Доходы населения Республики Беларусь

  • Вид работы:
    Курсовая работа (т)
  • Предмет:
    Эктеория
  • Язык:
    Русский
    ,
    Формат файла:
    MS Word
    442,94 Кб
  • Опубликовано:
    2014-05-01
Вы можете узнать стоимость помощи в написании студенческой работы.
Помощь в написании работы, которую точно примут!

Доходы населения Республики Беларусь

СОДЕРЖАНИЕ

ВВЕДЕНИЕ

ГЛАВА 1 ДОХОДЫ НАСЕЛЕНИЯ, ИХ ВИДЫ И ИСТОЧНИКИ ФОРМИРОВАНИЯ

.1      Сущность доходов населения и их виды. Заработная плата как основной источник доходов населения

.2      Источники формирования доходов и факторы, определяющие их величину

.3      Проблема неравенства и распределения доходов

.4      Государственная политика перераспределения доходов

ГЛАВА 2 ДОХОДЫ НАСЕЛЕНИЯ РЕСПУБЛИКИ БЕЛАРУСЬ

.1 Динамика доходов населения Республики Беларусь за последние годы

.2 Государственная социальная политика Республики Беларусь

ЗАКЛЮЧЕНИЕ

СПИСОК ИСПОЛЬЗОВАННЫХ ИСТОЧНИКОВ

Введение

Самый важный показатель в рыночной экономике, позволяющий оценить возможности человека или семьи - это доход. Доход определяет степень удовлетворения потребностей человека, его политические убеждения.

Доход представляет собой общую сумму денег, заработанных или полученных в течение какого-либо периода (обычно за год).

При изучении вопроса об уровне жизни основной проблемой является проблема неравенства благосостояния, а также порождаемого ею социального напряжения в обществе. Разрыв в уровне жизни зависит от различной ценности принадлежащих людям факторов производства и эффективности их использования. Работник фирмы, производящей дефицитный и высококачественный товар, может иметь более высокий заработок, чем его коллега той же квалификации, работающий в фирме, товары которой продаются с трудом. Доходы зависят от объема факторов производства. Совершенно очевидно, владелец двух нефтяных скважин получает при прочих равных условиях больший доход, чем владелец одной скважины.

Актуальность темы курсовой работы связана с тем, что в современных условиях неравенство доходов может достигать огромных масштабов и создавать угрозу для политической и экономической стабильности в стране. Именно поэтому практически все развитые страны мира вынуждены постоянно сокращать разрыв в доходах различных групп населения.

Более того, чем больше доходы, тем выше спрос на продукцию и услуги, производимые различными отраслями, тем выше качество продукции, потому что возникает мотив для достижения лучших конечных результатов, её конкурентоспособность, выше эффективность производства, значит, лучше экономическая ситуация в стране. Именно поэтому регулирование доходов, заработной платы является важной частью политики любого государства.

Таким образом, доходы населения и источники их формирования заслуживают пристального внимания, а все проблемы, с ними связанные, требуют тщательного рассмотрения и решения.

Данная тема обретает актуальность и в связи с тем, что в Республике Беларусь вопросы неравенства доходов являются актуальными на современном этапе.

Таким образом, целью данной курсовой работы - рассмотреть доходы населения, их виды, источники формирования, а также провести анализ динамики роста доходов в Республике Беларусь.

В соответствии с данной целью в исследовании были поставлены следующие задачи:

. Рассмотреть понятие доходов населения и их виды.

. Определить источники формирования доходов населения.

. Выявить факторы, определяющие величину доходов населения.

. Рассмотреть причины и показатели неравенства доходов.

. Рассмотреть особенности политики государства в области регулирования и перераспределения доходов.

. Провести анализ состояния доходов населения Республики Беларусь за последние годы.

. Рассмотреть особенности социальной политики государства в Республике Беларусь.

Объектом исследования являются население Республики Беларусь, а предметом исследования выступают доходы населения в мире и в Республике Беларусь.

При написании работы использовались метод сравнительного анализа, метод анализа экономической литературы, метод моделирования, метод обобщения и пр.

Курсовая работа состоит из двух разделов. В первом разделе рассматриваются теоретические основы, понятие доходов населения, их основные виды, а также источники их формирования. Во втором разделе рассматривается динамика доходов населения Республики Беларусь за последние годы, а также государственную политику регулирования доходов и социального развития Республики Беларусь.

ГЛАВА 1 Доходы населения, их виды и источники формирования

1.1    Сущность доходов населения и их виды. Заработная плата как основной источник доходов населения

Доходы населения представляют собой сумму денежных средств и материальных благ, полученных или произведённых домашними хозяйствами за определённый промежуток времени. [9, с.48] Их роль в жизнедеятельности человека определяется тем, что уровень и структура потребления населения прямо зависит от размера дохода.

Доходы отдельного домохозяйства подразделяют на четыре группы [9, с.52]:

. доход, получаемый в виде оплаты за труд, принимающий форму заработной платы;

. доход, получаемый за счет использования иных факторов производства: доход от владения капиталом - процент, доход от владения землёй - рента, предпринимательский доход;

. трансфертные платежи: пенсия по возрасту, стипендия, дополнительные пособия (сверх заработной платы), пособие по безработице, пособия на детей и т.д.;

. доходы, получаемые от занятости в неформальном секторе экономики.

Доходы населения могут существовать в двух формах - денежной и натуральной.

Денежные доходы населения включают все поступления денег в виде оплаты труда работающих лиц, доходов от предпринимательской деятельности, пенсий, стипендий, различных пособий, доходов от собственности в виде процентов, дивидендов, ренты от продажи продукции сельского хозяйства, а также страховые возмещения, ссуды, доходы от продажи иностранной валюты и другие.

Оплата труда включает фонд заработной платы (начисленные суммы заработной платы в денежной и натуральной форме за выполненную работу и отработанное время, выплаты стимулирующего и компенсирующего характера, оплату за неотработанное время и другие выплаты, включаемые в состав фонда заработной платы), оплату труда, полученную из-за границы, а также доходы работников от организаций, не учитываемые в составе фонда заработной платы (выходное пособие, материальная помощь, оказываемая за счет средств организаций, расходы на платное обучение работников в учреждениях образования и так далее).

