Дисконтирование денежных потоков
министерство образования и науки Российской федерации
Государственное
образовательное учреждение высшего профессионального образования
Тюменский государственный архитектурно - строительный университет
Курсовая
работа
по
дисциплине «Финансовый менеджмент»
Выполнила: Тихонова Е.В.
студентка группы ЭУС-08з
номер зачетной книжки 014
Проверила: Васильев В.Д.
Тюмень-2014
Оглавление
Введение
1. Денежные потоки
.1 Понятие и виды денежного
потока
1.2 Состав денежных потоков
по отдельным видам деятельности
1.3 Управление денежными
потоками: теоретические аспекты
1.4 Наращение денежных
потоков
1.5 Дисконтирование денежных
потоков
2. Оптимизационный
подход
Заключение
Список используемой
литературы
Введение
В системе управления различными аспектами деятельности любого
предприятия в современных условиях наиболее сложным и ответственным звеном
является управление финансами - финансовый менеджмент. Менеджмент - процесс
управления предприятием. Финансовый менеджмент - часть общего процесса
управления предприятием.
В настоящее время существует множество точек зрения на
содержание, цели, функции финансового менеджмента.
Задачи оперативного (текущего) финансового менеджмента
заключаются в оперативном учете, анализе, контроле и принятии решений по
стабильному функционированию коммерческого предприятия, обеспечению нормальных
оценочных финансовых показателей. Тактический финансовый менеджмент
обеспечивает выбор наиболее оптимального решения и наиболее приемлемых в данной
конкретной хозяйственной ситуации методов и приемов для достижения поставленной
цели в конкретных условиях. Финансовый менеджмент стратегического направления
обеспечивает разработку общего направления и способы использования средств для
достижения перспективных целей функционирования капитала (моделирование
стратегической дивидендной политики, принятие решений по долгосрочным
инвестиционным проектам, использование новых инструментов долгосрочного
финансирования и т.д.).
Цель работы - самостоятельно выполнить финансовые расчеты, сделать выводы
из проведенных исследований и расчетов и закрепить знания по дисциплине
«Финансовый менеджмент».
Задачи:
. Краткое научное исследование на тему «Модели аналитики и денежных
потоков»;
. Определение наилучшей структуры капитала ОАО «Ханты-Мансийскдорстрой»
1. Денежные потоки
1.1 Понятие
и виды денежного потока
Движение денежных средств, получаемых и расходуемых предприятием в
наличной и безналичной форме, называют в финансовом менеджменте денежными
потоками.
Эти потоки бывают двух видов: положительные и отрицательные.
Положительные потоки (притоки) отражают поступление денег на предприятие,
отрицательные (оттоки) - выбытие или расходование денег предприятием. Перевод
денег из кассы на расчетный счет и подобные ему внутренние перемещения денег не
рассматриваются в качестве денежных потоков.
Важнейшим условием возникновения денежного потока является пересечение им
условной «границы» предприятия. Разница между валовыми притоками и оттоками
денежных средств за определенный период времени называется чистым денежным потоком.
Он также может быть положительным или отрицательным (притоком и оттоком).
В отличие от прибыли и издержек денежные потоки имеют конкретный
характер. Если показатель бухгалтерской прибыли базируется на многочисленных,
часто очень условных расчетах, денежный поток всегда очевиден - достаточно
сальдировать притоки и оттоки (каждый элемент которых подтверждается банковской
выпиской или кассовым документом), чтобы получить итоговую величину чистого
денежного потока.
Поэтому в финансах любой актив или хозяйственная операция оцениваются,
прежде всего, с точки зрения величины и направленности денежных потоков,
порождаемых активом или операцией.
Транзакция, не оказывающая влияния на денежные потоки предприятия, не
представляет интереса для финансов. Однако очень трудно привести пример
операций, не влекущих за собой изменений в денежных потоках.
Все денежные потоки предприятия объединяются в три основные группы:
потоки от операционной, инвестиционной и финансовой деятельности.
Главным источником денежных поступлений предприятия является его основная
деятельность - производство и реализации продукции для завода, розничная
торговля для магазина и т.п. [1]
1.2 Состав
денежных потоков по отдельным видам деятельности
Схематично состав и структура денежных потоков представлена на рис. 1
Выручки от реализации продукции (работ, услуг), погашения дебиторской
задолжности, получаемых от покупателей авансов.
Операционные потоки - это оплата счетов поставщиков и подрядчиков,
выплата заработной платы, платежи в бюджет и внебюджетные фонды, уплата
процентов за кредит. Этот перечень включает в себя практически все текущие
операции предприятия, связанные с использованием оборотных средств.
Под инвестиционной деятельностью в мировой практике понимается
деятельность предприятия по осуществлению долгосрочных сложений, причем
учитываются не только реальные, но и долгосрочные финансовые инвестиции.
Денежные потоки от инвестиционной деятельности включают в себя оплату
приобретаемых основных фондов, капитальные вложения в строительство новых
объектов, приобретение предприятий или пакетов их акций (долей в капитале) с
целью получения дохода либо для осуществления контроля за их деятельностью,
предоставление долгосрочных займов другим предприятиям.
К финансовой деятельности относятся операции по формированию капитала
предприятия. Финансовые притоки - это суммы, вырученные от размещения новых
акций или облигаций, краткосрочные и долгосрочные кредиты и займы, целевое
финансирование из различных источников. Оттоки включают в себя возврат займов и
кредитов, погашение облигаций, выкуп собственных акций, выплату дивидендов.
