Маломощный трансформатор с воздушным охлаждением
Введение
К маломощным трансформаторам принадлежат
трансформаторы, номинальная мощность которых находится в пределах от единиц,
десятков вольт-ампер до 1000 вольт-ампер.
Физический процесс работы маломощных
трансформаторов по существу такой же, как в трансформаторах средней и большой
мощности, но соотношения некоторых параметров и величин, связанных в том или
ином виде с мощностью трансформатора, являются значительно отличными.
Вследствие этого намагничивающий ток, например, относительно велик, потоки рассеяния
невелики, индуктивное сопротивление рассеяния мало, а толщина изоляции между
обмотками берется малой; мала и толщина самих обмоток, отсутствуют радиальные
вентиляционные каналы и т.д.
Наибольшее применение среди трансформаторов
малой мощности имеют силовые трансформаторы, т.е. трансформаторы,
предназначенные для питания электрических цепей различных устройств и схем.
Такие трансформаторы применяются в устройствах автоматики, телемеханики, связи,
в радиотехнике и служат для питания различных цепей управления, сигнализации,
обмоток реле, для питания цепей анодов, схем с полупроводниковыми
выпрямителями, магнитными усилителями и т.д.
Силовые трансформаторы малой мощности обычно
выполняются однофазными, имеют воздушное охлаждение. Номинальное напряжение их обмоток
не превышает 1000В, т.е. эти трансформаторы относятся к низковольтным. Частота
питания их в большинстве случаев для трансформаторов общего применения ¦=50Гц,
но применяется также, повышенная частота ¦=400Гц и выше для
трансформаторов специального назначения.
По конфигурации маломощные трансформаторы могут
выполняться броневыми, стержневыми и тороидальными.
По конструктивному исполнению сердечники
маломощных трансформаторов выполняются двух типов:
Пластинчатые;
Ленточные.
Для расчета маломощного силового трансформатора,
предназначенного для питания различной нагрузки, исходными данными являются:
номинальные (полные) мощности вторичных обмоток (S2, S3), номинальное
напряжение первичной (U1) и номинальные напряжения вторичных обмоток (U2, U3);
частота сети (¦); коэффициенты мощности нагрузок вторичных
обмоток (cosj2, cosj3).
В условиях практики особыми исходными условиями
при проектировании могут быть: заданные габариты или вес трансформатора,
специфические условия эксплуатации (температура окружающей среды, повышенная
влажность, тряска, химические воздействия); особые условия по надежности,
возможные пределы колебания первичного напряжения и допустимые изменения
вторичного напряжения, режимы работы вторичных обмоток и т.д.
Основное расчетное уравнение маломощных
трансформаторов
При расчете маломощных трансформаторов для
выбора главных размеров используют основное уравнение, определяемое выражением:
где S1=U1·I1 - полная мощность, потребляемая
первичной обмоткой
трансформатора (В×А);
¦ - частота переменного тока (Гц);
Вс - индукция (амплитудное значение) в стержне
(Тл);- плотность тока в обмотках (А/мм2);- геометрическое сечение стержня
(см2);ок - площадь окна сердечника (см2);
Кс - коэффициент заполнения сердечника сталью;
Кок - коэффициент заполнения окна сердечника
обмоткой.
Данное уравнение определяет связь между
мощностью и основными геометрическими размерами трансформатора. Как видно, эта
связь определяется частотой и электромагнитными нагрузками - индукцией и плотностью
тока. Основные размеры трансформатора определяют его вес, от них зависит и
материал из которого будут сделаны все его элементы, а значит и стоимость
самого трансформатора. (основное уравнение будет использовано далее в пункте
4.3)
Исходные данные.
¦=50 Гц - частота переменного тока;=127 B -
напряжение первичной обмотки;=60 B×A - полная мощноcть
I вторичной обмотки;=24 B - напряжение I вторичной обмотки;j2=0,9
- коэффициент мощности I вторичной обмотки;=80 B×A
- полная мощность II вторичной обмотки;=12 B - напряжение II вторичной обмотки;j3=0,95
- коэффициент мощности II вторичной обмотки;
Особые условия расчета: пластинчатый броневой
сердечник.
Расчет маломощного трансформатора с
воздушным охлаждением
Определение токов в обмотках трансформатора.
