергию, но и
является источником тепловой энергии в централизованных системах теплоснабжения
(в виде пара и горячей воды, в том числе и для обеспечения горячего
водоснабжения и отопления жилых и промышленных объектов).
Принцип работы: ТЭЦ конструктивно устроена как
конденсационная электростанция (КЭС). Главное отличие ТЭЦ от КЭС состоит в
возможности отобрать часть тепловой энергии пара, после того, как он выработает
электрическую энергию. В зависимости от вида паровой турбины, существуют
различные отборы пара, которые позволяют забирать из нее пар с разными
параметрами. Турбины ТЭЦ позволяют регулировать количество отбираемого пара.
Отобранный пар конденсируется в сетевых подогревателях и передает свою энергию
сетевой воде, которая направляется на пиковые водогрейные котельные и тепловые
пункты. На ТЭЦ есть возможность перекрывать тепловые отборы пара, в этом случае
ТЭЦ становится обычной КЭС.
Совмещение функций генерации тепла и
электроэнергии (когенерация) выгодно, так как оставшееся тепло, которое не
участвует в работе на КЭС, используется в отоплении. Это повышает расчетный КПД
в целом (80 % у ТЭЦ и 30 % у КЭС), но не говорит об экономичности ТЭЦ.
Основными же показателями экономичности
являются: удельная выработка электроэнергии на тепловом потреблении и КПД цикла
КЭС.
При строительстве ТЭЦ необходимо учитывать
близость потребителей тепла в виде горячей воды и пара, так как передача тепла
на большие расстояния экономически нецелесообразна.
По типу соединения котлов и турбин
теплоэлектроцентрали могут быть блочные и неблочные (с поперечными связями). На
блочных ТЭЦ котлы и турбины соединены попарно (иногда применяется дубль-блочная
схема: два котла на одну турбину). Такие блоки имеют, как правило, большую
электрическую мощность: 100-300 МВт.
Схема с поперечными связями позволяет
перебросить пар от любого котла на любую турбину, что повышает гибкость
управления станцией. Однако для этого необходимо установить крупные паропроводы
вдоль главного корпуса станции. Кроме того, все котлы и все турбины,
объединенные в схему, должны иметь одинаковые номинальные параметры пара
(давление, температуру). Если в разные годы на ТЭЦ устанавливалось основное
оборудование разных параметров, должно быть несколько схем с поперечными
связями. Для принудительного изменения параметров пара может быть использовано
редукционно-охладительное устройство (РОУ).
По типу паропроизводящих установок могут быть
ТЭЦ с паровыми котлами, с парогазовыми установками, с ядерными реакторами
(атомная ТЭЦ). Могут быть ТЭЦ без паропроизводящих установок - с газотурбинными
установками. Поскольку ТЭЦ часто строятся, расширяются и реконструируются в
течение десятков лет (что связано с постепенным ростом тепловых нагрузок), то
на многих станциях имеются установки разных типов. Паровые котлы ТЭЦ
различаются также по типу топлива: уголь, мазут, газ.
По типу выдачи тепловой мощности различают
турбины с регулируемыми теплофикационными отборами пара (в обозначении турбин,
выпускаемых в России, присутствует буква «Т», например, Т-110/120-130), с
регулируемыми производственными отборами пара («П»), с противодавлением («Р»).
Обычно имеется 1-2 регулируемых отбора каждого вида; при этом количество
нерегулируемых отборов, используемых для регенерации тепла внутри тепловой
схемы турбины, может быть любым (как правило, не более 9, как для турбины
Т-250/300-240). Давление в производственных отборах (номинальное значение
примерно 1-2 МПа) обычно выше, чем в теплофикационных (примерно 0,05-0,3 МПа).
Термин «Противодавление» означает, что турбина не имеет конденсатора, а весь
отработанный пар уходит на производственные нужды обслуживаемых предприятий.
Такая турбина не может работать, если нет потребителя пара противодавления.
1. Выбор типа турбины и определение
необходимых нагрузок
Из исходных данных нам известно, что Qотоп>NустТЭС,
Dпр=
0, значит, турбина типа «Т»; дляNустТЭС
= 200 МВт выберем 2 турбины Т-100-130.
