Проектирование системы экологического мониторинга
МИНИСТЕРСТВО ОБЩЕГО И
ПРОФЕССИОНАЛЬНОГО ОБРАЗОВАНИЯ РОССИЙСКОЙ ФЕДЕРАЦИИ
МОСКОВСКИЙ АВИАЦИОННЫЙ
ИНСТИТУТ
(НАЦИОНАЛЬНЫЙ ИССЛЕДОВАТЕЛЬСКИЙ
УНИВЕРСИТЕТ)
ОТЧЕТ
ПО ДИПЛОМНОЙ РАБОТЕ
по теме
«Проектирование системы
экологического мониторинга»
Исполнитель студент Баженов А.В.
Москва, 2012
Содержание
Перечень сокращений
Введение
1. Основная часть
1.1 Анализ предметной
области
1.1.1 Источники информации
и способы её получения
1.1.2 Структура
экологического мониторинга
1.1.3 Бизнес процессы
1.1.4 Функциональные
требования
1.1.5 База данных
1.1.5.1 Блок анализируемых
веществ
1.1.5.2 Блок описания
контролируемых объектов и мест забор пробы
1.1.5.3 Блок хранения
картографических схем объектов
1.1.5.4 Блок нормативных
документов
1.1.5.5 Блок описания методик
отбора и анализа проб
1.1.5.6 Блок описания
методов отбора и анализа проб
1.1.5.7 Блок информации о
хранении отобранных проб в контейнерах
1.1.5.8 Блок физических
лиц, задействованных в протекающих процессах
1.1.5.9 Блок сканов
документов, постановлений, приказов
1.1.5.10 Блок
документирования процесса отбора пробы
1.1.5.11 Блок условий
отбора пробы
1.1.5.12 Блок результатов
анализа
1.1.5.13 Блок выделенных
предприятиям квот
1.1.5.14 Блок физических
характеристик отобранных проб
1.1.5.15 Блок контроля
доступа и разграничения прав
1.1.5.16 Полная схема базы
данных
1.1.6 Особенности
структуры БД
1.1.7 Экранные формы
1.1.8 Примеры графиков
2. Экономическая часть
2.1 Введение в
экономическую часть
2.2 Определение затрат на
создание продукта
2.3 Отчисления на
социальные нужды
2.4 Амортизационные
отчисления
2.5 Прочие затраты
2.6 Затраты на создание
продукта
2.7 Цена разработанного
продукта
2.8 Оценка экономической
эффективности использования продукта
3. Охрана труда и
окружающей среды
3.1 Введение
3.2 Основная часть
3.2.1 Освещённость
3.2.2 Выбор монитора
3.2.3 Соблюдение режима
труда и отдыха
Заключение
Список использованных
источников
Перечень сокращений
ТЗ - техническое задание.
ОС - окружающая среда.
ЭМ - экологический мониторинг.
Введение
“Цена величия - ответственность”, - говорил Уинстон Черчилль. С тех пор
прошло много времени, силы, которыми играет человечество, возросли, а вместе с
тем возросла и цена ошибки. Роковым может стать не только неконтролируемый
термоядерный синтез, но и результат повседневной деятельности людей. Понять это
можно, совместив два факта: то, что Земля - замкнутая экологическая ниша и что
человек - не “безотходное” существо. Платить приходится за многое: комфорт -
самолёты летают каждый день, сжигая кислород, выбрасывая парниковые газы,
безопасность страны - ракеты на боевом дежурстве со временем нужно
утилизировать. Человечеству некуда бежать: эта планета - наш единственный дом.
Тема экологического мониторинга поднята неслучайно. Министерством обороны
Российской Федерации в 2011 году запущена программа по утилизации вооружения и
военной техники до 2020 года. В процессе выполнения работ программы по
утилизации вооружения предстоит собрать и обработать большой объём данных. Для
организации эффективной работы с большими объемами неструктурированной
информации необходимо информационно-аналитическая система. Также проводимые
работы потенциально связаны с опасным воздействием на окружающую среду, поэтому
необходимо при их проведении выполнить все требования природоохранного законодательства,
в том числе в части организации и проведения экологического мониторинга. Для
этого необходима программная система, которая будет содержать информацию,
регламентирующую процесс организации экологического мониторинга, накапливать
поступающую информацию и контролировать результаты. Мне было поручено
разработать ТЗ данной системы, в том числе и структуру базы данных.
В соответствии с Федеральным законом «Об охране окружающей среды»[18]
мониторинг окружающей среды (экологический мониторинг) - это комплексная
система наблюдений за ее состоянием, а также оценка и прогноз изменения этого
состояния под воздействием природных и антропогенных факторов.
Экологический мониторинг нужно отличать от экологического контроля. В
соответствии с тем же законом [18] экологический контроль - это система мер,
направленная на предотвращение, выявление и пресечение нарушения
законодательства в области охраны ОС, обеспечение соблюдения субъектами
хозяйственной и иной деятельности требования, и том числе нормативов и нормативных
документов в области охраны ОС.
Важнейшей частью мониторинга ОС является мониторинг антропогенных
загрязнений. Ему уделяется основное внимание.
Главная цель мониторинга - наблюдение за состоянием окружающей природной
среды и уровнем ее загрязнения, а также информационное обеспечение управления
природоохранной деятельностью и экологической безопасностью. Необходимо также
своевременно оценить последствия антропогенного воздействия. Мониторинг - это
не только слежение и оценка факторов, но и экспериментальное моделирование,
прогноз и рекомендации по управлению состоянием ОС. Таким образом, цель
мониторинга в кратком виде состоит в следующем:
Þ наблюдение за состоянием ОС;
Þ формирование прогноза о состоянии ОС;
Þ выдача информации в соответствующие службы и органы.
Задачи мониторинга:
Þ организация систематических наблюдений за изменением
биосферы;
Þ оценка наблюдаемых изменений, выявление антропогенных
эффектов;
Þ прогноз и определение тенденций в изменении биосферы.
Идея организации экологического мониторинга не нова, существуют несколько
систем, функционирующих в наше время (например, «Мосэкомониторинг»[6], который
осуществляет экологический мониторинг в пределах Москвы и московской области).
Однако эти системы не подходят для принятой программы по утилизации боеприпасов
по нескольким критериям. Самым существенным является то, что циркулирующая в
системе информация конфиденциальна, к существующим же системам открыт публичный
доступ. Также любая система ЭМ специфична для конкретного контролируемого региона:
при прогнозе, построении экспериментальных моделей необходимо учитывать
характерные особенности рельефа местности, расположения источников загрязнения
и другие индивидуальные параметры.
1.
Основная часть
1.1 Анализ предметной области
1.1.1 Источники информации и способы
её получения
При разработке любой системы, прежде всего, необходимо очертить стоящие
перед системой цели, предъявляемые к системе функциональные требования,
необходимо исследовать предметную область. Основными источниками данных при этом
являются:
· заказчик;
· участники экологического мониторинга, которые непосредственно
вовлечены в протекающий процесс;
· нормативно-правовая информация, регламентирующая процесс
экологического мониторинга;
· отчётные документы экологического мониторинга за прошедшие
периоды;
· существующие аналоги проектируемой системы.
Стоит отметить, что анализ предметной области проводился в условиях
большой неопределённости в связи с тем, что реализация системы была перенесена
на следующий год и, как следствие, доступ к информации был сильно ограничен.
1.1.2 Структура экологического мониторинга
Согласно концепции, предложенной академиком РАН Ю.А. Израэлем в 1974,
структура экологического мониторинга состоит из четырех блоков: наблюдения,
оценки фактического состояния, прогноза состояния и оценки прогнозируемого
состояния:
Блоки «наблюдение» и «прогноз состояния» тесно связаны между собой, так
как прогноз состояния ОС возможен лишь при наличии достаточно полной информации
о фактическом состоянии (прямая связь). Построение прогноза подразумевает
знание закономерностей изменения состояния природной среды, наличие схемы и
возможностей расчета этого состояния. Кроме этого, направленность прогноза
должна определять структуру и состав наблюдательной сети (обратная связь).
Рисунок
1.1. Структура экологического мониторинга
Данные о состоянии природной среды, полученные в результате наблюдения
или прогноза, должны оцениваться в зависимости от того, в какой области
человеческой деятельности они используются. Оценка подразумевает определение
ущерба от воздействия и выбор оптимальных условий для деятельности человека,
определение существующих экологических резервов.
При таких оценках рассчитывают возможные значения допустимых нагрузок на
ОС.
Результаты оценки существующего и прогнозируемого состояний биосферы дают
возможность уточнить требования к подсистеме наблюдений. Это составляет научное
обоснование мониторинга, обоснование состава, структуры сети и методов
наблюдений.
Основная цель всякой программы мониторинга - информационная. Это
получение новой информации, устранение той или иной неопределенности или,
напротив, выявление недостатка информации. Поэтому естественным образом цель
программы общественного мониторинга может быть направлена на:
. Получение информации, связанной с конкретной проблемой;
. Представление информации для различных типов аудитории
(заинтересованной общественности, администрации и сотрудников предприятия,
государственных органов) и ее распространение;
. Принятие мер, непосредственно направленных на улучшение
ситуации или стимулирование принятия соответствующих решений.
Под задачами мы понимаем конкретные действия или этапы на пути достижения
цели. В рамках грамотно составленной программы не может быть задач, выходящих за
пределы цели, не имеющих к ней отношения.
1.1.3 Бизнес процессы
Можно выделить несколько потоков протекающих процессов:
· отбор, анализ проб (сопровождается документированием процесса
и результатов);
· контролирование соблюдения квот предприятиями;
· прогнозирование экологической ситуации;
· выдача справочной информации, отчётов по запросам
пользователей.
Рисунок
1.2. Схема бизнес-процессов (верхний уровень)
Рисунок
1.3. Схема бизнес-процессов (первый уровень)
1.1.4 Функциональные требования
Программный комплекс обеспечивает работу следующих групп функций:
· регистрация информации по объектам экологического
мониторинга;
· получение справок и отчётов по информации из базы данных;
· поддержка нормативно-справочной информации (справочников);
· администрирование системы (настройки и обеспечение