Группировка денежных потоков предприятия по видам деятельности
значительно повышает аналитичность отчетной информации. Финансовый менеджер
(или кредитор) может видеть, какие именно источники приносят предприятию
наибольшие денежные поступления и какие - потребляю их в большом объеме. У
нормального функционирующего предприятия совокупный чистый денежный поток
должен стремиться к нулю, то есть все заработанные в отчетном периоде денежные
средства должны быть эффективно инвестированы.
Деление денежных потоков на операционную, инвестиционную и финансовую
составляющие обусловлено исключительно потребностями финансового менеджмента. [1]
1.3 Управление денежными потоками:
теоретические аспекты
Среди главных проблем российской экономики многие экономисты выделяют
дефицит денежных средств на предприятиях для осуществления ими
своей текущей и инвестиционной деятельности. Однако при ближайшем рассмотрении
данной проблемы выясняется, что одной из причин этого дефицита является, как
правило, низкая эффективность привлечения и использования денежных ресурсов,
ограниченность применяемых при этом финансовых инструментов, технологий
и механизмов. Поскольку финансовые инструменты и технологии всегда
опираются на разработки финансовой науки и практики, то их применение
особенно актуально при недостатке финансовых ресурсов.
С другой стороны, управление денежными потоками
входит в состав финансового менеджмента и осуществляется в рамках финансовой
политики предприятия, понимаемой как общая финансовая идеология, которой
придерживается предприятие для достижения общеэкономической цели его
деятельности. Задачей финансовой политики является построение
эффективной системы управления финансами, обеспечивающей
достижение стратегических и тактических целей деятельности предприятия.
Стратегический и тактический аспекты финансовой политики тесно
взаимосвязаны: правильный выбор стратегии создает благоприятные возможности для
решения тактических задач. Дело в том, что финансовая тактика:
) охватывает ряд конкретных практических мер, способов и приемов
реализации выбранной финансовой стратегии;
) подчинена стратегии и в то же время корректирует отдельные направления
использования, и накопления финансовых ресурсов в рамках коротких отрезков
времени;
) обеспечивает реализацию стратегических целей предприятия с наименьшими
затратами времени и ресурсов в текущем периоде.
Отсюда видно, что управление денежными потоками можно отнести к
тактическому направлению финансовой политики предприятия.
Финансовые ресурсы и денежный поток.
Финансовые ресурсы, относящиеся к сфере распределения, являются важным
элементом воспроизводства и составляют основу системы управления материальными
и денежными потоками предприятия. Финансовые ресурсы предприятия находятся в
постоянном движении, управление которым и осуществляется в рамках финансового
менеджмента. В свою очередь, денежные потоки предприятия представляют собой
движение (притоки и оттоки) денежных средств на расчетном, валютном и иных
счетах и в кассе предприятия в процессе его хозяйственной деятельности, в
совокупности составляя его денежный оборот.
Вот почему темпы стратегического развития и финансовая устойчивость
предприятия в значительной мере определяются тем, насколько притоки и оттоки
денежных средств синхронизированы между собой во времени и по объемам,
поскольку высокий уровень такой синхронизации и обеспечивает ускоренную
реализацию выбранных целей.
Действительно, рациональное формирование денежных потоков способствует
ритмичности операционного цикла предприятия и обеспечивает рост объемов
производства и реализации продукции. При этом любое нарушение платежной
дисциплины отрицательно сказывается на формировании производственных запасов сырья
и материалов, уровне производительности труда, реализации готовой продукции,
положении предприятия на рынке и т.п. Даже у предприятий, успешно работающих на
рынке и генерирующих достаточную сумму прибыли, неплатежеспособность может
возникать как следствие несбалансированности различных видов денежных потоков
во времени.
С другой стороны, управление денежными потоками является важным фактором
ускорения оборота капитала предприятия. Это происходит за счет сокращения
продолжительности операционного цикла, более экономного использования
собственных и уменьшения потребности в заемных источниках денежных средств.
Следовательно, эффективность работы предприятия полностью зависит от
организации системы управления денежными потоками. Данная система создается для
обеспечения выполнения краткосрочных и стратегических планов предприятия,
сохранения платежеспособности и финансовой устойчивости, более рационального
использования его активов и источников финансирования, а также минимизации
затрат на финансирование хозяйственной деятельности.
Система управления денежными потоками.
Если объектом управления в данной системе выступают денежные потоки
предприятия, связанные с осуществлением различных хозяйственных и финансовых
операций, то субъектом управления является финансовая служба, состав и
численность которой зависит от размера, структуры предприятия, количества
операций, направлений деятельности и других факторов:
) в малых предприятиях главный бухгалтер часто совмещает функции
начальника финансового и планового отделов;
) в средних - выделяются бухгалтерия, отдел финансового планирования и
оперативного управления;
) в крупных компаниях структура финансовой службы существенно расширяется
- под общим руководством финансового директора находятся бухгалтерия, отделы
финансового планирования и оперативного управления, а также аналитический
отдел, отдел ценных бумаг и валют.