Технические данные турбины Т-100-130[2]:
Давление свежего пара: 130 ат;
Температура свежего пара: 565 ºС;
Число нерегулируемых отборов: 7;
Температура питательной воды: 229 ºС;
Давление отработавшего пара: 0,054 ат;
Расход свежего пара при номинальной нагрузке и
номинальной величине теплофикационного отбора: 445 т/ч;
Число цилиндров: 3;
Число ступеней: 25;
Формула проточной части:
· для ЧВД: К+8Д;
· для ЧСД: Р+13Д;
для ЧНД: (Р+1Д) х 2.
Таблица 1 - Нерегулируемые отборы пара на
регенерацию при номинальных параметрах, регулируемый отбор пара.
|
Тип турбины
|
Отбор пара на подогреватель и
деаэератор
|
Отбор за ступенью, ат
|
Греющий пар
|
|
|
|
Давление, ат
|
Температура, °С
|
|
Т-100-130
|
1-й отбор (ПВД №7)
|
9
|
33,6
|
387
|
|
2-й отбор (ПВД №6)
|
11
|
21,75
|
338
|
|
3-й отбор (ПВД №5, ДП)
|
14
|
11,3
|
263
|
|
4-й отбор (ПНД №4)
|
17
|
5,42
|
190
|
|
5-й отбор (ПНД №3)
|
19
|
2,78
|
130
|
|
6-й отбор (ПНД №2)
|
21 (рег.)
|
0,8
|
-
|
|
7-й отбор (ПНД №1)
|
23
|
0,204
|
-
|
2. Принципиальная тепловая схема
теплоэлектроцентраль
тепловой схема
Принципиальная тепловая схема составляется на
основании характеристик турбины и таблицы регенеративных отборов:
Рисунок 1. Принципиальная тепловая схема
3. Процесс расширения пара в турбине
на h,S
диаграмме и определение параметров пара, конденсата и воды
Для турбины Т-100-130:
Р0 = 130 ат = 127,53 бар = 12, 753
МПа;
t0
= 565 °C;
tпв
= 229 °C;
Рк = 0,054 ат = 0,053 бар = 0,0053
МПа.
Действительное давление пара перед соплами
турбины:
По h,sдиаграмме
энтальпия пара на входе в турбину:
Определим по h,sдиаграмме
теоретическую энтальпию пара на выходе из турбины:
Конечная энтальпия реального процесса (не
учитывая теплофикационный отбор):
Действительное давление отбора на теплофикацию:
Определим по h,Sдиаграмме
действительное значение конечной энтальпии с учетом теплофикационного отбора:
Определим энтальпии пара каждого отбора по h,Sдиаграмме,
результаты отображены далее, в таблице:
Таблица 2 - Параметры греющего пара при отборах
из турбины
|
Отбор пара на подогреватель и
деаэератор
|
Греющий пар
|
|
Давленеие, ат
|
Температура, °С
|
Энтальпия, кДж/кг
|
|
1-й отбор (ПВД №7)
|
33,6
|
387
|
3248
|
|
2-й отбор (ПВД №6)
|
21,75
|
338
|
3164
|
|
3-й отбор (ПВД №5, ДП)
|
11,3
|
263
|
3040
|
|
4-й отбор (ПНД №4)
|
5,42
|
190
|
2924
|
|
5-й отбор (ПНД №3)
|
2,78
|
130
|
2816
|
|
6-й отбор (ПНД №2)
|
0,8
|
x = 0,995
|
2644
|
|
7-й отбор (ПНД №1)
|
0,204
|
x = 0,952
|
2496
|
Определим параметры пара, конденсата и воды для
нашей турбины:
Pп
- давления конденсата на выходе из подогревателя или деаэратора,Pп=
0,95·P, где Р - давление
пара при входе в подогреватель или деаэратор.
tнаси
h’-
температура и энтальпия конденсата соответственно, определяются из таблицы
водяного пара и воды на линии насыщения [3].
tв-
температура питательной воды; tв=
tнас
- (2…5 °С).
hв
- энтальпия питательной воды; hв=
4,2·tв[кДж/кг].