целостности информации);
· оповещение при наступлении опасной экологической ситуации;
· прогнозирования изменения величин загрязнения окружающей
среды с указанием вероятности по численным моделям;
· статистический анализ хранимых данных для формирования
справок;
· целостное и надежное хранения данных получаемых при
измерениях концентраций вредных веществ;
· обеспечение ограничения доступа к хранимым данным.
1.1.5 База данных
Требования к информационному наполнению:
. Общая информация по объектам (методы, используемое оборудование
и материалы);
. Нормативная документация, связанная с воздействием на
окружающую среду (законы всех уровней; постановления федеральные, региональные,
местные: прочее);
. Организационные документы, связанные с проведением
экологического мониторинга;
. Методики отбора проб (РД ХХХХХХХ, текст методики);
. Оборудование для отбора проб;
. Протоколы отбора проб (скан оригинала);
. Методики анализа проб (РД ХХХХХХХ, текст методики);
. Результаты анализов (таблицы, сканы оригиналов протоколов);
. Проекты нормативов ПДВ, ЛРО, ПДС, СЗЗ (разрешения, заключения,
лимиты, лицензии);
. Графический материал (карты-схемы объектов с указанием
источников загрязнения, мест временного хранения (накопления) отходов, точек
отбора проб (контроля));
. Выделенные предприятиям квоты;
Выделим сущности, которые будут лежать в основе базы данных. По характеру
хранимой информации сгруппируем таблицы по блокам:
. Анализируемых веществ;
. Описания контролируемых объектов и мест забор пробы;
. Хранения картографических схем объектов;
. Нормативных документов;
. Описания методик отбора и анализа проб;
. Описания методов отбора и анализа проб;
. Информации о хранении отобранных проб в контейнерах;
. Физических лиц, задействованных в протекающих процессах;
. Сканов документов, постановлений, приказов;
. Документирования процесса отбора пробы;
. Условий отбора пробы;
. Результатов анализа;
. Выделенных предприятиям квот;
. Физических характеристик отобранных проб;
. Контроля доступа и разграничения прав.
1.1.5.1 Блок анализируемых веществ
Сущность: «Анализируемое вещество». Характеристики: название; формула;
среда, в которой контролируется содержание данного вещества.
Сущность: «Класс опасности». Характеристики: код класса опасности;
диапазон концентрации/количества вещества, при котором вещество попадает в
данный класс; описание/дополнительная информация.
Сущность: «Единица измерения». Характеристики: название. Цель: справочник
единиц измерения диапазонов, количественных значений измерений. Особенности:
формулы будут храниться в виде xml-строки, для возможности задания верхних и
нижних индексов сложных формул.
Рисунок
1.4. Логическая структура блока анализируемых веществ
Рисунок
1.5. Физическая структура блока анализируемых веществ
Таблица
1.1. Описание полей таблицы "Анализируемое вещество"
|
Название
|
Комментарий
|
|
Analysing_element
|
Справочник анализируемых веществ
|
|
Название
|
Is PK
|
Is FK
|
Тип
|
Null Option
|
Комментарий
|
|
Id_analyzing_element
|
Yes
|
No
|
integer
|
NOT NULL
|
|
|
Name
|
No
|
No
|
varchar(256)
|
NULL
|
Название загрязняющего вещества
|
|
Formula
|
No
|
No
|
varchar(256)
|
NULL
|
Формула загрязняющего вещества. Предполагается хранить в
виде XML-строки, для возможности указания верхних и нижних индексов Пример:
SO<sub>2</sub>. (Аналог нижнего индекса SO_2)
|
|
Id_danger_class
|
No
|
Yes
|
integer
|
NULL
|
id-класса опасности загрязняющего вещества
|
Таблица
1.2. Описание полей таблицы "Класс опасности вещества"
|
Название
|
Комментарий
|
|
Danger_class
|
Класс опасности вещества. Обозначаются номерами. Чем больше
номер, тем опаснее вещество. Класс характеризуется минимальным и максимальным
кол-вом вещества.
|
|
Название
|
Is PK
|
Is FK
|
Тип
|
Null Option
|
Комментарий
|
|
Id_danger_class
|
Yes
|
No
|
integer
|
NOT NULL
|
|
|
Description
|
No
|
No
|
varchar(512)
|
NULL
|
Дополнительная информация
|
|
Code
|
No
|
No
|
integer
|
NOT NULL
|
Номер класса опасности (вместо названия класса)
|
|
Min_value
|
No
|
No
|
double precision
|
NULL
|
Минимальное значение содержания вещества, при котором оно
относится к данному классу
|
|
Max_value
|
No
|
No
|
double precision
|
NULL
|
Максимальное значение содержания вещества, при котором оно
относится к данному классу
|
|
Id_mesure_unit
|
No
|
Yes
|
integer
|
NULL
|
id-единицы измерения минимального и максимального значений
|
|
|
|
|
|
|
|
Таблица
1.3. Описание полей таблицы "Единица измерения"
|
Название
|
Комментарий
|
|
Mesure_unit
|
Меры измерений. Предполагается хранение XML-строки для
возможности указания верхних и нижних индексов Пример: name:
мг/м<sup>3</sup>
|
|
Название
|
Is PK
|
Is FK
|
Тип
|
Null Option
|
Комментарий
|
|
Id_mesure_unit
|
Yes
|
No
|
integer
|
NOT NULL
|
|
|
Name
|
No
|
No
|
Varchar (256)
|
NOT NULL
|
Название единицы измерения Пример:
мг/м<sup>3</sup>. Предполагается хранение XML-строки для
возможности указания верхних и нижних индексов
|
|
|
|
|
|
|
|
Таблица
1.4. Описание полей таблицы "Анализируемое вещество - анализируемая
среда"
|
Название
|
Комментарий
|
|
Element__area
|
Описание веществ, содержание которых контролируется в
данной среде
|
|
Название
|
Is PK
|
Is FK
|
Тип
|
Null Option
|
Комментарий
|
|
Id_analyzing_element
|
Yes
|
Yes
|
integer
|
NOT NULL
|
Анализируемое вещество
|
|
Id_area
|
Yes
|
Yes
|
integer
|
NOT NULL
|
Анализируемая среда
|
|
|
|
|
|
|
|
1.1.5.2 Блок описания контролируемых объектов
и мест забор пробы
Сущность: «Контролируемый объект». Характеристики: родительский объект
(для возможности иерархической организации и структурирования контролируемых
объектов); характеристики объекта (адрес, телефон, почта, сайт), тип объекта
(организация, область); точки забора проб, находящиеся на территории объекта;
координаты.
Сущность: «Точка отбора пробы». Характеристики: шифр точки отбора
(говорит о типе анализируемой среды в этой точке); геоданные точки; тип точки
(постоянная, временная); статус (работает, приостановлена); объект, которому
принадлежит точка; анализируемая среда в данной точке.
Сущность: «Анализируемая среда». Характеристики: название; код.
Сущность: «Статус точки отбора», «Тип точки отбора», «Тип объекта»
Характеристики: название.
Рисунок
1.6. Логическая структура блока описания подконтрольных объектов и точек забора
проб
Рисунок
1.7. Физическая структура блока описания подконтрольных объектов и точек забора
проб
Таблица
1.5. Описание полей таблицы "Точки отбора"
|
Название
|
Комментарий
|
|
Checkpoints
|
Точки отбора
|
|
Название
|
Is PK
|
Is FK
|
Тип
|
Null Option
|
Комментарий
|
|
Id_checkpoint
|
Yes
|
No
|
integer
|
NOT NULL
|
|
|
Code
|
No
|
No
|
varchar(6)
|
NOT NULL
|
Шифр точки отбора. Примеры: W-005, S-007
|
|
Description
|
No
|
No
|
text
|
NULL
|
Дополнительная информация о предприятии
|
|
Longitude
|
No
|
No
|
float
|
NULL
|
Координаты точки. Возможна привязка к карте.
|
|
Latitude
|
No
|
No
|
float
|
NULL
|
Координаты точки. Возможна привязка к карте.
|
|
Id_area
|
No
|
Yes
|
integer
|
NOT NULL
|
Среда, которая анализируется в данной точке отбора
|
|
Id_point_type
|
No
|
Yes
|
integer
|
NOT NULL
|
Тип точки отбора
|
|
Id_point_status
|
No
|
Yes
|
integer
|
NOT NULL
|
Статус точки отбора (действует, приостановлена)
|
|
Id_object
|
Yes
|
No
|
integer
|
NOT NULL
|
Объект, которому принадлежит точка отбора
|
|
|
|
|
|
|
|
Таблица
1.6. Описание полей таблицы "Статус точки отбора"
|
Название
|
Комментарий
|
|
Point_status
|
Статус точки отбора (работает, сломана, остановлена)
|
|
Название
|
Is PK
|
Is FK
|
Тип
|
Null Option
|
|
Id_point_status
|
Yes
|
No
|
integer
|
NOT NULL
|
|
|
Name
|
No
|
No
|
varchar(20)
|
NOT NULL
|
Название статуса
|
Таблица
1.7. Описание полей таблицы "Тип точки отбора"
|
Название
|
Комментарий
|
|
Point_type
|
Тип точки отбора (временная, постоянная, передвижная)
|
|
Название
|
Is PK
|
Is FK
|
Тип
|
Null Option
|
Комментарий
|
|
Id_point_type
|
Yes
|
No
|
integer
|
NOT NULL
|
|
|
Name
|
No
|
No
|
varchar(20)
|
NOT NULL
|
Название типа точки отбора
|
|
|
|
|
|
|
|
Таблица
1.8. Описание полей таблицы "Контролируемый объект"
|
Название
|
Комментарий
|
|
|
Object
|
Контролируемый объект (район, предприятие, область города,
город)
|
|
Название
|
Is PK
|
Is FK
|
Тип
|
Null Option
|
Комментарий
|
|
|
Id_object
|
Yes
|
No
|
integer
|
NOT NULL
|
|
|
|
Id_parent_object
|
No
|
Yes
|
integer
|
NULL
|
Родитель контролируемого объекта (для возможности
иерархической организации объектов - город разбить на области и т.п.)
|
|
|
Название
|
No
|
No
|
varchar(128)
|
NULL
|
Название объекта
|
|
|
Id_object_type
|
No
|
Yes
|
integer
|
NULL
|
Тип объекта (область, предприятие)
|
|
|
Address
|
No
|
No
|
varchar(256)
|
NULL
|
Адрес объекта
|
|
|
Phone
|
No
|
No
|
varchar(15)
|
NULL
|
Телефон
|
|
|
Email
|
No
|
No
|
varchar(128)
|
NULL
|
Электронная почта
|
|
|
Site
|
No
|
No
|
varchar(128)
|
NULL
|
Сайт
|
|
|
Longitude
|
No
|
No
|
float
|
NULL
|
Координаты точки. Возможна привязка к карте.
|
|
|
Latitude
|
No
|
No
|
float
|
NULL
|
Координаты точки. Возможна привязка к карте.
|
|
Таблица
1.9. Описание полей таблицы "Анализируемая среда"
|
Название
|
Комментарий
|
|
Area
|
Тип анализируемой среды: вода, воздух, почва. Древовидная
структура, т.к. среда может иметь подтипы (вода речная, озёрная)
|
|
Название
|
Is PK
|
Is FK
|
Тип
|
Null Option
|
Комментарий
|
|
Id_area
|
Yes
|
No
|
integer
|
NOT NULL
|
|
|
Name
|
No
|
No
|
varchar (20)
|
NOT NULL
|
Тип анализируемой среды: вода, воздух, почва. Древовидная
структура, т.к. среда может иметь подтипы (вода речная, озёрная)
|
|
Code
|
No
|
No
|
char
|
NOT NULL
|
|
1.1.5.3 Блок хранения картографических схем
объектов
Сущность: «Схема объектов». Характеристики: название; географические
координаты для привязки к глобальной карте; комментарий; масштаб; путь к файлу
на диске; объект, который описывает схема; точки отбора, расположенные на
схеме.
Рисунок
1.8. Логическая структура блока хранения картографических схем объектов
Рисунок
1.9. Физическая схема блока хранения картографических схем объектов
Таблица
