Неценовые факторы повышения конкурентоспособности товара на примере ООО 'DNS'

  • Вид работы:
    Курсовая работа (т)
  • Предмет:
    Маркетинг
  • Язык:
    Русский
    ,
    Формат файла:
    MS Word
    1,55 Мб
  • Опубликовано:
    2014-03-31
Вы можете узнать стоимость помощи в написании студенческой работы.
Помощь в написании работы, которую точно примут!

Неценовые факторы повышения конкурентоспособности товара на примере ООО 'DNS'















Курсовая работа

по дисциплине «Маркетинг»

НЕЦЕНОВЫЕ ФАКТОРЫ ПОВЫШЕНИЯ КОНКУРЕНТОСПОСОБНОСТИ ТОВАРА НА ПРИМЕРЕ ООО «DNS»

Содержание

Введение

. Теоретические основы неценовых факторов повышения конкурентоспособности товара

.1 Сущность, факторы и методы оценки конкурентоспособности продукции

.2 Неценовые факторы, критерии и показатели конкурентоспособности продукции

.3.Методы повышения конкурентоспособности товара неценовыми факторами

. Неценовые факторы повышения конкурентоспособности товара на примере ООО «DNS»

.1 Анализ рынка цифровой техники

.2 Характеристика и основные показатели коммерческой деятельности ООО «DNS»

.3 Повышение конкурентоспособности товара неценовыми факторами на примере ООО «DNS»

Заключение

Список литературы

Введение

В условиях острой и продолжающей обостряться конкуренции на рынке цифровой техники, прежде всего, необходимо обеспечить устойчивое функционирование и дальнейшее развитие компании, залог этого - высокий уровень конкурентоспособности торгового предприятия. В рыночной экономике основным фактором коммерческого успеха предприятия является конкурентоспособность товара, т.е. насколько он лучше аналогов-товаров продаваемых конкурирующими предприятиями.

Формирование потенциальной возможности хозяйствующих субъектов к конкурентной борьбе и достижению эффективных результатов в сегодняшних условиях осложняется в связи с необходимостью постоянного приспособления к изменяющимся условиям, что требует, в свою очередь, поиска научно-обоснованных концепций функционирования и развития предприятия, повышения его конкурентоспособности. Разработка таких концепций обуславливает необходимость глубокого исследования как самой экономической категории конкурентоспособности, ее особенностей и признаков, так и сущности влияния общемировых тенденций, политических факторов, особенностей конкретно-исторической стадии развития на процесс ее формирования и совершенствования. Т. е. в рыночной экономике категория конкурентоспособности является одной из ключевых, поскольку ее уровень определяет успех или неудачу в деятельности предприятия, а повышение конкурентоспособности продукции и как следствие рост ее экспорта являются средствами для повышения уровня жизни населения страны.

Актуальность выбранной темы обоснована тем, что конкурентоспособность товара является решающим фактором коммерческого успеха на развитом конкурентном рынке, и изучение проблем, связанных с её обеспечением - главная задача любого предприятия в настоящее время. Для повышения конкурентоспособности товара неценовыми факторами перед предприятием встаёт необходимость создания комплекса преимущественных характеристик, затем поддержание конкурентоспособности товара в рыночных условиях. Чтобы обеспечить товару успех на рынке, необходимо работать над вопросами его соответствия условиям рынка, конкретным требованиям потребителей не только по своим качественным, техническим, эстетическим характеристикам, но и по коммерческим и иным условиям его реализации (цена, сервис, реклама).

Цель курсовой работы заключается в изучении теоретических основ неценовых факторов повышения конкурентоспособности и практическом рассмотрении неценовых факторов для повышения конкурентоспособности товара на примере ООО «DNS».

Для достижения поставленной цели необходимо решить следующие задачи:

·        изучить теоретические основы неценовых факторов повышения конкурентоспособности товара;

·        рассмотреть показатели конкурентоспособности продукции и неценовые факторы повышения;

·        рассмотреть методы повышения конкурентоспособности товара неценовыми факторами;

·        проанализировать рынок цифровой техники;

·        выявить основные показатели коммерческой деятельности ООО «DNS»;

·        рассмотреть способы повышения конкурентоспособности товара неценовыми факторами в ООО «DNS».

Теоретической и методологической основой исследования являются труды российских и зарубежных ученых по управлению конкурентоспособностью продукции таких, как: Гальвановский М.И., Азоев Г.П., Андрианов В.Д., Баталов А.Г., Бойко М.В., Белов А.П., Бердников В.А., Галкин В.В., Горбашко Е.А., Риккардо Д., Юданов А. Ю., Комлев Е.Б. и другие.

Структура курсовой работы состоит из введения, двух глав - теоретическая и практическая части, заключения, списка литературы. Во введении сформулирована основная цель и поставлены задачи работы, доказана актуальность выбранной темы. В первой главе раскрыто понятие, сущность и методы изучения конкурентоспособности, ее роль в условиях рынка. Во второй главе дана характеристика торговой организации, раскрыто содержание коммерческой работы предприятия по розничной продаже товаров, изучение спроса, формирование ассортимента, организация торгового обслуживания, возможности повышения конкурентоспособности торгового предприятия «DNS», разработаны пути совершенствования системы снабжения предприятия и рекламно-информационной деятельности по сбыту товаров. В заключении подведены основные итоги исследования, а также сделаны основные выводы и рекомендации.

Развитие рыночных отношений неразрывно связано с борьбой товаропроизводителей за более выгодные условия производства и сбыта товаров с целью получения максимальной прибыли. В научной литературе и обыденном общении подобное столкновение интересов получило название конкуренция. Фактор конкуренции носит принудительный характер, заставляя производителей, под угрозой вытеснения с рынка, непрестанно заниматься системой качества, принятием решений относительно создания товарной марки и упаковки, обеспечения покупателю необходимого ассортимента товара, предоставления услуг по послепродажной поддержке товара, а рынок объективно и строго оценивает результаты этой деятельности.

Таким образом, обеспечение конкурентоспособности товара в рыночных условиях, отвечающего качественным, техническим, эстетическим характеристикам путём использования неценовых факторов - проблемы, которые приходится преодолевать маркетологам на пороге 21 столетия.

.       
Теоретические основы неценовых факторов повышения конкурентоспособности товара

1.1    Сущность, факторы и методы оценки конкурентоспособности продукции

конкурентоспособность товар неценовой

В условиях высокой насыщенности товарных рынков, превышения на них предложения над спросом, каждый товар (и стоящие за ним товаропроизводитель и продавец) вынужден вести конкурентную борьбу за предпочтения потребителя. Множество товаров одновременно предлагают одинаковые или различные способы удовлетворения одной и той же потребности покупателей на равных или незначительно отличающихся ценовых условиях. В этой ситуации предпочтения потребителя отдается товару, который в маркетинге определяется как конкурентоспособный.

Понимание того, что скрывается за словом «конкурентоспособность» еще не устоялось. Оценка справочной, нормативно-технической и методической литературы показывает, что в ней конкурентоспособность рассматривается с общих позиций. Большинство публикаций объединяет подход к конкурентоспособности как характеристике возможности сбыта товара в условиях конкуренции. Такое определение не раскрывает сущность рассматриваемой категории, констатируя и без того очевидную зависимость сбыта от конкурентоспособности. При этом теряется содержание конкурентоспособности конкретного товара, которая обуславливает распределение спроса между ним и другими обращающимися на рынке изделиями аналогичного назначения.

Распространенным является подход к конкурентоспособности как комплексу потребительских свойств товара безотносительно к его стоимости. При этом предполагается, что низкая конкурентоспособность ведет к снижению цен на товары и, наоборот, повышение конкурентоспособности обуславливает рост цен. В данном случае конкурентоспособность отожествляется с качеством продукции, хотя качество лишь один из факторов конкурентоспособности.

Конкурентоспособность - это сложная экономическая категория, которая может рассматриваться на нескольких уровнях:

·        конкурентоспособность товара или услуги;

·        конкурентоспособность производителя товара или услуги;

·        отраслевая конкурентоспособность;

·        конкурентоспособность стран.

Между всеми этими уровнями существует тесная внутренняя и внешняя зависимость.

Страновая и отраслевая конкурентоспособности в конечном итоге зависят от способности конкретного производителя товара или услуги производить конкурентоспособный товар или услугу.

В мировой практике в развитом конкурентоспособном информационном пространстве используются следующие понятия:

Конкурентоспособность товара - критерий целесообразности выхода фирмы на товарные рынки, представляющий собой сумму характеристик товара, ориентированных на удовлетворение потребительского (платежеспособность) спроса.

Конкурентное преимущество - преимущество, которое выявляется на рынке путем сопоставления с соответствующими показателями хозяйствующих субъектов-конкурентов и определяет конкурентоспособность хозяйствующего субъекта.

К важным конкурентным преимуществам относятся: рентабельность производства, характер инновационной деятельности, уровень производительности труда, эффективность стратегического планирования и менеджмента, способность быстро приспосабливаться к изменяющимся требованиям и условиям рынка. Чем больше у хозяйствующего субъекта (фирмы), набор конкурентных преимуществ и выше их качественные характеристики, тем более благоприятные предпосылки он имеет для успешной деятельности на рынке и более устойчивые позиции может занять на отдельных рыночных сегментах. [1, с. 25-38]

Страновая конкурентоспособность - способность страны в условиях свободной конкуренции производить товары и услуги, соответствующие требованиям мирового рынка, реализация которых увеличивает благосостояние страны и отдельных ее граждан. Конкурентоспособность страны является суммарным показателем, который объединяет данные о конкурентоспособности товара (услуги), производителя товара (услуги), отраслевой конкурентоспособности и характеризует положение страны на мировом рынке.

Концепция сравнительного преимущества - концепция экономической теории, согласно которой успех фирмы или страны в конкретных областях общественной и экономической жизни объясняется максимально эффективным использованием факторов производства (рабочая сила, земля, капитал и природные ресурсы), причем рыночные силы сами направляют ресурсы страны туда, где они могут быть применены с максимальной эффективностью. Соответственно, страна получает сравнительное преимущество в тех отраслях, где интенсивно используются имеющиеся в наличии факторы. Продукция этих отраслей экспортируется, а импортируются те товары и услуги, в производстве которых страна испытывает сравнительный недостаток факторов.