Таблица 3 - Основные параметры пара, конденсата,
воды
|
№
|
Адрес
|
Пар
|
Конденсат
|
Вода
|
|
|
P, 10⁵
Па
|
t, °C
|
I, кДж/кг
|
Pп, 10⁵
Па
|
tнас, °C
|
h', кДж/кг
|
tв, °C
|
hв, кДж/кг
|
|
0
|
Перед турбиной
|
121,15
|
565
|
3508
|
-
|
-
|
-
|
-
|
-
|
|
1
|
ПВД №7
|
32,96
|
410
|
3248
|
31,31
|
236
|
1020
|
229
|
966
|
|
2
|
ПВД №6
|
21,54
|
363
|
3164
|
20,27
|
213
|
910
|
210
|
882
|
|
3
|
ПВД №5
|
11,08
|
298
|
3040
|
10,53
|
182
|
772
|
180
|
756
|
|
3'
|
Деаэратор
|
11,08
|
290
|
3040
|
5,89
|
158
|
670
|
158
|
670
|
|
4
|
ПНД №4
|
5,32
|
232
|
2924
|
5,03
|
152
|
642
|
150
|
630
|
|
5
|
ПНД №3
|
2,73
|
176
|
2816
|
2,59
|
128
|
540
|
125
|
525
|
|
5'
|
ПСП
|
2,73
|
176
|
2816
|
2
|
120
|
503
|
115
|
483
|
|
6
|
ПНД №2
|
0,78
|
x = 0,995
|
2644
|
0,74
|
91
|
382
|
88
|
370
|
|
6'
|
ОСП
|
0,78
|
x = 0,995
|
2644
|
0,74
|
91
|
382
|
88
|
370
|
|
7
|
ПНД №1
|
0,2
|
x = 0,952
|
2496
|
0,19
|
59
|
247
|
55
|
231
|
|
К
|
Конденсатор
|
0,053
|
x = 0,914
|
2352
|
0,05
|
33
|
138
|
30
|
126
|
Рисунок 2. Процесс расширения пара в турбине
4. Расчет тепловой схемы
.1 Расчет вспомогательных элементов
схемы
.1.1 Установка по использованию
тепла непрерывной продувки из барабана котла
Рисунок 3. Тепловой расчет расширителя
непрерывной продувки
Давление в барабане котла: Рб =
(1,1…1,2)∙Р0 ,примем: Рб = 150 бар, тогда:
[3]
P2
= 6 бар, тогда:
[3]
Примем αпр=0,03
- относительная доля воды в барабане, тогда:
; (7)
;
.
4.1.2 Сетевая подогревательная
установка
Рисунок 4. Тепловой расчет сетевых
подогревателей
Запишем уравнение теплового баланса для нашей
станции:
=
;
(8)
Отсюда найдем расход питательной воды на всю
станцию:
Расход воды на одну турбоустановку:
Тепловая нагрузка на основную группу паровых котлов:
Тепловая нагрузка на пиковые водогрейные котлы:
Запишем уравнение теплового баланса для пикового
сетевого подогревателя:
Из формулы (13) найдем расход пара, необходимый
для нагрева сетевой воды в пиковом сетевом подогревателе:
Относительная доля пара на пиковый сетевой
подогреватель:
Запишем уравнение теплового баланса для
основного сетевого подогревателя:
Из формулы (15) найдем расход пара, необходимый
для нагрева сетевой воды в пиковом сетевом подогревателе:
Относительная доля пара на основной сетевой
подогреватель:
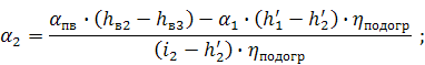
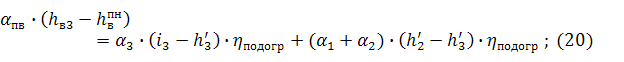
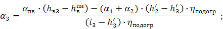
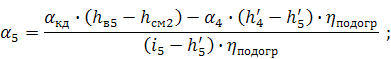
4.2 Расчет регенеративных
подогревателей
.2.1 Расчет подогревателей высокого
давления
Рисунок 5. Тепловой расчет подогревателей
высокого давления
Относительная доля питательной воды:
Запишем уравнение тепл. баланса для подогревателя
высокого давления №7:
Из уравнения (18) найдем относительную
долюгреющего пара, которая приходится на подогреватель высокого давления №7:
Запишем уравнение тепл. баланса для
подогревателя высокого давления №6:
Из уравнения (19) найдем относительную
долюгреющего пара, которая приходится на подогреватель высокого давления №6:
Запишем уравнение тепл. баланса для
подогревателя высокого давления №5:
Из уравнения (20) найдем относительную
