Анализ стратегического положения ОАО 'Роснефть'

  • Вид работы:
    Практическое задание
  • Предмет:
    Менеджмент
  • Язык:
    Русский
    ,
    Формат файла:
    MS Word
    239,38 Кб
  • Опубликовано:
    2013-11-28
Вы можете узнать стоимость помощи в написании студенческой работы.
Помощь в написании работы, которую точно примут!

Анализ стратегического положения ОАО 'Роснефть'













ПРАКТИЧЕСКАЯ РАБОТА

По дисциплине "Стратегический менеджмент"

Анализ стратегического положения ОАО "Роснефть"












Красноярск 2013

Содержание

Введение

. Организационно - экономическая характеристика предприятия

. Анализ привлекательности отрасли и условий конкуренции

. Анализ внутренней среды предприятия

Выводы и рекомендации по проведенному анализу

Введение

В качестве объекта для исследования в данной работе выбрано открытое акционерное общество "Роснефть". Выбор обусловлен тем, что данная компания является лидером российской нефтяной отрасли и одной из крупнейших нефтегазовых компаний мира. Более того, компания включена в перечень стратегических предприятий России, в связи с чем рассмотрение именно данного объекта представляется наиболее интересным.

Целью данной работы является разработка подходов к формированию системы стратегического управления и обоснование ее эффективности для развития ОАО "Роснефть".

В качестве основных задач можно обозначить следующие:

·  Приведение краткой характеристики деятельности ОАО "Роснефть" и современного состояния компании;

·        Анализ привлекательности отрасли и условий конкуренции:

·        определение основных показателей, характеризующих отрасль

·        определение конкурентных сил в отрасли

·        конкурентные позиции у компаний

·        ключевые факторы успеха в конкурентной борьбе

·        привлекательность отрасли

·        Исследование внутренней среды организации:

·        анализ проблем компании (построение дерева проблем)

·        оценка эффективности действующей стратегии

·        оценка конкурентной позиции компании

·        определение сильных и слабых сторон компании, какие у нее есть возможности и что представляет для нее угрозу

·        Подведение итогов, рекомендации для компании.

Открытое акционерное общество Нефтяная компания "Роснефть" находится в собственности государства и является одним из ведущих предприятий топливно-энергетического комплекса России. Нефтяная компания "Роснефть" образована в соответствии с постановлением Правительства Российской Федерации от 29 сентября 1995 года N 971. Основными направлениями деятельности "НК Роснефть", в соответствии с уставными документами, являются: поиск и разведка месторождений углеводородов, добыча нефти и газа, переработка сырья, реализация нефти, газа и продуктов нефтепереработки в России и за ее пределами.

"Роснефть" является вертикально-интегрированной компанией. В структуре компании сосредоточены предприятия, обеспечивающие всю технологическую цепочку: от поиска и разведки месторождений нефти и газа до переработки и сбыта конечной продукции.

В состав ОАО "Роснефть" входит большое количество нефтегазодобывающих предприятий (например: ОАО "Юганскнефтегаз", ЗАО "Сахалинские проекты", ОАО "Грознефтегаз", ОАО "НК Роснефть-Краснодарнефтегаз" и другие), сбытовых предприятий (например: ОАО "НК "Роснефть-Кубаньнефтепродукт", ОАО "Роснефть-Кабардино-Балкарская топливная компания", ОАО "НК "Роснефть-Алтайнефтепродукт" и другие) и нефтеперерабатывающих предприятий (например: ОАО "НК "Роснефть - МЗ "Нефтепродукт", ОАО "НК "Роснефть-Туапсинский НПЗ" и т.д.). Также в составе рассматриваемой нефтяной компании находятся предприятия, обслуживающие основную деятельность (ЗАО "Роснефтефлот", ОАО "Всероссийский банк развития регионов", НПФ "Нефтегарант") и НИИ и проектные институты (OOO "НК "Роснефть-НТЦ", институт "СахНИПИморнефть" и другие).

Штаб-квартира "Роснефти" находится в Москве, в то время как ее основные активы располагаются в Западной Сибири, Тимано-Печорской нефтяной провинции, на Юге России и на острове Сахалин.

История компании.

Компания "Роснефть" была создана в 1993 г. как государственное предприятие. В 1995 г. российское Правительство своим постановлением преобразовало "Роснефть" в акционерное общество открытого типа. В 1995-1998 гг. в "Роснефти" постоянно менялось руководство, в результате чего ее активы оказались фактически без управления. Этот период в истории Компании отмечен спадом нефтедобычи, а объем переработки нефти снизился в те годы до одной трети от производственной мощности. Чтобы помочь "Роснефти" вновь стать одним из ключевых игроков на российском энергетическом рынке, Правительство России в октябре 1998 г. приняло решение укрепить руководство Компании. Новая команда менеджеров во главе с Сергеем Богданчиковым незамедлительно приступила к реализации смелых планов, которые в итоге вывели Компанию из кризиса. Уже к 2000 г. "Роснефть" снова стала прибыльной. С того же года начался новый период роста Компании. Ежегодный средний прирост объема добычи нефти стал превышать 11%. В 2001 г. Компания становится официальным представителем России в проектах СРП (соглашение о разделе продукции). В 2002 г. "Роснефть" расширила свою международную деятельность за счет участия в проектах на территории Алжира. В 2003 г. Компания начала добычу нефти на Адайском блоке в районе Каспийского моря (на территории западного Казахстана), а в 2005 г. стала участником СРП по разработке структуры Курмангазы (на каспийском шельфе Казахстана). "Роснефть" последовательно реализует стратегию приобретения новых активов на территории России. В течение нескольких лет компания активно покупает значительные доли акций различных нефтегазовых предприятий ("Юганскнефтегаз", "Верхнечонскнефтегаз", "Северная Нефть" и другие).

В июле 2006 г. "Роснефть" провела одно из крупнейших и самых успешных IPO (первичное размещение акций) в истории мирового финансового рынка, разместив почти 15% своих акций на биржах Лондона и Москвы. Это позволило Компании привлечь 10,7 млрд долл.