Что же касается элементов системы управления денежными потоками, то к ним
следует отнести финансовые методы и инструменты, нормативно-правовое, информационное
и программное обеспечения:
· среди финансовых методов, оказывающих непосредственное
воздействие на организацию, динамику и структуру денежных потоков предприятия,
можно выделить систему расчетов с дебиторами и кредиторами; взаимоотношения с
учредителями (акционерами), контрагентами, государственными органами;
кредитование; финансирование; фондообразование; инвестирование; страхование;
налогообложение; факторинг и др.;
· финансовые инструменты объединяют деньги, кредиты, налоги,
формы расчетов, инвестиции, цены, векселя и другие инструменты фондового рынка,
нормы амортизации, дивиденды, депозиты и прочие инструменты, состав которых
определяется особенностями организации финансов на предприятии;
· нормативно-правовое обеспечение предприятия состоит из системы
государственных законодательно-нормативных актов, установленных норм и
нормативов, устава хозяйствующего субъекта, внутренних приказов и распоряжений,
договорной базы.
· в современных условиях необходимым условием успеха бизнеса
является своевременное получение информации и оперативное реагирование на нее,
поэтому важным элементом управления денежными потоками предприятия является
внутрифирменная информация.
· использование прикладных бухгалтерских программ обеспечивает
финансового менеджера учетной и часто аналитической информацией, поэтому к
выбору таких программ нужно подходить осторожно, выбирая такой программный
продукт, который наиболее полно удовлетворял бы требованиям надежности,
достоверности и прозрачности информации, гибкости в настройках под особенности
бизнеса предприятия, а также соответствовал бы действующему законодательству.
Таким образом, система управления денежными потоками на предприятии -
это совокупность методов, инструментов и специфических приемов
целенаправленного, непрерывного воздействия со стороны финансовой службы
предприятия на движение денежных средств для достижения поставленной цели.
Эффективное управление денежными потоками повышает степень финансовой и
производственной гибкости компании, так как приводит к:
· улучшению оперативного управления, особенно с точки зрения
сбалансированности поступлений и расходования денежных средств;
· увеличению объемов продаж и оптимизации затрат за счет больших
возможностей маневрирования ресурсами компании;
· повышению эффективности управления долговыми обязательствами
и стоимостью их обслуживания, улучшению условий переговоров с кредиторами и
поставщиками;
· созданию надежной базы для оценки эффективности работы
каждого из подразделений компании, ее финансового состояния в целом;
· повышению ликвидности компании.
В результате высокий уровень синхронизации поступлений и расходований
денежных средств по объему и во времени позволяет снизить реальную потребность
предприятия в текущем и страховом остатках денежных активов, обслуживающих основную
деятельность, а также резерв инвестиционных ресурсов для осуществления
реального инвестирования.
Такое балансирование притоков и оттоков денежных средств на стадии
планирования осуществляется путем разработки бюджета движения денежных средств
(БДДС), формат которого зависит от особенностей бизнеса конкретного
предприятия. Результатом расчетов является определение чистого денежного потока
за бюджетный период, отражаемого отдельной строкой как «кассовый рост или
уменьшение» в зависимости от своего значения (положительного или
отрицательного) и сальдо денежных средств на конец планового периода. Если
последнее отрицательно или меньше минимально установленного норматива, то,
во-первых, проводится анализ притоков и оттоков денежных средств с целью выявления
дополнительных резервов, а во-вторых, составляется кредитный план по
привлечению внешних источников финансирования.
Решение о привлечении кредита принимается при условии большей
экономической целесообразности данного способа внешнего финансирования по сравнению
с прочими имеющимися в наличии способами покрытия кассового разрыва (увеличение
авансирования от покупателей, изменение условий коммерческого кредита, прирост
устойчивых пассивов). В настоящее время банки предлагают различные кредитные
продукты: овердрафт, срочные кредиты, кредитные линии, банковские гарантии,
аккредитивы и др. Для устранения краткосрочных кассовых разрывов
предпочтительным считается использование овердрафта, но при постоянном
использовании заемного капитала выбор видов кредитных продуктов должен
основываться на учете действия финансового и операционного рычагов.
На стадии оперативного управления синхронизация денежных потоков
осуществляется посредством составления и выполнения платежного календаря,
отражающего конкретные сроки, объемы, источники поступлений и направления
расходования денежных средств.
Учет факторов, влияющих на денежный поток.
Все факторы, влияющие на формирование денежных потоков, можно разделить
на внешние и внутренние. К внешним факторам относятся: конъюнктура товарного и
финансового рынков, система налогообложения предприятий, сложившаяся практика
кредитования поставщиков и покупателей продукции (правила делового оборота),
система осуществления расчетных операций хозяйствующих субъектов, доступность
внешних источников финансирования (кредитов, займов, целевого финансирования).
Среди внутренних факторов следует выделить стадию жизненного цикла, на
которой находится предприятие, продолжительность операционного и
производственного циклов, сезонность производства и реализации продукции,
амортизационную политику предприятия, неотложность инвестиционных программ,
личные качества и профессионализм руководящего звена предприятия.
Построение системы управления денежными потоками предприятия базируется
на следующих принципах:
· информативной достоверности и прозрачности;
· плановости и контроля;
· платежеспособности и ликвидности;
· рациональности и эффективности.
Основой управления является наличие оперативной и достоверной учетной
информации, формируемой на базе бухгалтерского и управленческого учета. Состав
такой информации весьма разнообразен: движение средств на счетах и в кассе
предприятия, дебиторская и кредиторская задолженность предприятия, бюджеты
налоговых платежей, графики выдачи и погашения кредитов, уплаты процентов,
бюджеты предстоящих закупок, требующих предварительной оплаты, и многое другое.
