Проект теплоэлектроцентрали мощностью 280 МВт с турбоустановками ПТ-140/165-130/15
Аннотация
Дипломный проект на тему: «Проект теплоэлектроцентрали мощностью 280 МВт
с турбоустановками ПТ-140/165-130/15» выполнен студентом группы ТЭС-09
Колосковым Павлом Андреевичем.
Технологическая часть дипломного проекта содержит расчет принципиальной
тепловой схемы станции с турбиной ПТ-140/165-130/15, выбор основного и
вспомогательного оборудования энергоблока, расчет показателей тепловой
экономичности.
Конструкторская часть заключает в себя конструкторский расчет протчоной
части, рабочего колеса и профилирование отвода питательного насоса ПЭ-580-185.
В разделе специальная часть произведен расчет по экономичности внедрения
ЧРП насоса в систему регулирования подачи питательной воды.
Введение
Производство электрической энергии в России осуществляется в основном
тепловыми электрическими станциями - крупными промышленными предприятиями, на
которых неупорядоченная форма энергии - тепло - преобразуется в упорядоченную
форму - электрический ток. Наибольшее распространение получили тепловые
электрические станции ТЭС, на которых используется тепловая энергия, выделяемая
при сжигании органического топлива (уголь, газ, нефть и др.). Оборудование
электростанции как раз и служит для экономного преобразования химической
энергии топлива в электрическую.
Те ТЭС, которые, кроме электроэнергии, в большом количестве отпускают
тепло для нужд промышленного производства, отопления зданий и т.д., называются
теплоэлектроцентралями (ТЭЦ). Вырабатывать тепло на ТЭЦ исключительно выгодно.
Вот почему почти половина электроэнергии в России вырабатывается на ТЭЦ.
Основной задачей дипломной работы является расчет энергоблока с турбиной
ПТ-140/165-130/15, выбор основного и вспомогательного оборудования, определение
показателей тепловой экономичности; конструкторский расчет рабочего колеса
ПЭ-580-185; расчет экономического эффекта от внедрения частотно регулируемого
привода (ЧРП) для питательного насоса энергоблока с турбиной ПТ-140/165-130/15.
Одним из источников уменьшения затрат на собственные нужды станции и
установки оптимальных режимов подачи воды в барабан котла является внедрение
автоматизированных систем подкачки воды с использованием частотных
преобразователей. Которые позволяют менять нагрузку насоса при плавных
изменении режимов работа энергоблока.
1 Технологическая часть
В данной работе производится расчет тепловой схемы ТЭЦ с турбиной с
отопительным и производственным отборами пара, входящей состав Саратовской ТЭЦ
мощностью 280 МВТ с двумя турбинами ПТ-140/165-130/15. Схема соответствует
типовой схеме, взятой из [1].
Цель расчета тепловой схемы - определение параметров и значений расходов
потоков, проходящих через все элементы схемы (теплообменники различного
назначения, включая регенеративные и сетевые подогреватели, насосы, отсеки
турбины и т. д.), а также мощности установки и показателей тепловой
экономичности. При проектировании новой турбоустановки результаты такого
расчета при номинальном режиме необходимы для конструкторских разработок или
выбора по каталогам элементов схемы, включая трубопроводы. Если турбоустановка
спроектирована, расчеты проводятся для других возможных режимов ее работы,
отличных от номинального. Результаты такого расчета необходимы для определения
возможности работы всех элементов схемы в диапазоне заданных режимов,
показателей тепловой экономичности.
Основу расчета составляют уравнения тепловых и материальных балансов
энергоносителей, в первую очередь рабочего тела турбоустановки, а также
уравнения для определения давлений потоков в различных точках схемы. Последнее
невозможно, если параллельно не проводятся конструкторские разработки
элементов; в этом случае используются приближенные зависимости или данные по
аналогичным схемам и аппаратам.
1.1
Описание тепловой схемы энергоблока с турбиной ПТ-140/165-130/15
Турбина паровая типа ПТ- 140/165-130/15 конденсационная с регулируемыми
отборами пара, производственным и теплофикационным, номинальной мощностью
140000 кВт или 140 МВт, частотой вращения ротора турбины 50 с-1 или 3000 об/
мин, предназначена для непосредственного привода генератора переменного тока,
монтируемого на общем фундаменте с турбиной, и отпуска
пара и тепла для нужд производства и отопления.
Турбина представляет собой одновальный двухцилиндровый агрегат, состоящий
из ЦВД и ЦНД.
Свежий пар от котла подается к отдельно стоящей паровой коробке, в
которой расположен клапан АСК, откуда по перепускным трубам поступает к
регулирующим клапанам ЦВД.
Турбина снабжена системой подачи пара на уплотнения, служащей для
исключения присосов воздуха в вакуумную систему через концевые уплотнения цилиндров
при наборе вакуума и при работе турбины.
Регенеративная подогревательная установка состоит из трех ПВД,
предвключенного деаэратора 6 ат, присоединенного к III отбору пара, и четырёх ПНД; устанавливают, кроме
того, подогреватели уплотнений и эжекторов. Пар на ПВД7, ПВД6, ПВД5 и деаэратор
отбирается из ЦВД. Промышленный отбор за ЦВД. На ПНД3 и ПНД4 - пар из
нерегулируемых отборов ЦНД, на ПНД2 и ПНД1 - из регулируемых теплофикационных
отборов.
Турбина рассчитана для работы при следующих номинальных параметрах пара:
давление перед стопорным клапаном 12,8 МПа, температура перед стопорным
клапаном 555°С, максимальный расход свежего пара через стопорный клапан 810
т/ч.
Рисунок 1.1 - Принципиальная тепловая схема энергоблока с турбиной
ПТ-140/165-130/15
Турбина имеет три регулируемых отбора пара со следующими пределами
регулирования абсолютного давления: производственный 1,18÷2,06 МПа, верхний отопительный 0.09÷0.25 Мпа, нижний отопительный 0,04÷0,12.
Номинальная величина отборов: для производственного 228,6 т/ч(63,5 кг/с).
Исходные данные для расчета тепловой схемы энергоблока:
Тип турбины: ПТ-140/165-130/15
Номинальный расход пара на турбину: D0 = 691,2 т/час (192 кг/с)
Параметры свежего пара:
перед регулирующим клапаном
давление P0 = 12,8 МПа
температура t0
= 555 ºС
Число регенеративных отборов пара: n = 7
Внутренний относительный КПД турбины по отсекам:
ηoiЦВД = 89 %
ηoiЦНД = 90 %.
Температура наружного воздуха: tнв = - 5 ºС (г. Саратов)
Температура воды, поступающей в конденсатор tов1 = 20ºС
На рисунке 1.1 показана принципиальная тепловая схема ТЭЦ с турбиной
ПТ-140/165-130/15.
.2 Определение параметров пара и воды в узлах технологической схемы
По графику 150/70 температуры сетевой воды (при температуре наружного
воздуха tнар= - 5°С, [2]) определяем температуру прямой
tпс= 99°С и обратной tос = 35,4°С
сетевой воды.
Температуры питательной воды после ПСГ1 и ПСГ2 будет равны
tсвПСГ2
= tпс ;
tсвПСГ2
= 99°С;
tсвПСГ1
(1.1)
tсвПСГ1
=67,2°С.
Принимаем
недогрев сетевой воды δtос =5°С. Тогда температура насыщения пара в сетевых
подогревателя
tнПСГ1= tсвПСГ1
+δtос ; (1.2)
tнПСГ2= tсвПСГ2
+δtос ; (1.3)
tнПСГ1 =99+5=104°С;
tнПСГ2
=67,2+5=72,5°С.
По
таблицам воды и водяного пара в состоянии насыщения по tнПСГ1 и tнПСГ2
определяем давление греющего пара в сетевых подогревателях PнПСГ1
=0,117 МПа, PнПСГ2=0,0347 МПа.
Принимая
потери давления в трубопроводах ΔP = 5 %, находим
давление в отопительных отборах:
P6 = Pвоо
= 0,123 МПа;
P7 = Pноо
= 0,036 МПа.
Температура
в конденсаторе турбины:
tк = tов +
Δt + δt , (1.4)
где
tов = 20 ºС - температура охлаждающей воды;
δt = 4 ºС -
температурный напор конденсатора;
Δt = 8 ºС -
из табличных данных по типу ходов конденсатора.
tк = 20+4+8= 32 ºС.
Давление
насыщения в конденсаторе:
Pк = 4,75 кПа.
Потери давления от дросселирования острого пара в стопорных и
регулирующих клапанах при их полном открытии:
∆p0=p0-p0’=(0,03...0,05)p0, (1.5)
где p0 и p0’ - соответственно давление острого пара и пара на входе в
сопла первой ступени ЦВД.
Принимаем:
∆p0=0,04p0=0,04·12,8=0,512 МПа.
Потери давления в перепускных трубах из одного цилиндра турбины в другой
∆pпер=0,015pпер.
Для данного режима работы турбины далее строится h-s диаграмма процесса расширения пара в турбине.
Начальные параметры пара p0=12,8 МПа, t0=5550C, h0=3484,7 кДж/кг S0=6,6318 кДж/кг*K, V0=0,0275 м3/кг.
Учитывая потери давления от дросселирования острого пара в стопорных и
регулирующих клапанах, давление пара на входе в турбину p0’=p0-Δp0
и h0'=h0, что составляет p0’=12,29МПа, остальные параметры: h0'=3484,7 кДж/кг, S0’=6,6491
кДж/кг*K, V0’=0,029 м3/кг.[3]
Давление пара в отборах турбины:=3,41 МПа;=2,18 МПа;=1,13 МПа;=0,53
МПа;=0,27 МПа;=0,123 МПа;=0,036 МПа.
Располагаемый теплоперепад регулирующей ступени равен 220 кДж/кг.
Помножим на КПД регулируемой ступени и получим действительный
теплоперепад.
Δhрс=220*0,75=165 кДж/кг.
Параметры пара:
1. hрс=3319,7 кДж/кг;
2. Sрс=6,7308кДж/кг*К;
3. Трс=458,2 0С;
4. Vрс=0,051 м3/кг.
Зная р3=1,13 МПа, строим на h-S-диаграмме идеальный процесс
расширения рс- 3. Определяем располагаемый теплоперепад, а затем, умножив его
на кпд, получаем действительный теплоперепад. Находим пересечение
действительного теплоперепада и давления р3. Строим реальный процесс расширения
в ЦВД.
Δh3'=448,6 кДж/кг.
КПД составляет η03=0,89.
Таким образом сработанный теплоперепад пара составляет
Δh03= Δh03'*η03; (1.6)
Δh03=448,6*0,89=399,3 кДж/кг.
Параметры пара:
5. h3=2920,4 кДж/кг;
6. S3=6,8284кДж/кг*К;
7. Т3=242,3 0С;
8. V3=0,201 м3/кг.
При переходе из ЦВД в ЦНД имеются потери давления в перепускных трубах
”=p3-Δpпер., (1.7)
где 3” - точка, соответствующая параметрам пара на входе в ЦНД.
Таким образом:
1. p3”=0,985p3=0,985*1,13=1,113 МПа;
2. h3”= h3=2920,4 кДж/кг;
. S3”=6,8351 кДж/кг*К;
. V3”=0,204 м3/кг.
Далее пар адиабатно расширяется в ЦНД турбины до давления p7=0,036 МПа,
адиабатный теплоперепад составляет:
Δh3”6’=584,4 кДж/кг; КПД составляет η3”6=0,90.
Таким образом сработанный теплоперепад пара составляет
Δi3”6=Δi3”6*η3”6; (1.8)
Δi3”6=584,4 *0,90=526 кДж/кг.
Параметры пара:
1. H7=2394,4
кДж/кг;
2. S7=7,0150 кДж/кг*К;
. V7=3,704 м3/кг;
. T7=73,40C.
Параметры пара поступающего в конденсатор:
1. Pk=4,75;
2. hk=2394,4 кДж/кг;
. Sk=7,9101 кДж/кг*К;
. Vk=28,1 м3/кг;
. Tk=320C.
Потери давления пара в паропроводе от места отбора в турбине до
подогревателя принимаются в размере 7% от давления пара в отборе.
Давление в камерах нерегулируемых отборов турбины ПТ-140/165-130-15
принимается согласно заводским данным [1]. Температура питательной воды после
ПВД без охладителя перегрева пара принимается меньше температуры насыщения в
подогревателе на 20С. Для подогревателей низкого давления недогрев воды
принимают равным 40С.
Температуры дренажей ПВД принимается выше температур воды на входе на
80С, температуры дренажей ПНД равны температурам насыщения греющего пара.
Давление за питательным насосом:
Dрпн=рб+ Dрб+рст.ж.+ Dррпк+ Dрэк+ ΣDрпвд+Dрзап , (1.9)
где рб - давление в барабане котла. Для турбин с р0=130 кгс/см2 рб = 15,9
МПа.
Dрб - запас на открытие предохранительных клапанов,
Dрб=8% ( рб) = 8% (15,9) = 1,272 МПа;
Dрст.ж.=rgDH·10-6, МПа; (1.10)
где r =895,4 м3/кг -
плотность воды для tдв;
DH = 28¸35 м -
высота подъема жидкости от уровня оси до уровня в барабане. Примем DH =33 м.
Dрст.ж.=895,4·9,81·33·10-6=0,29 МПа;
Dррпк = 1.2¸1.5 МПа - потери давления в регулирующем клапане;
Dрэк = 0,05 рб = 0,05·15,9=0,795 МПа;
Dрпвд = 0,2¸0,5 МПа - для одного ПВД, Dрпвд = 0,3·3=0,9 МПа;
Dрзап = 15¸20 % от суммы потерь. Dрзап = 20,543·0,15=3,082 МПа;
Dрпн = 15,9+1,272+0,257+1,2+0,795+0,9+3,082 = 20,543 МПа.
Принимаем потери давления в ПВД - 0,3 МПа, а потери в ПНД - 0,2 МПа.
Параметры рабочих сред приведены в таблице 1.1, где приняты следующие
обозначения:
Р, t, h - давление, температура и энтальпия пара, МПа, °С, кДж/кг;
Рн - давление пара перед подогревателями регенеративной установки, МПа;
tн, hн - температура и энтальпия
конденсата при насыщении для давления Рн, соответственно °С и кДж/кг;
Θ - недогрев воды в поверхностных теплообменниках
на выходе из встроенного пароохладителя (если есть), °С;
Рв, tв, hв - давление, температура и энтальпия воды после
регенеративных подогревателей, соответственно МПа, °С, кДж/кг.
Таблица 1.1 - Параметры воды и пара
|
№ отбора
|
№ подогр.
|
P, МПа
|
t, ºС
|
h, КДж/кг
|
Pнi, МПа
|
tнi, ºС
|
hнi, КДж/кг
|
Θ,
ºС
|
Pвi, МПа
|
tвi, ºС
|
hвi, КДж/кг
|
|
0
|
|
12,8
|
555,0
|
3484,7
|
-
|
-
|
-
|
-
|
-
|
-
|
-
|
|
0`
|
|
12,29
|
550,0
|
3484,7
|
-
|
-
|
-
|
-
|
-
|
-
|
-
|
|
1
|
ПВД7
|
3,41
|
367,1
|
3169,2
|
3,17
|
236,9
|
1022,9
|
2
|
20,40
|
234,9
|
1016,9
|
|
2
|
ПВД6
|
2,18
|
309,6
|
3063,2
|
2,03
|
213,0
|
911,7
|
2
|
20,70
|
211,0
|
909,3
|
|
3
|
ПВД5
|
1,13
|
235,0
|
2920,4
|
1,05
|
182,0
|
772,2
|
2
|
21,20
|
180,0
|
773,7
|
|
Д
|
1,13
|
235,0
|
2920,4
|
0,60
|
158,8
|
670,4
|
-
|
0,60
|
158,83
|
670,4
|
|
4
|
ПНД4
|
0,53
|
167,9
|
2787,8
|
0,49
|
151,3
|
637,8
|
4
|
0,80
|
147,3
|
620,7
|
|
5
|
ПНД3
|
0,27
|
132,0
|
2675,7
|
0,25
|
127,6
|
536,0
|
4
|
1,00
|
123,6
|
519,6
|
|
6
|
ПНД2
|
0,123
|
106,3
|
2562,3
|
0,117
|
104,0
|
436,0
|
4
|
1,20
|
100,0
|
419,9
|
|
7
|
ПНД1
|
0,036
|
73,4
|
2396,4
|
0,0347
|
72,5
|
303,5
|
4
|
1,40
|
68,5
|
287,8
|
|
К
|
0,00475
|
32,0
|
2396,4
|
-
|
32,0
|
134,1
|
-
|
|
32,0
|
134,1
|
Процесс работы пара в турбине приведен на рисунке 1.2.
Рисунок 1.2-h-S-диаграмма процесса расширения пара в
турбине ПТ-140/165-130/15.
.3 Тепловые и материальные балансы теплообменного оборудования тепловой
схемы
.3.1 Расчет сетевого подогревателя
Расход сетевой воды:
, (1.11)
где
Qто=139,5 МВт - отопительная нагрузка.
Gсв
=524,042 кг/с
Примем
hто=0,995-коэффициент, учитывающий рассеивание теплоты
в теплообменниках.
Тепловой
баланс сетевого подогревателя №2:
DПСГ2(hп6 -hкПСГ2)·0,995=GCB(hсв.выхПСГ2
- hсв.вхПСГ2 ); (1.12)
DПСГ2=
