Синтез аміаку
Вступ
Аміак є одним з важливих сполук
азоту, який відіграє дуже велику роль у житті на Землі. Азот входить у білки
живих організмів, а його сполуки широко використовуються в усіх областях
діяльності людини і, в першу чергу, у виробництві мінеральних добрив. За добу
людина споживає 70-100г білків, які вміщують 13-16г азоту. Організм людини не
може використовувати для синтезу білків азот мінерального походження, який
являється найбільш розповсюдженим елементом: в земній корі він містить близько
0,04%, а кількість його в повітрі складає 78%. Тільки рослини, які забезпечують
людину і тварин білками, здатні синтезувати білкові речовини безпосередньо з
мінеральних сполук зв'язаного азоту: нітратів або амонійних сполук грунту. При
інтесивному сільськогосподарському виробництві продуктів харчування кількість
зв'язаного азоту в грунті різко зменшується і потребує обов'язкового внесення
азотних добрив.
Аміяк також широко використовується
для синтезу таких важливих полімерних матеріалів, як поліаміди, поліуретани,
поліакрилонітрил та ін. Шляхом нітрування азотною кислотою різних органічних
речовин (толуолу, фенолу, бензолу, целюлози, гліцерину та ін.) одержують їх
нітропохідні, які використовуються як вибухові речовини (нітробензол, тротил,
піроксилін, амоніти та ін.), а також напівпродукти для синтезу фарбників
(аніліну) та інших хімічних препаратів.
В Україні аміяк виробляється в
основному на п'яти великих хімічних комбінатах на установках великої одиночної
потужності агрегатів 600 і 1360 тон на аміаку на добу. Більшість із них
побудовані у 80-х роках минулого сторіччя і на сьогоднішній час відповідають
світовому рівні.
1. Історія розвитку і технологічні
принципи синтезу аміаку
.1 Історія і тенденції розвитку
виробництва аміаку
Одним з найбільш складних і важливих
досліджень в області неорганічної хімії були роботи з вивчення процесу
одержання аміаку з азоту і водню.
Відразу ж після встановлення
К.Бертолле складу аміаку (1784 р.) були зроблені перші спроби синтезу його з
елементів. Величезне значення в розвитку хімії азоту мали роботи
Д.І.Менделєєва. У 1839 р. Ф.Кюльман безупішно намагався синтезувати
аміяк з азоту і водню, пропускаючи їх через розпечену губчату платину. Багато
вчених спостерігали утворення слідів аміаку при пропусканні електричного струму
через суміш азоту і водню.
У 1886 р., намагаючись здійснити
синтез аміаку, Рамзай і Вільямс прийшли до висновку, що цей процес фактично
нездійсненний, тому що при температурі нижче 1000 С вони не спостерігали
взаємодії азоту з воднем, а при більш високій температурі весь аміак
розкладався.
Переломним моментом у розробці
промислового методу синтезу аміаку явились дослідження Габера і Нернста,
проведені ними в 1904-1907 р., які дозволили встановити більш точні значення
констант рівноваги реакції синтезу аміаку з елементів:
+ 3H2 = 2NH3 +Q (1.1)
Виходячи з принципу Ле-Шательє про
зсув рівноваги під дією зовнішнього впливу і правила фаз Гіббса, що вказує на
необхідність враховувати три ступеня свободи реакції синтезу аміаку, був
зроблений висновок про можливість синтезу аміаку під високим тиском. У
результаті цих досліджень Габер і Бош розробили і запрпонували в 1908 р. до
промислового впровадження замкнуту циркуляційну систему синтезу аміаку, яка
була реалізована на першій промисловій установці у 1913 році у Германії.
Виробництво його в Німеччині в подальшому було розширено, а з 20 років
вонопочинає швидко розвиватися і в інших країнах. У Росії в 1918-1919 р.
академік В.Н.Іпатьєв із співробітниками провів експеременти по одержанню
синтетичного аміаку в аппараті своєї конструкції на різноманітних
каталізаторах. У лютому 1919 р. на змішаному молібденовольфрамовому
каталізаторі з домішкою оксиду алюмінію під тиском 7,5М.Па ними був досягнутий
вихід аміаку 6,55 об%. У 1905 р. Лінде і Франк розробили метод одержання аміаку,
заснований на глибокому охолодженні водяного і коксового газу.
Метод глибокого охолодження
коксового газу одержав значну підтримку, коли цим зацікавилася відома німецька
фірма холодильних машин Лінде в Мюнхені. Установка була запущена в 1926 р. у м.
Остенде і дала настільки ефективні результати, що вже в 1928 р. вона була
подвоєна з упровадженням допоміжних генераторів водяного газу. Поскільки
коксова промисловість набирала усе більший розвиток, з ініціативи Фрідріха Уде
з Герне (Руський басейн) разом із співробітниками фірми Лінде було застосовано
метод глибокого охолодження для одержання азотоводневої суміші з коксового
газу.
У 1933 р. і 1938 р. на Україні для
виробництва аміаку були введені до ладу Горлівський, Дніпродзержинський
азото-тукові заводи, де розподіл коксового газу проводили методом глибокого
охолодження (до - 200 С), а в 1940 р. в Узбекистані - Чирчикський
електрохімічний комбінат, де водень одержували при електролізі води.
Удосконалення технології синтезу
аміаку та його виробництва продовжується і зараз. Виробництво синтезу аміаку не
знає перерв у своєму розвитку. Його історія продовжується.
2. Розробка технологічної концепції
.1 Сировинна база і основні стадії
технології аміаку
Сучасна технологія виробництва
аміаку базується на прямому синтезі аміаку з складових його елементів: азоту і
водню за реакцією (1.1), яка проводиться при високому тиску з використанням
каталізатору і має невеликий екзотермічний ефект. Вихідними сполуками для
виробництва аміаку являються азот и водень, які змішуються в стехіометричному
співвідношенні N2 : H2 = 1 : 3 і утворюють так звану азотоводневу суміш (АВС).
Сировиною для азоту є атмосферне повітря, а для одержання водню - різні види
палив і вуглеводнів.
На перших етапах промислового
виробництва аміаку АВС готували шляхом змішування азоту і водню, які одержували
окремо. У більшості сучасних схем синтезу аміаку азот не виділяють з повітря в
чистому виді, а повітря дозують в газову суміш при одержанні водню з палива чи
вуглеводнів для досягнення стехіометричного співвідношення. Таким чином, процес
одержання аміаку складається з двох основних стадій: - приготування
азотоводневої суміші - синтезу аміаку Необхідний для синтезу аміаку водень, або
водовмісний газ може бути отримано практично з любого виду палива і
вуглеводневої сировини: - природного газу і супутнього газу його здобичі -
газів переробки нафти - з нафти і продуктів її переробки (бензинів, мазутів,
гудронів) - коксового газу - кам'яного та бурого вуглеців, сланців, торфу -
води.
Використання того чи іншого вида
сировини обумовлено його вартістю і доступністю (наявністю у даному регіоні).