Факторы конкурентоспособности товара (услуги) - факторы, которые влияют на стоимость и качество товара (услуги) и определяют конкурентоспособность товара (услуги), такие, например, как издержки производства, производительность и интенсивность труда.

Производительность труда - один из основных показателей, определяющих конкурентоспособность товара (услуги) на рынке, поскольку именно в процессе производства закладываются материальные основы конкуренции, которые проявляются на рынке через сравнительный уровень цен и прибыльности.

Главной задаче маркетологов на современных предприятиях является повышение конкурентоспособности товара неценовыми факторами. Товар на рынке характеризуется такими критериями, как качество, новизна, наукоёмкость, использование инноваций в производстве и т.д..

Рассмотрим факторы конкурентоспособности продукции. Прежде всего, необходимо определиться с понятием «фактор». Поскольку понятие «фактор» происходит от латинского «factor» - делающий, производящий, это даёт основание сформулировать его определение как конкретной движущей силы процесса, способной изменить один или несколько показателей его качества.

В настоящее время существует большое количество классификаций факторов конкурентоспособности продукции. В качестве примера приведем некоторые из них:

. Классификация Гарбацевича:

· внешние факторы: институциональные факторы (политические, экономические и правовые), а также детерминанты, включающие конъюнктуру внешней среды и уровень конкуренции на рынках, формы и методы государственного регулирования экономических процессов, параметры соотношений совокупного спроса и совокупного предложения, особенности формирования цен на факторы производства;

· внутренние факторы: определяются требованиями потребителей: цена, качество, сроки строительства, гарантийное и сервисное обслуживание.

. Классификация Трубилина:

· факторы внешнего формирования - тенденции развития экономики и рынка, НТП, изменения в структуре потребления, колебания конъюнктуры, состав конкурентов, имидж и престиж предприятия;

· показатели качества товара - показатели, определяемые действующими стандартами, нормами, рекомендациями; сюда же относятся гарантии безопасности, сохранность продукции;

· экономические показатели - показатели, формирующие себестоимость и цену товара.

. Наиболее подробно и комплексно факторы конкурентоспособности товара представлены у Р. Фатхутдинова. Автор, разделив все факторы на внешние и внутренние, не только привел их перечень, но и указал направленность их влияния на конкурентоспособность товара:

К внешним факторам конкурентоспособности продукции относятся:

. Уровень конкурентоспособности страны (с увеличением этого показателя улучшаются все интегральные и частные показатели конкурентоспособности товара);

. Уровень конкурентоспособности отрасли (с увеличением этого показателя улучшаются все интегральные и частные показатели конкурентоспособности товара);

. Уровень конкурентоспособности региона (с увеличением этого показателя улучшаются все интегральные и частные показатели конкурентоспособности товара);

. Уровень конкурентоспособности организации, выпускаемой товар (с увеличением этого показателя улучшаются все интегральные и частные показатели конкурентоспособности товара);

. Сила конкуренции на выходе системы, среди ее конкурентов (старых и новых) (увеличение силы (интенсивности) конкуренции повышает конкурентоспособность товара);

. Сила конкуренции на входе системы, среди поставщиков сырья, материалов, комплектующих изделий и других компонентов (увеличение силы (интенсивности) конкуренции повышает конкурентоспособность товара);

. Сила конкуренции среди товаров-заменителей (увеличение силы (интенсивности) конкуренции повышает конкурентоспособность товара);

. Появление новых потребностей (снижает конкурентоспособность выпускаемого товара);

. Уровень организации производства, труда и управления у посредников и потребителей товаров, выпускаемых системой (повышение уровня организации повышает конкурентоспособность товара);

. Активность контактных аудиторий (общественных организаций, общества потребителей, СМИ и т. д.) (с увеличением активности контактных аудиторий конкурентоспособность товара повышается).

Однако, наиболее значимыми будут являться внутренние факторы:

. Патентоспособность (новизна) конструкции (структуры, состава) товара (с повышением патентоспособности товара повышается его конкурентоспособность);

. Рациональность организационных и производственных структур системы (структура должна отвечать принципам рационализации структур и процессов, тогда она будет способствовать повышению конкурентоспособности товара);

. Конкурентоспособность персонала системы (повышение конкурентоспособности персонала повышает конкурентоспособность товара);

. Прогрессивность информационных технологий (с увеличением удельного веса прогрессивных технологий повышается конкурентоспособность товара);

. Прогрессивность технологических процессов и оборудования (с увеличением удельного веса прогрессивных технологий повышается конкурентоспособность товара);

. Научный уровень системы управления (менеджмента) (с увеличением количества применяемых научных подходов, принципов и современных методов повышается конкурентоспособность товара);

. Обоснованность миссии системы (миссия системы должна быть ориентирована на достижение конкурентоспособности системы и ее товаров).

Необходимо отметить, что во всех приведенных классификациях факторов конкурентоспособности продукции можно выделить одну общую особенность, а именно: их деление на внешние и внутренние.

Существует также мнение, что товарная конкурентоспособность находится в прямой зависимости от разноплановых факторов, среди которых первостепенное значение имеют издержки производства, производительность и интенсивность труда, которые влияют на цену и качество изделий.

Издержки производства - это выраженные в денежной форме затраты фирмы, связанные с приобретением факторов производства и их использованием.

Производительность труда - это один из основных показателей, определяющих товарную конкурентоспособность на мировом рынке, поскольку именно в процессе производства закладываются материальные основы конкуренции, которые проявляются на рынке через сравнительный уровень цен и прибыльности.

Интенсивность труда оценивается по индексам интенсивности производства (промышленного и сельскохозяйственного), которые представляют собой обобщенные темпы среднесуточных объемов выпуска продукции за каждый месяц рассматриваемого периода по отношению к базовому месяцу.

В настоящее время на первый план в мировой конкурентоспособности выходят неценовые факторы, из которых важнейшее значение приобретают качество товара, новизна, и интеллектоемкость изделий. Поэтому большинство стран мира обеспечивают повышение своей товарной конкурентоспособности за счет использования инноваций, разработки высокотехнологичных продуктов, создание которых невозможно без развития научно-технического потенциала.

В последние годы большое значение в обеспечении конкурентоспособности товаров приобретает экологический фактор. Более жесткие экологические стандарты, возрастающие требования к качеству товара и одновременно более острая конкуренция на мировом рынке заставляют компании при разработке новых изделий использовать принципы предупреждения загрязнений в комплексе с экологическим самоконтролем. В связи с этим важной задачей является совершенствование рыночных механизмов таким образом, чтобы экологические издержки включались в себестоимость выпускаемой продукции. Цены на товары и услуги должны учитывать экологический фактор их производства, а также использования, дальнейшей утилизации, удаления отходов и рециркуляции.

Оценка конкурентоспособной продукции отражает соответствующие функциональные задачи: изучение конъюнктуры (спрос, предложение, цены, емкость рынка, каналы сбыта), определение набора потребительских и экономических показателей конкурентоспособности (натуральные, стоимостные, относительные), выбор базы для сравнения конкурентов (анализ показателей конкурентоспособности, выбор объекта в качестве базы для сравнения, расчет интегрального показателя конкурентоспособности). [7]

Выделяют 3 метода оценки конкурентоспособности продукции:

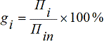
.        Дифференциальный метод - оценка конкурентоспособности товара производится путем сопоставления параметров анализируемого товара с параметрами базы сравнения. За базу сравнения может быть принята потребность покупателей или образец. Образцом, как правило, является аналогичный товар, который имеет максимальный объем продаж и наилучшую перспективу сбыта. В случае, когда за базу сравнения принимают потребность, расчет единичного показателя конкурентоспособности производится по формуле:

, (1)

где: gi - единичный параметрический показатель конкурентоспособности по i- му параметру;

Пi - величина i-го параметра для анализируемой продукции;

Пin - величина i-го параметра, при котором потребность удовлетворяется полностью;- количество анализируемых параметров.

В случае принятия за базу сравнения образца, в знаменателе дроби проставляется величина i-го параметра для товара, принятого за образец.

В случае, когда параметры товара не имеют физической меры, для оценки их характеристик применяют методы балльных оценок.

Дифференциальный метод позволяет только констатировать факт необходимости повышения или снижения параметров товара для повышения конкурентоспособности, но не отражает влияние каждого параметра при выборе товара потребителем.

.        Комплексный метод - основывается на применении групповых, обобщенных и интегральных показателях. При этом расчет группового показателя по техническим параметрам производится по формуле:

,                       (2)

где: Imn - групповой показатель конкурентоспособности по техническим параметрам;- единичный показатель конкурентоспособности по i-му техническому параметру;- весомость i-го параметра в общем наборе технических параметров, характеризующих потребность;- число параметров, участвующих в оценке.

Расчет группового показателя по экономическим параметрам производится по формуле:

,                               (3)

где: З - полные затраты потребителя по оцениваемой;

З0 - полные затраты потребителя по образцу.

Полные затраты потребителя включают единовременные затраты на приобретение товара (Зе) и средние суммарные затраты на эксплуатацию товара:

,                         (4)

где: Т - срок службы;- год по порядку.

.        Смешанный метод - позволяет выразить способность товара конкурировать в определенных условиях рынка через комплексный количественный показатель - коэффициент конкурентоспособности:

,                       (5)

где: i = 1…n - число параметров продукции, участвующих в оценке;= 1…n - виды продукции;- коэффициент важности (значимости) по сравнению с остальными существенными параметрами продукции;- конкурентоспособное значение i-го параметра для j-ой продукции;- желаемое значение i-го параметра, которое позволяет полностью удовлетворить потребность показателя;= +1, если увеличение значения параметра Pij способствует росту конкурентоспособности продукции (например, надежности, производительности изделия и так далее);= -1, если увеличение значения параметра Pij приводит к снижению конкурентоспособности продукции (например, вес, габарит, цена и другое).

По результатам сравнения одним из трех описанных методов можно дать одно из следующих заключений:

·        товар конкурентоспособен на данном рынке в сравниваемом классе изделий;

·        товар обладает низкой конкурентоспособностью на данном рынке в сравниваемом классе изделий;

·        товар полностью неконкурентоспособен на данном рынке в сравниваемом классе изделий .