долюгреющего пара, которая приходится на подогреватель высокого давления №5:
Найдем относительную долю греющего пара, которая
приходится на все подогреватели высокого давления:
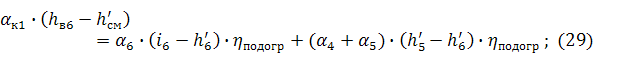
4.2.2 Расчет деаэратора
Рисунок 6. Тепловой расчет деаэратора
Составим систему уравнений балансов для
деаэратора и найдем долю питательной воды, приходящей от подогревателей низкого
давления,
,
а также долю свежего пара, приходящуюся на деаэратор,
:

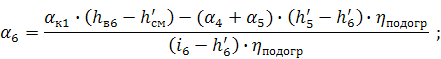
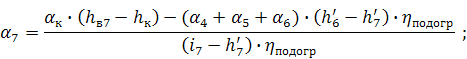
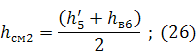
4.2.3 Расчет подогревателей низкого
давления
Рисунок 7. Тепловой расчет подогревателе низкого
давления
Определим долю питательной воды до точки
смешения №2:
Определим долю питательной воды до точки
смешения №1:
Определим энтальпию питательной воды после
смешения в точки №1:
Определим энтальпию питательной воды после
смешения в точки №2:
Запишем уравнение тепл. баланса для
подогревателя низкого давления №4:
Из уравнения (27) найдем относительную
долюгреющего пара, которая приходится на подогреватель низкого давления №4:
Запишем уравнение тепл. баланса для
подогревателя низкого давления №3:
Из уравнения (28) найдем относительную
долюгреющего пара, которая приходится на подогреватель низкого давления №3:
Запишем уравнение тепл. баланса для
подогревателя низкого давления №2:
Из уравнения (29) найдем относительную
долюгреющего пара, которая приходится на подогреватель низкого давления №2:
Запишем уравнение тепл. баланса для
подогревателя низкого давления №1:
Из уравнения (29) найдем относительную
долюгреющего пара, которая приходится на подогреватель низкого давления №2:
Найдем относительную долю греющего пара, которая
приходится на все подогреватели низкого давления:
4.3 Сводная таблица расчета
Коэффициент недовыработки тепла:
Для каждого отбора определим
по
формуле (32), результаты занесены далее, в сводную таблицу теплового расчета
(таблица 4).
Определим расчетное значение пара на турбину,
примем
,
тогда:
Определим расход пара для каждого отбора
, а также электрическую мощность,
по формулам (34), (35), результаты занесены далее, в сводную таблицу теплового
расчета (таблица 4):
Таблица 4 - Сводная таблица теплового расчета
|
№ отбора
|
Адрес
|
αi
|
wi, кДж/кг
|
yi, кДж/кг
|
αi ∙
yi, кДж/кг
|
Di, кг/с
|
Wi, кДж/кг
|
|
1
|
ПВД №7
|
0,04
|
260
|
0,775
|
0,031
|
4,89
|
1240
|
|
2
|
ПВД №6
|
0,058
|
344
|
0,702
|
0,0407
|
7,09
|
2379
|
|
3
|
ПВД №5
|
0,0276
|
468
|
0,595
|
0,0164
|
3,37
|
1540
|
|
3'
|
ДП
|
0,0008
|
468
|
0,595
|
0,0005
|
0,1
|
45
|
|
4
|
ПНД №4
|
0,0418
|
584
|
0,495
|
0,0207
|
5,11
|
2911
|
|
5
|
ПНД №3
|
0,031
|
692
|
0,401
|
0,0124
|
3,79
|
2558
|
|
5'
|
ПСП
|
0,2283
|
692
|
0,401
|
0,0915
|
27,92
|
18838
|
|
6
|
ПНД №2
|
0,011
|
864
|
0,252
|
0,0028
|
1,34
|
1133
|
|
6'
|
ОСП
|
0,2305
|
864
|
0,252
|
0,0581
|
28,19
|
23747
|
|
7
|
ПНД №1
|
0,0146
|
1012
|
0,124
|
0,0018
|
1,79
|
1762
|
|
К
|
Конденсатор
|
0,3154
|
1156
|
0
|
0
|
38,7
|
43614
|
|
∑
|
-
|
1
|
-
|
-
|
0,2759
|
122,3
|
99768
|
∑
,
меньше 2% процентов погрешности, тепловой расчет можно считать законченным.