В 2007 г. "Роснефть" приобрела крупные добывающие активы в различных регионах России (Самаранефтегаз, Восточно-Сибирская нефтегазовая компания, 50%-ая доля в Томскнефти). Кроме того, были приобретены пять крупных НПЗ (Куйбышевский, Новокуйбышевский, Сызранский, Ангарский и Ачинский), что позволило Компании увеличить суммарные нефтеперерабатывающие мощности до более чем 55 млн т в год. "Роснефть" также существенно расширила свою розничную сеть - количество АЗС возросло в 2,5 раза до 1,7 тыс. шт. Благодаря новым приобретениям и впечатляющему органическому росту в 2007 г. "Роснефть" продемонстрировала наилучшие операционные и финансовые результаты за всю историю своего существования. Компания стала лидером российской нефтяной отрасли по объемам добычи нефти, обеспечив более 20% российской добычи, а также вышла на первое место по суммарным мощностям переработки нефти. Кроме того, Компании теперь принадлежит вторая по величине национальная сеть автозаправочных станций.

В 2009 г. ввела в промышленную эксплуатацию крупнейшее месторождение Восточной Сибири - Ванкорское месторождение.

Основными видами выпускаемой продукции являются производство масел, производство дизельного топлива, производство бензина, производство бункерного топлива, производство сниженных углеводородных газов, производства мазута, производство авиатоплива и топлива "ФОРА".

конкуренция проблема стратегия риск

Таблица 1- Операционная структура компании ОАО "Роснефть"

Роснефть

Разведка и добыча

Переработка и сбыт

Сервис

Разведка

Добыча и разработка

Переработка

Сбыт

ООО "РН-сервис"

Участки вокруг Ванкорского месторождения

Западная Сибирь

ОАО "Ангарская нефтехимическая компания""

ООО "РН- Находканефтепродукт"

ООО "РН-бурение"

Участки в Иркутской области и на Юге Красноярского края

ООО "РН-Юганскнефтегаз"

ОАО "Ачинский НПЗ"

ООО "РН-Востокнефтепродукт"

ООО "РН-информ"

Участки на шельфе Дальнего Востока

ООО "РН-Пурнефтегаз"

ООО "РН- Комсомольский НПЗ"

ООО "РН-Архангельскнефтепродукт"

ООО "РН-учет"

Участки на шельфе Черного моря

ОАО "Томскнефть" ВНК

ОАО " Новокуйбышевский НПЗ"

ООО "РН-Туапсенефтепродукт"

ООО "РН-охрана"

Участки на шельфе Каспийского моря

Восточная Сибирь

ОАО " Куйбышевский НПЗ"

ООО "РН-Красноярскнефтепродукт"

ООО "РН-пожарная безопасность"

Участки на шельфе Азовского моря

ОАО "Верхнечонскнефтегаз"

ОАО " Сызранкий НПЗ"

ООО "РН-Новосибирскнефтепродукт"

ООО "РН-строй"

Шельф Абхазии

ЗАО "Ванкорнефть"

"РН- Туапсинский НПЗ"

ООО "РН-Кемеровонефтепродукт"


Адайский блок

ОАО "ВСНК"

СП "Восток-нефтехимия"

ООО "РН-Чеченнефтепродукт"


Блок 245-юг

Тимано- печора

ЗАО "Восточная нефтехимическая компания"

ООО "РН-Екатеренбургнефтепродукт"


Участки на шельфе Арктики

ООО "РН- Северная нефть"

ОАО "Ангарский завод полимеров"

ООО "РН-Челябинскнефтепродукт"


Проект Шарджа(ОАЭ)

ООО "Компания Полярное Сияние"

ООО "Новокуйбышевский завод масел и присадок"

ОАО " НК " Роснефть- Алтайнефтепродукт"


Проект Хунин-Б (Венесуэла)

Дальний Восток

ОАО " НК " Роснефть- МЗ Нефтепродукт"

ОАО " НК " Роснефть- Курганнефтепродукт"



ООО "РН- Сахалинморнефтегаз"

ЗАО "Отрадненский ГПЗ"

ОАО " НК " Роснефть-Кубаньнефтепродукт"



Сахалин-1

ЗАО "Нефтегорский ГПЗ"

ОАО " НК " Роснефть- Смоленснефтепродукт"



Центральная Россия

Мини- НПЗ

ОАО " НК " Роснефть-Кабардино-Балкарская топливная компания"



ОАО "Самарнефтегаз"


ОАО " НК " Роснефть- Артаг"



ОАО "Удмуртнефть"


ОАО " НК " Роснефть- Мурманскнефтепродукт"



Южный Федеральный округ


ООО "РН- Москва"



ООО "Краснодарнефтегаз"


ЗАО "Брянскнефтепродукт" ОАО"Воронежнефтепродукт"



ОАО " Грознефтегаз"


ЗАО "Липетскнефтепродукт"



ООО "РН- Ставропольнефтегаз"


ЗАО "Ульяновскнефтепродукт"



ОАО " НК Роснефть-Дагнефть"


ЗАО "Самаранефтепродукт"



ОАО " Дагнефтегаз"


ООО "РН- Тверь"




1. Организационно - экономическая характеристика предприятия

Персонал НК "Роснефть" является ключевым ресурсом ее развития. Ценность человеческой жизни - главный приоритет при взаимодействии Компании с работниками, поэтому охране труда, промышленной безопасности, сохранению здоровья персонала Компания уделяет первостепенное внимание. Перед Компанией стоят масштабные и сложные стратегические задачи, решение которых напрямую зависит от мотивированности работников на эффективный труд, а также от их профессионального и личностного развития. Мотивация подразумевает современные комфортные условия труда, систему оплаты труда, способную обеспечить достойный уровень дохода, который в свою очередь зависит от эффективности труда работника, достаточный уровень социальных льгот. Профессиональное и личностное развитие осуществляется через действующие в Компании системы обучения и карьерного продвижения работников. По состоянию на 31 декабря 2009 г. списочная численность персонала ОАО "НК "Роснефть" и ее дочерних обществ составляла 166,9 тыс. человек. В Совет директоров компании входят 9 человек, трое из которых являются независимыми. Органами управления являются: общее собрание акционеров, совет директоров, правление - коллегиальный исполнительный орган, президент - единоличный исполнительный орган.