До 50-х років минулого століття у виробництві аміаку в основному
використовували тверде паливо (кам'яний вуглець, кокс), а починаючи з 60-х
років частка твердого палива як сировини для одержання водню значно
скоротилась. У сьогоднішній час основною сировиною у виробництві аміаку
являється природний газ, тільки у деяких країнах, бідних запасами природних
газів приблизно половину усього аміаку одержують на базі переробки рідкого
палива. У майбутньому, коли зменшається запаси природного газу, можливо,
повернуться до одержання водню з твердого палива, чвітові запаси якого більші.
В Україні у теперішній час на всіх установках виробництва аміаку для одержання
водню використовують природний газ.
Процес одержання водню з природного
газу, який має 90-98% метану, відбувається шляхом взаємодії метану з киснем
повітря або водяною парою, в результаті якої відбувається перетворення
(конверсія) метану у водень за різними технологічними схемами. Найбільш
розповсюдженими схемами являються три: Схема А звикористанням парової
конверсії природного газу з послідуючим дозуванням азоту за реакціями:
+ H2O = CO2 + 3H2 -206.4 кДж/моль+
H2O = CO2 + H2 +41.0 кДж/моль
Схема Б з двоступеневою параповітряною
конверсією природного газу за реакціями:
+ H2O = CO2 + 3H2 -206.4 кДж/моль+
0.5O2 = CO + 2H2 +35.6 кДж/моль+ H2O = CO2 + H2 +41.0 кДж/моль
Схема В з високотемпературною
кисневою конверсією природного газу за реакціями:
+ 0.5O2 = CO + 2H2 +35.6 кДж/моль+
H2O = CO2 + H2 +41.0 кДж/моль
Як випливає з приведених
технологічних схем, при взаємодії метану з водяною парою і киснем повітря
(іноді збагаченим киснем) чи метану з технічно чистим киснем (з подальшим
дозуванням необхідної кількості азоту) утворюється оксид вуглецю, який в свою
чергу при взаємодії з водяною парою перетворюється (конвертує) у водень.
Конверсію оксиду вуглецю, як правило, проводять окремою стадією.
Крім того, у зв’язку з присутністю в
природному газі шкідливих для каталізаторів реакцій (1.1) домішок сірчаних
сполук, оксиду вуглецю і природного газу і азотоводневої суміші.
Таким чином, технологія аміаку
включає такі характерні стадії: - очистку природного газу від сірчаних
продуктів - каталітичну пара-газову конверсію вуглеводнів - конверсію оксиду
вуглецю - очистку синтез-газу від двооксиду вуглецю - точну очистку синтез-газу
від оксиду і двооксиду вуглецю - синтез аміаку
2.2.Принципова технологічна схема
виробництва аміаку
Рис. 1.1 Принципова технологічна схема
виробництва аміаку потужністю 1360 т/добу П.Г. - природний газ; Ц.Г. -
циркуляційний газ
В залежності від сировинних і
енергетичних джерел, питань економіки і розвитку техніки та потужності
використовують різні технологічні схеми вказаних вище стадій. Для найбільше
поширеного виробництва аміаку потужністю 1360 т аміаку на добу основні
технологічні умови названих вище стадій для прикладу представлені на рис 1.1. у
вигляді принципової технологічної схеми.
На першій стадії для підготовки
природного газу його очищають від сірчаних сполук шляхом перетворення
сірчаноорганічних сполук у сірководень (гідрування) на
алюмо-кобольт-молібденовому каталізаторі при температурі 400
за реакціями
а потім поглинання сірководню
оксидом цинку за реакцією
На другій стадії очищений природний
газ перетворюють у синтез-газ (газ який включає азот і водень для синтезу
аміаку) каталітичною конверсією водяною парою і киснем повітря. Спочатку
здійснюють конверсію (перетворення) природного газу у водень водяною парою на
нікелевому каталізаторі при температурі 860
за реакцією
а потім пароповітряною конверсією
водяною парою і киснем повітря також на нікелевому каталізаторі, але при
більшій температурі 990-1000
за основними
реакціями:
Одержаний синтез газ включає крім
азоту і водню оксид вуглецю, який на третій стадії конвертує у водень за двома
ступенями: спочатку на середньо-температурному каталізаторі при температурі до
400
, а потім на низькотемпературному при низькотемпературному при температурі
200-260
за реакцією
На наступній стадії синтез-газ
очищають від двооксиду вуглецю одним з абсорбційних методів, як правило, з
використанням етаноламінових розчинів.
Потім проводять тонку очистку
синтез-газу від залишків оксиду і двооксиду вуглецю їх гідруванням тим же
воднем, який знаходиться у синтез-газі за реакціями
Після тонкої очистки синтез-газ
направляється на стадію синтезу аміаку, яка включає:
стиснення синтез-газу до тиску 31,4
МПа у багатоступеневому турбокомпресорі і змішування його з циркуляційним
синтез-газом, який циркуляційною турбіною подається до колони синтезу;
синтез аміаку у реакційній колоні при
температурі 450
на залізному
каталізаторі за реакцією (1.1);
виділення аміаку з циркуляційного
газу шляхом його конденсації у конденсаційній колоні при охолодженні до -5
.
Таким чином, технологія аміаку
включає ряд складних каталітичних реакцій і фізичних процесів, які протікають
при високих і низьких температурах та високих тисках. Більшість цих реакцій
виділяють тепло, яке в сучасних технологічних схемах виробництва аміаку майже
повністю утилізується для внутрішніх потреб цієї ж технології. Наприклад, як
буде показано далі, тепло в реакціях синтезу аміаку, що виділяється в реакторі
синтезу, використовується для підігріву циркуляційного газу, який подається в
реактор. Передача тепла здійснюється як у зовнішньому теплообміннику, так і в
теплообмінниках, розташованих у самому реакторі.
Технологічна схема синтезу аміаку
включає в себе як технологічне обладнання: реактори, печі, абсорбери і т. ін..,
так і енергетичне: теплообмінники, котли-утилізатори, компресори, насоси і т.
ін..
Поєднання технологічного обладнання
з енергетичним дозволяє забезпечити максимальну утилізацію тепла та енергії на
всіх стадіях технологічного процесу, значно знизити енергетичні, матеріальні і
капітальні витрати та собівартість продукції.
Ефективність використання тепла і
енергії в складних хіміко-технологічних системах, до яких відноситься
технологія аміаку, визначається термодинамічним аналізом з використанням
ексергетичного методу.
.3 Технологічні розрахунки основного
реакторного процесу
.3.1 Фізико-хімічні основи процесу
Ще на початку минулого століття
відомі вчені Рейдел і Тейлор у своїй книзі “ Каталіз в теорії і практиці ”
проблему прямого синтезу аміаку характеризували такими словами: “ Промислове
виробництво аміаку каталітичним синтезом із азоту і водню належить до числу
величезних досягнень сучасної фізичної хімії і хімічної технології ”. Оскільки
на початку минулого століття більша частина природних запасів зв’язаного азоту
необхідного для виробництва добрив і азотної кислоти, було вичерпано,прямий
синтез аміаку із його елементів явився революційним шагом, який мав величезне
значення для життя людства. Це революційне досягнення було зроблено завдяки
піонерським роботам Габера з співробітниками, які за допомогою термодинамічних
і кінетичних методів першими переконливо показали, що аміак можна синтезувати
при високих тисках і переважно при понижених температурах в присутності
придатного каталізатора і що процеси синтезу і розкладання аміаку мають
обернений характер. Ці роботи являються яскравим прикладом того, я послідовне
використання термодинамічного і кінетичного підходів до вивчення хімічного
процесу може привести до тріумфу як в хімії, так і в технології.
