Метод факторизации
ВВЕДЕНИЕ
Традиционно курс квантовой механики начинается с
рассмотрения трёх простых задач: 1) частица в потенциальной яме, 2) линейный
гармонический осциллятор и 3) прохождение частиц через потенциальный барьер. С
мировоззренческой точки зрения эти задачи дают будущему учителю вполне
достаточное общее представление о том, чем занимается квантовая механика -
описанием движения микрочастиц в атомах и ядрах, свойств молекул и твёрдых тел
(электронная теория вещества) и, наконец, рассеяния микрочастиц на различных
потенциалах. Решение же соответствующих задач во многом отличается.
Оказывается, этот процесс можно унифицировать,
используя метод факторизации, предложенный Шрёдингером. Этот метод подробно
изложен в книге Д. Бома на примере решения уравнения Шрёдингера для линейного
гармонического осциллятора.
Рассмотрим теперь гармонический осциллятор,
который важен особенно потому, что поле излучения действует подобно
совокупности таких осцилляторов. Например, потенциальная энергия двух атомов
как функция расстояния между ними обычно представляется кривой, изображенной на
рисунке 1.
Рисунок 1 - Потенциальная энергия двух атомов
Обычно существует некоторое расстояние х = а,
для которого потенциал минимален. Эта точка соответствует устойчивому
равновесию. Вблизи этой точки потенциал может быть разложен в ряд по степеням
малых величин (x - a), а так как в этой точке
,
то будем иметь
(1)
Это выражение и является потенциалом
гармонического осциллятора. В общем случае любую систему, находящуюся в
устойчивом равновесии, можно вблизи положения равновесия представить в виде
гармонического осциллятора.
Волновое уравнение. Для осциллятора с
квазиупругой постоянной k потенциал равен
,
где
угловая
частота колебаний. Тогда волновое уравнение имеет вид
(2)
Рисунок 2 - Потенциальная яма
Удобно воспользоваться подстановкой
,
.
Тогда уравнение (2) примет вид
(3)
Как показано на рисунке 2, потенциальная яма
имеет параболическую форму. Для достаточно больших значений |х| потенциальная
энергия всегда больше, чем полная энергия, поэтому решение волнового уравнения
является линейной комбинацией вещественных экспоненциальных функций. Чтобы
найти вид этих экспоненциальных функций, можно воспользоваться приближением.[1]
Решение для больших |х| будет содержать
Но для больших
,
поэтому
Следовательно, решения по порядку величины равны
(4)
Рисунок 3 - График волновой функции
Нужно выбрать такое решение, которое
экспоненциально убывает при больших |х|. Таким образом, если при больших
отрицательных значениях х решение изменяется как
то
и при больших положительных значениях х должен быть тот же тип решения. Поэтому
необходимо, чтобы решение в области с положительной кинетической энергией (т.
е. при | х | > а) имело вид убывающей экспоненциальной кривой. Эта задача
аналогична определению связанных состояний в прямоугольной потенциальной яме.
Волновая функция наинизшего состояния не имеет узлов. Волновая функция
следующего состояния, которое имеет один узел, показана на рисунке 3. Следует
заметить, что при более высоких энергиях не только происходит более быстрое
затухание волновой функции, но также и возрастает область с положительным
значением кинетической энергии. Для очень высоких квантовых состояний волновая
функция имеет очень много колебаний, и приближение будет достаточно точным. В
данном случае нет никаких ограничений числа возможных связанных состояний, так
как при
потенциал
становится бесконечно большим. Поэтому всегда возможно увеличивать энергию и
таким путем заставить волновую функцию совершить еще одно колебание прежде, чем
она достигнет области с отрицательной кинетической энергией. Однако если
ограничить бесконечный рост потенциала при больших значениях х, как это имеет
место, например, в случае межатомных сил (см. рисунок 1), то число связанных
состояний будет конечным.[2,3]
Методы точного решения. Общий метод нахождения
собственных значений и собственных функций для уравнения типа (3) прежде всего
заключается в представлении решения вблизи равновесного состояния с помощью
степенных рядов, в которых оставлено достаточное число членов, чтобы решение
могло быть продолжено в область с экспоненциально спадающей функцией. Если ряды
не сходятся во всей области, то может оказаться необходимым воспользоваться
численным интегрированием или же последовательными разложениями в нескольких
различных точках. В любом случае следует выбрать степенные ряды так, чтобы они
непрерывно смыкались с экспоненциально убывающей функцией. В общем случае, как
было показано для прямоугольной потенциальной ямы, такое смыкание
осуществляется для определенной совокупности дискретных значений. Эти значения
являются собственными значениями задачи, а соответствующие им решения -
собственными функциями.
Шрёдингеровский метод факторизации. Хотя
описанной выше процедурой обычно и пользуются при решении задачи гармонического
осциллятора, так же как и для многих других подобных задач, но мы используем
здесь простой метод, развитый Шрёдингером, который, однако, ограничен в своих
применениях. Несмотря на это, как мы увидим, его можно применить к решению ряда
задач, которые будут рассмотрены ниже, и, в частности, к задаче квантования
момента количества движения.
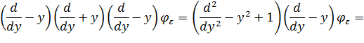
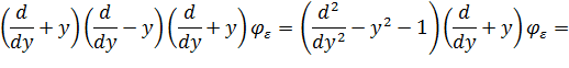
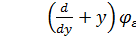
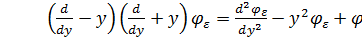
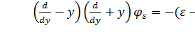
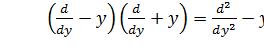
Метод заключается в разложении оператора
Гамильтона на произведение двух операторов, каждый из которых содержит только
первые производные. В нашей задаче это можно сделать, так как
(5)
Тогда уравнение (3) может быть записано в
следующем виде
(6)
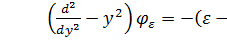
где
-
собственная функция, принадлежащая собственному значению. Затем необходимо
подействовать на это уравнение слева оператором
При этом заметим, что
.
Поэтому получаем
(7)
Полагая, что
является новой
волновой функцией, получим
(8)
Следовательно, если
-
собственная функция уравнения Шрёдингера, соответствующая собственному значению
,
то
собственная функция того же уравнения,
соответствующая собственному значению
- 2.
Таким образом, задавая какое-нибудь одно
решение, можно всегда получить другое. Кроме того, если
-
собственное значение, то
- 2 также должно
быть допустимым собственным значением.[4]
Эту процедуру можно продолжать до бесконечности
и, следовательно, если
- собственное
значение, то
- 2п тоже -
собственное значение, где п-целое число. Но если п делается достаточно большим,
то собственное значение (и соответственно энергия) будет постепенно становиться
отрицательным, так как е пропорционально энергии. Но можно легко показать, что
энергия гармонического осциллятора всегда положительна. Для среднего значения
энергии Е имеем
(9)
Интегрирование первого интеграла по частям
(заметим, что внеинтегральный член исчезает, так как
при
)
дает
(10)
Оба интеграла по определению положительны,
следовательно, Е > 0. Но для собственной функции
(11)
так как предполагается, что
нормирована.