Руководство текущей деятельностью ОАО "НК "Роснефть" осуществляется единоличным исполнительным органом (Президентом) и коллегиальным исполнительным органом (Правлением). Исполнительные органы подотчетны Совету директоров и общему собранию акционеров.

"Роснефть" сегодня

География деятельности "Роснефти" в секторе разведки и добычи охватывает все основные нефтегазоносные провинции России: Западную Сибирь, Южную и Центральную Россию, Тимано-Печору, Восточную Сибирь, Дальний Восток, Арктический шельф. Компания реализует также проекты в Казахстане и Алжире. Семь крупных НПЗ "Роснефти" распределены по территории России от побережья Черного моря до Дальнего Востока, а сбытовая сеть охватывает 40 регионов страны. "Роснефть" активно увеличивает свою ресурсную базу за счет геологоразведочных работ и новых приобретений, чтобы обеспечить устойчивый рост добычи в долгосрочной перспективе. "Роснефть" является одним из крупнейших независимых производителей газа в Российской Федерации. Суммарный объем переработки нефти на НПЗ Компании составил по итогам 2010г. рекордные для российского перерабатывающего сектора 50,5 млн тонн (369 млн барр.) Заводы "Роснефти" имеют выгодное географическое положение, что позволяет значительно увеличить эффективность поставок производимых нефтепродуктов. Отличительная черта "Роснефти" - наличие собственных экспортных терминалов в Туапсе, Де-Кастри, Находке, Архангельске, которые позволяют существенно повысить эффективность экспорта продукции Компании. "Роснефть" в настоящее время осуществляет комплексные программы их расширения и модернизации с целью обеспечения соответствия этих мощностей планируемым объемам экспорта.

2.       Анализ привлекательности отрасли и условия конкуренции

Каковы основные экономические показатели, характеризующие отрасль?

Таблица 1 - Стратегическая важность ключевых экономических характеристик отрасли

Характеристики

Стратегическая важность

Размеры рынка

Достаточно крупный рынок. По данным за 2008 год в России зарегистрировано 6500 предприятий и организаций, занимающихся добычей топливно-энергетических ископаемых. Добычу нефти в стране осуществляют более 150 компаний, из которых 10 вертикально-интегрированных нефтедобывающих холдингов обеспечивают около 92,5 % всего объема добычи.

Масштабы конкуренции

Конкуренция в мировом масштабе.

Темпы роста рынка

Темп роста рынка колеблется на уровне 4 процентов, что для данной отрасли считается нормальным.

Число конкурентов и их относительные размеры

В отрасли доминирует ограниченное число крупных фирм.

Количество покупателей и их финансовые возможности

Большое количество покупателей в России и за рубежом.

Идет ли интеграция "вперед" или "назад"

Практически все крупные нефтяные холдинги осуществляют вертикальную интеграцию на линии технологической цепочки от добычи сырья до переработки и сбыта.

Направления и темпы технологических изменений, как в процессе производства, так и в создании новых продуктов

В 2010 году запущен проект "Суперкомпьютеры в нефтегазовой отрасли", разработанный с целью создания отечественного программного обеспечения для разведки и разработки месторождений углеводородов. Ведутся работы по разработке инновационных методов увеличения нефтеотдачи. Обсуждаются вопросы разработки и использования высокопроизводительных аппаратно-программных средств и прикладного программного обеспечения для эффективного решения ресурсоемких вычислительных задач при поисках, разведке и разработке месторождений нефти и газа.

Легкость вхождения в отрасль и выхода из нее

Барьеры входа в нефтегазовую отрасль довольно высоки: объемы первоначальных инвестиций, объем дополнительных инвестиций в оборудование, характер долгосрочных контрактов с третьими лицами, активная государственная поддержка уже существующих компаний, множество административных барьеров.

Являются ли продукты/услуги фирм-конкурентов высокодифференцированными, слабодифференцированными или практически одинаковыми

Продукция фирм-конкурентов не сильно отличается друг от друга, что позволяет конечным потребителям без особых потерь переходить на продукцию другой, более подходящей по каким-либо параметрам, компании.

Имеют ли возможность компании осуществлять экономию на масштабах производства, транспортировке, маркетинге или проведении рекламных мероприятий

Эффект экономии на масштабах имеет место в данной отрасли, но он может постепенно утрачиваться по мере исчерпания лучших месторождений и перехода к все более сложным и более выработанным объектам.

Является ли высокая степень загрузки производственных мощностей наиболее важным условием для достижения низкого уровня издержек производства

Степень загрузки производственных мощностей, безусловно, является важным условием для снижения издержек, но не самым важным. Есть и другие факторы, например, уменьшение стоимости нефтесервисных услуг и снижение цен на металлопродукцию.

Осуществляются ли в отрасли необходимые капиталовложения

Капитальные вложения в нефтегазовый комплекс за счет всех источников финансирования составляют около одной трети от общего объема инвестиций.

Имеет ли отрасль доходность выше или ниже среднего уровня прибыли в целом

Высока возможность получения сверхприбыли.


Модель "пяти сил конкуренции" М.Портера


Рисунок 2 - Модель Портера для ОАО "Роснефть"

 

Угроза вхождения в отрасль новых конкурентов крайне мала, так как существование в этой отрасли требует огромных капиталовложений (на покупку и освоение дорогостоящих новых технологий, освоение новых месторождений и так далее). Кроме того, существует некая приверженность потребителей к продукции уже функционирующих компаний. Также у компаний в данной отрасли существуют уже налаженные каналы сбыта, создание которых требует немалых затрат (да и трудность вызвать заинтересованность со стороны сбытовиков новыми, никому еще не известными и непроверенными компаниями также способна помешать потенциальным конкурентам).

Конкурентная сила поставщиков. В состав ОАО "НК "Роснефть" входит большое количество нефтегазодобывающих предприятий (например, ОАО "Юганскнефтегаз", ОАО "НК "Роснефть-Пурнефтегаз", ОАО "Северная нефть" и другие), отношения с которыми уже достаточно хорошо отлажены, что обеспечивает бесперебойную и своевременную поставку сырья. Наличие длительных, хорошо отлаженных связей исключает возможность возникновения угрозы со стороны поставщиков.