.3.2 Термодинаміка процесу синтезу
аміаку
Синтез аміаку з водню може бути
описаний оборотною екзотермічною реакцією (1):
+ 3H2 = 2NH3 + Q (1.1)
яка протікає зі зменшенням об’єму і
виділенням тепла.
Підвищення тиску і зниження
температури, відповідно до принципу Ле-Шетальє, сприяє зсуву рівноваги цієї
реакції вправо, тобто убік виділення аміаку. У промисловості для підвищення
швидкості реакції процес здійснюється при підвищених температурах і в
присутності каталізаторів.
А.Ларсон і Р.Додж визначили
експериментально рівноважні концентрації аміаку для азотоводневої суміші
стехіометричного складу.
Константа рівноваги реакції синтезу
аміаку, що відповідає рівнянню (1.1), частіше всього в літературі визначається
рівнянням:
(1.2)
де
-
рівноважні парціальні тиски, відповідно, аміаку, азоту і водню.
За допомогою цього рівняння по
відомій константі рівноваги можна розрахувати рівноважну наважку концентрацію
аміаку за даних умов. Якщо виходити з рівноважного співвідношення
,
то будемо мати:
де Р - загальний тиск рівноважної
газової суміші;
- рівноважна
мольна частка аміаку.
Підставляючи вираження (1.3) у
(1.2), знаходимо
=
(1.4)
або
(1.5)
Вирішуючи квадратне рівняння,
отримаємо вираження для
:
(1.6)
Значення
,
обчислені через парціальні тиски газів, залишаються практично незалежними від
тиску приблизно до 9,8 МПа. При більш високих тисках спостерігається помітне
зростання розміру
. пояснюється це
тим, що при низьких і помірних тисках рівноважну реакційну суміш можна
розглядати як суміш ідеальних газів, для якої застосовується закон Дальтона.
При високих тисках ми маємо справу з реальною газовою сумішшю (газовий розчин),
що поводиться відмінно від суміші ідеальних газів і
у
рівнянні (1.2) перестає бути термодинамічною константою рівноваги.
Для високих тисків константу
рівноваги правильніше розраховувати аналогічно (1.2) через парціальні леткості
(фугітивності) компонентів газової суміші
(1.7)
Точне визначення значень
є
складною задачею. Тому звичайно застосовують наближене обчислювання,
використовуючи правило Льюїса-Рендалла, справедливе для азотоводневоаміачної
суміші до тисків 60 МПа і температур понад 350
.
За цим правилом фугітивність j - компонента газової суміші:
=
, (1.8)
де
-
фугітивність j - компонента в рівноважній газовій суміші;
- фугітивність
чистого j - компонента;
- мольна частка j
- компонента газової суміші.
Визначення фугітивності чистих
аміаку, азоту і водню не представляє великої складності.
Підставляючи рівняння (1.7) в (1.8),
находимо
(1.9)
Позначимо:
одержимо рівняння аналогічне (1.6):
(1.10)
яка придатна для розрахунків
рівноважного вмісту в стехіометричній суміші азоту і водню при високих тисках.
Для низьких і середніх тисків воно перетворюється в (1.6), так як при цьому
значення парціальних тисків і фугітивності співпадають.
.3.3 Механізм і кінетика реакції
синтезу аміаку на залізних каталізаторах
Гетерогенно-каталітичні процеси, до
числа яких відноситься синтез аміаку, протікають на поверхні твердого тіла,
частіше всього через ряд послідовних стадій, що включають у себе хемосорбцію
реагуючих компонентів, їх взаємодію з утворенням проміжних сполук і далі
кінцевого продукту і, нарешті, десорбцію цього продукту з поверхні каталізатора.
Швидкість і механізм процесу на
окремих стадіях, а також залежність їх від температури й інших параметрів
можуть різко відрізнятися, що часто в стадіях, де процес протікає з великою
швидкістю, практично досягається рівновага.
Вивчення механізму каталітичної
реакції, навіть такий відносно простий, як синтез аміаку, є досить складною
задачею, що вимагає сполучення різних фізико-хімічних методів дослідження. В
результаті багаторічних досліджень більшість вчених вважають, що синтез аміаку
на поверхні каталізатора протікає через такі проміжні стадії:




Для доказу прийнятого механізму із
бомбардуванням іонами аргону поверхні каталізатору було видалено з поверхні
заліза частки, адсорбовані як
при розкладанні, так і при синтезі
аміаку. Адсорбовані частки, ідентифіковані мас-спектрометрично, відрізняються
від продукту розкладання по температурній залежності. Так, NH - проміжна частка
при розкладанні, оскільки температурна залежність для
інша
чим для
Поява
іона
свідчить
про хемосорбцію
з утворенням
.
Очевидно, що аміак утворюється з
.
Поводження
і
подібне,
і, очевидно,
- осколок іона
. З різниці в поводженні
і
випливає,
що
утворюється
з адсорбованої частки, можливо NH. Відповідно до цього послідовність реакції
синтезу аміаку можна уявити такою
а розкладання аміаку на
каталізаторах - таким чином
Визначення співвідношення швидкостей
перерахованих стадій і виявленню найбільш повільної з них при проведенні
процесу на металах перемінної валентності, особливо на залізі і залізних
каталізаторах, присвячене значне число досліджень. Щоб виявити, яка з цих
стадій є найбільш повільною, проводилися зіставлення швидкості реакції синтезу
аміаку зі швидкістю адсорбції азоту і водню, швидкістю гідрування адсорбованого
азоту, швидкістю ізотопного обміну компонентів реакції і швидкістю розкладання
аміаку.
Щодо стадії, що лімітує, у синтезі
аміаку в літературі тривалий час не було єдиної точки зору. Одні вважали, що
стадією, що лімітує, у цьому процесі є хемосорбція азоту, інші - гідрування
хемосорбованого азоту. Згодом вчені прийшли до висновку, що поблизу рівноваги
найбільш повільною стадією є хемосорбція азоту.
2.3.4 Оптимальні умови проведення
процесу синтезу аміаку
Вибір оптимальних умов проведення
того чи іншого каталітичного процесу в промислових реакторах визначається різними
факторами; вирішальне значення мають, проте, термодинамічні характеристики
процесу.
Швидкість реакції синтезу аміаку
залежить від тиску, температури і складу реакційної суміші. Ця залежність
виражається рівнянням Темкіна-Пижева з коефіцієнтом симетрії α=0,5.
Концентрація аміаку. Швидкість
прямої реакції синтезу обернено пропорційна парціальному тиску аміаку і, отже,
його мольній частці, а для оберненої реакції розкладання характерна пряма
пропорційність. Таким чином, із підвищенням концентрації аміаку, загальна
швидкість реакції падає (реакція «гальмується аміаком»). Саме цим гальмуванням
пояснюється підвищення продуктивності процесу з ростом об’ємної швидкості.
