Разработка проекта организации усиленного капитального ремонта пути

  • Вид работы:
    Курсовая работа (т)
  • Предмет:
    Транспорт, грузоперевозки
  • Язык:
    Русский
    ,
    Формат файла:
    MS Word
    95,07 Кб
  • Опубликовано:
    2013-12-25
Вы можете узнать стоимость помощи в написании студенческой работы.
Помощь в написании работы, которую точно примут!

Разработка проекта организации усиленного капитального ремонта пути

Введение

Железнодорожные дороги Российской Федерации являются важным элементом единой транспортной системы страны, развитию которой придается большое значение, они покрывают своей сетью всю территорию нашего государства от западных границ до его восточных рубежей.

Первая в России железная дорога общего пользования была построена в 1837 году между Санкт-Петербургом и Царским Селом (Царскосельская железная дорога). По этой дороге 30 октября 1837 года прошел первый поезд из 8 вагонов, преодолевший 21 версту (22,4 км) за 35 мин, т.е. со средней скоростью около 40 км/ч.

С той поры в России развернулось интенсивное железнодорожное строительство.

В настоящее время протяженность Российских железных дорог составляет 86 тыс.км, в том числе двухпутных или многопутных линий - 37,7 тыс.км, электрифицированных - 39,2 тыс.км, оборудованных устройствами автоблокировки и диспетчерской централизации - 62,7 тыс.км.

По протяженности электрифицированных линий российские железные дороги занимают первое место в мире.

Железные дороги России перевозят 88% угля, 94% руды, 88% черных металлов, 79% удобрений, 66% лесных грузов и т. д. Доля перевозок железнодорожным транспортом страны в общем, объеме грузооборота превысила 82%.

В отраслевой системе железнодорожного транспорта одно из важнейших мест занимает путевое хозяйство, основные фонды которого составляют свыше 52% основных фондов железных дорог страны. В общей стоимости основных фондов путевого хозяйства более 26% приходится на земляное полотно, почти 46% - на верхнее строение пути, около 22% - на искусственные сооружения.

Путевое хозяйство - отрасль, где потенциал надежности создается десятилетиями, на основе долгосрочных программ и дорогостоящих технических мероприятий. Вложенные средства дают отдачу в течение многих лет. Вместе с тем несвоевременное вложение средств содержание хозяйства быстро приводит к значительным потерям и на восстановление потребуется несравненно больше ресурсов, чем при ритмичной работе.

Первейшая задача путевого хозяйства при ограниченных финансовых ресурсах - создать условия для надежной работы пути и тем самым обеспечить освоение запланированного объема перевозок с надлежащей ритмичностью и безопасностью движения.

Для решения стоящих перед путейцами задач была разработана целевая программа повышения эффективности функционирования путевого хозяйства (приказ 12Ц МПС РФ от 16.08.94 г.).

После выхода «Положения о системе ведения путевого хозяйства на железных дорогах Российской Федерации» (указание № С1806 от 06.11.2001 г.) эта программа была скорректирована с учетом сложившейся экономической ситуации. В настоящее время её основной задачей является ведение путевого хозяйства на основе ресурсосбережения по трем основным направлениям:

повторное использование материалов верхнего строения пути;

применение ресурсосберегающих технологий;

использование новых эффективных и перспективных конструкций верхнего строения пути и внедрение новой техники и технологий.

Эти направления тесно связаны друг с другом. При повторном использовании материалов верхнего строения пути принимаются новые технические и технологические решения, которые реализуются, как правило, с применением прогрессивных высокопроизводительных машин нового поколения, как отечественных, так и зарубежных.

Ресурсосбережение в основном сводится к продлению сроков службы

элементов верхнего строения пути (рельсов, скреплений, шпал и балласта); экономии материалов за счет их более рационального использования и внедрения более производительных технологий с целью экономии людских ресурсов и времени.

Продление срока службы рельсов, как основного элемента верхнего строения пути имеет решающее значение.

Реализация этой задачи имеет ряд основных направлений:

сохранение старогодных рельсовых плетей с их последующей многоступенчатой перекладкой после наработки соответствующего тоннажа;

шлифовка рельсов в пути (причем как новых, сразу после укладки, так и старогодных после перекладки);

глубинная шлифовка (либо строжка) старогодных рельсов в рельсосварочных предприятиях;

ремонт старогодных рельсов после наработки определенного тоннажа в стационарных условиях (РСП);

перекладка рельсов в кривых с допустимым боковым износом с внутренней нитки на наружную (смена рабочего канта), либо из прямой в кривую;

наплавка рельсов в пути (наплавка конусов рельсов, либо наплавка в зоне дефектов);

лубрикация (смазка) рельсов в кривых.

Решение поставленных задач требует использование всего потенциала имеющихся технических средств, внедрения новых технологий и оборудования, а также четкого соблюдения межремонтных сроков.

Стратегической задачей в деле продления сроков службы рельсов является наиболее широкое внедрение бесстыкового пути, в том числе в районах Урала и Сибири.

Внедрение бесстыкового пути позволит сократить в 1,5 - 2 раза расходы на его текущее содержание и снизить на 25 - 35% эксплутационные расходы за счет снижения удельного сопротивления движению поезда, а главное открывает широкую перспективу многократного использования элементов верхнего строения пути.

В значительной степени это обеспечивается соответствующим качеством балластного слоя. Его толщина, состав, степень уплотнения, загрязненность - все эти показатели влияют на стабильность положения рельсовых нитей в профиле и плане.

Постоянные досыпки нового балласта при сложившейся за многие годы технологии проведения капитального ремонта пути привели к накоплению огромного количества балластных материалов под подошвой шпал и за пределами балластной призмы. Замеры показали, что толщина слоя балласта местами достигает 60-70 см. Центробежный способ очистки балласта на глубину от 5 до 20 см привел к тому, что засорители, а их по расчетам в балласте до 38% от объема проникают внутрь балластной призмы. Качество очистки балласта сетчатыми лентами невысокое - до 20% засорителей остается в балласте. Как следствие большое количество выплесков и неэффективная работа выправочного комплекса, что приводит к дополнительным затратам и ухудшению работы пути в целом.

В 1987 году было принято решение о начале эксплуатации машин для глубокой очистки балласта. Глубина очистки составляет в среднем 400 - 500 мм под подошвой шпалы. Максимальная глубина - до 900 мм. Основным преимуществом машин с активным выгребным органом (баровая цепь) и грохотом для очистки балласта можно считать качество очистки - 3-8% засорителей в сухом балласте после очистки.

Так же большим шагом вперед можно считать возможность уборки с перегона засорителей на спецсостав.

К недостаткам следует отнести очень низкую производительность -

-80 м пути в час «окна», что сказывается на разработке технологических процессов и выброс в засорители фракции балласта более 60 мм и менее 25 мм в зависимости от конструкции применяемых виброгрохотов.

С учетом выброса засорителей после прохода машин для глубокой очистки путь оседает, что рационально использовать при необходимости понижения отметок головки рельса.

В связи с необходимостью: оздоровления, усиления ВСП, особенно на участках с интенсивным движением. По приказу 12Ц была предусмотрена новая классификация ремонтных работ, по назначением усиленного капитального ремонта. Предусматривает использование только новых материалов верхнего строения пути с применением глубокой очистки балласта на глубину не менее 45 см под подошвой шпалы, укладкой геотекстиля или пенополистирола на основной площадке земляного полотна или в качестве разделительного слоя в балластной призме.

В целях ресурсосбережения подобная технология должна предусматривать «спасение» или сохранение плетей, высокопроизводительные технологии смены плетей в комплексе ремонтных работ и проведения комплексов, сопутствующих с применением высокопроизводительных цепочек.

На железных дорогах России в последнее время освоена технология наращивания рельсовых плетей сваркой в пути длиной до 5 км с применением гидравлических приспособлений и принудительного нагрева рельсов.

Как показывает опыт промышленно развитых зарубежных стран будущее за высокоскоростными магистралями, позволяющими преодолевать большие расстояния в кратчайшие сроки, тем самым, создавая жесткую конкуренцию авиационному транспорту по перевозке пассажиров. В Российской Федерации в конце XX и вначале XXI веков ведутся работы по созданию участков движения со скоростями, превышающими 200 км/час (линия С.Петербург - Москва Октябрьская ж.д.). В этих условиях повышенные требования предъявляются к безопасности движения поездов. Вводятся новые, более жесткие нормы, как к подвижному составу, так и к железнодорожному пути.

Создание в 2003 году ОАО «Российские железные дороги» вызвало к жизни новые повышенные требования, в том числе и к путевому хозяйству.

По расчетам, к 2007 г. на основных грузовых направлениях сети грузонапряженность возрастет с 44, млн.т. брутто на 1 км в год (2002 г.) до 59, и на них будет сосредоточено 67% объема перевозок. При этом на 10% должны быть повышены технические скорости движения грузовых поездов. Для решения поставленной задачи на этих направлениях необходимо полностью ликвидировать просрочку по усиленному капитальному ремонту пути, оздоровив к 2007 г. 16 тыс. км или, начиная с 2004 г., по 4 тыс. км в год. На остальных путях I и II классов ежегодный объем усиленного капитального ремонта необходимо планировать на уровне до 900 км в год, что позволит не увеличивать просроченность в условиях роста грузонапряженности.

Для обеспечения указанных объемов ремонта выпуск железобетонных шпал предусмотрено увеличить к 2006 г. с 4,8 до 5,1 тыс.км в год, продолжить реализацию программ по строительству цехов сборки рельсошпальной решетки, дооснащению рельсосварочных поездов и щебеночных заводов.

Для ведения ремонтных работ на участках основных направлений необходимо доукомплектовать путевой техникой и персоналом 60-70 путевых машинных станций до регламентного уровня, полностью освободив от ремонта дистанции пути.

В целях концентрации ремонтных работ на наиболее ответственных и напряженных участках сети следует создать 3-5 мобильных ПМС, находящихся в оперативном подчинении Компании и работающих в тандеме с колоннами высокопроизводительной техники, которые предусмотрено образовать в составе заводов «Ремпутьмаш».

Министерством путей сообщения РФ в 2001 г. принята стратегия. Реконструкции и усиления земляного полотна на период до 2015 г., а в 2003 г. - стратегия реконструкции искусственных сооружений на период до 2007 г. Это позволит полностью заменить металлические пролетные строения старых расчетных норм к 2009 г. и к 2010 г. укрепить деформирующиеся участки земляного полотна на основных направлениях.

В связи с ростом интенсивности работы пути планируется пересмотреть зоны обслуживания низовых подразделений и административные границы дистанций.

Планируется создать стандарт мониторинга пути, увязывающего в единый комплекс все звенья этого процесса, и использования его результатов соответствующими уровнями управления путевым комплексом.

Коллегией МПС утверждена Генеральная схема размещения специализированных предприятий по дорогам. На этих предприятиях предусматривается специализация ремонтного производства по группам однотипных машин с максимальным использованием внутри- и междорожной кооперации, размещение сервисных центров заводов-изготовителей техники имеющих неснижаемый запас соответствующих деталей.

Развитие путевого комплекса должно опережать или, по крайней мере, быть синхронизировано по времени и полигонам сети с мероприятиями по повышению объемов перевозок, скоростей движения, увеличению веса поезда и др., так как только при этих условиях может быть получена полная отдача от средств, вкладываемых в другие хозяйства Компании.

1. Обоснование необходимости проведения усиленного капитального ремонта пути

1.1 Критерии назначения усиленного капитального ремонта пути

Таблица 1.1. Критерии выбора участков, подлежащих усиленному капитальному ремонту

Класс

Основные критерии

Дополнительные критерии


Одиночный выход рельсов( в сумме за срок службы-в среднем на участке ремонта),  шт/км*

Количество негодных и дефектных элементов на 1 км верхнего строения пути

Пропу-щенный тоннаж, % ***



Негодные шпалы, %

Негодные скрепления, % **

Кол-во шпал с выплесками, %


1 класс

4 и более

15

15

4

100

2 класс

6 и более

18

20

5

100


* Одиночный выход рельсов, а также количество дефектных рельсов определяется без учета выхода рельсов по боковому износу в кривых, а на участках бесстыкового пути - и без учета выхода рельсов уравнительных пролетов; ** На пути с железобетонными шпалами подсчитывается суммарный процент подкладок и закладных болтов, на пути с деревянными шпалами - подкладок, костылей и противоугонов, при этом, процент негодных костылей и противоугонов учитывается с коэффициентом 0,6. Пример. На звеньевом пути негодных подкладок - 20%, костылей - 15), противоугонов - 10%. Следовательно, сумма процентов негодных элементов составит: 20+(15х0,6)+(10х0,6)=35% *** По таблице 2.4 или 2.5 определяется нормативный срок службы в пропущенном тоннаже с учетом понижающих или повышающих коэффициентов или срок службы в годах

Примечания:

. Процент негодных элементов скреплений определяется выборочным порядком путем детального обследования на каждом километре скреплений на двух 25-метровых звеньях (на бесстыковом пути - на двух отрезках длиной по 25м), произвольно выбранных в начале и середине плети (вне уравнительных рельсов).

. Если приведенные в таблице дополнительные критерии по количеству дефектных и негодных шпал и скреплений, выплесков окажутся меньше табличных на 1/3 и более, то вместо усиленного капитального ремонта пути может быть назначена сплошная смена рельсов, сопровождаемая сопутствующими работами в объеме подъемочного или среднего ремонта.

. Участки пути, ограничение скорости, на которых введено в приказ начальника дороги, рассматриваются в качестве основного критерия.

Таблица 1.2.Среднесетевые нормы периодичности выполнения усиленного капитального и капитального ремонтов пути и схемы промежуточных видов ремонто-путевых работ на участках, где был выполнен усиленный капитальный и капитальный ремонт пути с соблюдением требований [ППР-94].

Класс, группа и категория пути

Периодичность выполнения усиленного капитального и капитального ремонта пути, млн.т/годы

Виды путевых работ и очередность их выполнения за межремонтный цикл


Бесстыковой путь

Звеньевой путь на деревянных шпалах


 1Б1; 1Б2; 1Б3; 2Б4; 2Б5

700

600

(УК) ВСВ (УК)


14001


(УК) ВСВ (РУС) ВСВ (УК)

1В1;1В2; 2В3;2В4

700

600/18

(УК) ВВСВП (УК)

1Г1; 2Г2;2Д1

1 раз в 30 лет

1 раз в 18 лет

(УК) ВВСВП (УК)

3Б6

700

600

КВСВК

3В5; 3В6

700

600/18

КВВСВПК

3Г3; 3Г4; 3Г5;3Г6

700/352)

1 раз в 18 лет

КВВСВПК

3Д2;3Д3; 3Д4;3Е1; 3Е2;3Е3

1 раз в  35 лет2)

1раз в 18 лет

КВВСВПК

4Д5;4Д6; 4Е4;4Е5; 4Е6

1раз в  35 лет

1 раз в 20 лет

КВВСВПК

5

1 раз в 40 лет

1 раз в 25 лет

КПСПК

На участках с грузонапряженностью более 50 млн.км бр. допускается после наработки тоннажа(700 млн. т. бр) вместо усиленного капитального ремонта пути производить сплошную смену рельсов, сопровождаемую средним ремонтом пути. На линиях федерального значения - 1 раз в 30 лет

Примечания:

. Нормативные сроки увеличиваются:

на участках, где при ремонте пути был уложен подбаластный разделительный слой - на 10%;

на участках где уложены промежуточные скрепления с пружинными клеммами - на 10 %.

. Нормативные сроки уменьшаются:

на участках со скоростями движения грузовых поездов более 60 км/ч, на которых средняя осевая нагрузка превышает 190 кН - на5%, а 210 кН - на 10%;

при невыполнении работ по систематической периодичности шлифовке рельсов на путях 1,2 и 3 классов в период между усиленным капитальным (капитальными) ремонтами пути - на 20%. При неполном выполнении работ по шлифовке за каждую невыполненную шлифовку (n) нормативные сроки уменьшаются на величину (20/NШ)n, где N - число шлифовок)

на участках, расположенных в пределах 200 км от мест загрузки маршрутов углем, рудой, удобрениями, торфом - на1% от каждого млн.тонн в год перевозимых сыпучих грузов(торфа - от каждых 0,3 млн.т), но в сумме не более 15%;

на участках применения рекуперативного торможения - на 15%.

Суммарное уменьшение нормативных сроков при совпадении перечисленных факторов не должно превышать 25 % при исчислении нормативной наработки по тоннажу. Для полигона путец с нормативным сроком службы, исчисляемым в годах, проценты уменьшения или увеличения нормативного срока по пунктам 1 и 2 не применяются.

Условные обозначения, применяемые в таблице 1.2.

УК - усиленный капитальный ремонт пути;

РС - сплошная смена рельсов в период между усиленным капитальными ремонтами бесстыкового путина участках с грузонапряженностью более 50 млн.т км бр/км год, сопровождаемая работами в объеме среднего(или усиленного среднего)ремонта пути;

К - капитальный ремонт пути;

УС - усиленный средний ремонт пути;

С - средний ремонт пути;

П - подъемочный ремонт пути;

В - планово предупредительная выправка пути.

Таблица 1.3.Среднесетевые нормы периодичности выполнения усиленного капитального и капитального ремонтов пути для определения их потребности при перспективном и текущем планировании на участках, где ранее был выполнен капитальный ремонт с неполным использованием ресурсосберегающих технологий [в соответствии с ППР-94]

Класс, группа и категория пути

Периодичность выполнения усиленного капитального и капитального ремонтов пути, млн.т/годы


Бесстыковой путь

Звеньевой путь

1

2

3

1Б1 - 1Б3; 2Б4; 2Б5

700

600

1В1; 1В2; 2В3; 2В4

700/28

600/18

1Г1; 2Г2; 2Д1

1 раз в 28 лет

1 раз в 18 лет

3Б6

850

750

3В5; 3В6

850/30

750/18

3Г3 - 3Г6 3Д2 - 3Д4; 3Е1 - 3Е3

1 раз в 30 лет

1 раз в 18 лет

4Д5; 4Д6; 4Е4 - 4Е6

1 раз в 35 лет

1 раз в 20 лет

5Б7;5В7; 5Г7;5Д7;5Е7

1 раз в 40 лет

1 раз в 25 лет

Примечания:

. Промежуточные виды ремонтов - аналогично таблице 1.2.