Товары-заменители. Существует возможность появления и широкого распространения альтернативных источников энергии в долгосрочной перспективе, что сократит потребность в использовании бензина для автомобилей и других технических устройств. Но скорость разработки и освоения этих источников не столь велика, чтобы уже сейчас у нефтяных компаний начали появляться проблемы со сбытом. В ближайшее время компаниям, да и отрасли в целом, ничего не угрожает, но уже можно начинать задумываться о будущем.

Конкурентная сила потребителей. Продукция компании стандартизирована, потребители хорошо информированы, и затраты на переход к другому поставщику низки, что в общем не мешает потребителям выбрать продукцию другой компании. Но как и в любой другой отрасли важное значение имеет качество продукции и приверженность потребителей к продукции какой-либо конкретной компании.

Анализ конкуренции силы потребителей

Группы покупателей целесообразно разделить на группы для проведения более четко анализа:

)        Автовладельцы мира, автозаправочные станции (масло, бензин, дизельное топливо);

)        Морские и воздушные суда (бункерное топливо);

)        Промышленные предприятия, предприятия теплоснабжения, флот, жилищно-коммунальное хозяйство (мазут);

)        Авиакомпании и аэропорты страны (авиационное топливо).

Таблица заполняется оценками сил покупателей от 0,1 до 2. Максимальное количество баллов 20.

Таблица 2 - Анализ конкуренции силы потребителей

Вопросы анализа конкурентной силы покупателя

Группы потребителей


1

2

3

4

1.Сконцентрирована ли группа потребителей (состоит из нескольких доминирующих структур)?

0,1

1

1

1

2.Приобритает ли группа потребителей значительные объемы продукции предприятия относительно всего объема производства?

1

1,5

1,5

1,5

3.Являются ли покупаемые продукты важной составляющей затрат группы потребителей?

1,5

1,5

1,5

1,5

4.Являются ли приобретаемые продукты стандартными или дифференцированными?

1

1

1

1

5.Влечет ли смена поставщика существенные затраты для группы потребителей?

0,5

0,5

0,5

0,5

6. Есть ли у группы потребителей реальная возможность обратной интеграции, т.е. возможность самостоятельно производить покупаемый продукт?

0,1

0,1

0,1

0,1

7.Является ли предлагаемый продукт важным для обеспечения качества продукта группы потребителей?

1

1

1

1

8.Имеет ли группа потребителей подробную информацию о предприятии?

2

2

2

2

9.Есть ли у группы потребителей эксперты по закупкам?

0,1

1,5

1,5

1,5

10.Существуют ли организации и программы поддержки потребителей?

0,1

1,5

1,5

1,5

ИТОГО

7,4

10,6

11,6

11,6


Сильное давление на предприятие могут оказать промышленные предприятия, предприятия теплоснабжения, флот, жилищно - коммунальное хозяйство, авиакомпании и аэропорты страны. Незначительное давление могут оказать на ОАО "Роснефть" автовладельцы мира.

Анализ конкуренции силы поставщиков

Поставщиков целесообразно разделить на группы:

) Нефтегазодобывающие предприятия, которые входят в состав компании (например, ОАО "Юганскнефтегаз", ОАО "НК "Роснефть-Пурнефтегаз", ОАО "Северная нефть" и другие)

) Поставщики материально технических ресурсов

) Поставщики транспортных услуг

Таблица заполняется оценками сил поставщиков от 0,1 до 2. Максимальная суммарная оценка не может превышать 16 баллов.

Таблица 3 - Анализ конкуренции силы поставщиков

Вопросы для анализа конкурентного давления поставщиков

Группы поставщиков


1

2

3

1.Сконцентрированна ли группа поставщиков (состоит ли из нескольких доминирующих организаций, компаний или более сконцентрирована, чем ее потребитель)?

0,5

0,1

0,1

2.Есть ли реальные продукты-субституты по отношению к продуктам поставщиков?

0,1

0,1

0,1

3.Является ли данный рынок важным для поставщика?

1,5

0,5

0,1

4.Является ли продукт поставщика важным для предприятия?

1,5

1,5

1

5.Являются ли продукты поставщика дифференцированными?

0,1

1

0,1

6.Вызовет ли смена поставщика дополнительные затраты?

0,1

0,5

0,5

7.Есть ли у группы поставщиков реальная возможность прямой интеграции, т.е. возможность самостоятельно производить продукты предприятия?

0,1

0,1

0,1

8.Есть ли у предприятия возможность обратной интеграции, т.е. возможность самостоятельно производить продукты поставщиков?

2

0,5

1

ИТОГО

5,9

4,3

3


Все три группы поставщиков оказывают не значительное влияние, поэтому опасность усиления давления с их стороны практически отсутствует. Потому что группа поставщиков нефтегазодобывающие предприятия входят в состав ОАО "Роснефть", отношения с ними уже достаточно хорошо отлажены, что обеспечивает бесперебойную и своевременную поставку сырья. Наличие длительных, хорошо отлаженных связей исключает возможность возникновения угрозы со стороны этой группы поставщиков. А отказаться от материально - технических ресурсов и поставщиков транспортных услуг можно, отдать предпочтение другим поставщикам с более выгодными для ОАО "Роснефть" условиями, что пока что не является первостепенной задачей.

Наиболее часто встречающиеся движущие силы?

В качестве основных движущих сил отрасли, которые определяют конкурентную позицию фирмы, можно выделить следующие:

·  увеличение потребителей в России и в мире - до тех пор, пока численность потребителей будет сохраняться на прежнем уровне или расти, отрасль будет оставаться привлекательной и высокодоходной;

·        усиление государственного регулирования - проблемы, возникающие в отрасли, могут иметь колоссальный размер и справиться с такими проблемами под силу только государству. Только государство может обеспечивать упорядочение действий экономических субъектов, соблюдение законов, отстаивание государственных и общественных интересов. Выполнение этих функций возможно посредством реализации научно-технической, налоговой, бюджетной и ценовой политики, а также участия в международных организациях и соглашениях. Государственное регулирование способно обеспечивать определенную стабильность для компаний;

·        развитие технологий и инноваций - чем более развиты компании отрасли с точки зрения технологичности, тем большими преимуществами в сравнении с конкурентами они обладают. Это связано с возможностью более эффективно разрабатывать месторождения и осуществлять переработку сырья, что в перспективе способно приносить значительные доходы и тем самым улучшать конкурентное положение фирмы;

·        увеличение капитальных вложений в отрасли - нефтегазовая отрасль требует весьма значительных объемов инвестирования для успешного развития. Все крупные проекты, связанные с разработкой новых месторождений, разработкой и внедрением новых технологий, были бы неосуществимы без поддержки инвесторов. Чем большим количеством стратегических инвесторов обладает та или иная компания, тем большее количество проектов она может себе позволить, а следовательно может стать более успешной;

·        развитие инфраструктуры - от этого напрямую зависит успешность компании. Если она сама может обеспечивать собственное производство, самостоятельно сбывать свою продукцию, не прибегая к помощи посредников или к услугам конкурирующих компаний, то она сможет значительно сэкономить на данных процессах. Поэтому предприятиям в данной отрасли так важно тщательно продумать все аспекты своей деятельности, все детально распланировать и следовать плану.

