Синтез систем з підпорядкованим регулюванням

  • Вид работы:
    Курсовая работа (т)
  • Предмет:
    Физика
  • Язык:
    Украинский
    ,
    Формат файла:
    MS Word
    585,27 Кб
  • Опубликовано:
    2013-11-12
Вы можете узнать стоимость помощи в написании студенческой работы.
Помощь в написании работы, которую точно примут!

Синтез систем з підпорядкованим регулюванням

СПИСОК УМОВНИХ СКОРОЧЕНЬ ТА ПОЗНАЧЕНЬ

ТАУ - теорія автоматичного управління;

САУ - система автоматичного управління;

САР - система автоматичного регулювання;

МО - модульний оптимум;

СО - симетричний оптимум;

СІФР - система імпульсно-фазового регулювання;

ТП - тиристорний перетворювач;

ЕРС - електрорушійна сила;

ДПС - двигун постійного струму;

ПІ- регулятор - пропорційно-інтегруючий регулятор.

ВСТУП

Теорія автоматичного управління (ТАУ) вивчає принципи побудови систем автоматичного керування і закономірності процесів, що в них протікають, які вона досліджує на динамічних моделях реальних систем з урахуванням умов роботи, конкретного призначення та конструктивних особливостей керування об'єкта і автоматичних пристроїв, з метою побудови працездатних і точних систем автоматичного управління (САУ).

САУ можна розділити на дві характерні групи, які відрізняються одна від одної як за принципом управління, так і за особливостями функціонування, - розімкнуті САУ, що базуються на принципі керування за збуренням, і замкнуті САУ, які діють на основі принципу керування за відхиленням.

При відхиленні від стану рівноваги в надходженні та витратах енергії через дію збурень у системі виникає відхилення регульованої величини від заданого значення. Це приводить до включення в роботу регулятора, який намагається його зменшити, внаслідок цього виникає перехідний процес. Основним завданням ТАУ є оцінка поведінки САУ у перехідних режимах.

Важливим є дослідження поведінки САК у стані рівноваги, де визначаються статична точність та інші статичні характеристики системи.

Можна виділити основні особливості ТАУ:

) оцінка САУ в перехідних режимах за характеристиками окремих ланок системи;

) тісний взаємозв’язок в дослідженні питань динаміки і статики;

) вивчення САУ, різних за своїми фізичними властивостями.

Отже, ТАУ можна визначити як науку, що вивчає статичні та динамічні властивості САУ, принципи побудови структурних схем, методи вибору параметрів на основі вимог якості системи.

Основною метою курсової роботи є отримання та закріплення відповідних знань і вмінь:

з принципів побудови і синтезу САУ;

з проведення математичного опису, моделювання та дослідження САУ;

з проведення розрахунків з використанням обчислювальної техніки.

Завдання курсової роботи:

У структурній схемі автоматизованого електроприводу, схема якого наведена в додатку А, а вхідні параметри наведені в таблиці, розрахувати передатні функції всіх ланок САУ, забезпечити налаштування внутрішнього та зовнішнього контурів регулювання на МО та СО, провести розрахунки відповідних регуляторів. Провести моделювання поведінки перехідних процесів у системі за умови ненавантаженого та навантаженого об’єкта управління. Провести розрахунок кута струмообмеження.

№ вар.

Rя, Ом

Lя, мГн

Uян,В

Iян, А

nн, об/хв

J, кг∙м2

Iяmax/Iян=k

39

0.40

31

202

36

962

0.34

2.6

1. РОЗРАХУНОК ДВИГУНА ПОСТІЙНОГО СТРУМУ ЯК ОБ'ЄКТА УПРАВЛІННЯ

Для розрахунку використовуємо схеми двигуна постійного струму з незалежним збудженням (ДПС-НЗ), зображений на рис.1.1.