5. Выбор теплоэнергетического
оборудования
.1 Котельные установки
.1.1 Основной, паровой котел
Паровой котел выбирается по общему расходу пара
на всю станцию, ∑Dпе
и давлению и температуре в котельной установке, Pпе:
Выберем котел с естественной циркуляцией,
станция с поперечными связями, - группа котлов работает на паровой коллектор,
из которого турбина берет необходимое количество пара, в связи с этого примем
количество котлов равным 3 ед + 1 резервный. В таком случаи расход свежего
пара, проходящего через одну котельную установку:
Зная все необходимые параметры, выберем котел[1,
стр 17]: Е-320-13,8-560ГМ (БКЗ 320-140ГМ) - 4 ед.
Таблица 5 - Техническая характеристика
основного, парового котла
|
Типоразмер котла по ГОСТ 3619-89
|
Е-320-13,8-560ГМ
|
|
Заводская маркировка
|
БКЗ 320 - 140ГМ
|
|
Топливо (основное)
|
Газ
|
|
КПД (брутто), %
|
93,68
|
|
Высшая отметка котла, м
|
27,4
|
|
Расход пара, т/ч
|
320
|
|
Температура свежего пара на
выходе, °С
|
560
|
|
Рабочее давление, МПа
|
13,8
|
5.1.2 Пиковый водогрейный котел
(ПВК)
Из формулы (12) (пункт 4.1.2), известно, что Qпвк
= 140 МВт. Тогда выберем 2 котла, суммарная мощность которых превышает Qпвк[1,
стр 107, 108]:
Таблица 6 - Технические характеристики пиковых
водогрейных котлов
|
Марка котла
|
КВ-ГМ-30-150
|
КВ-ГМ-100-150
|
|
Номинальнаятеплопроизводительность,
МВт
|
35
|
116
|
|
Расход воды через котел, т/ч
|
378
|
1235
|
|
Рабочее давление, МПа
|
2,5
|
1,03
|
|
Топливо
|
Газ/мазут
|
Газ/мазут
|
|
Расчетный КПД, %
|
87-89
|
92-93
|
5.2 Насосы
.2.1 Питательный насос
Питательный насос выбирается по расходу
питательной воды Gпв и
давлению на нагнетании Pпн:
- давление в
барабане котла - 15 МПа;
- давление в
деаэраторе - 0,6 МПа;
- верхняя отметка
котла из описания - 27, 4м;
- средняя
плотность воды в насосе - 1000 м3/кг;
Hв
- подпор при всасе ПН: 23м;
g - ускорение
свободного падения - 10 м/с2 ;
- Потери в
клапанах, трубопроводах, экономайзере котла, подогревателях высокого давления,
Вернемся к формуле (40) и вычислим
:
После проведенных расчетов получили:
,
исходя из данных значений, выберем насос [1, стр.431]:ПЭ 500-180, 2 ед. на 2 ТУ
+ 1 резервный на всю станцию.
Таблица 7 - Технические характеристики
питательного насоса
|
Типоразмер насоса
|
ПЭ500-180
|
|
Подача V, т/ч
|
500
|
|
Напор H, м
|
1970
|
|
Допустимый кавитационный запас, м
|
15
|
|
Частота вращения n,об/мин
|
2900
|
|
Мощность N, КВт
|
2150
|
|
КПД Насоса η,
%
|
78
|
|
Предприятие - изготовитель
|
"Южгидромш" г. Бердянск
|
5.2.2 Конденсатные насосы
Конденсатный насос, также как и питательный выбираетсяпо
максимальному расходу питательной воды через насос, Gкн
и давлению на нагнетании Pкн
; (43)
Pк
- давление в конденсаторе - 0,0053 МПа;
Pдп
- давление в деаэраторе - 0,6 МПа;
Hк
- разница по высоте между конденсатором и деаэратором - 18м;
g - ускорение
свободного падения - 10 м/с2 ;
- средняя
плотность воды в насосе - 1000 м3/кг;
- Потери в
клапанах, трубопроводах, подогревателях низкого давления.