Какие компании имеют наиболее сильные/слабые конкурентные позиции?

 

Таблица 4 - Карта стратегических групп




По карте стратегических групп, составленной с использованием таких показателей, как доля рынка и объем реализации, видно, что 6 крупных нефтяных компаний составляют 4 стратегические группы. В одну группу попали ОАО "Татнефть" и ОАО "Сургутнефтегаз", в другую - ОАО "Роснефть" и ОАО ТНК-BP", а третья и четвертая группы представлены компаниями ОАО "ЛУКОЙЛ" и ОАО "Газпром нефть". По данной карте можно выявить наличие прямой зависимости между объемом реализации компании и занимаемой долей рынка. Очевидно, что по данным показателям лидирует ОАО "Газпром нефть", на втором месте находится ОАО "ЛУКОЙЛ", а третью позицию занимает ОАО "Роснефть".

Карта стратегических групп, построенная по таким параметрам как количество сбытовых организаций в составе компании и число АЗС, также позволяет заметить наличие прямой зависимости между двумя указанными показателями, то есть чем больше в составе ОАО сбытовых организаций, тем большим количеством АЗС оно (общество) владеет. Безусловными лидерами по данным критериям являются ОАО "ЛУКОЙЛ" и ОАО "Роснефть", которые объединены в одну стратегическую группу. Значительно меньшее количество сбытовых организаций, а следовательно и АЗС, принадлежит компаниям "ТНК-BP" и "Татнефть", которые также входят в одну стратегическую группу. Промежуточное положение между двумя указанными группами занимает ОАО "Газпромнефть". ОАО "Сургутнефтегаз" уступает указанным выше компаниям по числу сбытовых организаций и АЗС и образует таким образом собственную стратегическую группу.

На карте, построенной с использованием таких характеристик как добыча нефти и доказанные запасы нефти, как и в других картах, можно заметить наличие четырех стратегических групп. Лидерами опять же являются компании "Роснефть" и "ЛУКОЙЛ", доказанные запасы нефти которых, как и объемы добычи, на порядок превышают эти же характеристики у других компаний. Также в одну группу входят "Газпромнефть" и "Татнефть", у которых данные показатели не слишком сильно различаются. И отдельные группы составляют ОАО "ТНК-BP", которое несколько отстает от лидеров, и ОАО "Сургутнефтегаз", доказанные запасы которого являются наименьшими среди рассматриваемых компаний.

Каков следующий наиболее вероятный стратегический шаг конкурентов, кто скорее всего его определяет, в какой области пойдет конкурентная борьба в ближайшем будущем?

Таблица 5 - Классификация целей и стратегии конкурентов

Наименование компании

Масштаб конкуренции

Стратегически намерения

Цели по достижению определенной доли на рынке

Конкурентная позиция/ситуация

Тип стратегии

Конкурентные стратегии

ОАО "Лукойл"

Международный

Одержать победу в борьбе над лидером в отрасли

Экспансия за счет внутреннего роста (увеличение рыночной доли за счет вытеснения фирм-конкурентов)

Компания пытается изменить свое положения на рынке (усилить свою позицию)

Комбинация стратегий наступления и обороны

Лидерство в издержках

ОАО "ТНК-ВР"


Переместится в отрасли на одну ступень вверх

Экспансия за счет внутреннего роста (увеличение рыночной доли за счет вытеснения фирм-конкурентов)

Компания пытается изменить свое положения на рынке (усилить свою позицию)

Консервативная стратегия следования за кем-то

Дифференциация продукции

ОАО "Газпром нефть"


Удержать позиции

Удержание существующей доли рынка (темпы роста равны темпам роста отрасли)

Хорошо защищена, компания способна сохранить свою позицию

Комбинация стратегий наступления и обороны

Лидерство в издержках


Лидером среди трех фирм-конкурентов является "Газпром нефть", его следует опасаться, так как он сочетает в своей стратегии технику обороны и наступления, с целью удержания своей позиции.

Ближайший к рассматриваемой фирме конкурент - "Лукойл". В целом он также придерживается стратегии обороны и наступления, поэтому его действия тоже могут представлять определенную угрозу, так как в его намерения входит опережение ближайшего конкурента - то есть ОАО "Роснефть".

И наконец, на третьем месте - компания "ТНК-ВР", в ее стратегию входит улучшение своих конкурентных позиций, но так как фирма отстает по доле рынка и объему реализации, большой угрозы она не представляет.

Какие факторы являются ключевыми факторами успеха в конкурентной борьбе?

Таблица 6 - Ключевые факторы успеха (КФУ)

КФУ, зависящие от технологии:

научно-методическое сопровождение всей производственной цепочки компании; возможность инноваций в производственном процессе; система целевых инновационных проектов; степень овладения существующими технологиями

КФУ, относящиеся к производству:

имеет место экономия на масштабах производства (в частности на масштабах добычи); качество продукции; высокая степень использования производственных мощностей; выгодное местонахождение предприятия, приводящее к экономии на затратах по транспортировке; доступ к квалифицированным трудовым ресурсам

КФУ, относящиеся к реализации продукции:

наличие большого количества сбытовых предприятий в составе компании наличие точек розничной торговли, принадлежащих компании; наличие морских терминалов; расположение НПЗ в непосредственной близости к экспортным рынкам; развитие биржевой торговли.