. Периодичность выполнения капитального и других видов ремонта пути в увеличиваются на участках, где уложены рельсы Р75 - на 15%;

. Нормативные сроки уменьшаются:

(то же, что в пункте 2, примечания к таблице 1.2.);

на главных путях, на которых уложен щебеночный балласт из слабых пород - на 20%;

при суммарной толщине слоя очищенного и вновь добавленного щебня под шпалой менее 25 см на деревянных и 30 см на железобетонных шпалах - на 15%; при толщине этого слоя менее 15см - на 25%;

при средней длине рельсовой плети на участках бесстыкового пути менее 500 м - на 10%, от 501 до 700м - на 5%.

Суммарное уменьшение нормативных сроков при совпадении перечисленных факторов не должно превышать 30%.

Для полигона путей с нормативным сроком службы, исчисляемым в годах, проценты увеличения или уменьшения нормативных сроков по пунктам 2 и 3 не применяются.

. На участках, где ранее были уложены старогодные рельсы, нормативный срок службы рельсов определяется в зависимости от вида их ремонта перед повторной укладкой в соответствии с Указаниями об использовании старогодных рельсов на железных дорогах МПС России. При этом, если до достижения нормативного срока усиленного капитального ремонта пути выход рельсов превышает нормативное значение, указанное в таблице 1.1, то допускается проведение сплошной смены рельсов, совмещаемой с одним из видов промежуточного ремонта.

Для участков пути с неупрочненными рельсами типа Р65 нормативные сроки уменьшаются: со скоростями движения поездов 80 км/ч и менее - 30%; более 80км/ч, а также с рельсами Р50 и легче - на 50%. Проценты уменьшения нормативных сроков п.3 настоящих примечаний в этих случаях не применяются.

1.2 Анализ состояния верхнего строения пути по данным рельсошпалобалластной карты (РШБК) и результатам натурных осмотров

На чертеже представлена рельсо-шпально-балластная карта. Путем условных обозначений дана техническая характеристика главнейших элементов верхнего строения пути, а также сведения о выполненных ремонто-путевых работах по состоянию на первое января каждого года. Карту составляют отдельно по каждому главному пути для каждого из направлений дистанций.

Графу «Грузонапряженность» определяют по данным отчетной формы ЦО-4 делением грузооборота для каждого направления двухпутного участка на развернутую длину в километрах каждого направления.

В графе «Установленная скорость» показана максимальная допускаемая скорость на участке пассажирских и грузовых поездов с локомотивами ведущих серий согласно приказа начальника дороги.

В графе «Профиль и план линии» вычерчиваем условный профиль и план линии с указанием протяженности площадок, спусков и подъемов в метрах, их уклонов в профиле, протяженности прямых и кривых участков пути в метрах и радиусов кривых, места расположения искусственных сооружений.

В графе «Километры» черной стрелкой показывают места установленных рельсосмазывателей.

Графа «Пропущенный по рельсам тоннаж». Пропущенный тоннаж в млн. тонн получают суммированием ежегодной грузонапряженности за время работы рельсов в пути.

Раздел «Рельсы» составляют на основании данных рельсовой книги форма ПУ-2, журнала учета дефектных рельсов лежащих в пути главных и приемо-отправочных форма ПУ-2а, отчета о работе и показателях использования подвижного состава по отделению форма ЦО-4, или на основании данных, полученных с натуры. Качественные характеристики рельсов в таблице показаны ленточными графиками установленного цвета и соответствующей ширины.

В верхней части графы «Тип рельсов» ленточного графика красного цвета, двумя черными волнистыми линиями указан бесстыковый путь из рельсов с термической обработкой; одной волнистой линией - рельсы длиной 25м с термической обработкой; двумя тонкими прямыми линиями - бесстыковый путь из рельсов без термической обработки; косой штриховой линией выделены рельсы первой группы.

Также проставляют завод - изготовитель и год укладки. Начальная буква обозначает наименование металлургического комбината или завода. Год укладки указывают двумя последними цифрами года Т-94.

Число замененных в одиночном порядке остродефектных и дефектных рельсов дробью: в числителе - за отчетный год, в знаменателе - сначала эксплуатации рельсов данного типа и года укладки

Раздел «Шпалы» заполнен на основании книги учета шпал, лежащих в пути /ор. ПУ-6/. Дополнительно используются данные из книги учета стрелочных переводов и глухих пересечений лежащих в пути /ор. ПУ-6/, книги большого и среднего моста /ор. ПУ-12/, тоннельной книги /ор. ПУ-72а/, книги малых искусственных сооружений /ор. ПУ-13/.

В графе «Эпюра шпал» по километрового ленточного графика по окраске соответствующей эпюре для данного километра пути наносим одну горизонтальную линию черного цвета (наличие шпал второго срока службы).

В графе «Количество» указано число новых шпал, уложенных на данном километре в отчетном году (красным цветом).

Раздел «Балласт» составлен на основании данных, полученных с натуры, а также данных лабораторного анализа проб балласта, отобранных из пути.

Род балласта в сочетании с толщиной балластного слоя (в см) и загрязненность балласта (в %) показаны масштабными графиками установленного цвета и ширины.

В дистанции пути карта составляется в двух экземплярах, один из которых представляется в Службу пути для дальнейшего использования при составлении плана по ремонтам пути - усиленного капитального.

В данном случае проанализирован участок пути Юго-Восточной ж.д.направления Мичуринск - Грязи Кочетовской дистанции пути перегон Никольское - Избердей двухпутный 422кмПК9 434кмПК9.

Участок пути Никольское - Избердей двухпутный:

имеет класс пути 1В2, с грузонапряженностью 29,6 м.т.брутто в год , пропущенный тоннаж с 422кмПК9 по 431кмПК6- 355,2 м.т.брутто, с 431кмПК6 по 435кмПК9-325,6 м.т.брутто. Год последнего капитального ремонта с 422кмПК9 по 431кмПК6 - 1994 г, с 431кмПК6 по 435кмПК9 - 1995 г. С 422кмПК9 по 435кмПК9 - 25 метровые рельсы на деревянных шпалах.

Эпюра 1840, дефектность деревянных шпал 10-13 % на километре. Балласт - щебень, загрязненность до 20%. Установленная скорость - 100/80 км/час пассажирским и грузовым поездам.

Участок двухпутный, электрифицирован, оборудованный автоблокировкой, четный путь справа по ходу километров, 1 класса.

Ремонтируется главный чётный путь.

Обращающиеся локомотивы:

грузовых поездов - ВЛ-80с; пассажирских поездов - ЧС-4т.

Наибольший уклон на участке - 8,1‰.

Количество пар поездов в сутки - 84

На участке допускаемые скорости:

до ремонта:

пассажирских поездов 100км/ч, грузовых - 80км/ч;

после ремонта:

пассажирских поездов - 120км/ч, грузовых - 80км/ч;

Длина ремонтируемого участка 13км. Протяженность кривых по четному пути 4км-30%. Минимальный радиус кривых по четному пути 2028 м.

Верхнее строение пути до ремонта:

рельсы типа Р-65, 25-ти метровые;

накладки 4-х дырые;

скрепление костыльное;

эпюра шпал в прямых и кривых радиусом:

более 1200 - 1840 шт./ км;

и менее - 2000 шт./ км;

противоугоны пружинные.

.3 Анализ геометрии рельсовой колеи по данным проходов вагонов-путеизмерителей за период с ноября 2005 по апрель 2006года

В соответствии с приказом [МПС № 12Ц от 16.08.94], которым введена новая система ведения путевого хозяйства. Департамент пути и сооружений совместно с ВНИИЖТом подготовил: [Инструкцию по расшифровке лент и оценке состояния рельсовой колеи по показаниям путеизмерительного вагона ЦНИИ-2 и мерам по безопасности движения поездов № ЦП/515], [Инструкцию по обеспечению безопасности движения при производстве путевых работ № ЦП/485] и [Проект инструкции по текущему содержанию пути].

Исходя из целей наиболее рационального определения видов и сроков выполнения работ. По устранению и предупреждению появления отступлений от норм содержания рельсовой колеи и условий обеспечения безопасности движения поездов. Оценка отступлений от номинальных значений, контролируемых путеизмерителем параметров, производится по четырем степеням их величин, регламентированным в зависимости от установленных скоростей движения поездов по принципу: чем выше установленные скорости движения поездов, тем жестче величины степеней отступлений.

К I степени относятся отступления, не требующие выполнения работ по их устранению, и поэтому не учитываются при расшифровке путеизмерительных лент. Установленные скорости движения поездов при таких отступлениях не уменьшаются.

Ко II степени относятся отступления, также не требующие уменьшения установленной скорости движения поездов, но оказывающие влияние на плавность движения подвижного состава и интенсивность расстройства пути, особенно при частом повторении таких отступлений на километре. Их количество на километре служит показателем необходимости проведения профилактических работ по выправке пути, поэтому они учитываются при расшифровке путеизмерительных лент, а результаты расшифровки используются при планировании работ.

К III степени относятся отступления, которые при неустранении их после обнаружения могут за период до очередной проверки пути путеизмерительным вагоном достичь величин, значительно ухудшающих плавность движения поездов и повышающих интенсивность накопления остаточных деформаций пути, а некоторые из них могут, даже перерасти в отступления, вызывающие уменьшение установленной скорости движения поездов. Поэтому такие отступления устраняются в первоочередном порядке.

К IV степени относятся отступления, вызывающие рост сил взаимодействия пути и подвижного состава до величин, которые при наличии неблагоприятных сочетаний с отступлениями в содержании и загрузке подвижного состава, нарушениях режима ведения поезда и др. могут привести к сходу его с рельсов. Поэтому при обнаружении отступлений, относящихся к IV степени при данном интервале установленных скоростей движения, скорость уменьшается или закрывается движение поездов.

Состояние пути в период с ноября 2005 года по апрель 2006 года на Мичуренском отделении Юго-Восточной железной дороги, в границах которого находится перегон Никольское-Избердей, проверялось дорожными путеизмерительными вагонами № 017, 042, 060, 220 и путеобследовательской станцией МПС № 705. По данным контрольных проходов путеизмерительных вагонов был произведен анализ геометрии рельсовой колеи и составлена диаграмма отступлений от норм содержания рельсовой колеи на данном участке.

За последние шесть месяцев количество неисправностей второй и третей степени соответственно составило: в ноябрь - 437/7, декабрь - 446/2, январь - 352/1, февраль - 287/1, март - 363/4, апрель - 270/13. Из общего количества неисправностей на отступление по сужению приходится 0,2%, уширению - 4,8%, уровню - 9,5%, перекосам - 20,0%, просадкам - 34,4%, рихтовке - 30,2%. Наибольший процент отступлений по параметрам геометрии рельсовой колеи приходится на просадки и рихтовку. До ремонта по Юго-Восточной железной дороге по балловой оценке план составлял 100 баллов, выполнение - 79 баллов, по Кочетовской дистанции соответственно - 66/59. Средняя оценка на анализируемом участке пути составила 119 балла.

1.4 Разработка плана и продольного профиля главного пути (13км), мероприятий по ремонту земляного полотна и водоотводов, а также искусственных сооружений и переездов

1.4.1 Профиль и план пути

.4.1.1 Состояние пути до ремонта

Ремонтируемый участок протяженностью 13 км с отметками земли на 426 км ПК 1 - 146,3м и на 426 км ПК 5 - 149,55 м имеет наибольший уклон по четному пути 8,1 ‰, представлен преимущественно невысокими насыпями от 1 до 5м, выемками от 1 до 5м.

План линии представлен прямыми и кривыми в объеме 30 % с минимальным радиусом 1028 м.

Участок пути с 422км ПК 9 по 426 ПК 7 представлен насыпями до 3м.

На 422км ПК9+22 начинается правая круговая кривая радиусом R=2206м, длиной К =1310м, углом поворота У=3204’ и заканчивается на 424км ПК2+21.

На 423км находиться железобетонная труба отверстием 1,0м.

На 424км ПК7+61 начинается левая круговая кривая радиусом R=2226м, длиной К =633м, углом поворота У=1402’ и заканчивается на 425км ПК3+99.

Участок пути с 426км ПК 7 по 427км ПК1 представлен насыпями до 5м.

Участок пути с 427км ПК 1 по 427кмПК3 представлен насыпями до 3м.

Участок пути с 427км ПК3 по 427 ПК8 представлен выемками до 3,5м

На 427км находится железобетонная труба отверстием 1,0м

Участок пути с 427км ПК8 по 428км +50 представлен насыпями до 2м

Участок пути с 428км +50 по 428км ПК3 представлен выемками до 2м.

Участок пути с 428км ПК3 по 430км ПК 4 представлен насыпями до 3м.

На 429км ПК7 +80 начинается левая круговая кривая радиусом R=3411м, длиной К=170м, углом поворота У=1200’ и заканчивается на 429кмПК9 +50.

На 429км ПК9 +50 начинается правая круговая кривая радиусом R=4446м, длиной К=200м, углом поворота У=1400’ и заканчивается на 430км ПК1 +50.

На 429км находиться железобетонная труба отверстием 1,0м.

На 430км ПК8 +80 начинается правая круговая кривая радиусом R=4649м, длиной К=140м, углом поворота У=12020’ и заканчивается на 431км +20.

Участок пути с 430км ПК 4 по 431км ПК4 представлен насыпями до 5м

На 431км находится железобетонная труба отверстием 1,0м

На 431км +80 начинается левая круговая кривая радиусом R=4611м, длинной К=170м, угол поворота У=16 и заканчивается на 431км ПК2 +50

Участок пути с 431км ПК4 по 431км ПК6 представлен выемкой до 5м.

Участок пути с 431км ПК6 по 432км ПК5 представлен насыпью до 3м.

Участок пути с 432км ПК5 по 433км ПК3 представлен выемкой до 5м.

На 433км находится железобетонная труба отверстием 1,0м.

Участок пути с 433км ПК3 по 433км ПК5 представлен насыпью до 3м.

Участок пути с 433км ПК5 по 435 ПК9 представлен выемкой до 1м.

На 433км ПК2 +29 начинается правая круговая кривая радиусом R=2133, длинной К=783м, угол поворота У=12 и заканчивается на 434км +12м.

На 434км ПК8 +54 начинается левая круговая кривая радиусом R=2028, длинной К=471м, угол поворота У=11,4 и заканчивается на 435км ПК3 +25.

На 435км находится железобетонная труба отверстием 1,0м.

.4.1.2 Проектные решения

В проекте предусматривается выправка искажений продольного профиля за счет подрезки и подъемки пути.

Проектом предусматривается доведение толщины чистого щебня под шпалой до 40 см с укладкой разделительного слоя из геотекстиля.

Минимальная длина элементов равна 200 м. Сопряжение смежных элементов профиля при алгебраической разнице уклонов 2 ‰ и более запроектировано вертикальной кривой радиусом 10000 м. На участке усиленного капитального ремонта пути запроектирована выправка всех круговых и переходных кривых.

Расчет величины возвышений наружного рельса в кривых произведен в соответствии с требованиями указания МПС.

Длины переходных кривых запроектированы из расчета отвода возвышений наружного рельса в кривых, где проектная скорость составляет 120км /ч 1мм на 1,5м пути и не круче 1мм на 1,2м пути, на остальных кривые- не круче 1мм на 1м пути.

Для приведения головок рельс главных путей на переезде 431км ПК4+72 в один уровень проектом заложены работы по нечётному пути.

Расстояние до опор контактной сети и светофоров на перегонах даны на графике сводных данных и определены согласно ПТЭ, исходя из норм 3,10м.

.4.2 Земляное полотно

.4.2.1 Состояние до ремонта

Земляное полотно на ремонтируемом участке представлено преимущественно невысокими насыпями от 1м до 5,0м и выемками от 1м до 5м. По данным дистанции пути земляное полотно находится в стабильном состоянии, деформационные явления отсутствуют. На участке отмечены выплески разжиженного балласта в шпальные ящики и по концам шпал в кустах до 2-3 шпал. Ширина земляного полотна соответствует нормативной. Обочины земляного полотна частично засыпаны балластным шлейфом. Отвод воды от земляного полотна осуществляется по существующим водоотводным канавам, переходящим, а в отдельных местах в резервы. Выпуск воды из водоотводных сооружений осуществляется в пониженные места рельефа местности или водопропускные сооружения.

При инженерно-геологическом обследовании предприятия «Путь» установлено, что основанием земляного полотна являются коренные суглинки тугопластичной консистенции, средней плотности. Такие грунты имеют достаточную несущую способность и устойчивы как основание.

Ядро насыпей отсыпано техногенными грунтами:

суглинками тугопластичной консистенции, средней плотности, с мощностью слоев соответственно 0,4м-1,6м и 1Дм-2,1м;

черноземами (суглинки тугопластичной консистенции, средней плотности, гумусированные), с мощностью слоев 0,7м-1,6м.

Основная площадка земляного полотна перекрывается защитным подбалластным слоем, представленным техногенными кварцевыми песками мелкими, средней крупности, малой степени водонасыщения, средней степени водонасыщения, средней плотности и насыщенными водой. Мощность слоев соответственно 0,4м-1,3м. Наличие воды объясняется сильной загрязненностью кюветов песчано-глинистым материалом, приносимым паводковыми водами, и грязным щебнем, вырезанным при ремонтных работах. В ядре земляного полотна обводненных горизонтов не встречено.

Балластная призма отсыпалась послойно. Верхний слой представлен смесью щебня разных пород (гранитных пород и песчаника) с размером фракций 25мм-60мм. Загрязненность составляет 20%. Мощность слоя 0,2м-0,3м (под шпалой 0,0м-0,15м). Нижний слой представлен щебнем песчаника крупного, выветрелого, с размером фракций 50мм-70мм, отдельности до 90мм-110мм. Загрязненность составляет 40% песчано-супесчаным заполнителем. Мощность балластной призмы (суммарная) составляет 0,8м-1,1м.

1.4.2.2 Проектные решения

Проектом предусматривается приведение размеров балластной призмы, из чистого балласта, и обочин земляного полотна в соответствии с требованиями [СТНЦ-01-95].

Для отвода поверхностных вод от земляного полотна предусмотрена нарезка кюветов с выпуском воды в водопропускные сооружения, а в выемках глубиной свыше 3 метров для уменьшения объёмов земляных работ предусмотрена установка железобетонных лотков. Перед началом работ по нарезке кюветов вызвать представителей дистанций ЭЧ, ШЧ и других служб для определения положения коммуникаций, находящихся в зоне работ.

Для беспрепятственного пропуска воды необходимо произвести очистку русел водопропускных сооружений от наносов ила и песка.

Для уширения основной площадки в пределах «нулевых» мест и выемок предусмотрена сдвижка канав в полевую сторону со срезкой откосов.