Збільшення об’ємної швидкості призводить до зменшення приросту концентрації
аміаку і, тим самим, до збільшення середньої швидкості процесу. При низьких
температурах із підвищенням тиску росте не тільки відносний ступінь
перетворення, але й абсолютне утримання аміаку в газовій суміші на виході з
реактора. Такий ефект впливу тиску, можливо, теж пов'язаний із гальмуванням
реакції воднем. Очевидно, при низьких температурах значна частина працюючої
поверхні заповнена хемосорбованим воднем. При високих температурах виходи
аміаку досягаються на сумішах, близьких до стехіометричних, тобто в умовах найбільш
рівноважних значень концентрацій аміаку.
Тиск. Швидкість прямої реакції
синтезу пропорційна
, а швидкість
оберненої реакції - розкладання аміаку - обернено пропорційна
.
зі збільшенням тиску швидкість реакції збільшується. Як відомо, утворення
аміаку з азоту і водню - реакція екзотермічна (
Н=-5,4
кДж/моль при температурі 500
і тиску 30 МПа),
супроводжується значним зменшенням об’єму при постійному тиску. Тим самим ще
раз підтверджується висновок, що утворення аміаку сприяє високий тиск і низькі
температури.
Інертні домішки. Як відомо,
продуктивність каталізатору визначається насамперед його хімічним станом,
макро- і мікроструктурою, розміром зерен, умовами відновлення і формування.
Залежить вона від тиску, температури, об’ємної і лінійної швидкостей газового
потоку, складу газової фази по основних компонентах (азоту, водню, аміаку) і по
домішках інертних газів (аргону, метану, гелію). Присутність інертних домішок у
суміші рівнозначна зниженню загального тиску, із збільшенням їх концентрації
швидкість реакції зменшується. Вплив інертних домішок на швидкість реакції
виражається у тому, що кожний відсоток цих домішок збільшує ефективну мольну
частку аміаку на 2
. А оскільки в
першому наближенні швидкість реакції обернено пропорційна ефективній мольній
частці аміаку, то кожний відсоток інертних домішок зменшує швидкість реакції на
2
.
Температура. Температура впливає на
константи швидкостей прямої й оберненої реакції
.
Цю залежність виражає закон Арреніуса
де
-
енергія активація прямої й оберненої реакції;- універсальна стала;
- константи.
З вираження закону Арреніуса видно,
що з ростом температури константи швидкості швидко зростають. Константи
швидкості прямої і оберненої реакції пов’язані визначеним співвідношенням із
константою рівноваги
де
-
константа рівноваги синтезу аміаку.
.3.5 Каталізатори синтезу аміаку
Каталітичну активність у процесі
синтезу аміаку виявляють багато елементів періодичної системи. Порівняно
високою активністю володіють метали VI, VII і VIII груп. Однак у промисловості
знайшли застосування тільки залізні плавлені промотувати каталізатори.
Промисловий залізний каталізатор
синтезу аміаку містить промотори двох типів: структурно-образуючі - А12О3, МgO,
SiO2 і модифікуючі-К2О, СаО та ін Це дозволяє отримати каталізатор з великою і
активною поверхнею, але за умови оптимальних кількостей і співвідношень
промоторів. Із збільшенням вмісту структурних промоторів збільшується питома
поверхня каталізатора і підвищуються його термостійкість і стійкість відносно
дії кисневмісних отрут, але величина активності проходить через максимум при
певному змісті промоторів.
При збільшенні кількості лужного
промотору, наприклад К2О, активність каталізатора проходить через максимум,
коли поверхня на 30 - 40% покрита лугом.
Таким чином, вплив цих промоторів на
активність і величину поверхні протилежно: К2О збільшує питому каталітичну
активність поверхні, але зменшує поверхню, знижує термостійкість і стійкість до
кисневмісних отрут, Аl2O3 збільшує поверхню, термостійкість і стійкість до
кисневмісним отрут, але знижує питому каталітичну активність.
При розробці каталізатора,
використовуваного в промисловості, слід враховувати тривалість служби
каталізатора (кілька років) в умовах деякої нестаціонарності технологічного
процесу.
У промислових каталітичних реакторах
процес синтезу аміаку протікає при мінливих по довжині зони каталізатора
температурі, об'ємної швидкості, склад газу і т. д., що призводить до зміни
хімічного складу і будови поверхні каталізатора і внаслідок цього - активності
каталізатора.
Встановлена закономірність дезактивації
каталізаторів в реакторі синтезу аміаку повинна зберегтися стосовно
великотоннажним агрегатам.
Каталізатор синтезу аміаку,
застосовуваний у промисловості, спочатку готують в окисленному стані методом
плавлення з добавками промотуючих сполук, а потім відновлюють воднем або
азотоводородной сумішшю до активного стану. Заключна стадія - остаточне
формування каталізатора в робочих умовах каталізу в колоні синтезу, яке
відбувається внаслідок хімічної взаємодії з компонентами реакційного середовища
в реальних умовах експлуатації, так як склад реакційної суміші та умовна
каталітичної реакції впливають на хімічний склад та властивості каталізатора.
У окисленому стані каталізатор
містить 90-93% магнетиту Fe3O4 з деяким надлишком FеО порівняно зі
стехіометричним, 7-10% промотуючих (А12О3, К2О, СаО) і домішкових (SiO2 і ін)
з'єднань. Якість каталізатора гарантується єдиним галузевим стандартом.
Активність каталізатора (вміст
аміаку в газі, об.%) На виході з колони синтезу при тиску 300-105 Па, об'ємної
швидкості 30 000 год-1 для обох марок і видів залежно від температури процесу
повинна бути не нижче даних, представлених в таблиці 1.1.
Табл. 1.1
|
Температура, о С
|
Активность катализатора
|
|
550 600 475 450 400
|
15.0 19.0 20.0 20.0 14.0
|
3. Апаратурно-технологічна схема
.1 Підбір основного і допоміжного
устаткування
За своїм призначенням технологічне
устаткування відділення синтезу аміаку можна підрозділяти на наступні групи: 1)
реакційна апаратура (колони синтезу); 2) апаратура для виділення аміаку
(холодильники-конденсатори, сепаратори, конденсаційні колони); 3) теплообмінна
(парові казани, водопідігрівачі, випарники) і допоміжна апаратура (сепаратори,
фільтри).
У зв’язку з цими особливостями,
реактор синтезу аміаку представляє собою колонний апарат високого тиску з
вмонтованою в нього насадкою, заповненою каталізатором і убудованими
теплообмінниками.
Корпус колони синтезу являє собою
товстостінний циліндр, виготовлений із легованої сталі, як правило, зі сталі
22ХЗМ. Насадка колони складається з каталізаторної коробки і теплообмінників
(іноді використовують виносні теплообмінники).
Застосовані в даний час конструкції
насадок можна розділити на наступні типи: 1) трубчасті насадки з
теплообмінником у зоні каталізу; 2) поличні насадки з каталізатором,
завантаженим суцільним шаром на кожній полиці. Відомі також різні варіанти
комбінованих конструкцій насадок. За характером розподілу газового потоку
насадки підрозділяються на насадки з аксіальним і радіальним ходом газу.