Токи во вторичных обмотках трансформатора:
;
Ток в первичной обмотке трансформатора находится
из выражения:
- суммарная активная мощность вторичных обмоток
трансформатора, которая равна:
=S2cosj2+S3cosj3=60×
0.9+80×
0.95=130 (Вт) (3) ;
ƞ - к.п.д. трансформатора - отношение
активной отдаваемой мощности к активной потребляемой мощности, величина его
определяется в результате расчета. Здесь принимается предварительная величина
к.п.д., которая может быть взята из таблицы 1, руководства по курсовому
проектированию Б.К. Басовой (стр.14), где
(В×А)
- сумма полных мощностей всех вторичных обмоток.
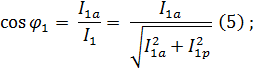
Коэффициент мощности первичной обмотки
находится
из выражения:
где
-
активная,
- реактивная
составляющие тока первичной обмотки,
- предварительная величина намагничивающего тока.
;
Для маломощных трансформаторов значение
при
частоте ¦=50Гц
может быть взято в пределах 35-50% от
:
;
Теперь можно из выражения (4) найти коэффициент
мощности первичной обмотки:
И наконец по выражению (2) найдем ток в
первичной обмотке:
.
Выбор электромагнитных нагрузок - магнитной
индукции и плотности тока.
Величина допустимой магнитной индукции
в
сердечнике зависит от мощности, частоты, типа трансформатора, числа стыков,
материала сердечника.
При частоте 50Гц для пластинчатых сердечников
броневого типа с уширенным ярмом и применении горячекатаной стали Э-41, исходя
из руководства по курсовому проектированию Б.К.Басовой (стр.16),
может
быть принята в пределах
Откуда
Плотность тока
в
среднем можно принимать приближенно для трансформаторов с суммарной вторичной
мощностью
от 100 да 300 В×А.
при частоте 50 Гц, исходя из руководства по курсовому проектированию Б.К.
Басовой (стр.17), можно принимать в пределах от 3.5 до 2.4
Откуда
Определение основных размеров сердечника.
Для определения главных размеров сердечника
используется основное уравнение, описанное выше, в пункте 2:
где
предварительные
значения допустимой магнитной индукции и плотности тока. Найдем полную мощность
первичной
обмотки:
Коэффициент заполнения сечения сердечника сталью
согласно
таблицы 4 руководства по курсовому проектированию Б.К.Басовой (стр.18) при
толщине пластины 0.5 мм. Для лаковой изоляции
0.94.
Значение коэффициента заполнения окна
согласно
таблицы 5 руководства по курсовому проектированию Б.К.Басовой (стр.19) для
трансформаторов с суммарной мощностью 50 - 150 В×А.
при частоте 50 Гц. Для броневого трансформатора
0.3.
Рис. 1 - Основные размеры броневого
пластинчатого сердечника
Теперь из формулы (7):
Принимаем величину (ближайшую к требованной
величине),
которая
соответствует по приложению 2 руководства по курсовому проектированию
Б.К.Басовой марке сердечника ШУ
.
Соответственно из приложения 2 руководства по
курсовому проектированию Б.К.Басовой находим и следующие значения:=30
мм;=45мм;=19 мм;=53 мм;я=19 мм;
Определение числа витков обмоток
Общее выражение для определения числа витков в
любой обмотке трансформатора определяется по следующей формуле:
Число витков первичной обмотки (предварительное
значение):
Э.д.с первичной и вторичных обмоток:
неизвестна, так
как падение напряжения в ней
становится
известно только в конце расчета трансформатора. Аналогично э. д. с. Во
вторичных обмотках.
Приближенное значение
определяется
по таблицы 7 исходя из суммар-ной полной мощности вторичных обмоток
.
Тогда число витков первичной обмотки
трансформатора:
Э.д.с., приходящаяся на один виток первичной
обмотки:
Число витков первой вторичной обмотки:
Число витков второй вторичной обмотки:
Округляем значение
и
пересчитываем величину э. д. с. на виток, число витков в других обмотках и
величину индукции:
=0.363
=328.483
=70
Напряжение на вторичных обмотках при холостом
ходе:
Определение сечения и диаметра проводов обмоток.