, кг/с ; (1.13)
DПСГ2
=33,067 кг/с ;
Тепловой
баланс сетевого подогревателя №1:
DПСГ1(hп7 -hкПСГ1)·0,995=GCB(hсв.выхПСГ1
- hсв.вхПСГ1 ); (1.14)
DПСГ1=
; (1.15)
DПСГ1
=33,444 кг/с ;
Параметры
рабочих сред приведены в таблице 1.2
Таблица
1.2 - Параметры пара и воды сетевой подогревательной установки
|
Наименование
|
Параметр
|
|
ПСГ1
|
ПСГ2
|
|
Греющий пар
|
|
Давление в отборе, р, МПа
|
0,036
|
0,123
|
|
Температура, t,
0С
|
73,4
|
106,3
|
|
Энтальпия пара h,
кДж/кг
|
2396,4
|
2562,3
|
|
Конденсат
|
|
Температура насыщения, tнсп,
0С
|
72,5
|
104,0
|
|
Энтальпия пара при
насыщении, hнсп, кДж/кг
|
303,5
|
436,0
|
|
Давление насыщения, pнсп,
МПа
|
0,0347
|
0,117
|
|
Сетевая вода
|
|
Температура на входе, tвх,
0С
|
35,4
|
67,2
|
|
Температура на выходе, tвых,
0С
|
67,2
|
99,0
|
|
Энтальпия на входе, hсв.вх,
кДж/кг
|
149,5
|
282,2
|
|
Энтальпия на выходе, hсв.вых,
кДж/кг
|
282,4
|
415,7
|
|
Недогрев, 0С
|
5,0
|
5,0
|
|
Давление сетевой воды, МПа
|
1,4
|
1,2
|
.3.2 Подогревательная установка высокого давления
Задачей данного пункта является составление материального и теплового
балансов подогревательных и деаэрирующих устройств с нахождением расходов
греющей и нагреваемой сред.
Тепловой расчёт регенеративных подогревателей, имеющих в одном корпусе
пароохладитель (ОП), собственно подогреватель (СП) и охладитель дренажа (ОД).
ПВД7:
На рисунке 1.3 показана схема подогревателя высокого давления ПВД7,
тепловой баланс которого записывается в следующем виде:
D1=
. (1.17)
где
Dпв= Dпг+ Dпр - расход питательной воды с учётом утечек и
непрерывной продувки 1,5 %.
Dпг=D0+ Dут
Dут=1,5%* D0=0,015*192=2,88
кг/с.
Dпг=192+2,88=
194,88
Dпр=1,5%* Dпг
=0,015*192=2,923 кг/с.
Dпв=194,88+2,88=197,803
кг/с.
tдр1= tпв2+8=2190C
, hдр1=939,1 кДж/кг
D1=
=9,592 кг/с.
Рисунок 1.3 - Схема к расчёту регенеративного подогревателя с
охладителями пара и дренажа ПВД7
ПВД6
Тепловой баланс ПВД6, схема которого представлена на рисунке 1.4,
записывается в виде:
[D2(h2- hдр2)+
D1(hдр1- hдр2)]·h= Dпв(hпв2- hпв3) (1.18)
tдр2=tпв2+8=1880C, hдр2=798,6 кДж/кг
D2=
(1.19)
D2=
=7,463 кг/с
Рисунок 1.4 - Схема к расчёту регенеративного подогревателя с
охладителями пара и дренажа ПВД6
ПВД5
Подогреватель ПВД5 рассчитывается с учётом нагрева воды в питательном
насосе. Схема ПВД5 представлена на рисунке 1.5.
Тепловой баланс ПВД5 записывается в виде:
[D3(h3- hдр3)+(
D1+ D2)( hдр2- hдр3)]·h= Dпв(hв3- hпн) (1.20)
D3=
(1.21)
где
hпн=hвд+
, кДж/кг
- энтальпия питательной воды на входе в подогреватель.
(1.22)
vср -
удельный объём воды, м3/кг;
Рн - давление воды в нагнетательном патрубке насоса, МПа;
Рв - давление воды на всасывающем патрубке насоса, МПа;
hнi - коэффициент
полезного действия насоса.
hпн=670,4+28,579=699,0
кДж/кг
D3=
=6,135 кг/с
Рисунок 1.5 - Схема к расчёту регенеративного подогревателя с
охладителями пара и дренажа ПВД5
.3.3 Расчет расширителя непрерывной продувки
Паровая нагрузка парогенератора определяется с учётом потерь на продувку
и протечек через уплотнения.
Величину расхода котловой воды на непрерывную продувку принимаем 1,5% от
расхода питательной воды, то есть
Dпр=1,5%*
Dпг =0,015*19488=2,923кг/с.
Уравнение материального и теплового баланса расширителя непрерывной
продувки:
Dпр = D”пр+ D’пр (1.23)
Dпр·hпр= Dпр” hпр” +
Dпр’hпр’ , (1.24)
где hпр=1647,9 кДж/кг - энтальпия
продувочной воды;
hпр’
=670,5 кДж/кг, hпр”=2756,4 кДж/кг
- энтальпии конденсата и пара соответственно в расширителе непрерывной
продувки.
Рисунок 1.6
Таблица 1.3 - Параметры пара и воды в расширителе
|
Расширитель
|
Вода в расширитель
|
Пар из расширителя
|
Вода из расширителя
|
|
PпрМП
|
tпр, °С
|
hпр, кДж/кг
|
Pпр, МПа
|
tпр, °С
|
hпр”, кДж/кг
|
Pпр, МПа
|
tпр, °С
|
hпр’, кДж/кг
|
|
I P1
|
15,9
|
346,8
|
1647,9
|
0,60
|
158,8
|
2756,4
|
0,60
|
158,8
|
670,4
|
|
P2
|
0,60
|
158,8
|
670,4
|
0.12
|
104.8
|
2683.06
|
0.12
|
104.8
|
439.30
|
Решая систему из уравнений и, получаем:
D`пр1=1,553
кг/с
D`пр2=1,37
кг/с
Пар из расширителя РI поступает в деаэратор питательной воды (ДПВ), а
продувочная вода - в расширитель РII. Расход пара из расширителя РII
; (1.25)
кг/с.
Расход
продувочной воды выходящей из расширителя РII
D`пр2=D`пр1-D``пр2;
(1.26)
D`пр2=1,553-0,159=1,394
кг/с.
Пар из расширителя РII поступает в деаэратор добавочной воды (ДДВ), а
продувочная вода - в охладитель продувки ОП, где подогревает воду для
водоподготовки.
.3.4 Деаэратор питательной воды
Искомыми величинами при расчёте деаэратора являются расход пара в
деаэратор Dд и расход основного конденсата на
входе в деаэратор Dок.
Материальный баланс деаэратора питательной воды:
Dок+( D1+ D2+ D3)+ Dд+ D``пр+ Dшт = Gпв + Dвып , (1.27)
где Dшт=0,0012*D0=0,23 кг/с - расход пара из уплотнений штоков клапанов;
Выпар из деаэратора
Dвып= Dоу +Dоэ+Dупл,
(1.28)
Dоу=0,0009*D0;
Dоэ=0,003*D0;
Dупл=0,003*D0;
Dвып=(0,003+0,003+0,0009)*
D0=1,325 кг/с.
Уравнение теплового баланса:
Dокhв4+(D1+D2+D3)hвдр3+
Dдh3+ D``пр h``пр + Dшт hшт =(Gпвh`д+Dвыпh``д)
, (1.29)
где
h`д =670,4 кДж/кг и h``д = 2756,4
кДж/кг- энтальпия воды и пара в деаэраторе
Рисунок
1.7 - Схема к расчёту деаэратора питательной воды
Решая
систему уравнений (1,27 и 1,29) , получим:
Dд=3,219 кг/с;
Dок=171,119
кг/с.
.3.5
Подогревательная установка низкого давления
Задачей
данного пункта является составление материального и теплового балансов
подогревательных и деаэрирующих устройств с нахождением расходов греющей и
нагреваемой сред, а также определение количества добавочной воды.
Расчёт
группы ПНД заключается в совместном решении тепловых и материальных балансов
теплообменников.
ПНД4
Рисунок 1.8 - Схема к расчёту регенеративного подогревателя ПНД4
Тепловой баланс ПНД4:
D4(h4- hдр4)*ηто= Dок(hв4- hв3) (1.30)
Точка смешения СМ3
Dок= Dок3+( D4+ D5)
(1.31)
Dок* hсм3 = Dок3* hв3+( D4+ D5)* hдр3
(1.32)
Рисунок 1.9 - Схема к расчёту регенеративного подогревателя ПНД3
Тепловой баланс ПНД3:
Dок3 (hв3- hсм2) = (D5(h5- hдр3)+ D4(hдр4- hдр3))* hто (1.33)
Смеситель 2
Точка смешения СМ2
Dок3=Dок2+ D6+ DПСГ1+
Dкв; (1.34)
Dок3* hсм2 =Dок2* hв2+ D6* hдр2+ DПСГ1*
hПСГ1 + Dкв* hвдкв.
(1.35)
Рисунок 1.10 - Схема к расчёту регенеративного подогревателя ПНД2
Уравнение теплового баланса для ПНД2:
D6(h6- hдр2)·hто= Dок2 (hв2 - hсм1). (1.36)
Точка смешения СМ1
Dок2=Dок1+ DПСГ2; (1.37)
Dок2* hсм1=Dок1* hв1+ DПСГ2* hПСГ2. (1.38)
Рисунок 1.11 - Схема к расчёту регенеративного подогревателя ПНД1
D7(h7- hдр1)·hто= Dок1 (hв1 - hвпу). (1.39)
Решив систему уравнений (1,30-1,39) получаем следующие значения:
D4=7,965кг/с;
D5=7,981
кг/с;
D6=0,513
кг/с;
D7=0,219
кг/с;
Dок1=12,495
кг/с;
Dок2=42,562кг/с;
Dок3=155,173кг/с;
hсм1=395,358кДж/кг;
hсм2=404,324кДж/кг;
hсм3=521,128кДж/кг.
.3.6 Деаэратор добавочной воды
Для подогрева и деаэрации добавочной воды и обратного конденсата
используется пар из отбора турбины.
Схема потоков воды и пара в деаэраторе добавочной воды показана на
рисунке 1.4.
Рисунок
1.12 - Схема потоков в деаэраторе добавочной воды
Материальный
баланс деаэратора обратного конденсата и добавочной воды ДДВ:
Dкв=Dпов+Dов+Dок+Dдкв+D``пр2,
(1.40)
где
Dпов - расход греющего пара на подогреватель химически
очищенной воды ПОВ, кг/с;
Dов - расход
химически очищенной воды, кг/с;
Dок - расход
обратного конденсата, возвращенного потребителем, кг/с;
Dдкв - расход
греющего пара на ДДВ, кг/с.
Возврат
конденсата от производственных потребителей принимаем 40%
Dок=0,4× Dп ; (1.41)
Dок=0,4×63,5=25,4 кг/с.
Расход химически очищенной воды
Dов=Dп-Dок+D`пр2+Dут; (1.42)
Dов
=(63,5-25,4)+1,394+2,88=43,374 кг/с.
Принимаем: температура добавочной воды 10 °С (hдв=41,868
кДж/кг), температура конденсата возвращённого производственным потребителем 80°С (hок=334 кДж/кг), температура добавочной воды на входе в
химическую очистку 30 °С (hв.пов1=125,604 кДж/кг).
Тепловой расчёт охладителя продувки сводится к определению энтальпий
добавочной воды hв.оп и
продувочной воды h`пр2д после
охладителя, связанных между собой соотношением
h`пр2д-hв.оп=Jоп, (1.43)
где Jоп - разность
энтальпий охлаждённой продувочной и нагретой добавочной воды, которую принимаем
равной 40 кДж/кг.
Тепловой баланс охладителя продувочной воды ОП:
D`пр2×(h`пр2-h`пр2д)=1.35×Dов×(hв.оп-hдв)×1/ηп, (1.44)
где 1.35 - коэффициент учитывающий потери воды при химочистке (35%),
тогда подставляя в, энтальпия охлаждённой продувочной воды:
; (1.45)
h’пр2д= 
= 90,368
к
Энтальпия
добавочной воды после охладителя продувки:
hв.оп=90,368-40=50,368
кДж/кг.
Отсюда
расход пара на подогреватель очищенной воды ПОВ
; (1.46)
.
Подставляя
значения получим:
Dкв=5,832+42,374
+25,4 +Dд.кв+0,159. (1.47)
Тепловой
баланс деаэратора химически очищенной воды:
Dкв×hв.дкв×1/ηп=Dдкв×h6+Dпов×h`н6+Dок×hок+Dов×hв6+D``пр2×h``пр2. (1.47’)
Отсюда:
Dкв×439.3×1.002=Dдкв×2562,3+5,832×436,0+25,4 ×334 +
+42,374×401,4+0,159 ×2683,06.
Решая
систему (1.47-1.47’) уравнений, получим:
Dд.кв=1,889кг/с;
Dкв = 75,654
кг/с.
.3.7 Баланс пара и воды
Паровой баланс турбины представляет собой сравнение потоков пара,
входящих в конденсатор Dп.к и
конденсата, выходящего из конденсатора Dв.к.
Поток конденсата выходящий из конденсатора:
Dв.к= Dок1-Dвып -D7;
(1.48)
Dв.к=12,495-1,325-0,219=10,951
кг/с.
Поток пара входящий в конденсатор
Dп.к=D0-SDi-DПСГ1- DПСГ2-Dд-Dшт-Dпов-Dдкв-Dпроизвод; (1.49)
Dп.к=192-(9,592+7,463+6,135+7,965+7,981+0,513+0,219)-33,444-33,067-
3,219-0,23-5,832-1,889-63,5=10,95 кг/с.
(1.50)
.4 Энергетический баланс турбоагрегата
Таблица 1.4 Баланс мощностей
|
Отсеки
|
Пропуск пара через отсек
|
Числовое значение Dij
|
Теплоперепад Hij
|
Мощность Dij
*Hij
|
|
0-1
|
D0- D шт
|
191,77
|
315,5
|
60,503
|
|
1-2
|
D01- D1
|
182,178
|
106
|
19,311
|
|
2-3
|
D12- D2
|
174,715
|
142,8
|
24,949
|
|
3-4
|
D23- D3
|
101,861
|
132,6
|
13,507
|
|
4-5
|
D34-
D4
|
93,896
|
112,1
|
10,526
|
|
5-6
|
D45-
D5
|
85,915
|
113,4
|
9,743
|
|
6-7
|
D 56-
D6
|
44,613
|
165,9
|
7,401
|
|
7-к
|
D 67-
D7
|
10,95
|
0
|
0,000
|
|
|
|
S Dij ·Hij
|
145,94
|
Расчетная электрическая мощность:
Wэл.
рас.=(S Dij *Hij/1000)* ηм* ηг; (1.51)
где ηм = 0,98;
ηг = 0,98.
Wэл.
рас= 140,161 МВт.
Δ = (Wэл.- Wэл. рас.)/ Wэл. ·100% = 0,115% (1.52)
.5 Определение показателей тепловой экономичности энергоблока с турбиной
ПТ-140/165-130/15
Расчёт показателей тепловой экономичности ТЭЦ сводится к определению
коэффициентов полезного действия по выработке электрической и тепловой энергии.
.5.1 Энергетические показатели турбоустановки
Полный расход тепла на турбоустановку
Qту=D0×(h0-hв1); (1.53)
Qту=192×(3484,7-1016,9)=473,8 МВт.
Расход тепла на производственные потребители
Qп=Dп×hп-Dок×hок-(Dп-Dок)×hвоп; (1.54)
Qп=63,5*2920,4-25,4*334-(63,5-25,4)×46,655=175,2 МВт.
Расход тепла на отопление
Q0т=139,5
МВт.
Общий расход тепла на внешних потребителей
Qпт=Qп+Qт; (1.55)
Qпт=175,2+139,5=314,8
МВт.
Расход тепла на турбоустановку по производству электроэнергии
Qэту=Qту-D``пр1×(h``пр1-hпв)-D``пр2×(h``пр2-hпв)-(Dут+D`пр2)×(hпв-hвоп)-Qпт (1.56)
где hпв=hв1 - энтальпия питательной воды, кДж/кг.
Qэту =
473,8-[1,37×(2756.4-1016,9)+,0159×(2683.06-1016,9)+
+(2,88+1,374)×(1016,9-46,655)]×10-3-314,8 = 159,1 МВт.
Коэффициент полезного действия по производству электроэнергии
hэту = Wэ/Qэту; (1.57)
hэту = 140,161/159,1 = 0,88.
Удельный расход тепла на производство электроэнергии
qэту =
3600/hэту; (1.58)
qэту =
3600/0,88 = 4090,9 кДж/(кВт×ч).
.5.2 Энергетические показатели ТЭЦ
Тепловая нагрузка парогенераторной установки
Qп г= Dпг×(hпг-hпв) +
Dпр×(hпр-hпв),
(1.59)
где hпг=3592,8 кДж/кг - энтальпия пара в
парогенераторе (при Рпг=15,9 МПа, tпг=555°С); [1]
Qпг=194,88×(3592,8 -1016,9) +2,923×(1647,9-1016,9)=503,8 МВт.
Коэффициент полезного действия трубопроводов:
hтр=Qту/Qпг; (1.60)
hтр=473,8 /503,8 =0,94.
Коэффициент полезного действия ТЭЦ по производству электроэнергии:
hэс=hэту×hтр×hпг, (1.61)
где hпг=0.92- КПД
парогенератора;
hэс=0,88×0,94×0.92=0,76.
Коэффициент полезного действия ТЭЦ по производству и отпуску тепла на
отопление:
hтс=hт×hтр×hпг; (1.62)
hтс=0.995×0,94×0.92=0,86.
Общий расход условного топлива энергетическими котлами:
, (1.63)
где
Qнр=29307.6 кДж/кг - теплота сгорания условного
топлива;
кг
у.т./с .
Коэффициент
ценности тепла, отпускаемого из 3-го отбора
Кц3
=
, (1.64)
где
hк=2156 кДж/кг - энтальпия пара в конденсаторе при
фактической электрической мощности турбоагрегата, но при условии работы его в
конденсационном режиме;
Кц3
=0,678.
Коэффициент
ценности 6-ого отбора:
Кц6=
; (1.65)
Кц6
=0,395.
Коэффициент
ценности 7-ого отбора:
Кц7=
; (1.66)
Кц7
=0,243.
Увеличение расхода тепла на производство электрической энергии при
отсутствии отпуска тепла внешним потребителям из 3-го отбора:
dQэ3= Qп(1- Кц3) (1.67)
dQэ3=245,3(1-0,678)=78,987
МВт
Увеличение расхода тепла на производство электрической энергии при
отсутствии отпуска тепла внешним потребителям из 6-го отбора:
dQэ6= Qвоо (1- Кц6) (1.68)
dQэ6=69,96(1-0,395)=42,326
МВт
Увеличение расхода тепла на производство электрической энергии при
отсутствии отпуска тепла внешним потребителям из 7-го отбора:
dQэ7= Qноо (1- Кц7) (1.69)
dQэ7=69,64(1-0,243)=52,717
МВт
Суммарное увеличение расхода тепла на производство электрической энергии
при отсутствии отпуска тепла внешним потребителям
dQэту=
dQэ3+dQэ6+ dQэ7;
(1.70)
dQэту=78,987+42,326+52,717=174,03
МВт
Коэффициент отнесения затрат топлива энергетическими котлами на
производство электрической энергии
Кэ=
(1.71)
Кэ
=
=0,413
Расход
условного топлива на выработку электроэнергии:
Втэ=Вт·Кэ
(1.72)
Втэ
=18,685·0,413 = 7,717 кг у.т./с (27,781 т у.т./ч)
Расход
условного топлива на выработку тепловой энергии:
Втт=Вт-Втэ
(1.73)
Втт
=18,685-7,717 = 10,968 кг у.т./с (39,485 т у.т./ч)
Удельный
расход условного топлива на производство электроэнергии,:
(1.74)