Оплата труда, полученная из-за границы - это оплата труда граждан Республики Беларусь, временно работающих за границей, за вычетом суммы оплаты труда иностранных граждан, работающих на территории Республики Беларусь. [8, с.7]

В натуральной форме могут производиться некоторые выплаты из социальных фондов, сюда относятся также продукты, произведенные в личных подсобных хозяйствах, и услуги, оказываемые членами семьи в домашнем хозяйстве. [16, с.142]

Соотношение между денежными и натуральными доходами периодически меняется, но всё-таки, более распространённой формой доходов является денежная форма.

У бедных слоёв населения всегда высока доля натуральных доходов. В период ухудшения экономической обстановки в стране удельный вес натуральных доходов повышается.

Важное значение для характеристики благосостояния населения имеют совокупные доходы всего населения, семьи, отдельного человека. Рост совокупных доходов при неизменных ценах и налогах свидетельствует о повышении возможностей населения для удовлетворения своих потребностей.

Совокупными доходами называется весь объём жизненных средств, который поступает в распоряжение населения, включая бесплатные и льготные услуги из общественных фондов потребления. Частью совокупных доходов являются мобильные доходы, которые составляют совокупные доходы без учёта услуг из общественных фондов потребления. [17, с.350]

Доходы бывают: номинальными, располагаемыми и реальными.

Номинальные доходы характеризуют уровень денежных доходов независимо от налогообложения и изменения цен.

Номинальные денежные доходы рассчитываются в ценах текущего периода. Они не определяют количества материальных благ и услуг, доступных населению при сложившемся уровне доходов. К ним относятся: оплата труда всех категорий населения, доходы лиц, занятых предпринимательской деятельностью, поступления от продажи сельскохозяйственных продуктов, пенсии, пособия, стипендии и другие социальные трансферты, страховые возмещения, кредиты и ссуды, доходы от собственности в виде процентов по вкладам, ценным бумагам, дивидендов, доходы населения от продажи иностранной валюты; сальдо (деньги, полученные по переводам) и пр. [2, с.229]

Располагаемые доходы - это номинальные доходы за вычетом налогов, сборов, взносов и других обязательных платежей, т.е. средства, используемые населением на потребление и сбережения.

Располагаемые доходы домашних хозяйств являются суммой текущих доходов, используемых домашними хозяйствами для финансирования конечного потребления товаров и услуг. Это показатель объема экономических ресурсов, поступающих в распоряжение населения для удовлетворения потребностей граждан (максимальная сумма, которая может быть израсходована населением на потребление при условии, что за данный период население не привлекает накопленные финансовые и нефинансовые активы, не увеличивает обязательств по финансовой части). Располагаемый денежный доход определяется путем вычета из номинальных денежных доходов обязательных платежей и взносов. [2, с.230]

При наличии инфляции рост денежных доходов не всегда может свидетельствовать об улучшении уровня жизни населения, поскольку фактор изменения цен влияет на покупательную способность денег. С помощью корректировки на индекс потребительских цен располагаемые денежные доходы за исследуемый период рассчитываются в реальном выражении.

Реальные доходы характеризуют номинальные доходы с учётом изменения розничных цен и тарифов, представляют собой реальную покупательную способность номинальных доходов.

Показатель реального денежного дохода населения рассчитывается путем деления располагаемого денежного дохода на индекс потребительских цен. [5, с.89]

Заработная плата, или ставка заработной платы, - это цена, выплачиваемая за использование труда.

Необходимо различать денежную, или номинальную, и реальную заработную плату.

Номинальная заработная плата - это сумма денег, полученная работником за определённый промежуток времени (час, день, неделю и т.д.).

Располагаемая заработная плата - это сумма оплаты труда за вычетом подоходного налога и обязательных отчислений в Пенсионный фонд.

Реальная заработная плата - это количество товаров и услуг, которые можно приобрести на номинальную заработную плату; реальная заработная плата - это покупательная способность номинальной заработной платы. [1, с.159]

Реальная заработная плата зависит от номинальной заработной платы и цен на приобретаемые товары и услуги. Изменение реальной заработной платы в процентном отношении можно определить путем вычитания процентного изменения в уровне цен из процентного изменения в номинальной заработной плате.

Заработная плата выполняет несколько функций, самые главные из них - воспроизводственная, стимулирующая, статусная, регулирующая, производственно-долевая. [1, с.162]

Воспроизводственная функция состоит в определении такого абсолютного размера заработной платы, который позволяет осуществить нормальное воспроизводство рабочей силы. Поэтому эта функция выполняет определяющую роль по отношению к другим. В случае, когда заработная плата по основному месту работы не обеспечивает работнику и его семье нормальное воспроизводство, возникает проблема дополнительных заработков. А они не всегда вызывают позитивные последствия. Дополнительная работа приводит к истощению трудового потенциала, снижению профессионализма, ухудшению трудовой и производственной дисциплины.

Стимулирующая функция заработной платы предполагает побуждение работника к трудовой активности, к максимальной отдаче, повышению эффективности труда. Этой цели служит установление размера вознаграждения за труд в зависимости от достигнутых работником результатов. Если же заработная плата не будет зависеть от личных усилий работника, то это приведёт к ослаблению стимулирующей функции и, следовательно, к снижению инициативы и трудовой активности. Реализация этой функции осуществляется руководством фирмы посредством различных систем оплаты труда.

Статусная функция заработной платы предполагает соответствие статуса, определяемого размером заработной платы, трудовому статусу работника. Поэтому размер вознаграждения за труд является одним из главных показателей этого статуса, а его соответствие с трудовыми усилиями работника позволяет судить о справедливости размера его заработной платы. Статусная функция важна, прежде всего, для самих работников с точки зрения их притязаний на заработную плату и для своей реализации требует материальной базы.

Регулирующая функция заработной платы воздействует на соотношение спроса и предложения рабочей силы, на формирование персонала и степень его занятости. Эта функция выступает балансом между работниками и работодателем. Основная цель функции - дифференциация в оплате труда по группам работников.

Производственно-долевая функция заработной платы определяет меру участия живого труда в образовании цены товара, его долю в совокупных издержках производства и издержках на рабочую силу. Эта доля позволяет установить величину стоимости рабочей силы, её конкурентоспособность на рынке труда. Эта функция важна не только для работодателя, но и для работника. Некоторые системы бестарифной оплаты труда и другие предполагают тесную связь заработной платы и фонда оплаты труда, личного вклада работника.