Наряду с теоретическими исследованиями сущности конкуренции и конкурентоспособности, в экономической литературе обсуждается проблема практической оценки конкурентоспособности. В вопросах оценки конкурентоспособности продукции на сегодняшний день достигнуты определенные успехи, разработаны вполне приемлемые методики оценки конкурентоспособности идентичных товаров и услуг:

.        Матричные методы - базируются на оценке маркетинговой стратегии предприятия на основе построения матрицы конкурентных стратегий. В основе методики лежит анализ конкурентоспособности с учетом жизненного цикла продукции предприятия. Сущность оценки состоит в анализе матрицы, построенной по принципу системы координат: по горизонтали - темпы роста (сокращения) объема продаж; по вертикали - относительная доля предприятия на рынке. С некоторыми вариациями подобный подход можно встретить в работах И. Ансоффа, А. Томпсона и А. Стрикланда, разработках Бостонской консалтинговой группы, а также МакКинзи и Ко. Наиболее конкурентоспособными считаются те предприятия, которые занимают значительную долю на быстрорастущем рынке.

.        Методы, основанные на оценке конкурентоспособности продукции предприятия - эта группа методов базируется на суждении о том, что конкурентоспособность предприятия тем выше, чем выше конкурентоспособность его продукции. Для определения конкурентоспособности продукции используются различные маркетинговые и квалиметрические методы, в основе большинства которых лежит нахождение соотношения цена-качество. Расчет показателя конкурентоспособности по каждому виду продукции ведется с использованием экономического и параметрического индексов конкурентоспособности. В свою очередь, указанные индексы определяются путем суммирования частных индексов по каждому оцениваемому параметру с учетом весовых коэффициентов.

.        Методы, основанные на теории эффективной конкуренции - согласно этой теории, наиболее конкурентоспособными являются те предприятия, где наилучшим образом организована работа всех подразделений и служб. На эффективность деятельности каждой из служб оказывает влияние множество факторов - ресурсов предприятия. Оценка эффективности работы каждого из подразделений предполагает оценку эффективности использования им этих ресурсов. В основе подхода лежит оценка групповых показателей или критериев конкурентоспособности. Суть подхода заключается в оценке способностей предприятия по обеспечению конкурентоспособности. Каждая из сформулированных в ходе предварительного анализа способностей предприятия по достижению конкурентных преимуществ оценивается экспертами с точки зрения имеющихся ресурсов. При этом состав и структура оцениваемых способностей значительно варьируют в различных методиках: от показателей себестоимости и финансовой устойчивости до способности предприятия адаптироваться к нововведениям.

.        Комплексные методы - методы, отнесенные к данному подходу, определены как комплексные в силу того, что оценка конкурентоспособности предприятия в рамках каждого из методов ведется на основании выделения не только текущей, но и потенциальной конкурентоспособности предприятия. В основе подхода лежит утверждение, в соответствии с которым конкурентоспособность предприятия есть интегральная величина по отношению к текущей конкурентоспособности и конкурентному потенциалу.

Таким образом, при помощи цифр можно дать характеристику конкурентоспособности одного товара по отношению к другим. Сопоставление товаров ведется при помощи таблицы сравнения параметров.

Вывод о конкурентоспособности дополняется заключениями о преимуществе и недостатке оцениваемого товара по сравнению с аналогичными, а также предложениями мер, необходимых для принятия с целью улучшения положения товара на рынке.

По результатам оценки конкурентоспособности товара можно принять следующие решения:

·        изменить состав и структуру применяемых материалов, комплектующих изделий или конструкции товара;

·        изменить порядок проектирования товара;

·        изменить технологию изготовления товара, методы испытания, систему контроля качества изготовления, хранение, упаковку, транспортировку, монтаж;

·        изменить цены на товар, цены на услуги, на обслуживание и ремонту, цены на запасные части;

·        изменить порядок реализации товара на рынке;

·        изменить структуру и размер инвестиций в разработку, производство и сбыт товаров;

·        изменить структуру и объемы поставок при производстве товара, цены на комплектующие изделия и состав выбранных поставщиков;

·        изменить систему стимулирования поставщиков;

·        изменить структуру импорта и видов импортируемых товаров.

Основой оценка конкурентоспособности является сравнение характеристик анализируемых товаров с конкретной потребностью и выявлении их соответствия друг другу. Для объективной оценки необходимо использовать те же критерии, которыми оперирует потребитель, выбирая товар на рынке. Следовательно, необходимо решить задачу определения номенклатуры параметров, подлежащих анализу и значимых с точки зрения потребителей. [22, с. 8]

1.2    Неценовые факторы, критерии и показатели конкурентоспособности продукции.

Предложение благ способно изменяться в зависимости от многих экономических условий, влияющих как на сферу непосредственно" производства, так и на сферу рынков сбыта выпущенных благ различного назначения. Многообразие этих условий называют неценовыми факторами, поскольку они способны повлиять на объемы выпуска и продажи фирмами своей продукции при существующем уровне рыночных цен.

К неценовым факторам конкурентоспособности относятся:

·        обеспечение качества продукции, торговая марка (бренд),

·        организация каналов реализации продукции,

·        реклама,

·        послепродажное обслуживание,

·        новизна продукции.

В современной рыночной экономике особое значение в обеспечении конкурентоспособности продукции приобретают параметры, связанные с процессом реализации, логистикой и снижением издержек товародвижения, послепродажным обслуживанием. Конкурентоспособность продукции проявляется через имидж фирмы, т.е. через представление покупателей об этой фирме, основанное на ее деловой репутации.

Неценовая конкуренция проводится, главным образом, посредством совершенствования качества продукции и условий ее продажи, «сервизации» сбыта. Повышение качества может осуществляться по двум основным направлениям: первое- совершенствование технических характеристик товара; второе - улучшение приспособляемости товара к нуждам потребителя. Неценовая конкуренция посредством совершенствования качества продукции получила название конкуренции по продукту.

Неценовая конкуренция путем совершенствования сбыта продукции получила название конкуренции по условиям продаж. Этот вид конкуренции основывается на улучшении сервиса обслуживания покупателя. Сюда входит воздействие на потребителя через рекламу, совершенствования торговли, установление льгот по обслуживанию покупателей после приобретения товара, то есть в процессе его эксплуатации.

При неценовой конкуренции на первый план выступают уникальные свойства товара, его техническая надежность и высокое качество. Именно это, а не снижение цены, позволяет привлечь новых покупателей и повысить конкурентоспособность товара. Основная цель неценовой конкуренции - постоянное совершенствование продукции, поиски путей повышения ее качества, технической надежности, улучшения внешнего вида, упаковки. Таким образом, неценовая конкуренция, в отличие от ценовой конкуренции, имеет не разрушительную, а созидательную направленность.

Неценовая конкуренция ведется за счет снижения издержек, повышения качества продукции и услуг, надежности, улучшения условий оплаты, гарантийного и послегарантийного обслуживания, совершенствования методов сбыта.

Неценовая конкуренция минимизирует цену как фактор потребительского спроса, выделяя товары и услуги посредством продвижения, упаковки, поставки, сервиса, доступности и других маркетинговых факторов. Чем уникальнее предложение продукции, с точки зрения потребителей, тем больше у маркетологов свободы в установлении цен выше, чем у конкурирующих товаров.

Каждая из фирм, выступающих на рынке, стремится по крайней мере сохранить ту долю рынка, которую она занимает. Основные методы, необходимые для этой конкурентной борьбы - цена, технический уровень и другие качественные показатели товара, сроки поставок, условия платежа, объем и сроки гарантий, объем и качество сервиса, реклама и другие мероприятия.

В настоящее время многие компании предпочитают улучшать потребительские свойства своего товара при сохранении или даже некотором повышении реализационных цен.

При соответствующей рекламе такая «скрытая» скидка с цены товара вызывает, как правило, положительную реакцию у современного потребителя, который так часто связывает низкую цену с неудовлетворительным качеством товара.

Захват рынка с помощью проникновения на него на основе разработке нового фирменного товара или вытеснения конкурентов, предлагающих аналогичные товары, также происходит при неценовой конкуренции. В мире успех неценовой конкуренции определяется (особенно в Европе, Северной Америке, Юго-Восточной Азии) техническим уровнем, качеством и надежностью товара, подтвержденным сертификацией в общепринятых центрах, уровнем сервиса и послепродажного обслуживания, а не низкими ценами. [8, с. 94-97]

Неценовая конкуренция - метод конкурентной борьбы, в основу которого положено не ценовое превосходство над конкурентами, а достижение более высокого качества, технического уровня, технологического совершенства, с большей надежностью, более длительными сроками службы и другими более совершенными потребительскими свойствами.

Существенную роль в неценовой конкуренции играют: оформление, упаковка, последующее техническое обслуживание, реклама.

Рассмотрим критерии конкурентоспособности продукции для целенаправленного и прогнозируемого воздействия через них на конкурентоспособность.

Всякий товар обладает комплексом свойств, определяющих степень его пригодности к использованию в конкретных условиях. Чтобы объективно оценить конкурентоспособность товара, производитель должен при анализе использовать те же критерии, которыми оперирует потребитель. Только в этом случае можно ожидать, что оценка, данная своему товару предприятием, совпадает с мнением покупателя. Следовательно, вначале необходимо разобраться с совокупностью критериев, существенных с точки зрения потребителя.

Среди критериев, характеризующих конкурентоспособность промышленных товаров, выделяют: технические (назначения, нормативные, эргономические, эстетические и другие), экономические (цену потребления) и организационные (скидок, условия платежа и поставок, комплектность поставки, сроки и условия гарантии и т. д.).

В принципе, такое разделение критериев можно использовать в оценке конкурентоспособности любой продукции независимо от отрасли.

Число критериев конкурентоспособности зависит от вида и сложности продукции в техническом и эксплуатационном отношении, а также требуемой точности оценки, цели исследования и других факторов.

Например, экономические критерии промышленной продукции представлены ценой потребления, которая складывается из расходов потребителя на покупку (товара) и расходов, связанных с потреблением, причем цена потребления обычно существенно выше продажной цены.

Поэтому наиболее конкурентоспособен не тот товар, за который просят минимальную цену на рынке, а тот, у которого минимальна цена потребления за весь срок его службы у покупателя.

От правильности выбора критериев оценки конкурентоспособности товара зависит и точность самой оценки. При этом критерии должны быть выбраны не на основании предположений, собственного опыта, а на основании детального изучения покупательского спроса, т. е. проведения маркетинговых исследований.