Предварительные значения поперечных сечений
проводов обмоток
определяются по
формулам:
В соответствии с определёнными предварительными
значениями сечений проводов выбирают по таблице 2 приложения 6 ближайшие
стандартные сечения и получаем, таким образом, величины сечений меди:
Диаметры проводов без изоляции:
Выбрав марку изоляции ПЭВ-1из таблицы 1
приложения 6, получаем:
Для маломощных силовых трансформаторов общего
применения используются обычно (при напряжении обмоток до 500 В) провода марки
ПЭВ - 1.
По окончательно выбранным сечениям проводов
определяем уточненные значения плотности тока в обмотках:
Определение площади окна, необходимой для
размещения обмоток трансформатора.
Площадь окна, необходимая для размещения всех
обмоток трансформатора равна:
Чтобы обмотки могли быть размещены в окне
выбранного ранее сердечника, должно быть
Значит
Укладка обмоток на стержнях и проверка
размещения их в окне выбранного сердечника.
При выборе относительного расположения обмоток
следует исходить из конструктивных соображений и вопроса стоимости. С точки
зрения меньшей стоимости целесообразно обмотку с наиболее тонким проводом
расположить на стержне первой, так как при этом средняя длина витка этой
обмотки будет наименьшей, а также если какая - либо обмотка имеет несколько
отводов, целесообразно расположить её последней (по отношению к стержню), т.е.
снаружи и т.п.
Укладка обмоток производится следующим образом.
Размер каждой обмотки по высоте окна равен
,
где расстояние от обмотки до ярма
Этим
величинам при размещении обмотки на каркасе соответствует толщина щечки каркаса
1,5-3,5 мм.) Число витков первичной обмотки в одном слое
равно:

Округлим до ближайшего большего целого числа
.
Число слоёв первичной обмотки
трансформатора
броневого типа равно:
Округлим до ближайшего большего целого числа m1
= 6.) Число витков вторичной обмотки в одном слое
равно:
Коэффициент укладки
из
таблицы 8, при
равен: 1.1;
Округлим до ближайшего большего целого числа
Число слоёв вторичной обмотки
трансформатора
броневого типа равно:
Округлим до ближайшего большего целого числа m2
= 2.
с) Число витков третьей обмотки в одном слое
равно:
Коэффициент укладки
из
таблицы 8, при
равен: 1.12;
Округлим до ближайшего большего целого числа
Число слоёв третьей обмотки
трансформатора
броневого типа равно:
Округлим до ближайшего большего целого числа m3
= 1.
Толщина обмоток определяется по формуле:
где
-
толщина изоляционной прокладки между двумя соседними слоями обмоток;
Слоевая изоляция
предназначена
для исключения возможности замыкания между витками соседних слоев при
повреждении изоляции провода. Практически ее следует применять, если напряжение
между слоями превышает 50 В.
Напряжение между двумя слоями каждой обмотки
равно:
(33);
Исходя из того
Толщина первичной обмотки:
Толщина вторичной обмотки:
Толщина третичной обмотки:
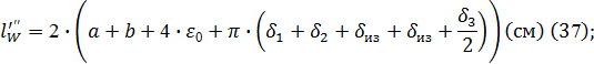
Радиальный размер катушки, т.е. толщина катушки
прямоугольной формы с учётом всей изоляции определяется из выражения:
где
-
коэффициент выпучивания учитывает разбухания катушки при намотке и пропитке,
величина его
, выбираем
- расстояние от
стержня до обмотки, оно определяется толщиной каркаса (или гильзы)
мм
и зазором между каркасом (или гильзой) и стержнем
- толщина
соответствующих обмоток;
- межобмоточная
изоляция, она может исполняться из лакотканной бумаги толщиной 0.2-0.3 мм.
;
- толщина изоляции
поверх крайней обмотки. Имеет величину того же порядка, что и межобмоточная
изоляция, т.е.
.
Рис. 2 - Расположение катушек в броневом
трансформаторе
Тогда радиальный размер катушки будет равен:
Теперь следует определить, укладывается ли
катушка в окне сердечника. Для этого надо найти величину
,
смотри рисунок 1. Обычно
, наименьшее
допускаемое значение величины
равно 0.5 - 1 мм.
Само же значение
находится
из формулы, где с = 19мм (из п.4 расчета):
19 - 14.277 =
4.723 мм (34) .
Это входит в диапазон рекомендуемых значений
.
Определение средней длины витка обмоток.
Рис. 3 - Форма прямоугольной катушки.