Сама же информация поступает из различных источников, ее сбор и систематизация
должны быть отлажены с особой тщательностью, поскольку запаздывание и ошибки
при предоставлении информации могут привести к серьезным последствиям для всей
компании в целом. При этом каждое предприятие самостоятельно определяет формат
предоставления, периодичность сбора информации, схему документооборота.
Но главная роль в управлении денежными потоками отводится обеспечению их
сбалансированности по видам, объемам, временным интервалам и другим
существенным характеристикам. Чтобы успешно решить эту задачу, нужно внедрить
на предприятии системы планирования, учета, анализа и контроля. Ведь планирование
хозяйственной деятельности предприятия в целом и движения денежных потоков в
частности существенно повышает эффективность управления денежными потоками, что
приводит к:
· сокращению текущих потребностей предприятия в них на основе
увеличения оборачиваемости денежных активов и дебиторской задолженности, а
также выбора рациональной структуры денежных потоков;
· эффективному использованию временно свободных денежных
средств (в том числе страховых остатков) путем осуществления финансовых
инвестиций предприятия.
· обеспечению профицита денежных средств и необходимой
платежеспособности предприятия в текущем периоде путем синхронизации
положительного и отрицательного денежного потока в разрезе каждого временного
интервала.
Таким образом, управление денежными потоками - важнейший элемент
финансовой политики предприятия, оно пронизывает всю систему управления
предприятия. Важность и значение управления денежными потоками на предприятии
трудно переоценить, поскольку от его качества и эффективности зависит не только
устойчивость предприятия в конкретный период времени, но и способность к
дальнейшему развитию, достижению финансового успеха на долгую перспективу.[2]
1.4
Наращение денежных потоков
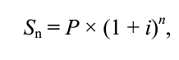
Основная формула теории процентов определяет будущую стоимость денег: (1)
где Sn - будущее значение стоимости денег; P - настоящее значение вложенной суммы
денег; n - количество периодов времени, на
которое производится вложение; i -
норма доходности (прибыльности) от вложения.
Простейшим способом эту формулу можно проинтерпретировать, как
определение величины депозитного вклада в банк при депозитной ставке (i) (в долях единицы).
Существо процесса наращения денег не изменяется, если деньги
инвестируются в какой-либо бизнес (предприятия). Главное, чтобы вложение денег
обеспечивало доход, то есть увеличение вложенной суммы.
Существует несколько правил, позволяющих быстро рассчитать срок удвоения
первоначальной суммы для конкретной процентной ставки.
Правило «72»:
(2)
Правило «69» (более точное)
Здесь, однако, следует иметь ввиду, что при выводе этих правил
используются математические формулы, дающие верный результат не для любых
значений входящих в них величин. Например, выражение 1/x<x (x>0) неверно при x>1.
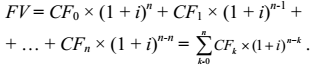
Денежный поток принято изображать на временной линии в одном из двух
способов:
Представленный на рисунке денежный поток состоит в следующем: в настоящее
время выплачивается (знак «минус») 2,000 долларов, в первый и во второй годы
получено, 1,000, в третий - 1,500, в четвертый - снова 1,000 долларов. Элемент денежного потока принято обозначать CFk (от Cash Flow), где k -
номер периода, в который рассматривается денежный поток. Настоящее значение
денежного потока обозначено PV (Present Value), а будущее значение - FV (Futyre Value).
Для всех элементов денежного потока от 0 до n получим будущее значение денежного потока:
Для вычисления будущего значения аннуитета используется формула:
При CFk = const и CFo=0.
расчет будущего значения аннуитета может производиться с помощью
специальных финансовых таблиц. [1]
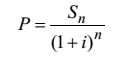
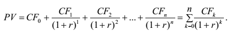
1.5
Дисконтирование денежных потоков
Настоящее (современное) значение стоимости определенной
будущей суммы денег определяется с помощью формулы дисконтирования:
В этом смысле величина (i)
интерпретируется как ставка дисконта и часто называется просто дисконтом.
дисконтирование денежных потоков осуществляется путем многократного
использования многократного использования формулы, что в конечном итоге
приводит к следующему выражению:
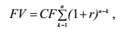
Дисконтирование аннуитета (CFj=const) осуществляется по формуле:
Современное значение бесконечного (по времени) потока денежных средств
определяется по формуле:
Которая получается путем суммирования бесконечного ряда при
[1]
денежный поток дисконтирование капитал
2. Оптимизационный подход
Основными источниками информации для определения наилучшей структуры
капитала фирмы являются реальные фактические отчетные данные фирмы за два
последних года ее деятельности:
а) бухгалтерский баланс (форма № 1);
б) отчет о финансовых результатах (форма № 2 ).
С помощью оптимизационного и рационального подходов рассчитаем наилучшую
структуру капитала фирмы.
Для постановки оптимизационной задачи расчета структуры капитала фирмы
введем следующие обозначения.