Основными источниками безденежных доходов населения являются общественные фонды потребления и личные подсобные хозяйства.

Общественные фонды потребления отличаются от распределения доходов через оплату труда и собственность тем, что получаемые блага не переходят в личную собственность, не образуют дохода в прямом смысле этого слова для каждого человека. Эти блага остаются объектами общественной собственности, используются совместно, увеличивают размеры совокупного дохода на душу населения.

В средствах фондов денежные выплаты составляют половину общей суммы фондов потребления, а немного меньше половины этих выплат составляют расходы на предоставление населению на бесплатных или льготных условиях услуг по воспитанию и образованию подрастающего поколения, профессиональной подготовке, охране здоровья. Аналогичные виды услуг предоставляются за счёт местного бюджета для учреждений здравоохранения, просвещения, культуры.

Разнообразие безденежных вариантов доходов зависит от экономических возможностей регионов. Самыми распространёнными из них - бесплатный проезд для пенсионеров и других групп населения, льготы на коммунальные услуги, дотации на питание. В фирмах предоставляются льготы на содержание детей в детских садах, оздоровительных лагерях, на проезд в общественном транспорте.

Неформальный сектор экономики оказывает заметное влияние на социально-экономическую ситуацию в целом, уровень жизни населения, состояние рынка труда. Неформальный сектор - это фактически самостоятельный сегмент рынка труда со значительным числом занятых, определёнными сферами деятельности. [3, с.27]

В формировании рационального поведения людей очень важно правильное соблюдение соотношений между видами дохода. Если трансфертные выплаты играют значительную роль в формировании доходов населения, то это снижает его активность, порождает психологию иждивенчества. Увеличение доли трудовых доходов - стимул к активной, предприимчивой жизнедеятельности индивида. Поможет в таком стимулировании и налоговая политика, если она придерживается правила, что ставки налогов на трудовые доходы должны быть меньше, чем ставки налогов на доходы от капитала.

доход население распределение неравенство

1.2    Источники формирования доходов и факторы, определяющие их величину

Основными источниками формирования доходов населения являются:

Ø  заработная плата и другие выплаты, которые работники получают за свой труд (в денежной или натуральной форме);

Ø  доходы от собственности (например, платежи за использование финансовых активов, зданий, земли, авторских прав, патентов и т.д.);

Ø  доходы от индивидуальной трудовой деятельности;

Ø  выплаты и льготы из общественных фондов потребления, специальных фондов, ежегодные выплаты по страхованию жизни;

Ø  доходы от личного подсобного хозяйства, сада, огорода (стоимость чистой продукции). [7, с.128-129]

Несмотря на разнообразие источников поступления доходов все же главными составляющими денежных доходов населения являются оплата труда, доходы от предпринимательской деятельности и собственности, а также социальные трансферты.

Величина потока доходов зависит в основном от владения факторами производства и от того запаса материальных активов (дома, машины, земля и другая недвижимость), финансовых ценностей (наличные деньги, сберегательные счета, ценные бумаги, драгоценные металлы) и человеческого капитала (престижное образование, профессиональные знания, умения, опыт), которые в экономической теории определяют как богатство. Существует двусторонняя положительная связь между доходом (потоком) и запасом (богатством): чем больше поток доходов, тем больше пополняется запас богатства; чем больше запас богатства, тем больше величина потока доходов [15, с 149].

Но поток доходов, поступающих в домашние хозяйства, зависит не только от предшествующего распределения богатства, зависящего в основном от функционального распределения факторных доходов, но и от того, как распределяется национальный доход в настоящий период времени между отдельными семьями и индивидами. Персональное распределение рационального дохода между индивидами связано с большим количеством объективных и субъективных факторов, делающих практически невозможным точную и справедливую оценку индивидуального вклада в общественное производство. А это в свою очередь обусловливает неравенство в рыночном распределении доходов [15, с 150].

Динамика реальных доходов, в свою очередь, определяется следующими показателями [2, с. 207-208]:

) уровнем заработной платы работников производственных фирм всех форм собственности;

) размером доходов от частнопредпринимательской деятельности и личного подсобного хозяйства;

) величиной выплат и льгот из общественных (социальных) фондов потребления всем слоям населения;

) динамикой налогов и налоговой политикой государства;

) тенденциями и конъюнктурой цен, уровнем инфляции.

Существует множество явлений, влияющих на уровень доходов [11, с.114]:

. Различия физических, умственных и предпринимательских способностей.

Способности людей бесконечно разнообразны, поэтому одни люди, обладающие от природы хорошими способностями, имеют более высокую производительность труда и получают более высокие доходы, чем те, которые обделены этими способностями. Некоторые же способности людей являются уникальными и в силу этого ограниченными, что приносит их владельцам интеллектуальную ренту, подобно тому, как ограниченное неэластичное предложение первоклассных участков земли приносит земельным собственникам рентные доходы.

. Различия в доходности профессиональной деятельности.

Профессиональная деятельность обуславливается соотношением спроса и предложения на те или иные профессиональные услуги, затратами на получение образования. Исходя из этого можно говорить о том, что высокие доходы топ-менеджеров, адвокатов, программистов обуславливаются ограниченным неэластичным предложением их услуг вследствие особых психологических и умственных данных, которые требуются для освоения этих профессий, а также высоких затрат времени, энергии и денежных средств на получение образования, и высоким спросом на их услуги, от которых напрямую зависит доходность современного бизнеса.

. Различия в производительности и интенсивности труда.

Неравенство в производительности труда, которое вызывает неравенство доходов, может быть признано социально справедливым, если в конкурентную борьбу на рынке вступают работники с абсолютно одинаковыми физическими и умственными способностями. Очевидно, что люди, затрачивающие больше физической и умственной энергии для выполнения работы, имеют больше возможности для получения более высоких доходов, чем те, кто трудится расслаблено. Однако прямой зависимости между интенсивностью труда и его доходностью нет.

. Проблема экономических возможностей.

Существует неравный доступ к образованию, профессиональной подготовке, высокооплачиваемой работе, другим общественным и частным благам, что создает неравные для всех стартовые экономические условия. Поэтому, даже в высокоразвитой рыночной экономике шансы на получение образования распределены таким образом, что часть молодых людей вынуждена отказаться от определенных профессий или совмещать учебу и работу, что непосредственно сказывается на уровне квалификации, перспективах трудоустройства и получения доходов.