КФУ, относящиеся к маркетингу:

высокая квалификация сотрудников сбытовых компаний; активная работа по развитию системы бонусов и скидок для постоянных клиентов розничной сети; разнообразие видов продукции; искусство продаж.

КФУ, относящиеся к профессиональ-ным навыкам:

степень овладения (знание) применяемыми технологиями; способность достаточно быстро осваивать новые технологии

КФУ, связанные с организационными возможностями:

разработка и внедрение системы внутренних коммуникаций; усовершенствование системы мотивации работников; эффективное руководство компанией; следование принципам прозрачного и ответственного управления

Прочие КФУ:

благоприятный имидж/репутация компании; выгодное расположение; компания осуществляет ряд масштабных социальных и благотворительных проектов; наличие статуса стратегического предприятия России; доступ на финансовые рынки; наличие лицензий.


В ОАО "Роснефть" ведется непрерывная разработка и внедрение инновационных технологий, а также мониторинг и адаптация передового мирового опыта, что является весьма важным для компании с точки зрения достижения конкурентного преимущества.

Компания с 2011 года начала выпуск нового топлива "ФОРА", которое содержит в себе присадку, позволяющую снижать вредные выбросы. Покупателям данного топлива компания дарит подарки и предоставляет возможность принять участие в акции. Также компания активно разрабатывает систему бонусов и скидок для постоянных клиентов, что является несомненным плюсом, так как потребители любят подобные системы и весьма активно ими пользуются.

Кроме перечисленного можно привести еще целый ряд положительных моментов, которые делают компанию привлекательной в глазах существующих и потенциальных потребителей, сотрудников и даже конкурентов. В начале 2011 г. "Роснефть" достигла договоренностей с лидером мировой нефтегазовой отрасли компанией ExxonMobil о совместном освоении ресурсов российского шельфа Черного моря; "Роснефть" также имеет давние партнерские отношения с Китайской национальной нефтегазовой корпорацией; в январе 2011 года "Роснефть" и одна из ведущих мировых нефтегазовых корпораций - ВР объявили о глобальном стратегическом альянсе.

Насколько привлекательна отрасль с точки зрения перспектив получения прибыли выше средней (по сравнению с другими отраслями)?

Нефтегазовая отрасль является чрезвычайно важной для развития экономики страны и мира, и зачастую доля государства в капитале компаний данной отрасли бывает зафиксирована на достаточно высоком уровне (к примеру, для ОАО "Роснефть" доля государства составляет около 75 %), что позволяет государству оказывать существенное влияние на развитие отрасли. Ввиду активного государственного вмешательства можно говорить о некоторой стабильности развития отрасли. Даже в случае изменения законодательства или всевозможных видов регулирований, предприятиям, действующим в данной отрасли, мало что угрожает, так как особой сложности в приспособлении к возникающим изменениям возникнуть не должно.

Экономическая ситуация в отдельных странах и в мире может оказывать значительное влияние на развитие нефтегазовой отрасли. Периодически возникающие кризисы могут приводить к возникновению новых рисков, которые могут угрожать способности выживания для ряда нефтегазовых компаний. Ввиду того, что экономика развивается циклически, можно предположить, что в ближайшие несколько лет глобальных кризисов не намечается (последний был в 2008 году). Из этого можно делать вывод о том, что в ближайшее время ситуация в отрасли может только улучшаться, либо оставаться в стабильном состоянии. Но даже период кризиса не всегда пагубно сказывается на состоянии дел в организации: "кризис заставил компанию самым тщательным образом проанализировать имеющиеся проблемы, оценить риски, выявить слабые места и всерьез заняться их ликвидацией. И очень многое получилось".

Нефтегазовая отрасль отличается высокой степенью наукоемкости, и чем скорее будут разрабатываться и вводиться в использование разнообразные технологические новшества, тем лучше и скорее будет развиваться сама отрасль. В настоящее время разработки протекают с умеренными темпами, развитие не останавливается, периодически появляются новые технологии, что является своего рода гарантией стабильного развития отрасли.

Подводя итог можно сказать, что отрасль является особо привлекательной с точки зрения получения прибыли выше средней, потому что в данной отрасли высока возможность получения сверхприбыли, также отрасли имеет большой потенциал роста, на нее благоприятное влияние оказывают движущие силы отрасли, существует стабильность спроса (большое количество покупателей в России и за рубежом), нет серьезных проблем стоящих перед отраслью в целом, нет риска и неопределенности связанных с будущим развития отрасли. Но с другой стороны в данной отрасли доминирует определенное количество крупных фирм, которые могут поглотить и "уничтожить" новую развивающуюся компанию, и также существуют довольно высокие барьеры для входа в отрасль - объемы первоначальных инвестиций, объем дополнительных инвестиций в оборудование, характер долгосрочных контрактов с третьими лицами, активная государственная поддержка уже существующих компаний, множество административных барьеров.

Таблица 7 - Карта анализа отрасли и конкурентной среды

Направления анализа

Показатели

Фактические показатели

1.Основные экономические характеристики

Размер рынка

Крупный рынок


Масштабы конкуренции

Мировой


Темпы роста рынка

4%,чтодля данной отрасли считается нормальным


Число конкурентов

Доминирует ограниченное число крупных фирм


Количество покупателей

Большое количество покупателей в России и за рубежом


Интеграция

Вертикальная интеграция на линии технологической цепочки от добычи сырья до переработки и сбыта


Барьеры

Довольно высоки


Дифференциация

Продукция фирм - конкрентов не сильно отличается друг от друга


Уровень прибыли

Высокая возможность получения сверхприбыли

2.Анализ конкурентной среды

Напряженность конкурентной борьбы между продавцами

Средняя; орудия конкурентной борьбы: качество товара


Угроза выхода на рынок новых фирм

Крайне мала


Степень влияния поставщиков

Угрозы со стороны поставщиков нет, отношения с ними уже хорошо отлажены


Степень влияния покупателей

Они могут выбрать другую компанию, но существует приверженность к бренду и особое внимание к качеству

3.Движущие силы

Увеличение потребителей в России и мире

Рост потребителей (автовладельцев)


Развитие технологий и инноваций

Способствует увеличению дохода и улучшению конкурентного положения


Увеличение капитальных вложений в отрасль

Привлечение новых инвесторов, чтобы позволить большее количество проектов


Развитие инфраструктуры

Не прибегать к помощи посреднических компаний или к услугам конкурирующих фирм, значительная экономия


