Проектировочный расчет трансмиссии
Содержание
. Описание прототипа
.1 Двигатель
.2 Параметры двигателя
.3 Трансмиссия
.4 Ходовая часть
.5 Исходные данные
. Силовой баланс автомобиля
.1 Расчет скорости движения
автомобиля
.2 Радиус качения колеса
.3 Сила тяги на ведущих колесах
.4 Сила сопротивления воздуха
.5 Свободная сила тяги
.6 Сила сопротивления дороги при
равномерном движении
.7 Сила тяги по сцеплению ведущих
колес с дорогой
. Проектировочный расчет сцепления
.1 Момент сопротивления дороги
.2 Время буксования сцепления
. Расчет диафрагменной пружины
.1 Коэффициент запаса сцепления
.2 Расчет диафрагменной пружины на
прочность
. Расчет ведущих и ведомых деталей
.1 Расчет для нажимных дисков
.2 Ведомые диски
. Расчет привода управления
сцеплением
. Заключение
. Список использованной литературы
1.
Описание прототипа
1.1 Двигатель
Двигатель: бензиновый, рядный,
четырехцилиндровый, четырехтактный, имеет жидкостное охлаждение.
1.2 Параметры двигателя
максимальная мощность Nе
= 100 кВт при n = 5600 об/мин
максимальный крутящий момент Ме = 222 Н*м при n
= 2800 об/мин
рабочий объем Vh
= 0,619 см3;
диаметр и ход поршня D´S
- 96´86
мм;
степень сжатия ε = 9,5.
1.3 Трансмиссия
Коробка передач - семиступенчатая S tronic® с
двойным сцеплением способствует быстрому переключению передач без разрыва
потока мощности, что позволяет достичь выдающейся эффективности.
Два многодисковых сцепления отвечают за
определенные передачи. Одно большое сцепление подводит крутящий момент к
ведущему валу, связанному с шестернями нечетных ступеней. Второе сцепление подводит
крутящий момент к полому валу, связанному с шестернями четных передач. Обе
части КП постоянно активны, но только одна из них в каждый момент соединена с
двигателем через замкнутое сцепление. Например, если автомобиль разгоняется на
третьей передаче, то во второй части КП уже выбрана четвертая ступень.
Переключение происходит очень быстро благодаря изменению состояния сцеплений -
одно выключается, другое сразу же включается. Процесс длится несколько сотых
долей секунды и происходит почти без прерывания потока мощности. Переключение
осуществляется плавно и комфортно, почти незаметно для водителя. Плавность и
точность работы КП обеспечиваются во всех режимах: D (Drive), S (Sport) или в
ручном режиме при помощи подрулевых лепестков. Несмотря на динамику,
обеспечиваемую данной технологией, КП S tronic® остается крайне эффективной,
позволяя снизить расход топлива и объем вредных выбросов.
Привода - используется
самоблокирующийся межосевой дифференциал. В обычном режиме вождения он
распределяет крутящий момент преимущественно на задние колеса в соотношении 40%
к 60%. В случае необходимости перераспределение происходит за максимально
короткое время. Функция перераспределения крутящего момента помогает работе
межосевого дифференциала, используя тормозные механизмы и наделяя автомобиль
<#"702661.files/image001.gif">
0,16 - коэффициент радиальной
деформации шин.
Скорость движения автомобиля в
зависимости от частоты вращения коленчатого вала:
Значения скоростей для других
режимов и передач приведены в таблице ниже.
2.3 Сила тяги на ведущих колесах
автомобиля
Рассчитывается по формуле:
где: 
- коэффициент полезного действия
трансмиссии. Для легковых автомобилей типа 4х2, обычно принимаются равным 0,9 
0,96.
2.4 Сила сопротивления воздуха
где 
- плотность воздуха (обычно
принимается равной 1,225 кг/м3)
VОТ -
относительная скорость
2.5 Свободная сила тяги
2.6 Сила сопротивления дороги при
равномерном движении
По рекомендациям для заданного типа
покрытия дороги, принимаем коэффициент сопротивления качению: ƒ0 = 0,01
При 
коэффициент сопротивления качению
можно считать постоянным ƒ0
= ƒ, при
больших скоростях движения он зависит от скорости

, где 
2.7 Сила сопротивления дороги при
равномерном движении
2.8 Сила тяги по сцеплению ведущих
колес с дорогой
По рекомендациям для заданного типа
покрытия дороги принимаем коэффициент сцепления колес с дорогой: jх = 0,85.