Проектом предусматривается замена загрязненного балласта на толщину 0,4м пол шпалой и укладка чистого щебня твердых пород на разделительный слой из геотекстиля с уклоном 0,04 в полевую сторону на всем протяжении участка.

К укладке допускается геотекстиль, который прошел, сертификационные испытания и по всем показателям удовлетворяет требованиям, приведенным в [Технических указаниях на применение пенополистирола и геотекстиля при усилении основной площадки земляного полотна без снятия рельсошпальной решетки, М.1999].

.4.3 Искусственные сооружения

При проектировании и выполнении ремонтно-путевых работ на мостах и в тоннелях должны обеспечиваться проектный профиль и план линии с соблюдением норм Инструкции по содержанию искусственных сооружений. Если толщина балластного слоя завышена, то работы по ремонту должны осуществляться с понижением отметок продольного профиля пути.

Минимальная толщина балласта под шпалой в подрельсовой зоне должна быть не менее 25 см, на водоразделительных точках - не менее 20 см. Меньшая толщина балласта допускается в исключительных случаях, предусмотренных Инструкцией по содержанию искусственных сооружений. Толщина балласта более 40 см не допускается.

Ширина балластной призмы поверху на пролетных строениях должна быть такой же, как на подходах к мостам и соответствовать размерам типовых поперечных профилей балластных призм на мостах.

На средних и больших мостах и в тоннелях уровень головок рельсов должен сохраняться без изменений, а при необходимости толщину балластного слоя на подходах следует создавать за счет срезки излишнего балласта или подрезки земляного полотна. Если срезка земляного полотна вызывает приток воды к сооружению, то в проекте должны быть предусмотрены необходимые водоотводные и дренажные устройства.

В случае необходимости изменения отметок пути при ремонтах (в том числе и при замене рельсов) должны быть проверены габариты сооружений с учетом этих изменений.

При замене рельсов устанавливают контруголки. Деревянные охранные брусья в обязательном порядке заменяют уголками.

Путь на мосту должен иметь плавное очертание и при необходимости ему должен придаваться строительный подъем. Отклонение оси пути от оси пролетного строения с ездой на балласте не должно превышать 50 мм, а в кривых - 30 см.

На малых мостах с железобетонными пролетными строениями допускается производить подъемку металлических и железобетонных пролетных строений с наращиванием и удлинением устоев. Установка пролетных строений на деревянные подферменные брусья запрещается.

Работы по ремонту пути на мостах и в тоннелях должны осуществляться с максимальным использованием существующих машин и механизмов. Возможность работы тяжелых путевых машин в зависимости от грузоподъемности сооружений, габаритов и размеров рабочих органов должна определять в соответствии с указаниями, утвержденными Департаментом пути и сооружений МПС России и производиться по утвержденным в установленном порядке рабочим технологическим процессам.

Усиленный капитальный и капитальный ремонты пути на малых и средних мостах должны, как правило, выполняться одновременно с ремонтом пути на прилегающих участках, а на больших мостах и в тоннелях предшествовать производству работ на подходах к сооружению.

Одновременно с усиленным капитальным и капитальным ремонтами пути должны выполняться ремонтные работы на искусственных сооружениях, в том числе:

вырезка балласта, при необходимости с понижением отметок головки рельса;

ремонт тротуаров, убежищ и перил;

очистка водоотводных устройств, а при необходимости ремонт гидроизоляции мостов;

очистка и ремонт водоотводных сооружений в тоннелях;

наращивание бортиков балластных корыт;

исправление конусов и мощений;

очистка от загрязнителей и обновление краски;

укладка щебеночного или асбестового балласта на подходах и другие работы.

До проведения усиленного капитального и капитального ремонтов пути необходимо переустроить все сооружения, не удовлетворяющие требованиям габарита приближения строений. Если такое переустройство требует больших затрат денежных средств и материалов, то по разрешению начальника дороги допускается сохранять сооружение с существующими отступлениями от габарита.

1.4.3.1 Станции

В пределах ремонтируемого участка расположены оп.427км ПК1-2, 430км ПК7-8, 435км ПК6-7.

1.4.4 Переезды, путевые и сигнальные знаки

Капитальный ремонт переездов производиться в комплексе с усиленным капитальным, капитальным или среднем ремонтом пути.

При этом реконструкция верхнего строения пути в зоне переезда должна, как правило, быть такой же, как и на подходах к нему. При капитальном ремонте переездов выполняются следующие работы:

замена настила, конструкция которого устанавливается [Инструкцией по эксплуатации железнодорожных переездов МПС России], а также типовыми проектами;

приведение, при необходимости конструкции пути на переезде в соответствии с конструкцией на подходах;

очистка загрязненного щебня в зоне переезда либо постановка пути на щебень или сортированный гравий с доведением балластной призмы до размеров, установленных для данного типа верхнего строения и доведения настила до необходимой отметки;

ремонт подходов к переезду с выправкой профиля и, при необходимости, с уширением проезжей части;

Замена ограждений на типовые. Их ремонт и окраска; замена всех деревянных шпал на переезде на новые 1 типа. Очистка и ремонт, а при необходимости устройство водоотводных и водопропускных сооружений земляного полотна железнодорожного пути и подходов к переездам в пределах полосы отвода;

замена ручных и нетиповых механизированных шлагбаумов на типовые. Ремонт существующих механизированных и автоматических шлагбаумов, при необходимости оборудование переезда механизированными или автоматическими шлагбаумами, автоматической светофорной или оповестительной и заградительной сигнализацией, установка соответствующих знаков, установка заграждающих устройств;

работы по улучшению видимости для машинистов поездов и водителей автотранспорта на подходах к переезду;

ремонт переездного настила или устройство его в соответствии с типовым проектом;

ремонт и окраска путевых и сигнальных знаков и устройств на переезде;

улучшение освещения и благоустройство прилегающей территории.

1.4.4.1 Состояние до ремонта

На данном участке находится один охраняемый переезд на 431км ПК 4+72 Покрытие переезда: в колее и междупутье - железобетонные плиты, железобетонные шпалы и резиновые блоки.

Дорога на подходах к переезду имеет асфальтное покрытие.

Переезд расположен на прямолинейном участке.

1.4.4.2 Проектные решения

Проектом предусмотрены следующие проектные решения

на переезде 431км ПК 4+72 отметки головок рельс приведены в один уровень;

настилы переезда выполнить из резиновых плит по типовому проекту;

для отвода поверхностных вод от земляного полотна автодороги на переезде со стороны чётного пути, предусмотрена нарезка кювета с выпуском воды в пониженный рельеф местности;

на автодорогах к переезду заложены работы по уширение проезжей части до 6,0м;

выправка продольных и поперечных профилей на подъездах к переезду.

2. Разработка проекта организации усиленного капитального ремонта пути

.1 Нормативно-технические требования к усиленному капитальному ремонту пути

Усиленный капитальный ремонт пути предназначен для комплексного обновления верхнего строения пути на путях 1 и 2 классов с повышением несущей способности балластной призмы и земляного полотна, включая основную площадку.

Таблица 2.1. Классы путей

 Группа пути

Грузонапряженность млн.тнк бр./км в год

Категория пути - допускаемые скорости движения поездов (числитель - пассажирские; знаменатель - грузовые)



1

2

3

5

6

7



121-140 >80

101-120 >70

81-100 >60

61-80 >50

41-60 >40

40 и менее

Станционные, подъездные и прочие пути2)



Главные пути


Б

Более 50

1

1

1

2

2

3

5

В

25-50

1

1

2

2

3

3


Г

10-25

1

2

3

3

3

3


Д

5-10

2

3

3

3

4

4


Е

5 и менее

3

3

3

4

4

4


Величины грузонапряженности, стоящие перед тире - исключительные; после тире - включительно Приемо - отправочные и другие станционные пути, предназначенные для  сквозного пропуска поездов со скоростями 40км/ч и более, подъездные пути со скоростями более 40 км/ч, а также горочные пути относятся к 3 классу.

Станционные пути, не предназначенные для сквозного пропуска поездов, при установленных скоростях 40 км/ч, а также специальные пути, предназначенные для обращения подвижного состава с опасными грузами, сортировочные и подъездные пути со скоростями движения 40 км/ч относятся к 4 классу. Остальные станционные и подъездные пути относятся к 5 классу


Назначение усиленного капитального ремонта при текущем планировании в первую очередь производится при прочих равных условиях:

на участках, подготавливаемых к скоростному движению пассажирских поездов;

на участках, подготавливаемых к обращению вагонов с повышенной осевой нагрузкой.

Состав входящих в усиленный капитальный ремонт пути работ определяется проектно-сметной документацией.

Работы по ремонту водоотводов и осушению основной площадки выполняются по специальным проектам и сметам в рамках проекта усиленного капитального ремонта, как правило, за год до производства ремонтно-путевых работ.

Работы по ликвидации сложных деформаций земляного полотна выполняется по отдельным проектам.

При усиленном капитальном ремонте пути выполняются следующие основные работы:

замена рельсо-шпальной решетки на новую, собранную на производственной базе;

комплексная замена стрелочных переводов;

очистка щебеночной призмы на глубину ниже подошвы шпал. Указанной в таблице 2.1. или замена асбестового балласта, или щебня слабых пород. На щебень. Устройство при необходимости, разделительного слоя между очищенным и неочищенным массивами балласта или основной площадкой земляного полотна;

уположение кривых, удлинение переходных кривых и прямых вставок, если это не требует дополнительного завоза грунта из карьеров и замены или перестановки опор контактной сети в объеме более 5 %;

доведение балластной призмы до требуемых размеров;

ликвидация пучинных мест в земляном полотне и повышенной несущей способности основной площадки земляного полотна в местах повышенной деформативности;

уположение или укрепление откосов насыпей за счет использования отсева от очистки балластной призмы;

срезка обочин;

выправка, подбивка и стабилизация пути с постановкой на проектные отметки в профиле;

постановка пути на ось в плане и приведение длин переходных кривых и прямых вставок между смежными кривыми в соответствии с максимальными проектируемыми скоростями движения поездов;

ремонт и восстановление водоотводов и дренажных устройств;

срезка и уборка отложений загрязнителей балласта на откосах выемок и насыпей;

ремонт железнодорожных переездов;

очистка русел и планировка конусов малых искусственных сооружений;

сварка плетей до длины блок-участка или перегона, включая стрелочные переводы;

шлифование поверхности катания рельсов и другие работы, предусмотренные проектом.

Технические условия и требования, предъявляемые к конструкции и элементам верхнего строения пути при усиленном капитальном и капитальном ремонте пути, приведены в таблице 2.2, критерии назначения участков пути к усиленному капитальному ремонту пути - в таблице 2.3.

Таблица 2.2.Технические условия и требования, предъявляемые конструкции и элементам верхнего строения пути при усиленном капитальном и капитальном ремонте пути.

Классы путей

1

2

3

4

5

1. Конструкция верхнего строения пути

Бесстыковой путь на железобетонных шпалах

Звеньевой путь на железобетонных шпалах

2. Типы и характеристика верхнего строения пути

Рельсы Р-65, новые, термоупрочненные, категории В и Т1

Рельсы Р-65, новые, термоупрочненные, категории Т1 и Т22

Рельсы Р-65, старогодные I группы годности; I и II группы годности репрофилированные 2)

Рельсы старогодные Р-653) II и III группы годности

Рельсы старогодные Р-653) III группы годности

Скрепления новые

Скрепления новые и старогодные( в т.ч.отремонтированные).

Шпалы железобетонные новые I сорта

Шпалы железобетонные старогодные4)

1840 шт/км в кривых радиусом 1200 м и менее 2000 шт/км)

1600 шт/км ( в кривых радиусом  1200 м и менее-1840 шт/км)

1440 шт/км( в кривых радиусом  650 м и менее-1600 шт/км)

Балласт щебеночный5) с толщиной слоя: 40 см- под железобетонными шпалами; 35 см- под деревянными шпалами

Балласт щебеночный5) с толщиной слоя под шпалой: 30 см-под железобетонными; 25 см-под деревянными

Балласт всех типов с толщиной слоя под шпалой не менее 20 см

Размер балластной призмы - в соответствии с типовыми поперечными профилями

3.Виды работ при замене верхнего строения пути

Усиленный капитальный ремонт пути

Капитальный ремонт пути

4. Конструкция и типы стрелочных переводов

Р-65 новые; рельсовые элементы закаленные. Брусья железобетонные новые6)


5. Виды работ по замене стрелочных переводов

Усиленный капитальный ремонт стрелочных переводов


6. Земляное полотно и искусственные сооружения

Земляное полотно, искусственные сооружения и их обустройства должны удовлетворять максимальным допускаемым осевым нагрузкам и скоростям движения поездов в зависимости от групп и категорий путей

Примечания:

Применение звеньевого пути на деревянных шпалах согласовывается с Департаментом пути и сооружений МПС России, при этом на путях 1-3 классов деревянные шпалы должны быть I типа.

В зависимости от балласта на железной дороге старогодных рельсов I и II группы годности допускается по согласованию с Департаментом пути и сооружений:

Укладка на путях 2 класса групп Г и Д старогодных репрофилированных рельсов I группы годности;

Укладка на 3 класса новых рельсов категории Т1 и Т2.

. Для звеньевого пути на деревянных шпалах - не легче Р 50

. При недостатке старогодных железобетонных шпал: новые железобетонные 1 сорта - на путях 3 класса, новые 2 сорта - на путях 4 и 5 классов; при недостатке новых железобетонных шпал 2-го сорта - новые 1-го сорта; при недостатке старогодных и новых железобетонных шпал - новые деревянные.

. По согласованию с Департаментом пути и сооружений МПС России допускается на путях 3-5 классов укладка асбестового балласта.

. По согласованию с Департаментом пути и сооружений МПС России допускается укладка деревянных брусьев.

. Укладываемые в путь инвентарные рельсы должны отвечать следующим требованиям (не более), мм.

. В тоннелях и затяжных спусках круче 12% эпюра шпал должна составлять 2000 шт/км. К затяжным спускам относятся участки протяженностью;

км и более - при уклонах от 12 до 14;

км и более -                            от 15 до 17;

км и более -                            от 18 до 20;

км и более -                            более 20.

Кроме того, эпюра 2000 шт применяется на участках бесстыкового пути с годовыми амплитудами температуры рельсов более 112оС.

Рабочий проект: усиленного капитального ремонта, четного пути участка Никольское-Избердей 422км ПК9-435км ПК 9. Разработан на основании задания и материалов инженерных изысканий, выполненных в октябре 2005г. бригадой изыскателей предприятия "Путь", в соответствии с приказом [12Ц от 16.08.94 г]. "О переходе на новую систему ведения путевого хозяйства на основе повышения технического уровня и внедрения ресурсосберегающих технологий".

.2 Разработка технологических процессов производства подготовительных, основных и отделочных работ

До закрытия перегона путевые машины и хозяйственные поезда сосредотачиваются на станции ограничивающей перегон по ходу движения. За два дня до начала работ с производственной базы ПМС-139 отправляется хозяйственный поезд с людскими вагонами и автотракторной техникой. За один день до начала работ на перегоне Никольское-Избердей 2 главный путь, с производственной базы ПМС-139 отправляются путеразборочный и путеукладочный хозяйственные поезда (УК, МПД и платформы УСО).

Объем основных работ подлежащих выполнению на 1 км пути: Срезка и уборка балласта с обочины балластной призмы в выемках и нулевых местах путевой машиной СЗП-600 до 1000 м;

Замена рельсошпальной решетки;

Замена инвентарных рельсов на новые сварные рельсовые плети;

Работа комплекса машин.

2.2.3 Системы предоставления «окон» для въезда и выезда путевых машин и хозяйственных поездов на закрытый перегон или на станцию. «Окна» для въезда и выезда хозяйственных поездов и путевых машин со станции на перегон предоставляются в соответствии с графиком распределения работ по дням. В «окно» могут въезжать и выезжать несколько хозяйственных  поездов и путевых машин.

2.2.4 Подготовительные работы выполняемые на перегоне и на
производственной базе

На производственной базе производиться выгрузка новых материалов, сборка новых звеньев рельсошпальной решетки с инвентарными рельсами, погрузка новых звеньев рельсошпальной решетки на платформы, выгрузка и разборка с/г звеньев рельсошпальной решетки. На перегоне подготовительные работы выполняются в соответствии с графиком. В эти дни монтеры пути опробуют и смазывают стыковые болты и закрепляют шпалы, удаляют препятствия для работы путевых машин, которые могут вызвать остановку или повреждение техники. За день до начала работ на перегоне Никольское-Избердей путевая машина СЗП-600 подготавливает фронт работ (убирает лишний балласт в выемках и нулевых местах до проектных отметок будущего среза).

2.2.5  Усиленный капитальный ремонт выполняется на закрытом перегоне Никольское-Избердей 2 главный путь в течение 15 суток. Руководитель работ, получив приказ о закрытии перегона и убедившись, что напряжение сети снято и сеть заземлена, дает указание приступить к выполнению работ.

.3 Выбор технологии производства ремонтных работ

.3.1 Бесстыковой путь

Проект раскладки плетей бесстыкового пути увязан с проектом усиленного капитального ремонта четного пути.

Бесстыковой путь запроектирован в соответствии с [Техническими указаниями по устройству, укладке, содержанию и ремонту бесстыкового пути], [№С-3112у от 22.12.2000 г и заданием].

Бесстыковой путь запроектирован в двух варианта:

вариант - длинномерными сварными плетями длиной, равной длине блок-участка,

вариант - без сварки с уравнительными рельсами.

Расстановка сигналов, изостыков и искусственных сооружений принята согласно разбитого т закрепленного на головке рельса пикетажа.

Раскладка плетей произведена по ходу движения поездов с учетом местоположения существующих изолирующих стыков.

Бесстыковой путь принят температурно-напряженным без сезонных разрядок напряжений /Та<Т/. Фактическая годовая температурная амплитуда на ремонтируемом участке Та=94°С, наивысшая температура рельсов t тах тах = +60°С, наинизшая t тin min = - 34°С.

Для расчета границ интервала закрепления рельсовых плетей на постоянный режим эксплуатации по условиям прочности и устойчивости пути определены расчетные допускаемые температурные амплитуды. По условиям прочности бесстыкового пути допускаемая скорость для пассажирских ЧС-4т - 120 км/ч, грузовых ВЛ-80с - 80 км/ч.