Рис. 1.1 − Розрахункова схема ДПС-НЗ

Вихідною величиною в даному разі буде швидкість обертання ω, яка регулюється зміною напруги U, що подається до якірного кола двигуна. Таким чином, треба встановити в динаміці залежність ω=f(u). Для якірного ланцюга на основі закону Кірхгофа справедливе наступне рівняння:

 (1.1)

де  − індуктивність і активний опір кола якоря;

епр − проти ЕРС (електрорушійна сила) двигуна, яка рівна

Для режиму розгону двигуна можна записати рівняння динаміки у вигляді


де  − відповідно динамічний, двигуновий і статичний моменти двигуна. Коли статичний момент невеликий, тобто , можна записати

,

,

де J − момент інерції двигуна; с − стала струму; iя - струм в якірному ланцюгу.

Підставляючи знайдене значення  у рівняння електричної рівноваги кола якоря двигуна, після деяких перетворень отримаємо

. (1.2)

Введемо позначення:

 (1.3)

Коефіцієнт двигуна  визначимо за паспортними даними для номінального режиму в статиці.

В системі вимірювань СІ коефіцієнти се та с рівні між собою (се=с):

,

звідки

. (1.4)

Тоді при


Звідси:

Підставимо числові значення та обрахуємо:

,

При цьому рівняння динаміки двигуна постійного струму в операторній формі матиме вигляд:


Та остаточно передатна функція двигуна буде мати такий вигляд:

. (1.5)

Аналіз передаточної функції двигуна постійного струму з незалежним збудженням може бути представлений послідовним з'єднанням аперіодичної ланки першого порядку та інтегруючої ланки, охопленої від'ємним зворотним зв’язком за частотою обертання.

Рисунок 1.2 - Структурна схема двигуна постійного струму

З урахуванням наведеної структурної схеми двигуна отримуємо повний вираз для передаточної функції залежно від обох зовнішніх впливів:


Спростимо вираз зробивши заміни (1.3):

 (1.6)

2. СКЛАДАННЯ РІВНЯННЯ ТИРИСТОРНОГО ПЕРЕТВОРЮВАЧА

Безперервний сигнал керування , що надходить до тиристорного перетворювача (ТП), подається насамперед до системи імпульсно-фазового регулювання (СІФР), яка є частиною ТП. З її допомогою сигнал перетворюється на послідовність керуючих імпульсів, які формуються генератором імпульсів і мають відповідне відхилення по фазі щодо моменту відкриття тиристора. Змінюючи величину відхилення фази керуючих імпульсів, тиристорний перетворювач виконує зворотне перетворення дискретних сигналів у кусково-безперервний сигнал вихідної величини  або, який подається в якірне коло двигуна М.

При точному розгляді процесів, що відбуваються в тиристорному перетворювачі, він повинен розглядатись як нелінійний дискретний елемент системи управління.

Рисунок 2.1 - Схема тиристорного перетворювача

Керуючим вхідним сигналомдля ТП є вихідна напруга регулятора , вихідним сигналом - силова напруга . Робота ТП пояснюється наступною діаграмою:

Рисунок 2.2 − Графік напруг ТП

При Uр=0, α=1800, Uтп=0;

при Uр=Uсх max, α=00, Uтп = Umax.

Таким чином дотримується пропорція в проміжних значеннях:

при Uр=Uсх max/2, α=900, Uтп= Umax/2

Система імпульсно-фазного регулювання (СІФР) синхронно зі зміною напруги в мережі видає імпульси на тиристори. Як наслідок на вхід пройде частина синусоїди в залежності від кута α.

Як елемент системи ТП має малу інерціонність, що пов’язана з процесом комутації тиристорів, а також має запізнення. Це зумовлено дискретним характером роботи ТП: якщо після відкривання будь-якого тиристора змінюється значення Uр, то відповідна зміна у відкритті тиристорів виконається лише в наступній на півхвилі. Відповідно затримка на одну фазу τ=1/2f, τmax=0.01 c для однофазної мережі і τmax=0.0033 c для трифазної мережі.