- номера
(виды) источников капитала фирмы (пассивы);
- номера
(виды) направления размещения капитала фирмы (активы);
-
значение капитала по
-му источнику;
-
значение капитала, размещенного по -му направлению;
-
валюта баланса фирмы;
- доля
капитала фирмы, размещённая по -му направлению (в
,
);
- доля
капитала фирмы, приходящаяся на -ый источник (из
,
);
- цена
единицы капитала j-го источника после налогооблажения (см. табл. 7);
- выручка
(без НДС, акцизов, рентных и таможенных платежей) фирмы за отчётный период;
-общие
постоянные фирменные затраты;
- сумма
процентов, относимая на налоговую базу (по всем видам заемного капитала);
-постоянные
затраты без суммы процентов, относимых на налоговую базу (
);
- сумма
переменных затрат;
- сумма
процентов, не относимая на налоговую базу (покрываемая из прибыли после
налогообложения);
-
прибыль до уплаты налогов и процентов, относимых на налоговую базу
(операционная прибыль);
-
заданная регулятором налоговая ставка на прибыль;
- заданная
регулятором ставка рефинансирования с повышающим коэффициентом
;
Постановка
многокритериальной ЭММ имеет вид:
где
- средневзвешенная цена капитала фирмы;
-
значение операционного левериджа;
-
значение финансового левериджа;
- значение
нормы чистой прибыли по собственному капиталу;
-
последний номер зачётки студента;
-
максимально возможная (допустимая) доля изменения
по сравнению с базовым вариантом (
);
- система
ограничений, отражающая требования к структуре капитала по условиям ликвидности
и финансовой устойчивости.
|
Условие (ограничение)
|
(10)
|
- касается ликвидности в виде коэффициента покрытия;
|
|
(11)
|
- касается финансовой устойчивости;
|
|
(12)
|
- касается финансовой маневренности в виде обеспеченности
фирмы собственными оборотными средствами ( );
|
|
(13)
|
- задает диапазоны возможного (допустимого) изменения
|
|
(14)
|
- касается также финансовой устойчивости;
|
|
(15)
|
- задает требуемое соотношение между и
|
|
(16)
|
-касается требования наличия в структуре капитала
долгосрочных кредитных обязательств.
|
Расчёт рациональной структуры капитала производится по компромиссному
(интегральному) критерию:
где
- экстремальное (максимальное или минимальное)
значение критерия
Задание выполняется в три этапа по следующей последовательности:
Этап 1. За последние два отчетных периода деятельности фирмы приводится
баланс (таблица 1) и финансовые результаты (таблица 2).
Таблица 1 - Баланс
|
Актив
|
Среднегодовое значение
|
|
Пассив
|
Среднегодовое значение
|
|
|
2011 г.
|
2012 г.
|
2011 г.
|
2012 г.
|
|
2011 г.
|
2012 г.
|
2011 г.
|
2012 г.
|
|
1. К об.
|
3661064
|
3862907
|
0,791
|
0,792
|
1. К тек. об.
|
2317125,5
|
2618569,5
|
0,50036
|
0,53654
|
|
1.1. К ден.ср.
|
1018835,5
|
1102994,5
|
0,220
|
0,226
|
1.1.К банк. кр.
|
520249,5
|
1177156,5
|
0,11234
|
0,2412
|
|
1.2. К цб
|
506192,5
|
476574,5
|
0,109
|
0,098
|
1.2. К кред. зад.
|
1796876
|
1441413
|
0,38802
|
0,29535
|
|
1.3. К деб.зад.
|
1778846
|
1800473,5
|
0,384
|
0,369
|
2. К долг. об.
|
298802,5
|
410861,5
|
0,06452
|
0,08419
|
|
1.4. К мпз
|
257190
|
482864,5
|
0,077
|
0,099
|
Итого К заем.
|
2615928
|
3440292,5
|
0,56489
|
0,70492
|
|
2. К внеоб.
|
969816,5
|
1017522,5
|
0,209
|
0,208
|
3. К соб.
|
2014952,5
|
1850998,5
|
0,43511
|
0,37927
|
|
2.1. К осн.
|
779862,5
|
762400
|
0,168
|
0,156
|
3.1. К уст.
|
715227,5
|
877575
|
0,15466
|
0,17982
|
|
2.2. К долг. инвест.
|
161124,5
|
231332
|
0,035
|
0,047
|
3.2. К пр. нер.
|
1298725
|
973423,5
|
0,28045
|
0,19945
|
|
2.3. К пр. внеоб.
|
28829,5
|
23800,5
|
0,006
|
0,005
|
Итого К пост.
|
2313755
|
2261860
|
0,49964
|
0,46346
|
|
Валюта баланса
|
4630880,5
|
4880429,5
|
1
|
1
|
Валюта баланса
|
4630880,5
|
4880429,5
|
1
|
1
|
Таблица 2 -
Финансовый результат (отчет о финансовых результатах)
|
Наименование показателя
|
2011 г.
|
2012 г.