Однако, несмотря на существенное влияние вышеотмеченных факторов на неравенство доходов, все же общепризнанным является то, что "самые большие различия доходов обусловлены разницей в унаследованном и приобретенном богатстве" [11, с.114].

Неравномерное распределение национального богатства между собственниками капитала и собственниками труда приводит к тому, что чем большей собственностью обладают отдельные индивиды, тем большую долю национального дохода они присваивают.

. Различия социально-экономических условий в регионах.

. Различия в отношении к риску. На предприятиях с повышенным риском для жизни человека более высокие доходы.

. Дискриминация в трудовых отношениях.

. Неформальные отношения и др.

Доходы используются на финансирование, потребительских расходов и сбережение, которое может быть источником будущих расходов на потребление или использоваться для финансирования приобретения населением финансовых активов и имущества (дома, земля и др.), владение которыми также влияет на уровень жизни.

Для измерения уровня и структуры доходов населения используется ряд показателей, характеризующих их в различных аспектах. Одним из основных показателей является объем личных доходов населения - все виды доходов населения, полученных в денежной форме или в натуре.

Этот показатель может быть рассчитан прямым путем для отдельных домохозяйств на основе статистики семейных бюджетов, однако он не отражает ни общих, ни реальных доходов населения.

Совокупные (общие) доходы населения определяются суммированием личных доходов и стоимости бесплатных или на льготных условиях предоставленных населению услуг за счет общественных фондов потребления.

Стоимость услуг определяется расчетным путем. [4, с.317]

Владельцы дохода могут в окончательном виде располагать лишь частью номинального дохода, так как должны уплатить индивидуальные налоги и сделать другие обязательные отчисления.

Вычитая из личных номинальных доходов налоги, обязательные платежи и взносы в общественные организации, находят личные располагаемые доходы населения - ту часть личных доходов, которую владельцы их направляют на потребление и сбережение.

Между номинальными и реальными величинами доходов могут быть существенные расхождения в связи с изменением покупательной способности денег - показателя, обратного уровню цен. [4, с.319]

Реальное значение показатели дохода приобретают, если для расчетов используются постоянные цены либо их изменение учитывается (компенсируется) с помощью индексов покупательной способности денег (Iп. с. д.) или индексов цен на потребительские товары и услуги (Ip).

С поправкой на изменение потребительских цен рассчитывается величина реальных располагаемых доходов населения:

РРД = ( ЛНД - НП ) ∙ IП.С.Д. = ЛНД ∙ dЛРД ∙IП.С.Д. →

Где IП.С.Д. = 1/ IP.(1.1)

Аналогично рассчитываются реальные общие доходы (РОД) населения - как совокупные доходы (СДН) с поправкой на покупательную способность денег:

(1.2)

Для характеристики динамики этих показателей строятся соответствующие индексы, например индекс реальных располагаемых доходов [4, с.321]:

(1.3)

Отсюда следует, что скорость изменения реальных доходов зависит от трех факторов:

Ø  темпов роста номинальных доходов;

Ø  изменения ставок налоговых платежей;

Ø  изменения покупательной способности денег. [2, с.123]

Анализ доходов семьи (домохозяйства) начинается с вычисления общих их уровней, что уже представляет собой сложную экономическую задачу, включающую наряду с вычислительными операциями логическую увязку их результатов. Затем анализируются роль различных источников в формировании доходов, а также факторы, от которых зависят их уровень и структура. Сопоставляются доходы разных социальных групп населения, групп, различающихся по статусу в занятости, составу семей и т.д.

1.3    Проблема неравенства и распределения доходов

Различия в уровне доходов на душу населения или на одного занятого называются дифференциацией доходов. Дифференциация доходов ведет к имущественной дифференциации, к разному потребительскому старту.

При переходе от административно-командной к рыночной системе рост дифференциации доходов связан с тем, что часть населения продолжает жить в условиях распадающейся прежней системы и одновременно возникает общественный слой, действующий по законам рыночной экономики. По мере вовлечения все более широких слоев населения в рыночные отношения размеры неравенства сокращаются [20, с.226].

Вторгаясь в сферу распределения доходов, государство ни в коем случае не должно добиваться их уравнивания. Неравенство доходов - обязательное условие эффективного функционирования рыночной системы, только оно способно создать действенные мотивы к труду и инвестированию [20, с.227].

В то же самое время, неравенство доходов может достигать огромных масштабов и создавать угрозу для политической и экономической стабильности в стране, поэтому практически все развитые страны мира вынуждены постоянно сокращать разрыв в доходах различных групп населения. Но разработка такого рода мер возможна лишь при умении точно определять степень дифференциации доходов и богатства и воздействовать на нее с помощью государственной политики.

Рисунок 1 - Кривая Лоренца

Примечание - Источник: [18].

Одним из методов, используемых для оценки масштабов доходов различных групп населения, является построение "кривой Лоренца", которая позволяет определить, насколько реальное распределение доходов населения отличается от абсолютных равенства и неравенства. Также кривую Лоренца можно использовать, чтобы сравнивать распределение доходов в различные периоды времени, в различных странах, между различными социальными группами. [15, с.89]

При построении кривой Лоренца (Рисунок 1) по оси абсцисс откладываются доли семей (в % от общего их числа) с соответствующим процентом дохода, а по оси ординат - доли доходов рассматриваемых семей (в % от совокупного дохода).

Теоретическая возможность абсолютно равного распределения дохода представлена биссектрисой, которая указывает на то, что любой данный процент семей получает соответствующий процент дохода.

Кривая Лоренца представляет собой кумулятивное распределение численности населения и соответствующих этой численности доходов. В результате она показывает соотношение процентов всех доходов и процентов всех их поручателей. [10, с. 207]

В соответствии с современной экономической теорией нежелательно как абсолютное равенство в распределении доходов, так и резкий разрыв в уровне жизни различных групп населения. Абсолютное равенство в доходах не стимулирует производительный труд, поэтому определенное неравенство доходов является крайне важным средством поощрения трудовой активности людей.

Но если же на долю 40 % населения приходится менее 12-13 % общей суммы доходов страны, то такой перекос вызывает резкое недовольство малоимущих граждан и может быть чреват социально-экономическими и политическими потрясениями.