= 198,21
Удельный
расход условного топлива на производство и отпуск тепловой энергии,:
, (1.75)
=
= 125,4
Вывод
к разделу 1
В первой части данной работы была рассчитана тепловая схема энергоблока с
турбиной ПТ-140/165-130/15, определены: расход пара на турбину D0 = 192 кг/с и энергетические
показатели турбоустановки и энергоблока: коэффициент полезного действия
турбоустановки по производству электрической энергии ηтуэ = 0,88, коэффициенты полезного
действия ТЭЦ по производству электроэнергии и тепла соответственно ηcэ = 0,76 и ηcт = 0,86 удельные расходы условного
топлива на производство электроэнергии и тепла соответственно bэу = 198,21 г/кВт*ч и bту = 125,4 г/кВт*ч.
2.
Выбор основного и
вспомогательного оборудования
В данном разделе рассмотрен выбор основного, вспомогательного и насосного
оборудования. Правильный выбор оборудования - важный этап в проектировании
электростанции, способствующий надежному и экономичному энергоснабжению
потребителей.
К основному оборудованию тепловой электростанции относятся паровые котлы,
турбины, генераторы. К вспомогательному оборудованию относятся регенеративные
подогреватели (высокого и низкого давления, деаэраторы питательной и добавочной
воды), конденсаторы, насосное оборудование.
.1 Выбор основного оборудования
.1.1 Выбор парогенератора
Парогенератор выбирается по максимальному расходу пара на турбину с
учетом потерь на продувку и потерь при транспортировке пара в паропроводе, а
так же по давлению свежего пара. Для энергоблока с турбиной ПТ--140/165-130/15
с максимальным пропуском пара на турбину 194,88 кг/с = 701,6 т/ч с учётом
потерь на продувку и все возможные утечки, необходимо выбрать два паровых котла
производительностью 420 т/ч с параметрами свежего пара на выходе Р=12,8 МПа и t=555,5 °С. Таким параметрам соответствует парогенератор типа
Е-420-140ГМ (ТГМ-84Б) [4]. Данный выбор обусловлен прежде всего надежностью
работы основного оборудования станции.
.1.2 Выбор электрогенератора
Турбины ТЭС комплектуются с электрическими генераторами: каждой турбине
соответствует свой генератор. Для турбины ПТ-140/165-130/15 необходимо выбрать
турбогенератор типа ТВВ-165 с косвенным охлаждением статора и непосредственным
охлаждением ротора водородом. [4]. Параметры турбогенератора:
частота вращения n=3000
об/мин,
коэффициент полезного действия h=98,8%.
.2 Выбор вспомогательного оборудования
.2.1 Выбор подогревателей высокого давления
Для ступенчатого подогрева конденсата и питательной воды служат
регенеративные подогреватели. Пар из отборов турбины подается в подогреватели с
отборов турбины, в связи с этим по давлению отбора различают подогреватели
высокого и низкого давления (ПВД и ПНД). Выбор теплообменников заключается в
расчете поверхности нагрева для определения марки подогревателя. ПВД и ПНД
поверхностного типа, деаэраторы повышенного и атмосферного давления,
смешивающего типа.
Расчет достаточно провести для одного подогревателя, имеющего наибольший
расход пара, в данном случае это ПВД 7.
Поверхность нагрева определяется по формуле: [5]
F=
; (2.1)
где Q - тепловая мощность подогревателя
(кВт);
k -
коэффициент теплопередачи;
Dt -
средний логарифмический температурный напор.
Расчет осуществим, разбивая подогреватель на три части: охладитель пара,
собственно подогреватель и охладитель дренажа. Таким образом, получим следующие
формулы:
- для охладителя пара (ОП):
Qоп=Dп3·(hп3-h``3)
(2.2)
где Dп3=9,592 кг/с- расход отборного пара
на подогреватель;
hп3=3169,2
кДж/кг - энтальпия отборного пара перед подогревателем;
h"3
=2801,5 кДж/кг - энтальпия насыщения отборного пара.
Qоп =
9,592·(3169,2-2801,5) = 3526,9 кВт;
- для собственно подогревателя (СП):
Qсп=Dп3·(h"др3-h'др3)
(2.3)
где h'др3=1042,6 кДж/кг-энтальпия
насыщения воды при давлении в отборе.
Qсп=9,592·(2801,5-1042,6)=16871,4
кВт;
- для охладителя дренажа (ОД):
Qод=Dп3·(h'др3-h'од3)
(2.4)
где h'од3=1022,9 кДж/кг - энтальпия
конденсата греющего пара после ОД ПВД 7;
Qод=
9,592·(1042,6 - 1022,9)= 189,0 кВт.
Тепловая мощность всего подогревателя:
Qп3= Qоп+ Qсп+ Qод
(2.5)
Qп3
=3526,9+16871,4+189,0= 20587,3 кВт.
Средний логарифмический температурный напор определяется по формуле:
Dtср=
(2.6)
где
Dtб -
наибольший перепад температур между греющей и нагреваемой средой;
Dtм - наименьший перепад температур между греющей и
нагреваемой средой; м
График
нагрева воды показан на рисунке 2.1:
Рисунок
2.1- График нагрева питательной воды в ПВД 5.
а) для охладителя пара (ОП):
Dtб=tп3-tв.п.3 (2.7)
где tп3 = 367,1 °С - температура греющего
пара;
tв.п3=
234,9 °С - температура питательной воды после подогревателя;
Dtм=tпо3-tв.сп.3 (2.8)
где tП03=236,9 °С - температура греющего
пара за пароохладителем;
tв.сп3=
tв.п3-Δtоп=234,9-5=229,9 °С - температура
питательной воды перед пароохладителем;
Таким образом, по формулам (2.7) и (2.8) определяем:
Dtб=
367,1-234,9=132,2 °С,
Dtм
=236,9-229,9=7°С.
Определяем
температурный напор: Dtср=
=42,6 °С.
б) для охладителя дренажа:
Dtб=t`H3-tв.од.3 (2.9)
где tв.од.3 = 216 °С - температура воды
после охладителя дренажа;
t`H3= 236,9 °С - температура насыщения
при давлении в подогревателе;
Dtб=236,9-216=20,9°С.
Dtм =Qод=8 °С
где Qод=8 °С -
недоохлаждение конденсата греющего пара в подогревателе.
Определяем температурный напор в охладителе дренажа:
Dt одср=
=13,4 °С.
в)
для собственно подогревателя:
Dtб= 20,9 0C,
Dtм=7 0С
Определяем
температурный напор для собственно подогревателя:
=12,70С
Определяем
поверхности нагрева подогревателя по формуле (2.1), задаваясь значениями
коэффициентов теплопередачи: kод=1,5 кВт/м2·°С; koп=1.4
кВт/м2·°С; kcп=2,5кВт/м2·°С.
Fоп=
=59,136м2
Fсп=
=531,036 м2
Fод=
=9,380 м2
Общая
поверхность теплообмена подогревателя составляет:
Fпвд=Fоп +
Fсп+ Fод (2.10)
Fпвд
=59,136+531,036+9,380=599,552 м2
Так
как тепловая мощность 7 ПВД больше, чем остальных ПВД, принимаем группу ПВД с
одинаковой поверхностью из стандартных теплообменников. Также необходимо
учитывать давление в отборе, расход и давление питательной воды. По данным
параметрам соответствует следующая группа ПВД:
ПВД
5: ПВ-800-230-14;
ПВД
6: ПВ-800-230-21;
ПВД
7: ПВ-800-230-32.[4]
Все
эти ПВД с суммарной площадью поверхности F = 800 м2,
предельным давлением воды в трубной системе 230 кгс/см2 и номинальным расходом
воды: 236,1 кг/с.
.2.2
Выбор подогревателей низкого давления
Выбор
ПНД производится без разбиения его поверхности на три части. Расчет будем
производить для ПНД 4.
Тепловая
мощность подогревателя:
Qпнд4= D4·(hп4-hдр4)
(2.11)
Qпнд4
= 7,965·(2787,8-637,8) = 17124,8 кВт.
Средний логарифмический температурный напор составит:
Dtб=tп4-tв4 = 167,9-147,3= 20,6 °С
Dtм=tдр4-tв3 = 127,6-123,6 = 4 °С
=10,1°С
Принимая
коэффициент теплопередачи к = 5,1 кВт/м2·°С, получим:
F=
=332,456 м2;
Выбираем
группу ПНД [4]:
ПНД
№1: ПН-350-16-7-I;
ПНД
№2: ПН-350-16-17-II;
ПНД
№3: ПН-400-26-7-II;
ПНД
№4: ПН-400-26-8-V.
Эти
ПНД с площадью поверхности теплообмена F = 350 и 400
м2, с номинальным массовым расходом воды 159,7 и 208,3 кг/с.
.2.3
Выбор деаэратора питательной воды
Выбираем
деаэратор для деаэрации питательной воды следующего типа: ДП-1000 с номинальной
производительностью 277,8 кг/с или 1000 т/ч. Давление в деаэраторе 0.59 МПа.
Колонка деаэратора присоединена к аккумуляторному баку деаэратора емкостью 120
м3, для запаса воды в аварийных ситуациях с обеспечением работы котлов на время
5 минут при блочной компоновке. [4]
2.2.4
Выбор деаэратора добавочной воды
С
учетом максимального невозврата конденсата выбираем деаэратор для деаэрации
добавочной воды типа ДА-300 с номинальной производительностью 83,3 кг/с или
300т/ч. Давление в деаэраторе 0,12 МПа. К колонке деаэратора присоединен
аккумуляторный бак деаэратора емкостью 100 м3. [4]
.2.5
Выбор конденсатора
Конденсатор выбирают по максимальному расходу пара в конденсатор,
температурам охлаждающей воды, по которым определяются давление в конденсаторе,
расходу охлаждающей воды. Поверхность охлаждения конденсатора определяется по
формуле:
FK=
(2.12)
кмакс
=0.6· D0 =0,6·192=115,2 - максимальный расход конденсата через конденсатор;
hпк, hвк -
энтальпия отработавшего пара и конденсата, кДж/кг;
k - коэффициент
теплопередачи, принимаем k = 6,00 кВт/ м2·°С;
Dtcp - среднелогарифмическая разность температур между
паром и водой,°С
Dtср=
=7,3 °С
(2.13)
FK=
=5950,16 м2
Выбираем
конденсатор типа К2-6000-1 с поверхностью охлаждения F = 6000 м2 , и
расходом охлаждающей воды равный 12400 м3/ч.[4]
.2.6 Выбор сетевых подогревателей
Сетевые подогреватели выбираются по необходимой площади поверхности
нагрева, а также по давлению греющего пара и сетевой воды и по максимальному
расходу пара на подогреватель. [4]
Тепловая нагрузка сетевого подогревателя 1 (ПСГ1) Qт = 69,75 МВт
Определим среднелогарифмический температурный напор в подогревателе:
Δtб = t`сп - tв.ос,
(2.14)
Δtм = Өсп, (2.15)
Принимаем
коэффициент теплопередачи для сетевого подогревателя равным k =
3.5 кВт/(м2·°C).
Поверхность
теплообмена для сетевого подогревателя определяем по формуле:
(2.16)
F =
В
соответствии с полученными данными по справочнику выбираем два сетевых
подогревателя, которые устанавливаются последовательно типоразмера
ПСГ-1300-3-8-7-I. Основные характеристики: площадь поверхности
теплообмена 1300 м2.[4]
.3 Выбор насосного оборудования
.3.1 Выбор питательных насосов
Выбор питательного насоса осуществляется из условия обеспечения
парогенератора питательной водой, максимальное потребление которой определяется
максимальным расходом ее на парогенератор с запасом 5¸8%.
Для барабанных парогенераторов давление в питательном патрубке насоса,
необходимое для подачи питательной воды равно: Рн = 20,543 МПа;
Давление во всасывающем патрубке насоса равно: Рв = 0.795 МПа.
Повышение давления воды, которое будет создавать насос, МПа: [6]
Dрпн=(Рн-Рв)·y
(2.17)
где y= (1.05¸1.1) - коэффициент запаса по
давлению.
Dрпн = (20,543-0,795)·1.05 = 20,74 МПа.
Давление в нагнетательном патрубке с учетом коэффициента запаса yрк:
yрк = 1.05·Dрпн
= 21,78 МПа.
С учетом запаса воды: Dпв.mах =1.06·Dпв = 197,803 ·1.06 = 209,671 кг/с = 754,8 т/ч .
Исходя из численных значений максимального расхода питательной воды Dпв.mах и давления в нагнетательном патрубке насоса yрк а также из стандартного
оборудования, выбираем: три питательных насоса (два рабочих + один резервный)
марки ПЭ 580-185, производительностью 580 т/ч, с напором 2030 м, частотой
вращения 2985 об/мин, мощностью 4000 кВт и КПД равным 80%.[4 ]
2.3.2 Выбор конденсатных насосов
Конденсатные насосы служат для подачи конденсата из конденсатора через
подогреватели низкого давления в деаэратор. Расчетная производительность
конденсатного насоса определяется по формуле:
ркн=рд+ΣDрк-д+ Dрст.ж.
(2.18)
По формуле (1.3) принимаем:
Dрст.ж.=rgDH·10-6 (2.19)
где r =795,4 м3/кг -
плотность воды для tдв;
DH = 28¸35 м -
высота подъема жидкости от уровня оси до уровня в барабане.
Dрст.ж.=798,4·9,81·33·10-6=0,257 МПа.
ΣDрк-д = 0,1¸0,5 МПа - для одного ПНД, ΣDрк-д = 0,2·4=0,8 МПа
ркн=0,6+0,8+0,257=1,647 МПа
Исходя из этого, устанавливаем систему конденсатных насосов из трех
насосов (два рабочих + один резервный) типа КСВ-320-160. [4]
Вывод к разделу 2
На основании расчёта принципиальной тепловой схемы выбрано основное
оборудование:
1) два парогенератора типа Е-420-140ГМ (ТГМ-84Б)
2) турбогенератор типа ТВФ-265
На основании расчёта принципиальной тепловой схемы выбрано
вспомогательное оборудование:
1) подогреватели высокого давления:
ПВ-800-230-14, ПВ-800-230-21, ПВ-800-230-32 с поверхностью нагрева 800 м2;
2) подогреватели низкого давления
ПН-350-16-7-I, ПН-350-16-17-II с поверхностью нагрева 350 м2 и
ПН-400-26-7-II, ПН-400-26-8-V с поверхностью нагрева 400 м2;
3) деаэратор питательной воды с
деаэрационной колонкой ДП-1000 с номинальной производительностью 1000 т/ч. Давление
в деаэраторе 0.59 МПа. Деаэратор конденсата и добавочной воды с деаэрационной
колонкой ДА-300 с номинальной производительностью 300 т/ч. Давление в
деаэраторе 0,12 МПа.
4) конденсатор типа К2-6000-1 с
поверхностью охлаждения F =
6000 м2.
5) Сетевые подогреватели типа
ПСГ-1300-3-8-7-I.
На основании расчёта принципиальной тепловой схемы выбрано насосное
оборудование:
1) три питательных насоса (два рабочих + один резервный) марки
ПЭ580-185, производительностью 500 т/ч, с напором 2030 м, частотой вращения
2985 об/мин, мощностью 4000 кВт и КПД равным 80%.
2) систему конденсатных насосов (два рабочих + один резервный) типа
КСВ-320-160.
3.
Конструктивный расчет основных параметров насоса
.1 Исходные данные
Характеристики ПЭН-580-185:
Подача: Q=580 м3/ч = 0,161 м3/с.
Напор: H=2030/10 = 203 м. в. ст.
Обороты: n=2985 об./мин.
На рисунке 3.1 представлена характеристика ПЭ-580-185.
Рисунок 3.1 - Характеристика насоса ПЭ - 580 - 185 (ГОСТ-22337-77)
Схема проточной части представлена на рисунке 3.2.
Рис 3.2 - Проточная часть ПЭ-580-185
.2 Расчет рабочего колеса
Конструкция колеса в значительной степени зависит от коэффициента
быстроходности ns поэтому в
первую очередь определяем его [7, стр.130]:
ns=
; (3.1)
ns=
= 81,288.
Далее
определим объемный КПД
по формуле:
η0=
; (3.2)
где
a - коэффициент зависит от соотношения между диаметрами
входа и выхода и составляет около 0,68.
η0=
= 0,965.
Рассчитываем приведенный диаметр D1п на входе:
D1п=
; (3.3)
D1п= 
= 0,173
м.
Исходя
из полученного диаметра определяем гидравлический КПД
по формуле:
ηг=
; (3.4)
ηг=
= 0,887.
Для
современных центробежных насосов механический КПД достигает
.
Принимаем