Эксплуатация бесстыкового пути на железобетонных шпалах может производиться без сезонной разрядки. Температурные границы интервала закрепления рельсовых плетей на постоянный режим эксплуатации следующие:

на прямых участках пути от +6°С до +61°С

на кривых участках пути R-2000 от+10°С до+61°С для-1200 от +9°С до +59°С локомотивов R -1000 от +11°С до +58°С ЧС-4Т - 800 от+13°Сдо+56°С V-120 км/ч - 600 от+17°С до+51°С

на прямых участках пути от +6°С до +68°С

на кривых участках пути R -2000 от+10°С до+65°С для-1200 от +9°С до +66°С локомотивов R -1000 от+11°С до+65°С ВЛ-80с - 800 от+13°С до+63°С У-80 км/ч - 600 от+17°С до+60°С

Плетям присвоен условный номер, показывающий местоположение плетей по ходу километров.

Проект раскладки плетей рассчитан с учетом применения высокопрочных изолирующих стыков с шестидырными стеклопластиковыми накладками АпАТэК с четырьмя парами уравнительных рельсов по 12,5 м.

В местах примыкания бесстыкового пути с ж/б шпалами к участкам звеньевого пути с деревянными шпалами укладывают две пары уравнительных рельсов по 12,5 м, причем на конце первого звена уравнительного пролета, примыкающего к плетям бесстыкового пути укладывают четыре деревянные шпалы.

Проектом предусматривается перенос изостыка на 423км км вперед по ходу километров на 5,60м.

.3.2 Основные решения по организации производства работ при усиленном капитальном ремонте

Работы по усиленному капитальному ремонту пути выполняются путевой машинной станцией с применением машин тяжелого типа УК 25/9-18- путеукладчиков, МПД, УСО, ПБ, СЧ-601, ДСП, ВПО-3000, ВПР, СЗП-600, «Дуоматик», бульдозеров, автогрейдеров и хоппер-дозаторных вертушек.

Звеносборочную базу, обслуживающие участок усиленного капитального ремонта пути, расположены на ст. Грязи - Волгоградские.

На производственной базе в соответствии с типовыми технологическими процессами выполняется весь комплекс работ по монтажу и демонтажу рельсошпальной решетки.

Транспортировка новых звеньев к месту укладки и доставка старых звеньев на базу производятся специальными поездами, продвижение которых закладывается в график движения поездов, разработанный отделением дороги.

В подготовительный период на перегоне производиться уборка лишнего балласта и ремонт водоотводов, очистка и частичная нарезка кюветов, перестановка путевых знаков, смазка стыковых болтов, подготовка мест для въезда на путь и съезда с него землеройных машин.

После снятия напряжения и заземления контактной сети, отсоединения заземлений опор от рельсовой нити электробалластер отрывает рельсошпальную решетку от балластной призмы, с одновременной пробивкой и обрушением на призму спрессовавшегося балласта из шпальных ящиков. Затем производят разболчивание стыков, оставляя на рельсах накладки, сболченные на один болт. По мере подготовки работ путеразборочным краном УК-25/9-18 демонтируют решетку звеньями (25 метровые), формируют их в пакеты (6 звеньев в пакете), перемещают на платформы и закрепляют.

Следом землеройными машинами - бульдозером и автогрейдером подрезается верхний слой балластной призмы и укладывается в виде двух валов у торцов шпал, балласт из которых используется для выправки пути машиной ВПО-3000.

Срезанная поверхность планируется и уплотняется для укладки новых звеньев. Затем путеукладочным краном УК-25/9-18 укладывают новую рельсошпальную решетку звеньями. Монтеры пути устанавливают накладки, стыковые болты и сболчивают стыки.

После этого машиной ВПО-3000 производится выправка пути в плане и профиле со сплошной подбивкой шпал, рихтовкой и оправкой балластной призмы в комплексе с ПБ.

В связи с наличием в пути щебня различных пород и прочности, последний подлежит полной замене на новый из твердых пород Павловского щебеночного карьера. Вырезка старого балласта на толщину 40 см производится СЧ-601 с последующей отгрузкой его в состав из универсальных полувагонов ПУ и транспортировкой в места складирования на производственную базу ст. Грязи - Волгоградские с последующей его реализацией.

При последнем проходе машина СЧ-601 укладывает разделительный слой из геотекстиля на поверхность среза с уклоном 0,04 в полевую сторону на всем протяжении участка.

После чего из хоппер-дозаторов по всей ширине балластной призмы выгружают новый щебеночный балласт.

Объем выгружаемого балласта должен быть таким, чтобы после подъемки рельсошпальной решетки на балласт электробалластером, толщина слоя под шпалой была не менее 20 см, что предотвращает повреждение геотекстиля при работе ВПО-3000.

Рельсошпальная решетка поднимается на щебень электробалластером, а затем производится вторая выгрузка балласта из хоппер-дозаторов и выправка пути в плане и профиле машинами ВПО-3000 и ВПР.

Окончательная выправка пути в плане и профиле производится машиной «Дуоматик».

После каждой работы машины ВПР и «Дуоматик» путь стабилизируется динамическим стабилизатором ДСП-С.

Инвентарные рельсы меняются на новые длинномерные рельсовые плети и свариваются в сверхдлинные плети. Плети доставляются и выгружаются на перегоне с рельсовозного состава предварительно.

Новые рельсовые плети после укладки в путь подвергаются профильной шлифовке шлифовальным поездом.

Перед открытием перегона после завершения всех работ первые один-два поезда пропускаются со скоростью 25 км/час, последующие - со скоростью не менее 60 км/час.

Календарные графики усиленного капитального ремонта пути и предоставления "окон" разрабатываются отделением дороги согласно плану службы пути.

При производстве основных работ в "окно" движение поездов осуществляется по одному из свободных путей по системе ГТСС с применением локомотивной сигнализации.

Движение по правильному пути производится по существующим сигналам автоблокировки.

Работы должны выполняться по рабочему технологическому процессу, разработанному на основе типовых технологических процессов с учетом местных особенностей и конкретных условий и утвержденному НОДП или П.

2.4 Разработка графика производства работ и графика распределения работ по дням

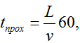
Работы по усиленному капитальному ремонту пути на новых материалах при выполнении их на двухпутных участках, как правило, должны выполняться на перегонах закрытых для движения поездов. Необходимый период времени для выполнения планового объема работ с закрытием перегона определяется по лимитирующей машине (щебнеочистительной) по следующей формуле:


где Wп - планируемый годовой объем ремонта пути на поездоучастке, Wп=13 км;

lфщ - расчетная норма выработки щебнеочистительной машины, lфщ=0,1 кмчас;

tm - время работы щебнеочистительной машины в течении суток, tm=9 ч/сутки.

Следовательно, для выполнения усиленного капитального ремонта пути требуется закрытие перегона на 15 суток.

Ежедневная производительность ПМС определяется по формуле:

q = Q/(T-åt), (2.4.2.)

где: Q - годовой план ремонта ПМС, Q=100 км;

Т - продолжительность ремонтного сезона, для районов средней полосы России T=120 дн;

åt - резерв времени (дней), учитывающий отмену «окон», перебои в обеспечении материалами верхнего строения пути, отказы путевых машин, локомотивов и технические отказы, åt =0,1¸0,12T.

q = 100/(120-0,1×120)=0,926 км

Ежедневный фронт работ, км, равен:

фр = q×n, (2.4.3.)

где : n - периодичность предоставления «окон» для выполнения основных работ, т.е. количество рабочих дней, в течение которых «окно» предоставляется один раз.

Lфр = 0,926×2=2 км.

Закрытие перегона Никольское-Избердей для движения поездов проводилось в соответствии с разрешением МПС России. Ремонтируемый путь перегона и контактная сеть поделены на участки работы у воздушных промежутков контактной сети и постов секционирования.

На закрытом перегоне организуется круглосуточная работа машин и механизмов (с необходимыми технологическими перерывами для профилактики машин) и обеспечивается максимальная производительность на основе норм выработки и условий производства работ.

.4.1 Определение продолжительности работ по разборке и укладке рельсошпальной решетки на закрытом для движения поездов перегоне.

Время на оформление закрытия перегона принимаем равным 5 минут.

Время на проход техники к месту работ определяется по формуле:


где L - расстояние от станции до места работы на перегоне, L=1,5 км;- скорость следования хозяйственного поезда, v=5 км/час.


Интервал t2 между началом работ по демонтажу рельсовых стыков и расшивки деревянных стыковых шпал и началом работ по срезке и уборке загрязненного балласта машиной СЗП-600 определяется фронтом работ бригада по разболчиванию стыков с прибавлением 50 м - разрыва между СЗП и бригадой монтеров пути по условиям охраны труда.


Интервал t3 между началом работ началом работ по срезке и уборке загрязненного балласта машиной СЗП-600 и разборкой звеньев с деревянными шпалами длиной 25 м краном УК-25/9-18 определяется длиной укладочного крана , длиной СЗП с прибавлением 50 м по условиям охраны труда.

Интервал t4 между началом разборки звеньев с деревянными шпалами длиной 25 м краном УК-25/9-18, и началом работ по срезке щебеночного слоя балластной призмы автогрейдером и бульдозером равен интервалу t5 между началом работ по срезке щебеночного слоя балластной призмы автогрейдером и бульдозером и укладки звеньев с железобетонными шпалами длиной 25 м краном УК-25/9-18 и определяется безопасным расстоянием 50 м по условиям охраны труда с учетом скорости разборщика и автотехники.


Интервал t6 между началом укладки звеньев с железобетонными шпалами длиной 25 м краном УК-25/9-18 и началом постановки накладок и сболчивания стыков определяется временем, необходимым для того, чтобы до постановки накладок и сболчивания стыков путеукладчик с запасом звеньев освободит путь на длине 50 м по условиям охраны труда.


Интервал t7 между началом завинчивания гаек стыковых болтов электрогаечным ключом и началом регулировки РШР в плане с постановкой на ось РГУ определяется фронтом работ бригады по сболчиванию стыков, технологическим разрывом между бригадами по сболчиванию стыков и по рихтовке не менее 25 м и фронтом работы бригады рихтовщиков.


Интервал t8 между началом регулировки РШР в плане с постановкой на ось РГУ и очистки щебеночного балласта двумя щебнеочистительными машинами СЧ-601 определяется длиной машины СЧ-1, фронтом работ бригады по рихтовке с прибавлением безопасного расстояния 50 м.


Интервал t9 между началом работ по очистке щебеночного балласта двумя щебнеочистительными машинами СЧ-601 и началом работ по срезке и уборке загрязненного балласта машиной СЗП-600 определяется длиной СЗП-600 с прибавлением 50 м по условиям охраны труда.


Календарный график

-ый день работ.

После уведомления о закрытии перегона Никольское-Избердей четный путь, начинаются работы по разборке с/г путевой решетки. Разборка путевой решетки производиться одним УК и одним составом из 28 платформ, оборудованных УСО, 3 МПД принадлежащих ПМС-139.

С 8-00 до 14-00 снимается путевая решетка с участка протяженностью 2,0 км. Разборка начинается с 422км ПК 9 в сторону ст. Избердей

С 8-30 до 20-00 за путеразборочным поездом начинает работать автотракторная техника в количестве 3-х автогрейдеров и 3-х бульдозеров, принадлежащих ПМС-139.

Снятая решетка на деревянных шпалах составом, состоящим из 28 платформ отправляется на производственную базу ПМС-139 под выгрузку, а на освободившиеся платформы будет загружена новая решетка на ж/б шпалах для последующей ее укладки в путь.

Укладка путевой решетки ведется в темпе автотракторной техники из-за больших земляных работ.

С 9-00 до 20-00 путеукладочным краном производиться укладка новой путевой решетки на ж/б шпалах на участке протяженностью 2,0 км. Укладка путевой решетки производиться одним УК и составом, состоящим из 32 платформ

оборудованных УСО, 3 МПД принадлежащих ПМС-139.

С 12-00 до 6-00 следующего дня производится работа машиной СЗП-600 для уборки лишнего балласта в выемках и нулевых местах на протяженность 2,0км.

С 12-00 до 6-00 следующего дня производится работа по очистке загрязненного балласта под новой путевой решеткой машиной СЧ на протяженность 2,0 км, с устройством разделительного слоя из геотекстиля.

Геотекстиль привозят с базы ПМС-139 на платформах, с перегрузкой на станции формирования на СЧ и 4 монтера пути подносят к месту работ.

-ой день работ.

С 8-00 до 14-00 снимается путевая решетка с участка протяженностью 2,0км нарастающим 4,0км. Разборка начинается от 424км ПК 9 в сторону ст. Избердей.

С 8-30 до 20-00 за путеразборочным поездом начинает работать автотракторная техника в количестве 3-х автогрейдеров и 3-х бульдозеров.

Снятая решетка на деревянных шпалах, составом: состоящим из 18 платформ отправляется на производственную базу ПМС-139 под выгрузку, а на освободившиеся платформы будет загружена новая решетка на ж/б шпалах для последующей ее укладки в путь.

С 9-00 до 20-00 путеукладочным краном производится укладка новой путевой решетки на ж/б шпалах протяженностью 2,0км, нарастающим 4,0км.

Укладка путевой решетки производится одним УК и составом: состоящим из 32 платформ оборудованных УСО, 3 МПД.

С 12-00 до 6-00 следующего дня производится работа по очистке загрязненного балласта под новой путевой решеткой машиной СЧ на протяжении 2,0км, нарастающим 4,0км с устройством разделительного слоя из геотекстиля.

Геотекстиль привозят с базы ПМС-139 на платформах, с перегрузкой на станции формирования на СЧ и 4 монтера пути подносят геотекстиль к месту работ.

С 12-00 до 6-00 следующего дня производится работа машиной СЗП-600 для уборки лишнего балласта в выемках и нулевых местах на протяжении 2,0км, нарастающим 4,0км.

С 17-00 до 17-00 производится работа по выгрузке щебня хоппер-дозаторной вертушки №1, на участке протяженностью 2,0км и работа путевой машины ЭЛБ.

С 18-00 до 23-00 производится работа по выгрузке щебня из ХДВ №2 на этом же участке протяженностью 2,0км и работа путевой машины ЭЛБ.

С 0-00 до 4-00 производится планировка балласта машиной ПБ и выправка пути машиной ВПР по месту выгрузке ХДВ №2 на первом участке протяженностью 2,0км.

-ий день робот .

С 8-00 до 14-00 снимается путевая решетка с участка протяженностью 2,0 км, нарастающим 6,0 км. Разборка ведется в сторону ст. Избердей 426км ПК 9.

С 8-30 до 20-00 за путеразборочным поездом начинает работать автотракторная техника в количестве 3-х автогрейдеров и 3-х бульдозеров, принадлежащих ПМС- 139.

Снятая решетка на деревянных шпалах составом, состоящим из 28 платформ отправляется на производственную базу ПМС-139 под выгрузку, а на освободившиеся платформы будет загружена новая решетка на ж/б шпалах для последующей ее укладки в путь.

Укладка путевой решетки ведется в темпе автотракторной техники из-за больших земляных работ.

С 9-00 до 20-00 путеукладочным краном производиться укладка новой путевой решетки на ж/б шпалах на участке протяженностью 2,0 км, нарастающим 6,0 км.

Укладка путевой решетки производиться одним УК и составом, состоящим из 32 платформ оборудованных УСО, 3 МПД принадлежащих ПМС-139.

С 12-00 до 6-00 следующего дня производится работа по очистке загрязненного балласта под новой путевой решеткой машиной СЧ на протяжении 2,0км, нарастающим 6,0км с устройством разделительного слоя из геотекстиля.

Геотекстиль привозят с базы ПМС-139 на платформах, с перегрузкой на станции формирования на СЧ и 4 монтера пути подносят к месту работ.

С 12-00 до 6-00 следующего дня производится работа машины СЗП-600 для уборки лишнего балласта в выемках и нулевых местах на протяжении 2,0км, нарастающим 6,0км.

С 12-00 до 17-00 производится работа по выгрузке щебня из ХДВ №1, на втором участке протяженностью 2,0км, нарастающим 4,0км и работа путевой машины ЭЛБ.

С 18-00 до23-00 производится работа по выгрузке щебня из ХДВ №2, на этом же участке протяженностью 2,0км, нарастающим 4,0км и работа путевой машины ЭЛБ.

С 0-00 до 4-00 производится планировка балласта машиной ПБ и выправка пути машиной ВПР по месту выгрузки ХДВ №2 на втором участке протяженностью 2,0км, нарастающим 4,0км.

-ый день работ.

С 8-00 до 14-00 снимается путевая решетка с участка протяженностью 2,0км, нарастающим 8,0км. Разборка начинается от 428км ПК 9 в сторону ст. Избердей.

С 8-30 до 20-00 за путеразборочным поездом начинает работать автотракторная техника в количестве 3-х автогрейдеров и 3-х бульдозеров.

Снятая решетка на деревянных шпалах, составом из 28 платформ отправляется на производственную базу ПМС-139 под выгрузку, а на освободившиеся платформы будет загружена новая решетка на ж/б шпалах для последующей укладки в путь.

С 9-00 до 20-00 путеукладочным краном производится укладка новой путевой решетки на ж/б шпалах на участке протяженностью 2,0км, нарастающим 8,0км.

Укладка путевой решетки производится одним УК и составом из 32 платформ оборудованных УСО, 3 МПД.

С 12-00 до 6-00 следующего дня производится работа по очистке загрязненного балласта под новой путевой решеткой машиной СЧ на протяжении 2,0км, нарастающим 8,0км с устройством разделительного слоя из геотекстиля.

Геотекстиль привозят с базы ПМС-139 на платформах, с перегрузкой на станции формирования на СЧ и 4 монтера пути подносят геотекстиль к месту работ.

С 12-00 до 6-00 следующего дня производится работа машиной СЗП-600 для уборки лишнего балласта в выемках и нулевых местах на протяжении 2,0км, нарастающим 8,0км.

С 12-00 до 17-00 производится работа по выгрузке щебня из ХДВ №1, на третьем участке протяженностью 2,0км, нарастающим 6,0км и работа путевой машины ЭЛБ.

С 18-00 до 23-00 производится работа по выгрузке щебня из ХДВ №2, на этом же участке протяженностью 2,0, нарастающим 6,0км и работа путевой машины ЭЛБ.

С 0-00 до 4-00 производится планировка балласта машиной ПБ и выправка пути машиной ВПР по месту выгрузке ХДВ №2 на третьем участке протяженностью 2,0км, нарастающим 6,0км.

-ый день работ.

С 8-00 до 14-00 снимается путевая решетка с участка протяженностью 2,0 км, нарастающим 10,0км. Разборка ведется от 430км ПК 9 в сторону ст. Избердей.