1.10. Описание полей таблицы "Схема объектов"
|
Название
|
Комментарий
|
|
Schema
|
Таблица картографических схем объектов. Долгота и широта -
координаты левого верхнего угла для возможности привязки схемы к реальной
карте. Схема хранится в качестве картинки в отдельном файле на диске.
|
|
Название
|
Is PK
|
Is FK
|
Тип
|
Null Option
|
Комментарий
|
|
Id_schema
|
Yes
|
No
|
integer
|
NOT NULL
|
|
|
Comment
|
No
|
No
|
varchar(512)
|
NULL
|
Комментарий к схеме
|
|
Name
|
No
|
No
|
varchar(256)
|
NULL
|
Название схемы
|
|
Longitude
|
No
|
No
|
float
|
NULL
|
Долгота - одна из координат верхнего левого угла схемы для
возможности привязки схемы к глобальной карте
|
|
Laltitude
|
No
|
No
|
float
|
NULL
|
Широта - одна из координат верхнего левого угла схемы для
возможности привязки схемы к глобальной карте
|
|
Scale
|
No
|
No
|
bigint
|
NULL
|
Масштаб схемы
|
|
Filepath
|
No
|
No
|
varchar(512)
|
NULL
|
Путь к файлу на диске
|
|
Id_mesure_unit
|
No
|
Yes
|
integer
|
NULL
|
Единица измерения масштаба
|
|
|
|
|
|
|
|
Таблица
1.11. Описание полей таблицы "Контролируемый объект - схема"
|
Название
|
Комментарий
|
|
Object__schema
|
Привязка объекта к схеме
|
|
Название
|
Is PK
|
Is FK
|
Тип
|
Null Option
|
Комментарий
|
|
Id_schema
|
Yes
|
Yes
|
integer
|
NOT NULL
|
|
|
Id_object
|
Yes
|
Yes
|
integer
|
NOT NULL
|
|
|
X
|
No
|
No
|
double precision
|
NULL
|
Координата X объекта на схеме. В качестве координаты может
быть выбран пиксель или же отношение координаты пикселя объекта к ширине
схемы в пикселях, что даст возможность масштабирования картинки без потери
информации об объектах
|
|
Y
|
No
|
No
|
double precision
|
NULL
|
Координата Y объекта на схеме. В качестве координаты может
быть выбран пиксель или же отношение координаты пикселя объекта к высоте
схемы в пикселях, что даст возможность масштабирования картинки без потери
информации об объектах
|
|
|
|
|
|
|
|
Таблица
1.12. Описание полей таблицы "Точка отбора - схема объекта"
|
Название
|
Комментарий
|
|
Point__schema
|
Таблица привязки точки отбора к схеме на объекте
|
|
Название
|
Is PK
|
Is FK
|
Тип
|
Null Option
|
Комментарий
|
|
Id_schema
|
Yes
|
Yes
|
integer
|
NOT NULL
|
|
|
Id_checkpoint
|
Yes
|
Yes
|
integer
|
NOT NULL
|
|
|
X
|
No
|
No
|
double precision
|
NULL
|
Координата X объекта на схеме. В качестве координаты может
быть выбран пиксель или же отношение координаты пикселя объекта к ширине
схемы в пикселях, что даст возможность масштабирования картинки без потери
информации об объектах
|
|
Y
|
No
|
No
|
double precision
|
NULL
|
Координата Y объекта на схеме. В качестве координаты может
быть выбран пиксель или же отношение координаты пикселя объекта к высоте
схемы в пикселях, что даст возможность масштабирования картинки без потери
информации об объектах
|
|
|
|
|
|
|
|
Таблица
1.13. Описание полей таблицы "Тип объекта"
|
Название
|
Комментарий
|
|
Object_type
|
Тип объекта (предприятие, город, район, область)
|
|
Название
|
Is PK
|
Is FK
|
Тип
|
Null Option
|
Комментарий
|
|
Id_object_type
|
Yes
|
No
|
integer
|
NOT NULL
|
|
|
Name
|
No
|
No
|
varchar(20)
|
NOT NULL
|
Название типа объекта
|
|
|
|
|
|
|
|
1.1.5.4 Блок нормативных документов
Сущность: «Нормативный документ». Характеристики: название; дата
утверждения; тип; путь на диске; анализируемая среда, к которой относится
данный документ.
Сущность: «Тип нормативного документа». Характеристики: название типа.
Рисунок
1.10. Логическая структура блока нормативных документов
Рисунок
1.11. Физическая структура блока нормативных документов
Таблица
1.14. Описание полей таблицы "Нормативный документ"
|
Название
|
Комментарий
|
|
Guidance_document
|
Таблица руководящих документов, которые описывают процессы
отбора и анализа проб, установленные нормы, квоты, предельно допустимые
концентрации веществ
|
|
Название
|
Is PK
|
Is FK
|
Тип
|
Null Option
|
Комментарий
|
|
Id_guidance_document
|
Yes
|
No
|
integer
|
NOT NULL
|
|
|
Name
|
No
|
No
|
varchar (128)
|
NOT NULL
|
Краткое название руководящего документа. Примеры: РД 52.04.
|
|
Filepath
|
No
|
No
|
varchar (512)
|
NULL
|
Полное название руководящего документа. Пример: "ПДК
химических веществ в воде водных объектов хозяйственно-питьевого и
культурно-бытового водопользования"
|
|
Id_guidance_document_type
|
No
|
Yes
|
integer
|
NOT NULL
|
|
|
Date_confirm
|
No
|
No
|
datetime
|
NULL
|
|
|
|
|
|
|
|
|
Таблица
1.15. Описание полей таблицы "Тип нормативного документа"
|
Название
|
Комментарий
|
|
Guidance_document_type
|
Тип нормативного документа (руководящий, приказ)
|
|
Название
|
Is PK
|
Is FK
|
Тип
|
Null Option
|
Комментарий
|
|
Id_guidance_document_type
|
Yes
|
No
|
integer
|
NOT NULL
|
|
|
Name
|
No
|
No
|
varchar(20)
|
NOT NULL
|
Тип нормативного документа
|
|
|
|
|
|
|
|
Таблица
1.16. Описание полей таблицы "Нормативный документ - анализируемая
среда"
|
Название
|
Комментарий
|
Привязка нормативного документа к среде, для анализа
которой используется этот нормативный документ
|
|
Название
|
Is PK
|
Is FK
|
Тип
|
Null Option
|
Комментарий
|
|
Id_guidance_document
|
Yes
|
Yes
|
integer
|
NOT NULL
|
Нормативный документ
|
|
Id_area
|
Yes
|
Yes
|
integer
|
NOT NULL
|
Среда, к которой относится нормативный документ
|
1.1.5.5 Блок описания методик отбора и анализа
проб
Сущность: «Методики». Характеристики: название методики; руководящий
документ, описывающий данную методику; параграфы руководящего документа.
Рисунок
1.12. Логическая структура блока описания методик анализа и отбора проб
Рисунок
1.13. Физическая структура блока описания методик отбора и анализа проб
Таблица
1.17. Описание полей таблицы "Методики отбора и анализа проб"
|
Название
|
Комментарий
|
|
Methodic
|
Метод измерения и анализа. Example: name: фотометрия,
электрохимический, газовая хроматография, атомная абсорбция.
|
|
Название
|
Is PK
|
Is FK
|
Тип
|
Null Option
|
Комментарий
|
|
Id_methodic
|
Yes
|
No
|
integer
|
NOT NULL
|
|
|
Paragraphs
|
No
|
No
|
varchar(20)
|
NULL
|
Пункты руководящего документа. Пример, 186-89
|
|
Id_guidance_document
|
No
|
Yes
|
integer
|
NOT NULL
|
Руководящий документ
|
|
Name
|
No
|
No
|
varchar(128)
|
NOT NULL
|
Название методики
|
|
|
|
|
|
|
|
1.1.5.6 Блок описания методов отбора и анализа
проб
Сущность: «Методы отбора проб и анализа». Характеристики: название метода;
нормативный документ, описывающий метод; среда, для анализа которой
используется метод.
Рисунок
1.14. Логическая структура блока методов отбора и анализа проб
Рисунок
1.15. Физическая структура блока методов отбора и анализа проб
Таблица
1.18. Описание полей таблицы "Методы отбора и анализа"
|
Название
|
Комментарий
|
|
Method
|
Методы отбора и анализа загрязняющих веществ
|
|
Название
|
Is PK
|
Is FK
|
Тип
|
Null Option
|
Комментарий
|
|
Id_method
|
Yes
|
No
|
integer
|
NOT NULL
|
|
|
Name
|
No
|
No
|
varchar(64)
|
NOT NULL
|
Название метода
|
|
|
|
|
|
|
|
Таблица
1.19. Описание полей таблицы "Метод - анализируемая среда"
|
Название
|
Комментарий
|
|
Method__area
|
Таблица привязки метода к среде, в которой он используется.
Является необязательной, упрощает работу с графическим интерфейсом
|
|
Название
|
Is PK
|
Is FK
|
Тип
|
Null Option
|
Комментарий
|
|
Id_method
|
Yes
|
Yes
|
integer
|
NOT NULL
|
Метод
|
|
Id_area
|
Yes
|
Yes
|
integer
|
NOT NULL
|
Среда, в которой используется данный метод анализа и забора
пробы
|
|
Id_guidance_document
|
No
|
Yes
|
integer
|
NOT NULL
|
Руководящий документ
|
|
|
|
|
|
|
|
1.1.5.7 Блок информации о хранении отобранных
проб в контейнерах
Сущность: «Задействованный контейнер». Характеристики: шифр; объём;
материал, из которого изготовлен контейнер; название; акт отбора, в котором
задействован данный контейнер; отобранное в контейнер вещество. Особенности:
один контейнер может быть задействован для анализа нескольких веществ, но акт о
заборе пробы будет один.
Рисунок
1.16. Логическая структура блока хранения отобранных проб в контейнерах
Рисунок
1.17. Физическая структура блока хранения отобранных проб в контейнерах
Таблица
1.20. Описание полей таблицы "Задействованные контейнеры"
|
Название
|
Комментарий
|
|
Used_container
|
Таблица соответствия пробы и посуды, в которую отбиралась
проба. Также хранится информаци о кол-ве отобранной пробы (объём, масса)
|
|
Название
|
Is PK
|
Is FK
|
Тип
|
Null Option
|
Комментарий
|
|
Id_used_container
|
Yes
|
No
|
integer
|
NOT NULL
|
|
|
Code
|
No
|
No
|
varchar(20)
|
NOT NULL
|
шифр пробы. Например, шифр пробирки
|
|
Id_container_type
|
No
|
Yes
|
integer
|
NOT NULL
|
id-типа посуды
|
|
|
|
|
|
|
|
Таблица
1.21. Описание полей таблицы "Тип материала контейнера"
|
Название
|
Комментарий
|
|
Material_type
|
Материал, из которого сделана посуда для отбора проб
|
|
Название
|
Is PK
|
Is FK
|
Тип
|
Null Option
|
Комментарий
|
|
Id_material_type
|
Yes
|
No
|
integer
|
NOT NULL
|
|
|
Name
|
No
|
No
|
varchar(64)
|
NOT NULL
|
Название материала, из которого сделана посуда для отбора
проб
|
|
|
|
|
|
|
|
Таблица
1.22. Описание полей таблицы "Тип контейнера"
|
Название
|
Комментарий
|
|
Container_type
|
Тип контейнера, в который отбирается проба
|
|
Название
|
Is PK
|
Is FK
|
Тип
|
Null Option
|
Комментарий
|
|
Id_container_type
|
Yes
|
No
|
integer
|
NOT NULL
|
|
|
Name
|
No
|
No
|
varchar(20)
|
NOT NULL
|
Название посуды, в которую отбирается проба.
|
|
Volume
|
No
|
No
|
double precision
|
NULL
|
Объём посуды
|
|
Id_material_type
|
No
|
Yes
|
integer
|
NULL
|
id-материала, из которого изготовлена посуда, для отбора
проб
|
|
Id_mesure_unit
|
No
|
Yes
|
integer
|
NULL
|
id-единицы измерения объёма посуды
|
|
|
|
|
|
|
|
Таблица
1.23. Описание полей таблицы "Акт отбора пробы - контейнер"
|
Название
|
Комментарий
|
|
Sampling__container
|
Связывает акт отбора пробы и контейнеры, в которые были
отобраны анализируемые вещества
|
|
Название
|
Is PK
|
Is FK
|
Тип
|
Null Option
|
Комментарий
|
|
Id_used_container
|
Yes
|
Yes
|
integer
|
NOT NULL
|
Контейнер, в который была отобрана проба
|
|
Id_sampling_act
|
Yes
|
Yes
|
integer
|
NOT NULL
|
Акт отбора вещества
|
|
Id_analyzing_element
|
Yes
|
Yes
|
integer
|