|
|
|
|
|
1
|
2
|
3
|
|
I. Доходы и расходы по обычным видам деятельности
|
9033040
|
9097904
|
|
Выручка (нетто) от продажи товаров, продукции, работ, услуг
(за минусом налога на добавленную стоимость, акцизов и аналогичных
обязательных платежей)
|
|
|
|
Себестоимость проданных товаров, продукции, работ, услуг
|
8234868
|
8541262
|
|
Валовая прибыль
|
798172
|
583642
|
|
Коммерческие расходы
|
0
|
0
|
|
Управленческие расходы
|
669184
|
329227
|
|
Прибыль (убыток) от продаж
|
128988
|
254415
|
|
II. Операционные доходы и расходы
|
19798
|
16705
|
|
Проценты к получению
|
|
|
|
Проценты к уплате
|
57859
|
164223
|
|
Доходы от участия в других организациях
|
1
|
0
|
|
Прочие операционные доходы
|
2389108
|
|
Прочие операционные расходы
|
2074425
|
2421482
|
|
III. Внереализационные доходы и расходы
|
|
|
|
Прибыль (убыток) до налогообложения
|
70889
|
2559005
|
|
|
|
|
Налог на прибыль и иные аналогичные обязательные платежи
|
141778
|
511801
|
|
IV. Чрезвычайные доходы и расходы
|
|
|
|
Чистая прибыль (нераспределенная прибыль (убыток) отчетного
периода)
|
56711,2
|
2047204
|
Для выполнения дальнейших результатов преобразуем таблицу 2. Для этого
сгруппируем те или иные расходы, отразив тем самым переменные и постоянные
затраты.
Таблица 3 - Финансовый результат
|
Наименование показателя
|
2011 г.
|
2012 г.
|
|
1
|
2
|
3
|
4
|
|
1
|
Общая выручка от реализации товаров, работ,
услуг, операционных и внереализационных действий (В)
|
8305757
|
11010267
|
|
2
|
Постоянные затраты ( Зпост)
на производство, управление и реализацию ( без учета суммы процентов,
относимых на налоговую базу- åÎНБ %
|
3101910,174
|
1590507,757
|
|
3
|
|
388465,308
|
449870,504
|
|
4
|
Zпост=Зпост+А1
|
3490375,482
|
2040378,261
|
|
5
|
Переменные затраты на производство и
реализацию (Zпер)
|
5132957,826
|
6860754,243
|
|
6
|
Себестоимость =Zпост+ Zпер=Z
|
8234868
|
8451262
|
|
7
|
Прибыль валовая = Пв= В - Z
|
70889
|
2559005
|
|
8
|
(Пв + )=EBIT
|
806712,76
|
3558426
|
|
9
|
Налог на прибыль = Нстх Пв
|
14177,8
|
511801
|
|
10
|
Прибыль чистая = Пч=(Пв
- Налог)= Пв (1-Нст)
|
56711,2
|
2047204
|
|
11
|
Распределение , прочие направления
|
164600,546
|
197101,847
|
Расчеты по таблице 3:
Строка 2 -
Строка 3 -
Строка 5 -
Строка 8 -
Строка 11 -
На основании данных таблиц (1-3) оцениваем финансовое состояние фирмы с
помощью системы аналитических коэффициентов. Результаты расчетов представлены в
таблице 4.
Таблица 4 - Система аналитических коэффициентов
|
Группы коэффициентов
|
Значение
|
Значение по годам
|
Относительное изменение
|
Абсолютное изменение
|
|
|
2011
|
2012
|
|
|
|
I Финансовая устойчивость
|
|
Коэф-т финансовой автономии
|
|
0,435
|
0,379
|
-0,056
|
-0,15
|
|
Коэф-т финансовой зависимости
|
|
0,565
|
0,704
|
0,139
|
0,246
|
|
Коэф-т соотношения заемных и собственных средств
|
|
1,298
|
1,859
|
0,561
|
0,432
|
|
Коэф-т маневренности
|
|
0,667
|
0,672
|
0,005
|
0,007
|
|
Коэф-т инвестирования
|
|
2,584
|
2,428
|
-0,156
|
-0,07
|
|
II Ликвидность
|
|
Коэф-т мгновенной ликвидности
|
|
0,440
|
0,421
|
-0,019
|
-0,05
|
|
Коэфт-т абсолютной ликвидности
|
|
0,658
|
0,603
|
-0,055
|
-0,09
|
|
Коэф-т срочной ликвидности
|
|
1,426
|
1,291
|
-0,135
|
-0,01
|
|
Коэф-т общей ликвидности
|
|
1,580
|
1,475
|
-0,105
|
-0,07
|
|
III Оборачиваемость капитала
|
|
Коэф-т оборотных активов
|
max
|
1,794
|
2,256
|
0,462
|
0,258
|
|
Оборачиваемость основных средств
|
max
|
10,650
|
14,442
|
3,792
|
0,356
|
|
Оборачиваемость оборотных средств
|
max
|
2,269
|
2,850
|
0,581
|
0,256
|
|
Коэф-т оборачиваемости дебиторской задолжности
|
min
|
4,669
|
6,115
|
1,446
|
0,309
|
|
Оборачиваемость МПЗ
|
min
|
23,055
|
17,502
|
-5,553
|
-0,25
|
|
Оборачиваемость кредиторской задолжности
|
min
|
4,583
|
5,863
|
1,28
|
0,279
|
|
IV Доходность
|
|
Доходность активов
|
max
|
0,290
|
0,255
|
-0,035
|
-0,13
|
|
Доходность реальной продукции
|
max
|
0,162
|
0,113
|
-0,049
|
-0,31
|
|
Доходность собственного капитала
|
max
|
0,667
|
0,672
|
0,005
|
0,007
|
|
Доходность заемного капитала
|
max
|
0,514
|
0,362
|
-0,152
|
-0,30
|
|
Доходность затрат
|
max
|
0,613
|
0,147
|
-0,016
|
-0,1
|
Таким образом, анализируя таблицу 4, сделаем следующие выводы:
анализируя значения коэффициента финансовой независимости (автономии),
можно отметить, что они соответствуют нормативному значению. Это говорит о том,
что предприятие не имеет задолженности по отношению к капиталу собственников;
значения коэффициента финансовой зависимости предприятия соответствуют
нормативному. Это значит, что предприятие финансово устойчиво;
значения коэффициента инвестирования не имеют отклонения от нормативного,
поэтому можно считать, что собственный капитал общества полностью покрывает
необоротные активы;
анализ показателей ликвидности показал, что значения коэффициентов не
имеют отклонений от нормативных, следовательно, предприятие не имеет высоких
финансовых рисков и в состоянии стабильно оплачивать текущие счета.