Средняя длина витка для обмотки, помещённой
первой равна:
Средняя длина витка для обмотки, уложенной
поверх предыдущей равна:
Средняя длина витка для обмотки, уложенной
третьей от поверхности стержня равна:
Принятые ранее обозначения имеют соответствие,
определяемое порядком расположения обмоток.
Исходя из этого средние длины витков первичной,
вторичной и третьей обмотки трансформатора равны:
Масса меди обмоток.
Общая масса меди равна:
Масса стали сердечника.
Масса стали сердечника складывается из массы
стали стержня и ярма:
Масса стержня
равна:
где
-
удельная масса стали, равная
- высота окна сердечника,
см;
Масса ярма равна:
где
-
геометрическое сечение ярма;
:
Отсюда находим полную массу стали:
Рис. 4 - Пластинчатый сердечник, броневой
(Ш-образный)
Потери в меди обмоток.
Потери в меди обмоток трансформатора находятся
по формуле:
где n - соответствующая обмотка трансформатора;
В первичной обмотке:
В первой вторичной обмотке:
Во второй вторичной обмотке:
Суммарные потери в меди равны:
Потери в стали сердечника.
Суммарные потери в стали сердечника:
где
-
потери в стержне и определяется по формуле:
где
-
удельные потери в стали при индукции 1.0 Тл, толщине пластин 0.5мм (из п.4
расчета) и частоте 50Гц из таблицы приложения 7 равны 1.55Вт/кг, а
=1.3
Тл (из п.4 расчета), т.е. марки горячекатаной стали Э-41;
- потери в стали
ярма определяется по формуле:
где
-
индукция в ярме и определяется по формуле:
Отсюда суммарные потери в стали равны:
Определение тока холостого хода.
Ток холостого хода трансформатора равен:
где
-
намагничивающий ток или реактивная составляющая тока холостого ход;
- активная
составляющая тока холостого хода;
Величина
находится
по закону полного тока ( для пластинчатых сердечников):
где
и
-
напряжённость магнитного поля (А/см) в стержне и ярме; они определяются по
кривым намагничивания (приложение 12 а) в соответствии с величинами
и
для
марки электротехнической стали Э-41.
- число зазоров (стыков) на пути магнитной
силовой линии равное 2;
- величина
эквивалентного воздушного зазора, равная 0.004 (см);
- длина магнитной
линии в стержне,
- длина средней
магнитной линии в ярмах трансформатора, определяется по формуле:
трансформатор индукция ток обмотка

- коэффициент,
учитывающий наличие в намагничивающем токе высших гармоник, его величина
принимается по данным таблицы из приложения 13, для
берется
усредненное
Исходя из этих значений определяем (из п.1
расчета
:
Активная составляющая тока холостого хода
определяется
наличием потерь в стали сердечника, а также потерями в меди первичной обмотки
трансформатора от тока холостого хода. Эта величина очень мала по сравнению с
потерями с стали поэтому:
При частоте 50 Гц величина
мала
по сравнению с намагничивающим током
.
Поэтому в этом случае при приближенных расчётах ею можно пренебречь и считать:
;
Полученное значение тока холостого хода в
процентах по отношению к току номинальному первичной обмотки
при
частоте 50Гц должно быть приблизительно в пределах 30 - 50%, I1=
(A) из п.1 расчета.
Сопротивление обмоток, падение напряжения в них
и напряжение короткого замыкания.
Активные сопротивления обмоток и активное
падение напряжения.
Активные сопротивления обмоток можно определить
так:
Относительное активное падение напряжения в
первичной обмотке при номинальной нагрузке всех вторичных обмоток в процентах:
Относительные активные падения напряжения во
вторичных обмотках в процентах по отношению к первичному напряжению:
Активные сопротивления короткого замыкания пар
обмоток многообмоточного трансформатора, приведённые к первичной обмотке,
равны:
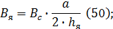
Индуктивные сопротивления и индуктивные падения
напряжения.
- индуктивное
сопротивление первичной обмотки:
где
-
расчетная длина магнитной линии потока рассеяния, можно принять
- относительное
индуктивное падение напряжения в первичной обмотке в %:
- приведённая
ширина канала потока рассеяния:
Подставим в уравнение (50):
Полученные значения подставим в уравнение (52):
В уравнении (53) неизвестно
;
где
-
относительно индуктивное падение напряжения в n обмотке в %:
где
где
-
индуктивное сопротивление пары обмоток:
Найдем
:
Подставим в уравнение (56);
Полные сопротивления и напряжения короткого
замыкания.