Таблица 1
|
|
n,об/мин
|
950
|
1570
|
2190
|
2800
|
3730
|
4660
|
5600
|
6160
|
6720
|
7280
|
|
|
Ne,кВт
|
8,92
|
20,26
|
34,26
|
49,26
|
71,34
|
88,20
|
95,00
|
92,11
|
82,76
|
65,87
|
|
|
Me,кВт
|
89,71
|
123,28
|
149,48
|
168,08
|
182,73
|
180,83
|
162,08
|
142,87
|
117,66
|
86,44
|
|
1
передача
|
V,м/с
|
1,01
|
1,67
|
2,33
|
2,98
|
3,96
|
4,95
|
5,95
|
6,55
|
7,14
|
7,74
|
|
Рт,Н
|
8041,52
|
11049,94
|
13398,80
|
15066,09
|
16379,35
|
16208,61
|
14528,02
|
12806,18
|
10546,27
|
7748,28
|
|
Рв,Н
|
0,48
|
1,30
|
2,54
|
4,15
|
7,36
|
11,49
|
16,59
|
20,07
|
23,88
|
28,03
|
|
Рсв,Н
|
8041,05
|
11048,63
|
13396,26
|
15061,95
|
16371,99
|
16197,12
|
14511,43
|
12786,11
|
10522,38
|
7720,24
|
|
Рт.сц,Н
|
5245,93
|
5245,93
|
5245,93
|
5245,93
|
5245,93
|
5245,93
|
5245,93
|
5245,93
|
5245,93
|
5245,93
|
|
f
|
0,010007
|
0,010019
|
0,010038
|
0,010062
|
0,01011
|
0,010172
|
0,010248
|
0,0103
|
0,010357
|
0,010419
|
|
Рд,Н
|
134,49
|
134,66
|
134,91
|
135,23
|
135,87
|
136,70
|
134,40
|
138,43
|
139,19
|
140,03
|
|
2
передача
|
V,м/с
|
1,92
|
3,18
|
4,44
|
5,67
|
7,55
|
9,44
|
11,34
|
12,48
|
13,61
|
14,74
|
|
Рт,Н
|
4219,25
|
5797,71
|
7030,12
|
7904,92
|
8593,96
|
8504,38
|
7622,60
|
6719,18
|
5533,44
|
4065,39
|
|
Рв,Н
|
1,73
|
4,74
|
9,21
|
15,06
|
26,73
|
41,72
|
60,25
|
72,90
|
86,76
|
101,83
|
|
Рсв,Н
|
4217,51
|
5792,98
|
7020,90
|
7889,85
|
8567,23
|
8462,65
|
7562,35
|
6646,28
|
5446,68
|
3963,56
|
|
Рт.сц,Н
|
5245,93
|
5245,93
|
5245,93
|
5245,93
|
5245,93
|
5245,93
|
5245,93
|
5245,93
|
5245,93
|
5245,93
|
|
f
|
0,010026
|
0,010071
|
0,010138
|
0,010225
|
0,010399
|
0,010623
|
0,0109
|
0,011089
|
0,011297
|
0,011522
|
|
Рд,Н
|
134,75
|
135,35
|
136,25
|
137,42
|
139,77
|
142,78
|
146,50
|
149,04
|
151,82
|
154,85
|
|
3
передача
|
V,м/с
|
2,75
|
4,55
|
6,35
|
8,11
|
10,81
|
13,50
|
16,23
|
17,85
|
19,47
|
21,09
|
|
Рт,Н
|
2948,94
|
4052,16
|
4913,52
|
5524,94
|
6006,53
|
5943,92
|
5327,62
|
4696,20
|
3867,46
|
2841,40
|
|
Рв,Н
|
3,55
|
9,69
|
18,86
|
30,84
|
54,72
|
85,41
|
123,34
|
149,24
|
177,61
|
208,45
|
|
Рсв,Н
|
2945,39
|
4042,47
|
4894,66
|
5494,11
|
5951,81
|
5858,51
|
5204,28
|
4546,96
|
3689,85
|
2632,95
|
|
Рт.сц,Н
|
5245,93
|
5245,93
|
5245,93
|
5245,93
|
5245,93
|
5245,93
|
5245,93
|
5245,93
|
5245,93
|
5245,93
|
|
f
|
0,010053
|
0,010145
|
0,010282
|
0,010461
|
0,010818
|
0,011276
|
0,011843
|
0,01223
|
0,012654
|
0,013115
|
|
Рд,Н
|
135,11
|
136,34
|
138,19
|
140,59
|
145,39
|
151,55
|
159,17
|
164,37
|
170,07
|
176,26
|
|
4
передача
|
V,м/с
|
3,47
|
5,74
|
8,01
|
10,24
|
13,64
|