Следовательно, все собственные значения
и
соответственно
должны быть
положительны.
Как можно избежать это противоречие? Только,
если наинизшее положительное значение
таково, что
.
В этом случае нельзя получить решений с отрицательным
.
Умножая последнее уравнение на оператор
,
имеем
(12)
Из выражения (12) видно, что наинизшим значением
должно быть
. Тогда допустимыми
значениями
будут только
значения
,
где п - целое число. Поэтому собственные значения е будут
(13)
а собственные значения Е будут
(14)
Следовательно, мы доказали, что собственные
значения гармонического осциллятора точно равны собственным значениям,
полученным с помощью приближения, даже с точностью до полуцелого квантования
энергии.
Задача 1. Объяснить, почему наинисшее состояние
осциллятора не может обладать нулевой энергией.
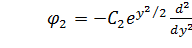
Решение для волновых функций. Можно легко найти
волновую функцию наинизшего состояния. Уравнение для ее определения имеет вид
или
(15)
Его решением будет
. (16)
где А постоянная. Чтобы нормировать волновую
функцию, надо выбрать А равным
. Таким образом,
волновая функция наинизшего состояния является просто гауссовской функцией
ошибок.
Все остальные волновые функции могут быть
получены из функции
. Для этого сначала
запишем уравнение Шрёдингера в следующем виде:
(17)
Умножение слева на оператор
дает

(19)
Мы видим, что функция
удовлетворяет
уравнению Шрёдингера, но соответствует собственному значению
.
(Заметим, что
, где п - квантовое
число.) Следовательно, если мы имеем какую-нибудь собственную функцию
то,
подействовав на нее оператором
всегда можно
построить следующую, более высокую собственную функцию. Таким образом, из
можно
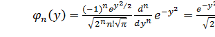
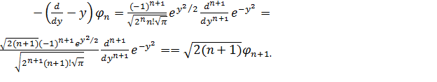
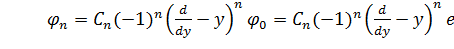
получить все собственные функции; n-я собственная функция будет
(20)
где Сп - нормировочный фактор.
Выполняя эти операции, мы получим несколько
первых собственных функций
(21)
(22)
(23)
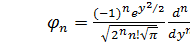
Полиномы Эрмита - Чебышева.[5] В общем случае
функция
равна
произведению
на полином n-й
степени. Таким образом, можно написать
(24)
где hn - интересующий нас полином. hn называется
полиномом Эрмита - Чебышева. Можно также написать
(25)
Несколько более удобное выражение для hn можно
получить, если принять во внимание, что для произвольной функции
справедливо
следующее соотношение:
(26)
Поэтому мы получаем
(27)
(28)
Нормирующий множитель. Для вычисления
нормирующего множителя полагаем
и
(29)
Условие нормировки принимают вид
(30)
Проинтегрируем теперь это выражение по частям га
раз, замечая, что внеинтегральные члены всегда равны нулю. Каждый раз при
интегрировании по частям мы выносим множитель -1. Это дает (-1)n, что погашает
множитель (-1)n, стоящий перед интегралом. В итоге получаем
(31)
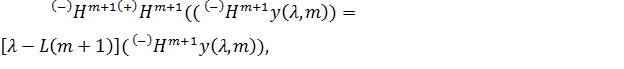
Так как hn(y)- полином п-й степени, то
дифференцирование уничтожит все члены, за исключением тех, которые содержат уп.
Совершая подстановку
и замечая, что
находим
(32)
Чтобы вычислить Ап, заметим, что коэффициент при
уп в выражении
равен точно 2n.
Следовательно, получаем Ап = 2п. Тогда уравнение примет вид
или
(33)
Тогда нормированную волновую функцию как функцию
у можно записать
. (34)
Для нормировки волновой функции как функции
мы должны умножить ее на
Тогда
нормированная волновая функция как функция х будет
(35)
Порождающая функция. Очень полезное соотношение
для полинома Эрмита - Чебышева может быть получено, если hn(y) умножить на
и
затем просуммировать по п. Это дает
(36)
Если функцию
разложить
в ряд по степеням t,то мы в точности получим написанный выше ряд.
Следовательно, можно записать
(37)
Величина
называется
порождающей функцией полинома Эрмита - Чебышева, потому что при ее разложении в
ряд по степеням t можно получить все эти полиномы. Рекуррентные соотношения.
Порождающую функцию можно использовать для вывода многих полезных соотношений
между различными полиномами Эрмита - Чебышева. Например, если
продифференцировать уравнение (30) по у, то получим
. (38)
Так как это должно быть справедливо при всех t,
то коэффициенты при одинаковых степенях t должны быть равны. Уравнение (13.31)
может быть записано в виде
(39)
Тогда получаем
. (40)
Другое соотношение получается при
дифференцировании по t:
(41)
Это уравнение можно переписать так:
(42)
отсюда получаем
. (43)
Некоторые вспомогательные математические
соотношения. Мы уже видели, что, задавая собственную функцию
,
можно всегда построить собственную функцию, принадлежащую следующему, более
высокому или более низкому собственному значению, умножая соответственно первую
функцию на оператор
или
.
Это будет полезно нам позже, когда нужно будет выразить влияние этого оператора
с помощью нормированных собственных функций
.
Заметим прежде всего, что
где C -
постоянная, которую надо выбрать так, чтобы сделать
также
нормированной функцией. Поскольку предполагается, что
-
нормированная функция, то
(44)
Замечая, что
получаем
(45)
Для получения
напишем
Воспользовавшись также доказанным соотношением
,
. (46)
Общий вид решения, n-я собственная функция равна
полиному n-й степени, умноженному на
Последний
множитель обеспечивает стремление волновой функции к нулю при
.
Полином hn имеет я корней, следовательно, волновая функция имеет я узлов. В
этом отношении она качественно похожа на волновые функции приближения, так как
при n узлах она будет претерпевать соответствующее число колебаний. Мы видим
еще раз, что номер квантового состояния равен числу узлов решения. В общем
случае волновая функция колеблется внутри классически достижимой области (Е
> V) и затухает по гауссовскому закону там, где Е < V.
На следующем этапе рассматривается уравнения
Шрёдингера для линейного гармонического осциллятора по схеме, описанной Бомом.
[1,12,13,14,15,23,24]
Наконец, решение последней простой задачи
квантовой механики о прямоугольном потенциальном барьере может быть записано
сразу на основе формул, полученных для потенциальной ямы конечной глубины. Для
этого надо только изменить в них знак потенциальной энергии на противоположный:
-U0 ®+
U0.
Изложение материала для барьера произвольной
формы традиционно.
В заключение отметим, что метод факторизации
получил дальнейшее развитие в наше время. [1]
1. ТЕОРИЯ ФАКТОРИЗАЦИИ
В этом разделе мы будет исходить из
предположения, что уравнение факторизовано, а затем на основании пяти теорем
перейдем к рассмотрению вытекающих отсюда следствий. Мы увидим, что
факторизация уравнения позволяет немедленно выписать искомые собственные
значения и нормированные собственные функции.