Помимо основных свойств продукции, которые определяют ее качество, очень важен анализ «окружении продукта», к которому относится: послепродажный сервис, надежность поставки, удобство приобретения, престиж торговой марки и цена.

Для определения конкурентоспособности продукции на основе выбранных критериев используют различные показатели.

В работах многих авторов, в основе оценки конкурентоспособности товара лежит расчет и анализ комплексного показателя. Если значение этого показателя меньше единицы, то это позволяет сделать вывод, что данная продукция является не конкурентоспособной на данном рынке при существующей конъюнктуре. Значение комплексного показателя равное единице говорит о том, что продукция данного предприятия является аналогичной по конкурентоспособности с выбранной базой сравнения. И значение комплексного показателя большее единицы позволяет сделать вывод, что продукция анализируемого предприятия является абсолютно конкурентоспособной по сравнению с эталонной на данном рынке.

Некоторые специалисты (например, Гребнев) рекомендуют использовать для данных показателей только два значения: «1» и «0». В случае соответствия параметра обязательным требованиям его значение принимается равным 1, в противном случае - равным 0. Но как показывает практика оценки товаров наиболее авторитетных производителей, зачастую стандарты предприятия оказываются более «жесткими» нежели предписанные действующими нормами. Кроме того, при упрощенном подходе - «1» или «0» - отсутствует возможность дифференциации уровня качества по регламентируемым параметрам. Поэтому на наш взгляд область допустимых значений для этой группы должна быть расширена. [23, с. 541]

Качественные показатели конкурентоспособности характеризуют свойства товара, его характеристики с точки зрения способности товара удовлетворять конкретную потребность. Количественные характеристики свойств товара, определяющие его качество, называются показателями качества.

Выделяют следующие виды показателей качества товара:

. Показатели назначения товара - характеризуют его отдачу, использование на конкретные цели.

. Показатели надежности товара - отражают сохраняемость свойств и долговечность товара.

. Показатели экологичности и безопасности применения товара - оценивают уровень вредного воздействия объекта на окружающую среду.

. Показатели транспортабельности товара - обусловленны его габаритными и весовыми параметрами.

. Показатели эргономичности товара - используются при определении соответствия объекта эргономическим требованиям

. Показатели технологичности товара - характеризуют уровень соответствия требованиям существующей технологии и организации производства, транспортирования и технологического обслуживания объекта.

. Показатели эстетичности товара - оценивают влияние на чувственное восприятие человеком изделия в целом, а также его внешнего вида.

. Показатели стандартизации и унификации - используются для оценки уровня конструктивной унификации, как самого товара, так и его отдельных элементов.

. Патентно-правовые показатели товара - используются для оценки его патентной защиты и патентной чистоты.

При этом качественные показатели можно разделить на две категории параметров: «жесткие» и «мягкие».

«Жесткие» параметры описывают важнейшие функции товара и связанные с ним основные характеристики, изменение, и, тем более, замена которых могут осуществляться в определенных, относительно стабильных пределах, заданных конструктивными принципами изделия. Наиболее представительной группой «жестких» параметров являются технические параметры, которые включают показатели назначения и показатели эргономичности. Для сельскохозяйственной продукции это могут быть параметры безопасности, сохранности, вкусовые параметры.

Особую группу «жестких» параметров составляют параметры соответствия международным и национальным стандартам, нормативам, законодательным актам и т. д., при чем для товаропроизводителя этот аспект чрезвычайно важен, так как, прежде всего, необходимо оценит принципиальную возможность реализации производимого товара на рассматриваемом рынке с позиции соответствия характеристик товара нормативным параметрам, регламентируемым нормативными стандартами и нормами. Если не все параметры производимого изделия соответствуют регламентированным требованиям покупателя, то это свидетельствует о его не конкурентоспособности.

«Мягкие» параметры характеризуют эстетические свойства товара (дизайн, цвет, упаковку и т. д.). В настоящее время, когда рынок заполнен разнообразными товарами, в том числе со схожими «жесткими» параметрами, возрастает значение «мягких» параметров, придающих товарам особую привлекательность. Причем данная тенденция проявляется не только на рынках массового спроса, но и для товаров производственного назначения. [15, с. 113]

Для сопоставления величины различных показателей, характеризующих конкурентоспособность товара на разных стадиях его жизненного цикла, они были разделены на две большие группы: стоимостные (себестоимость, выручка, инвестиции и др.) и качественные (послепродажное обслуживание товара, уровень известности, реклама и др.). При этом по совокупности критериев самый высокий уровень конкурентоспособности товар имеет на этапе роста и зрелости.

.3      Методы повышения конкурентоспособности товара неценовыми факторами

Ранее предлагаемая и рассматриваемая методика позволяет осуществлять всесторонний анализ предприятия, а также оперативное управление и прогнозирование конкурентоспособности предприятия, что, в свою очередь, обуславливает возможность определения основных направлений повышения конкурентоспособности исследуемого хозяйствующего субъекта.

При выборе путей повышения конкурентоспособности товара нередко бывает очень своевременным решение не о запуске нового, не о снятии с производства морально устаревшего, а о модификации товара. Решение о модификации товара принимается в целях удовлетворения особых требований покупателей для получения большей прибыли.

Бесспорным является и развитие такого направления повышения конкурентоспособности товара, как своевременное оказание комплекса услуг, связанных со сбытом и использованием машин, оборудования и другой промышленной продукции и обеспечивающих их постоянную готовность к высокоэффективной эксплуатации, то есть сервисное или послепродажное обслуживание. При умелой организации, сервис является решающим фактором повышения конкурентоспособности товара, так как цены на запасные части в 1,5 - 2,0 раза ниже, чем цены на комплектующие, используемые в производстве.

В решении задач повышения конкурентоспособности продукции с каждым годом все возрастающее значение приобретает проблема выбора и освоения новых рынков сбыта. В связи с этим на любом предприятии очень важны аналитико-поисковые усилия в этой области. Новые рынки сбыта решающим образом могут изменить конкурентоспособность товара и рентабельность сбытовой деятельности. Понятно, что внедряя товар на новый рынок, можно продлить жизненный цикл товара. Сезонные колебания в спросе могут способствовать успешной реализации одного и того же товара в различных точках планеты. А увеличение объема продаж на новых рынках позволит снизить издержки производства на единицу продукции, прежде всего за счет использования дешевой рабочей силы, достаточно низких уровней налогов и таможенных пошлин и ряда других факторов на новых рынках сбыта. В связи с этим очень важно для дальнейшего развития конкурентоспособности товара (прежде чем перейти к новому, его модификации, снятию с производства) попытаться выйти с ним на новый рынок сбыта, если на внутреннем его конкурентоспособность резко упала. Но при этом надо точно знать степень обеспеченности новых рынков высококвалифицированными работниками ремонтных и обслуживающих организаций, так как в противном случае покупатели могут потребовать повышения надежности и упрощения конструкции реализуемой продукции.

В результате оценки конкурентоспособности продукции могут быть приняты следующие пути повышения конкурентоспособности [4, с. 29]:

·        изменение состава, структуры применяемых материалов (сырья, полуфабрикатов), комплектующих изделий и/или конструкции продукции;

·        изменение порядка проектирования продукции;

·        изменение технологии изготовления продукции; методов испытаний, системы контроля качества изготовления, хранения, упаковки, транспортировки и монтажа;

·        изменение цен на продукцию, цен на услуги, по обслуживанию и ремонту, и цен на запасные части;

·        изменение порядка реализации продукции на рынке;

·        изменение структуры и размера инвестиции в разработку, производство и сбыт продукции;

·        изменение структуры и объемов кооперационных поставок при производстве продукции и цен на комплектующие изделия и состава выбранных поставщиков;

·        изменение системы стимулирования поставщиков;

·        изменение структуры импорта и видов импортируемой продукции.

Стратегия повышения качества товара является важнейшей составной частью стратегии фирмы. Объектами прогнозирования являются показатели качества товара, уступающие аналогичным показателям товаров конкурентов. [25, с. 469]

В Европе особое значение имеет экологическая группа факторов, в том числе с точки зрения их влияния на конкурентоспособность предприятий. Во всех странах мира доминантным становится экологический тип производства, предполагающий комплексное использование ресурсов, внедрение малоотходных и безотходных технологий, совершенных очистных сооружений, всемерное улучшение состояние охраны труда и окружающей среды.

Можно отметить основную возможность, открывающуюся на экологическом рынке - это улучшение существующей продукции путем ее адаптации к новым экологическим требованиям. Многие действующие компании расширяют свой бизнес, приспосабливая уже выпускаемую продукцию или методы производства к новым потребностям рынка.

В конечном результате необходимо нацелить предприятия, во-первых, на постоянное внедрение в производство новых, более совершенных изделий; во-вторых, на неуклонное сокращение всех видов затрат на производство продукции; в-третьих, на повышение качественных и потребительских характеристик при снижении цен на выпускаемые изделия, что и должно в итоге создать условия для победы в конкурентной борьбе.

2. Неценовые факторы повышения конкурентоспособности товара на примере ООО «DNS»

.1 Анализ рынка цифровой техники

Начало 21 века по праву можно назвать цифровым веком. На сегодняшний день рынок мобильной цифровой техники продолжает успешно развиваться, несмотря на экономический кризис. Практически каждый месяц появляются всё новые и новые модели, что стимулирует конкурентов не стоять на месте, а следовать условиям рынка, поскольку риск потерять своё место под солнцем очень велик, особенно в сложной современной экономической ситуации.

На рынке цифровой техники ноутбуки продолжают уверенно удерживать свои позиции, тем самым полностью удовлетворяя потребительский спрос. Что же касается предложения, то потенциального покупателя, решившего приобрести ноутбук, такое разнообразие марок и моделей может окунуть в глубокие раздумья на продолжительное время. Однако среди такого многообразия производителей и представленных ими моделей лидерство продолжают удерживать ноутбуки марок Asus и Acer. Asus - марка, заслуженно ставшая брендом, привлекает своим качеством и надёжностью, а Acer завоёвывает рынок ноутбуков, благодаря своим характеристикам при доступной цене. Остальные бренды, такие как Sony, HP, Toshiba и др. стараются не отставать от лидеров, предлагая широкий ассортимент своей продукции. На выбор предлагаются модели с самыми различными техническими данными, но первое, на что покупатель обращает своё внимание, так это монитор. Практически все производители предлагают ноутбуки с мониторами от восьми дюймов и выше, в зависимости от того, для каких целей приобретается портативный компьютер.