NOT NULL
|
Отобранное для анализа вещество
|
|
|
|
|
|
|
|
1.1.5.8 Блок физических лиц, задействованных в
протекающих процессах
Сущность: «Физические лица». Характеристики: ФИО; должность; место
работы.
Сущность: «Должность». Характеристики: название.
Рисунок
1.18. Логическая структура блока физических лиц
Рисунок
1.19. Физическая структура блока физических лиц
Таблица
1.24. Описание полей таблицы "Люди"
|
Название
|
Комментарий
|
|
People
|
Общая таблица лиц: контролирующих (представители
контролирующих органов), лаборантов (тех, кто проводит отбор)
|
|
Название
|
Is PK
|
Is FK
|
Тип
|
Null Option
|
Комментарий
|
|
Id_man
|
Yes
|
No
|
integer
|
NOT NULL
|
|
|
Name
|
No
|
No
|
varchar(128)
|
NULL
|
Имя
|
|
Sname
|
No
|
No
|
varchar(128)
|
NULL
|
Фамилия
|
|
Tname
|
No
|
No
|
varchar(128)
|
NULL
|
Отчество
|
|
Id_position
|
No
|
Yes
|
integer
|
NULL
|
id-должности
|
|
Id_object
|
No
|
Yes
|
integer
|
NULL
|
Место работы (один из контролируемых объектов)
|
Таблица
1.25. Описание полей таблицы "Должность"
|
Название
|
Комментарий
|
|
Position
|
Занимаемая человеком должность
|
|
Название
|
Is PK
|
Is FK
|
Тип
|
Null Option
|
Комментарий
|
|
Id_position
|
Yes
|
No
|
integer
|
NOT NULL
|
|
|
Name
|
No
|
No
|
varchar(256)
|
NULL
|
Занимаемая человеком должность
|
|
|
|
|
|
|
|
1.1.5.9 Блок сканов документов, постановлений,
приказов
Сущность: «Сканы документов». Характеристики: название; дата
сканирования; путь к файлу на жестком диске.
Рисунок
1.20. Логическая структура блока сканов документа
Рисунок
1.21. Физическая структура блока скана документов
Таблица
1.26. Описание полей таблицы "Сканы документов"
|
Название
|
Комментарий
|
|
Scan
|
Таблица сканов документов (сканы актов об отборе,
результатов анализа)
|
|
Название
|
Is PK
|
Is FK
|
Тип
|
Null Option
|
Комментарий
|
|
Id_scan
|
Yes
|
No
|
integer
|
NOT NULL
|
|
|
Name
|
No
|
No
|
varchar(128)
|
NULL
|
Название скана документа
|
|
Date_scan
|
No
|
No
|
datetime
|
NOT NULL
|
Дата сканирования
|
|
Filepath
|
No
|
No
|
varchar(512)
|
NOT NULL
|
|
|
|
|
|
|
|
1.1.5.10 Блок документирования процесса отбора
пробы
Сущность: «Акт отбора пробы». Характеристики: дата; методика, метод,
которыми отбирались пробы; отобранные пробы, согласно акту; ответственный
человек; точка и объект отбора пробы; ответственный за отбор пробы человек;
наблюдатель сторонней организации; цели отбора; скан акта отбора пробы;
количество отобранной пробы; отобранные вещества; задействованные контейнеры;
условия, при которых производился процесс отбора пробы; тип взятой пробы;
использованное оборудование. Особенности: один акт отбора может предписывать
анализ нескольких веществ.
Сущность: «Тип пробы». Характеристики: название.
Сущность: «Оборудование». Характеристики: название.
Сущность: «Условия отбора». Характеристики: название условия, значение.
Рисунок
1.22. Логическая структура блока отбора проб
Рисунок
1.23. Физическая структура блока отбора проб
Таблица
1.27. Описание полей таблицы "Акт отбора пробы"
|
Название
|
Комментарий
|
|
Sampling_act
|
Акт отбора пробы.
|
|
Название
|
Is PK
|
Is FK
|
Тип
|
Null Option
|
Комментарий
|
|
Id_sampling_act
|
Yes
|
No
|
integer
|
NOT NULL
|
|
|
Date_sampling
|
No
|
No
|
datetime
|
NOT NULL
|
Дата забора пробы
|
|
Id_methodic
|
No
|
Yes
|
integer
|
NULL
|
Использованная для забора методика
|
|
Id_method
|
No
|
Yes
|
integer
|
NOT NULL
|
Использованный метод отбора пробы
|
|
Volume
|
No
|
No
|
double precision
|
NULL
|
Количество отобранной пробы
|
|
Id_checkpoint
|
No
|
Yes
|
integer
|
NOT NULL
|
Точка отбора
|
|
Id_man
|
No
|
Yes
|
integer
|
NULL
|
Наблюдатель
|
|
Aim
|
No
|
No
|
varchar(128)
|
NULL
|
Цель отбора
|
|
Id_scan
|
No
|
Yes
|
integer
|
NULL
|
Скан акта отбора пробы
|
|
|
|
|
|
|
|
Таблица
1.28. Описание полей таблицы "Акт отбора пробы - контейнер"
|
Название
|
Комментарий
|
|
Sampling__container
|
Связывает акт отбора пробы и контейнеры, в которые были
отобраны анализируемые вещества
|
|
Название
|
Is PK
|
Is FK
|
Тип
|
Null Option
|
Комментарий
|
|
Id_used_container
|
Yes
|
Yes
|
integer
|
NOT NULL
|
Контейнер, в который была отобрана проба
|
|
Id_sampling_act
|
Yes
|
Yes
|
integer
|
NOT NULL
|
Акт отбора вещества
|
|
Id_analyzing_element
|
Yes
|
Yes
|
integer
|
NOT NULL
|
Отобранное для анализа вещество
|
|
|
|
|
|
|
|
Таблица
1.29. Описание полей таблицы "Акт отбора пробы - вещество"
|
Название
|
Комментарий
|
|
Sampling__element
|
Сопоставляет акту отбора пробы список отобранных веществ
|
|
Название
|
Is PK
|
Is FK
|
Тип
|
Null Option
|
Комментарий
|
|
Id_sampling_act
|
Yes
|
Yes
|
integer
|
NOT NULL
|
Акт отбора вещества
|
|
Id_analyzing_element
|
Yes
|
Yes
|
integer
|
NOT NULL
|
Отобранное для анализа вещество
|
|
Id_sampling_type
|
No
|
Yes
|
integer
|
NOT NULL
|
Тип взятой пробы
|
|
|
|
|
|
|
|
Таблица
1.30. Описание полей таблицы "Акт отбора пробы - оборудование"
|
Название
|
Комментарий
|
|
Sampling__equipment
|
Таблица содержит оборудование, использованное при заборе
пробы
|
|
Название
|
Is PK
|
Is FK
|
Тип
|
Null Option
|
Комментарий
|
|
Id_equipment
|
Yes
|
Yes
|
integer
|
NOT NULL
|
Оборудование, использованное при заборе пробы
|
|
Id_sampling_act
|
Yes
|
Yes
|
integer
|
NOT NULL
|
Акт отбора пробы
|
|
|
|
|
|
|
|
Таблица
1.31. Описание полей таблицы "Оборудование"
|
Название
|
Комментарий
|
|
Equipment
|
Перечень оборудования, которое может использоваться для
взятия проб
|
|
Название
|
Is PK
|
Is FK
|
Тип
|
Null Option
|
Комментарий
|
|
Id_equipment
|
Yes
|
No
|
integer
|
NOT NULL
|
|
|
Name
|
No
|
No
|
varchar(128)
|
NOT NULL
|
Название оборудования
|
|
|
|
|
|
|
|
Таблица
1.32. Описание полей таблицы "Тип пробы"
|
Название
|
Комментарий
|
|
Sampling_type
|
Тип пробы: простая, разовая, объединённая, смешанная
|
|
Название
|
Is PK
|
Is FK
|
Тип
|
Null Option
|
Комментарий
|
|
Id_sampling_type
|
Yes
|
No
|
integer
|
NOT NULL
|
|
|
Name
|
No
|
No
|
varchar(20)
|
NOT NULL
|
Тип пробы: простая, разовая, объединённая, смешанная
|
|
|
|
|
|
|
|
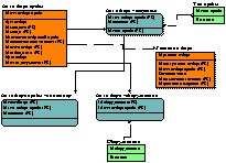
1.1.5.11
Блок условий отбора
пробы
Сущность: «Условия, при которых отбиралась проба». Характеристики:
название условия, значение. Особенности: условия отбора можно разделить на те,
которые принимают числовые значения, и те, которые принимают набор ограниченных
значений. Таблица позволяет хранить и числовое значение, и идентификатор одного
из значений из ограниченного набора.
Сущность: «Типы условий отбора». Характеристики: название.
Сущность: «Возможные значения условия отбора». Характеристики:
принимаемое значение; условие, к которому относится принимаемое значение.
Рисунок
1.24. Логическая схема блока условий отбора
Рисунок
1.25. Физическая схема блока условий отбора
Таблица
1.33. Описание полей таблицы "Условия отбора"
|
Название
|
Комментарий
|
|
Sampling__condition
|
Наблюдаемые условия, при которых производился забор пробы.
Можно задать значение в виде числа или же выбрать одно из возможных строковых
значение. Допускает описание одного и того же условия несколько раз.
Например, дать ветру характеристики порывистый и 5 м/с
|
|
Название
|
Is PK
|
Is FK
|
Тип
|
Null Option
|
Комментарий
|
|
Id_условия_отбора
|
Yes
|
No
|
integer
|
NOT NULL
|
|
|
Id_sampling_condition_type
|
No
|
Yes
|
integer
|
NOT NULL
|
Тип условия
|
|
Id_sampling_act
|
No
|
Yes
|
integer
|
NOT NULL
|
Акт отбора пробы
|
|
Value_n
|
No
|
No
|
double precision
|
NULL
|
Числовое значение, характеризующее условие отбора
(например, значение скорости ветра)
|
|
Id_возможного_значения
|
No
|
Yes
|
integer
|
NULL
|
Колонка для хранения одного из возможных значений условий.
Например, название условия "ветер", значение
"порывистый".
|
|
Id_mesure_unit
|
No
|
Yes
|
integer
|
NULL
|
Единица измерения числового значения условия
|
|
|
|
|
|
|
|
Таблица
1.34. Описание полей таблицы "Типы условий отбора"
|
Название
|
Комментарий
|
|
Sampling_condition_type
|
Справочник условий, при которых бралась проба. Измерения
проводятся в определённых условиях, перечень которых заранее неизвестен.
Предполагается хранить имя условия (температура, влажность), значение
(строка) и тип (говорящий о том, как интерпретировать строку). Таким образом,
можно динамично добавлять новые условия измерений, сохраняя структуру таблиц
|
|
Название
|
Is PK
|
Is FK
|
Тип
|
Null Option
|
Комментарий
|
|
Id_sampling_condition_type
|
Yes
|
No
|
integer
|
NOT NULL
|
|
|
Name
|
No
|
No
|
varchar(128)
|
NULL
|
Называние условия отбора. Примеры: температура, влажность
|
|
|
|
|
|
|
|
Таблица
1.35. Описание полей таблицы "Возможные значений условий отбора"
|
Название
|
Комментарий
|
|
Possible_condition_value
|
Таблица представляет собой реализацию перечислимого типа:
для каждого условия отбора пробы в таблице хранится допустимый набор
значений, которыми можно описать данное условие. К примеру, ветер может быть
порывистым, слабым, штормовым.
|
|
Название
|
Is PK
|
Is FK
|
Тип
|
Null Option
|
Комментарий
|
|
Id_ possible_condition_value
|
Yes
|
No
|
integer
|
NOT NULL
|
|
|
Value
|
No
|
No
|
varchar(64)
|
NOT NULL
|
Возможное значение условия
|
|
Id_sampling_condition_type
|
No
|
Yes
|
integer
|
NULL
|
Тип условия
|
|
|
|
|
|
|
|
1.1.5.12 Блок результатов анализа
Сущность: «Результат анализа». Характеристики: дата анализа;
проанализированные вещества; результаты анализа; точка отбора; контролируемый
объект; методика и метод анализа; скан результатов анализа; акт постановления о
заборе проб для анализа. Особенности: один анализ может выявить концентрацию
нескольких веществ одновременно. Акта о заборе пробы может не быть, если данные
поступают с автоматических станций. В виду того, что одна точка отбора может
принадлежать нескольким подконтрольным объектам, необходимо хранить
идентификаторы как точки забора пробы, так и подконтрольного объекта.
Рисунок
1.26. Логическая схема блока результатов анализа
Рисунок
1.27. Физическая схема блока результатов анализа
Таблица
1.36. Описание полей таблицы "Результаты анализа"
|
Название
|
Комментарий
|
|
Analysis_result
|
Таблица результатов анализа. Отбираются для анализа