В следующем разделе будет показано, как
осуществляется факторизация данного уравнения. Эта задача фактически будет
сведена к использованию таблицы, содержащей только шесть общих типов
факторизации. Такая таблица со многими важными частными случаями дана в конце
статьи.
Таким образом, этот и следующий разделы содержат
только идею и технику метода факторизации, на которых основаны примеры,
рассматриваемые в остальных разделах статьи. После изучения читатель может
приступить к чтению почти любого последующего раздела, не теряя непрерывности
изложения.
1.1 Стандартная форма
Для систематизации предложенной процедуры
рассматриваемое уравнение всегда будет преобразовываться к стандартной форме
, (1.1.1)
где параметр
,
,
,
...; здесь будет принято
, но мы увидим, что
это предположение не влияет на окончательные результаты. Такое преобразование
возможно, если в исходной форме
функции P,
неотрицательны
и
всюду
существует. Преобразование, связывающее эти уравнения, имеет вид:
(1.1.2)
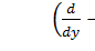
Теорема 1. Мы скажем, что уравнение (1.1.1)
допускает факторизацию, если оно может быть заменено любым из двух следующих
уравнений:
(1.2.1а)
(1.2.1b)
(1.2.1с)
Зависимость y от х здесь не указана. Позже будет
рассмотрено, как находятся
и
в
данной задаче. Следует отметить, что (1.2.1а) может быть получено из (1.2.1b),
если переставить операторы Н и заменить m на m+1 всюду, кроме функции
.
Теперь может быть установлена основная идея метода факторизации.
Теорема 1. Если
-
решение данного дифференциального уравнения, то
(1.2.2а)
, (1.2.2b)
также являются решениями, соответствующими тому
же значению
, но другим m в
соответствии с приведенными формулами.
Следовательно, если имеется одно решение, то
можно, используя операторы H, перейти к другим решениям с меньшим или большим
значением m. Продолжая этот процесс, можно получить лестницу решений,
относящихся к фиксированному
.
Для доказательства умножим (1.2.1а) на
,
a (1.2.1b) на
. В результате
получим
(1.2.3а)
(1.2.3b)
Сравнивая (1.2.3а) с (1.2.1b), убеждаемся, что
как
это было указано выше, является решением нашего уравнения, в котором m заменено
на m+1. Аналогично
- решение
уравнения, в котором m заменено на m-1.
Теперь можно интерпретировать уравнения (1.2.1)
в соответствии с определением: если сделать один шаг вверх, а затем один шаг
вниз по лестнице (или наоборот), то получается исходное решение, но умноженное
на
[или
на
].
Конечно, с помощью (1.2.2) можно дойти до решения, которое тождественно равно
нулю; этот важный случай, не нарушающий теоремы 1, будет рассмотрен в теореме 4.
[16]
В ограниченном смысле уравнения (1.2.2)
эквивалентны исходному дифференциальному уравнению (1.1.1) или (1.2.1).
Ограничение заключается в том, что, согласно интерпретации (1.2.2), нам следует
рассматривать только квадратично интегрируемые решения (1.1.1). Из-за
вероятностной интерпретации волновой функции в квантовой механике мы будем
искать только те решения, которые удовлетворяют этому условию. (Однако мы пока
не делали различия между функциями, удовлетворяющими и не удовлетворяющими
этому условию; наша теорема справедлива в обоих случаях.)
1.3 Сопряженность операторов
Теорема 2.
если
обращается
в нуль на концах интервала и подинтегралъное выражение непрерывно на интервале.
Доказательство очевидно. Наша теорема означает, что операторы Н взаимно
сопряжены.
1.4 Граничное условие
Нас будут интересовать дифференциальные
уравнения, коэффициенты которых имеют сингулярности только на концах области
изменения независимой переменной. Действительно, будет показано, что всегда,
когда возможна факторизация, можно выбрать область с такими свойствами.
Следовательно, квадратичная интегрируемость решения зависит только от поведения
решения вблизи конечных точек, и поэтому условие квадратичной интегрируемости
является, по существу, граничным условием. Изучая поведение решения и
соответствующих операторов H вблизи конечных точек, можно установить следующую
теорему для каждого из 6 общих типов факторизации:
Теорема 3. Если
-
квадратично интегрируемая функция на всей области изменения х и L(m) -
возрастающая функция от
, то операция H
(1.2.2а) увеличения m дает функцию, также квадратично интегрируемую и
обращающуюся в нуль в конечных точках. Если L(m) - убывающая функция от
то
операция Н (1.2.2b) понижения т дает функцию, также квадратично интегрируемую и
обращающуюся в нуль в конечных точках. [12,13,14,15]
Теорема справедлива при более слабых, но более
сложных условиях, однако для наших целей приведенный выше результат достаточен.
Неправильно было бы утверждать, что оператор Н никогда не влияет на
интегрируемость; например, пользуясь терминологией, которую мы введем позже,
можно сказать, что для решений класса I плохо ведущее себя
может
быть превращено в хорошо ведущее себя
.
Теорема 3 должна быть доказана для каждого типа
факторизации, но доказательства во всех случаях одинаковы.
1.5 Условия, налагаемые на λ,
для
существования решения
Рассматриваемые задачи можно разбить на два
класса.
Класс I характеризуется тем, что
-
возрастающая функция m. Мы увидим, что это обычно приводит к конечной лестнице
решений, относящихся к m=l, l+1, l+2,… для каждого значения λl(l=0,1,2,…)
параметра
λ.
Решения класса II возникают, если
-
убывающая функция т. Тогда обычно получается бесконечная лестница решений,
относящихся к m=l, l+1, l+2,… для каждого значения λl(l=0,1,2,…)
параметра
λ.
В каждом классе один конец
лестницы
может быть получен простой квадратурой, а другие решения - с помощью (1.2.2). В
тех случаях, когда
не дискретно,
по-прежнему имеет место рекуррентная формула (1.2.2), но нет соответствующей
исходной функции
. Возможен также
случай, когда L(m) является константой. В этом случае вновь получаются только
рекуррентные формулы. Уравнение Бесселя приводит к единственному важному
примеру этого типа.
Теорема 4, определяющая
,
как функцию l, будет доказана для задач класса I. Для класса II доказательство
в основном такое же.
Теорема 4. Если L(m) - возрастающая функция
целого числа m для 0<m ≤M и
не больше большего
из двух значений L(M), L(M+1), то необходимым условием для квадратичной
интегрируемости является выполнение соотношения
где
l - целое число, а m = 0, 1, 2,...,l.
Для доказательства предположим, что
“хорошее”,
т. е. интегрируемое, решение. Тогда на основании теоремы 3
также
является “хорошим” решением (или нулем) и обращается в нуль в конечных точках.
Поэтому можно записать
где (a,b) - вся область изменения x. Здесь
использованы теорема 2 и (1.2.1а). Аналогично
Поскольку L(m) - возрастающая функция от m,
продолжая это рассуждение, мы достигнем некоторого значения m, обозначенного,
например, через l+1, для которого получается противоречивое неравенство
если
не выполняется условие
т. е.