Основными инструментами, с помощью которых государство регулирует различия в доходах разных социальных групп, являются прогрессивное налогообложение, налоги на имущество и наследство, а также система социальных выплат. [1, с.220]

При анализе кривой Лоренца необходимо иметь в виду, что она строится по номинальным доходам. Выплата налогов сглаживает неравенство в доходах, спрямляет кривую и приближает ее к кривой абсолютного равенства.

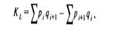
Для характеристики распределения населения по доходу рассчитывается ряд показателей, среди которых коэффициент концентрации доходов Джинни (KL), характеризующий степень неравенства в распределении доходов населения. Он рассчитывается по формуле:

(1.4)

где pi - доля населения, имеющего доход не выше, чем его максимальный уровень в i-й группе;

q1 доля доходов i-й группы в общей сумме доходов населения, исчисленная нарастающим итогом; рассчитывается аналогично, но не для показателя численности населения, а для показателя денежного дохода.

Коэффициент Джинни изменяется в пределах от 0 до 1. Причем чем больше его значение отклоняется от нуля и приближается к единице, тем в большей степени доходы сконцентрированы в руках отдельных групп населения.

По кривой Лоренца (Рисунок 1) можно рассчитать коэффициент Джинни как отношение площади между линиями равномерного и фактического распределения к сумме площадей S1, и S2, которая равна 1/2:

(1.5)

Типичное значение индекса Джинни в развитых странах колеблется между 0,2 (в скандинавских странах) и 0,35 (в США); для развивающихся стран он составляет 0,4 - 0,5 [13, с.330]

Наряду с коэффициентом Джинни, для характеристики дифференциации доходов в обществе используется квинтильный (децильный) коэффициент.

Неравенство доходов оказывает влияние на социально-экономическое развитие страны и приводит к негативным последствиям [9, с.157]:

Ø  рост дифференциации доходов означает для экономики выманивание среднего класса, являющегося основным "производителем" спроса на товары и услуги. Происходит рост богатства и без того богатого населения, что приводит к еще большим потерям спроса в экономике.

Ø  чрезмерная дифференциация доходов и ее крайние формы, такие, как бедность и нищета, приводят к неизбежному росту социальных издержек: дисквалификации, профессиональной деградации, росту социальных болезней (преступности, наркомании, самоубийствам, маргинализации), что в свою очередь приводит к разрушению, размыванию человеческого капитала, являющегося одним из основных факторов современного экономического роста.

Ø  высокая дифференциация доходов является одним из факторов усиления социальной напряженности в обществе, что увеличивает инвестиционные и предпринимательские риски и препятствует устойчивому развитию экономики.

Таким образом, дифференциация выделяет не только высокодоходные и низкодоходные группы, одновременно развивается межотраслевая и региональная дифференциация, а также дифференциация внутри предприятий (между работниками и администрацией).

1.4    Государственная политика перераспределения доходов

Значительное неравенство в распределении доходов является социально опасным. Эффективным средством преодоления неравенства и бедности выступает государственная политика доходов.

Она осуществляется по двум основным направлениям [11, с.211]: регулирование доходов населения и перераспределение доходов через государственный бюджет.

Практика регулирования доходов предполагает [11, с.212]:

Ø  установление гарантированного минимума (или ставки) заработной платы, который имеет важное значение для таких категорий населения, как малоквалифицированные рабочие, молодежь, женщины, иностранные рабочие, а также часто используется как исходная база для определения оплаты труда более высоких категорий работников, различных премий и доплат;

Ø  регулирование в ряде случаев верхнего предела увеличения номинальной заработной платы в целях снижения издержек производства и на этой основе сдерживания инфляции, роста инвестиций и повышения конкурентоспособности национальной продукции;

Ø  защиту денежных доходов населения от инфляционного обесценения путем индексации, т.е. увеличения номинальных доходов в зависимости от роста цен. Индексация может осуществляться как на уровне государства, так и на уровне фирм, будучи включена в коллективный договор, а также производиться дифференцированно в зависимости от величины доходов.

Политика перераспределения доходов включает [11, с.215]:

Ø  аккумуляцию денежных средств в руках государства для проведения социальной политики путем взимания с населения прямых и косвенных налогов;

Ø  предоставление населению социальных гарантий путем финансирования систем образования, медицинского обслуживания, учреждений культуры, искусства и пр.

Ø  финансирование системы социальной защиты, включающей в себя:

а) систему социального страхования;

б) систему государственной помощи лицам, не способным обеспечить себе доход.

Социальная защита населения предполагает выплату государством трансфертных, т.е. безвозвратных платежей.

Социальные трансферты - это бюджетные средства для финансирования обязательных выплат населению: пенсий, стипендий, пособий, компенсаций. Они могут осуществляться в натуральной и денежной формах. [5, с.86]

Вмешательство государства в перераспределительные процессы должно осуществляться в оптимальных размерах. Выравнивание доходов, признанное для современного общества необходимым в силу целого ряда причин, может привести к сокращению эффективности экономики в результате чрезмерного роста налогов и, как следствие, подрыву стимулов к предпринимательству, инвестициям, а также снижению стимулов к труду у самих получателей трансфертных выплат. Проведение этой политики требует значительных средств на содержание бюрократического аппарата.

Проводя социальную политику, государство использует такие инструменты, как социальные стандарты, потребительские бюджеты, другие пороговые социальные ограничители.

Социальные стандарты являются средством обеспечения прав граждан в области социальных гарантий. Минимальные государственные социальные стандарты - это государственные услуги, предоставление которых гражданам на определенном минимально допустимом уровне гарантируется государством на безвозмездной и безвозвратной основах за счет бюджетов всех уровней на всей территории страны. Они используются для определения финансовых нормативов, необходимых для формирования бюджетов и внебюджетных фондов. На основе социальных стандартов по науке, образованию, культуре, здравоохранению устанавливаются объемы их финансирования. [15, с.112]

Государственная политика доходов является составной частью социальной политики и направлена на решение двух главных задач:

Ø  оказание прямой помощи наиболее уязвимым слоям населения через систему социального обеспечения;

Ø  нейтрализацию инфляционного обесценивания доходов и сбережений населения.