Вернемся к формуле (43) и вычислим
:
;
После проведенных расчетов получили:
,
исходя из данных значений, выберем насос [1, стр.433]:КсВ 500-150, 2 ед. на 2
ТУ + 2 резервных.
Таблица 8 - Технические характеристики
конденсатного насоса
|
Типоразмер насоса
|
КсВ 500-150
|
|
Подача V, т/ч
|
500
|
|
Напор H, м
|
150
|
|
Допустимый кавитационный запас, м
|
2,5
|
|
Частота вращения n,об/мин
|
1500
|
|
Мощность N, КВт
|
272
|
|
КПД Насоса η,
%
|
75
|
|
Предприятие - изготовитель
|
ПО «Насосэнергомаш», г. Сумы
|
5.2.3 Циркуляционные насосы
Количество насосов равно количество турбин на
станции - 2 ед.
Выбор циркуляционного насоса зависит от расхода
циркуляционной воды, GцнРасход
циркуляционной воды выбирается по максимальному, летнему режиму:
Где m
= 60 - кратность охлаждения для двухходовых конденсаторов,
-
расход пара по летнему режиму,
Тогда, из формулы (45) найдем
:
После проведенных расчетов получили:
исходя
из данных значений, выберем насос [1, стр.433]: 1200В-6,3/63, 2 ед. на 2 ТУ.
Таблица 9 - Технические характеристики
циркуляционного насоса
|
Типоразмер насоса
|
1200В-6,3/63
|
|
Подача V, т/ч
|
21200
|
|
Напор H, м
|
150
|
|
Допустимый кавитационный запас, м
|
12
|
|
Частота вращения n,об/мин
|
375
|
|
Мощность N, КВт
|
4180
|
|
КПД Насоса η,
%
|
89
|
5.2.4 Сетевые насосы
Выбор сетевого насоса зависит от расхода сетевой
воды, Gсв.Расход
сетевой воды для нашей станции был рассчитан по формуле (9),
,
исходя из данных значений, выберем насос [1, стр.433]:
Перед ОСП - СЭ1250-70 3 ед. на станцию, каждый
насос принимает на себя 33% от общего расхода сетевой воды.
Перед ПСП - СЭ1250-70 3 ед. на станцию, каждый
насос принимает на себя 33% от общего расхода сетевой воды.
Таблица 10 - Технические характеристики сетевого
насоса
|
Типоразмер насоса
|
СЭ1250-70
|
|
Подача V, т/ч
|
1250
|
|
Напор H, м
|
70
|
|
Допустимый кавитационный запас, м
|
7,5
|
|
Частота вращения n,об/мин
|
1500
|
|
Мощность N, КВт
|
295
|
|
КПД Насоса η,
%
|
82
|
5.3 Теплообменные аппараты
.3.1 ПНД, ПВД, ОСП, ПСП
Все данные по подогревателям низкого и высокого
давления, а также по пиковым и основным сетевым подогревателям приведены в
таблице ниже:
Таблица 11 - Технические характеристики ПВД,
ПНД, ПСП, ОСП
|
Подогреватели
|
Расчетные колонки
|
Характеристики
|
|
Pп , МПа
|
tп , °С
|
Gв , т/ч
|
Рв, Мпа
|
тип
|
Gн , т/ч
|
tmax , °С
|
Рсопр , Мпа
|
|
ПВД №7
|
3,3
|
410
|
449
|
19,1
|
ПВ-425-230-37-I
|
550
|
500
|
0,21
|
|
ПВД №6
|
2,13
|
363
|
449
|
19,4
|
ПВ-425-230-37-I
|
550
|
500
|
0,21
|
1,11
|
298
|
449
|
19,7
|
ПВ-425-230-37-I
|
550
|
500
|
0,21
|
|
ПНД №4
|
0,53
|
232
|
380
|
1,05
|
ПН-250-16-7-I
|
400
|
240
|
0,069
|
|
ПНД №3
|
0,27
|
176
|
380
|
1,2
|
ПН-250-16-7-I
|
400
|
240
|
0,069
|
|
ПНД №2
|
0,08
|
х = 0,995
|
380
|
1,35
|
ПН-250-16-7-I
|
400
|
240
|
0,069
|
|
ПНД №1
|
0,02
|
х = 0,952
|
280
|
1,5
|
ПН-250-16-7-I
|
400
|
240
|
0,069
|
|
ПСП
|
0,2