(1.5.1)
На основании (1.2.1а) мы получаем
Это условие выражает
через
l, являющееся одним из возможных значений m. Другие значения m должны быть
меньше l. Так получаются искомые собственные значения
.
В пункте 1.7. будет использовано (1.5.1)
совместно с (1.2.2) для нахождения собственных функций; пока же только
известно, что для
, не больших
максимального из двух значений L(М) и L(М+1), условие (1.5.1) является
необходимым для существования собственных функций класса I.
Соответствующая теорема для решений класса II
утверждает: если L(m) - убывающая функция целого числа m для 0≤m≤M
и
,
то необходимое условие для существования квадратично интегрируемых решении
заключается в выполнении равенства
где
l - целое число, а m=l, l+1, l+2,...
Условие, аналогичное (1.5.1), имеет вид
Наконец, следует отметить, что если m0,
введенное в пункте 2.l не выбрано равным нулю, то теорема 4, очевидно, требует,
чтобы не l, а
было целым числом.
[31,33]
1.6 Нормировка
Если выполняются условия теоремы 3, можно так
подобрать операторы, чтобы была обеспечена не только квадратичная
интегрируемость, но и нормировка собственных функций. Вместо (1.2.1) запишем
и
вместо (1.2.2)
(1.6.1а)
(1.6.1b)
Новые обозначения указывают на зависимость
решений от l, а не от λ. Тогда,
повторяя рассуждения, приведенные для доказательства теоремы 4, получим
Следовательно,
если функция
нормирована, то
будут нормированы и другие
.
Отсюда: Теорема 5. Определенные выше операторы H
сохраняют нормировку собственных функций, если эти функции нормируемы. В
дальнейшем для обозначения нормированных решений наших уравнений будут
использованы прописные буквы.
1.7 Решения
Теперь можно показать, как находятся собственные
значения и нормированные собственные функции уравнения, если это уравнение
может быть факторизовано, т. е. если для заданного r(x,m) известны k(x,m) и
L(m).
Рассмотрим подробно задачу класса I. В этом
случае L(m) - растущая функция m, и представляет интерес только тот случай,
когда λ
не
больше максимального из двух значений L(M) и L(M+l).
По теореме 4 собственные значения
Кроме
того, теорема 4 говорит, что соотношение
является
необходимым условием существования нормируемых собственных функций.
Следовательно,
(1.7.1)
где С - константа, определяющаяся, если это
возможно, из условия
Оговорка если
возможно необходима, так как заранее не известно, является ли функция
квадратично
интегрируемой. Нам известно лишь, что при выполнении этого условия равенство
(1.7.1) имеет место. (В большинстве случаев (1.7.1) можно так нормировать, но
оказывается, что иногда необходимо наложить дальнейшие ограничения на некоторые
параметры задачи.)
Другие нормированные решения тогда определяются
из соотношения
(1.7.2)
Решения дифференциального уравнения (1.1.1)
зависят от двух параметров l, m каждой паре значений (l,m) соответствуют два
решения. Если решение хорошо ведет себя, оно изображено точкой на рис. 1.
Только те решения, для которых l≥m, могут удовлетворять граничным
условиям, так как только в таком случае L(l+1)-L(m+1)≥0. Решения,
расположенные вдоль линии m=l, получаются немедленно простой квадратурой
(1.7.1). От каждого из них лестница позволяет опуститься вниз к другим
решениям, относящимся к тому же значению λ=L(l+1). Они
получаются с помощью (1.7.2). [26,27]
Обычная для задач класса II ситуация изображена
на рис. 2. Здесь l≤m, если решения должны хорошо себя вести, так как
только в этом случае L(l)-L(m)≥0. (l(m) - теперь убывающая функция от m.)
Теперь
(1.7.3)
где С - константа, определяемая, если это
возможно, из условия нормировки
Другие
нормированные решения находятся из соотношения
(1.7.4)
В зависимости от того, является ли L(m) растущей
или убывающей функцией от т, задача относится к классу I или классу II. Если l
и m меняются при факторизации ролями, то задача класса I переходит в задачу
класса II или наоборот. Другими словами, факторизация, которая приводит к
рекуррентным соотношениям, связывающим различные l, очевидно, эквивалентна
факторизации класса II. Поэтому различие между классами I и II является не
свойством собственных функций, а скорее свойством самой факторизации. Будет
показано, что для сферических гармоник полезно знать обе факторизации, в то
время как для большинства других задач существенна только одна факторизация, а
именно та, которая дает физически правильную нормировку.
2. УРАВНЕНИЯ МАТЕМАТИЧЕСКИХ
КОЛЕБАНИЙ
.1 Потенциальная яма конечной
глубины
Рисунок 4 - Потенциальная яма конечной глубины
Математическая формулировка задачи Одномерное
уравнение Шрёдингера в данном случае имеет вид
(2.1.1)
(2.1.2)
Волновая функция должна удовлетворять
стандартным условиям - быть конечной, однозначной и непрерывной вместе со своей
первой производной. При подстановке U(x) в (1) последнее распадается на 3
уравнения: в интервалах (-∞, 0) (на рис. обозначен ),
[0,L] (обозначен ) и (L,+ ∞) ():
(2.1.3)
Как было сказано выше, волновая
функция должна быть непрерывной вместе со своей первой производной, поэтому
граничные условия записываются следующим образом:
(2.1.4)
Наконец, следует учесть, что
возможны два случая:
) Е < 0 и 2) E> 0, существенно
отличающиеся друг от друга. При E < 0 возможны состояния, когда частица не
может быть обнаружена вне потенциальной ямы. Во втором случае связанные
состояния не возникают.
Рассмотрим решение уравнения, когда
E < 0
Предварительно изменим начало
отсчёта энергии e =
+ E (0 £ e £ U0) и
обозначим
(2.1.5)
Заметим, что b2 ³
0, так как E £ 0, а k2 ³
0, поскольку e ³ 0. Уравнения
(2.1.3) при этом приобретают очень простую форму:
(2.1.6)
Решения полученных уравнений хорошо
известны:
(2.1.7)
Волновые функции должны быть
конечными, поэтому следует приравнять нулю коэффициенты B и a: при x® - ∞ y1(x) ® + ∞ (Be-kx обращается
в бесконечность), а при x® + ∞ y2(x) ® + ∞ (обращается в
бесконечность aekx). Таким образом,
(2.1.8)
Из граничных условий (4) следует
(2.1.9)
Деление в каждой строке уравнений (2.1.9) второй
формулы на первую даёт
(2.1.10)
Переходя к синусам (для sin(kL + d) вычисления аналогичны):
(2.1.11)
окончательно получают:
,
. (2.1.12)
Значения синусов заключены в
интервале (0,1), поэтому их аргументы изменяются в области (0,p/2). Из полученных уравнений
(2.1.12) следует, что
(2.1.13)
Это трансцендентное уравнение можно
решить графически. Функция kL в левой части уравнения (11) возрастает с
увеличением k, а стоящая в правой части
убывает.