Государственная политика доходов заключается в перераспределении их через госбюджет путем дифференцированного налогообложения различных групп получателей дохода и социальных выплат. При этом значительная доля национального дохода переходит от слоев населения с высокими доходами к слоям с низкими доходами. Ныне все развитые страны мира создали системы социальной поддержки малоимущих граждан.

Социальные трансферты - это система денежных или натуральных выплат населению, не связанных с его участием в хозяйственной деятельности в настоящее время или в прошлом. Целью социальных трансфертов является гуманизация отношений в обществе, предотвращение роста преступности, а также поддержание внутреннего спроса. [7, с.79]

Государство, организуя через бюджет перераспределение доходов, решает проблему повышения доходов малоимущих слоев населения, создает условия для нормального воспроизводства рабочей силы, способствует ослаблению социальной напряженности и т.д. Степень воздействия государства на процесс перераспределения доходов можно измерить объемом и динамикой расходов на социальные цели за счет центрального и местных бюджетов, а также размером налогообложения доходов.

ГЛАВА 2 Доходы населения Республики Беларусь

.1 Динамика доходов населения Республики Беларусь за последние годы

Динамика доходов населения Республики Беларусь с 2000 по 2010 гг. приведена в Таблице 1.

Таблица 1- Динамика доходов населения Республики Беларусь

Примечание - Источник: [13, с.11]

Как видно из Таблицы 1, денежные доходы на душу населения в республике с 2000 года увеличились в 20 раз. И составили в 2010 году 952,4 тыс. рублей в месяц. В то же время Таблица 1 наглядно показывает, что реальные денежные и реальные располагаемые денежные доходы населения Республики Беларусь демонстрируют прирост из года в год. Следует отметить, что темпы прироста данных показателей существенно замедлились в 2009 году и составили 102,7 и 103,7 процента соответственно. Это связано с последствиями мирового финансового кризиса.

В Таблице 1 также прослеживается динамика номинальной начисленной среднемесячной заработной платы одного работника с 2000 по 2010 года. Заработная плата увеличилась в 20,5 раз, и в 2010 году составила 1217,3 тыс. рублей. Средний размер назначенной пенсии в республике в 2009 году составлял 503,7 тыс. рублей, увеличившись почти в 21 раз с 2000 года.

Наибольший удельный вес в доходах населения во всем мире имеет заработная плата, и наша страна не является исключением. Структура денежных доходов населения (в процентах к итогу) приведена в Таблице 2.

Таблица 2 - Структура использования денежных доходов населения по областям и г. Минску (в процентах к итогу)

Примечание - Источник: [13, с.32]

Рассматривая структуру использования денежных доходов населения в стране можно отметить, что больша чать доходов населения расходуется на покупку товаров и оплату услуг. В динамике использования денежных средств можно отметить 2008 год, когда расходы на покупку товаров и оплату услуг были максимальными. После этого расходы на потребление стали сокращаться, однако это не привело к увеличению сбережений, которые в последствие могли бы перейти в инвестиции для оздоровления экономики, уменьшение расходов на потребелние перелилось в увеличение расходов на налоги, сборы и различные взносы населения. Это является следствем сложнейшей налоговой системы в стране, которая, судя по реальным данным, а не приказам, не намерена сокращаться. Так в динамике расходов на налоги, сборы и взносы населения можно наболюдать постоянные рост. Подробная динамика структуры использования денежных доходов населения в стране представлена на рисунке 2.

Рисунок 2 - Структура использования денежных доходов населения в стране

Примечание - Источник: [таблица 2].

При рассмотрении динамики использования доходов населения по областям, можно выделить Брестскую и Витебскую область, а также город Минск, как лидеров по использованию доходов на покупку товаров и оплату услуг. По использованию доходов на налоги, сборы и взносы преобладают Брестская и Минская область, что скорее всего связано с наиболее развитой предпринимательской деятельностью данных регионов, а также с наиболее успешными свободными экономическими зонами в данных регионах. Что касается сбережений, то наиболее высоких показателей достиг город Минск, а минимальные показатели по использованию доходов на сбережение у Минской и Могилевской областях.

Таблица 2(продолжение)

Примечание - Источник: [13, с33]

Рисунок 3 - Структура использования денежных доходов населения по областям

Примечание - Источник: [таблица 2].

При рассмотрении общего объема денежных средств к численности населения (в процентах) к общим доходам и численности населения в республике, можно отметить, что единственным регионом, где денежные доходы преобладают над численностью населения в регионе, является город Минск. Этот факт связан, прежде всего, что, как и большинство столиц мира, Минск оснащен хорошей инфраструктурой, в нашей стране занимает выгодное географическое положение, является сосредоточением предпринимательской активности, а также является местом расположения штаб-квартир многих зарубежных компаний. Кроме того, в Минске расположено много высших учебных заведений, которые выпускают квалифицированных специалистов, чей труд оплачивается выше неквалифицированного. На втором месте находится Гродненская область, где денежные дохода населения и его численность практически совпадают. В остальных регионах наблюдается превышение численности населения по отношению к доходам. [Рисунок 4].

Рисунок 4 - Распределение общего объема денежных доходов и среднегодовой численности населения по областям и г. Минску в 2010 году (в процентах)

Примечание - Источник: [13, с.34]

Наибольший удельный вес в доходах населения во всем мире имеет заработная плата, и наша страна не является исключением. Структура денежных доходов населения (в процентах к итогу) продемонстрирована на Рисунке 5.

Рисунок 5 - Структура денежных доходов населения (в процентах к итогу)

Примечание - Источник: [13, с.13]

Если рассмотреть структуру денежных доходов населения, приведенную на Рисунке 5, то видно, что оплата труда является наибольшим источником дохода населения Республики Беларусь (56,5% в 2010 году, 58,0% в 2005 году), за ним следуют трансферты населению и прочие доходы (19,9% и 21,2% соответственно в 2010 году), наименьший источник дохода (2,4% в 2010 году) - это доходы населения от собственности.

2.2 Государственная социальная политика Республики Беларусь

Исходя из оценки складывающейся социально-экономической ситуации и долгосрочной стратегии развития Республики Беларусь, основной целью социальной политики на перспективу является обеспечение системы мер по улучшению условий жизни и труда всех слоев населения, предотвращению и устранению социального неравенства и негативных явлений в обществе, повышение образовательного и культурного уровня всего населения. [12, с.12]

Для решения проблем, существующий на данный момент, государство предпринимает попытки обеспечить рациональную занятость населения, восстановить роль заработной платы как основного источника доходов населения и важнейшего стимула развития производства и повышения трудовой активности работников.