.
Полный КПД насоса рассчитываем по формуле:
η=
; (3.5)
η=
0,80.
Зная
полный КПД определяем мощность насоса и крутящий момент на валу:[10]
Ni=
; (3.6)
Ni=
=398,447
кВт
N=
3984,47
кВт
M=
; (3.7)
M=
= 
Нсм.
Определяем теоретический напор:
Hт=
; (3.8)
Hт=
= 252,2
м.
Определив мощность насоса и крутящий момент на его валу, можно рассчитать
из условия скручивания диаметр вала насоса.
Вал насоса работает в основном на скручивание моментом М, но частично
нагружен поперечными силами собственного веса и центробежными силами,
обусловленными небалансом ротора. Поэтому допускаемое напряжение кручения σкр=300 кгс/см2. [9]
Диаметр вала насоса:
d0=
; (3.9)
d0=
= 0,128
м.
Диаметр
ступицы колеса:
dст =
; (3.10)
dст =
= 0,144
м.
Диаметр
входа на рабочие лопасти:
D1= 
; (3.11)
D1=
= 0,225
м.
Длина
ступицы конструктивно:
lст=
; (3.12)
lст=
= 0,156
см.
Окружная
скорость на входе в каналы рабочего колеса
U1= 
; (3.13)
U1=
= 35,095
м/с.
Скорость
входа в рабочее колесо:
C0=
; (3.14)
где
D0=D1=0,225 м;
C0= 
=4,681
м/с.
Из
входного парраллелограма, пологая C1=C0 , получаем:
tg(β1)=
= 
= 0.133
, отсюда:
β1= 7,598.
Угол
лопасти на входе:
i=4.
β1л=β1+i=7,598+4=11,598.
Коэффициент
стеснения входного сечения:
μ1=0,9.
Ширина
лопасти на входе:
b1 =
; (3.15)
b1 = 
= 0,054
м.
Окружная
скорость на выходе из колеса:
β2= 32.
C2r =
17 м/с.
U2=1/2∙C2r∙ctg(β2)+
(3.16)
U2= 62,898 м/с.
Определяем
D2:
D2 = 
; (3.17)
D2 = 
= 0,402
м.
Определяем
m:
m = 
; (3.18)
m =
= 1,792.
Количество
лопаток рабочего колеса:
z=
; (3.19)
z=
= 7,4
=7.
.3 Методика
расчёта спирального отвода с круговыми сечениями
Форма меридианного сечения спирального отвода играет существенную роль и
должна выполняться по подобию с конструкциями насосов, показавших высокое
значение КПД. При этом быстроходность проектируемого насоса не должна
значительно отличаться от используемого образца.
Рисунок 3.3- Спиральный отвод с круговым сечением
Неудачная форма сечения ведет к отрыву потока от стенок спирального
отвода и нарушает характер движения жидкости, предполагаемый расчетом. Однако
для определения в первом приближении размеров спирального отвода удобно
запроектировать его с круговыми сечениями.
Уравнение
для пропускной способности
сечения,
расположенного под некоторым углом
[8,
стр.102]:

. (3.20)
так
как
.
С другой стороны пропускная способность определяется из следующей
формулы:
. (3.21)
Тогда
из системы уравнений (3.20), (3.21) определяем данный угол:
, (3.22)
где
коэффициент К определяется по следующей формуле:
. (3.23)
Заменяя
в последнем равенстве
и решая его относительно
, получим:
. (3.24)
Эта
формула позволяет аналитическим путём определить радиус
кругового сечения спиральной камеры, расположенного
под углом
.
Таблица 3.1 - Расчет спирального отвода с круговыми сечениями
|
№
|
Произвольный угол Подача
Угловой коэффициент kРасстояние от колеса до отвода ρРадиус отвода a=R3+ρ
|
|
|
|
|
|
1
|
0
|
0
|
-
|
-
|
-
|
|
2
|
45
|
72,45
|
1544,9
|
7,66
|
217,66
|
|
3
|
90
|
144,90
|
772,4
|
15,38
|
225,38
|
|
4
|
135
|
217,35
|
515,0
|
23,16
|
233,16
|
|
5
|
180
|
289,80
|
386,2
|
31,00
|
241,00
|
|
6
|
225
|
362,25
|
309,0
|
38,89
|
248,89
|
|
7
|
270
|
434,70
|
257,5
|
46,84
|
256,84
|
|
8
|
315
|
507,15
|
220,7
|
54,86
|
264,86
|
|
9
|
360
|
579,60
|
193,1
|
62,93
|
272,93
|
Таблица 3.2 - Параметры рабочего колеса
|
Наименования
|
Обозначение
|
Размерность
|
Значение
|
Примечание
|
|
Подача
|
Q
|
м3/час
|
579,6
|
|
|
Напор
|
H
|
м
|
203
|
|
|
Плотность
|
ρ
|
кг/м3
|
1000
|
|
|
Частота вращения
|
n
|
об/мин
|
2985
|
Принимаем по техническим
данным двигателя
|
|
Коэф. быстроходности
|
ns
|
об/мин
|
81,288
|
|
|
Объемный КПД
|
ηo
|
%
|
96,5
|
Принимаем коэффициент
а=0,68
|
|
Приведенный диаметр на
входе
|
Dп
|
мм
|
173
|
|
|
Гидравлический КПД
|
ηг
|
%
|
|
|
Механический КПД
|
ηм
|
%
|
94
|
Принимаем из (93-96)%
|
|
Мощность насоса
|
N
|
кВт
|
4383
|
|
|
Крутящий момент на валу
|
M
|
Н·м
|
1432
|
|
|
Диаметр вала
|
d
|
мм
|
128
|
Принимаем σдоп=340кгс/см2
|
|
Диаметр входа на рабочее
колесо
|
D1
|
мм
|
225
|
|
|
Окружная скорость на входе
в каналы раб.колеса
|
U1
|
м/с
|
35,095
|
|
|
Скорость входа в рабочее
колесо
|
C0
|
м/с
|
4,681
|
|
|
Ширина лопасти
|
b
|
мм
|
54
|
|
|
Окружная скорость на выходе
из колеса
|
U2
|
м/с
|
62,898
|
|
|
Диаметр выхода
|
D2
|
мм
|
402
|
|
|
Кол-во лопаток
|
z
|
|
7
|
|
|
Теоретический напор
|
НТ
|
м
|
252,2
|
|
Вывод к разделу 3
В данном разделе произведён расчёт второго- десятого рабочего колеса и
спирального отвода питательного насоса ПН-580-185. В результате которого были
определены: основные геометрические характеристики рабочего колеса, объемный,
гидравлический и полный КПД насоса, а также спрофилирован спиральный отвод.
По итогам расчета получены следующие данные:
. Объемный КПД насоса: ηo=0,965.
. Полный КПД насоса: η=0,805.
. Мощность насоса: N=
3984,5 кВт.
. Диаметр вала насоса: d0=128 см.
. Диаметр входа на рабочие лопатки: D1= 225 см.
. Диаметр выхода из рабочей лопатки: D2= 402 см.
. Количество лопаток: z= 7.
4. Внедрение частотно-регулируемого привода (чрп) для питательного насоса
энергоблока с турбиной пт-140/165-130/15
В последние годы почти все тепловые электростанции (ТЭС) с энергоблоками
единичной мощности 100-310 МВт вовлекаются в регулирование суточных и сезонных
графиков нагрузки. Разгрузка газо-мазутных энергоблоков достигает 70-75%, а
угольных - 50%. В этих условиях, для обеспечения эффективной работы и высокого
КПД энергоблоков, важнейшей задачей является снижение энергопотребления на
собственные нужды ТЭС.
Дутьевые вентиляторы и дымососы, питательные, бустерные, конденсационные,
насосы - основные потребители электроэнергии на собственные нужды. Для
энергоблоков мощностью 100-300 МВт, работающих на газе, на долю упомянутых
механизмов приходится в среднем 6,1-4,2%, для работающих на угле эта величина
составляет 7,8-5,6%.
Существуют различные способы управления производительностью насосов: дросселирование
нагрузки, снижение единичной мощности агрегатов и увеличение их количества и
т.д. Наиболее эффективным способом является регулирование скорости вращения.
Применение ЧРП на насосах обеспечивает интегральное снижение потребляемой
мощности на 25-40% и позволяет увеличить мощность энергоблока в среднем на 1-2%
за счет исключения в водяных трактах дросселей и заслонок, а также улучшения
технологических процессов выработки электроэнергии. Поэтому для механизмов
собственных нужд ТЭС непосредственно участвующих в процессе производства
электроэнергии (прежде всего дымососы и дутьевые вентиляторы, питательные
насосы и т.п.), должны учитываться совокупно как фактор увеличения мощности
энергоблока, так и фактор энepгo- и ресурсосбережения.
В состав ЧРП входят стандартный или специальный асинхронный или
синхронный электродвигатель, транзисторный или тиристорный преобразователь
частоты, согласующий трансформатор либо реактор, пускорегулирующая и
коммутационная аппаратура. Иногда для решения проблемы электромагнитной
совместимости с сетью в состав комплексной поставки ЧРП могут входить
фильтро-компенсирующие устройства.
Рассмотрим экономической эффективности от применения ЧРП на питательном
насосе (ПЭН-580-185) энергоблока 140 МВт Саратовской ГРЭС. Его основными
характеристиками являются: Подача: Q=580 м3/ч = 0,161 м3/с. Напор: H=2030/10 = 203 м. в. ст. Обороты: n=2985 об./мин. Полный КПД насоса: η=0,80.
Номинальная мощность
двигателя насоса 4000 кВт. Из расчета произведенного в первой части работы: Dпв.mах = 754,7 т/ч.
Сравним два способа регулирования: дросселированние и применение чрп.
.1 Дроссельное регулирование
При данном способе регулирование осуществляется дросселем, расположенным
на напорной линии насоса.
По мере закрытия дросселя происходит увеличение сопротивления и
соответствующее уменьшение подачи. Каждому положению дросселя соответствует
новая характеристика сети.
В нашем случае, чтобы два параллельно установленных насоса обеспечивали
подачу 755 м3/ч (первый режим работы блока 1) принята следующая схема:
Один насос работает с полностью открытой дроссельной заслонкой, при этом
перекачивает 580 м3/ч воды. Используя характеристику насоса ПЭ-580-185,
изображенную на рисунках 4.1 и 4.2 определим мощность и кпд насоса в рабочей
точке.
Рисунок 4.1 - Характеристика насоса ПЭ - 580 - 185 (ГОСТ-22337-77)
Рисунок 4.2 - Характеристика насоса ПЭ - 580 - 185 (ГОСТ-22337-77)
Потребляемая мощность равна:

.
КПД
первого насоса составит:

.
Тогда
второй насос должен обеспечить подачу 
м3/ч
воды.
При
этом потребляемая мощность равна:

.
КПД
второго насоса составит:

.
Тогда
суммарная мощность равна 


.
Подобным
образом просчитаем характеристики двух насосов, работающих параллельно, для
десяти расчетных режимов работы блока 1. Результаты занесем в таблицу 4.1.
Таблица
4.1 - Рабочие параметры насосной установки при различных режимах.
№
реж. 
, м3/ч
, м3/ч
, м3/ч
, кВт
, кВт
, кВт
,
|
% , % , %
|
|
|
|
|
|
|
|
|
|
|
т/ч
|
м3/ч
|
|
|
|
|
|
|
|
|
|
1
|
679,2
|
754,7
|
580,0
|
174,7
|
3600,0
|
2000,0
|
5600,0
|
81,3
|
50,7
|
71,3
|
|
2
|
623,9
|
693,2
|
580,0
|
113,2
|
3600,0
|
1765,0
|
5365,0
|
81,3
|
36,1
|
67,5
|
|
3
|
591,2
|
656,9
|
580,0
|
76,9
|
3600,0
|
1665,0
|
5265,0
|
81,3
|
26,5
|
65,5
|
|
4
|
589,5
|
655,0
|
580,0
|
75,0
|
3600,0
|
1663,0
|
5263,0
|
81,3
|
26,3
|
65,6
|
|
5
|
504,0
|
560,0
|
560,0
|
0,0
|
3531,0
|
0,0
|
3531,0
|
81,1
|
0,0
|
81,1
|
|
6
|
465,0
|
516,7
|
516,7
|
0,0
|
3380,0
|
0,0
|
3380,0
|
79,9
|
0,0
|
79,9
|
|
7
|
593,5
|
659,4
|
580,0
|
79,4
|
3600,0
|
1680,0
|
5280,0
|
81,3
|
28,0
|
66,1
|
|
8
|
522,5
|
580,6
|
580,0
|
0,6
|
3600,0
|
0,0
|
3600,0
|
81,3
|
0,0
|
81,3
|
|
9
|
437,9
|
486,6
|
486,6
|
0,0
|
3288,0
|
0,0
|
3288,0
|
79,7
|
0,0
|
79,7
|
|
10
|
630,4
|
700,4
|
580,0
|
120,4
|
3600,0
|
1800,0
|
5400,0
|
81,3
|
38,0
|
68,0
|
Как
видно из таблицы такой способ регулирования режимов работы насосов простой, но
неэкономичный, так как величина кпд второго зарегулированного насоса (
)
достигает в лучшем случае 51% для первого режима.
.2 Регулирование с применением частотно-регулируемого привода (ЧРП)
Этот
способ основан на изменении частоты вращения насоса. При изменении частоты
вращения 
, об/мин.
напорные характеристики насоса 
представляют
собой конгруэнтные кривые и рабочая точка, перемещаясь по характеристике сети,
дает различные значения подачи 
.
При
таком режиме регулирования кпд насосной установки незначительно отличается от
оптимальной величины.
Для
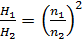
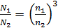
двух одинаковых насосов, работающих с различной частотой вращения и
перекачивающих жидкость той же плотности, применимы законы подобия: [11]

, 
, 
.
Эти
уравнения позволяют пересчитать подачу, напор и мощность при новой частоте:

; (4.1)

; (4.2)

. (4.3)
Таким
образом получаются характеристики насосов в зависимости от частоты вращения.
Тогда необходимо подобрать частоту вращения обоих насосов так, чтобы они вместе
обеспечивали требуемую подачу воды. При этом создаваемый напор насосами должен
быть не меньше требуемого.
Предварительно
зададимся значениями частот вращения:

(номинальный
режим работы насоса);

;

;

.
Для
частот 
, 
и 
произведем
пересчет 
, 
и 
по
формулам 4.1 - 4.3. А также произведем расчет коэффициента быстроходности (
) по
формуле: [12]

, (4.4)
Этот
коэффициент служит критерием подобия центробежных насосов. Он вычисляется для
определения оптимального режима работы насоса (
, где 

).
Результаты расчетов занесем в таблицы 4.2 и 4.3.
Таблица 4.2 - Характеристики насосов с ЧРП (калиброчочные)
|
|
|
|
|
|
 , м3/с , м  , м3/с , м  , м3/с , м  , м3/с , м
|
|
|
|
|
|
|
|
|
|
|
|
|
0,0
|
2352,0
|
0,0
|
0,0
|
1903,0
|
0,0
|
0,0
|
1501,5
|
0,0
|
0,0
|
1147,5
|
0,0
|
|
40,0
|
2350,5
|
3,4
|
36,0
|
1901,8
|
3,4
|
32,0
|
1500,5
|
3,4
|
27,9
|
1146,8
|
3,4
|
|
80,0
|
2350,0
|
4,8
|
72,0
|
1901,4
|
4,8
|
63,9
|
1500,2
|
4,8
|
55,9
|
1146,5
|
4,8
|
|
120,0
|
2348,0
|
5,9
|
107,9
|
1899,8
|
5,9
|
95,9
|
1498,9
|
5,9
|
83,8
|
1145,6
|
5,9
|
|
160,0
|
2340,0
|
6,8
|
143,9
|
1893,3
|
6,8
|
127,8
|
1493,8
|
6,8
|
111,8
|
1141,7
|
6,8
|
|
200,0
|
2331,0
|
7,7
|
179,9
|
1886,0
|
7,7
|
159,8
|
1488,1
|
7,7
|
139,7
|
1137,3
|
7,7
|
|
240,0
|
2321,0
|
8,4
|
215,9
|
1877,9
|
8,4
|
191,8
|
1481,7
|
8,4
|
167,6
|
1132,4
|
8,4
|
|
280,0
|
2306,0
|
9,2
|
251,9
|
1865,8
|
9,2
|
223,7
|
1472,1
|
9,2
|
195,6
|
1125,1
|
9,2
|
|
300,0
|
2300,0
|
9,5
|
269,8
|
1860,9
|
9,5
|
239,7
|
1468,3
|
9,5
|
209,5
|
1122,2
|
9,5
|
|
320,0
|
2287,0
|
9,8
|
287,8
|
1850,4
|
9,8
|
255,7
|
1460,0
|
9,8
|
223,5
|
1115,8
|
9,8
|
|
360,0
|
10,5
|
323,8
|
1826,9
|
10,5
|
287,6
|
1441,5
|
10,5
|
251,5
|
1101,7
|
10,5
|
|
400,0
|
2228,0
|
11,2
|
359,8
|
1802,7
|
11,2
|
319,6
|
1422,3
|
11,2
|
279,4
|
1087,0
|
11,2
|
|
440,0
|
2193,0
|
11,9
|
395,8
|
1774,3
|
11,9
|
351,6
|
1400,0
|
11,9
|
307,3
|
1069,9
|
11,9
|
|
480,0
|
2154,0
|
12,6
|
431,8
|
1742,8
|
12,6
|
383,5
|
1375,1
|
12,6
|
335,3
|
1050,9
|
12,6
|
|
520,0
|
2111,0
|
13,3
|
467,7
|
1708,0
|
13,3
|
415,5
|
1347,6
|
13,3
|
363,2
|
1029,9
|
13,3
|
|
540,0
|
2085,0
|
13,7
|
485,7
|
1687,0
|
13,7
|
431,5
|
1331,0
|
13,7
|
377,2
|
1017,3
|
13,7
|
|
560,0
|
2055,0
|
14,1
|
503,7
|
1662,7
|
14,1
|
447,4
|
1311,9
|
14,1
|
391,2
|
1002,6
|
14,1
|
|
580,0
|
2030,0
|
14,5
|
521,7
|
1642,5
|
14,5
|
463,4
|
1295,9
|
14,5
|
405,1
|
990,4
|
14,5
|
Таблица 4.3 - Мощностные характеристики насосов с ЧРП.
|
|
|
|
|
|
|
|
|
|
|
|
|
|
|
0,0
|
1500,0
|
0,0
|
1091,7
|
0,0
|
765,1
|
0,0
|
511,2
|
|
120,0
|
1810,0
|
107,9
|
1317,3
|
95,9
|
923,2
|
83,8
|
616,8
|
|
200,0
|
2080,0
|
179,9
|
1513,8
|
159,8
|
1061,0
|
139,7
|
708,8
|
|
280,0
|
2417,0
|
251,9
|
1759,0
|
223,7
|
1232,8
|
195,6
|
823,7
|
|
360,0
|
2762,0
|
323,8
|
2010,1
|
287,6
|
1408,8
|
251,5
|
941,3
|
|
480,0
|
3242,0
|
431,8
|
2359,5
|
383,5
|
1653,7
|
335,3
|
1104,8
|
|
540,0
|
3472,0
|
485,7
|
2526,9
|
431,5
|
1771,0
|
377,2
|
1183,2
|
|
580,0
|
3600,0
|
521,7
|
2620,0
|
463,4
|
1836,3
|
405,1
|
1226,8
|
По данным расчета построим рабочие характеристики.
Подберем
рабочую частоту для обеспечения необходимой подачи воды в первом режиме. Исходя
из того, что при параллельном соединении насосов подачи суммируются, то один
насос должен обеспечить подачу 