С 8-30 до 20-00 за путеразборочным поездом начинает работать автотракторная техника в количестве 3-х автогрейдеров и 3-х бульдозеров, принадлежащих ПМС- 139.

Снятая решетка на деревянных шпалах составом, состоящим из 28 платформ отправляется на производственную базу ПМС-139 под выгрузку, а на освободившиеся платформы будет загружена новая решетка на ж/б шпалах для последующей ее укладки в путь.

Укладка путевой решетки ведется в темпе автотракторной техники из-за больших земляных работ.

С 9-00 до 20-00 путеукладочным краном производиться укладка новой путевой решетки на ж/б шпалах на участке протяженностью 2,0 км, нарастающим 10,0 км. Укладка путевой решетки производиться одним УК и составом, состоящим из 32 платформ оборудованных УСО, 3 МПД принадлежащих ПМС-139.

С 12-00 до 6-00 следующего дня работа по очистке загрязненного балласта под новой решеткой машиной СЧ на протяжении 2,0км, нарастающим 10,0км с устройством разделительного слой из геотекстиля.

Геотекстиль привозят с базы ПМС-139 на платформах, с перегрузкой на станции формирования на СЧ и 4 монтера пути подносят геотекстиль к месту работ.

С 12-00 до 6-00 следующего дня производится работа машиной СЗП-600 для уборки лишнего балласта в выемках и нулевых местах на протяжении 2,0км, нарастающим 10,0км.

С 12-00 до 16-00 производится работа по выгрузке плетей из спецсостава по месту укладки, протяженностью 4,8км.

С 12-00 до 17-00 производится работа по выгрузке щебня из ХДВ №1, на четвертом участке протяженностью 2,0км, нарастающим 8,0км и работа путевой машины ЭЛБ.

С 18-00 до 23-00 производится работа по выгрузке щебня из ХДВ №2, на этом же участке протяженностью 2,0км, нарастающим 8,0км и работа путевой машины ЭЛБ.

С0-00 до 4-00 производится планировка балласта машиной ПБ и выправка пути машиной ВПР по месту выгрузке ХДВ №2 на четвертом участке протяженностью 2,0км, нарастающим 8,0км.

-ой день работ .

С 8-00 до 14-00 снимается путевая решётка с участка протяжённостью 2,0 км, нарастающим 12,0 км. Разборка начинается от 432 км ПК 9 в сторону ст. Избердей.

С 8-30 до 20-00 за путеразборочным поездом начинает работать автотракторная техника в количестве 3-х автогрейдеров и 3-х бульдозеров.

Снятая решётка на деревянных шпалах, составом: состоящим из 28 платформ УСО, отправляется на производственную базу ПМС 139 под выгрузку, а на освободившиеся платформы будет загружена новая решётка на ж/б шпалах для последующей её укладки в путь.

С 9-00 до 20-00 путеукладочным краном производиться укладка новой путевой решётки на ж/б шпалах на участке протяжённостью 2,0 км, нарастающим 12,0 км.

Укладка путевой решётки производиться одним УК и состоящим из 32 платформ оборудованных УСО, 3 МПД.

С 8-00 до 17-00 производится работа по замене инвентарных рельсов на сварные рельсовые плети длинной до блок-участка и уборка инвентарных рельсов краном УК на участке протяжённостью 1,6км.

С 19-00 до 22-00 следующего дня производится работа по очистке загрязнённого балласта под новой решёткой машиной СЧ на протяжении 3,0км, нарастающим 13,0км с устройством разделительного слоя из геотекстиля.

Геотекстиль привозят с базы ПМС-139 на платформах, с перезагрузкой на станции формирования на СЧ и 4 монтёра пути подносят к месту работ.

С 19-00 до 22-00 следующего дня производится работа машиной СЗП-600 для уборки лишнего балласта в выемках и нулевых местах на протяжении 3,0км, нарастающим 13,0км.

С 18-00 до 23-00 производится работа по выгрузке щебня из ХДВ №1, на пятом участке протяжённостью 2,0км, нарастающим 10,0км и работа путевой машины ЭЛБ.

С 19-00 до 24-00 производится работа по выгрузке щебня из ХДВ №2, на этом же участке протяжённостью 2,0км, нарастающим 10,0км и работа путевой машины ЭЛБ.

С 20-00 до 24-00 производится работа машины ПРСМ с последовательной сваркой на длину блок-участка. Сварка 2-х стыков на 423км ПК 7.

-ой день работ.

С 1-00 до 5-00 производится планировка балласта машиной ПБ и выправка пути машиной ВПР по месту выгрузке ХДВ №2, на четвёртом участке протяжённостью 2,0км, нарастающим 10,0км.

С 8-00 до 11-00 снимается путевая решетка с участка протяженностью 1,0 км, нарастающим 13,0км. Разборка начинается от 434км ПК 9 в сторону ст. Избердей.

С 8-30 до 20-00 за путеразборочным поездом начинает работать автотракторная техника в количестве 3-х автогрейдеров и 3-х бульдозеров, принадлежащих ПМС-139.

Снятая решетка на деревянных шпалах, составом: состоящим из 14 платформ отправляется на производственную базу ПМС-139 под выгрузку, а на освободившиеся платформы будет загружена новая решетка на ж/б шпалах для последующей ее укладки в путь.

С 9-00 до 15-00 путеукладочным краном производиться укладка новой путевой решетки на ж/б шпалах на участке протяженностью 1,0км, нарастающим 13,0 км.

Укладка путевой решетки производиться одним УК и составом, состоящим из 16 платформ оборудованных УСО, 3 МПД принадлежащих ПМС-139.

С 8-00 до 20-00 производится работа по замене инвентарных рельсов на сварные рельсовые плети длинной до блок-учатка и уборка инвентарных рельсов краном УК на участке протяжённостью 2,4км, нарастающим 4,0км.

С 8-00 до 20-00 производится работа машиной СЗП-600 для уборки лишнего балласта в выемках и нулевых местах на протяжении 1,0.

С 11-00 до 15-00 производится работа машины ПРСМ с последовательной сваркой на длину блок-участка. Сварка 2-х стыков на 424км ПК5.

С 21-00 до 2-00 следующего дня производится работа по выгрузке щебня из ХДВ №1, на шестом участке протяжённостью 2,0км, нарастающим 12,0км и работа путевой машины ЭЛБ.

С 22-00 до 3-00 производится работа по выгрузке щебня из ХДВ №2, на этом же участке протяжённостью 2,0км, нарастающим 12,0км и работа путевой машины ЭЛБ.

-ой день работ.

С 1-00 до 5-00 производится планировка балласта машиной ПБ и выправка пути машиной ВПР по месту выгрузке ХДВ №2 на четвёртом участке протяжённостью 2,0км, нарастающим 12,0км.

С 7-00 до 11-00 производится работа по выгрузке рельсовых плетей из спецсостава по месту укладки, протяжённостью 4,8км, нарастающим 9,6км.

С 8-00 до 20-00 производится работа по замене инвентарных рельсов на сварные рельсовые плети длинной до блок-участка и уборка инвентарных рельсов краном УК на участке протяжённостью 2,4км, нарастающим 6,4км.

С 8-00 до 7-00 следующего дня производится работа машиной СЗП-600 для уборки лишнего балласта в выемках и нулевых местах на протяжении 3,0км.

С 8-00 до 12-00 производится работа машины ПРСМ с последовательной сваркой на длину блок-участка. Сварка 2-х стыков на 425км ПК3.

С 9-00 до 11-00 производится работа по выгрузке щебня из ХДВ №1, на седьмом участке протяжённостью 1,0км, нарастающим 13,0км и работа путевой машины ЭЛБ.

С 12-00 до 15-00 производится работа по выгрузке щебня из ХДВ №2, на этом же участке протяжённостью 1,0км, нарастающим 13,0км и работа путевой машины ЭЛБ.

С 13-00 до 17-00 производится работа машины ПРСМ с последовательной сваркой на длину блок-участка. Сварка 2-х стыков на 426км ПК 1.

С 21-00 до 1-00 следующего дня производится работа машины ПРСМ с последовательной сваркой на длину блок-участка. Сварка 2-х стыков на 426км ПК 9.

-ый день работ.

С 8-00 до 20-00 производится работа по замене инвентарных рельсов на сварные рельсовые плети длинной до блок-участка и уборка инвентарных рельсов краном УК на участке протяжённостью 1,6км, нарастающим 8,0км.

С 8-00 до 12-00 производится работа машины ПРСМ с последовательной сваркой на длину блок-участка. Сварка 2-х стыков на 427км ПК 7.

С 13-00 до 17-00 производится работа машины ПРСМ с последовательной сваркой на длину блок-участка. Сварка 2-х стыков на 428км ПК5.

С 21-00 до 1-00 следующего дня производится работа машины ПРСМ с последовательной сваркой на длину блок-участка. Сварка 2-х стыков на 429км ПК3.

С 21-00 до 6-00 следующего дня работа путевой машины СЗП-600 в выемках и нулевых местах.

-ый день работ.

С 7-000-00 производится работа по выгрузке рельсовых плетей из спецсостава по месту укладки, протяжённостью 3,4км, нарастающим 13,0км.

С 8-00 до 20-00 производится работа по замене инвентарных рельсов на сварные рельсовые плети длиной до блок-участка и уборка инвентарных рельсов краном УК на участке протяжённостью 1,6км, нарастающим 9,6км.

С 11-00 до 15-00 производится работа машины ПРСМ с последовательной сваркой на длину блок-участка. Сварка 2-х стыков на 430км ПК 1.

С 16-00 до 20-00 производится работа машины ПРСМ с последовательной сваркой на длину блок-участка. Сварка 2-х стыков на 430км ПК 9.

С 21-00 до 6-00 следующего дня работа путевой машины СЗП-600 в выемках и нулевых местах.

-ый день работ.

С 8-00 до 20-00 производиться работа по замене инвентарных рельсов на сварные рельсовые плети длиной до блок-участка и уборка инвентарных рельсов краном УК на участке протяженностью 1,6 км, нарастающим 11,6 км.

С 11-00 до 15-00 производиться работа машины ПРСМ с последовательной сваркой на длину блок-участка. Сварка 2-х стыков на 431км ПК 7.

С 16-00 до 20-00 производится работа машины ПРСМ с последовательной сваркой на длину блок-участка. Сварка 2-х стыков на 432км ПК 5.

С 9-00 до 20-00 работа путевой машины СЗП-600 в выемках и нулевых местах.

С 18-00 до 17-00 тринадцатого дня работа путевой машины АГД.

С 21-00 до 10-00 следующего дня работа путевой машины СЗП-600 в выемках и нулевых местах.

-ый день работ.

С 8-00 до 20-00 производиться работа по замене инвентарных рельсов на сварные рельсовые плети длиной до блок-участка и уборка инвентарных рельсов краном УК на участке протяженностью 1,8 км, нарастающим 13,0 км.

С 8-00 до 18-00 следующего дня производится работа по выгрузке щебня из ХДВ (пополнение), по всему фронту работ, протяжённостью 13,0км.

С 11-00 до 15-00 час производиться работа машины ПРСМ с последовательной сваркой на длину блок-участка. Сварка 2-х стыков на 433км ПК 3.

С 11-00 до 12-00 пятнадцатого дня производится работа комплекса машин (Дуоматик, ДСП, РБ, ПБ, РШП, ЭЧК) по всему фронту работ, протяжённостью 13,0км.

С 16-00 до 20-00 производится работа машины ПРСМ с последовательной сваркой на длину блок-участка. Сварка 2-х стыков на 434км ПК 1.

С 20-00 до 10-00 следующего дня работа машины СЗП-600 в выемках и нулевых местах.

-ый день работ.

С 8-00 до 12-00 производиться работа машины ПРСМ с последовательной сваркой на длину блок-участка. Сварка 2-х стыков на 434км ПК 9.

С 8-00 до 20-00 по всему фронту работ производятся отделочные работы (установка и окрашивание путевых знаков, подготавливают стеллажи для ПКЗ и укладывают на них рельсы).

С 8-00 до 12-00 производится работа машины ПРСМ с последовательной сваркой на длину блок-участка. Сварка 2-х стыков на 435км ПК 7.

С 8-00 до 20-00 по всему фронту работ производятся отделочные работы (установка и окрашивание путевых знаков, подготавливают стеллажи для ПКЗ и укладывают на них рельсы).

-ый день работ.

С 8-00 до 20-00 по всему фронту работ производятся отделочные работы (установка и окрашивание путевых знаков, подготавливают стеллажи для ПКЗ и укладывают на них рельсы).

-ый день работ.

С 5-00 до 7-00 проход путеизмерителя по всему фронту производства работ 13,0 км.

С 8-00 уведомление об открытии перегона. Подача напряжения.

2.5 Составление схемы формирования рабочих поездов и заполнение ведомости затрат труда по технологическим нормам

Успешная работа ПМС в значительной степени зависит от своевременного и правильного формирования рабочих поездов как на звеносборочной базе, так и на прилегающих к ремонтируемому перегону станциях. Составлению схем рабочих поездов предается большое значение. В зависимости от характера выполняемой работы эти схемы могут быть различные. Однако они должны соответствовать типовым схемам, установленным [Инструкцией по безопасности движения поездов при производстве путевых работ ЦП-485].

Если в проектируемом технологическом процессе предусматривают комплекс машин, несоответствующий типовым схемам, то машины расставляют и соединяют в один поезд для отправления на перегон по схемам, согласованным с начальником отделения дороги.

Чтобы установить возможность формирования потребного количества поездов на одной станции, определяют длину каждого поезда. Длины поездов рассчитывают в соответствии с длинами отдельных единиц подвижного состава, измеренными между осями автосцепок.

Определяем длину первого хозяйственного поезда, состоящего из тепловоза ТЭ-3 (lтепл=2×17=34м), машины ЭЛБ (lЭЛБ=47,2м), пассажирского вагона для обслуживающей бригады (lпасс=24,5м):

L1 = 34+47,2+24,5 = 105,7м (2.5.1)

Для определения длины второго хозяйственного поезда - путеразборщика, необходимо определить количество порожних платформ для погрузки и транспортировки звеньев рельсошпальной решетки.


где: Lфр - фронт работ по ремонту пути в «окно», Lфр=2000 м;зв - длина одного звена, lзв=25 м;яр - число звеньев в пакете, при погрузке пакета без лыж с переворачиванием нижнего звена при деревянных шпалах и рельсах Р65 nяр=7;

К - число платформ, занятых одним пакетом, К=2.


Таким образом, длина второго хозяйственного поезда - путеразборочного, состоящего из локомотива ТЭ-3, путеукладочного крана УК-25/9-18, четырехосной платформой с электролебедкой, четырехосных платформ с роликовыми транспортерами, в том числе трех моторных платформой, будет иметь длину:поезда=lУК-25+lгр.пл+lлок,

где lУК-25 - длина путеукладчика УК-25/9-18, lУК-25=43,9м;лок - длина локомотива, lлок=34м;гр.пл - длина платформ, загруженных пакетами, l4-осн=14,6м, lМПД=16,2м.

L2 = 43,9+24·14,6+3·16,2+34 = 525,5 м. (2.5.2)

Длина третьего хозяйственного поезда, путеукладочного, состоящего из путеукладочного крана УК-25/9-18, роликовых платформ с пакетами новых звеньев (при погрузке пакета без лыж с переворачиванием нижнего звена при железобетонных шпалах и рельсах Р65 nяр=5), в том числе трех моторных платформ без пакетов и локомотива, составит:

= 43,9+32·14,6+3 ·16,2+34=593,7 м. (2.5.3)

Длина четвертого поезда, состоящего из хоппер-дозаторов (lХДВ=10,9 м) и тепловоза ТЭ-3:


где Wщ - количество щебня, подлежащее выгрузке из хоппер-дозаторов, щ=1900 м3;ХДВ - вместимость кузова хоппер-дозатора, WХДВ=32,4 м3.


Пятый поезд - машина ВПО-3000 (lВПО=27,7 м) с пассажирским вагоном и тепловозом ТЭ-3:= 34+27,7+24,5=86,2 м (2.5.5)

Шестой хозяйственный поезд - ВПР-02 имеет длину:

= 27 м. (2..5.6)

Общая длина всех хозяйственных поездов составит:

общ = 105,7+525,5+593,7+697,7+86,2+27 = 2035,8 м (2.5.7)

С учетом поэтапного выполнения работ в течении всего закрытия сформированные поезда будут занимать не менее двух станционных путей

2.5 Перечень потребных машин, механизмов и путевого инструмента

Таблица 2.3. Машины и механизмы

№№ п/п

Наименование

Количество

1.

Путеукладочный кран УК-25/9-18

2

2.

Моторные платформы

4

3.

Четырехосные платформы, оборудованные роликовыми транспортерами

67

4.

Четырехосные платформы

4

5.

Электробалластер

1

6.

Автогрейдер тяжелого типа

3

7.

Бульдозер среднего типа

3

8.

Щебнеочистительная машина СЧ

2

9.

Машина СЗП-600

1

10.

Состав из универсальных полувагонов ПУ В том числе: под СЗП-600 вагонов ПУ концевых вагонов под СЧ вагонов ПУ концевых вагонов

2 10 1 14 2

11.

Выправочно-подбивочно-рихтовочная машина ВПР-02

1

12.

Машина «Дуоматик»

1

13.

Рельсошлифовальный поезд

1

14.

Машина ПРСМ

1

15.

Динамический стабилизатор

1

16.

Планировщик ПБ

1

17.

Хоппер-дозаторная вертушка

14

18.

Специальный состав для перевозки рельсовых плетей

1

19.

Приспособление для надвижки рельсовых плетей на подкладки

1

20.

Электростанция передвижная

2

21.

Электрогаечные ключи для стыковых болтов

2

22.

Рельсорезные станки

2

23.

Рельсосверлильные станки

2

24.

Разгоночные гидравлические приборы

2

25.

Домкраты гидравлические

6


Таблица 2.4. Путевой инструмент

№№ п/п

Наименование

Количество

 

1.

Ключи торцевые для монтажа РШР типа АРС-4

50

 

1.

Ключи гаечные путевые

6

 

2.

Ломы лапчатые

10

 

3.

Ключи торцевые

40

 

4.

Ломы остроконечные

5

 




 

5.

Молотки костыльные

8

 

6.

Вилы щебеночные

23

 

7.

Лопаты железные

8

 

8.

Шаблоны путевые универсальные

2

 

9.

Шаблоны для междупутья

2

 

10.

Вкладыши рельсовые (компл)

2

 

11.

Рулетка мерная стальная

2

 

12.