На рынке сотовой связи также свою нишу прочно удерживают смартфоны, чьи ряды также продолжают активно пополняться всё новыми моделями. С тех пор как iPhone вывел на рынок смартфоны с большим экраном, эта мода отразилась и на остальных производителях. Смартфоны на базе операционных систем OS Symbian и OS Windows Mobile в ближайшее время будут вынуждены потесниться, поскольку на арену выходят новые модели на базе операционной системы Android от Google. Кроме этого, серьёзным вопросом является автономное питание смартфонов, чему уделяется огромное внимание со стороны производителя.

На сегодняшний день на рынке коммуникаторов ведётся борьба между ведущими производителями. Основные позиции по-прежнему продолжают удерживать коммуникаторы HTC, поскольку в настоящее время именно эта марка задаёт темп с точки зрения технологии и производительности. Другие производители не стремятся угнаться за лидером, привлекают своего потенциального покупателя уже имеющимися характеристиками.

Однако, новые технологии не стоят на месте, многие крупные производители намерены наладить выпуск моделей на базе операционной системы Android уже в текущем году. По прогнозам аналитиков, ожидается, что большая часть рынка коммуникаторов с новой ОС будет занята азиатскими производителями, поскольку азиатский сегмент рынка коммуникаторов готов раньше других мировых компаний предложить Android.

. Рынок портативной электроники.

год принес рынку портативной электроники прирост в 27,3% в количественном и в 30% в денежном выражении относительно прошлого года. В абсолютных показателях в рознице было реализовано около 72 млн. электронных устройств, что принесло выручку практически в 390 млрд. руб.

Рисунок 1 - Динамика количества продаж на рынке портативной электроники в РФ

Максимальный прирост в количестве продаж на рынке относительно 2010 года показал сегмент смартфонов (+ 112%), на втором месте - сегмент игровых приставок (+ 85%), на третьем - группа мобильных компьютеров (+66%):

Рисунок 2 - Прирост количества продаж в 2011 к 2010 на рынке

При этом сотовые телефоны и медиаплееры показали прирост ниже среднего по группе, что привело к потере их доли.

. Рынок сотовых телефонов и смартфонов.

По экспертной оценке, в 2011 году было реализовано почти 40 млн. сотовых телефонов и смартфонов, при этом рынок в денежном выражении вырос до 174,1 млрд. руб, таким образом, ASP составила 4 387 руб:

Рисунок 3 - Динамика рынка сотовых телефонов и смартфонов

В 2011 году рынок восстановился после кризисного периода в количественном выражении, однако, в денежном рынок до сих пор ниже уровня 2008 года.

. Региональная структура рынка:

По экспертным оценкам, доли рынков практически не изменились относительно 2010 года в Москве и МО, в УФО и ЮФО, при этом значительно развивался рынок СФО и ДФО, а рынок ПФО и ЦФО сократился в количестве:

Рисунок 4 - Динамика рынка сотовых телефонов и смартфонов по регионам

В абсолютных показателях регионы показали следующие темпы приростов:

Рисунок 5 - Прирост продаж сотовых телефонов в 2011 к 2010 на рынке

Относительно 2010 года максимальный прирост в продажах показали ДФО и СФО, тогда как ПФО и ЦФО (без учета МиМО) показали приросты ниже среднего по стране.

. Структура рынка по вендорам:

В 2011 году тройка лидеров рынка не изменилась: на первом месте остается Nokia, на втором - Samsung, а на третьем - LG:

Рисунок 6.1 - Динамика долей вендоров в продажах сотовых телефонов и смартфонов на рынке

Рисунок 6.2 - Динамика долей вендоров в выручке от продаж сотовых телефонов и смартфонов на рынке

Тогда как в количестве и Nokia, и Samsung улучшили позиции, в выручке Nokia потеряла в доле. Та же тенденция была характерна для SonyEricsson и LG.

. Структура рынка по ввозу:

По экспертной оценке, в Россию в 2011 году было ввезено около 48,6 млн. сотовых телефонов, и только 81,6% было реализовано:

Рисунок 7 - Структура ввоза и реализации сотовых телефонов на рынке по вендорам в 2011 году.

По основным вендорам в среднем около 5-15% ввезенных сотовых телефонов не были реализованы на рынке в 2011 году.

. Структура рынка по виду устройства:

За прошедший год смартфоны показали наибольший по группе анализируемых направлений прирост, достигнув на рынке 19% в количественном и практически 48% в денежном выражении:

Таким образом, на рынке РФ в 2011 году было продано около 7,5 млн. смартфонов. При этом средняя цена реализованного в рознице смартфона составила 11 132 руб, что на 10,9% ниже аналогичного показателя 2010 года.

Рынок сотовых телефонов (без учета смартфонов) составил 32,1 млн. шт, показав прирост к 2010 году в 5,6%. В денежном выражении сегмент сократился на 14,4% до 90,1 млрд. руб. ASP сотового телефона составила 2 804 руб, а это на 18,9% ниже показателя 2010 года:

Рисунок 8.1 - Структура рынка в количестве продаж

Рисунок 8.2 - Структура рынка в выручке от продаж

Рисунок 9 - Динамика рынка сотовых телефонов

В 2011 году наибольшие приросты продаж как в количественном, так и денежном выражении показали продажи смартфонов на системах Android и Bada. Несмотря на низкие темы прироста, устройства на базе Symbian до сих пор занимают лидирующее положение на рынке в количестве, однако, в выручке на первое место вышел Android:

Рисунок 10.1 - Структура рынка смартфонов в количественном выражении

Рисунок 10.2 - Структура рынка смартфонов в выручке

Лидирующие позиции среди вендоров на рынке смартфоновв 2011 в количественном и денежном выражении сохранила Nokia:

Рисунок 11.1 - Структура рынка смартфонов в выручке

Рисунок 11.2 - Структура рынка смартфонов в количественном выражении

Такое распределение долей по вендорам коррелирует с долями ОС на рынке, так как большинство смартфонов на Symbian производит Nokia, тогда как Android - Samsung и HTC и Bada - Samsung.

. Структура рынка по ценовым сегментам:

На рынке сотовых телефонов и смартфонов приходится на ценовой диапазон от 2 000 до 6 000 рублей (43% в количестве и 39,4% в выручке):

Рисунок 12 - Динамика продаж сотовых телефонов и смартфонов по ценовым сегментам на рынке

На рынке наблюдается сужение ценовой категории выше среднего - от 6 000 до 14 000 руб, тогда как верхний ценовой диапазон свыше 14 000 руб. растет. Несмотря на рост доли в ключевых сегментах, доли в диапазоне от 14 000 руб. и выше остаются ниже средней по рынку.

Резюме по рынку сотовых телефонов и смартфонов в 2011 году:

На рынке реализовано около 40 млн. сотовых телефонов и смартфонов по средней цене 4 387 руб. Прирост количества продаж составил 16,7% к 2010 году, тогда как выручки - 16,3%, что было обусловлено:

. продолжающимся ростом прочей розницы (36,8% в количестве и 41,9% в выручке);

. существенным ростом рынков с СФО и ДФО, удержанием доли региона Москвы и МО;

. удержанием позиций Nokia и Samsung, а так же рост продаж HTC и Apple;

. значительным ростом продаж смартфонов, в основном на ОС Android и Bada, удержанием доли Symbian;

. ростом продаж устройств в ценовом диапазоне от 2 000 до 6 000 рублей, а так же свыше 14 000 руб.

. Рынок мобильных компьютеров:

В 2011 году рынок мобильных компьютеров занимал третье место по доле на рынке портативной электроники и показал третий по величине прирост к прошлому году, по сравнению с другими товарными направлениями.

По нашей оценке, за 2011 год было реализовано около 7,8 млн. мобильных компьютеров, что на 65,5% выше аналогичного показателя 2010 года. При этом рынок в денежном выражении составил 154 млрд. руб, что на 46% выше прошлого года. ASP снизилась за год почти на 12% и составила 19,7 тыс. руб.:

Рисунок 13 - Динамика рынка мобильных компьютеров

. Структура по вендорам:

В 2011 году максимальный прирост на рынке показал HP, на втором месте - Lenovo. На рынке МК лидирующие позиции как в количестве, так и в выручке сохраняет Asus. На втором месте остается Samsung:

Рисунок 14 - Динамика долей вендоров в продажах МК на рынке

Как и в количественном выражении, HP и Lenovo улучшили позиции на рынке. Samsung, показавший прирост в количестве ниже среднего по рынку, в выручке увеличил долю.

В структуре рынка в денежном выражении заметнее тенденция роста доли тройки лидеров рынка за счет Samsung и HP, при этом позиции Asus и Acer ухудшаются, а Lenovo постепенно увеличивает долю.

Резюме по рынку мобильных компьютеров в 2011 году:

Рынок МК в 2011 году составил 7,8 млн. шт. в количественном и 154 млрд. руб. в денежном выражении. Прирост к 2010 году составил 65,5% в количестве и 46,3% - в выручке. ASP МК, проданного на рынке, составила 19,7 тыс. руб, что на 11,6% ниже уровня 2010 года.

На приросты рынка оказали влияние:

. значительный рост продаж HP и Lenovo, удержание доли Asus, рост выручки от продаж Samsung при приросте количества продаж несколько ниже уровня рынка - смещение спроса в более дорогой сегмент вендора,

. сохранением спроса на ноутбуки, продажи которых сохраняют около 70% рынка, и рост потребления МК с монитором от 17”.

. Рынок цифровых фотоаппаратов

Продажи на рынке цифровых фотоаппаратов за 2011 год показали прирост в 29,7% к прошлому году и составили 5,5 млн. шт. , средняя цена выросла на 7,9%. Таким образом, рынок в денежном выражении вырос на 40% практически до 41 млрд. руб.:

Рисунок 15 - Динамика рынка цифровых фотоаппаратов

Сегмент зеркальных ЦФ в 2011 году прирос на 102,6% в количестве и на 113,6% в выручке относительно 2010 года. Средняя цена реализованного в рознице зеркального ЦФ составила 24 769 руб, что на 5,4% выше аналогичного показателя 2010 года:

Рисунок 16 - Динамика рынка зеркальных ЦФ.