Полное сопротивление короткого замыкания:
zк12=
к13=
Напряжение короткого замыкания пар обмоток
многообмоточного трансформатора в процентах:
Изменение напряжения при нагрузке.
Для окончательного уточнения числа витков
обмоток надо определить изменение напряжения при номинальной нагрузке,
получаемое по расчету.
Величина изменения напряжения в маломощных
трансформаторах может быть определена таким образом:
Рассчитаем величину изменения напряжения по
формуле (53):
В результате выполнения расчета следует
определить фактическую величину напряжения на зажимах вторичных обмоток при
номинальной нагрузке:

;
Относительное отклонение 5%;
;
;
Относительное отклонение 2%.
Коэффициент полезного действия.
К.п.д. трансформатора при номинальной нагрузке
равен:
где
-
суммарная активная мощность вторичных обмоток (см.п.2)
При частичной нагрузке к.п.д. маломощного трансформатора
можно определить по формуле, где учтено небольшое изменение потерь в стали при
изменении нагрузки, а также учтено изменение потерь в меди, обмоток вследствие
изменения нагрузки. Величина потерь намагничивающего тока принята неизменной:
где
-
коэффициент нагрузки, определяющий отношение данной нагрузки к номинальной,
т.е. отношение данных величин токов вторичных обмоток к их номинальным
значениям при номинальных значениях коэффициента мощности (
;
- определённые
выше полные потери в стали сердечника;
- суммарные потери
в меди обмоток при номинальной нагрузке;
- намагничивающий
ток, полученный на основании расчета;
- полученное по
расчету среднее значение величины изменения напряжения при номинальной нагрузке
для трансформатора с двумя вторичными обмотками:
Отсюда
равен:
Проверка трансформатора на нагрев.
Нагрев трансформатора при заданном режиме работы
зависит от величины потерь в нём и его теплоотдачи.
В маломощных трансформаторах определяют обычно
перегрев (превышение температуры) обмоток, т.е. перегрев катушек
над
температурой окружающей среды. Перегрев сердечника не имеет столь существенного
значения для работы этих трансформаторов, т.к. изоляция, применяемая в
сердечниках, является достаточно термостойкой.
где
-
суммарные потери в меди обмоток, Вт;
- суммарные потери
в стали сердечника, Вт;
- поверхность
охлаждения - наружная открытая поверхность сердечника, см2;
- коэффициент
теплоотдачи катушки, Вт/см2,
.
Открытая поверхность охлаждения прямоугольной
катушки трансформа-тора броневого типа определяется следующим образом:

Открытая поверхность охлаждения сердечника с
уширенным ярмом
рас-считывается по
следующей формуле:
Отсюда
равно:
Температура обмотки (катушки):
где
-
температура окружающей среды, которая для обычных условий может быть принята в
пределах 35 - 50
;
Поскольку выбранная марка изоляции ПЭВ - 1 соответствует
классу Е, то полученное значение температуры обмотки (катушки)
удовлетворительное, так как класс Е допускает температуру равную 120
.
Сводные данные расчета.=0.14 кВ×А
- суммарная отдаваема полная мощность;=2.679кг - масса стали
сердечника;м=0.476кг - масса меди обмоток;
Pc=4.85 Вт -
потери в стали сердечника;м=12.089 Вт - потери в меди обмоток;
=
0.885 - к.п.д. при номинальной нагрузке;
=
59.11
-
превышение т. трансформатора над т. окружающей среды;
Список использованной литературы
1. Б.К. Басова. Руководство
по курсовому проектированию маломощных трансформаторов. Выпуск 1. Типография
МИИТ, Москва, 1969.
2. Б.К. Басова.
Конструкция маломощных однофазных трансформаторов с воздушным охлаждением.
Выпуск 2. Типография МИИТ, Москва, 1969.
. Н.П. Ермолин и А.П.
Ваганов. Расчет маломощных трансформаторов. М.-Л., Госэнергоиздат, 1957.
4. И.И.
Белопольский и Л.Г. Пикалова. Расчет трансформаторов и дросселей малой
мощности. М.-Л., Госэнергоиздат, 1963.
5. Р.Х.
Бельян. Трансформаторы малой мощности. Л., Судпромгиз, 1961.