У трубчастих насадках у шарі
каталізатора розташовані трубки, у яких газ, що надходить на каталізатор,
нагрівається за рахунок тепла, що відводиться з зони реакції, до температури
початку реакції. По теплообмінних трубках каталі заторної зони проходить газ
основного потоку після попереднього теплообмінника і змішання з газом холодного
байпаса (один засіб внутрішнього регулювання).
У поличних насадках каталізаторна
маса розділяється по висоті колони на кілька шарів (полиць), через які
послідовно проходить газ. Основний газ, що надходить на каталізатор першої
полиці, нагрівається до температури початку реакції (400-420
)
у попередньому теплообміннику. Між полками подається холодний газ (через
байпаси), що дозволяє здійснювати різноманітне регулювання режиму в зоні
каталізу. Оскільки в кожному каталі заторному шарі реакція йде без відводу
тепла (адіабатичний режим), то температура на окремій полиці в міру проходження
газу зростає, а в просторі між полками різко знижується за рахунок розведення
холодним газом, тому температурний режим у зоні каталізу колони з поличними
насадками має східчастий характер. Чим більше полиць, тим ближче до
«ідеального» можна установити температурний режим.
У колоні синтезу газова суміш
підігрівається до температури початку реакції і проходить через шар
каталізатора при дотриманні необхідного температурного режиму. У колоні можна
виділити реакційну зону (каталізаторна коробка) і теплообмінну частину.
Враховуючи складний пристрій колони
і важкі умови роботи (високі тиск і температура, середовище містить водень),
конструктивно ділять колону на два самостійних елемента: корпус і деталі
високого тиску, розраховані на повний тиск процесу, і внутрішню частину (насадку),
розраховану тільки на перепад тисків газового потоку між входом і виходом з
колони.
синтез аміак газ реакторний
3.2 Вибір конструкційних матеріалів
Синтез аміаку проходить при
температурі до 500
, отже конструкційний
матеріал має бути жаростійкий і мати великий коефіцієнт пружності аби
забезпечити порівняно менші витрати конструкційних матеріалів. Згідно ГОСТ
5632-72 застосуємо сталь з чудовими характеристиками міцності для нашого
випадку -12Х18Н10Т , яка стійка проти електрохімічної та хімічної корозії , а
також міжкристалічної корозії.
При розробці внутрішніх частин колон
синтезу велику увагу приділяють забезпеченню необхідного температурного режиму
в зоні каталізу. У разі, якщо вдається вести процес у режимі, близькому до
оптимального, необхідний обсяг каталізатора буде мінімальним. Конструкція
колони синтезу наведена на рис.1.3.
Чотирьохполична аксіальна колона
синтезу аміаку складається з наступних частин: 1 - люк для вивантаження
каталізатора, 2 - центральна труба, 3 - корпус каталізаторної коробки, 4 -
термопарний чохол, 5 - завантажувальний люк, 6 - теплообмінник, 7 - введення
байпасного газу на I полку, 8 - I катализаторний шар, 9 - введення байпасного
газу на II полку, 10 - II катализаторний шар, 11 - введення байпасного газу на
III полку, 12 - III катализаторний шар, 13 - введення байпасного газу на IV
полку, 14 - IV катализаторний шар, 15 - корпус колони.
Рис.1.2. Чотирьохполична аксіальна
колона синтезу аміаку агрегату потужністю 1360т/сут
Колона синтезу аміаку складається з
двох сосудів високого тиску, встановлених один на одного ; нижній сосуд
внутрішнім діаметром 2.4 м , товщиною стінки 250мм та висотою 22.15 м ; верхній
сосуд внутрішнім діаметром 1 м , товщиною стінки 110 мм , та висотою 6585 мм .
Оба сосуди виготовлені низьколегованої вуглецевої сталі. В нижньому сосуді
розташовують каталізаторну коробку , а в верхньому - теплообмінник , поверхня
якого по середньому діаметру 475 м2 . В каталізаторній коробці на перфорованих
листах , виконуючих роль колосникових решіток , розташовані чотири шари
каталізатору , байпасні труби та відбійні перегородки. Основний потік газу в
колоні синтезу проходить знизу вгору по кільцевому зазору між корпусом колони
та кожухом каталізаторної коробки , а також корпусом колони та кожухом
теплообмінника, захищаючи корпус від перегріву більш 200оС , і після цього
поступає в між трубний простір теплообмінника, нагріваючись в ньому до
420-440оС . Для регулювання цієї температури є байпас , через який йде поток
газу , оминаючи теплообмінник. Нагрітий газ проходить чотири шари каталізатору
по трубі , розташованій в центрі каталі заторної коробки , піднімається вгору
та поступає в трубки теплообмінника охолоджуючись в ньому до 330 оС , а потім виходить
через верхній штуцер колони синтезу. Тепловідвідні трубки , розташовані в шарах
каталізатора , в каталізаторній коробці даної конструкції відсутні. Замість них
до газу , що проходить перший , другий , третій шар підмішують холодний
байпасний газ , який знижує температуру азото-водневої суміші на вході в другий
, третій та четвертий шари з 520-535 до 470-480оС .Кожний з трьох байпасних
потоків регулюється самостійно. Корпус каталізаторної коробки виготовлений з
хромнікелевомолібденової сталі 1Х18Н12М2Т , теплообмінник -з 1Х18Н10Т
Температурний режим чотирьохполичної
колони синтезу аміаку.
Рис. 1.3 Температурний режим
чотирьохполичної колони синтезу аміаку (% об. - Зміст NH3)
.3 Опис технологічної схеми
відділення синтезу аміаку
Принципова технологічна схема
відділення синтезу уніфікованого агрегату аміаку продуктивністю 1360 т / добу
показана на малюнку 1.4., складається з наступних частин: 1 - підігрівач газу,
2 - колона синтезу аміаку, 3 підігрівач води, 4 - виносний теплообмінник, 5 -
циркуляційний колесо компресора, 6 - сепаратор рідкого аміаку, 7 - блок
апаратів повітряного охолодження, 8 - конденсаційна колона, 9 - конденсаційна
колона продувних газів, 10 - випарник рідкого аміаку на лінії продувних газів,
11 - збірник рідкого аміаку, 12 - випарник рідкого аміаку на лінії танкових
газів , 13 - сепаратор, 14 - проміжна дренажна ємність, 15 - випарники рідкого
аміаку, 16 - магнітний фільтр, ПРГ - природний газ, ДГ-димовий газ,
ПГ-продувочний газ, СГ - свіжий газ, ЦГ-циркуляційний газ, ТПГ - суміш танкових
і продувних газів.
Рис. 1.4 Принципова схема блоку
синтезу аміаку агрегати потужністю 1360 т / добу
Свіжа азотоводородная суміш,
стиснута в II-го ступеня відцентрового компресора до тиску 320 * 1
Па,
після охолодження в повітряному холодильнику надходить у нижню частину
конденсаційної колони 8 для очищення від залишкових Н2O і СО2. Очищення
здійснюють барботажем газу через шар сконденсірованого рідкого аміаку.