Сегмент компактных ЦФ показал прирост гораздо ниже сегмента зеркальных ЦФ: всего лишь на 24,6% в количестве и на 18,2% в выручке. Средняя цена компакта на рынке сократилась на 5,1%:

Рисунок 17 - Динамика рынка компактных ЦФ.

. Структура рынка по вендорам:

На рынке цифровых фотоаппаратов максимальный прирост показал Nikon, как в количестве, так и в выручке, на втором месте по приросту - Canon. Остальные лидеры показали приросты ниже среднего по рынку:

Рисунок 18 - Прирост продаж ЦФ на рынке в 2011 к 2010 году.

В 2011 году позиции лидеров рынка зеркальных фотоаппаратов не изменились: на первом месте Canon, на втором - Nikon и на третьем - Sony. В сегменте компактных ЦФ в 2011 году лидировал Sony, на втором месте - Canon, а на третьем - Nikon:

Рисунок 19.1 - Доли вендоров в выручке от продаж на рынке компактных ЦФ

Рисунок 19.2 - Доли вендоров в колическтве продаж на рынке компактных ЦФ

Резюме по рынку цифровых фотоаппаратов:

Рынок цифровых фотоаппаратов в 2011 году составил 5,5 млн. шт, что на 29,7% выше уровня 2010 года. В денежном выражении рынок вырос на 40% практически до 41 млрд. руб. ASP ЦФ выросла на 7,9% и составила 7 412 руб.

.2 Характеристика и основные показатели коммерческой деятельности ООО «DNS»

Компания «DNS» - российская компания, владелец розничной сети, специализирующейся на продаже компьютерной и цифровой техники, а также производитель компьютерной техники. Центральный офис компании находится во Владивостоке. В 1998 году компания DNS открыла свой первый компьютерный магазин в городе Владивосток. Генеральный директор и совладелец компании - Дмитрий Алексеев.

Подразделения компании открыты более, чем в 150 городах различных регионов России, общее количество российских магазинов «DNS» превысило 400. Компания «DNS» успешно развивается на территории Российской Федерации, став крупнейшей розничной сетью по продаже бытовой электроники. Сделав беспрецедентный для Российских розничных сетей шаг - открыв магазин во Владивостоке, компания «DNS» получила уникальный опыт и научилась работать в условиях жесткой конкуренции с лидирующими Европейскими компаниями.

Сегодня «DNS» - один из лидеров цифрового ритейла России, и за годы развития приобрел все необходимые атрибуты «федеральной сети» - разветвлённая сеть розничных магазинов, собственные сервисные и логистические центры, надежные связи с поставщиками и производителями с мировыми именами.

На территории города Ростова-на-Дону 10 магазинов-супермаркетов ООО «DNS», 1 магазин находится в Ростовской области.

Благодаря долголетнему плодотворному партнерству и отлаженным каналом поставок компания получает высококачественную технику на специальных условиях, что позволяет устанавливать в магазинах «DNS» особо привлекательные цены.

«DNS» уделяет особое внимание сервису и качеству товаров. Персональный подход и первоклассное обслуживание - каждому клиенту - приоритет компании.

Принцип дружелюбного сервиса предполагает:

·        все для клиента;

·        индивидуальный подход;

·        достоверность информации.

«DNS» является не только официальным дистрибьютором ведущих мировых производителей электроники, но и является производителем собственной цифровой техники (ноутбуки, компьютеры, мониторы, источники питания и прочие компьютерные аксессуары) под брендами DNS и Airtone. «DNS» имеет производственные заводы на территории Китая России. В России собираются только компьютеры и ноутбуки, а все остальное - это ОЕМ-производство в Китае. При этом планируется увеличить объем локальной сборки.

Ассортимент товаров ООО «DNS» более рациональный, полный и устойчивый. От состава и обновляемости ассортимента непосредственно зависят рост товарооборота и ускорение реализации товаров.

Велика роль ассортиментной политики в конкурентном соперничестве. Чем больше в продаже товаров разных наименований, удовлетворяющих потребности покупателей, тем сильнее конкурентные позиции торгового предприятия в рыночной торговле.

Во внутригрупповом ассортименте товаров магазина ООО «DNS» насчитываются тысячи разновидностей. Учет движения такого огромного ассортимента достигается с использованием современной компьютерной техники. Важным элементом коммерческой работы по сбыту является формирование оптимального ассортимента товаров в магазине.

В DNS представлено более 15 000 наименований товаров (таблица 1):

·        Ноутбуки - более 200 шт;

·        Сотовые телефоны - более 250 шт;

·        Интернет-планшеты - более 30 шт;

·        Цифровые камеры - более 100 шт;

·        Компьютеры - более 40 шт;

·        Телевизоры - более 80 шт;

·        Мониторы - более 80 шт.

Среди многообразия устройств и комплектующих ценами выгодно отличаются два собственных бренда компании: ноутбуки, мониторы, планшеты и системники «ДНС», а также сопутствующие товары «AirTone» (аертон).

Таблица 1 - Ассортимент товара (количественные показатели)

Наименования групп товарного ассортимента

Количественные показатели (ед.)

Компьютеры и комплектующие

2021

Ноутбуки

1153

Планшетные ПК

577

Сотовые телефоны, смартфоны

1925

Телевизоры, медиаплееры и аксессуары

751

Фото и видео

1229

Электронные книги

168

Игры и консоли

121

Аудио

Офисная техника и периферия

2329

Расходные материалы

950

Автоаксессуары, полезные мелочи

533

Программное обеспечение

63

Сетевое оборудование

297


Товары, представленные в любом магазине «DNS», обеспечиваются гарантией производителя и гарантией магазина (сервисной службы). Одна из основных задач компании - организация сервисного обслуживания на современном мировом уровне. Компания «DNS» имеет постоянно расширяющуюся сеть сервисных центров, производящих оперативное и качественное обслуживание всей техники, а также квалифицированную установку крупной бытовой техники.

«DNS» успешно работает на динамично развивающемся рынке цифровой портативной техники.

Сотрудничество с крупнейшими и наиболее профессиональными маркетинговыми и исследовательскими компаниями позволяет своевременно корректировать ассортимент сети «DNS» в соответствии с запросами потребителей, включать в него как проверенные временем модели бытовой техники, так и последние новинки стиля Hi-tech.

Сеть «DNS» ориентирована на самый широкий круг потребителей, поэтому большое внимание уделяется всевозможным потребительским программам, в том числе и программам кредитования. Сеть магазинов-супермаркетов «DNS» в городах России сотрудничает с банками, для выдачи кредитов физическим и юридическим лицам такими, как: Home credit, OTP Bank, Альфа-Банк, РУССКИЙ СТАНДАРТ. Разработаны уникальные кредитные программы, с целью приобретения товара в кредит под минимальный процент и на определённый временной период.

Динамичное развитие и сбалансированная маркетинговая политика позволяют сети «DNS» завоевывать и сохранять лидирующие позиции на рынке цифровой портативной техники.

Основными принципами коммерческой работы ООО «DNS» стали:

·        территория низких цен;

·        большой ассортимент товаров;

·        дружелюбный сервис;

·        агрессивная реклама;

·        привлекательный мерчендайзинг.

Торговый ассортимент ООО «DNS» сбалансирован и устойчив. Ассортимент цифровой техники ООО «DNS» представлен около 7000 наименований товаров.

Партнёрами «DNS» являются такие торговые марки, как: ASUS, ACER, BENQ, D-LINK, GENIUS, CANON, HP, LG, NIKON, PIONEER, SONY и т.д.

Основные показатели коммерческой деятельности ООО «DNS».

Основной вид продаваемого товара ООО "DNS" - цифровая техника и сопутствующие товары. Объемы продаж растут из года в год. Товарооборот ООО "DNS" в целом увеличился за 2009- 2011гг. на 19,7%. Это связано и с увеличением спроса на данный вид товара и ростом цен.

ООО «DNS» предоставляет широкий ассортимент цифровой техники. Цены на реализуемую продукцию ООО «DNS» ниже цен конкурирующих фирм. Основные итоги финансово-хозяйственной деятельности предприятия «DNS» приведены в таблице 2.

Таблица 2 - Итоги финансово-хозяйственной деятельности предприятия ООО «DNS» за период с 2010 по 2011 г.

Показатели

Ед. изм.

2010

2011

Отклонение (+,-)

Темп роста, %

Товарооборот

Тыс.руб

28371

34036

5665

120,0

Численность работников всего

Чел.

49

49

0

100,00

Производительность труда одного работника

Тыс. руб./ чел.

1493,21

1791,37

298,16

119,97

Валовая прибыль

Тыс.руб.

4059

4741

682

116,8

Уровень в % к товарооборот

%

14,3

13,92

-0,38

-

Издержки обращения

Тыс.руб.

3010

4648

1638

154,42

Уровень в % к товарообороту

%

10,61

13,66

3,05

-

Прибыль (убыток) от продаж

Тыс. руб.

1049

93

-956

91,1

Рентабельность продаж

%

0,21

0,27

0,06

-

Проценты к уплате

Тыс.руб.

989

-

989

-

Прибыль (убыток) до налогообложения

Тыс.руб.

60

93

33

155


Из приведенных в таблице данных следует, что данное предприятие работает в целом эффективно. Основной показатель - прибыль в 2011 г. имеет снижение по отношению к отчетному 2010 года на 8,9 %. Валовой доход от продаж товаров имеет прирост на 16,8 %. Издержки обращения по сравнению с другими показателями выросли на 54,42 % (самый большой прирост), что свидетельствует об увеличении статей затрат на осуществление торговой деятельности.

Негативные моменты - это отсутствие прироста прибыли от реализации продукции и численности работников (в % к товарообороту). Остальные показатели также имеют рост в 2008 году по сравнению с предыдущим годом.

Выпуск и реализация товаров высокого качества адекватно отражают социально-экономические интересы, как производителя, так предприятий торговли. От качеств и услуг во многом зависят конкретные преимущества торгового предприятия, его товарная и ценовая политика, успех в коммерческом деле и объемы прибыли.

Именно розничная торговля, реализуя потребительскую стоимость, связывает производство с потреблением и поддерживает балл между спросом и предложением, в этом случае и производители и торговые организации имеют ряд взаимосвязанных социально - экономических интересов.