содержания хим.веществ. Одна проба может отбираться для анализа нескольких
веществ.
|
|
Название
|
Is PK
|
Is FK
|
Тип
|
Null Option
|
Комментарий
|
|
Id_analysis_result
|
Yes
|
No
|
integer
|
NOT NULL
|
|
|
Date_analysis
|
No
|
No
|
datetime
|
NOT NULL
|
дата взятия пробы
|
|
Comment
|
No
|
No
|
text
|
NULL
|
Заметки
|
|
Id_checkpoint
|
No
|
Yes
|
integer
|
NOT NULL
|
id точки взятия пробы
|
|
Id_sampling_act
|
No
|
Yes
|
integer
|
NULL
|
|
|
Id_methodic
|
No
|
Yes
|
integer
|
NULL
|
Методика, с помощью которой проводился анализ
|
No
|
Yes
|
integer
|
NULL
|
Метод, который использовался при анализе
|
|
Id_scan
|
No
|
Yes
|
integer
|
NULL
|
Скан результата анализа
|
|
|
|
|
|
|
|
Таблица
1.37. Описание полей таблицы "Этапы анализа"
|
Название
|
Комментарий
|
|
Analysis_stage
|
Сроки анализа. Анализ некоторых веществ проходит в
несколько этапов
|
|
Название
|
Is PK
|
Is FK
|
Тип
|
Null Option
|
Комментарий
|
|
Id_analysis_stage
|
Yes
|
No
|
integer
|
NOT NULL
|
|
|
Date_end
|
No
|
No
|
datetime
|
NULL
|
Дата окончания этапа анализа
|
|
Date_start
|
No
|
No
|
datetime
|
NULL
|
Дата начала этапа анализа
|
|
Id_analysis_result
|
No
|
Yes
|
integer
|
NULL
|
id-пробы
|
|
|
|
|
|
|
|
Таблица
1.38. Описание полей таблицы "Результат анализа - вещество"
|
Название
|
Комментарий
|
|
Analysis_result__element
|
Таблица привязки результата анализа к анализируемому
веществу. Отделена от таблицы "Результаты анализа", т.к. одна проба
может использоваться для определения концентрации нескольких веществ.
|
|
Название
|
Is PK
|
Is FK
|
Тип
|
Null Option
|
Комментарий
|
|
Id_analysis_result
|
Yes
|
Yes
|
integer
|
NOT NULL
|
Идентификатор результата анализа
|
|
Id_analyzing_element
|
Yes
|
Yes
|
integer
|
NOT NULL
|
Анализируемое вещество
|
|
Value
|
No
|
No
|
double precision
|
NULL
|
Значение результата анализа
|
|
Id_mesure_unit
|
No
|
Yes
|
integer
|
NULL
|
Единица измерения
|
|
Comment
|
No
|
No
|
text
|
NULL
|
Заметки
|
|
Inaccuracy
|
No
|
No
|
double precision
|
NULL
|
Погрешность анализа
|
|
|
|
|
|
|
|
1.1.5.13 Блок выделенных предприятиям квот
Сущность: «Выделенные квоты». Характеристики: вещество; квота; тип квоты;
размер; период действия квоты; подконтрольный объект, которому выделена квота;
скан документа; среда, к которой относится данная квота.
Сущность: «Гигиенические стандарты». Характеристики: вещество; значение
стандарта; тип квоты; среда, к которой относится данная квота.
Сущность: «Тип квоты». Характеристики: название.
Рисунок
1.28. Логическая схема блока выделенных квот
Рисунок
1.29. Физическая схема блока выделенных квот
Таблица
1.39. Описание полей таблицы "Гигиенические нормативы"
|
Название
|
Комментарий
|
|
Health_standart
|
Гигиенические нормативы загрязняющих веществ в различных
средах
|
|
Название
|
Is PK
|
Is FK
|
Тип
|
Null Option
|
Комментарий
|
|
Id_health_standart
|
Yes
|
No
|
integer
|
NOT NULL
|
|
|
Id_analyzing_element
|
No
|
Yes
|
integer
|
NOT NULL
|
id-загрязняющего вещества
|
|
Id_quota_type
|
No
|
Yes
|
integer
|
NOT NULL
|
id-квоты (ПДКмр, ПДКсс, Значение)
|
|
Value
|
No
|
No
|
double precision
|
NOT NULL
|
Значение квоты
|
|
Id_area
|
No
|
Yes
|
integer
|
NULL
|
id-тип среды (воздух, вода, почва)
|
|
Id_mesure_unit
|
No
|
Yes
|
integer
|
NOT NULL
|
id-единицы измерения квоты
|
|
|
|
|
|
|
|
Таблица
1.40. Описание полей таблицы "Выделенные квоты"
|
Название
|
Комментарий
|
|
Quote_fixed
|
Таблица выделенных квот для предприятий
|
|
Название
|
Is PK
|
Is FK
|
Тип
|
Null Option
|
Комментарий
|
|
Id_quote_fixed
|
Yes
|
No
|
integer
|
NOT NULL
|
|
|
Id_analyzing_element
|
No
|
Yes
|
integer
|
NOT NULL
|
id-загрязняющего вещества
|
|
Value
|
No
|
No
|
double precision
|
NOT NULL
|
значение квоты
|
|
Id_mesure_unit
|
No
|
Yes
|
integer
|
NOT NULL
|
id-единицы измерения квоты
|
|
Id_quota_type
|
No
|
Yes
|
integer
|
NOT NULL
|
id-типа квоты (ПДКмр, ПДКсс)
|
|
Id_object
|
No
|
Yes
|
integer
|
NOT NULL
|
Объект, которому выделена квота
|
|
Date_start
|
No
|
No
|
datetime
|
NOT NULL
|
дата выделения квоты
|
|
Date_end
|
No
|
No
|
datetime
|
NOT NULL
|
дата истечения выделенной квоты
|
|
Id_scan
|
No
|
Yes
|
integer
|
NULL
|
скан документа о выделении квоты
|
|
Id_area
|
No
|
Yes
|
integer
|
NULL
|
id-тип среды (воздух, вода, почва)
|
|
|
|
|
|
|
|
Таблица
1.41. Описание полей таблицы "Типы квот"
|
Название
|
Комментарий
|
|
Quota_type
|
Типы квот. ПДКсс ПДКмр
|
|
Название
|
Is PK
|
Is FK
|
Тип
|
Null Option
|
Комментарий
|
|
Id_quota_type
|
Yes
|
No
|
integer
|
NOT NULL
|
|
|
Name
|
No
|
No
|
varchar(128)
|
NOT NULL
|
Типы квот. Примеры, ПДКсс, ПДКмр.
|
|
|
|
|
|
|
|
1.1.5.14 Блок физических характеристик
отобранных проб
Сущность: «Физические характеристики пробы». Характеристики: название
характеристики, значение. Особенности: характеристики можно разделить на те,
которые принимают числовые значения, и те, которые принимают набор ограниченных
значений. Таблица позволяет хранить и числовое значение, и идентификатор одного
из значений из ограниченного набора.
Сущность: «Типы физических характеристик». Характеристики: название.
Сущность: «Возможные значения характеристики». Характеристики:
принимаемое значение; характеристика, к которой относится принимаемое значение.
Рисунок
1.30. Логическая схема блока физических характеристик проб
Рисунок
1.31. Физическая схема блока физических характеристик проб
Таблица
1.42. Описание полей таблицы "Названия физических характеристик"
|
Название
|
Комментарий
|
|
Phisical_characteristic_name
|
Тип характеристики пробы. Проба воды может иметь цвет,
запах. Цвет и запах рассматриваются в качестве типов характеристик (то есть
цвет и запах - две строки в этой таблице)
|
|
Название
|
Is PK
|
Is FK
|
Тип
|
Null Option
|
Комментарий
|
|
Id_phisical_characteristic_name
|
Yes
|
No
|
integer
|
NOT NULL
|
|
|
Name
|
No
|
No
|
varchar(128)
|
NOT NULL
|
Тип характеристики пробы. Проба воды может иметь цвет,
запах. Цвет и запах рассматриваются в качестве типов характеристик (то есть
цвет и запах - две строки в этой таблице)
|
|
|
|
|
|
|
|
Таблица
1.43. Описание полей таблицы "Возможные значения физических
характеристик"
|
Название
|
Комментарий
|
|
Possible_phisical_characteristic_value
|
Возможные значения характеристик пробы для конкретного типа
характеристик. Если цвет, запах - это типы характеристики, то красный,
зелёный, тухлый - это значения характеристики
|
|
Название
|
Is PK
|
Is FK
|
Тип
|
Null Option
|
Комментарий
|
|
Id_possible_phisical_characteristic_value
|
Yes
|
No
|
integer
|
NOT NULL
|
|
|
Value
|
No
|
No
|
varchar(64)
|
NULL
|
Возможные значения характеристик пробы для конкретного типа
характеристик. Если цвет, запах - это типы характеристики, то красный,
зелёный, тухлый - это значения характеристики
|
|
Id_phisical_characteristic
|
No
|
Yes
|
integer
|
NULL
|
id-типа характеристики
|
|
|
|
|
|
|
|
Таблица
1.44. Описание полей таблицы "Значения физических характеристик
пробы"
|
Название
|
Комментарий
|
|
Phisical_characteristic_value
|
Таблица физических характеристик, которыми обладала
определённая проба при заборе вещества
|
|
Название
|
Is PK
|
Is FK
|
Тип
|
Null Option
|
Комментарий
|
|
Id_физического_значения
|
Yes
|
No
|
integer
|
NOT NULL
|
|
|
Id_used_container
|
No
|
Yes
|
integer
|
NOT NULL
|
Контейнер, в который была отобрана проба
|
|
Id_sampling_act
|
No
|
Yes
|
integer
|
NOT NULL
|
Акт отбора вещества
|
|
Id_analyzing_element
|
No
|
Yes
|
integer
|
NOT NULL
|
Отобранное для анализа вещество
|
|
Id_phisical_characteristic_name
|
No
|
Yes
|
integer
|
NOT NULL
|
Название физической характеристики пробы (например, цвет)
|
|
Value
|
No
|
No
|
varchar (20)
|
NULL
|
Числовое значение физической характеристики (значение ph,
например)
|
|
Id_possible_phisical_characteristic_value
|
No
|
Yes
|
integer
|
NULL
|
Колонка для хранения одного из возможных значений
характеристики. Например, цвет можно описать ограниченным набором
прилагательных: красный, синий. Эта колонка хранится идентификатор
"красный" или "синий".
|
|
Id_mesure_unit
|
No
|
Yes
|
integer
|
Единица измерения числового значения физической
характеристики
|
|
|
|
|
|
|
|
1.1.5.15 Блок контроля доступа и разграничения прав
Сущность: «Пользователи». Характеристики: ФИО, логин, почта.
Сущность: «Роль». Характеристики: название.
Сущность: «Функция». Характеристики: название.
Сущность: «Меню». Характеристики: Пункт меню.
Пояснения: есть пользователи, которым сопоставлены определённые роли.
Каждой роли соответствует определённый набор функций. У каждой функции есть доступные
этой функции пункты меню.
Рисунок
1.32. Логическая схема блока контроля доступа и разграничения прав
Рисунок
1.33. Физическая схема блока контроля доступа и разграничения прав
Таблица
1.45. Описание полей таблицы "Меню"
|
Название
|
Комментарий
|
|
Menu
|
Отображаемое в программе меню
|
|
Название
|
Is PK
|
Is FK
|
Тип
|
Null Option
|
Комментарий
|
|
Id_menu
|
Yes
|
No
|
integer
|
NOT NULL
|
|
|
Id_parent
|
No
|
Yes
|
integer
|
NULL
|
|
|
Code
|
No
|
No
|
varchar(16)
|
NOT NULL
|
По коду можно определить, какая страница соответствует
данному пункту меню
|
|
Name
|
No
|
No
|
varchar(64)
|
NOT NULL
|
Название пункта меню
|
|
|
|
|
|
|
|
Таблица
1.46. Описание полей таблицы "Функция"
|
Название
|
Комментарий
|
|
Function
|
Таблица доступных пользователям функций
|
|
Название
|
Is PK
|
Is FK
|
Тип
|
Null Option
|
Комментарий
|
|
Id_function
|
Yes
|
No
|
integer
|
NOT NULL
|
|
|
Name
|
No
|
No
|
varchar(64)
|
NOT NULL
|
Название функции
|
|
|
|
|
|
|
|
Таблица
1.47. Описание полей таблицы "Меню - функция"
|
Название
|
Комментарий
|
|
Menu__function
|
Таблица привязки пункта меню к определенной функции
|
|
Название
|
Is PK
|
Is FK
|
Тип
|
Null Option
|
Комментарий
|
|
Id_function
|
Yes
|
Yes
|
integer
|
NOT NULL
|
Функция
|
|
Id_menu
|
Yes
|
Yes
|
integer
|
NOT NULL
|
Меню
|
|
|
|
|
|
|
|
Таблица
1.48. Описание полей таблицы "Роли"
|
Название
|
Комментарий
|
|
Role
|
Таблица ролей
|
|
Название
|
Is PK
|
Is FK
|
Тип
|
Null Option
|
Комментарий
|
|
Id_role
|
Yes
|
No
|
integer
|
NOT NULL
|
|
|
Name
|
No
|
No
|
varchar(64)
|