Чтобы это уравнение имело решение
необходимо, чтобы левая часть была больше, чем правая часть: в этом случае
графики этих функций будут пересекаться и дадут искомое решение. причём её
конфигурацию удобнее всего выбрать в виде, представленном на рисунке.
На следующем этапе рассматривается
уравнения Шрёдингера для линейного гармонического осциллятора по схеме,
описанной Бомом.
2.2 Линейный гармонический
осциллятор
.2.1 Классическая модель линейного
гармонического осциллятора
В классической механике линейным
гармоническим осциллятором называют материальную точку массы m, движущуюся под
действием квазиупругой силы Fк = - kx. Такая сила возникает при малых
отклонениях от положения равновесия, она определяется градиентом потенциальной
энергии U(x) = kx2/2: F = - gradU(x) = - ikx (i - единичный вектор,
направленный вдоль оси Ox). На рис. 4 изображена схема демонстрационного
эксперимента, иллюстрирующего особенности движения. В рамках этой модели
возможен учёт в сочетании с квазиупругой действия и других сил, как постоянных,
так и зависящих от времени и скорости. Уравнение движения материальной точки в
данном случае
(2.2.1.1)
обычно записывается в виде:
, (2.2.1.2)
где ω = (k/m)½ - круговая
частота. Общее решение уравнения (2.2.1.2)
x = Asin(ωt + φ0), (2.2.1.3)
представляет собой гармоническое
колебание с амплитудой А, круговой частотой ω и начальной фазой φ0. Скорость
материальной точки, кинетическая, потенциальная и полная энергии осциллятора
равны соответственно:
v = ωAcos(ω0t + φ0),
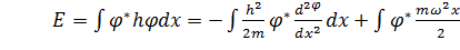
(2.2.1.4)кин = mv2/2 = p2/2m, (2.2.1.5)
U(x) = kx2/2
= mω2x2/2,
(2.2.1.6)(p,x) = p2/2m + mω2x2/2= mω2A2/2.
(2.2.1.7)
Уравнение Е(p,x) = const является
уравнением эллипса в фазовом пространстве ( рисунок.3):
, (2.2.1.8)
полуоси которого равны
. (2.2.1.9)
Рисунок 5 - Фазовая траектории линейного
гармонического осциллятора, соответствующие постоянным значениям энергии
Заштрихованная полоса - приращение площади
эллипса при переходе от фазовой траектории E = const к фазовой траектории,
соответствующей увеличению энергии E на ΔE.
Обсуждаемая
модель используется для описания движения любых систем при малых отклонениях x
от положения равновесия х0. В этом случае функцию U(X0 + x) можно разложить в
ряд Тэйлора по степеням малой величины x:
(2.2.1.10)
Если положить X0 = 0, выбрать начало
отсчёта потенциальной энергии от нуля, положив U(X0) = U(0) = 0, и ограничиться
членами второго порядка малости, то получим
(2.2.1.11)
Из условия минимума энергии в
положении равновесия следует
.(2.2.1.12)
Таким образом, потенциальная энергия
любой системы при малых отклонениях от положения равновесия в 1-м приближении
может быть описана функцией вида
.(2.2.1.13)
2.2.2 Квантовая модель линейного
гармонического осциллятора
Энергия свободных колебаний
линейного гармонического осциллятора постоянна, поэтому соответствующее
уравнение Шрёдингера можно записать с помощью общей формулы для стационарных
состояний. С учётом вида функции U(x):
(2.2.2.1)
Волновая функция должна
удовлетворять стандартным условиям - быть конечной, однозначной и непрерывной.
Условие конечности в данном случае требует, чтобы
ψ(x) → 0 при x→
0. (2.2.2.2)
Решение уравнения имеет вид
(2.2.2.3)
где Hn((mw/ћ)½x) так
называемые полиномы Эрмита (n = 1,2,3,.. Если ввести обозначение ξ = (mw/ћ)½x, то их вид
может быть найден сравнительно просто по формуле
(2.2.2.4)
При этом оказывается, что должно
выполняться равенство:
= ћw(n + ½) (2.2.2.5)
Вероятность обнаружения микрочастицы
в состоянии с номером n пропорциональна квадрату модуля волновой функции
где |y(x)n|2 играет роль плотности вероятности rn(x)= |y(x)n|2. Для конкретных
значений n yn(x)
вычисляется по формуле (2.2.2.3). Например, для n = 0.1 и 2 получают
:
(2.2.2.7)
.
2.2.3 Квантование энергии
осциллятора
В результате решения уравнения
Шрёдингера для осциллятора было найдено, что энергия осциллятора принимает
значения из дискретного ряда: En = ћω(n + ½ ), то есть
квантована. Особенностью энергетического спектра по сравнению с описанием в
классической механике является то, что энергии соседних энергетических уровней
отличаются на одну и ту же величину:
ΔEn = En+1- En = ћω. (2.2.3.1)
Общий принцип соответствия - каждая
новая теория должна содержать в себе старую как свой предельный случай -
выполняется и здесь, точно так же как и при рассмотрении задачи о частице в
потенциальной яме. В самом деле, если пренебречь постоянной Планка (или, как
часто говорят, формально рассмотреть предел значения величины при ћ → 0),
то энергия осциллятора E изменяется непрерывно, так как ΔEn →
0, что
характерно для его поведения в рамках классической физики. В своей знаменитой
работе «О строении атомов и молекул» Бор пользовался принципом соответствия в
иной формулировке: при больших значениях квантовых чисел квантовомеханическое
описание должно переходить в классическое. Оказывается, что при больших
квантовых числах изменение энергии при переходе от одного квантового уровня к
другому ничтожно мало по сравнению с энергией самого уровня:
факторизация осциллятор
сопряжение энергия
ΔEn/En = ћω/ћω(n +
½) = 1/(n + ½) → 0 при n → + ∞.
В этом случае можно считать
изменение энергии осциллятора непрерывным, как в классической физике.
Другая особенность спектра энергии осциллятора
- невозможность обращения в нуль энергии. При n = 0 получается, так называемая,
«нулевая энергия» E0 = ћω/2,
существование
которой подтверждается экспериментально. Как и в задаче о частице в
потенциальной яме, этот факт связан с выполнением соотношений неопределённостей
Гейзенберга. В самом деле, если, как обычно поступают при таких оценках,
положить Δx
~ x ~A, Δpx ~ px ~ mAω и, в соответствии с соотношением
неопределённостей, ΔxΔpx
~ ћ,
то
. (2.2.3.2)
2.2.4 Поведение волновой функции
осциллятора
Вероятность обнаружения осциллятора
в точке с координатой x Î (x, x +
dx). Другой результат рассмотрения квантовой задачи для линейного
гармонического осциллятора - обнаружение вероятностного характера его поведния:
вероятность его обнаружения в каком-либо состоянии с заданным n в точке с
координатой x пропорциональна квадрату модуля волновой функции.
dwn(x) = |y(x)|2dx = rn(x)dx. (2.2.4.1)
Плотность вероятности rn(x),
например, для n = 0, 1 и 2, как следует из (2.2.4.1) В некоторых точках
вероятность обнаружения линейного гармонического осциллятора равна 0, а в
некоторых максимальна (см. рис. 4.6 для n = 10). Сравним поведение ρ10(x)
с
поведением плотности вероятности обнаружения микрочастицы в точке с координатой
х в интервале (x, x + dx) при описании осциллятора в классической физике.