Общей целью и производителей и торговых организаций является завоевание доверия потребителей, которое и является гарантом стабильной прибыли в результате реализации продукции (таблица 3).

Таблица 3 - Социально-экономические интересы товаропроизводителя и торгового предприятия по выпуску и реализации качественной продукции

Задачи товаропроизводителя

Задачи торгового предприятия

Повышение репутации товаров, обладающих заданными потребительскими качествами

Создание конкурентных преимуществ при купле-продаже товаров

Рост конкурентоспособности товаров

Более полное удовлетворение спроса на товары

Тесное взаимодействие с торговым предприятием

Стимулирование покупательских намерений

Обеспечение устойчивых позиций при закупке продукции

Повышение стабильности в области продажи товаров

Снижение издержек производства

Повышение уровня качества обслуживания покупателей

Выпуск продукции высокого качества

Сокращение затрат при реализации продукции

Удовлетворение интересов потребителей продукции

Снижение издержек

Развитие фонда материального поощрения за выпуск продукции надлежащего качества

Получение гарантированной прибыли от реализации качественной продукции


«DNS» - один из лидеров цифрового ритейла России, и за годы развития приобрёл все необходимые атрибуты «федеральной сети» - разветвлённая сеть розничных магазинов, свои сервисные и логистические центры, надежные связи с поставщиками и производителями с мировыми именами (таблица 4).

Таблица 4 - Мировые производители цифровой техники и аксессуаров

Canon

Тайланд

Panasonic, Sony, Canon, SIGMA, Nikon, Pioneer

Япония

Romer, BlBraun

Германия

BARD, HP, Apple

США

PHILIPS

Нидерланды

Asus, Acer, HTC

Тайвань

LG, Samsung Group

Южная Корея

Nokia

Финляндия


Из анализа приведенных в работе данных следует, что данное предприятие работает в целом эффективно. Основной показатель - прибыль в 2011 г. имеет снижение по отношению к отчетному 2010 года на 8,9 %. Валовой доход от продаж товаров имеет прирост на 16,8 %. Издержки обращения по сравнению с другими показателями выросли на 54,42 % (самый большой прирост), что свидетельствует об увеличении статей затрат на осуществление торговой деятельности.

.3 Повышение конкурентоспособности товара неценовыми факторами на примере ООО «DNS»

С 2007 года был значительно расширен ассортимент компьютерной техники в супермаркетах «DNS». С 2008 года в связи с резко возросшим спросом населения (особенно молодежи) на мобильные телефоны, была значительно увеличена номенклатура этого вида электронной техники и расширена сбытовая сеть.

Расширение ассортимента и обновление товаров, пользующихся повышенным спросом у населения является одним из основных путей совершенствования коммерческой деятельности супермаркета. Эффективным методом поддержания конкурентоспособности является продажа продукции повышенного качества. От качества предложенной покупателю бытовой техники во многом зависят его конкурентные возможности, товарная и ценовая политика, успех в коммерческом деле и прибыль.

В магазине-супермаркете «DNS» постоянно представлены разнообразные марки электронной и цифровой техники, как LENOVO, SAMSUNG, HP, PHILIPS, APPLE, SONY, ASUS, LG, ACER, BOSCH, JVC, BRAUN, DNS, WHIRLPOOL, INDESIT, DELONGI, STINOL, ARISTON, и др. Товары этих фирм соответствуют современным качествам продукции и покупательскому спросу.

Благодаря прямым и хорошо отлаженным связям с данными поставщиками, «DNS» занимает устойчивую позицию и место на отечественном рынке.

Обеспечение и поддержание на заданном уроне конкурентоспособности как представленных покупателям товаров, так и торгового предприятия являются залогом успешной коммерческой деятельности «DNS».

Основными путями совершенствования коммерческой деятельности ООО «DNS» можно назвать следующее:

·        более полное удовлетворение спроса на товары;

·        создание конкурентных преимуществ при купле-продаже товаров;

·        повышение надежности продажи товаров;

·        стимулирование покупательских намерений;

·        улучшение обслуживания покупателей, предоставление торговых и сервисных услуг, направленных на интересы покупателей.

Потребитель из двух однородных товаров всегда выбирает тот, чья цена ниже, а из двух товаров с одинаковыми ценами - тот, чьи потребительские свойства выше. Поэтому в борьбе за потребителя ООО «DNS» активно использует ценовые и неценовые факторы повышения конкурентоспособности - снижение цены, относительно конкурентов, и повышение качества предлагаемых товаров.

Таблица 3 - Неценовые факторы конкурентоспособности

Неценовые факторы конкурентоспособности

Дополнительные возможности

1. Снижение цены потребления

Снижение расходов на эксплуатацию у потребителя. Возможность повышения цены продукции.

2.Выпуск наукоемкой продукции

Повышение научно-технического уровня производства, расширение возможностей фирм, потребителей, освоение новых областей деятельности.

3.Минимизация сроков поставки товара

Потребитель имеет возможность быстрее, чем конкуренты, применить новейшую технику и получать повышенную прибыль. Доверие к поставщику.


Неценовые методы предполагают изменение свойств продукции, придание ей качественно новых характеристик, создание новых изделий для удовлетворения тех же потребностей, предложение продукции, не существовавшей на рынке, совершенствование комплекса услуг, сопутствующих товару (демонстрация товара, увеличение срока гарантийного ремонта и т. д.). Важным фактором неценовой конкуренции является экономичность и минимизация сроков поставки, которые могут соблюдаться в условиях доставки нужной продукции заданного качества в обозначенные договорными условиями место и время, с учетом минимальных совокупных затрат по транспортировке продукции. Нельзя не выделить и такой фактор неценовой конкуренции, как создание мощной сбытовой сети и службы сервиса.

На предприятии ООО «DNS» маркетологами разработана методика повышения конкурентоспособности предприятии неценовыми факторами и выработаны стратегии их реализации. Методика повышения конкурентоспособности товара делится на 3 группы: методы обеспечения конкурентных преимуществ организации за счет изменения потребительских характеристик товаров и услуг, с целью повышения потребительской ценности; методы стимулирования сбыта и методы рекламы и связей с общественностью.

Первая группа - «методы обеспечения конкурентных преимуществ организации за счет изменения в лучшую сторону различных потребительских характеристик товаров и услуг, с целью повышения потребительской ценности». Этот метод включает в себя:

·        внедрение новых товаров (дифференциация товаров);

·        внедрение товаров, обладающих новыми потребительскими свойствами, улучшенным качеством, более совершенным дизайном, более красивой упаковкой (дифференциация потребительских свойств товара).

Посредствам этого метода «DNS» осуществляют следующие задачи:

·        расширение перечня потребительских свойств предлагаемых и производимых товаров;

·        признание на определённом секторе рынка за счет разнообразия предлагаемых товаров ранее сформированного ассортимента;

·        внедрение новых форм продажного и послепродажного сервиса, чтобы привлечь новые категории потребителей, побудить к более частому использованию товаров и разовой покупке большего количества товаров.

Вторая группа - методы стимулирования сбыта. Это кратковременные меры денежного или материального характера, поощряющие покупку товара - система скидок, подарочные карты, кредиты, предпродажное и послепродажное сервисное обслуживание.

Стимулирование сбыта имеет многоцелевую направленность. Выбор цели зависит от объекта предстоящего воздействия - потребителя или торгового посредника.

Потребитель обладает наибольшей значимостью, и вся политика маркетинга сводится к воздействию именно на потребителя. Цели стимулирования сводятся к увеличению числа покупателей или увеличению количества товара, купленного одним и тем же покупателем. К средствам стимулирования продаж для покупателей относятся: премии, лотереи, скидки с цены, торговая скидка, купоны, распродажи, игры и конкурсы, клубы потребителей, «этикеточные мероприятия». Торговый посредник, являясь естественным звеном между производителем и потребителем, представляет собой специфический объект стимулирования, выполняющий в данном случае регулирующие функции. При этом цели стимулирования могут быть направлены на то, чтобы:

·        придать товару определенный имидж, чтобы сделать его легко узнаваемым;

·        увеличить количество товара, поступающего в торговую сеть;

·        повысить заинтересованность посредника в активном сбыте той или иной марки и т. д.

Средствами стимулирования сбыта для торговых посредников являются: премии и подарки, торговые премии, компенсации затрат на рекламу, призы, выставки продажи, сувениры, торговые брошюры.

ООО «DNS» сопоставляет и анализирует альтернативные варианты продажи своего товара, пересматривает цены и скидки в зависимости от происходящих на рынке изменений.

Третья группа - методы рекламы и связей с общественностью. Активно используется данный метод, являясь наиболее результативным. Реклама распространяется в любой форме с помощью любых средств информация о предприятии, товаре, акциях и скидках. Реклама предназначена формировать и поддерживать интерес к «DNS» и способствовать реализации товаров.

Использование телевизионной рекламы информирует потенциального покупателя «DNS», является самой массовой и самой дорогой формой рекламы.

ООО «DNS» имеет собственный журнал - каталог продаваемых товаров, тираж до 300 000 и частотой выпуска - 1 месяц.

На рекламных наружных щитах помещена информация о товарах - хитах продажи. В наружной рекламе главную роль играет фактор повторяемости, размещение в специально отобранных местах, которые регулярно попадают в поле зрения большого количества людей.конкурентной политике товара принимаются во внимание, прежде всего, его функциональное назначение, надежность, долговечность, удобство использования, эстетичность внешнего вида, и другие характеристики, то есть способность товара удовлетворять совокупные потребности покупателя лучше, чем товары-конкуренты. Создание такой потребительской ценности товара, которая включала бы в себя всю совокупность свойства данного товара, а также сопутствующих ему, является важнейшим условием выживания на рынке.

ООО «DNS» являюсь и предприятием розничной торговли и производителем, создавая конкурентоспособный товар, применяет различные стратегии:

·        добиться отличия товаров собственного производства в глазах покупателей от товаров конкурентов;

·        выбрать из намеченных к производству товаров один, являющийся наиболее привлекательным для всех покупателей, и осуществить на этой основе прорыв на рынке;

·        своевременно изъять экономически неэффективный товар из сбытовой программы предприятия;

·        найти выход на новые рынки как со старыми, так и с новыми товарами;

·        осуществлять модификацию выпускаемых товаров в соответствии с новыми вкусами и потребностями покупателей;

·        регулярно развивать и совершенствовать систему сервисного обслуживания реализуемых товаров и систему стимулирования сбыта в целом.