Предпринимаются также попытки реформировать систему оплаты труда, формируя ее уровень на принципе рационального воспроизводства рабочей силы, позволяющей работнику и его семье удовлетворять необходимые материальные и духовные потребности и создавать денежные накопления для наращивания инвестиционного потенциала. [12. с.13]

В перспективе предусмотрен ряд мер, которые позволят пересмотреть порядок налогообложения, в том числе и заработной платы, используя прогрессивную шкалу налогообложения сверхвысоких доходов, а также налог на недвижимость; стимулировать использование доходов от трудовой и предпринимательской деятельности, доходов от собственности для инвестирования и кредитования социально значимых программ, направленных на формирование базовых условий жизнедеятельности, улучшение жилищных условий, медицинского обслуживания, образования и др.

Важным направлением социальной политики государства в нашей стране является обеспечение перехода на более эффективное оказание социальной помощи, прежде всего на основе учета нуждаемости и строгой адресности социальных выплат, а также повышение роли социального страхования как важнейшего механизма защиты при утрате заработка в случае безработицы, других рисков. [6, с. 20]

Целями дальнейшего совершенствования оплаты труда являются кардинальное повышение ее размера, позволяющее каждому трудоспособному человеку своим трудом поддерживать достойный уровень жизни; обеспечение реализации воспроизводственной, стимулирующей и социальной функций заработной платы.

Реформирование оплаты труда предусматривается осуществлять с учетом необходимости постепенного переноса социальных расходов (оплата услуг социальной сферы, включая жилищно-коммунальные и др., а также пенсионное обеспечение) из государственного бюджета и внебюджетных фондов на доходы самих граждан. [6, с.22]

Совершенствование оплаты труда работников бюджетной сферы будет осуществляться на основе применения Единой тарифной сетки, предусматривающей увеличение различий в оплате труда между высококвалифицированными и низкоквалифицированными работниками, упорядочение структуры заработной платы путем включения в основную заработную плату доплат, надбавок, повышающихся коэффициентов и других выплат, которые в большинстве случаев не связаны с результатами труда. Решение этих задач намечается обеспечить за счет:

Ø  среднегодовых темпов прироста реальных доходов населения на уровне - 5-6% в год; реальной заработной платы - 6-7%;

Ø  повышения доли оплаты труда в ВВП - в 2010 г. - 60%. [6, с.25]

Рост оплаты труда, денежных доходов населения позволит иметь достаточные источники для социальных выплат, пенсий, пособий, стипендий и других и оказывать адресную поддержку наименее обеспеченных групп населения.

Основная цель социальной защиты - поддержка тех групп и слоев населения, которые оказались в наиболее неблагоприятных условиях и не могут своими силами улучшить собственное положение. [21, с.38]

Совершенствование пенсионного обеспечения будет осуществляться в соответствии с Концепцией реформы системы пенсионного обеспечения, которая предусматривает комплекс мер по повышению гарантий прав граждан на пенсионное обеспечение, созданию предпосылок для устойчивого развития пенсионной системы, ликвидации диспропорций в пенсионном обеспечении различных категорий граждан.

Предполагается создать комбинированную пенсионную систему, построенную на реализации трех уровней пенсионного обеспечения граждан. Первый уровень составят социальные пенсии, выплачиваемые за счет государственного бюджета лицам, которые не приобрели права на пенсию в системе государственного социального (пенсионного) страхования. Второй уровень будет предусматривать обязательное пенсионное страхование (выплаты страховых пенсий должны обеспечиваться за счет текущих страховых взносов). Третий уровень - дополнительные профессиональные пенсионные системы - будет формироваться на накопительных принципах. [12, с.18]

Важной задачей является создание эффективной системы социальной помощи реально нуждающимся семьям и отдельным гражданам, обеспечивающей гарантированный государством уровень социальной защиты. Предполагается дальнейшее совершенствование порядка предоставления выплат и льгот и их дифференциация в зависимости от вида льгот, категории граждан, среднедушевого дохода, состава семьи.

ЗАКЛЮЧЕНИЕ

Доходы населения представляют собой сумму денежных средств и материальных благ, полученных или произведённых домашними хозяйствами за определённый промежуток времени. Их роль в жизнедеятельности человека определяется тем, что уровень и структура потребления населения прямо зависит от размера дохода.

Доходы населения могут существовать в двух формах - денежной и натуральной. Более распространённой формой доходов является денежная форма. У бедных слоёв населения всегда высока доля натуральных доходов. В период ухудшения экономической обстановки в стране удельный вес натуральных доходов повышается.

Доходы бывают номинальными, располагаемыми и реальными. Номинальные доходы характеризуют уровень денежных доходов независимо от налогообложения и изменения цен. Располагаемые доходы - это номинальные доходы за вычетом налогов и других обязательных платежей, т.е. средства, используемые населением на потребление и сбережения. Реальные доходы характеризуют номинальные доходы с учётом изменения розничных цен и тарифов, представляют собой реальную покупательную способность номинальных доходов.

Основными источниками формирования доходов населения являются заработная плата и другие выплаты, которые работники получают за свой труд; доходы от собственности; доходы от индивидуальной трудовой деятельности; выплаты и льготы из общественных фондов потребления, специальных фондов, ежегодные выплаты по страхованию жизни; доходы от личного подсобного хозяйства, сада, огорода.

Несмотря на разнообразие источников поступления доходов все же главными составляющими денежных доходов населения являются оплата труда, доходы от предпринимательской деятельности и собственности, а также социальные трансферты.

Таким образом, заработная плата является основным источником доходов населения. Ставка заработной платы - это цена, выплачиваемая за использование труда. Заработная плата выполняет насколько функций, самые главные из них - воспроизводственная, стимулирующая, статусная, регулирующая, производственно-долевая.

Различия в уровне доходов на душу населения или на одного занятого называются дифференциацией доходов. Дифференциация доходов ведет к имущественной дифференциации, к разному потребительскому старту.