Последнюю можно найти, вычислив вероятность нахождения микрочастицы в интервале
(x, x + dx). Эта вероятность dwкл(x) = ркл10(x)dx равна времени dt прохождения
отрезка пути dx = vdt (v= wAcoswt
- скорость (4.4)), делённому на половину периода колебаний Т/2:
(2.2.4.2)
Рисунок 6 - Волновая функция для
осциллятора n
На рисунке 6 представлены обе кривые для n =10:
одна для плотности вероятности rn(x) , полученной с помощью
волновой функции другая, найденная выше при вычислении dwкл(x):
для плотности вероятности,
вычисленной на основе представлений классической механики.
2.2.5 Решение уравнения Шрёдингера
для осциллятора методом разложения искомой функции в ряд. Полиномы Эрмита
Предварительно с целью упрощения
выкладок производят замену переменной x
= ax Þ x = x/a в уравнении:
(2.2.5.1)
. (2.2.5.2)
α выбирают так, чтобы
коэффициент при ξ2
был
равен единице:
что
позволяет выразить α
через
постоянные ћ,m и w
. (2.2.5.3)
Первое слагаемое в квадратных
скобках обозначают
. (2.2.5.4)
Таким образом, задача сводится к
решению уравнения
(2.2.5.5)
при условии
если
(2.2.5.6)
Известно несколько способов решения
полученного уравнения. Рассмотрим один из наиболее простых, когда сначала
анализируется поведение волновой функции при больших значениях |ξ|
>> λ, а
затем при |ξ| << 1.
ξ2 >> λ.
Пренебрегая в уравнении λ по сравнению
с ξ2,
получим:
. (2.2.5.7)
По аналогии с решением
дифференциального уравнения 2-го порядка с постоянными коэффициентами попробуем
искать решение уравнения в виде
, (2.2.5.8)
где a - постоянная.
Появление минуса и ξ2 в показателе
экспоненты связано с тем, что при ξ → ± ∞ волновая
функция независимо от знака ξ должна стремиться к нулю. При
подстановке в уравнение волновой функции приходим к равенству:
. (2.2.5.9)
Сокращая на экспоненту exp(-aξ2) и, с учётом
предположения, что ξ2 >> a,
пренебрегая в левой части слагаемым со знаком минус получаем a =½ и
. (2.2.5.10)
В рассматриваемом приближении ξ2 >>
λ функция
определяет поведение решения уравнения при больших значениях ξ.
) |ξ| << 1. Равенство
диктует поиск функции ψ(ξ)
в
виде
,(2.2.5.11)
где H(ξ) может быть
разложена в ряд по степеням ξ. Подставив ψ(ξ) из (2.2.5.7)
в уравнение (2.2.5.3), получаем дифференциальное уравнение, которому должна
удовлетворять функция H(ξ):
.(2.2.5.12)
Степенной ряд функции H(x) имеет вид:
. (2.2.5.13)
В этом случае

(2.2.5.14)
Подстановка в уравнение (2.2.5.14)
для волновой функции даёт:
.(2.2.5.15)
В последнем равенстве следует
сгруппировать слагаемые с одинаковыми степенями ξ. Полученный
ряд обращается в нуль только в случае равенства нулю его коэффициентов:
(2.2.5.16)
(2.2.5.17)
Коэффициенты cn связаны рекуррентным
соотношением
(2.2.5.18)
Из которого следует, что все чётные
коэффициенты выражаются через c0, а нечётные через c1, что позволяет записать
H(x) в виде:
(2.2.5.19)
Отношение коэффициентов последующего
члена и предыдущего в обоих рядах при больших значениях ν равно
,(2.2.5.20)
что характерно для разложения в ряд
экспоненты
(2.2.5.21)
и волновая функция при x→+∞ неограниченно
возрастает:
(2.2.5.22)
Таким образом, при больших значениях
n yn(x) ~ exp(ξ2/2), что
противоречит требованию конечности волновой функции. Этому условию можно
удовлетворить, если выбрать λ = 2n + 1. В этом случае один из рядов
обрывается, превращаясь в полином, а от другого можно избавиться, приравняв
нулю коэффициент, на который он умножается. В этом случае при n чётном мы получаем
полиномы по чётным степеням ξ (при этом С1 = 0), при n нечётном -
полиномы по нечётным степеням ξ (С0=0):
В этом случае H(ξ) для каждого
значения n представляют собой полиномы степени n, обозначаемые Hn(ξ), для
вычисления которых можно пользоваться производящей функцией:
.(2.2.5.24)
Hn(ξ) называются
полиномами Эрмита. Таким образом:
(2.2.5.25)
(при больших значениях ξ экспоненциальный
множитель гарантирует конечность волновой функции для любой постоянной n, в чём
легко удостовериться с помощью правила Лопиталя:
.(2.2.5.26)
В том, что Hn(ξ) является
решением уравнения можно убедиться непосредственной подстановкой в него
полученной формулы. Таким образом, решение уравнения имеет вид:
.(2.2.5.27)
Вернёмся к переменной x:
,(2.2.5.28)
где согласно формуле α =
(mω/ћ)½. Произвольный
постоянный множитель Nn определяется из условия нормировки:
(2.2.5.29)
Ниже показано, что
. Таким
образом, волновая функция осциллятора равна
(2.2.5.30)
Поскольку физический смысл имеет
только квадрат модуля волновой функции, дающий плотность вероятности
обнаружения микрочастицы в заданной точке, то волновая функция всегда
определена с точностью до постоянного множителя равного по модулю единице:
Вернёмся в интеграле к переменной
x
(a = (mw/ћ)-½):
.(2.2.5.31)
Заменим один из полиномов его
выражением и произведём интегрирование n раз по частям:

(2.2.5.32)
В итоге получаем
и
нормирующий множитель
.(2.2.5.33)
2.2.6 Шрёдингеровский метод
факторизации
Другой метод был предложен
Шрёдингером. Вводя обозначение yl(x) и оператор x2 - ¶2/¶x, уравнение,
(2.2.6.1)
можно представить в виде
(2.2.6.2)
в котором yl (х) - собственная функция
оператора [x2 - ¶2/¶x2], соответствующая его
собственному значению l. При
действии на уравнение (2.2.5.33) слева оператором (x + ¶/¶x)
(2.2.6.3)
получают уравнение для функции
(2.2.6.4)
(2.2.6.5)
Если теперь раскрыть произведение операторов в
левой части последнего равенства, то получим уравнение для его собственных
значения (l - 2) и функции y(l-2)(х)
≡ j(х):
(2.2.6.6)
Иными словами, если мы действуем
оператором (x + ¶/¶x) на волновую функцию yl(x), принадлежащую собственному
значению l, то
получаем решение уравнения yl-2(x), для собственного значения l - 2.