Усиления государственного регулирования

Ужесточения государственного регулирования и контроля

4.Конкурентная позиция компании

Благоприятная позиция

"ТНК-ВР" невысокая доля рынка, доля добычи нефти и газового конденсата, малое количество сбытовых организаций


Неблагоприятная позиция

"Газпром", "Лукойл" высокая доля рынка, доля добычи нефти и газового конденсата, большое количество сбытовых организаций

5.Анализ конкурентов

"Газпром"

-Комбинация стратегий наступления и обороны -Удержание существующей доли рынка (темпы роста равны темпам роста отрасли)


"Лукойл"

-Комбинация стратегий наступления и обороны - Компания пытается изменить свое положения на рынке (усилить свою позицию)


"ТНК-ВР"

-Консервативная стратегия следования за кем-то -Компания пытается изменить свое положения на рынке (усилить свою позицию)

6.Ключевые факторы успеха

КФУ, относящиеся к производству

Экономия на масштабах производства, качество продукции


КФУ, относящиеся к реализации продукции

Большое количество сбытовых организаций, наличие точек розничной торговли


КФУ, относящиеся к маркетингу

Система бонусов и скидок в розничной торговле


КФУ, связанные с организационными возможностями

Эффективное руководство компанией, принципы прозрачного и ответственного управления


Прочие КФУ

Благоприятный имидж, репутация компании, выгодное расположение,

7.Перспективы отрасли и ее общая привлекательность

Факторы, делающие отрасль привлекательной

Потенциал роста отрасли, стабильность спроса, благоприятное влияние на отрасль движущих сил


Факторы, делающие отрасль не привлекательной

Высоки барьеры, в отрасли доминирует определенное количество крупных фирм


Перспективы получения прибыли

Возможность получения сверхприбыли


3.       Анализ внутренней среды организации

Насколько эффективна действующая стратегия?

На данный момент компания следует стратегии концентрического роста. Стратегическая цель компании - войти в тройку лидеров ведущих энергетических компаний мира по эффективности и масштабам деятельности.

Не исключено, что в ближайшие лет 15-20 компании удастся добиться своей основной цели, но для этого нужно приложить колоссальные усилия, так как на данный момент компания входит в тройку лидеров только среди российских предприятий.

В ближайшем будущем компания будет развиваться и увеличивать масштабы своей деятельности. Долгосрочный рост добычи Роснефти связан с активами в Восточной Сибири, на Дальнем Востоке, а также на шельфе южных морей России. В планы компании входит реконструкция нефтеперерабатывающих производств, что позволит в разы увеличить объемы переработки. Также к стратегическим задачам компании относится: повышение качества всей выпускаемой продукции, чтобы по возможности замещать аналогичную импортную продукцию; достижение максимально возможного уровня реализации нефтепродуктов через биржевые площадки; обеспечение растущего производства квалифицированным персоналом; расширение благотворительной деятельности и т.д.

Таблица 8 - Показатели стратегического и финансового положения компании, млрд. руб.

Показатели

2009

2010

2011

1.Рыночная доля компании/ ее место в отрасли

13,2% 3

14,8% 3

18,6% 2 (3)

2.Повышаются или понижаются размеры прибыли, по сравнению с конкурентами:

371

494

524

"Газпром"

844

1 161

1 622

"Лукойл"

478

523

610

"ТНК-ВР"

267

398

488

3.Тенденция изменения чистой прибыли на инвестиции

+22,3%

+38,7%

+9,5%

4.Розничная реализация нефтепродуктов

4,9

5,4

6,5

5.Размер кредитов

245

293

232

6.Репутация фирмы в глазах потребителей, ее имидж

+

+

+

7.Является ли компания лидером в технологии, инновациях, качестве, обслуживания потребителей и т.д.

В настоящий момент абсолютным лидером в отрасли является "Газпром", затем примерно на одном уровне идут "Роснефть" и "Лукойл", а затем уже идет "ТНК-ВР"


Являются ли цены и издержки компании конкурентоспособными?

Цепочка ценностей компании позволяет определить основные виды деятельности, создающие стоимость для потребителя, и в тоже время является важнейшим инструментом стратегического анализа издержек фирмы. Также элементы цепочки ценностей могут становиться источниками конкурентного преимущества.

Рисунок 3 - Цепочка ценностей ОАО "Роснефть"

В деятельности компании "Роснефть" выделяется пять основных процессов, которые создают стоимость готовой продукции. По каждому из процессов компания обладает своими, отличными от конкурентов, особенностями. Как важный фактор конкурентного преимущества, сопровождающий все виды деятельности компании, можно выделить непрерывное инновационное развитие, внедрение новых технологий. Не все компании в данной отрасли могут позволить себе самостоятельно заниматься разработками новшеств. Технологии особенно важны на этапах освоения месторождений, добычи сырья и переработки. Именно на этих этапах создается основная стоимость продукции. Организация сбытовой деятельности и обслуживание клиентов менее затратные, следовательно, вносят меньший вклад в создание стоимости для потребителя. Также немаловажным является то, что компания, являясь вертикально-интегрированной, самостоятельно реализует все процессы по снабжению, производству и сбыту, что позволяет ей не прибегать к помощи посредников и тем самым не увеличивать цену готовой продукции, а следовательно, более выгодно выглядеть в глазах потребителей.

Насколько прочна конкурентная позиции компании?

Таблица 9 - Конкурентная позиция компании по сравнению с конкурентами

КФУ

Компания "Роснефть"

Конкурент "Газпром"

Конкурент "Лукойл"

Конкурент "ТНК-ВР"

Качество продукции

9

9

9

7

Разнообразие видов продукции

9

9

9

8

Возможность инноваций в производственном процессе

10

10

9

8

Способность достаточно быстро осваивать новые технологии

10

10

10

6

Наличие сбытовых предприятий в составе компании

9

8

10

7

Квалификация сотрудников сбытовых компаний

10

10

9

8

Наличие точек розничной торговли, принадлежащих компании

9

8

10

7

Активная работа по развитию системы бонусов и скидок

10

10

10

9

Имидж/деловая репутация

10

10

10

8

Эффективное руководство компанией

9

10

9

7

Сумма

94

95

94

75


Из данной таблицы видно, что "Газпром" занимает чуть более конкурентное положение на рынке по сравнению с основными своими конкурентами. Далее на одном уровне располагаются компании "Роснефть" и "Лукойл", а затем следует "ТНК-ВР".