Пройшовши шар рідкого аміаку, свіжа
азотоводнева суміш насичується аміаком до 3-5% і змішується з циркуляційним
газом. Суміш свіжого і циркуляційного газів проходить по трубах теплообмінника
конденсаційної колони і направляють у міжтрубний простір виносного
теплообмінника 4, де нагрівається до температури не вище 195 ° С за рахунок
тепла газу, що виходить з колони синтезу. З виносного теплообмінника
циркуляційний газ надходить в колону синтезу 2, проходячи знизу вгору по
кільцевой щілині між корпусом колони і кожухом насадки, а потім у міжтрубний
простір внутрішнього теплообмінника, розміщеного вгорі в горловині корпусу
колони. У теплообміннику газ нагрівається до 400 - 440 ° С за рахунок тепла
газу, що виходить з каталізаторної коробки, послідовно проходить чотири шари
каталізатора, на якому здійснюється синтез аміаку. Температурний режим перед
кожною полицею підтримують подачею газу між полицями. Газ відбирають з потоку
перед колоною з температурою до 190 ° С.
Пройшовши четвертий, нижній шар
каталізатора, азотоводородоаміачна суміш із вмістом аміаку - 15% і температурою
500 - 515 ° С по центральній трубі піднімається вгору, входить до трубки
внутрішнього теплообмінника, охолоджуючись до температури 330 ° С, і виходить з
колони синтезу. Далі газова суміш проходить трубний простір підігрівача
живильної води 3, охолоджуючись до температури 215 ° С. Після проходження
трубного простору виносного теплообмінника 4, вона охолоджується входять
циркуляційним газом до 65 ° С. З 65 ° С до 40 ° С газ охолоджується в апаратах
повітряного охолодження 5 (вузол первинної конденсації), де з газу
конденсується частина аміаку. Сконденсуваний аміак відділяється в сепараторі
15, а газова суміш, що містить 10 - 12% NH3, надходить у азотоводородний
компресор, де стискається ще раз до 320 * 105 Па.
Циркуляційний газ з температурою 50
° С надходить у систему вторинної конденсації, що складається з конденсаційної
колони 8 і випарників рідкого аміаку 9. Газ подається в конденсаційну колону
зверху, проходить міжтрубний простір теплообмінника, охолоджуючись до 18 ° С
газом, що йде по трубках. Далі газ надходить у випарник рідкого аміаку, де,
проходячи по U-подібним трубкам високого тиску, охолоджується до - 5 ° С за
рахунок кипіння аміаку при температурі - 10 ° С в міжтрубному просторі
випарника. Газоподібний аміак з міжтрубному простору випарника направляється в
холодильну установку для зріджування аміаку і повернення в випаровувачі.
З трубного простору випарника суміш
охолодженого циркуляційного газу і сконденсировавшейся аміаку надходить у
сепараційні частина конденсаційної колони, де відбувається відділення рідкого
аміаку від газу. Тут же свіжий газ змішується з циркуляційним. Далі газова
суміш проходить кошик, заповнену напівфарфоровими кільцями, де відокремлюється
від крапель рідкого аміаку, піднімається по трубках теплообмінника
конденсаційної колони і направляють у виносноїй теплообмінник, а потім - в
колону синтезу аміаку. Так циркуляційний цикл замикається.
Рідкий аміак після первинного
сепаратора з температурою 40 ° С, пройшовши магнітні фільтри 7, очищається від
каталізаторного пилу, дросселірується до тиску 20 * 105 Па і надходить у
збірник рідкого аміаку 13, куди також під тиском 20 * 105 Па надходить аміак з
конденсаційної колони. За рахунок дроселіровання рідкого аміаку з високого
тиску до тиску 20 * 105 Па відбувається виділення розчинених у рідкому аміаку
газів Н2, N2, Аr, СН4. Ці гази, звані танковими, містять близько 16% NH3.
Утилізація аміаку з танкових газів проводиться шляхом його конденсації в
випарнику 12 на лінії танкових газів при температурі від мінус 20 до мінус 25 °
С.
З випарника танкові гази і
зконденсований аміак надходять в сепаратор 15, там рідкий аміак відокремлюється
і подається в збірник рідкого аміаку 13. Для підтримки в циркуляційному газі
змісту інертний в межах 14-18% виробляють постійний відбір частини газу після
первинної конденсації. Кількість продувних газів залежить від змісту інертних
домішок у свіжому газі, тиску в системі синтезу, активності каталізатора і
коливається в межах 3-8 тис.м3. Аміак з продувних газів виділяється при
температурі (-25) (-30) ° С в конденсаційної колоні 10 і випарнику 11. Суміш
танкових і продувних газів, після виділення аміаку, аргону, водню і гелію
використовують як паливний газ, для чого вона направляється на спалювання в
блок риформінгу метану [1,10].
.3.6 Розрахунок матеріально -
теплового балансу циклу синтезу аміаку
Розрахунок матеріально - теплового
балансу циклу синтезу аміаку проводять з метою визначення складу газових
потоків і витрати газової суміші у всіх основних точках схеми, виходу
виділяється при первинній та вторинній конденсації аміаку, обсягу і складу
розчинених і продувних газів, видаткового коефіцієнта по свіжому газу, а також
інших кількісних показників роботи агрегату. Зазначені розрахунки необхідні як
для проектування нових виробництв, так і для вибору оптимальних технологічних
режимів роботи діючих установок. При проектуванні нових виробництв вихідними
даними для розрахунку можуть бути продуктивність агрегату по аміаку, склад і
температура свіжого газу, прирощення вмісту аміаку в колоні, тиск і температура
в первинному конденсаторі і в випарнику аміаку, тиск, об'ємна швидкість н склад
газу на вході в колону і інші параметри. При проведенні перевірочних
розрахунків в якості вихідних показників можуть бути використані тиск і витрата
газу перед колоною, обсяг каталізатора, вміст аміаку в газі після колони, тиск
і температура первинної та вторинної конденсації, температура, склад н витрата
свіжого газу. Як приклад розглянуто розрахунок широко поширеною схеми циклу
синтезу аміаку з двоступеневою конденсацією продукту та введенням свіжого газу
в сепараційні частина конденсаційної колони. На малюнку 10 наведена зазначена
схема агрегату з позначенням характерних точок, для яких ведеться розрахунок
матеріальних потоків: I - колона синтезу аміаку, II-первинний конденсатор, III
- вторинний конденсатор, IV-випарник аміаку.
Рис 1.5 Схема циклу синтезу аміаку
Вихідні дані дли розрахунку: Мольна
частка метану у свіжому газі NCH4,0 Мольна частка аргону в свіжому
газі NAr,0 Температура свіжого газу t0 Мольна частка
метану і газі на вході в колону синтезу аміаку NCH4, 3 Мольна частки аргону у
газі на вході в колону синтезу аміаку NAr,3 Тиск первинної
конденсації Р3 Температура первинної конденсації t3 Тиск вторинної
конденсації P6 Температура вторинної конденсації t6 Продуктивність
колони по аміаку П Мольна частка аміаку z Тиск у колоні синтезу Р1 Об'ємна
швидкість газу W
Розрахунок циклу синтезу аміаку
починають зазвичай з розрахунку колони синтезу. Розрахунок ведуть зазвичай на
1000 м3 газової суміші на вході в колону, задаючись вмістом аміаку і метану в
газі перед колоною. У результаті розрахунку отримують основні параметри в точці
2. Далі розраховують первинний конденсатор і отримують складу і витрати газу в
точці 3, обсяг розчинених газів і сконденсировавшейся аміаку.