Таким чином крива зміни вихідної напруги ТП при поданні сигналу Uр буде наступна:

Рисунок 2.3 − Крива зміни вихідної напруги ТП

Ця крива може бути апроксимована аперіодичною ланкою 1-го порядку без запізнення.

В результаті отримаємо наступну передатну функцію ТП:


Для трифазних ТП мала постійна часу Тμ=0,01с, а коефіцієнт передачі ТП дорівнює:


Отже, передатна функція ТП:


3. РОЗРАХУНОК ЗДАВАЧІВ СТРУМУ І ЧАСТОТИ ОБЕРТАННЯ ДПС

Функціями здавачів є перетворення вимірювальних величин в електричний уніфікований сигнал.

При цьому максимальне значення вимірювальної величини повинно відповідати так званій напрузі схеми Uсх, під якою розуміють номінальне значення сигналів у схемі управління.

Сучасні схеми побудовані на основі транзисторів, операційних підсилювачів та інтегральних мікросхем, в яких величини сигналів складають 5 - 10 В. Візьмемо Uсх таким, що дорівнює 10 В.

а) Розрахунок коефіцієнта передачі здавача струму.

Чутливим елементом для здавача струму є шунт. Шунт являє собою прецизійний опір, стійкий до температурних коливань. Значення опору обирається таким, що при номінальному струмі, який проходить через нього, падіння напруги складало 75 мВ.

Тому коефіцієнт передачі здавача струму мАтиме вигляд:

КДС=UДС /ія=Uсх /Ія мах.= Uсх /k ія∙ (3.1)

Підставимо числові значення:


б) Розрахунок здавача частоти обертання ДПС.

Розрахунок здавача частоти обертання ДПС будується на основі тахогенератора, який перетворює механічне обертання вала в електричний сигнал. Отже, коефіцієнт передачі здавача частоти обертання буде

КДШ=UДШ /ω=Uсх /ωн. (3.2)

де

Підставимо числові значення:


4. СИНТЕЗ СИСТЕМИ ПІДПОРЯДКОВАНОГО РЕГУЛЮВАННЯ УПРАВЛІННЯ ЕЛЕКТРОПРИВОДУ

Розрахунок внутрішнього контуру за умови його налаштування на МО.

Відповідно до схеми, наведеної в додатку А, САК двигуна постійного струму з незалежним збудженням буде мати два контури регулювання: внутрішній (контур струму) і зовнішній (контур регулювання швидкості обертання двигуна). Незмінна частина внутрішнього контуру з урахуванням тиристорного перетворювача буде мати наступний вигляд (рис. 4.1).

Рисунок 4.1 - Незмінна частина внутрішнього контуру САК ДПС з незалежним збудженням

 - тиристорний перетворювач;

 - якірне коло; - здавач струму)

Така незмінна частина характерна для багатьох об’єктів управління, а в даному випадку для ДПС, причому .

При настроюванні на МО до даної системи необхідно ввести регулятор струму  і забезпечити структурну компенсацію елементів кола зворотного зв’язку шляхом введення компенсаційного елемента послідовно до контуру регулювання (рис.4.2). Тоді у результаті компенсації систему можна розглядати як систему з одиничним зворотним зв’язком.

Рисунок 4.2 - Структурна компенсація передатної функції датчика струму

Відповідно до принципу структурно-параметричної оптимізації зобразимо САК ДПС у вигляді послідовного сполучення незмінної частини, яка підлягає компенсації, фільтра, що забезпечуватиме необхідну швидкість перехідного процесу в системі, та регулятора, який безпосередньо структурно компенсує незмінну частину. Всі ці елементи охоплені одиничним від’ємним зворотним зв’язком (рис.4.3).