Радиостанции типа «Моторола»

8

 


2.6 Расчет численности состава ПМС и определение организационной структуры ПМС

Определение численного состава, занятых на всем объеме подготовительных, основных и отделочных работ на участке капитального ремонта пути, протяженностью 2000м, осуществляется на основании «Ведомости затрат труда, количества и времени работы» (Табл. 2.5.1.).

Технические нормы затрат труда и времени работы машин берут из типовых технологических процессов и [Технических условий на работы по ремонту и планово-предупредительной выправке пути].

Определение численного состава рабочих по процессу для производства подготовительных, основных и отделочных работ производят исходя из темпов работы ведущих машин. Численный состав определяется по формуле:

 (2.6.1)

где С i - затраты труда на выполнение работы на заданном участке,

чел.минi - время работы ведущей машины на заданном участке, мин

Согласно технологического процесса на усиленный капитальный ремонт пути с закрытием перегона рассчитываем потребности монтеров пути.

Работа на перегоне.

Срезка и уборка балласта с обочины балластной призмы машиной СЗП.

Опробование и смазка стыковых болтов

Подготовка места для выезда автотракторной техники.

Демонтаж рельсовых стыков - 16 м/пути

5 сигналистов

Разборка рельсошпальной решетки УК-25/18, формирование её в пакеты и перемещение их на платформы.

Закрепление пакетов - 1 сигналист

м/пути

Работа выполняется тем же составом.

Срезка балластной призмы автотракторной техникой

сигналиста

Укладка рельсошпальной решетки краном УК-25/18 с установкой нормальных стыковых зазоров

м/пути

сигналист

Монтаж рельсовых стыков и завинчивание гаек стыковых болтов. Поправка шпал по меткам. Рихтовка пути в плане с постановкой на ось моторным гидравлическим рихтовщиком РГУ

м/пути

сигналиста

Работа машин СЧ-600 вырезка и очистка загрязненного балласта с укладкой разделительного слоя из геотекстиля

м/пути

сигналиста

Работа машины СЗП для уборки лишнего балласта

м/пути

сигналиста

ИТОГО: - 68 м/пути. - 10 сигналистов Работа выполняется тем же составом

Выгрузка щебня из хоппер-дозатора

м/пути

сигналист

Работа машин ЭЛБ, ПБ, ВПР, ДСП

сигналиста

Выгрузка длинномерных плетей со спецсостава

м/пути

Замена инвентарных рельсов на сварные рельсовые плети и уборка инвентарных рельсов

м/пути

сигналиста

Работа машины ПРСМ

м/пути

Работа машин ПМГ, ПБ, ДСП, Дуоматик

сигналист

---------------------------------------------------------------------------------------

ИТОГО - 68 м/пути

10 сигналистов

Работа на производственной базе.

Монтаж звеньев рельсошпальной решетки с железобетонными шпалами длиной 25 м.

.6.1. Раскладка пакетов шпал на пути шаблоне краном КПБ-10.

м/пути

.6.2.Раскладка и регулировка шпал на стенде шаблоне вручную

м/пути

.6.3.Погрузка скреплений изолирующего уголка

м/пути

.6.4. Раскладка резиновых прокладок

м/пути

.6.5. Раскладка рельсов краном КПБ-10 с установкой концов рельс по наугольнику

м/пути

.6.6. Разметка шпал по эпюре

м/пути

.6.7. Раскладка изолирующего уголка, клеммы, монорегулятора

м/пути

.6.8. Установка изолирующего уголка - 4 м/пути

.6.9. Установка клеммы, монорегулятора

м/пути

.6.10. Фиксирование монорегулятора во второе положение

4 м/пути

.6.11. Погрузка и выгрузка МВСП. Погрузка новой рельсошпальной решетки на ж/б шпалах и выгрузка старогодной решетки на деревянных шпалах

м/пути

.6.12.Демонтаж звеньев старогодной рельсошпальной решетки на деревянных шпалах

м/пути

------------------------------------------------------------------------------------

ИТОГО: - 51 м/пути

ВСЕГО: - 119 м/пути

10 сигналистов

Таблица 2.6. Руководители производства работ машин и механизмов на закрытом перегоне.

№ п/п

Машины и механизмы

Руководитель работ

1

Механизированный комплекс СЗП-600

Производитель работ  или дорожный мастер

2

Путеразборочный кран


3

Путеукладочный кран


4

Плетевоз


5

ПРСМ


6

Хоппер-дозаторная вертушка


7

АГД в комплекте с УП-4


8

Механизированный комплекс  СЧ-601

Заместитель начальника  или главный инженер

9

Дуоматик


10

ВПРС-500


11

РБ


12

ПБ-01


13

ЭЛБ



3. Оценка состояния пути после производства усиленного капитального ремонта пути

3.1 Верхнее строение пути

При проведении усиленного капитального ремонта пути произведены:

сплошная замена рельсов типа Р65 [ГОСТ 8161-75] новыми с укладкой бесстыкового пути на новых железобетонных шпалах [ГОСТ 10629-88];

выправка пути на щебне [ГОСТ 23845-79 ];

толщина чистого щебня под железобетонными шпалами 0,40 м;

ширина плеча балластной призмы не менее 0,45 м;

крутизна откосов балластной призмы - 1:1,5.

Верхнее строение пути после ремонта:

Сплошная замена рельсов новыми типа Р-65 с укладкой бесстыкового пути на железобетонных шпалах. Раскладка плетей бесстыкового пути длинномерными сварными плетями длиной, ограниченной блок-участками. Предусмотрена укладка четырех пар уравнительных рельсов длиной по 12,5 м с размещением посередине изостыка с шестидырными стеклопластиковыми накладками АпАТэК. Сварная плеть состоит из комплекта длиной 800 м и короткой плети недостающей длины;

Накладки в уравнительных пролетах 6-ти дырые, в стыках установлены тарельчатые шайбы;

Скрепления раздельные АРС-4;

Эпюра шпал в прямых участках и кривых радиусом:

более 1200 - 1840 шт/км;

м и менее - 2000 шт/км;

Толщина чистого щебня под железобетонными шпалами не менее 40 см с укладкой разделительного слоя из геотекстиля.

3.2 Анализ геометрии рельсовой колеи по данным проходов вагонов-путеизмерителей за период с мая по октябрь 2006 года

Состояние пути в период с мая по октябрь 2006 года на Мичуринском отделении Юго-Восточной железной дороги, в границах которого находится перегон Никольское-Избердей, проверялось дорожными путеизмерительными вагонами № 017, 042, 060 220 и путеобследовательской станцией МПС № 705. По данным контрольных проходов путеизмерительных вагонов был произведен анализ геометрии рельсовой колеи и составлена диаграмма отступлений от норм содержания рельсовой колеи на данном участке.

За шесть месяцев количество неисправностей второй и третей степени соответственно составило: в мае - 87/1, июне - 91/1, июле - 92/0, августе -

/0, сентябре - 98/0, октябре - 92/2. Из общего количества неисправностей на отступление по сужению приходится 11,5%, уширению - 2,6%, уровню - 8,8%, перекосам - 22,2%, просадкам - 36,5%, рихтовке - 17,0%. Наибольший процент отступлений по параметрам геометрии рельсовой колеи приходится на просадки. На конец 2006 года по Юго-Восточной железной дороге по балловой оценке план составлял 80 баллов, выполнение - 69 балл, по Кочетовской дистанции соответственно - 53/44. Средняя оценка на анализируемом участке пути составила 45 баллов, то есть состояние пути по параметрам геометрии рельсовой колеи после производства усиленного капитального ремонта пути улучшилось в 2,6 раза.


Для получения оценки определяется среднее число отступлений и неисправностей на 1 км ремонта за установленный период. Например. Для капитального ремонта:


где Ni - месячное количество отступлений и неисправностей.

Затем определяется показатель качества ремонта:

4. Технико-экономические показатели усиленного капитального ремонта пути

В технико-экономической части дипломного проекта приведено по детальное сравнение стоимости усиленного капитального ремонта пути.

Сметная документация разработана в соответствии с «Инструкцией о составе, порядке разработки, согласования и утверждения проектно-сметной документации на капработы объектов железнодорожного транспорта».

Участок капитального ремонта расположен в 3 температурной зоне. Работы выполняет ПМС ЮВжд.

Стоимость 1 км усиленного капитального ремонта определена на основании:

ведомости основных объемов работ;

данных ПМС;

типовых технологических процессов на усиленный капитальный ремонт пути;

сметно-нормативного справочника «Усиленный капитальный, капитальный ремонты с глубокой очисткой балласта», утвержденного МПС 15.02.2000г № Ш-14у;

«сметно-нормативного справочника по капитальному ремонту зданий и сооружений железнодорожного транспорта», часть 1 «Верхнее строение пути».

Затраты монтеров пути определены на основе типовых технологических процессов и типовых технических обоснованных норм времени на ремонты пути и дополнением к ним, сборника нормативов времени на подготовительно-заключительные действия, утвержденные МПС России. Тарифные ставки монтеров пути и механизмов взяты в соответствии с приказом № 85/Н от 08.02.07г.

Стоимость усиленного капитального ремонта одного километра пути приведена в сводной калькуляции.

Таблица 4.1. Сводная калькуляция

№ п/п

Наименование затрат

Измеритель

Стоимость

1.

Прямые затраты Затраты труда

 Чел.-дней.

 


Фонд оплаты труда монтеров пути

Рублей

260953,04


в том числе: Тариф

 Рублей

 105223,00


Премия

90%

94700,70


Выслуга лет

14%

14731,22


Разъездной характер работы

22,5%

23675,18


Дополнительная зарплата

21,5%

22622,95

2.

Стоимость эксплуатации машин без зарплаты машинистов

Рублей

217914,00

3.

Фонд оплаты труда машинистов

Рублей

101689,92


Тариф

Рублей

41004,00


Премия

90%

36903,60


Выслуга лет

14%

5740,56


Разъездной характер работы

22,5%


Дополнительная зарплата

21,5%

8815,86

4.

Стоимость материалов

Рублей

4532238,27

5.

Железнодорожный тариф

Рублей

249720,00


Итого прямых затрат:

Рублей

5112795,23

5.

Накладные расходы от фонда зарплаты монтеров пути и машинистов

114%

413412,97

6.

Прочие работы и затраты от фонда заработной платы

97%

351763,67


Итого по калькуляции:

Рублей

4068164,48

7.

Резерв на непредвиденные работы и затраты от общей стоимости

0,5%

20340,82


ВСЕГО ПО КАЛЬКУЛЯЦИИ:


5898312,7


После проведения усиленного капитального ремонта пути по расчету согласно Приказу от 03.04.1997г. №8-Ц произойдет снижение численности монтеров пути на текущее содержание отремонтированных километров.

По нормам расхода рабочей силы определяем численность монтеров для обслуживания главных путей в соответствии с характеристикой пути и его протяженностью по формуле:

 (4.8)

где L - развернутая длина конкретного участка пути, км;- норма расхода рабочей силы для данной конструкции, фактической грузонапряженности и скорости движения поездов (категории пути) конкретного участка, чел.-год. Рассчитывается по таблице 4.4. методом интерполяции;э - поправочный коэффициент, определяемый по формуле

 (4.9)

где Li - развернутая длина i-го участка пути с индивидуальными эксплуатационными условиями, км;- величина поправочного коэффициента для i-го участка на условия эксплуатации;общ - общая развернутая длина обслуживаемого участка, в которую входят участки с индивидуальными особенностями, км.

Таблица 4.2 Дифференцированные нормы затрат труда на текущее содержание и искусственных сооружений (фрагмент).

Грузонапря-женность млн. ткм. бр. на 1 км в год

ЗВЕНЬЕВОЙ ПУТЬ рельсы Р-65 длиной 25 метров, шпалы деревянные, балласт щебеночный или асбестовый

БЕССТЫКОВОЙ ПУТЬ рельсы Р-65, шпалы железобетонные, балласт щебеночный или асбестовый


СКОРОСТЬ: пассажирских поездов - числитель; грузовых - знаменатель, км/час, (КАТЕГОРИИ ПУТИ)


121-140 >80

101-120 >70

81-100 >60

121-140 >80

101-120 >70

81-100 >60


1

2

3

1

2

3

25

0,601

0,577

0,563

0,582

0,561

0,539

30

0,638

0,611

0,584

0,625

0,592

0,562

40

0,711

0,675

0,641

0,705

0,663

0,625

50

0,778

0,735

0,695

0,780

0,731

0,685

60

0,844

0,793

0,747

0,852

0,794

0,742


Расчет численности монтеров по нормам расхода рабочей силы приведен в таблице 4.3.

Таблица 4.3 Расчет численности монтеров пути.

Грузонапряжен-ность

Рельсы

Шпалы

Количество км

Поправочные коэффициенты





Кривые

Уклоны

Шлифовка

Глубокая очистка

Стабилиза-ция пути

Бесстыко-вой путь

До ремонта

30,0

Р65

25

Дер.

-

13,0

0,902 км 3,0

1,05

-

-

-

-

0,611








После ремонта

34,5

Р65

Б/п

-

Ж/б

13,0

0,902 км 3,0

1,05

0,85

0,8

0,8

0,85

0,592









По определенным значениям подсчитываем необходимое количество монтеров пути для текущего содержания участка до ремонта и после ремонта соответственно:


Окупаемость усиленного капитального ремонта пути подсчитывается из отношения стоимость 1 км усиленного капитального ремонта к разнице стоимостей текущего содержания 1 км пути до и после производства ремонтных работ:

 (4.10)

Стоимости содержания 1 км главного пути на деревянных шпалах с рельсами Р-65 и на железобетонных шпалах после производства усиленного капитального ремонта пути приведены ниже.

Расчет затрат на текущее содержание 1 км главного пути на деревянных шпалах с рельсами Р-65

. Определение трудозатрат:

Нормы затрат труда-монтеры пути по приказу МПС№8/Ц от 3.04.97г.- 0,611чел

Среднемесячный тариф монтеров пути 4 разряда- 0,611*4308=2632,19руб.

Сдельный приработок 42% - 1105,52руб.

Итого: - 3737,71руб.

Премия 70% - 2616,40руб.

Выслуга лет 15,5% - 579,34руб.

Отпускные 12,0% - 448,52руб.

Дополнительная зарплата 21,5% - 803,61руб. Социальные выплаты по коллективному договору - 956,54руб.

Итого месячный фонд - 9142,12руб.

Итого годовой фонд - 9142,12руб. * 12мес.= 109705,44руб.

. Расходы материалов верхнего строения пути на 1км в год - указание МПС №С - 1386у от 29.11.97г.

Накладки двухголовые - 0,472тн * 13542,08руб.=6391,86руб.

Болты стыковые с гайками - 0,123тн * 27774,80руб.=3416,30руб.

Шайбы пружинные для стыковых болтов - 0,110тн* 5843,99руб.=642,84руб.

Пружины тарельчатые для рельсовых стыков - 50шт * 8,55руб.=927,50руб.

Подкладки - 0,602тн * 14942,20руб.=8995,20руб.

Прокладки под подкладки резиновые - 90шт * 34,52руб.=3106,80руб.

Костыли - 0,640тн * 15449,16руб.=9887,46руб.

Шурупы для скрепления КД - 140шт х 0,103тн * 11898,09руб.=1225,50руб.

Противоугоны пружинные - 0,548тн * 20470,78руб.=11217,99руб.

Шпалы деревянные - 65шт * 515,49руб.=33506,85руб.

Балласт щебеночный - 29куб.м * 149,86руб.=4345,94руб.

Смазка рельсовая - 35 кг * 32,64руб.= 1142,40руб.

Итого: 81390,34руб.

. Расходы по спец.одежде:

Костюм х/б - 277,42руб. * 0,611чел=169,50 / 12мес.= 14,12руб.

Плащ - 275,00руб. * 0,611чел=168,02 /36мес.= 4,67руб.

Ботинки - 330,33руб. * 0,611чел=201,83 / 12мес.= 16,81руб.

Жилет сигнальный - 192,00руб. * 0,611чел=117,31 / 6мес.= 19,55руб.

Костюм т/з - 1090,02руб. * 0,611чел=666,00 / 30мес.= 22,20руб.

Валенки - 236,56руб. * 0,611чел=144,53 / 36мес.= 4,01руб.

Рукавицы - 4руб. * 0,611чел=7,36 / 1мес.= 7,36руб.

Мыло - 12,26руб. * 0,611чел=7,49 / 5мес.= 1,87руб.

Шапка - 284,66руб. * 0,611чел=173,93 / 30мес.= 5,80руб.

Кепка - 70руб. * 0,611чел=42,77 / 12месю= 3,56руб.

Итого расход в месяц 99,95руб.

Итого расход в год 99,95руб. * 12мес.=1199,45руб.

. Амортизация - 684,43руб.

В резерв на капитальный ремонт 15% - (9142,12+684,43)*0,15=1473,98руб.

Себестоимость - 24079,11+1473,98=25553,09руб.

Единый социальный налог 26,4% - 25553,09*0,264=6746,01руб.

ИТОГО прямых расходов в месяц:

,12+6782,53+6746,01+1199,45=23870,11руб.

Накладные расходы по фактическим данным годового баланса 2006года - 50,6%.

(109705,44руб. * 50,6%) / 100% = 55510,95 рублей в год.

Тогда прямые расходы в год - (23870,11*12)= 341952,27 рублей.

Прочие затраты: 0,5% * 109705,44 / 100% = 548,52 рублей.

ВСЕГО ПО КАЛЬКУЛЯЦИИ: 341952,27+55510,95+548,52=398011,71рублей в год.

,96 * 12мес.= 957335,58рублей в год на 1км пути.

Расчет затрат на текущее содержание 1 км главного пути на железобетонных шпалах с рельсами Р-65

. Определение трудозатрат:

Нормы затрат труда - монтеры пути по приказу МПС №8/Ц от 3.04.97г. - 0,592чел.

Средний разряд работ - 4,0.

Заработанная плата монтеров пути

Среднемесячный тариф монтеров пути 4 разряда - 0,592 * 4308= 2550,34руб.

Сдельный приработок 42% - 1071,43руб.

Итого: 3621,48руб.

Премия 70% - 2535,04руб.

Выслуга лет 15,5% - 561,33руб.

Отпускные 12,0% - 434,78руб.

Итого месячный фонд - 7152,43руб.

Итого годовой фонд - 85829,13руб.

. Начисления на соц. нужды 26,4% - 22658,90руб.

.Расход материалов верхнего строрения пути на 1 км в год - указание МПС №С - 1386у от 29.1197г.