(4.5)


м3/ч .
Рисунок
4.3 - Характеристики насосов при различных частотах (с применением ЧПР).
При
этом насос должен обеспечить потребный напор.
Из
рисунка 4.3 по рабочим характеристикам примерно подбираем необходимую частоту
вращения, которая составляет 
об/мин.
Пересчитаем
характеристику насоса при этой частоте. Затем, складывая расходы при
соответствующих напорах, строим совместную характеристику параллельно
установленных насосов.
Таблица
4.4 - Характеристика насоса при 
об/мин
|
 об/мин.
|
|
 , м3/ч , м  , м3/ч
|
|
|
|
|
0,0
|
1937,2
|
0,0
|
0,0
|
|
36,3
|
1935,9
|
3,4
|
72,6
|
|
72,6
|
1935,5
|
4,8
|
145,2
|
|
108,9
|
1933,9
|
5,9
|
217,8
|
|
145,2
|
1927,3
|
6,8
|
290,4
|
|
181,5
|
1919,9
|
7,7
|
363,0
|
|
217,8
|
1911,6
|
8,4
|
435,6
|
|
254,1
|
1899,3
|
9,2
|
508,2
|
|
272,3
|
1894,3
|
9,5
|
544,5
|
|
290,4
|
1883,6
|
9,8
|
580,8
|
|
326,7
|
1859,7
|
10,5
|
653,4
|
|
363,0
|
1835,0
|
11,2
|
726,0
|
|
399,3
|
1806,2
|
11,9
|
798,6
|
|
435,6
|
1774,1
|
12,6
|
871,2
|
|
471,9
|
1738,7
|
13,3
|
943,8
|
|
490,1
|
1717,3
|
13,7
|
980,1
|
|
508,2
|
1692,5
|
14,1
|
1016,4
|
|
526,4
|
1672,0
|
14,5
|
1052,7
|
Изобразим
графически совместную характеристику двух насосов при 
. И на
этом же графике изобразим рабочую характеристику трубопровода. Зная, что в
точке с 
потребный
напор равен 
м.
А
при 
потери давления
в напорном трубопроводе равны нулю: ΔPтр=0 МПа, тогда
потребный напор Hпотр . [13]
Hпотр = 
; (4.6)
м.
Тогда
характеристика трубопровода будет иметь вид:

, (4.7)
отсюда

, тогда:

Изобразим
полученные характеристики графически
Рисунок
4.4 - рабочие характеристики параллельно установленных насосов при 
об/мин.
При
этом потребляемая мощность насосов определяется из рисунка 4.3 и равна:
, тогда
для первого режима суммарная мощность насосов равна: 
кВт.
Подобным
образом подбираем 
для
остальных режимов работы.
Результаты
занесем в таблицу 4.5. КПД насоса найдем из рисунка 4.5.
Таблица
4.5 - Оптимальные режимы работы насосов с использованием ЧРП
|
№ реж.
|
DПВ, м3/ч
|
nопт, об/мин
|
Qопт, м3/ч
|
Qпар, м3/ч
|
Nопт, кВт
|
Nуст(ЧРП), кВт
|
ns
|
η1,%
|
η2,
%
|
ηоб, %
|
|
т/ч
|
м3/ч
|
|
|
|
|
|
|
|
|
|
|
1
|
679,2
|
754,7
|
2702
|
379,5
|
759,0
|
2225
|
4450
|
11,5
|
77,0
|
77,0
|
77,0
|
|
2
|
623,9
|
693,2
|
2677
|
347,5
|
695,0
|
2075
|
4150
|
11,0
|
75,0
|
75,0
|
75,0
|
|
3
|
591,2
|
656,9
|
2663
|
329,0
|
658,0
|
1980
|
3960
|
10,65
|
74,0
|
74,0
|
74,0
|
|
4
|
589,5
|
655,0
|
2663
|
329,0
|
658,0
|
1980
|
3960
|
10,65
|
74,0
|
74,0
|
74,0
|
|
5
|
504,0
|
560,0
|
2812
|
562,0
|
562,0
|
3050
|
3050
|
14,8
|
81,0
|
-
|
81,0
|
|
6
|
465,0
|
516,7
|
2769
|
518,0
|
518,0
|
2800
|
14,1
|
81,0
|
-
|
81,0
|
|
7
|
593,5
|
659,4
|
2664
|
330,0
|
660,0
|
1986
|
3972
|
10,67
|
74,0
|
74,0
|
74,0
|
|
8
|
522,5
|
580,6
|
2985
|
580,0
|
580,0
|
3600
|
3600
|
14,5
|
81,0
|
-
|
81,0
|
|
9
|
437,9
|
486,6
|
2745
|
490,0
|
490,0
|
2740
|
2740
|
13,6
|
80,5
|
-
|
80,5
|
|
10
|
630,4
|
700,4
|
2679
|
350,5
|
701,0
|
2080
|
4160
|
11,0
|
75,0
|
75,0
|
75,0
|
Рисунок 4.5 - зависимость КПД насоса от ns
Сравним данные таблиц 4.1 и 4.5. Сравнительные характеристики представим
в виде таблицы 4.6.
Таблица 4.6 - Сравнительная таблица режимов работы насосов.
|
№ реж.
|
 , м3/ч , кВт , кВт , кВтηоб, %ηоб (ЧРП), %
|
|
|
|
|
|
|
т/ч
|
м3/ч
|
|
|
|
|
|
|
1
|
679,2
|
754,7
|
5600,0
|
4450
|
1150,0
|
71,3
|
77,0
|
|
2
|
623,9
|
693,2
|
5365,0
|
4150
|
1215,0
|
67,5
|
75,0
|
|
3
|
591,2
|
656,9
|
5265,0
|
3960
|
1305,0
|
65,5
|
74,0
|
|
4
|
589,5
|
655,0
|
5263,0
|
3960
|
1303,0
|
65,6
|
74,0
|
|
5
|
504,0
|
560,0
|
3531,0
|
3050
|
481,0
|
81,0
|
81,0
|
|
6
|
465,0
|
516,7
|
3380,0
|
2800
|
580,0
|
79,9
|
81,0
|
|
7
|
593,5
|
659,4
|
5280,0
|
3972
|
1308,0
|
66,1
|
74,0
|
|
8
|
522,5
|
580,6
|
3600,0
|
3600,0
|
0,0
|
81,0
|
81,0
|
|
9
|
437,9
|
486,6
|
3288,0
|
2740
|
548,0
|
79,7
|
80,5
|
|
10
|
630,4
|
700,4
|
5400,0
|
4160
|
1240,0
|
68,0
|
75,0
|
Вывод к 4-ому разделу
Сводная таблица сравнения регулирования насоса дросселированием и чрп:
№
реж. 
, м3/ч
, кВт
, кВт
, кВтηоб, %ηоб
(ЧРП), %δη,
|
%
|
|
|
|
|
|
|
|
|
т/ч
|
м3/ч
|
|
|
|
|
|
|
|
1
|
679,2
|
754,7
|
5600,0
|
4450
|
1150,0
|
71,3
|
77,0
|
8,00
|
|
2
|
623,9
|
693,2
|
5365,0
|
4150
|
1215,0
|
67,5
|
75,0
|
11,11
|
|
3
|
591,2
|
656,9
|
5265,0
|
3960
|
1305,0
|
65,5
|
74,0
|
12,98
|
|
4
|
589,5
|
655,0
|
5263,0
|
3960
|
1303,0
|
65,6
|
74,0
|
12,80
|
|
5
|
504,0
|
560,0
|
3531,0
|
3050
|
481,0
|
81,0
|
81,0
|
0
|
|
6
|
465,0
|
516,7
|
3380,0
|
2800
|
580,0
|
79,9
|
81,0
|
1,37
|
|
7
|
593,5
|
659,4
|
5280,0
|
3972
|
1308,0
|
66,1
|
74,0
|
11,95
|
|
8
|
522,5
|
580,6
|
3600,0
|
3600,0
|
0,0
|
81,0
|
81,0
|
0
|
|
9
|
437,9
|
486,6
|
3288,0
|
2740
|
548,0
|
79,7
|
80,5
|
1,00
|
|
10
|
630,4
|
700,4
|
5400,0
|
4160
|
1240,0
|
68,0
|
75,0
|
10,29
|
На рисунке представлена характеристика насоса при различных режимах:
На рисунке представлена зависимость гидравлических потерь в трубопроводе
питательной воды от насоса до парового котла от режимов работы насоса.
В данном разделе произведен сравнительный анализ методов регулирования
насоса: дросселирование и применение ЧРП. По итогам расчета видно что внедрение
чрп позволяет:
. Сократить потребление электроэнергии на собственные нужды.
Среднее значение экономии электоэнергии в регулируемом диапазоне составляет 913
кВт*ч.
. Повышает КПД насосного оборудования работающего в комплексе.
Относительный выигрыш КПД может достигать 8 - 13 %.
5. Технологии и средства шумозащиты энергетического оборудования
В данном разделе представлены основные направления современных
разработок, проводимых для снижении шума энергетического оборудования.
Рассматриваются вопросы предупреждения аэроакустических автоколебаний,
оптимизации диссипативных шумоглушителей, структурного демпфирования звуковых
колебаний низкочастотного шумоглушения, эффективности звукоизолирующих
покрытий.
Совершенствование шумозащитных конструкций - один из важных факторов
снижения шумового воздействия энергетических объектов на зону жилой застройки и
прилегающую территорию. Шумовые параметры оборудования, тесно связанные с
фактором эксплуатационной и экологической безопасности, в значительной мере
характеризуют его качество, конкурентоспособность и область применимости.
Многие рабочие процессы в энергоустановках неизбежно сопровождаются
генерацией акустической энергии (шума), которая представляет угрозу
безопасности и здоровью людей, оказывает негативное воздействие на состояние
окружающей среды. Главные источники шума энергооборудования характеризуются,
как правило, большими значениями механической мощности, обусловленной высокими
скоростями и расходами рабочей среды.
Существует два принципиальных направления решения задачи снижения шума
энергоустановок. Первый - воздействие на сами рабочие процессы для минимизации
генерации звуковой энергии. Второе-локализация звукового поля в зоне генерации
с обеспечением энергетического стока волновой энергии при умеренных, допустимых
(с точки зрения технической безопасности) уровнях колебаний непосредственно в
специально создаваемых шумозащитных элементах конструкции. Оба эти направления
нашли свое отражение в многочисленных работах отечественных и зарубежных
специалистов в области защиты от техногенного шума.
Применительно к задачам защиты от шума стационарного энергетического
оборудования наибольшее внимание вызывают вопросы подавления шума газовоздушных
трактов газотурбинных, парогазовых и котельных установок,
дроссельно-регулирующих устройств энергооборудования, а также технологических
атмосферных сбросов пара и газа высокого давления.
Совершенствование шумозащитных конструкций энергетического оборудования
направлено на повышение экономичности и эффективности шумозащитных мероприятий,
надежное обеспечение допустимых шумовых показателей на стадии проектирования
объектов. Соответствующие разработки основываются на физических и технических
исследованиях процессов распространения, затухания и генерации шума в элементах
энергооборудования.
.1 Снижение шума газовых трактов
Развитие технологий и средств защиты от шума газовых трактов
энергоустановок осуществляется по нескольким направлениям, среди которых нужно
выделить следующие.[14]
.1.1 Предупреждение аэроакустических автоколебаний
Данное направление инициировано необходимостью разработки рекомендаций по
заблаговременному устранению этого опасного явления. Решение задачи
основывается на детальных исследованиях процессов генерации автоколебаний.
Возникновение автоколебаний обусловлено спецификой гидродинамической
нестационарности в отрывных турбулентных потоках (например, в теплообменных
устройствах газовых трактов энергоустановок). Обычно при этом формируются
отчетливо выраженные вихревые периодические структуры, важным свойством которых
является их чувствительность к внешним периодическим воздействиям (как
вибрационным, так и акустическим). Специфика аэроакустических колебаний в
газовых трактах состоит в том, что здесь главным источником периодического
воздействия на течение в отрывных зонах оказываются стоячие звуковые волны,
порождаемые самим турбулентным потоком. Формируемое звуковое поле является при
этом по сути средством слабой физической связи между элементами системы
гидродинамических автогенераторов, реализуемой периодическими вихревыми
образованиями. Наличие такой связи способно приводить к синхронизации и
лавинообразному нарастанию колебаний.
Явления подобного аэроакустического резонанса наблюдались, в частности, в
каналах утилизационных теплообменников ГТУ и конвективных газоходах паровых
котлов.
Эксперименты показали, что в каналах с трубчатыми элементами процессы
возбуждения интенсивных пульсаций сопровождаются типичными для автоколебаний
явлениями синхронизации и захватывания вихревых пульсаций акустическими модами.
Один из важных результатов проведенных исследований - установление двух
условий возникновения аэроакустических автоколебаний. Первое - кинематическое -
состоит в сближении энергонесущих частот гидродинамической нестационарности с
собственными частотами звуковых поперечных колебаний в канале. Второе -
динамическое - заключается в достижении скоростью потока некоторого
критического значения, зависящего от параметров среды и геометрии канала.
Динамическое условие реализуется, если возбуждаемые потоком стоячие звуковые
волны способны воздействовать на исходные гидродинамические структуры таким
образом, чтобы дать начальный толчок лавинообразному нарастанию пульсаций.
Значение критической скорости снижается с уменьшением температуры среды и
увеличением относительного шага трубчатых элементов.
При скорости потока ниже критической совпадение гидродинамических и
собственных звуковых частот не инициирует процесс автоколебаний. Более того,
при возникновении автоколебаний кинематическое в сущности условие совпадения
частот также не имеет, как правило, большого значения из-за явлений
захватывания колебаний. Тем не менее собственно процесс запуска возможен лишь при
выполнении как кинематического, так и динамического условий.
Один из распространенных и наиболее надежных методов предотвращения
автоколебаний - размещение в канале продольных перегородок, параллельных осям
труб. При малом шаге установки они препятствуют формированию поперечных стоячих
акустических волн на энергонесущих гидродинамических частотах. Тем самым
размыкается положительная обратная связь от порождаемого потоком звука к
вихревым структурам течения в межтрубном пространстве.
.1.2 Низкочастотное шумоглушение
Для эффективной защиты от низкочастотного шума энергетических газовых
трактов требуются технические решения, принципиально отличные от используемых в
традиционных диссипативных пластинчатых шумоглушителях. Значительный интерес
вызывают интерференционные глушители, представляющие собой расширительные
камеры, размеры которых сравнимы с характерной длиной волны.
Для определения перспектив использования интерференционных шумоглушителей
применительно к газовым трактам энергоустановок в ЦКТИ проводились расчеты и
акустические испытания их осесимметричных моделей.
Методика выполненного расчетного исследования основана на том, что в
низкочастотном диапазоне акустическое поле в тракте на входе в глушитель и
выходе из него можно считать одномерным. Тогда согласно общим положениям
одномерной теории волноводов свойства глушителя в соответствующем интервале
частот могут быть полностью определены его характеристической матрицей.
Нахождение компонент характеристической матрицы глушителя основывается на
численном расчете акустического поля в нем с двумя линейно независимыми
вариантами задания граничных условий. Характеристическая матрица тракта в
целом, включающего глушитель с типовыми геометрическими параметрами и
примыкающие к нему дополнительные участки подводящих и отводящих каналов,
рассчитывается далее по одномерной схеме. Примененная расчетная методика
базируется исключительно на общетеоретических посылках и не использует никаких
эмпирических данных об акустических свойствах конструкции.
Акустические испытания исследуемых моделей, проведенные на
аэроакустическом стенде ЦКТИ показали, что основные параметры и вид расчетных и
экспериментальных кривых практически совпадают. Это позволяет использовать
разработанный расчетный метод для оценки эффективности применения
рассматриваемого класса интерференционных глушителей в натурных условиях
газовых трактов. Результаты таких расчетов показывают, что рассматриваемые
устройства способны обеспечивать эффективное, на уровне 20...50 дБ, глушение
шума в довольно широком низкочастотном диапазоне. Дополнительное
аэродинамическое сопротивление, обусловленное наличием акустических камер,
может быть при необходимости скомпенсировано звукопрозрачными перфорированными
экранами-обтекателями, позволяющими сохранить параметры стационарной
составляющей скорости потока в проточной части глушителя практически
неизменными.
Конкретные варианты реализации интерференционных шумоглушителей могут
быть достаточно разнообразны и зависят главным образом от габаритных и
технологических ограничений, а также фактических требований к снижению
низкочастотного шума. В частности, подробно исследованная в конструкция
шумоглушителя выхлопа ГТУ, содержащего две камеры диаметром 6 и осевой
протяженностью 2,5 м, обеспечивает эффективное снижение шума в диапазоне
10...50 Гц.
.1.3 Эффективность звукоизолирующих покрытий
Параметры шумов в зоне расположения газохода определяются в значительной
мере акустическими волнами, проходящими через стенки канала во внешнюю среду.
На характер прохождения звука существенно влияют теплозвукоизолирующие покрытия
(часто многослойные), которые весьма широко применяются в энергетическом
оборудовании. При акустическом расчете звуковой энергии, распространяющейся
через стенки с изоляционным покрытием, необходимо учитывать существенную
разницу температур по обе стороны покрытия, физические свойства используемых
материалов и тканых изделий. Кроме того, покрытие обычно замыкается снаружи
облицовочным защитным кожухом, соединительные элементы крепления которого
служат дополнительным проводником звука от источника в окружающую среду. Оценка
акустического влияния параметров соединительных элементов и плотности их
размещения - необходимая часть акустического расчета. Именно в этой области
были получены в последнее время наиболее значимые результаты.
Элементы крепления наружного защитного кожуха к стенке тракта при
достаточно высокой исходной звукоизоляции оказываются дополнительными каналами
прохождения звука через теплозвукоизолирующее покрытие. При этом главной
характеристикой звукового канала служит площадь эквивалентного виртуального
окна, через которое благодаря действию соединительного элемента звуковая волна
заданного направления беспрепятственно проходит через слой.
5.2 Шумоглушение сбросов газообразных сред высокого давления в атмосферу
Шум атмосферных сбросов газообразных сред высокого давления порождается
нестационарными аэродинамическими процессами в высокоскоростных областях
выхлопного потока. При этом шумообразование связывается с зонами основного
дросселирования сбрасываемой среды, которые могут располагаться как внутри
выхлопного трубопровода (клапана, врезки и пр.), так и в выхлопной струе,
формирующейся непосредственно за его выходным срезом. Относительная роль
отмеченных источников определяется геометрическими характеристиками сбросной
системы. [15]
Типовая рабочая схема шумоглушителя паровых и газовых сбросов
предназначена для реализации двух основных функций. Первая из них состоит в
максимально возможном (по условиям сохранения пропускной способности системы)
подавлении отмеченных источников шума в результате организации малошумного
дросселирования выходного потока, вторая - в изоляции шума на пути его
распространения в атмосферу.
Обеспечение, малошумного дросселирования представляет интерес как для
устройств атмосферных сбросов пара, и газа высокого давления, так и
применительно к паро- и газораспределительным системам энергооборудования. Чаще
используется схема ступенчатого дросселирования, при которой срабатывание
больших перепадов давлений осуществляется последовательно в системе однотипных
дроссельных элементов, исполняемых обычно в виде сверленых решеток.
Влияние ступенчатого дроссельного блока на эффективность шумоглушения
сброса газа обусловлено тремя основными факторами: уменьшением скоростей потока
по сравнению с прямым сбросом при увеличении количества ступеней
дросселирования, смещением максимума частотного спектра в зону высоких частот
благодаря формированию параллельных мелкомасштабных струй в дроссельных
элементах и ослаблением звука, генерируемого в выхлопном трубопроводе и
элементах насадки, при прохождении через расположенные вниз по потоку ступени
дросселирования.
Интегральная мощность генерируемого звука в многоступенчатом устройстве
минимальна при равномерном распределении относительных перепадов давления по ступеням
дросселирования. При этом наиболее быстрое снижение уровня звуковой мощности на
15...20 дБ вследствие увеличения количества N ступеней происходит при
относительно небольших N (N -
5... 10 в зависимости от срабатываемого перепада давлений). Соответствующие
граничные значения N в указанном эффективном диапазоне растут с увеличением
срабатываемого перепада. При дальнейшем увеличении количества ступеней
дросселирования снижение уровня звуковой мощности составляет около 5 дБ при
каждом удвоении числа решеток.
Необходимо отметить значительное влияние диаметров дроссельных струй на
мощность генерируемого в диапазоне 16 Гц... 16 кГц звука. Так, мощность
генерируемого ступенью шума в полосе А при изменении диаметра струй от 60 до 5
мм снижается более чем на 9 дБ, если отношение входного давления к выходному
превышает 1,5. При уменьшении перепада давлений степень влияния размера струй
несколько снижается.
Аэродинамическая генерация звука лишь отчасти определяет параметры шума
на выходе ступенчатого устройства. Следует учитывать также процессы поглощения
энергии звуковых волн вихревыми гидродинамическими структурами. Данный эффект
приводит к ослаблению звуковой энергии при прохождении через сверленую решетку
со сквозным протеканием.
Результаты систематических исследований совокупного действия отмеченных
факторов указывают на значительные возможности повышения эффективности
дроссельных ступеней благодаря рациональному проектированию ступенчатого
устройства. Учет вихревого ослабления звука приводит к выводу о целесообразности
последовательного снижения срабатываемых перепадов и соответственно скоростей в
ступенях по ходу потока. В некоторых случаях возможно положительное влияние
увеличения размеров струй по ступеням вверх по потоку, снижающее энергонесущие
частоты генерируемого шума, что может приводить к значительному усилению
затухания звука.
Поскольку изготовление многоступенчатых дроссельных устройств с большим
количеством решеток трудоемко, существует тенденция их замены на устройства
непрерывного дросселирования, реализуемые в форме каналов, заполненных
крупнозернистыми или сетчатыми элементами.
Одна из основных задач проектирования такого устройства - обеспечение
рационального распределения скоростей по ходу потока. Приведенные ранее
результаты анализа ступенчатого устройства показывают, что в эффективном
устройстве непрерывного дросселирования средняя скорость течения по ходу потока
не должна возрастать.
Зависимость скорости потока от профиля заполненного крупнозернистой
средой тракта определялась на основе анализа стационарного одномерного течения
в канале с переменной площадью поперечного сечения и размещенным в нем
заполнителем.
К настоящему времени накоплен значительный опыт применения шумоглушителей
паровых и газовых сбросов по схеме ЦКТИ, предусматривающей наличие двух
основных рабочих узлов - дроссельного блока и ступени звукопоглощения. В
дроссельном устройстве осуществляется низкоскоростное мелкомасштабное
редуцирование давления пара за клапаном сброса, что обеспечивает уменьшение
суммарного генерируемого шума; кроме того, это устройство обладает
определенными звукоизолирующими свойствами.