Рисунок 4.3 - Еквівалентна схема САК ДПС зображена у відповідності до принципів структурно-параметричної оптимізації

 − регулятор, який забезпечує налаштування внутрішнього контуру на МО;

 − фільтр;

 − незмінна частина внутрішнього контуру, що підлягає компенсації)


, (4.1)

де  − передатна функція регулятора і-го контуру для налаштування його на МО; − незмінна частина і-го контуру;  − постійна часу перехідних процесів у системі. Взагалі дана САУ 2-контурна, тому і = 1, 2, а внутрішньому контуру відповідає значення і =1. Відповідно розрахунок регулятора для налаштування внутрішнього контуру на МО необхідно провести відповідно виразу

. (4.2)

Підставивши до виразу (2.17) значення передатної функції , отримаємо


Отже, для налаштування на МО внутрішнього контуру в нього необхідно ввести ПІ-регулятор струму з коефіцієнтами налаштування

 (4.3)

Підставимо числові значення:

 (4.4)

 (4.5)

При цьому передатна функція внутрішнього контуру буде відповідати передатній функції фільтра Баттерворса 2-го порядку:

 (4.6)

Промодулюємо систему, за умови налаштування внутрішнього контуру на модульний оптимум (МО) в пакеті прикладних програм для вирішення завдань технічних обчислень MATLAB R2008a.

Схема моделювання наведена в додатку Б.

Розрахунок внутрішнього контуру за умови його налаштування на СО.

Для забезпечення налаштування контуру регулювання на СО до контуру регулювання, що настроєний на МО (рис.4.3), вводиться додатковий ПІ-регулятор

 (4.7)

Рисунок 4.4 - Структурна схема внутрішнього контуру САК ДТС за умови його налаштування на СО

Параметри ПІ-регулятора  (4.7) розраховуються за умови, що поліном знаменника передатної функції контуру регулювання (рис.4.4) повинен відповідати знаменнику фільтра Баттерворса відповідного порядку. Проведемо відповідні розрахунки.

Розрахуємо передатну функцію розімкненого контуру регулювання струму (рис.4.4):

 (4.8)

Передатна функція замкненого контуру регулювання буде дорівнювати:

 (4.9)

Підставивши відповідні значення з урахуванням виразів (4.2), (4.3), (4.5) та , маємо:

 (4.10)

Спростимо вираз:

 (4.11)

Очевидно, що знаменник передатної функції (4.11) буде відповідати знаменнику фільтра Баттерворса 3-го порядку за умови:

 (4.12)

 (4.13)

 (4.14)

При цьому передатна функція замкнутого внутрішнього контуру регулювання за умови налаштування на СО буде дорівнювати:

 (4.15)

Налагодження системи на СО забезпечує оптимальний час перехідного процесу, дозволяє уникнути статичної помилки за навантаженням, але при цьому значно зростає перерегулювання (≈40%). Цього можна уникнути, якщо послідовно до контуру регулювання, налаштованого на СО, ввести компенсуючий елемент з передатною функцією, що дорівнює:

 (4.16)

що забезпечує приведення до фільтра Баттерворса не тільки в знаменнику, але й у чисельнику.

Промодулюємо систему, за умови налаштування внутрішнього контуру на симетричний оптимум (СО) в пакеті прикладних програм для вирішення завдань технічних обчислень MATLAB R2008a.

Схема моделювання наведена в додатку В.

Розрахунок параметрів регулятора за умови налаштування
зовнішнього контуру на МО. Структурна схема зовнішнього контуру буде включати в себе механічну частину, налаштований на МО внутрішній контур, який виконує роль фільтра, що забезпечує необхідну швидкість перехідних процесів у системі (розділ 4.1), а також регулятор швидкості, параметри якого є визначеними за умови налаштування контуру на МО. Перед тим як проводити налаштування зовнішнього контуру на модульний оптимум, необхідно забезпечити компенсацію передатної функції кола зворотного зв’язку зовнішнього контуру за методикою, наведеною в розділі 4.1, та послідовно до контуру регулювання ввести компенсуючу ланку. Після цього зовнішній контур можна розглянути у вигляді, наведеному на рис.4.5.