|
120
|
1875
|
0,838
|
ПСГ-1300-3-8-I
|
2000
|
120
|
0,042
|
|
ОСП
|
0,078
|
х = 0,995
|
1875
|
0,88
|
ПСГ-1300-3-8-I
|
2000
|
120
|
0,042
|
5.3.2 Деаэратор
Выбор деаэратора зависит от расхода питательной
воды, Gпв
= 494 т/ч, тогда выберем [1, стр 322] :
Таблица 12 - Технические характеристики
деаэратора
|
Типоразмер деаэраторной колонки
|
КДП-500
|
|
Номинальная производительность,
т/ч
|
500
|
|
Рабочее давление, МПа
|
0,59 ; 0,69
|
|
Рабочая температура, °С
|
158; 164
|
|
Объем, м³
|
8,5
|
|
Диаметр, мм
|
2032
|
|
Высота, мм
|
3870
|
|
Типоразмер деаэраторного бака
|
БДП-120-1
|
|
Объем, м³
|
150
|
|
Максимальная длина, мм
|
17000
|
5.3.3 Деаэратор подпиточной воды
Выбор деаэратора подпиточной воды зависит от
расхода сетевой воды Gсв,
принимают, что расход через вакуум деаэратор составляет 0,75% от Gсв,
тогда:
Зная Gподпит
, выберем деаэратор [2, стр 165] :
Таблица 13 - Технические характеристики
деаэратора подпиточной воды
|
Тип деаэратора
|
ДСВ-25
|
|
Номинальная производительность,
т/ч
|
25
|
|
Рабочее давление, Мпа
|
0,05
|
|
Полезная емкость
бака-аккумулятора, м³
|
15
|
5.3.4 Конденсатор
Тепловой расчет конденсатора [2, стр.107-112]:
Запишем уравнение теплового баланса для
конденсатора:
Dк
- количество пара, поступившее в конденсатор (летний режим) : 240 т/ч;
Wк
- расход циркуляционной воды через конденсатор : необходимо определить;
i- энтальпия
отработавшего пара: 2352 кДж/кг;
- энтальпия
конденсата: 138 кДж/кг;
- изменение
энтальпии охлаждающей воды при изменении её температуры,
Примем
=
9 °С[2. стр 108], тогда:
Тогда, определим расход циркуляционной воды,
проходящей через конденсатор:
Запишем уравнение теплопередачи для
конденсатора:
Используя рисунок 3-3 и формулу 3-10 [2,
стр111], определим коэффициент теплопередачи
:
Также из рисунка 3-3[2, стр111] задаемся:
Внутренний/наружный диаметр охлаждающий трубок,
мм
;
Скорость охлаждающей воды в трубках,
м/с.
Определим среднюю разность температур между
паром и водой:
После того, как мы определили коэффициент
теплопередачи и среднюю разность температур между паром и водой, найдем площадь
поверхности теплообмена,
, используя
формулу (50).
Далее, определим основные размеры конденсатора.
Определим число охлаждающих трубок в
конденсаторе в одном ходе, nz
:
Общее число охлаждающий трубок,
:
Активная длина трубок,L:
После проведенных расчетов, выберем конденсатор:
КГ2-6200-1 [2, стр. 116]. Технические данные приведены далее, в таблице:
Таблица 14 - Технические характеристики
конденсатора
|
Тип конденсатора
|
КГ2-6200-1
|
|
Поверхность охлаждения, м²
|
3100х2
|
|
Давление в паровом пространстве,
ат
|
0,054
|
|
Давление (избыточное) в водяном
пространстве, ат
|
2,5/6
|
|
Расход охлаждающей воды, т/ч
|
16000
|
|
Гидравлическое сопротивление, м.
в. ст.
|
4
|
|
Число потоков воды
|
2
|
|
Число трубок, шт
|
9580
|
|
Длина трубок, мм
|
7500
|
На этом выбор оборудования завершен.