NOT NULL
|
Название роли
|
|
|
|
|
|
|
|
Таблица
1.49. Описание полей таблицы "Роль функция"
|
Название
|
Комментарий
|
|
Role__function
|
Таблица привязки функции к роли
|
|
Название
|
Is PK
|
Is FK
|
Тип
|
Null Option
|
Комментарий
|
|
Id_role
|
Yes
|
Yes
|
integer
|
NOT NULL
|
Роль
|
|
Id_function
|
Yes
|
Yes
|
integer
|
NOT NULL
|
Функция
|
|
|
|
|
|
|
|
Таблица
1.50. Описание полей таблицы "Пользователи системы"
|
Название
|
Комментарий
|
|
User
|
Таблица пользователей системы
|
|
Название
|
Is PK
|
Is FK
|
Тип
|
Null Option
|
Комментарий
|
|
Id_user
|
Yes
|
No
|
integer
|
NOT NULL
|
|
|
Name
|
No
|
No
|
varchar(128)
|
NULL
|
Имя
|
|
Sname
|
No
|
No
|
varchar(128)
|
NULL
|
Фамилия
|
|
Tname
|
No
|
No
|
varchar(128)
|
NULL
|
Отчество
|
|
Login
|
No
|
No
|
varchar(128)
|
NULL
|
Логин
|
|
Email
|
No
|
No
|
varchar(128)
|
NULL
|
Email
|
|
|
|
|
|
|
|
Таблица
1.51. Описание полей таблицы "Пользователь - роль"
|
Название
|
Комментарий
|
|
User__role
|
|
|
Название
|
Is PK
|
Is FK
|
Тип
|
Null Option
|
Комментарий
|
|
Id_user
|
Yes
|
Yes
|
integer
|
NOT NULL
|
Пользователь
|
|
Id_role
|
Yes
|
Yes
|
integer
|
NOT NULL
|
Роль
|
|
|
|
|
|
|
|
В развитых сетевых инфраструктурах авторизация идёт через LDAP. Это
достаточно удобно, т.к. позволяет хранить информацию о пользователях в одном
месте. Если потребуется изменить пароль, то его нужно изменить лишь в одной
системе. Именно поэтому в предложенной схеме не хранится пароль и авторизация
происходит на стороннем сервисе.
.1.5.16 Полная схема базы данных
Рисунок
1.34. Полная схема базы данных
1.1.6
Особенности структуры БД
Так как работа производилась в условиях большой неопределённости,
структура БД создавалась максимально гибкой с возможностью подстройки под
конкретный процесс экологического мониторинга. Так, например, есть возможность
динамического добавления характеристик условий отбора, физических характеристик
пробы без изменения структуры БД.
1.1.7 Экранные формы
Общение пользователя с системой будет осуществляться посредством лёгкого
клиента, написанного с использованием html + javascript и оформленного в виде
одностраничного веб-приложения. Условно проектируемый спроектированный
интерфейс можно разделить на 7 областей:
Рисунок
1.35. Структура интерфейса где 1 - шапка страницы, 2 - меню, 3 - навигационная
панель, 4 - область фильтра, 5 - информационная панель, 6 - панель
инструментов, 7 - основная таблица.
Навигационная панель необходима для понимания, где сейчас находится
пользователь. Панель инструментов представляет из себя набор кнопок,
позволяющих получить дополнительную информацию или же выполнить ряд операций.
Шапка, меню, навигационная панель присутствуют на странице всегда.
Остальные элементы могут появляться по мере необходимости.
На рисунке 36 показан пример интерфейса при просмотре информации о
подконтрольном объекте.
Рисунок
1.36. Просмотр информации о подконтрольном объекте
Здесь мы можем увидеть, что здесь присутствует фильтр, информационная
панель и панель инструментов.
На рисунке 37 изображен список точек, прикреплённых к подконтрольному
объекту.
Рисунок
1.37. Просмотр точек забора проб, прикреплённых к подконтрольному объекту
Здесь
отсутствует информационная панель и присутствует панель инструментов с областью
для отображения таблиц.
1.1.8 Примеры графиков
Любая система имеет смысл лишь при наличии прикладного её применения.
Спроектированная система позволяет накапливать статистическую информацию и
отображать её в виде графиков, которые могут быть использованы для отчётности и
последующего анализа.
Рисунок
1.38. График среднесуточных значений концентрации загрязняющих веществ в
атмосферном воздухе
Рисунок
1.39. График максимально разовых значений концентрации загрязняющих веществ в
атмосферном воздухе
2.
Экономическая часть
2.1 Введение в экономическую часть
Целью данной дипломной работы является проектирование системы
экологического мониторинга, которая, как и любой программный продукт, должна
оправдывать своё существование, то есть представлять интерес как с
экономической, так и с практической точки зрения.
В данном разделе подробно рассмотрим экономическую эффективность
разработанного продукта.
2.2 Определение затрат на создание
продукта
Себестоимость программного продукта вычисляется затратным методом,
затраты распределяются следующим образом:
· Материальные и капитальные затраты;
· Затраты на заработную плату;
· Затраты на социальные отчисления;
· Амортизация;
· Прочие затраты и накладные расходы.
Согласно [3] под материальными затратами понимают часть издержек
производства, затрат на производство продукции, товаров, услуг, в которую
включаются затраты на сырье, основные и вспомогательные материалы, топливо,
энергию и другие затраты, приравниваемые к материальным.
В
таблице 2.1 представлены материальные затраты, возникнут при реализации
программного продукта.
Таблица
2.1 Материальные затраты при реализации продукта
|
Товар
|
Цена ед., (руб.)
|
Кол-во
|
Общая сумма затрат (руб.)
|
|
Оборудование рабочего места (компьютерный стол и стул)
|
6340 [14, [15]
|
1
|
6340
|
|
Бумага для печати формата A4 (500 листов)
|
142 [13]
|
1 пачка
|
142
|
|
Итого:
|
6482
|
Капитальные затраты могут быть определены как любые затраты, понесенные
при создании, приобретении, расширении или усовершенствовании актива,
предназначенного для использования в компании[16].
Таблица
2.2. Капитальные затраты при реализации продукта
|
Товар
|
Цена ед., (руб.)
|
Кол-во
|
Общая сумма затрат (руб.)
|
|
Персональный компьютер
|
25562 (таблица 2.3, 2.4, литература [11, 10])125562
|
|
|
|
Итого:
|
25562
|
При расчете материальных затрат не учитывалась стоимость программного
обеспечения, т.к. проект можно реализовать на полностью бесплатном ПО.
Основными критериями выбора компьютера были: количество процессоров,
оперативная память, объём жёсткого диска, т.к. проектируемая система должна
обладать быстрым временем отклика и хранить большие объёмы данных. В таблице 3
приведены сводные характеристики моделей компьютеров.
Таблица
2.3. Сводная таблица по моделям компьютеров магазина «NbPlaza»[11]
|
Модель ПК / Характеристики
|
GC-517152
|
GC-559584
|
XTEND-76284
|
XTEND-89684
|
|
Процессор
|
Core i5-2600К
|
Core i7-2700К
|
Core i3-2130
|
Core i5-3570
|
|
Кол-во ядер процессора
|
4
|
4
|
4
|
4
|
|
ОЗУ
|
4 ГБ
|
4 ГБ
|
2 ГБ
|
8 ГБ
|
|
Жесткий диск
|
500 ГБ
|
500 ГБ
|
1000 ГБ
|
1000 ГБ
|
|
Цена
|
17 650 р.
|
19 900 р.
|
15 876 р.
|
21312 р.
|
Оптимальным выбором представляется модель XTEND-89684, которая имеет
4х-ядерный процессор Core i5-3570, что обеспечит высокую производительность и
позволит обрабатывать несколько запросов к серверу одновременно, 8Гб
оперативной памяти, что даст возможность держать часто запрашиваемые данные в
кэше для ускорения времени их обработки, 1000Гб жёсткого диска, который
позволить хранить большие объёмы данных.
В таблице 4 приведены сводные характеристики различных мониторов на
основании прайс-листов магазина «NbPlaza». Оптимальным выбором представляется
модель Samsung «S19C200BW», так как он имеет оптимальное соотношение сторон,
достаточно высокое разрешение и среднюю цену.
Таблица
2.4. Сводная таблица по мониторам компьютеров магазина «NbPlaza»[10]
|
Модель монитора / Характеристики
|
Samsung "SyncMaster S19C220B"
|
Samsung "S18B200BW"
|
Samsung "S19C201BR"
|
Samsung "SyncMaster S19B302B"
|
|
Размер экрана по диагонали
|
18.5''
|
19.0''
|
19.0''
|
18.5''
|
|
Соотношение сторон
|
16:9
|
16:10
|
5:4
|
16:9
|
|
Покрытие экрана
|
Матовое
|
Матовое
|
Матовое
|
Матовое
|
|
Рекомендуемое разрешение
|
1366 Ч 768
|
1440 Ч 900
|
1280 Ч 1024
|
1366 Ч 768
|
|
Цена
|
3 193 р.
|
4 255 р.
|
4 991 р.
|
3 245 р.
|
Далее, рассчитаем затраты на выплату заработной платы участникам работы:
научному руководителю, консультанту по экономическому разделу, консультанту по
разделу «Охрана труда и окружающей среды» и инженеру.
Годовой фонд времени научного руководителя и консультанта составляет 1550
часов [4], а средняя заработная плата доцента составляет 30000 рублей в месяц
[12], то есть 360000 рублей в год. Таким образом, стоимость одного
академического часа составляет 232 рубля. Затраты на оплату труда представлены
в таблице 2.5.
Таблица
2.5. Затраты на оплату труда участников работы
|
Должность
|
ЗП/час
|
Время работы
|
Затраты на ЗП (руб)
|
|
Научный руководитель
|
232
|
24 часа
|
5568
|
|
Научный консультант по экономическому разделу
|
232
|
2 часа
|
462
|
|
Научный консультант по разделу «Охрана труда и окружающей
среды»
|
232
|
2 часа
|
462
|
|
Инженер
|
30000[12]
|
4 месяца
|
120000
|
|
Итого:
|
2.3 Отчисления на социальные нужды
Отчисления на социальные нужды - обязательные отчисления предприятий во
внебюджетные социальные фонды. К ним относятся отчисления в пенсионный фонд
Российской Федерации (ПФР РФ), в фонд социального страхования (ФСС) и в фонды
обязательного медицинского страхования (ФОМС). Отчисления на социальные нужды
производятся за счет себестоимости продукции (т.е. относятся к затратам на
производство) по нормам, установленным в законодательном порядке, в процентах к
фактически начисленной сумме средств на оплату труда основного персонала[8].
С 1 января 2012 года вступили в силу изменения, внесенные в закон о
страховых взносах (N 212-ФЗ от 24 июля 2009 года) [19] . Согласно измененному
закону, на 2012 год установлены новые ставки взносов в процентном соотношении
от оплаты труда работников:
· взнос ПФР РФ составляет 22%;
· взнос ФОМС установлен на уровне 5.1%;
· взнос на социальное страхование равен 2.9%.
Таким образом, суммарный процент отчисления на социальные нужды для суммы
заработной платы до 512 тыс. руб. составляет 30%.
Рассчитаем размер затрат на ЕСН по формуле (2.1):
(2.1)
Таким
образом:
= 37294 руб.
2.4 Амортизационные отчисления
Амортизационные отчисления являются выражением физического износа
основных средств и потерей актуальности нематериальных активов. В данном случае
амортизируемым имуществом являются персональный компьютер и мебель,
нематериальным активом - программное обеспечение.
Амортизация вычисляется по линейному закону:

,(2.2)
где

амортизационные
отчисления (руб.),

-
первоначальная стоимость основного средства (руб.),

- срок
полезного использования основного средства (мес.),

-
количество месяцев фактического использования.
В
таблице 2.6 приведены расчеты амортизационных отчислений. Итоговая сумма
составляет 3192 рубля.
Таблица
2.6. Амортизационные отчисления
|
Основное средство
|
Стоимость основного средства (руб.)
|
Срок использования (мес.)
|
Срок полезного использования (мес.)
|
Амортизационные отчисления (руб.)
|
|
Персональный компьютер
|
25562
|
4
|
36
|
2840
|
|
Офисная мебель
|
6340
|
4
|
72
|
352
|
|
Итого:
|
|
|
|
3192
|
2.5 Прочие затраты
В эту группу затрат включаются транспортные расходы, расходы на мобильную
связь и услуги интернет провайдера, а также накладные расходы.
Накладные расходы - затраты, не связанные прямо с производством
отдельного изделия или вида работы и относимые на весь выпуск продукции[8].
Накладные расходы буду рассчитываться из расчета 200% от зарплаты, таким
образом, накладные расходы будут равны 248624 рубля. Таким образом, в таблице 7
представлен детальный отчет по неописанным выше затратам.
Таблица
2.7. Перечень неучтенных затрат
|
Товар
|
Цена ед/месяц, (руб.)
|
Количество (месяцев)
|
Общая сумма затрат (руб.)
|
|
Расходы на мобильную связь
|
500
|
4
|
2000
|
|
Итого:
|
2000
|
Таким образом, общая сумма расходов равна 253944 рублей за 4 месяца.
2.6
Затраты на создание продукта
Просуммировав описанные выше затраты мы получим общие затраты на создания
продукта. Детально расходы можно рассмотреть в таблице 2.8.
Таблица
2.8. Результирующая таблица расходов
|
Наименование статьи затрат
|
Сумма затрат ( руб.)
|
|
Материальные затраты
|
6482
|
|
Капитальные затраты
|
25562
|
|
Затраты на заработную плату
|
126492
|
|
Отчисления на социальные нужды
|
37294
|
|
Амортизация
|
3192
|
|
Прочие расходы
|
254984
|
|
Итого:
|
454006
|
В результате суммарные затраты на создания продукта равны 454006 рубля.
2.7 Цена разработанного продукта
При определении цены готового продукта необходимо заложить в цену
прибыль, норму прибыли примем равной 20%. Также при формировании конечной цены
на продукт необходимо учесть налог на добавленную стоимость (НДС), который
равен 18%. Стоимость продукта будет определяться по формуле (2.3) [3]:

(2.3)
где S - суммарные затраты на создание продукции, q - норматив
рентабельности, r - НДС.
Рассчитаем:
Цена конечного продукта будет составлять:
(2.4)
где

-
стоимость продукции;

-
количество организаций, которые могут купить разрабатываемое программное
обеспечение.
Таким
образом, цена будет равна: 
2.8 Оценка экономической эффективности
использования продукта
Капитальные вложения, связанные с внедрением в организации новой
программы, определим по формуле:
(2.5)
где:

-
капитальные вложения, связанные с расширением текущего парка ЭВМ компании
([5]);

- полный
фонд годового машинного времени одного сервера;

-
годовое машинное время сервера, необходимое для применения внедряемой системы.

= 642873
руб.- цена внедряемого продукта
Рассчитав
капитальные вложения, получим: 
руб.
Расходы,
связанные с эксплуатацией системы:

, (2.6)
где

руб. -
расходы на эксплуатацию[9];

- стоимость
машинного времени c учётом потребляемой энергии[11] и стоимостью кВт/ч
электроэнергии [17];

- срок
службы программы[7];

-
годовое машинное время сервера, необходимое для применения внедряемой системы.
Таким
образом, расходы, связанные с эксплуатацией, составят:

руб.
Таким
образом, эксплуатационный расход программной системы составляет 95012 рублей в
год.
Основной
целью работы данной системы является накопление данных, поддержание их
целостности и их автоматическая обработка. При самых минимальных оценках, если
в компании-клиенте есть только один аналитик и он тратит 45% своего времени на
работу, которую теперь выполняет данная система, то срок окупаемости системы
составит:

руб. -
эксплуатационный расход по базовому варианту решения задачи.
, (2.7)
годовая
экономия эксплуатационных средств.
Таким
образом, срок окупаемости капитальных вложений может быть рассчитан по формуле:
(2.8)
3.
Охрана труда и
окружающей среды
3.1 Введение
Любая деятельность, связанная со сбором, хранением, анализом больших
массивов статистических данных, не может обойтись без информационных
технологий. Процесс экологического мониторинга не является исключением. И
насколько бы ни был автоматизирован сам процесс, человек не исключается из него
полностью - идёт интенсивный диалог между пользователем и системой. Чтобы
данное взаимодействие проходило наиболее оптимальным путём, чтобы процесс
протекал наиболее эффективно, чтобы снизить вредное воздействие компьютерной
техники на человека, необходимо соблюдать соответствующие меры безопасности,
правильно организовать рабочее место, режим труда и отдыха.
Работа за компьютером часто связана с:
· значительным умственным напряжением;
· нервно-эмоциональной нагрузкой;
· высокой зрительной нагрузкой;
· неестественным положением корпуса тела;
· пониженной двигательной активностью.
Существенное значение для поддержания оптимальной рабочей позы имеет
рациональная организация рабочего пространства. Необходимо правильное
планирование режима труда и отдыха, иначе наблюдается повышенная утомляемость,
рост неудовлетворенности работой, раздражительность, ухудшение зрения,
нарушение сна. Снижению концентрации, увеличению процента ошибок может
способствовать недостаточный объём рабочего пространства, непродуманный режим
проветривания помещений. Факторов, влияющих на здоровье человека при работе с
компьютером, на эффективность работы - много. И их все необходимо принимать во
внимание.
3.2 Основная часть
Человек непрерывно взаимодействует с окружающей средой, его окружают
огромные потоки информации: он видит и слышит, чувствует запахи и прикосновения
- и так сложилось, что наиболее важным и информативным источником для человека
является зрение. Люди полагаются на зрение больше всего. Огромное количество
профессий крепко привязано к зрению - например, программист, который без зрения
просто потеряет работу. Зрение необходимо не только для полноценной работы, но
и для полноценной жизни. Именно поэтому мне кажется, что снижению зрительной
нагрузки при работе с компьютером следует уделять особое внимание. Остановимся
на данном пункте более подробно.
3.2.1 Освещённость
Плохая освещённость рабочего места является одной из основных причин
ухудшения зрения.
Недостаточность освещения:
· ослабляет внимание;
· приводит к наступлению преждевременной утомлённости.
Чрезмерно яркое освещение:
· вызывает ослепление;
· раздражение и резь в глазах;
· приводит к наступлению преждевременной утомлённости.
Неправильное направление света на рабочем месте может создавать резкие
тени, блики, что также утомляет зрительный аппарат.
Существует три вида освещения: естественное, искусственное и совмещённое.
Естественное освещение - освещение помещений дневным светом, проникающим
через световые проемы в наружных ограждающих конструкциях помещений.
Естественное освещение характеризуется тем, что меняется в широких пределах в
зависимости от времени суток, времени года и ряда других факторов.
Искусственное освещение применяется на работе ночью и днем, когда не
удается обеспечить нормированные значения коэффициента естественного освещения
(пасмурная погода, короткий световой день).
Искусственное освещение бывает трёх видов:
· рабочее;
· аварийное;
· эвакуационное.
Освещение, при котором недостаточное по нормам естественное освещение
дополняется искусственным, называется совмещённым.
Рабочее освещение может быть общим или комбинированным.
Общее - освещение, при котором светильники размещаются в верхней зоне
равномерно или применительно к расположению оборудования.
Комбинированное - освещение, при котором к общему добавляется местное
освещение.
Согласно СНиП II-4-79 в помещениях вычислительных центров необходимо
применять систему комбинированного освещения.
Рабочие места по отношению к световым проёмам должны располагаться так,
чтобы естественный свет падал сбоку, преимущественно слева. В качестве
источников искусственного освещения обычно применяются лампы типа ЛБ или ДРЛ.
Они попарно объединяются в светильники, которые размещаются над рабочими
поверхностями равномерно. В физике освещённость определяется как отношение
светового потока на единицу поверхности:
. (3.1)
Единицей измерения освещённости в системе СИ служит люкс (лк).
Световой поток можно рассчитать по формуле:
. (3.2)
· Ц - рассчитываемый световой поток;
· E - нормированная минимальная освещённость (лк). Определяется
по таблице. Работу программиста в соответствии с этой таблицей можно отнести к
разряду точных работ, следовательно, минимальная освещённость будет 300 лк;
· S - площадь освещаемого помещения;
· Z - отношение средней освещённости к минимальной (обычно
принимается равным 1.0, 1.1, 1.2);
· K - коэффициент запаса, учитывающий уменьшение светового
потока лампы в результате загрязнения светильников в процессе эксплуатации (его
значение зависит от типа помещения и характера проводимых в нем работ);
· n - коэффициент использования (выражается отношением
светового потока, падающего на рабочую поверхность, к суммарному потоку всех
ламп и исчисляется в долях единицы; зависит от характеристик светильника,
размеров помещения, окраски стен и потолка, характеризуемых коэффициентами
отражения от стен и потолка).
Требования к освещению в помещениях, где установлены компьютеры,
следующие: при выполнении зрительных работ высокой точности общая освещённость
должна составлять не менее 300 лк, комбинированная - 750 лк. Аналогичные
требования для выполнения работ средней точности - 200 и 300 лк соответственно.
Кроме того все поле зрения должно быть освещено равномерно - это основное
гигиеническое правило. Так же рекомендуется, чтобы потолок отражал 80-90%,
стены 50-60%, панели 15-20%, пол 15-30% падающего на них света.
3.2.2 Выбор монитора
К выбору монитора нужно подходить очень серьёзно, потому что он является
основным звеном безопасности в настольной вычислительной системе. Если низкая
производительность процессора, замедляя работу, вызывает у пользователя всего
лишь чувство раздражения, то плохой монитор может стать реальной угрозой его
здоровью, в то время как монитор высокого качества благодаря хорошим
техническим показателям и низкому уровню электромагнитных излучений повышает
продуктивность работы, предотвращает зрительное утомление, усталость, головные
боли.
Для снижения утомления рекомендуют располагать экран монитора немного
выше уровня зрения так, чтобы уровень глаз приходился на центр экрана или 2/3
его высоты. Это создает разгрузку тех групп мышц, которые напряжены при обычном
взоре - вниз и вперед.
Среди характеристик монитора, существенно влияющих на зрение, можно
выделить следующие: диагональ, разрешение, частота смены кадров, цветовые
возможности.
При выборе диагонали следует руководиться функциональным назначением
монитора. В быту, в офисах чаще всего используются 15-дюймовые мониторы; в
сферах бизнеса и производства - 17-дюймовые (дополнительные 2 дюйма диагонали
по сравнению с 15 дюймами дают увеличение видимой площади на 28%); для
профессиональной графической работы используются мониторы высшего класса с
диагональю 19 дюймов и выше, что позволяет одновременно отобразить разворот
двух страниц формата А4 почти в натуральную величину.
Следующей важной характеристикой монитора является его разрешение. Чем
больше количество пикселей, тем меньше зернистость, тем меньше напрягается
зрение. Считается, что для 15-дюймовых мониторов достаточно разрешения 800х600,
для 17-ти - 1024х768, больших мониторов - выше 1280х1024.
Недостаточная частота смены кадров так же утомляет зрение. Для
современных ЖК-мониторов комфортной частотой является 60Гц.
Существенное значение имеет правильная настройка монитора. Монитор должен
иметь хорошее контрастное соотношение, каким считается 120:1, что обеспечивает
воспроизведение живых насыщенных цветов. Контрастность монитора определяется
отношением между самым ярким белым и самым ярким черным цветом.
3.2.3 Соблюдение режима труда и отдыха
Все работы за компьютером делятся на три категории:
· эпизодическое считывание и ввод информации или работа в
режиме диалога (не более двух часов за 8-часовую рабочую смену) - группа А.
· эпизодическое считывание с предварительным запросом не более
40 тысяч знаков и ввод информации не более 30 тысяч знаков или творческая
работа в режиме диалога не более четырех часов работы за 8-часовую смену -
группа Б.
· считывание информации с предварительным запросом более 40
тысяч символов, или ввод информации более 30 тысяч знаков, или творческая
работа в режиме диалога более четырех часов за 8-часовую рабочую смену - группа
В.
Исходя из группы, в которую попадает работу, можно выделить три категории
тяжести работы:
Таблица
3.1. Уровни нагрузки за рабочую смену
|
Категория работ
|
Уровень нагрузки за рабочую смену
|
|
группа А, кол-во знаков
|
группа Б, кол-во знаков
|
группа В, час
|
|
I
|
до 20000
|
до 15000
|
до 2,0
|
|
II
|
до 40000
|
до 30000
|
до 4,0
|
|
III
|
до 60000
|
до 40000
|
до 6,0
|
При 8-часовой рабочей смене и работе с ПК регламентированные перерывы
следует устанавливать:
· для 1 категории работ через 2 часа от начала смены и через 2
часа после обеденного перерыва продолжительностью 15 минут каждый;
· для II категории работ - через 2 часа от начала рабочей смены
и через 1,5-2,0 часа после обеденного перерыва продолжительностью 15 минут
каждый или продолжительностью 10 минут через каждый час работы;
· для III категории работ - через 1,5-2,0 часа от начала
рабочей смены и через 1,5-2,0 часа после обеденного перерыва продолжительностью
20 минут каждый или продолжительностью 15 минут через каждый час работы.
Заключение
В данной дипломной работе была спроектирована система экологического
мониторинга. Цель была достигнута путём выполнения последовательности шагов.
Выполнен анализ предметной области, выявлены бизнес-процессы, протекающие в
ней, составлена схема программы экологического мониторинга, определены
функциональные требования к системе, к её основным компонентам. В процессе
выполнения дипломной работы был обработан большой массив неструктурированной
входной информации - результатом данного процесса стала схема базы данных. Так
как анализ проводился в условиях большой неопределённости, структура базы
данных была создана максимально гибко для обеспечения возможности её
использования при появлении ранее не учтённых факторов без изменения структуры
базы данных, например, при появлении новой характеристики отобранной пробы. Был
разработан прототип интерфейса, продумана его структура. В конце основной части
были приведены примеры практического использования спроектированной системы.
В части охраны труда и окружающей среды было рассмотрено отрицательное
воздействие длительной работы за компьютером на зрительный аппарат, вредные
факторы, лежащие в основе данного воздействия - плохое освещение, неправильный
подход к выбору и настройке монитора. Затем, были даны рекомендации по снижению
отрицательного воздействия компьютера на зрение: подбор оптимального значения
освещённости, расположения рабочих мест относительно источников света,
расположения монитора. Описаны характеристики монитора, которыми следует
руководствоваться при его выборе в зависимости от функционального назначения.
Даны указания по организации режима труда и отдыха в зависимости от характера
работы.
В результате предложенных мероприятий чрезмерную нагрузку на зрение можно
свести к минимуму, улучшить самочувствие оператора, производительность и
качество работы как следствие. Учитывая перспективу длительной многолетней
работы IT- специалиста с компьютером, даже небольшое снижение отрицательных
воздействий окажет значительный кумулятивный эффект и позволит сохранить
здоровье и трудоспособность на долгие годы.
Любой проект должен быть эффективным с точки зрения экономики. Поэтому
была проведена оценка экономической эффективности разработки дипломного
проекта, в ходе которой выяснилось, что проект экономически эффективен и имеет
окупаемость 3 года.
Таким образом, разработанный проект является актуальным и имеет
перспективы для поддержки и для дальнейшего развития в будущем.
экологический мониторинг программа
Список использованных источников
1. Березин В.М., Дайнов М.И. Защита от вредных
производственных факторов при работе с ПЭВМ. Учебное пособие. Изд-во МАИ, 2003
г.
2. Бобков Н.И. Голованова Т.В. Охрана труда на ВЦ:
Методические указания к дипломному проектированию. Изд-во МАИ,1995 г.
. Вдовин В.А. Дегтярев А.В., Оганов В.А.
Экономическая эффективность разработки информационных систем и технологий.
Учебное пособие. - М.: Доброе слово, 2006
. Годовой рабочий фонд преподавателя.
. Капитальные вложения, связанные с раширением
текущего парка. - Мосэкомониторинг
. Срок службы программы.
. Райзберг Б.А., Лозовский Л.Ш., Стародубцева Е.Б.
Современный экономический словарь. - 5-е изд., перераб. и доп. - М.: ИНФРА-М,
2006
. Расходы на экслуатацию
. Свобдная таблица стоимости мониторов
. Сравнительная характеристика моделей компьютеров
. Средняя зарплата инженера по Москве
. Стоимость бумаги 500 А4 "Снегурочка"
. Стоимость компьютерного стола
. Стоимость компьютерного стула
. Капитальные затраты
. Стоимость электроэнергии
. Федеральный закон «Об охране окружающей среды» (№
7-ФЗ от 10.02.2002).
. Федеральный закон от 24.07.2009 № 212-ФЗ (ред. от
29.02.2012) «О страховых взносах в Пенсионный фонд Российской Федерации, Фонд
социального страхования Российской Федерации.