Рисунок 4.5 - Зовнішній контур регулювання швидкості ДПС

Розрахунок структури і параметрів регулятора проводиться за формулою (4.2) за умови, що і=2, а як об’єктом регулювання, який підлягає структурній і параметричній компенсації, буде виступати ланка

 (4.17)

З урахуванням вище зазначеного, передатна функція регулятора, за умови налаштування зовнішнього контуру на МО, дорівнює

 (4.18)

Підставимо числові значення:


На основі отриманого вище виразу (4.18) можна зробити висновок про те, що для забезпечення налаштування зовнішнього контуру на МО до контуру швидкості необхідно ввести П-регулятор з коефіцієнтом налаштування, який дорівнює значенню  (4.18). При цьому передатна функція зовнішнього контуру регулювання буде дорівнювати передатній функції фільтра Баттерворса 3-го порядку:

 (4.19)

Якщо промоделювати систему, то можна виявити наявність статичної похибки вихідного сигналу w за навантаженням Мс, але інші показники якості перехідних процесів у системі будуть оптимальними.

Промодулюємо систему, за умови налаштування зовнішнього контуру на модульний оптимум (МО) в пакеті прикладних програм для вирішення завдань технічних обчислень MATLAB.

Схема моделювання наведена в додатку Г.

Розрахунок параметрів регулятора за умови налаштування
зовнішнього контуру на СО.

Аналогічно до налаштування внутрішнього контуру на симетричний оптимум (розділ 4.2), для налаштування зовнішнього контуру на СО до прямого ланцюга контуру регулювання швидкості послідовно вводиться ПІ-регулятор з передатною функцією

 (4.20)

Значення  та  вибираються такими, щоб знаменник передатної функції замкнутого зовнішнього контуру, налаштованого на МО, дорівнював знаменнику фільтра Баттерворса відповідного порядку.

З урахуванням сказаного вище розрахуємо  і .

Передатна функція розімкнутого зовнішнього контуру, налаштованого на МО, дорівнює

 (4.21)

Передатна функція розімкнутого зовнішнього контуру за умови його налаштування на СО буде дорівнювати

 (4.22)

Відповідно передатна функція замкнутого зовнішнього контуру за умови його налаштування на симетричний оптимум дорівнює:

(4.23)

Рівняння знаменника передатної функції  знаменнику фільтра Баттерворса 4-го порядку може бути забезпечено за умови, що

 (4.24)

 (4.25)

При цьому в системі не буде статичної похибки за навантаженням, будуть оптимальними показники перехідних процесів за винятком перерегулювання, яке може набувати великих значень ~50%.

Подолати цей недолік можна, якщо послідовно до зовнішнього контуру регулювання ввести ланку

 (4.26)

Схема моделювання наведена в додатку Д.

5. РОЗРАХУНОК КУТА СТРУМООБМЕЖЕННЯ

Струм якоря визначається величиною керуючого сигналу, який надходить до регулятора струму. При  неузгодження на вході регулятора струму додається, регулятор струму збільшує свій вихідний сигнал, відповідно збільшується напруга тиристорного перетворювача і зростає струм  (і оберти двигуна). І навпаки, при  напруга тиристорного перетворювача зменшується, відповідно зменшується і струм  (оберти двигуна в цьому випадку зменшуються).

Отже, для обмеження струму за максимальною величиною (відповідно і обмеження обертового моменту двигуна) повинна виконуватися така умова:

при.

У нашому випадку. Відповідно характеристика нелінійного вузла струмообмеження буде наступна (рис.5.1).

Рисунок 5.1 - Характеристика вузла струмообмеження

Даний нелінійний вузол струмообмеження пропускає вхідний сигнал  один до одного, а при  обмежується значенням .