К неценовым факторам, используемым ООО «DNS» для повышения конкурентоспособности продукции относятся: обеспечение качества продукции, торговая марка (бренд), организация каналов реализации продукции, реклама, послепродажное обслуживание, новизна продукции. В современной рыночной экономике особое значение в обеспечении конкурентоспособности продукции приобретают параметры, связанные с процессом реализации, логистикой и снижением издержек товародвижения, послепродажным обслуживанием. Конкурентоспособность продукции проявляется через имидж фирмы, т.е. через представление покупателей об этой фирме, основанное на ее деловой репутации. Говоря о качестве продукции, мы выделяем технические, эстетические и нормативные параметры. [2, с. 115]

При выборе путей повышения конкурентоспособности товара нередко бывает очень своевременным решение не о запуске нового, не о снятии с производства морально устаревшего, а о модификации товара. Решение о модификации товара принимается в целях удовлетворения особых требований покупателей для получения большей прибыли.

Бесспорным является и развитие такого направления повышения конкурентоспособности товара, как своевременное оказание комплекса услуг, связанных со сбытом и использованием машин, оборудования и другой промышленной продукции и обеспечивающих их постоянную готовность к высокоэффективной эксплуатации, то есть сервисное или послепродажное обслуживание».

Стратегия повышения качества товара является важнейшей составной частью стратегии фирмы. Объектами прогнозирования являются показатели качества товара, уступающие аналогичным показателям товаров конкурентов.

В конечном итоге ООО «DNS» нацелено на:

·        постоянное внедрение в производство новых, более совершенных изделий;

·        неуклонное сокращение всех видов затрат на производство продукции;

·        повышение качественных и потребительских характеристик при снижении цен на выпускаемые изделия, что и должно в итоге создать условия для победы в конкурентной борьбе.

Рекомендуется внедрить в практику такие способы стимулирования продаж, как:

·        прием предварительных заказов на товары;

·        бонусные скидки;

·        распространение купонов;

·        конкурсы, лотереи, викторины, радиотелевизионные игры;

·        представление дополнительного отпуска лучшим продавцам-консультантам;

·        распространение среди покупателей буклетов и каталогов о товарах лучших производителей;

·        совершенствование рекламно-информационной деятельности по имиджу фирмы и сбыту товаров.

Заключение

Таким образом, конкурентоспособность продукции - это комплексная многоаспектная характеристика, отражающая способность продукции в течение периода ее производства соответствовать по качеству требованиям конкретного рынка, адаптироваться по соотношению качества и цены к предпочтениям потребителей, обеспечивать выгоду производителю при ее реализации.

Можно сделать вывод, что ООО «DNS» продолжает развиваться, превращаясь в стабильную и эффективную организацию, способную конкурировать на рынке в области продажи цифровой техники и электроники, ориентированную на требования клиентов и высокое качество продукции. За все время работы компания ООО «DNS» зарекомендовала себя как надежный партнер, стабильная в финансовом отношении фирма.

В условиях современного бизнеса конкурентоспособность любого предприятия, вне зависимости от его размеров, зависит в первую очередь от качества его продукции и соизмеримости ее цены с предлагаемым качеством. Высокое качество продукции, удовлетворяющее ожиданиям потребителя, является важным фактором принятия решений в пользу покупки именно данного товара или услуги.

На конкурентоспособность оказывают свое влияние определенные факторы. В настоящее время существует большое количество классификаций факторов конкурентоспособности продукции, особое внимание уделяется изучению неценовых факторов. Использование методов неценовой конкуренции позволяет крупнейшим фирмам проводить на рынке более гибкую политику.

Для определения конкурентоспособности продукции на основе выбранных критериев используют различные показатели. Для сопоставления величины различных показателей, характеризующих конкурентоспособность товара на разных стадиях его жизненного цикла, они были разделены на две большие группы: стоимостные (себестоимость, выручка, инвестиции и др.) и качественные (послепродажное обслуживание товара, уровень известности, реклама и др.).

С целью повышения конкурентоспособности продукции необходимо внедрять комплексные мероприятия по повышению конкурентоспособности соответствующего предприятия, отрасли, страны. Безусловно, для обеспечения прибыльной работы ООО «DNS» необходимо иметь объективную информацию о формировании финансовых результатов и влиянии различных факторов на них.

Из краткого анализа приведенных в работе данных следует, что данное предприятие работает в целом эффективно. Основной показатель - прибыль в 2011 г. имеет снижение по отношению к отчетному 2010 года на 8,9 %. Валовой доход от продаж товаров имеет прирост на 16,8 %. Издержки обращения по сравнению с другими показателями выросли на 54,42 % (самый большой прирост), что свидетельствует об увеличении статей затрат на осуществление торговой деятельности.

В результате оценки конкурентоспособности продукции предприятие (производитель) может быть приняты следующие пути повышения конкурентоспособности:

·        изменение состава, структуры применяемых материалов (сырья, полуфабрикатов), комплектующих изделий и/или конструкции продукции;

·        изменение порядка проектирования продукции;

·        изменение технологии изготовления продукции; методов испытаний, системы контроля качества изготовления, хранения, упаковки, транспортировки и монтажа;

·        изменение цен на продукцию, цен на услуги, по обслуживанию и ремонту, и цен на запасные части;

·        изменение порядка реализации продукции на рынке;

·        изменение структуры и размера инвестиции в разработку, производство и сбыт продукции;

·        изменение структуры и объемов кооперационных поставок при производстве продукции и цен на комплектующие изделия и состава выбранных поставщиков;

·        изменение системы стимулирования поставщиков;

·        изменение структуры импорта и видов импортируемой продукции.

У анализируемого торгового предприятия, как и любого другого, есть как внутренние (текучесть кадров), так и внешние проблемы (конкуренция, административные барьеры). Поэтому для обеспечения более эффективной работы предприятия и получения более высокой прибыли необходимо:

·        увеличение объема торговли и реализации продукции;

·        снижение доли некачественной продукции;

·        повышение качества торгуемой продукции и т.д.

Главным подходом при этом является выпуск как можно большего количества новой, пользующейся повышенным спросом продукции, цены на которую будут ниже, чем у конкурентов, а качественные характеристики - выше.

Список литературы

1.   Ахматова М., Попов Е.. Теоретические модели конкурентоспособности, журнал «Маркетинг». - 2009. - №4. - с. 25-38.

2.      Гаврилова З. В.. Повышение конкурентоспособности на основе брендинга. - М.: ИНФРА-М, 2011. - 115с.

.        Герасимов Б. И., Мозгов Н. Н.. Маркетинговые исследования рынка: учебное пособие. - М.: ФОРУМ, 2012. - 256 с.

.        Голубков Е.П.. Изучение и завоевание преимуществ в конкурентной борьбе, журнал «Маркетинг в России и за рубежом». - 2009. - №2. - с. 27-43.

.        Дихтль Е., Хершген Х.. Практический маркетинг. - М.: Высшая школа, 2010. - 64 с.

.        Дурович А. П.. Маркетинговые исследования. - М: ТетраСистемс, 2009. - 432 с.

7.      Захаров А.Н.. Конкурентоспособность предприятия: сущность, методы оценки и механизмы увеличения // www.logistics.ru <http://www.logistics.ru/>

.        Козлов Д. В.. Инновации как ключевой фактор повышения конкурентоспособности предприятий, журнал «Молодой учёный». - 2011. - №9. - с. 94-97.

.        Костина Г. Д., Моисеева Н. К.. Поведение потребителей на рынке товаров и услуг. - М.: Омега-Л, 2010. - 116 с.

.        Латышова Л., Пантелеева Е. Влияние внутреннего маркетинга на результативность бизнеса, журнал: "Маркетинг и маркетинговые исследования". - 2009. - №1. - 18 с.

.        Лукина А. В.. Маркетинг товаров и услуг. - М.: Форум, 2010. - 154 с.

.        Марданова Э. Эффективность маркетингового продвижения и ее оценка, журнал: "Маркетинговые коммуникации". - 2011. - №5. - 29с.

.        Муравьева Н. Н.. Маркетинг услуг. - М.: Феникс, 2009. - 214 с.

.        Наумов В.Н.. Поведение потребителей - СПб.: СПбГУЭФ, 2009. - 25 с.

.        Ойнер О. К.. Современные потребительские тренды и удовлетворенность потребителя: монография. М.: ИНФРА-М, 2012. - 113 с.

.        Парамонова Т. Н., Красюк И. Н.. Конкурентоспособность предприятия розничной торговли. - М.: Кнорус, 2012. - 105 с.

.        Пармененков К. Н.. Управление процессом развития конкуренции и монополизации в условиях повышения конкурентоспособности России. - М.: ИНФРА-М, 2012. - 73 с.

.        Рубин Ю.. Конкуренция: 10 правил успешного дебюта, журнал «Управление компанией». - 2009. - №5. - 27 с.

.        Скрынникова И. А.. Маркетинг в сфере услуг. - М.: МГУ, 2012. - 198с.

.        Терещенко В.М.. Маркетинг: новые технологии в России. - Спб.: Питер, 2010. - 416 с.

.        Филимоненко И., Худоногов А. Технология исследования конкурентов на рынке потребительской продукции предварительного выбора, журнал: "Маркетинг и маркетинговые исследования". - 2010. - №2. - 34 с.

.        Филобокова Л. Ю.. Методические подходы к оценке конкурентоспособности и предпринимательского риска в предпринимательстве, журнал "Экономический анализ: теория и практика". - 2009. - №5(134). - с. 7-10.

.        Фляйшер К.. Стратегический и конкурентный анализ. Методы и средства конкурентного анализа в бизнесе. - М.: Бином, 2009. - 541 с.

.        Холопов А.. Российская экономика. Пути повышения конкурентоспособности. - М.: Журналист, 2009. - 223 с.

.        Холопова А. В.. Российская экономика: пути повышения конкурентоспособности. - М.: Дипакадемия, 2009. - 469 с.

Похожие работы на - Неценовые факторы повышения конкурентоспособности товара на примере ООО 'DNS'

 

Не нашли материал для своей работы?
Поможем написать уникальную работу
Без плагиата!
Без нейросетей!