Этап 2. На данном этапе формируем шесть предлагаемых вариантов допустимой
d Î S структуры капитала фирмы, с учетом системы ограничений S дополнительно к фактическому
варианту. Данные представим в таблицу 5.
Таблица 5 - Варианты структуры капитала
|
Показатели
|
В0 (факт)
|
В1
|
В2
|
В3
|
В4
|
В5
|
В6
|
|
|
1
|
2
|
3
|
4
|
5
|
6
|
7
|
8
|
9
|
|
|
АКТИВ
|
|
|
1
|
Доля оборотного капитала
|
0,792
|
0,858
|
0,871
|
0,801
|
0,855
|
0,808
|
0,891
|
|
|
2
|
Доля внеоборотного капитала
|
0,208
|
0,142
|
0,129
|
0,199
|
0,145
|
0,192
|
0,109
|
|
|
3
|
Доля основного капитала ( )
|
0,156
|
0,256
|
0,299
|
0,236
|
0,279
|
0,268
|
0,253
|
|
|
4
|
Доля чистого оборотного капитала( )0,2550,5290,5700,5510,6350,6070,658
|
|
|
|
|
|
|
|
|
|
ПАССИВ
|
|
|
5
|
Доля текущих обязательств ( )0,53700,3290,3010,250,220,2010,233
|
|
|
|
|
|
|
|
|
|
6
|
Доля долгосрочных обязательств ( )0,08420,08520,08230,08610,07990,08160,0819
|
|
|
|
|
|
|
|
|
|
7
|
Доля заемных средств ( )0,7040,4440,4250,4060,3970,4120,421
|
|
|
|
|
|
|
|
|
|
8
|
Доля собственного капитала ( )0,37900,5560,5750,5940,6030,5880,579
|
|
|
|
|
|
|
|
|
|
Принадлежность вариантов системе ограничений
|
|
|
9
|
1111111
|
|
|
|
|
|
|
|
|
10
|
1111111
|
|
|
|
|
|
|
|
|
11
|
1,4752,6082,8943,2043,8864,0193,824
|
|
|
|
|
|
|
|
|
12
|
|
-0,0930
|
0,4
|
0,4
|
0,4
|
0,4
|
0,4
|
0,4
|
|
13
|
|
0,156
|
0,080
|
0,053
|
0,087
|
0,065
|
0,072
|
0,085
|
|
14
|
|
0,156
|
0,256
|
0,299
|
0,236
|
0,279
|
0,268
|
0,253
|
|
15
|
|
2,967
|
1,808
|
1,548
|
1,760
|
1,659
|
1,727
|
1,803
|
|
16
|
|
2,575
|
5,343
|
5,757
|
5,565
|
6,414
|
6,131
|
6,646
|
|
17
|
|
0,1
|
0,1
|
0,1
|
0,1
|
0,1
|
0,1
|
0,1
|
|
|
|
|
|
|
|
|
|
|
|
|
|
|
|
|
|
|
Этап 3. Произведем расчет критериев оптимальности (
), а затем на основе
выберем наилучшую структуру
капитала. Расчеты представлены в таблице 6.
Таблица 6 - Расчет критериев оптимальности
|
Показатели
|
В0
|
В1
|
В2
|
В3
|
В4
|
В5
|
В6
|
|
1
|
2
|
3
|
4
|
5
|
6
|
7
|
8
|
9
|
Б=Ксоб+Кзаемн=d(Ксоб)Б+d(Кзаемн)Б
|
4880429,5
|
4880429,5
|
4880429,5
|
4880429,5
|
4880429,5
|
4880429,5
|
4880429,5
|
|
2
|
Кзаемн = Ктек.об+Кдолг.об
|
3440292,5
|
2582723
|
2475842
|
2401659
|
2327477
|
2408980
|
2454368
|
|
3
|
В
|
11010267
|
11010267
|
11010267
|
11010267
|
11010267
|
11010267
|
11010267
|
|
4
|
Зпост
|
1590508
|
1590508
|
1590508
|
1590508
|
1590508
|
1590508
|
1590508
|
|
5
|
Zпер
|
6860754
|
6860754
|
6860754
|
6860754
|
6860754
|
6860754
|
6860754
|
|
6
|
Пв + åÎНБ %= (В-Зпост-Zпер)= EBIT
|
3008876
|
3008876
|
3008876
|
3008876
|
3008876
|
3008876
|
3008876
|
|
7
|
åÎНБ %=А1
|
449870,504
|
300189
|
277794
|
243586
|
217351
|
204813
|
228222
|
|
8
|
Пв=( Пв+åÎНБ %-åÎНБ %)=( Пв+А1)- А1
|
2559005
|
2559005
|
2559005
|
2559005
|
2559005
|
2559005
|
2559005
|
|
9
|
Пч= Пвх (1-Нст)
|
2047204
|
2047204
|
2047204
|
2047204
|
2047204
|
2047204
|
2047204
|
|
10
|
åÎНБ %=А2
|
197227
|
65404
|
63055
|
65491
|
60687
|
61805
|
62261
|
|
11
|
Пр1ч = (Пч -А2)
|
1849977
|
1981800
|
1984149
|
1981713
|
1986517
|
1985399
|
1984943
|
|
|
Критерии оптимальности:
|
|
12
|
0,380,390,390,360,380,360,40
|
|
|
|
|
|
|
|
|
13
|
1,621,621,621,621,621,621,62
|
|
|
|
|
|
|
|
|
14
|
1,181,181,181,181,181,181,18
|
|
|
|
|
|
|
|
|
15
|
2,691,641,401,781,501,571,66
|
|
|
|
|
|
|
|
|
16
|
3,654,024,194,024,144,164,00
|
|
|
|
|
|
|
|
Значения
эффективных процентных ставок
для
расчета А1, А2 и элементных
цен капитала
из различных источников приведены в табл.7.