Якщо при більшому навантаженні або при пуску ДПС струм  хоча б ненабагато перевищить значення , то при цьому  стане більшим , на вході регулятора струму буде від'ємний сигнал, тиристорний перетворювач буде знижувати значення , і струм  буде зменшуватись до значення. При рівності  вхід регулятора струму дорівнюватиме 0, а його вихід не зміниться.

Якщо вал двигуна заклинить, то в ідеальному випадку спрацює струмообмеження, двигун зупиниться без механічної поломки. При цьому в якірному колі буде застосовано найменшу напругу і в загальмованого двигуна у якірному колі буде проходити струм , який дорівнює . Це цілком вірогідно, оскільки внутрішній контур, настроєний на МО, найкраще відпрацьовує керуючий сигнал , що надходить до внутрішнього контуру струму.

ВИСНОВКИ

САУ можна розділити на дві характерні групи, які відрізняються одна від одної як за принципом управління, так і за особливостями функціонування, - розімкнуті САУ, що базуються на принципі керування за збуренням, і замкнуті САУ, які діють на основі принципу керування за відхиленням.

При відхиленні від стану рівноваги в надходженні та витратах енергії через дію збурень у системі виникає відхилення регульованої величини від заданого значення. Це приводить до включення в роботу регулятора, який намагається його зменшити, внаслідок цього виникає перехідний процес. Основним завданням ТАУ є оцінка поведінки САУ у перехідних режимах.

Важливим є дослідження поведінки САК у стані рівноваги, де визначаються статична точність та інші статичні характеристики системи.

Можна виділити основні особливості ТАУ:

) оцінка САУ в перехідних режимах за характеристиками окремих ланок системи;

) тісний взаємозв’язок в дослідженні питань динаміки і статики;

) вивчення САУ, різних за своїми фізичними властивостями.

Отже, ТАУ можна визначити як науку, що вивчає статичні та динамічні властивості САУ, принципи побудови структурних схем, методи вибору параметрів на основі вимог якості системи.

ВИКОРИСТАНА ЛІТЕРАТУРА

1. Методичні вказівки до виконання курсової роботи «Синтез систем з підпорядкованим регулюванням» з дисципліни «Теорія автоматичного управління» для студентів спеціальності 6.091401 «Системи управління і автоматики» деннної та заочної форм навчання / Укладачі: А.В. Палов, Ю.Ф. Самедов, А.А. Сніжко. - Суми: Вид-во СумДУ, 2010.- 39с.

. Попович М.Г., Ковальчук О.В. Теорія автоматичного керування. - К.: Либідь, 2007.

. Воронов А.А. Основы теории автоматического управления. - М.: Энергия, 2006

. Лукас В.А. Теория автоматического управления. - М.: Недра, 1990.

. Попов Е.П. Теория линейных систем автоматического управления. - М.: Наука, 1989.

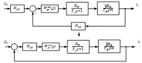
ДОДАТОК А

Структурна схема САУ

Рисунок А.1 - Структурна схема САР:

РШ - регулятор швидкості; ОС - обмежувач струму; РС - регулятор струму; ТП - тиристорний перетворювач; ЯЛ - якірний ланцюг; ДС - здавач струму; ДШ - здавач швидкості;


МЧ - механічна частина.



ДОДАТОК Б

Моделювання поведінки системи при умові налаштування внутрішнього контуру на МО.


ДОДАТОК В

Моделювання поведінки системи при умові налаштування внутрішнього контуру на СО


ДОДАТОК Г

струм перетворювач електропривод контур

Моделювання поведінки системи при умові налаштування зовнішнього контуру на МО.


ДОДАТОК Д

Моделювання поведінки системи при умові налаштування зовнішнього контуру на СО.



Похожие работы на - Синтез систем з підпорядкованим регулюванням

 

Не нашли материал для своей работы?
Поможем написать уникальную работу
Без плагиата!
Без нейросетей!