Повторяя преобразования и вводя
волновую функцию yl - 4(x)
(2.2.6.7)
вновь получим уравнение вида
(2.2.5.18), но уже для собственного значения (l - 4) и собственной функции yl-4(x).
При продолжении этого процесса
каждый раз получают уравнение вида для собственного значения меньшего на 2, чем
на предыдущем этапе. Однако этот процесс нельзя продолжить до бесконечности.
Собственное значение l уравнения
(2.2.5.18) пропорционально энергии осциллятора (2.2.5.17) и потому, как было
показано выше, не может быть отрицательным или равным нулю. Следовательно, l должно быть равно целому
нечётному числу. Если предположить, что параметр l не является целым числом, то при реализации,
описанной выше процедуры, он будет принимать отрицательные значения. Нечётность
же l гарантирует
невозможность его обращения в нуль. Таким образом:
l = 2n + 1, где n = 0 1, 2, 3,… (2.2.6.8)
Найдём волновую функцию осциллятора для n = 0 (l=1).
Для этого воспользуемся уравнением, в котором, как было показано j(х)
≡y(l-2)(х).
Выполнение требования l > 0 будет гарантировано, если
наименьшее значение l таково, что при этом в равенстве yl
- 2(х) = y2n-1(х) = 0. Этот минимум l
достигается при n = 0.
Волновые функции нумеруют значениями квантового
числа n
yl(x)|l=2n+1
≡ yn(x)).
(2.2.6.9)
Для n = 0:
yl(x)|n=0 = y2n+1(x)|n=0
= y0(x)
и (¶/¶x
+ x)y0(x)
= 0 (2.2.6.10)
Интегрируя последнее уравнение, получают
(2.2.6.11)
(постоянный множитель С0 находится
из условия нормировки).
Рассмотрим уравнение (2.2.5.18), при
обратном порядке операторов (x
+ ¶/¶x) и (x - ¶/¶x):
(2.2.6.12)
Последнее уравнение записываем для l = 2n + 1 по аналогии с
(2.2.5.24) (в соответствии с yl(x)|l=2n+1 ≡ yn(x)):
(2.2.6.13)
Подействуем на это уравнение
оператором (x - ¶/¶x):
(2.2.6.14)
Вводя функцию j1(x) = (x- ¶/¶x)yn(x), получим уравнение
(2.2.6.15)
Раскрыв произведение операторов
получим уравнение (2.2.5.18), в котором вместо l = 2n + 1 фигурирует 2(n + 1) +1:
(2.2.6.16)
Оказывается, что j1(x) ≡ yn+1(x) - действие оператора (x - ¶/¶x) на функцию yl(x) ≡ yn(x) порождает функцию yl+2(x)≡yn+1(x). В принятых обозначениях
волновых функций квантовыми числами n
yn+1(x) = (x- ¶/¶x)yn(x)(2.2.6.17)
Каждая последующая функция может
быть получена из предыдущей yn+1(x) из yn(x), yn (x) из yn-1(x ) и так далее:
(2.2.6.18)
полином Эрмита n-й степени
(2.2.5.28).
В конечном итоге все волновые
функции можно найти, взяв в качестве исходной функции y0(x). Постоянная Nn в находится
из условия нормировки (2.2.5.30) (смотри (2.2.5.32) и вычисления в замечании
следующем за этой формулой).
Формула для полиномов Эрмита Hn(x)
(2.2.6.19)
(2.2.6.20)
(2.2.6.21)
Обобщая эти частные случаи, можно записать для
любого n:
(2.2.6.22)
В квадратных скобках стоит полином
Эрмита степени n Hn(x). Эту
формулу можно доказать по индукции. Для случая n = 0, 1, 2 она проверена, Если
же она верна для любого целого n,то должна быть справедливой и для n + 1. В
самом деле, так оно и есть
(2.2.6.21)
Для каждой функции yn(x) постоянный множитель Nn
находится из условия нормировки (2.2.5.30) и равен
.(2.2.6.22)
2.3 Потенциальный барьер
Рисунок 7 - Потенциальный барьер
Математическая формулировка задачи Одномерное
уравнение Шрёдингера в данном случае имеет вид
(2.3.1)
Потенциальная энергия задаётся
следующей функцией:
(2.3.2)
Волновая функция должна
удовлетворять стандартным условиям - быть конечной, однозначной и непрерывной
вместе со своей первой производной. При подстановке U(x) в (1) последнее
распадается на 3 уравнения: в интервалах (-∞, 0) (на рис. обозначен ), [0,L]
(обозначен ) и (L,+ ∞)
():
(2.3.3)
Как было сказано выше, волновая
функция должна быть непрерывной вместе со своей первой производной, поэтому
граничные условия записываются следующим образом:
(2.3.4)
Наконец, следует учесть, что
возможны два случая:
). Е > U0 и 2) E < U0,
существенно отличающиеся друг от друга. При E > U0 реализуются состояния,
когда частица может быть обнаружена в любой точке оси Ox - это ситуация
рассеяния частиц на заданном потенциале. Во втором случае обнаруживается
прохождение частицы через потенциальный барьер - «туннельный эффект» - явление
парадоксальное с точки зрения классической механики. В качестве примера рассмотрим
решение уравнения, когда E < U0, используя результаты, полученные при
решении задачи о потенциальной ямы конечной глубины.
Введём обозначения
(2.3.5)
Заметим, что n2 £
0, а k2 ³
0. Решения уравнений (2.33) при этом можно записать сразу, используя
результаты, полученные для прямоугольной потенциальной ямы конечной глубины:
(2.3.6)
Далее следует традиционное
обсуждение полученного результата, повторяющее классиков.
ЗАКЛЮЧЕНИЕ
Извечной проблемой изучения основ теоретической
физики на физико-математических факультетах в педагогических вузах была и
остаётся недостаточная математическая подготовка студентов. При всём старании и
жертвенности преподавателям математических дисциплин не удаётся подготовить
учащихся к безболезненному восприятию материала этого раздела физики.
Практически всё упирается в несоответствие объёма учебного материала отводимому
на его освоение времени. По этому поводу как-то А. А. Пинский заметил: «Если
собрать вместе девять (и даже больше) женщин они не смогут родить ребёнка за
один месяц, несмотря на все современные достижения в акушерстве. Так и с
изучением физики и математики, - какие бы методические приёмы и схемы мы не
придумывали, требуемый всем развитием науки и техники уровень образования
становится, мягко говоря, всё более трудно достижимым…». А с дальнейшим
«совершенствованием» системы образования в России число часов, отводимых на
естественнонаучные дисциплины, продолжает сокращаться как шагреневая кожа.
Разумеется, преподавателям и учителям приходится вести поиски минимизации
ущерба от этого процесса и искать наиболее упрощённые способы изложения
материала, в том числе, менее затратные по времени. В процессе подготовки мною
дипломной работы я исследовал возможность использования для решения задач
квантовой механике метода факторизации [12,13,14].
Этот метод получил дальнейшее развитие в наше
время в теоретических работах, содержание которых выходит далеко за рамки
курсов математики и теоретической физики педагогического университета. К
сожалению в учебной литературе этот метод не получил развития, исключение
составляет только книга Д. Бома.