Вторгаясь в сферу распределения доходов, государство ни в коем случае не должно добиваться их уравнивания. Неравенство доходов - обязательное условие эффективного функционирования рыночной системы, только оно способно создать действенные мотивы к труду и инвестированию

В то же самое время, неравенство доходов может достигать огромных масштабов и создавать угрозу для политической и экономической стабильности в стране, поэтому практически все развитые страны мира вынуждены постоянно сокращать разрыв в доходах различных групп населения. Но разработка такого рода мер возможна лишь при умении точно определять степень дифференциации доходов и богатства и воздействовать на нее с помощью государственной политики.

Эффективным средством преодоления неравенства и бедности выступает государственная политика доходов. Государство, организуя через бюджет перераспределение доходов, решает проблему повышения доходов малоимущих слоев населения, создает условия для нормального воспроизводства рабочей силы, способствует ослаблению социальной напряженности и т.д. Степень воздействия государства на процесс перераспределения доходов можно измерить объемом и динамикой расходов на социальные цели за счет центрального и местных бюджетов, а также размером налогообложения доходов.

Мировой финансово-экономический кризис, безусловно, оказал влияние на доходы населения Республики Беларусь.

Учитывая неразвитость фондовых и финансовых рынков в стране и их слабую интегрированность в мировую финансовую систему, влияние мирового финансового кризиса на белорусскую экономику проявилось с некоторым временным лагом по сравнению с другими странами. В результате кризиса цены на многие продукты значительно выросли и потребительская корзина покупателя резко сократилась. Тем не менее, цены на многие товары продолжают прямо или косвенно контролироваться государством.

В начале ноября 2011 года Министерством экономики и другими участниками правительства был разработан ряд предложений по изменению курса социально-экономического развития на 2012 год. [19].

СПИСОК ИСПОЛЬЗОВАННЫХ ИСТОЧНИКОВ

1.      Агапова, Т.А., Серегина, С.Ф. Макроэкономика: учебник.4-е изд. / под общ. Ред. А.В. Сидоровича. М.: МГУ, Издательство "Дело и сервис", 2002. - 447 с.

.        Бондарь, А.В. Макроэкономика: Учеб. пособие / А.В. Бондарь, В.А. Воробьев, Л.Н. Новикова и др. Мн.: БГЭУ, 2007. - 415 с.

.        Доходы населения и оплата труда, социальная защита населения // Экономический бюллетень. 2010. №9. С.23 - 27.

.        Клюня, В.Л. Основы экономической теории: Учеб. пособие / В.Л. Клюня, М.Л. Зеленкевич, Н.В. Черченко и др.; Под ред.В.Л. Клюни. Мн., ИП "Экоперспектива", 1997. - 336 с.

.        Клюня, В.Л. Основы экономической теории: учебник / В.Л. Клюня [и др.]; под ред.В.Л. Клюни, Н.В. Черченко. Мн.: Выш. шк., 2005. - 408 с.

.        Кобрина, Т.Р. Уровень жизни населения растет // НЭГ, № 9.2007.С. 20-28

.        Козырев, В.М. Основы современной экономики: Учебник. М.: Финансы и статистика, 1998. - 368 с.

.        Кухаревич, Е.И. Cтатистический сборник Денежные доходы и расходы населения Республики Беларусь / Е.М.Палковская, И.И.Коношонок, О.Д.Якимович, Ж.К.Извекова - Государственное предприятие «Информационно-вычислительный центр Белстата» - Минск, 2011. - 52 с.

.        Лемешевский, И.М. Макроэкономика. (Экономическая теория. Часть 3): учеб. пособие для студентов экономических специальностей вузов / И.М. Лемешевский. Минск: ООО "ФУАинформ", 2004. - 389 c.

.        Лутоухина, Э.А. Макроэкономика: социально-ориентированный подход / Мн.: ИВЦ Минфина, 2005. - 400 с.

.        Макконнелл, К.Р. Экономикс: принципы, проблемы и политика: учебник для эк. вузов. В 2 т. / К.Р. Макконнелл, С.Л. Брю. пер. с англ. Москва: ИНФРА-М. Т.1.2000. С.387 с.

.        Основные положения национальной стратегии устойчивого социально-экономического развития Республики Беларусь до 2020 года / Богданович, А.В., Александрович, Я.М. // Белорусский экономический журнал. 2004. №3. С.4-19.

.        Официальный интернет-портал президента Республики Беларусь [Электронный ресурс]: Основные социально-экономические показатели за 2000-2010 годы - 2011. - Режим доступа: http://www.president.gov.by/press10686.html - Дата доступа: 15.11.2011 г.

.        Официальный сайт Национального статистического комитета Республики Беларусь [Электронный ресурс]: - Минск, 2011. Режим доступа: http://belstat.gov. by - Дата доступа: 15.11.2011 г.

.        Плотницкий, М.И. Макроэкономика: Учеб. пособие / М.И. Плотницкий, Э.И. Лобкович, М.Г. Муталимов и др.; Под ред.М.И. Плотницкого. М.: Новое знание, 2002. - 462 с.

.        Сакс, Дж.Д. Макроэкономика. Глобальный подход. / Дж.Д. Сакс, Ф.Б. Ларрен, пер с англ. Москва: Дело, 1999. - 447 с.

.        Самуэльсон, П. Экономика: /П. Самуэжльсон, В. Нордхаус. Москва: "Лаборатория Базовых Знаний", 2000. - 674 с.

.        Свободная энциклопедия Википедия [Электронный ресурс]: Кривая Лоренца - 2011. - Режим доступа: http://ru.wikipedia.org/wiki/Кривая_Лоренца - Дата доступа: 29.11.2011.

.        Свободная энциклопедия Википедия [Электронный ресурс]: Финансовый кризис 2011 года в Беларуси - 2011. - Режим доступа: file://localhost/G:/Финансовый%20кризис%202011%20года%20в%20Беларуси%20-%20Википедия.mht - Дата доступа: 29.11.2011.

.        Суриков, А.Е. Статистика доходов населения. М.: Финстатинформ, 2001. - 239 с.

.        Шимов, В.Н. Национальная экономика Беларуси // Под. ред.В.Н. Шимова.2-е изд., перераб. и доп. Мн.: БГЭУ, 2006. - 751 с.

Похожие работы на - Доходы населения Республики Беларусь

 

Не нашли материал для своей работы?
Поможем написать уникальную работу
Без плагиата!
Без нейросетей!