6. Расчет показателей экономичности
паротурбиной установки
Определим тепловую нагрузку станции,
:
Тепловая нагрузка котлов,
:
Абсолютный электрический КПД, ƞе:
КПД трубопроводов,
:
КПД ТЭЦ,
:
Удельный расход условного топлива
:
Выработка на теплопотребление,
:
7. Потери пара и конденсата на ТЭС
разных типов и параметров пара
ТЭС занимают ведущее положение в энергетике
России. От надежности и экономичности работы станции зависят общая выработка
электроэнергии и ее себестоимость.
Чистота воды и пара в отдельных агрегатах и
частях тракта ТЭС объединяется общим понятием водного режима станции.
ВПУ предназначены для выполнения потерь пара и
конденсата в цикле ТЭС обработанной водой надлежащего качества указанного в
Правилах технической эксплуатации электрических станций.
ВПУ служит для восполнения потерь пара и
конденсатора в основном цикле станции обработанной, обессоленной или химически
очищенной водой.
Основной цикл станции:
котел - турбина - конденсатор - деаэратор -
котел.
Потери пара и воды в цикле станции называют
внутристанционными.
Рассмотрим основные виды внутристанционных
потерь пара и конденсата.
) непрерывная и периодическая продувка в котле.
Для предотвращения образования отложений в
паровом тракте ТЭС и поддержания эксплуатационных норм качества котловой воды
служитнепрерывная продувка. Она производится из барабана котла в зонах
наибольших солевых концентраций, то есть рядом с местами ввода кипятильных или
отводящих экранных труб.
Она может достигать 3-5% и выше, что сопряжено с
большими потерями тепла с продувочной водой. Поэтому последнюю направляют в
расширитель продувочной воды, где происходит вскипание ее. Выделившийся пар
сепарируется и направляется в деаэратор, а тепло оставшейся продувочной воды
может быть использовано в теплообменнике для подогрева химически очищенной воды
с водоподготовки. После чего она сбрасывается в канализацию или используется,
например, для подпитки теплосетей или взрыхляющей промывки осветлительных
фильтров.
В водяном объеме парогенератора
может образовываться высокодисперсный шлам, который обычно скапливается в
нижних точках циркуляционного контура котла (коллекторы экранов, нижние
барабаны) и удаляется из котла периодической
продувкой<#"720905.files/image175.gif"> <#"720905.files/image176.gif"> <http://injstroj.ru/poteri-para-i-kondensata-na-tes/3>-
солесодержание соответственно конденсата
турбин, обратного конденсата, пара
расширителя продувки и добавочной воды, мг/кг.
Заключение
В данном курсовом проекте произведен выбор
оборудования и расчет тепловой схемы промышленной ТЭЦ (электрическая мощность
200 МВт). Построен процесс расширения пара в турбине на h,Sдиаграмме,
составлена принципиальная тепловая схема на основании характеристик турбины и
таблицы регенеративных отборов. Также выполнен расчет показателей экономичности
паротурбинной установки, выполнена развернутая тепловая схема паротурбинной
установки на листе формата А1. Рассмотрен вопрос: потери пара и конденсата на
ТЭС разных типов и параметров пара.
Библиографический
список
.Клименко
А.В. Тепловые и атомные электростанции: справочник. Кн.3./А.В. Клименко, В.М.
Зорин, - М.: Энергоатомиздат, 2003
.
Шляхин, М. Л. Краткий справочник по паротурбинным установкам: справочник/ М.
Л.Шляхин, П. Н.Бершадский. - М: Энергоиздат,1981
.
Ривкин, С.Л. Термодинамические свойства воды и водяного пара: справочни/С. Л.
Ривкин -М: Энергоатомиздат,1984. - 84 с.
.
В.А. Григорьева и В.М. Зорина, Теплоэнергетика и теплотехника: Общие вопросы.
Справочник /под ред. В.А. Григорьева и В.М. Зорина.-М.: Энергия, 2010.-528с.
.
Сидельковский, Л.Н. Котельные установки промышленных предприятий: Учебное
пособие для вузов/ Л.Н.Сидельковский, В.Н.Юренев - М: Энергоатомиздат,1988. -
125 с.
.
Каргаполова Н.Н. Промышленные тепловые электростанции: учебное пособие/ Н.Н.
Карагполова. -Челябинск: Издательский центр ЮУрГУ, 2009.- 16с.
1. .