В дипломной работе я рассмотрел три простых
задачи традиционного введения в курс квантовой механики: 1) частица в
потенциальной яме, 2) линейный гармонический осциллятор и 3) прохождение частиц
через потенциальный барьер. С мировоззренческой точки зрения эти задачи дают
будущему учителю вполне достаточное общее представление о том, чем занимается квантовая
механика - описанием движения микрочастиц в атомах и ядрах, свойств молекул и
твёрдых тел (электронная теория вещества) и, наконец, рассеяния микрочастиц на
различных потенциалах. Оказалось, что, несмотря на сложность метода
факторизации в данном случае оказалось возможным адаптировать его к решению
упомянутых простейших задач. Их решение, как я убедился, во многом отличается и
на мой взгляд существенно проще, чем в подавляющем числе
учебников[34,35,36,37]. Во всяком случае, удается избежать разложения функций в
ряды, исследование их сходимости и работы с рекуррентными соотношениями.
СПИСОК ЛИТЕРАТУРЫ
1.
Д. Бом Квантовая физика/ Д. Бом Квантовая физика, Глава 13, с. 348., 1951.
2.
Churchill R. V., Modern Operational Mathematics in Engineering/ Churchill R.
V., Modern Operational Mathematics in Engineering, McGraw-Hill Book Company,
Inc., New York, 1944.
.
Condon E.U. and Short ley G.H., Theory of Atomic Spectra, Cambridge University
Press, Teddington, 1935, p. 133; русский
перевод:
Кон
дон
Е.,
Шортл
и
Г.,
Теория
атомных
спектров,
ИЛ,
М.,
1949.
.
Courant R. Methoden der Mathematischen Physik / Courant R. and H i 1 b e r t D.
Methoden der Mathematischen Physik, Verlag. Julius Springer,
Berlin, 1931, Vol. I; русский перевод: Курант Р. и Гильберт Д., Методы
математической физики, Гостехиздат, М., 1951.
5.
Dennis on D.M. Modern Physic/ Dennis on D.M., Revs. Modern Physic, 3, 280
(1931).
.
Dirac P.A.M. Quantum Mechanics/ Dirac P.A.M. Quantum Mechanics, Proc. Roy. Soc.
(London), A 133, 60 (1931).
.
Dirac P.A.M., Principles of Quantum Mechanics/ Dirac P.A.M., Principles of
Quantum Mechanics, Clarendon Press, Oxford, 1935; русский
перевод:
Дирак
П.,
Основы
квантовой
механики,
ОНТИ,
1937.
.
Dirac P.A.M., Principles of Quantum Mechanics/ Dirac P. A. M., Principles of
Quantum Mechanics, Clarendon Press, Oxford, 1947; см.
перевод
4-го
издания:
Дирак
П.,
Основы
квантовой
механики,
Физматгиз,
М.,
1960.
.
Dunham J.L., Physic/ Dunham J. L., Physic Rev., 34, 438 (1929).
.
Eckart C, Physic/ Eckart C, Physic Rev., 35, 1303 (1930).
.
Elsasser W.M. Physic/ Elsasser W.M. Physic Rev., 69, 106 (1946).
.
Hull Т.Е.
Physic/ Hull Т. Е.
and Infeld L., Physic Rev., 74, 905 (1948).
.
Infeld L., Physic/ Infeld L. Physic Rev., 59, 737 (1941).
.
Infeld L., Physic/ Infeld L. Physic Rev., 72, 1125 (1947).
.
Infeld L. Theory Physic / Infeld L. and Schild A., Theory Physic. Rev., 67, 121
(1945).
.
Inui Т.
Theory Physic/ Inui Т.,
Prog. Theory Physic, 3, 168 and 244 (1948).
.
Johnson M.H. Physic/ Johnson M.H. and Lippmann B. A., Phys. Rev., 76, 828
(1949).
.
Johnson M.H. Physik / Johnson M.H. and Lippmann B. A., Phys. Rev., 77, 702
(1950).
.
Manning M.F. Morse / Manning M. F. and Rosen N., Phys. Rev., 44, 953 (1933).
.
Morse Physic/ Morse, Fisk and S с
h i f f, Phys. Rev., 50, 748 (1936).
.
Poschl G. Physic / Poschl G. and Teller E., Z. Physic, 83, 143 (1933).
.
Rоjanski
V., Introductory Quantum Mechanics/ Rоjanski
V., Introductory Quantum Mechanics, Prentice-Hall, Inc., New York, 1938.
.
Rosen N. and Morse P.M., Phys. Rev., 42, 210 (1932).
.
Schrodinger E. Ann. Physic / Schrodinger E. Ann. Physic, 79, 361 (1926).
.
Schrodinger E. Quantum Theory/. Schrodinger E. Quantum Theory, Wave Mechanics,
Blackie and Son, London, 1928.
.
Schrodinger E. Quantum Theory/. Schrodinger E. Quantum Theory, Proc. Roy. Irish
Acad., A46, 9 (1940).
.
Schrodinger E. Quantum Theory/. Schrodinger E. Quantum Theory, Proc. Roy. Irish
Acad., A47, 53 (1941).
.
Sоmmerfe1d
A., Atombau und Spectrallinien/ Sоmmerfe
d A., Atombau und Spectrallinien, Vierweg Sohn, 1929, Vol. II,
pp. 24-32; русский перевод: Зоммерфельд А., Волновая механика, ч. И, ОНТИ,
1933.
29.
Stevenson A. F. Quantum Phys. / Stevenson A. F. Quantum Phys. Rev., 59, 842
(1941).
.
Wentze1 G., Quantum Theory of Fields / Wentze1 G., Quantum Theory of Fields,
Interscience Publishers, Inc., New York, 1949; русский
перевод:
Вентцель
Г.,
Введение
в
квантовую
теорию
волновых
полей,
ГТТИ,
1947.
.
Weyl H., The Theory of Groups and Quantum Mechanics/ Weyl H., E.P. Dutton and
Company, Inc., New York, 1931.
.
Whittaker E.T. Modern analysis / Whittaker E.T. and Watson G. N., Modern
analysis, Cambridge University Press, London, 1946; см.
перевод
4-го
издания:
Уиттекер
Е.Т.
и
Ватсон
Г.Н.,
Курс
современного
анализа,
ГТТИ,
1934.
33. Bethe H., Handbuch der
Physik/ Bethe H., Handbuch der Physik, Verlag. Julius Springer, Berlin, 1933,
Vol. XXIV/1; русский перевод: Бете Г., Квантовая механика простейших систем,
ОНТИ, 1935. <http://math.nsc.ru/smz/2011/01/54.html>
.<http://www.mathnet.ru/php/archive.phtml?wshow=paper&jrnid=im&paperid=2184&option_lang=rus>
.<http://www.mathnet.ru/php/archive.phtml?wshow=paper&jrnid=tmf&paperid=5684&option_lang=rus>
.
<http://math.nsc.ru/smz/2011/01/54.html>