Перед розрахунком вузла продувки
розраховують випарник аміаку при V4 = 1, а потім обсяг продувних газів за
метаном. Так як необхідна для розрахунків кількість випарувався в
конденсаційної колоні аміаку (Gі) невідомо, задаються наближеним значенням цієї
величини. Знаючи обсяг продувки, визначають обсяг газу на вході у випарник (V4)
і виході з випарника (V5), кількість сконденсировавшейся у випарнику, аміаку
(GK, II), обсяг розчинилися в рідкому аміаку газів (VP, II) і обсяг свіжого
газу ( V0).
Після цього переходять до розрахунку
сепараційній частини конденсаційної колони і визначають t6 і Gі. Використовуючи
уточнене значення Gі, методом послідовних наближень повторюють розрахунки вузла
продувки і сепараційній частини конденсаційної колони до збіжності величини Gі.
Потім знаходять величину продувки по аргону і коректують вміст метану в газі на
вході в колону синтезу.
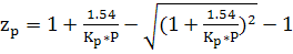
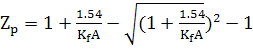
Вміст аміаку в точці 6 визначають за
рівнянням
z6 =
Оскільки склади газів в точках 1 і 5
повинні збігатися, Z1 повинна дорівнювати z6. Так як Z1 було вибрано довільно,
уточнене значення знаходять методом послідовних наближень. У завершальній
частині розрахунку перераховують всі потоки по заданій продуктивності і отримує
витратний коефіцієнт по свіжому газу (таблиця 8) наведено вихідні дані,
використані для розрахунку агрегату синтезу аміаку продуктивністю 1360 т / добу
і отримана на підставі цих даних таблиця матеріально-теплового балансу циклу
синтезу аміаку.
Таблиця 1,2 Газовий баланс блоку синтезу
аміаку
|
Компонент
|
NH3
|
N2 + 3H2
|
CH4
|
Ar
|
Всего
|
|
Единица
измерения
|
% (об.) м3/т м3/ч кг/ч
|
% (об.) м3/т м3/ч кг/ч
|
% (об.) м3/т м3/ч кг/ч
|
% (об.) м3/т м3/ч кг/ч
|
м3/т м3/ч кг/ч
|
|
Вход
в колонну синтеза
|
3.39 419.40 23765.70 18323.60
|
81.61 10086.90 571592.70 216899.00
|
10.99 1358.90 77002.70 55001.90
|
4.01 495.10 28060.50 50108.10
|
12360,40 700422.00 340332,60
|
|
Выход
из колонны синтеза
|
15.57 1716.30 97257.80 74986.80
|
67.61 7451.80 422267.20 160235.30
|
12.33 1358.90 77002.70 55001.90
|
4.49 495.20 28060.50 50108.10
|
11022.10 624588.00 340332.10
|
|
Газ,
растворенный в I конденсаторе
|
0.00 0.00 0.00 0.00
|
58.45 8.80 497.00 188.60
|
35.73 5.40 303.80 217.00
|
5.82 0.90 49.5 88.4
|
|
Продувка
|
11.95 16.00 906.40 698.80
|
70.54 94.50 5352.50 2031.10
|
12.83 17.20 973.40 695.30
|
4.68 6.30 355.50 634.80
|
133.90 7588.00 4059.90
|
|
Вход
в конденсационную колонну
|
11.95 1244.40 70513.60 54366.70
|
70.54 7348.50 416417.70 158015.70
|
12.83 1336.30 75725.60 54089.70
|
4.68 488.00 27655.60 49384.90
|
10417.30 590312.00 315857.00
|
|
Газ,
растворенный в II конденсаторе
|
0.00 0.00 0.00 0.00
|
55.19 10.40 590.30 224.00
|
38.34 7.20 410,20 293.00
|
6.47 1.20 69.20 123.60
|
18.90 1070.00 640.60
|
|
Выход
из испарителя аммиака
|
3.14 296.30 16790.70 12945.80
|
77.65 7338.10 415827.40 157791.60
|
14.06 1329.10 75315.40 53796.70
|
5.15 486.80 27586.40 49261.30
|
9450.40 535520.00 273795.50
|
|
Свежий
газ
|
0.00 0.00 0.00 0.00
|
98.63 2744.70 155533.10 59019.20
|
1.07 29.80 1687.30 1205.20
|
0.30 8.30 473.10 844.80
|
2782.80 157693.00 61069.30
|
Вихідні дані для розрахунку:
Добова продуктивність по аміаку, т /
добу 1360
Тиск у колоні синтезу аміаку, МПа
30.0
Об'ємна швидкість газу, ч-1 20 000
Константа швидкості реакції в кінці
кампанії 57000
Коефіцієнт корисної дії колони 0.9
Зміст інертний перед колоною,% (о.)
15
Тиск при первинній конденсації, МПа
28.2
Температура газу після первинної
конденсації, ° С 40
Тиск при вторинної конденсації, МПа
30.5
Температура газу після вторинної
конденсації, ° С -2
Температура свіжого газу, ° С 45
Зміст аргону у свіжому газі,% (о.)
0.3
Продуктивність агрегату:
П = 1360 т / добу (56670 кг / год =
73500 м3 / ч)
Таблиця 1.3. Баланс аміаку
|
Единица
измерения
|
Колонна
синтеза
|
I
конденсация
|
Продувка
|
II
конденсация
|
Конденсационная
колонна (испарение)
|
|
м3/т
кг/Т мЗ/ч кг/ч
|
1297.0
1000.0 73497.0 56667.0
|
455.9
351.5 25837.0 19920.0
|
15.9
42.3 906.4 698.8
|
825.1
636.1 46754.0 36047.0
|
122.9
94.8 6966.0 5371.0
|
Вміст аміаку в циркуляційному газі
на вході в колону синтезу:
СNH3, 1 = 3.17% (о.)
Вміст аміаку на виході з колони
синтезу:
СNH3, 2 = 16.27% (о.)
Умови первинної конденсації аміаку:
тиск Р3 = 28.0 МПа
температура t3 = 40 ° С
Умови вторинної конденсації аміаку:
тиск Р6 = 30.0 МПа
температура t6 = - 4 ° С
Зміст інертних домішок у
циркуляційному газі на вході в колону синтезу:
метану СCH4, 1 = 9.97% (о.)
Зміст інертних домішок у свіжому
газі:
метану СCH4, 0 = 0.96% (о.)
аргону Сar, 0 = 0.31% (о.)