Накладки двухголовые - 2 * 0,0295тн * 10807,42руб.=637,64руб.

Болты стыковые с гайками - 2 * 0,00114тн * 20766,17руб.=47,35руб.

Шайбы пружинные для стыковых болтов - 2 * 7,68руб.=15,36руб.

Пружины тарельчатые для рельсовых стыков - 1 * 1 * 18,55руб.=18,55руб.

Клемма АРС - 4 - 0,00124тн * 28434,14руб.=35,26руб.

Уголок изолирующий - 60шт * 3,50руб.=210руб.

Подклемник - 0,00162тн * 17727,27руб.=28,72руб.

Монорегулятор - 0,01522тн * 28375,00руб.=431,87руб.

Прокладки резиновые ЦП-204 АРС - 65шт * 6,40руб.=416,21руб.

Шпалы железобетонные АРС - 2шт * 791,13руб.=1582,26руб.

Балласт щебеночный - 17куб/м * 111,86руб.=1901,62руб.

Итого: 5324,84руб.

. Расходы по спецодежде:

Костюм х/б - 277,42руб. * 0,592чел=164,23 /12мес.= 13,69руб.

Плащ - 275,00руб. * 0,592чел=162,8 / 36мес.= 4,52руб.

Ботинки - 330,33руб. * 0,592чел=195,55 / 12мес.= 16,29руб.

Жилет сигнальный - 192,00руб. * 0,592чел=113,66 / 6мес.= 18,94руб.

Костюм т/з - 1090,02руб. * 0,592чел=645,29 / 30мес.= 21,51руб.

Валенки - 236,56руб. * 0,592чел=140,03 / 36мес.= 3,89руб.

Рукавицы - 12,04руб. * 0,592чел=7,12 / 1мес.= 7,12руб.

Мыло - 12,26руб. * 0,592чел=7,26 / 5мес.= 1,45руб.

Шапка - 284,66руб. * 0,592чел=168,52 / 30мес.= 5,62руб.

Кепка - 70руб. * 0,592чел=41,44 / 12мес.= 3,45руб.

Итого расходов в месяц: 96,48руб.

Итого расход в год: 96,48руб. * 12мес.= 1157,76руб.

ИТОГО прямых расходов в год :

,13+22658,90+5324,84+1157,76=114970,63руб.

Накладные расходы по фактическим данным годового баланса 2006года - 50,6%.

(85829,13рублей * 50,6%) / 100% =43429,54 рублей в год.

Прочие затраты - 0,5% * 85829,13рублей / 100% = 429,14 рублей.

Таким образом, затраты на текущее содержание пути после проведения капитального ремонта составят:

,14+429,14+43429,54 = 158828,82 рублей в год.

Анализ результатов расчета показал, что в условиях грузонапряженности в размере 29,6 млн. ткм брутто на километр пути в год на участке Избердей-Никольское целесообразно проведение усиленного капитального ремонта пути, так как затраты на текущее содержание пути, лежащего на деревянных шпалах значительно выше, чем содержание пути после проведения усиленного капитального ремонта пути.

5. Деталь проекта

Технологический процесс замены инвентарных рельсов на рельсовые плети со сваркой их на длину блок-участка с вваркой клееболтового изолирующего стыка (КБС) длиной 12,5 метров с металлокомпозитными накладками.

5.1 Характеристика пути

5.1.1 Участок пути двухпутный, электрофицированный, оборудованный электроблокировкой.

.1.2 В плане путь имеет 70% прямых и 30% кривых участков.

.1.3 Верхнее строение пути до ремонта:

.1.3.1.В пределах одного блок-участка уложены инвентарные рельсы типа Р-65 длиной по 25 метров, накладки на инвентарных рельсах 4-х дырные, в уравнительном пролете - 6-ти дырные; скрепление АРС-4; шпалы железобетонные эпюрой 1872 шт на 1 км; балласт щебеночный.

.1.3.2 В уравнительных пролетах оборудованы сборные изолирующие стыки.

.1.3.3 Передний уравнительный пролет стыкуется накладками с примыкающей рельсовой плетью, конец инвентарных рельсов примыкает к уравнительным рельсам.

.1.4 Верхнее строение пути после ремонта:

.1.4.1 Конструкция верхнего строения пути не меняется.

.1.4.2 Инвентарные рельсовые плети заменены на рельсовые плети, сваренные в длинномерную плеть длиной 1850,0 метров с вваренным рельсом КБС с металлокомпозитными накладками длиной 12,5 метров.

5.2 Условия производства работ

5.2.1 технологический процесс является составной частью комплексной технологии усиленного капитального или капитального ремонтов бесстыкового пути.

.2.2 В состав процесса входят следующие укрупненные операции:

Замена инвентарных рельсов и рельсов уравнительного пролета на длинномерные сварные рельсовые плети;

Сварка этих плетей на длину блок-участка с вваркой клееболтового стыка с металлокомпозитными накладками длиной 12,5 метров.

.2.3.Объем основных работ:

.2.3.1 замена инвентарных рельсов, м пути                           1800 м.

.2.3.2 замена уравнительных рельсов, м пути                        50,0 м.

.2.3.3 Вварка клееболтовых изолирующих стыков с металлокомпозитными накладками длиной по 12,5 метров, стык нити  2

.2.3.4 Сварка стыков машиной ПРСМ, стык нити                          8

5.2.3.5 Закрепление рельсовых плетей:

Вручную, м пути                                                                    1850 м.

.2.4 Работы по укладке и закреплению плетей выполняются при оптимальной температуре закрепления.

При нарушении этого условия применяется принудительное введение рельсовых плетей в оптимальную температуру по отдельному технологическому процессу.

.2.5 Снятие с подкладок и погрузка инвентарных рельсов на платформы с роликовым транспортером производится путеукладочным краном УК-25/9-18 с одновременной надвижкой рельсовых плетей на подкладки специальными салазками.

.2.6 Сварка рельсовых концов производится передвижной машиной ПРСМ со сварочной головкой К-355 А1. При работе машины ПРСМ сварочные головки должны быть направлены в сторону привариваемой плети.

.2.7 для обеспечения доступа сварочной головки к свариваемому стыку и его последующей обработки балласт из стыковых шпальных ящиков вырезается, скрепления АРС-4 снимают и раздвигают шпалы.

.2.8 Обрезка концов рельсов с болтовыми отверстиями и обработка поверхностей под сварку должна соответствовать требованиям, изложенным в технических условиях «Рельсы железнодорожные новые сварные» и инструкции «Инструктивные материалы по сварочно-наплавочным работам в путевом хозяйстве часть 1, п.1.2-1.4 ТУ 32 ЦП 562-88».

.2.9 Переезд по сварному стыку допускается не ранее, чем через 15 мин после окончания сварочных работ.

.2.10 В подготовительный период на рельсосварочном предприятии сварочной машиной, которой будет производиться сварка плетей, необходимо произвести сварку двух контрольных образцов.

При сварке контрольных образцов определяется фактическое укорочение на каждый сварной стык в результате оплавления и осадки. Укорочение определяют разницей измерений до и после сварки между рисками, нанесенными на головки двух свариваемых кусков рельсов.

Измерения выполняют линейкой с точностью до 0,5 мм.

Уменьшение длины рельсов должно быть занесено сварщиком в сменный рапорт.

Испытывать контрольные образцы должны в рельсосварочном предприятии в течении срока, не превышающего 1-2 дней до сварки на перегоне.

В случае неудовлетворительных результатов испытаний контрольных образцов сварные стыки забраковываются.

Сварные стыки должны соответствовать требованиям, изложенным в Технических указаниях «О восстановлении контактной сваркой лопнувших и дефектных рельсовых плетей бесстыкового пути».

.2.11 До начала «окна» на участке работ монтеры пути откручивают монорегуляторы и снимают скрепления на двух шпалах из трех. Скорость движения на участке работ ограничивают до 60 км/ч

.2.12 В «окно» производят отвинчивание монорегуляторов со снятием скреплений на оставшихся шпалах.

.2.13 Для пропуска путеукладочного крана по месту работ на каждом звене остаются закрепленными по 8 монорегуляторов.

.2.14 перед открытием перегона, после основных работ, путь приводится в состояние, обеспечивающее безопасный пропуск первых двух-трех поездов по месту работ со скоростью не более 25 км/ч и последующих с установленной скоростью.

.2.57 При выполнении работ по данному технологическому процессу необходимо соблюдать требование Правил технической эксплуатации железных дорого Российской Федерации, Инструкции по сигнализации на железных дорогах Российской Федерации, Инструкцией по движению поездов и маневровой работе на железных дорогах Российской Федерации, Инструкции по обеспечению безопасности движения поездов при производстве путевых работ, Технических указаний по устройству, укладке и содержанию бесстыкового пути, Инструктивных материалов по сварочно-наплавочным работам в путевом хозяйстве части 1-3, Указаний «О производстве и укладке в 2000 году высокопрочных металлокомпозитных изостыков» № С-2881 у от 23.12.99г., Правил по охране труда при содержании и ремонте железнодорожного пути.

5.3 Производственный состав

Работы по замене инвентарных рельсов рельсовыми плетями со сваркой их на длину блок-участка выполняются специализированной колонной путевой машинной станцией.

В состав колонны входят пять бригад монтеров пути в количестве 67 человек., в том числе:

Бригада № 1 - 10 человек;

Бригада № 2 - 12 человек;

Бригада № 3 - 10 человек;

Бригада № 4 - 12 человек;

Бригада № 5 - 10 человек.

Бригада № 6 - 13 человек.

Командный и обслуживающий персонал состоит из 14 человек в том числе;

Руководитель работ                        - 1 человек.

Дорожный мастер                           - 2 человека.

Бригадир пути                                 - 5 человек

(Неосвобожденные входят в число монтеров пути)

сигналист                                         - 4 человека

дефектоскопист*)                            - 1 человек

телефонист                                       - 1 человек

Машинисты путевых машин 12 человек в то числе:

Путеукладочного крана УК-25/9-18 - 4 человека.

Рельсосварочной машины ПРСМ - 6 человек.

Мотовоза МПТ - 2 человека.

*)Для контроля за качеством сварки стыков в день «окна» дистанция пути выделяет дефектоскописта с дефектоскопным аппаратом, который работает с бригадой ПРСМ.

5.4 Организация работ

работы по замене инвентарных рельсов на рельсовые плети со сваркой их на длину блок-участка и вваркой рельса КБС длиной 12,5 метра подразделяются на подготовительные и основные, которые выполняются в следующей последовательности.

.4.1 Подготовительные работы.

Подготовительные работы выполняются на производственной базе, на перегоне и рельсосварочном предприятии.

На производственной базе производится распиловка деревянных шпал на полушпалки, укладка их в пакеты; погрузка пакетов, металлических ползунов и рельсов КБС на платформу.

На рельсосварочном предприятии в соответствии с п.6.2.10 машина ПРСМ производит сварку двух контрольных образцов рельсовых стыков.

На перегоне монтеры пути очищают скрепления от грязи, выгружают рельсы КБС, полушпалки и металлические ползуны и укладывают их на место работ.

С рельсовозного состава производится выгрузка рельсовых плетей внутрь колеи по створам, закрепление их на полушпалках костылями с установкой по торцам плетей предохранительных башмаков.

.4.2 Основные работы.

Основные работы на участке протяженностью 1850 метров выполняются до закрытия перегона и во время «окна» продолжительностью 6,0 часов(рис № ).

.4.2.1 Работы выполняемые до закрытия перегона.

До начала «окна» 57 монтеров пути (бригады №№ 1,2,3,4,6) арсовскими ключами откручивают монорегуляторы и снимают скрепления на инвентарных рельсах и участке пути , оставляя на каждой третьей шпале.

монтера пути (бригада№1) на рельсовых плетях, лежащих внутри колеи, снимают предохранительные башмаки и расшивают костыли на полушпалках.

На период выполнения этих работ скорость движения ограничивается до 60 км/ч.

Указанные работы на графике не отражены, в ведомости затрат труда учитываются.

.4.2.2 Работы выполняемые в «окно».

После проследования последнего графикового поезда, оформления закрытия перегона, снятия напряжения в контактной сети, ограждения участка работ установленным порядком, 45 монтеров пути (бригады № 2,3,4,5) ключами производят отвинчивание оставшихся монорегуляторов на рельсах уравнительного пролета и на всем участке, оставляя затянутыми по 8 шпал на звене, разболчивают стыки и снимают накладки.

Первым поездом к месту работ прибывает рабочий поезд, состоящий по ходу движения из локомотива, моторной платформы МПД, комплекта платформ и путеукладочного крана УК-25/9-18.

монтеров пути ( бригада №1) подготавливают места для работы сварочной головки: вырезают балласт в шпальных ящиках, раздвигают шпалы, обрезают концы под сварку.

монтеров пути и четыре машиниста путеукладочного крана снимают уравнительные рельсы с о сборным изолирующим стыком и грузят их на платформу состава, новый рельс С КБС длиной 12,5 метров укладывают на подкладки вплотную к обрезанному концу плети, заряжают приспособление для надвижки плетей, снимают и грузят инвентарные рельсы с одновременной надвижкой рельсовых плетей на подкладки.

При движении состава бригада из 13 монтеров распределяют следующим образом: 4 человека составляют верхнюю бригаду стропальщиков, они же заняты на перетяжке пакетов; 4 человека отвинчивают и снимают оставшиеся скрепления, поправляют прокладки под рельсами; 2 человека-бригада нижних стропальщиков; 2 человека-следят за надвижкой плетей на анкеры шпал и 1 человек грузит на платформы накладки и болты.

Начальный конец плети с состава укладывается «с заходом» на расстоянии равном величине обрезки концов с болтовыми отверстиями и величине на осадку и угар металла при сварке. После укладки плетей длиной 100 метров состав останавливается, 6 монтеров пути закрепляют арсовскими ключами скрепления шпал на 10 метрах по правой и левой нитях, начиная на расстоянии 55 метров от начала плети. После этого работа состава продолжается. После укладки первой пары плетей на подкладки ключами закрепляют концы плетей на расстоянии 10 метров и заряжается устройство для надвижки второй пары плетей.

Укладка второй и третьей пары плетей производится аналогичным порядком.

В конце участка 13 монтеров пути (бр.№2) и 4 машиниста разряжают устройство для надвижки плетей.

Третьим поездом прибывает рельсосварочная машина ПРСМ и приводится в рабочее положение.

Сварочная головка машины ПРСМ устанавливается поочередно на стыки правой и левой нитей и производится сварка 1-ой пары стыков способом подтягивания.

После снятия грата и термообработки сварные стыки обрабатываются вначале грубой шлифовкой по всему периметру, а затем выполняется чистовая обработка поверхностей шлифовальным станком СЧР.

Дефектоскопист ультразвуковым дефектоскопом проверяет качество сварных стыков и производит запись в специальном журнале.

Концы плетей с болтовыми отверстиями отрезаются с учетом величины на угар и осадку металла.

После остывания стыков 10 м.п. (бригада № 1) восстанавливают места после сварки: раздвигают шпалы по эпюре, засыпают балласт в шпальных ящиках, устанавливают и закрепляют скрепления АРС-4, и переходят к подготовке мест для работы сварочной машины второй пары стыков.

монтеров пути (бригада №3) ключами завинчивают монорегуляторы на рельсе с КБС. Сварочная машина ПРСМ переезжает ко второму стыку.

монтеров пути (бригада №1) выводят из анкеров и изгибают незакрепленные концы плетей в горизонтальной плоскости до тех пор, пока торцы рельса и изгибаемого не будут соприкасаться.

монтера пути (бригада №1) устанавливают изолирующие уголки, клеммные пружины и наживляют на первых пяти метрах от торцов плетей.

Сварочная головка машины ПРСМ выполняет сварку 2-й пары стыков способом изгиба.

Обработка и проверка стыков производится по вышеуказанному способу.

После остывания стыков 10 монтеров пути (бригада №1) на правой и левой нити выполняют горизонтальное выпрямление оставшейся части изгиба с установкой на анкеры, закрепление шпал ключами и восстанавливают места сварки.

Вторая и третья пара плетей укладываются и свариваются между собой аналогичным порядком.

По окончании надвижки плетей 10 монтеров пути (бригада №3) устанавливают изолирующие уголки, клеммные пружины, монорегуляторы на одной шпале через 50 метров и завинчивают ключами.

монтеров пути (бригада №4,6) переходят на установку скреплений и наживляют монорегуляторы на всем протяжении рельсовых плетей.

Бригада №5 производит сплошное закрепление скреплений на шпалах АРС-4.

При стыковании последней пары плетей на уравнительном рельсе, примыкающем к изолирующему стыку, 10 монтеров пути (бригада №1) производит обрезку до длины рельса 5,65 с последующим сверлением болтовых отверстий, установкой накладок и сболчиванием стыков.

монтеров пути (бригада №3) собирают полушпалки в пакеты по всему фронту работ.

Мотовоз МПТ и 10 монтеров пути (бригада №3) на прицепную платформу производят уборку пакетов с полушпалками, металлические ползуны.

После проверки состояния пути, устранения выявленных неисправностей перегон открывается для движения со скоростью первых двух-трех поездов не более 25 км/ч последующих с установленной скоростью.

На этом работы по замене инвентарных рельсов на рельсовые плети со сваркой их на длину перегона и вваркой клееболтового изолирующего стыка (КБС) длиной 12,5 метров заканчиваются.

5.5Перечень необходимых путевых машин, механизмов и инструмента

Путеукладочный кран УК-25/9-18 с платформами и МПД      1 комплект.

Рельсосварочная машина                                                                                               1 шт.

Мотовоз МПТ                                                                                                                     1 шт.

Электростанция АБ-4                                                                                                        1 шт.

Рельсошлифовальный станок                                                                                         1 шт.

Рельсошлифовальный станок СЧР                                                                 1 шт.

Ультразвуковой дефектоскоп                                                                                         1 шт.

Ключ арсовский                                                                                                                 55 шт.

Ключ гаечный                                                                                                                     8 шт.

Вилы щебеночные                                                                                                             4 шт.

Рулетка мерная                                                                                                                   1 шт.

Лом остроконечный                                                                                                         4 шт.

Лом лапчатый                                                                                                                     4 шт.

Бородок                                                                                                                                                1 шт.      

Телефон                                                                                                                                1 шт.

Аппаратура радиосвязи и оповещения                                                        1 комплект

6. Обеспечение охраны труда при производстве работ по усиленному капитальному ремонту пути на закрытом перегоне

6.1 Требования безопасности при перевозке рабочих к месту работ и обратно хозяйственными поездами и постановке жилых и служебных вагонов в местах стоянки

Хозяйственный поезд, предназначенный для организованной доставки рабочих к месту работ и обратно, должен сопровождать дорожный мастер или руководитель ПМС-139.