Таблица 7 - Значения эффективных ставок
|
Показатели
|
Эффективная ставка (требуемая доходность собственника
капитала)
|
|
1
|
2
|
1. Доля текущих обязательств (
):
|
§ [ 0;0.2] 0,1
|
|
|
§ [ 0.21;0.4]
|
0,15
|
|
§ [ 0.41;0.6]
|
0,2
|
|
§ [ 0.61;0.8]
|
0,25
|
|
§ [ 0.81;1.0]
|
0,3
|
|
|
|
2. Доля долгосрочных обязательств (
):
|
§ [ 0;0.4] 0,3
|
|
|
§ [ 0.41;0.8]
|
0,35
|
|
§ [ 0.81;1.0]
|
0,4
|
|
|
|
4. Доля собственного капитала (
):
|
§ [ 0;0.2] 0,2
|
|
|
§ [ 0.21;0.4]
|
0,25
|
|
§ [ 0.41;0.6]
|
0,3
|
|
§ [ 0.61;0.8]
|
0,32
|
|
§ [ 0.81;1.0]
|
0,4
|
По результатам расчетов можно сделать вывод, что наиболее
предпочтительным является второй вариант, так как компромиссный критерий по
данному варианту имеет наибольшее значение (4,19) среди рассматриваемых.
Следовательно, структура капитала данного варианта является наиболее
предпочтительной.
Заключение
Финансовое состояние компании - это способность компании финансировать свою
деятельность. Финансовое состояние характеризуется обеспеченностью финансовыми
ресурсами, необходимыми для нормального функционирования предприятия,
целесообразностью их размещения и эффективностью использования, финансовыми
взаимоотношениями с другими юридическими и физическими лицами,
платежеспособностью и финансовой устойчивостью.
Оценка эффективности финансово-хозяйственной деятельности
предприятия - это построение и анализ системы показателей, характеризующих
эффективность различных сторон деятельности с точки зрения их соответствия
стратегическим целям бизнеса. Безусловно, ключевыми управленческими
показателями, характеризующим единство тактических и стратегических целей
развития предприятия, является рост объема продаж и обеспечение рентабельности продаж
<http://www.beintrend.ru/ros>.
Подавляющее большинство российских предприятий, чтобы выйти из
кризисного и предкризисного состояния, стать конкурентоспособными и обеспечить
рентабельность продаж, вынуждены осуществить глобальную двуединую модернизацию
- и производства, и управления предприятием. При этом модернизация технологии и
управления или реструктуризация предприятия осуществляется в условиях крайне
ограниченных ресурсов. Поэтому каждый шаг, каждая хозяйственная операция или
мероприятие нуждается в оценке, в сопоставлении затрат и получаемого
результата.
Расчеты наилучшей структуры капитала фирмы с использованием
оптимизационного подхода показал, что ОАО Ханты-Мансийскдорстрой» имеет
наилучшую оптимальную структуру капитала.
Список
используемой литературы
1. Старкова
Н.А. Финансовый менеджмент: учебное пособие (РГАТА имени П.А. Соловьева. -
Рыбинск, 2007. - 174 с.;
2. Электронный журнал -
<http://finman.ru/articles/2004/4/2302.html-автор> статьи Гутова А.В.
. Технологии
финансового менеджмента: учеб. пособие / В.В. Быковский, Н.В. Мартынова, Л.В.
Минько, В.Л. Пархоменко, Е.В. Быковская. - Тамбов: Изд-во Тамб. гос. техн.
ун-та, 2008. - Ч. 1. - 80 с. - 100 экз. - ISBN 978-5-8265-0715-5.
. Лытнев О.А. Основы
финансового менеджмента. Ч.I: Учебное пособие/ Калинингр. ун-т. - Калининград,
2000. - 120 с.
. Васильев В.Д.,
Абдразаков Р.И. Финансовый менеджмент: методические указания к курсовой работе
для студентов специальностей: 080502 «Экономика и управление на предприятии (в
строительстве)» и 080507 «Менеджмент организации». - Тюмень: РИО ГОУ ВПО
ТюмГАСУ, 2010.-22 с.