Частка відбору циркуляційного газу
на продування (приймається, виходячи з практичного досвіду; може бути змінена з
урахуванням балансу за інертним домішках):
Розрахунок γпр
= 0.0146 м3/м3
Визначення загального обсягу газу,
що надходить в колону синтезу аміаку
Визначення загального обсягу (в м3 /
ч) газу, що надходить в колону синтезу аміаку визначається за рівнянням (59):
1
=
де П - продуктивність агрегату, кг /
год; - вміст аміаку на вході в колону синтезу,% (о.); - вміст аміаку на виході
з колони синтезу,% (о.); 0.771 - щільність аміаку, кг/м3; 1.0316 - поправочний
коефіцієнт, що враховує відмінність мольних об'ємів аміаку і азоту-водневої
суміші (АВС) при нормальних умовах.
1
=
=
655256.54 м3/ч
Таблиця 1.4 Вміст газу на вході в
колону синтезу
|
Компоненты
|
V,
м3/ч
|
С,
% (об.)
|
|
Аммиак
АВС Аргон Метан Всего
|
20
771.63 542 748.99 26 406.84 65 329.08 655 256.54
|
3.17
82.83 4.03 9.97 100.00
|
Визначення складу циркуляційного
газу на виході з колони
У розрахунках виходять з того, що
при утворенні аміаку обсяг азотоводородной суміші зменшується в 2.03 рази
(обсяг 1 моль аміаку 22.05л, а обсяг 1 моль азоту і водню 22.4 л).
Маса інертних домішок у
циркуляційної суміші залишається колишньою.
Таблиця 1.5. - Склад газу, що
виходить з колони синтезу
|
Компоненты
|
V,
м3/ч
|
С,
% (об.)
|
|
Аммиак
АВС Аргон Метан Всего
|
20771.63
+ 73500 = 94271.63 542748.99 - 2,03 * 73500 = 393543.99 26406.84 66329.08
579551.54
|
16.27
67.90 4.56 11.27 100.00
|
2
= 579551.54 м3/ч
Розрахунок вузла первинної
конденсації аміаку
Конденсація відбувається при 28.0
МПа і 40 ° С. Рівноважний вміст аміаку в газовій суміші за цих умов становить
=
11.78% (о.). Вихід сконденсировавшейся рідкого аміаку визначають за формулою
,I =
де -
витрата надходить на конденсацію газу, м3 / год;,
,
-
вміст аміаку в циркуляційному газі відповідно до і після конденсації,% (о.);
-
питома кількість розчинених газів на 1 м3 рідкого аміаку.
=
,
Де
,
,
-
вміст у вихідному з конденсатора газу відповідно метану, аргону,
азотоводородной суміші з урахуванням їх розчинності,% (об);
-
тиск циркуляційного газу при первинній конденсації, МПа;
,
,
-
розчинність газів в 1 м3 рідкого аміаку, м3 / (кгс/см2 ) (з рівнянь, що
апроксимують експериментальні дані:
= (0.185 + 0.035t3)
* 10-3 = [0.185 + 0.035 *40] *10-3 = 0.325*10-3
м3/(кгс/см2 )
= (0.085 + 0.014t3)*
10-3 = [0.085 + 0.0014*40] • 10-3 = 0.145*10-3
м3/(кгс/см2)
= 0.7*10-4
+ 0.242*10-4
+ 0.25* 10-5
=
0.967*10-4 м3/(кгс/см2)
де
-
температура первинної конденсації, ° С.
∑p1 =
(0.325*10-3
*11.84 + 0.145*10-3 *4.80 + 0.967 *10-4 *71.58) = 0.0327
м3/м3,I =
=29625.99 м3/ч
Визначення кількості газів,
розчинених у рідкому аміаку за рівнянням:
P,CH4,I
= 10
P3
Gk,I
(62)
P,CH4,I
= 0.325*10-3 *286 *29625.99
=
325.22 м3/ч
Аналогічні розрахунки ведуть для
аргону і азотоводородной суміші:P,Ar,I = 0.145 * 10-3 *
286 *29625.99
= 59.09 м3/чP,авс,I
= 0.967 *10-3 *286*29625.99
=
586.65 м3/ч
Всього розчинилося в рідкому аміаку
газів:
P,I
= VP,CH4,I + VP,Ar,I + VP,авс,I (63)
P,I
= 325.22 + 59.09 + 586.65 =970.96 м3/ч
Таблиця 1.6. - Склад газу після
первинної конденсації аміаку (з урахуванням розчинності компонентів)
|
Компоненты
|
V,
м3/ч
|
С,
% (об.)
|
|
Аммиак
АВС Аргон Метан Всего
|
94271.63
- 29625.99 = 64645.64 393543.99 - 586.65 = 392957,34 26406.84 - 59.09 =
26347.75 65329.08 - 325.22 = 65003.86 548954.59
|
11.78
71.58 4.80 11.84 100.00
|
3
= 548954.59 м3/ч
Висновок
Сполуки азоту грають виключно
важливу роль в житті на Землі, оскільки вони є складовою частиною всіх білкових
з'єднань і знаходять широке застосування у всіх областях діяльності людини.
Азот - один з найбільш поширених елементів в земній корі (близько 0.04%), а
вміст його в повітрі становить 78% (о.). Проте зважаючи великої міцності
зв'язку в молекулі азоту проблема отримання його сполук штучним шляхом була
вирішена порівняно недавно.
В даний час основним проміжним
продуктом для отримання величезного числа різних азотовмісних сполук є аміак, а
синтез його з водню та азоту - єдиним великомасштабним методом виробництва
цього найважливішого продукту.
Дослідження каталітичного синтезу
аміаку проводилися вченими різних країн, тому вирішення цієї проблеми носить
інтернаціональний характер.
Сучасні агрегати синтезу аміаку
потужністю створені на основі останніх досягнень науки і техніки, що дозволило
добитися значного зниження енерго-матеріальних і капітальних витрат,
забезпечити низьку собівартість продукції, що випускається і високу
продуктивність праці. Все це досягнуто в результаті розробки скоєних
енерго-технологічних схем, що забезпечують високий к.к.д. використання сировини
і палива, застосування високопродуктивного обладнання, ефективніших машин
(відцентрових компресорів та циркуляційних насосів, абсорбційної-холодильних
установок), застосування більш активних, стабільних і селективних
каталізаторів, нових ефективних поглиначів, комплексної автоматизації
виробництва. аміак синтез кінетика термодинаміка. В ході курсової роботи було
досліджено процес виробництва аміаку, охарактеризована сировинна база та
області застосування продукту, вивчені фізико - хімічні основи і кінетика
процесу, описана схема технологічного процесу та основних апаратів, дана оцінка
екологічності виробництва і приведений матеріальний баланс.
Список літератури
1) Технологія
аміаку. Навчальний посібник / Янковський М.А., Демиденко І.М., Мельников Б.І.,
Лобойко О.Я., Корона Г.М. Дніпропетровськ: УДХТУ, 2004-300с
2) Курс
технології зв’язаного азоту. / Під ред. Атрощенко В.І./ - М., Хімія, 1969, с.
387
) Довідник
азотчика. Видавництво «Хімія» том 1. Редакційна колегія: канд. екон. наук Н.А.
Симулін, Є.Я. Мельников, докт. хім. наук, проф. М.С. Фурман