На каждый вагон должен назначаться ответственный мастер,

бригадир, в обязанности которого входит обеспечение:

безопасного размещения рабочих в вагонах и порядок в пути следования;

противопожарных и санитарно-гигиенических мер;

безопасности при посадке и высадке из вагона.

Жилые и служебные вагоны должны устанавливаться в отдельных тупиках по 5-10 вагонов с расстоянием между ними не менее 5 м. Расстояние между осями путей должно быть не менее 7 м.

Железнодорожные пути стоянки этих вагонов оборудуются стрелочными переводами для обеспечения вывода и рассредоточения подвижного состава на случай пожара.

Для предохранения от возможного заезда подвижного состава

на пути и тупики стоянок жилых и служебных вагонов звено от

стрелочного перевода в сторону тупика должно быть расшито и

рельсы сдвинуты с подкладок в середину колеи. Сдвинутые

рельсы пришивают по концам с обеих сторон. Расстояние от

расшитого звена до крайнего вагона должно быть не менее 10 м;

вагоны с обеих сторон ограждают путевыми упорами,

оборудованными указателями путевого заграждения.

6.2 Требования безопасности перед началом работ на закрытом перегоне

Для предупреждения работающих, о приближении поезда по соседнему пути при производстве путевых работ на закрытом для движения пути, по соседнему пути должны устанавливаться сигнальные знаки «С», кроме случаев, когда соседний путь ограждают сигналами остановки или уменьшения скорости.

Приступать к работам разрешается только после ограждения места работ в установленном порядке сигналами или сигнальными знаками. Сигналистами назначают монтеров пути не ниже 3-го разряда, выдержавших установленные испытания и имеющих удостоверения сигналистов.

Ответственным лицом за обеспечение безопасности работающих при выполнении работ с применением путевых машин и механизмов должен быть руководитель работ, назначенный начальником ПМС-81.

Ответственность за соблюдение требований безопасности персоналом, обслуживающим машину, возлагается на инженера-технолога или машиниста путевой машины.

К работе должны допускаться машины и механизмы, освидетельствованные и испытанные в установленном порядке, а также полностью укомплектованные в соответствии с инструкциями по их эксплуатации.

К управлению путевыми машинами и их обслуживанию допускаются лица, прошедшие соответствующую подготовку и имеющие удостоверение.

При следовании путевых машин своим ходом или в составе поезда рабочие органы должны быть приведены в транспортное положение и надежно закреплены.

Перед каждым выходом путевой машины на работу необходимо проверять работоспособность блокирующих устройств, состояние заземления, ограждений, защитных средств.

Запрещается эксплуатация машин с неисправными тормозами ходовых частей и грузоподъемного оборудования, звуковой и световой сигнализацией, приборами безопасности.

До закрытия перегона путевые машины и хозяйственные поезда сосредотачиваются на станции, ограничивающей перегон по ходу движения.

6.3 Требования безопасности при выполнении работ на закрытом перегоне с применением путевых машин

.3.1 Во время работ руководитель обязан

расставить рабочих по фронту работ в соответствии с технологическим процессом и указать место, куда они должны уходить на время прохождения путевых машин;

следить, чтобы в зоне производства работ не находились посторонние люди;

следить, чтобы рабочие не садились на рельсы, концы шпал и балластную призму;

не допускать, чтобы при производстве работ на закрытом пути люди находились на междупутье при проходе поезда по соседнему пути.

Во время работы путевых машин руководителю работ и обслуживающей бригаде запрещается находиться на соседнем пути и на междупутье. При плохой видимости для связи руководителя работ с машинистом локомотива, работающего с путевой машиной, должен быть выставлен сигналист.

В случае крайней необходимости нахождения на междупутье руководителя работ или бригады, обслуживающей путевую машину, должен быть выставлен сигналист для оповещения о приближении поезда по соседнему пути.

Все операции при работе путевых машин должны производиться по команде руководителя работ. Машинист путевой машины перед выполнением операции должен подать установленный звуковой сигнал.

При работе путеукладочных кранов необходимо соблюдать следующие требования:

при укладке новых звеньев пути и снятия старых, а также при переворачивании их находиться под звеном и сбоку от него не допускается, при этом работники обслуживающей бригады в это время должны находиться впереди или сзади поднятого звена на расстоянии не менее 2 м;

при стыковании звена необходимо удерживать его направляющей штангой за головки рельсов на расстоянии не ближе 40 см от стыка, при этом ноги монтеров пути должны находиться за пределами шпал.

Запрещается:

производить работы впереди, считая по направлению движения головной части разборочного поезда и сзади головной части укладочного поезда на расстоянии ближе 25м;

находиться между погруженными пакетами звеньев при их транспортировании и передвижении;

находиться на расстоянии менее 10 м от тягового стального каната лебедки при перетяжке пакетов звеньев;

направлять руками стальной канат лебедки передвижения пакетов при намотке его на барабан.

На время пропуска поезда по соседнему пути все работы по укладке и разборке пути и передвижения пакетов звеньев должны быть прекращены и обеспечен габарит пропуска поезда.

При следовании путеукладочного (путеразборочного) поезда к месту работы и обратно пакеты звеньев на платформах должны быть надежно закреплены специальными устройствами.

Работники, входящие в состав бригады, обслуживающей путеукладочные краны, должны быть обеспечены защитными касками.

При работе автотракторной техники необходимо соблюдать следующие требования:

машинист должен работать только на закрепленном за ним бульдозере и автогрейдере;

перед началом движения бульдозера и автогрейдера, а также перед выполнением поворота, машинист должен убедиться в отсутствии препятствий, посторонних предметов и людей в зоне движения машины, подать звуковой сигнал и поднять отвал;

граница опасной зоны вблизи работающего бульдозера и автогрейдера определяется в пределах 5 метров, если другие повышенные требования отсутствуют в техническом паспорте бульдозера и автогрейдера;

при одновременной работе двух и более бульдозеров и автогрейдеров, следующих друг за другом, расстояние между ними должно быть не менее 10 метров;

при планировке отвала бульдозером и автогрейдером подъезд к бровке откоса разрешается только ножом впереди, подавать бульдозер и автогрейдер задним ходом к бровке отвала запрещается.

Машинисту бульдозера и автогрейдера запрещается:

оставлять без надзора бульдозер и автогрейдер с работающим двигателем и поднятым ножом;

передавать управление бульдозером и автогрейдером лицам, не указанным в наряде;

перевозить в кабине посторонних лиц;

во время движения бульдозера и автогрейдера становиться на подвесную раму и нож;

выходить из кабины и входить в нее на ходу;

производить повороты бульдозера с загруженным или заглубленным отвалом;

наступать и наезжать бульдозером и автогрейдером, на электрические провода и кабели, прикасаться к оборванным проводам и другим токоведущим конструкциям.

При эксплуатации хоппер-дозаторов необходимо соблюдать следующие требования:

перед заполнением воздухом рабочей магистрали необходимо убедиться в отсутствии людей внутри хоппер-дозаторов, а также на расстоянии 2 м от разгрузочно-дозировочных механизмов;

включение воздуха в рабочую магистраль допускается только после оповещения работающих, команда о включении воздуха отдается руководителем работ;

выделенному для включения воздуха работнику, запрещается отходить от разобщительных кранов в период подключения питания;

перед рассоединением рукавов тормозной или рабочей магистрали следует обязательно закрыть концевые краны;

при пропуске поезда по соседнему пути работа по выгрузке балласта из хоппер-дозатора должна быть прекращена, а бригаде, обслуживающей состав, необходимо сойти на обочину или подняться на площадки загона;

запрещается производить удаление отдельных фракций щебня, мешающих закрытию крышек люков дозаторов, при наличии сжатого воздуха в пневматической системе хоппер-дозатора.

Лицам, обслуживающим состав, во время погрузки и выгрузки балласта запрещается:

находиться внутри кузова вагона;

пролезать через открытые люки в кузов;

производить регулировку механизмов и находиться в зоне поднятия и опускания дозаторов при включенном воздухе;

находиться в зоне работы экскаватора или под приемным бункером.

При работе с применением спецсостава для выгрузки длинномерных рельсовых плетей необходимо соблюдать следующие требования:

ответственным за соблюдением требований безопасности при выгрузке рельсовых плетей является дорожный мастер;

при выгрузке рельсовых плетей и движения спецсостава запрещается ходить по рельсовым плетям и стоять на них;

перед выездом по выгрузке плетей должна быть установлена радиосвязь между машинистом и помощником машиниста спецсостава и машинистом локомотива;

для наблюдения за концами рельсовых плетей и узлами крепления на составе в темное время суток должно быть предусмотрено освещение не менее 20лк;

рельсовые плети, выгружаемые со спецсостава для укладки их на электрифицированных участках пути на переменном токе, должны: немедленно заземлятся.

При выполнении работ по сварке рельсов в пути рельсосварочной машиной (ПРСМ) необходимо соблюдать следующие требования:

работы по сварке рельсов с применением ПРСМ должны производиться на пути, закрытом для движения поездов;

корпус рельсосварочной машины должен быть надежно заземлен;

абразивные круги шлифовального и отрезного станков должны быть испытаны и надежно ограждены;

перед началом работы ПРСМ должны быть приведены в действие тормозные устройства;

не допускается проведение сварочных работ на путях перегонов и станций во время тумана, дождя, снегопада, а также в темное время суток без специального освещения;

не допускается ремонт и очистка сварочных машин и другого электрооборудования, находящегося под напряжением.

При контактно-стыковой сварке рельсов необходимо обеспечивать следующие меры безопасности:

запрещается последовательное включение в заземляющий проводниковый контур нескольких заземляемых машин с электроприводом;

один полюс сварочной цепи в машинах для контактной сварки должен быть электрически соединен с корпусом машины, а корпус заземлен;

стыковые сварочные машины должны быть оборудованы защитными экранами для предохранения обслуживающего персонала от брызг расплавленного металла в процессе оплавления рельсов;

переключение ступеней сварочного трансформатора стыковой машины должно производиться только при отключенном контакторе сварочного тока;

не допускается касание руками стыкуемых рельсов во время зажатия их в губках сварочной машины.

При работе ВПО-3000, РБ, балластоуплотнительных машин, динамических стабилизаторов необходимо соблюдать следующие требования:

все путевые машины должны быть оснащены в соответствии с технической документацией исправными средствами коллективной защиты работающих: блокирующими устройствами, заземление и другими средствами;

на путевых машинах с электрооборудованием должны быть специальные защитные средства: резиновые диэлектрические ковры, резиновые диэлектрические галоши и резиновые диэлектрические перчатки;

перед выездом на перегон и с перегона необходимо убедиться, что все рабочие органы и тележки контрольно-измерительной системы приведены в транспортное положение и надежно закреплены;

при работе машины следует находиться на расстоянии более 1м от опущенных рабочих органов - виброплит, уплотнителей откосов, крыльев планировщиков, подбивочных блоков, уплотнителей балласта;

производить какие-либо путевые работы впереди машины на расстоянии менее 50 м от нее запрещается;

пользоваться шумозащитными наушниками, имеющимися в комплекте оборудования машины;

перед началом работы путевых машин убедиться, что все движущиеся и вращающиеся части механизмов надежно защищены кожухами и ограждениями;

не производить ремонт путевых машин при работающем двигателе или наличии давления в гидравлической и пневматической системах;

на время прохода поезда по соседнему пути работа машин должна быть прекращена, рабочие органы убраны в пределы габарита, при этом обслуживающему персоналу следует находиться в кабинах управления, а бригаде монтеров пути в колее закрытого пути или на его обочине;

не приступать к работе при неисправных тормозах, ходовых частях, звуковой, световой сигнализации и неисправном переговорочном устройстве, а также при любой неисправности, угрожающей безопасности обслуживающей бригады;

во время движения к месту работ, во время работы и при возвращении с перегона на машине может находиться только обслуживающая бригада и руководитель работ.

При работе машин ВПР, «Дуоматик» необходимо соблюдать следующие требования:

путевые машины должны быть оснащены в соответствии с технической документацией исправными средствами коллективной защиты работающих: блокирующими устройствами, заземление и другими средствами;

на путевых машинах с электрооборудованием должны быть специальные защитные средства: резиновые диэлектрические ковры, резиновые диэлектрические галоши и резиновые диэлектрические перчатки;

перед выездом на перегон и с перегона необходимо убедиться, что все рабочие органы и тележки контрольно-измерительной системы приведены в транспортное положение и надежно закреплены;

в темное время суток, при сильном тумане, дожде, снеге, граде или пыльной буре, когда значительно снижается видимость светофоров и пути, работа машин запрещается, особенно на электрифицированных линиях;

запрещается перевозить людей в транспортном и рабочем режимах на прицепной платформе;

при работе на двухпутном участке и движении поездов по соседнему пути не разрешается рабочим, обслуживающим машины, находиться на междупутье;

при работе машин, запрещается находиться в зоне перемещающихся рабочих органов, вращающихся валов привода, на близком расстоянии от рукавов пневмо- и гидросистемы;

не допускается работа машин при повышенном давлении в пневмо- и гидросистемах.

При работе машины СЧ-601 необходимо соблюдать следующие требования:

машина при очистке балласта со стороны междупутья может нарушать габарит подвижного состава, поэтому до пропуска поезда по соседнему пути их работа должна быть прекращена;

при зарядке и разрядке рабочих очистительных органов поднятая электромагнитами путевая решетка должна закрепляться на предохранительных захватах, при этом не допускается нахождение работников на расстоянии менее 2 м от выгребного устройства;

во время работы машины не допускается нахождение работников на расстоянии менее 3 м впереди или сзади щебнеочистительного устройства с выгребным рабочим органом.

При работе машины СЗП-600 необходимо соблюдать следующие требования:

при выполнении работ со стороны междупутья не должны нарушать габарита подвижного состава, следующего по соседнему пути;

не допускается нахождение обслуживающего персонала на рабочих органах машин и на расстоянии менее 2 м от них.

При замене инвентарный рельс на сварные рельсовые плети скрепления АРС-4.

при работе на электрифицированном участке необходимо соблюдать особую осторожность и не приближаться как самим, так и применяемым инструментом к находящимся под напряжением и не огражденным проводам или частям контактной сети и воздушным линиям ближе 2 м;

при расфиксировании монорегуляторов учитывая пружинные свойства клеммы необходимо соблюдать особую осторожность. Запрещается напротив расфиксированных монорегуляторов;

вывод монорегуляторов из гнезда анкера производить лапкой остроконечного лома при этом запрещается находиться напротив направления выхода монорегулятора из гнезда;

при надвижке рельсовых плетей с помощью тележек запрещается находиться внутри колеи;

при поправке резины использовать специальные скребки;

при пропуске поезда по соседнему пути работы по надвижке плети прекращаются и все уходят из зоны междупутья;

при постановке монорегуляторов использовать специальные ключи захваты;

запрещается монорегуляторы монтировать в гнездо ударами молотка, кувалды ломом;

при фиксировании монорегулятора не находится напротив направления выхода монорегулятора;

при погрузке инвентарных рельсов путеукладочным краном УК 25/9-18 не находится под рельсами и сбоку от них, при этом работникам обслуживающей бригады в это время должны находится впереди или сзади поднятых рельс на расстоянии не менее 2 м;

Запрещается:

производить работы впереди или сзади путеукладочного поезда в зависимости от направления движения не ближе 25 м;

находится на расстоянии менее 10 м от тягового, стального каната лебедки при перетяжке сцепа рельсов;

направлять стальной канат лебедки передвижения пакетов при намотке его на барабан;

на время пропуска поезда по соседнему пути работы по погрузке рельсов прекращаются.

Все основные и сопутствующие работы по усиленному капитальному ремонту пути не связаны с загрязнением окружающей среды.

Литература

Технические условия на работы по ремонту и планово-предупредительной выправки пути . Утв. зам.ЦП МПС 28 июня 1997г. М.: Транспорта,1998-188с

Строительные нормы и правила Российской Федерации железные дороги колеи 1520мм СНиП 32-01-95. Минстрой России. 1995

Приказ Министра путей сообщения Российской Федерации № 12Ц от 16 августа 1994 г. "О переходе на новую систему ведения путевого хозяйства на основе повышения технического уровня и внедрения ресурсосберегающих технологий". М 1994

Путевое хозяйство: для вузов ж.д.транпорта И.Б.Лехно,С.М.Бельфер, Э.В.Воробьёв и др. Под ред. И.Б.Лехно-М.: Транспорта, 1990- 472с.

Конструкция железнодорожного пути и его содержание М.А.Фришман, Н.А.Пономаренко, С.И.Финицкий. М.: Транспорт, 1987-350с.

Железнодорожный путь Г.М.Шахунянц, М.: Транспорт,1987-479с.

Правила технической эксплуатации железных дорог Российской Федерации ЦРБ-162, М.: Транспорт, 1993- 167с.

Технические указания по устройству, укладке, содержанию и ремонту бесстыкового пути. М.: Транспорт, 2001.-96с.

Крейнис З.Л., Певзнер В.О. Проектирование технологического процесса капитального ремонта пути: Уч. пос.-М.:РГОТУПС, 1997.-44с

Бесстыковой путь. В. Г. Альбрехта, А. Я. Когана. М.: Транспорт,

.

Инструкция по обеспечению безопасности движения поездов при производстве путевых работ.

Инструкция о порядке предоставления и использования «окон» для ремонтных и строительно-монтажных работ на железных дорогах Российской Федерации. ЦД-862, М.:МПС, 2001.-48с

Состояние и перспективы развития путевого хозяйства. В.Т.Семенов, Н.И.Карпущенко. Новосибирск: СГУПС (НИИЖТ), 2000.-246с

Приказ Министра путей сообщения Российской Федерации № 8Ц от 3 апреля 1997 г. "О нормативах труда на текущее содержание пути и стимулировании его качества". М: 1997.-36с

. Организация, планирование и управление путевым хозяйством Крейнис З.Л. Москва-2005. 164с.

. Инструкция по текущему содержанию железнодорожного пути ЦП-774. Москва «Транспорт» 2000. 220с.

. Отраслевые нормы времени на работы по ремонту верхнего строения пути. Департамент пути и сооружений ОАО «РЖД». Москва 2004. 319с.

Похожие работы на - Разработка проекта организации усиленного капитального ремонта пути

 

Не нашли материал для своей работы?
Поможем написать уникальную работу
Без плагиата!
Без нейросетей!