С какими стратегическими проблемами сталкивается компания?

Как и у любой столь крупной компании, у "Роснефти" имеется ряд стратегических проблем, информацию по которым необходимо постоянно отслеживать, чтобы иметь возможность своевременно и адекватно отреагировать и не дать проблеме перерасти в угрозу для развития и существования компании. К числу таких стратегических проблем относятся следующие:

·  Проблемы, связанные с ценами на сырую нефть, газ и нефтепродукты. Суть проблемы заключается в том, что у компании ограничены возможности контролировать цены на свою продукцию, которые большей частью зависят от конъюнктуры мирового рынка, от баланса спроса и предложения в отдельных регионах России. Падение цен на нефть, газ или нефтепродукты может неблагоприятно отразиться на результатах деятельности и финансовом положении "Роснефти". При возникновении данной проблемы компания будет в состоянии справиться с ней без значительных потерь в виду того, что она располагает достаточными возможностями для перераспределения товарных потоков в случае возникновения значительной ценовой разницы между внутренними и международными рынками. Кроме того, компания в состоянии оперативно сократить капитальные и операционные затраты, чтобы выполнить свои обязательства при резком снижении цен на нефть, газ и нефтепродукты;

·        Проблемы, связанные с конкуренцией. В нефтегазовой отрасли существует жесткая конкуренция. Реализуя свою продукцию на внутреннем и внешнем рынках, у "Роснефти" могут возникать проблемы, связанные с обострением конкуренции. Для минимизации рисков в данной области компания осуществляет следующие меры: реконструкция нефтеперерабатывающих заводов; загрузка НПЗ с учетом прогноза ситуации, складывающейся на рынках; оперативное перераспределение региональных товарных потоков на внутреннем рынке и оперативное перераспределение объемов между внутренним рыком и экспортом; развитие сети собственных АЗС и комплексов, отвечающих последним европейским требованиям. К наиболее действенным мерам по регулированию рисков от обострения конкуренции на внешнем рынке сырой нефти и нефтепродуктов относится географическая диверсификация, позволяющая перераспределять потоки сбываемой продукции из одного региона в другой;

·        Проблемы, связанные с истощением разработанных месторождений и необходимостью освоения новых источников сырья. Сложность заключается в том, что освоение новых месторождений требует привлечения колоссальных объемов капитальных вложений, так как со временем месторождения, отличающиеся относительной легкостью разработки, истощаются. Для противостояния данной проблеме в компании непрерывно ведутся исследования, внедряются инновации, позволяющие повышать коэффициент добычи и переработки нефти и газа с тем, чтобы продлить срок жизни разведанных месторождений. Также происходит поиск новых технологий добычи, способных сделать данный процесс менее тяжелым и менее затратным. Кроме того, у компании уже имеется четкая система планов, отражающая территориальную разработку месторождений на долгосрочную перспективу.

Таблица 10 - Турнирная таблица

Проблема

1Проблемы, связанные с ценами на сырую нефть, газ и нефтепродукты

2Проблемы, связанные с конкуренцией

3Проблемы, связанные с истощение разработанных месторождений и необходимостью освоения новых

Ранг

1Проблемы, связанные с ценами на сырую нефть, газ и нефтепродукты

х

1

0

1

2Проблемы, связанные с конкуренцией

1

х

0

1

3Проблемы, связанные с истощение разработанных месторождений и необходимостью освоения новых

1

1

х

2


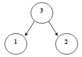
Рисунок 4 - Дерево проблем ОАО "Роснефть"

Дерево проблем дает представление о взаимосвязи существующих проблем на предприятии. Из схемы видно, что основной стратегической проблемой для компании являются проблемы связанные с истощением разработанных месторождений и необходимостью освоения новых источников сырья. Для противостояния данной проблеме необходимо проводить исследования, осуществлять инновации, позволяющие повышать коэффициент добычи и переработки нефти и газа, чтобы продлить срок жизни разведанных месторождений. Воздействовать на проблему 1 компания не может, так как это зависит от конъюнктуры мирового рынка, от баланса спроса и предложения в отдельных регионах России, поэтому предприятию нужно быть просто подготовленным к снижению цен. Проблему 2 нельзя оставлять без внимания, так как от этого зависит положение компании на рынке, одним из эффективных способов ее решения является географическая диверсификация, позволяющая перераспределять потоки сбываемой продукции из одного региона в другой.

Таблица 11- SWOT-анализ ОАО "Роснефть"



Выводы и рекомендации по проведенному анализу

ОАО "НК Роснефть" - вертикально-интегрированная компания, в которой осуществляется стратегический подход к управлению. В состав компании входит большое число добывающих, перерабатывающих и сбытовых предприятий, что позволяет максимально эффективно организовывать деятельность. ОАО "Роснефть" входит в число крупнейших нефтяных компаний мира, что уже говорит об эффективности проводимой компанией политики и о необходимости стратегического управления в ней.

Среди российских компаний ОАО "Роснефть" находится на третье месте по таким показателям, как доля рынка и объем реализации.

У компании имеется ряд весьма сильных сторон, при умелом использовании которых компания может добиться значительных преимуществ перед конкурентами. Но, с другой стороны, наличие угроз заставляет руководство компании постоянно отслеживать все изменения во внешней и внутренней среде с тем, чтобы своевременно отреагировать и не допустить нежелательных последствий.

Безусловно, успех любой компании зависит еще и от того, кто ей руководит, от того, насколько эти люди способны правильно оценивать ситуацию и принимать правильные решения в условиях нестабильной внешней среды.

Если компания будет придерживаться принятой политики, то в ближайшем будущем ей удастся реализовать самые перспективные свои планы, а именно войти в тройку лидеров ведущих энергетических компаний мира.

Похожие работы на - Анализ стратегического положения ОАО 'Роснефть'

 

Не нашли материал для своей работы?
Поможем написать уникальную работу
Без плагиата!
Без нейросетей!