17,04
|
20,48
|
22,53
|
24,58
|
26,62
|
|
Рт,Н
|
2336,47
|
3210,56
|
3893,02
|
4377,45
|
4709,41
|
4221,12
|
3720,84
|
3064,22
|
2251,26
|
|
Рв,Н
|
5,65
|
15,44
|
30,05
|
49,12
|
87,17
|
136,06
|
196,48
|
237,74
|
282,93
|
332,05
|
|
Рсв,Н
|
2330,81
|
3195,12
|
3862,97
|
4328,33
|
4671,85
|
4573,36
|
4024,64
|
3483,09
|
2781,29
|
1919,21
|
|
Рт.сц,Н
|
5245,93
|
5245,93
|
5245,93
|
5245,93
|
5245,93
|
5245,93
|
5245,93
|
5245,93
|
5245,93
|
5245,93
|
|
f
|
0,010084
|
0,010231
|
0,010449
|
0,010734
|
0,011303
|
0,012033
|
0,012936
|
0,013553
|
0,014228
|
0,014962
|
|
Рд,Н
|
135,53
|
137,50
|
140,43
|
144,26
|
151,90
|
161,72
|
173,86
|
182,14
|
191,22
|
201,09
|
|
5
передача
|
V,м/с
|
4,26
|
7,04
|
9,82
|
12,56
|
16,73
|
20,90
|
25,11
|
27,62
|
30,14
|
32,65
|
|
Рт,Н
|
1905,47
|
2618,32
|
3174,89
|
3569,96
|
3881,14
|
3840,69
|
3442,46
|
3034,47
|
2498,97
|
1835,98
|
|
Рв,Н
|
8,50
|
23,22
|
45,18
|
73,85
|
131,06
|
204,57
|
295,42
|
357,46
|
425,40
|
499,26
|
|
Рсв,Н
|
1896,97
|
2595,10
|
3129,71
|
3496,11
|
3750,08
|
3636,12
|
3147,05
|
2677,01
|
2073,57
|
1336,73
|
|
Рт.сц,Н
|
5245,93
|
5245,93
|
5245,93
|
5245,93
|
5245,93
|
5245,93
|
5245,93
|
5245,93
|
5245,93
|
5245,93
|
|
f
|
0,010127
|
0,010347
|
0,010675
|
0,011104
|
0,011959
|
0,013057
|
0,014415
|
0,015342
|
0,016357
|
0,017461
|
|
Рд,Н
|
136,10
|
139,06
|
143,47
|
149,23
|
160,72
|
175,48
|
193,73
|
206,19
|
219,83
|
234,67
|
Абсцисса точки пересечения кривых Рсв = f
(V) и РД = f
(V) является
максимальной скоростью на данном участке - Vmax
= 50 м/с = 180 км/ч
Абсцисса точки пересечения кривых Da
= f (V)
и ψ = f
(V) является
максимальной скоростью на данном участке - Vmax
= 50 м/с = 180 км/ч
Ускорение прототипа автомобиля j
= 3,8 м/с2
.
Проектировочный расчет сцепления
Определение основных параметров сцепления.
Расчетный крутящий момент, передачу которому
должно обеспечить сцепление:
где: b = 1,2 - коэффициент запаса сцепления, в
конструкциях с периферийными пружинами принимают b = 1,2 
1,75
Ме max -
максимальный крутящий момент двигателя.
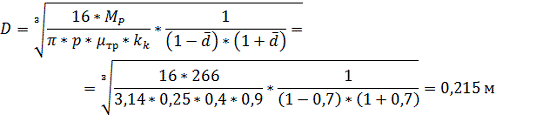
Рассчитываем наружный диаметр фрикционных колец.
Для этого зададимся некоторыми параметрами:
числом поверхности трения i
= 2;
давлением, действующим на фрикционный диск p
= 0,22 МПа, исходя из рекомендаций;
величиной коэффициента трения пары «ведущий диск
- фрикционные кольца», mтр = 0,4;
- отношением внутреннего и наружного
диаметров фрикционных колец 
= d/D = 0,7;
коэффициент, учитывающий площадь
охлаждающих канавок на диске kk = 0,9;
Наружный диаметр D вычисляют
по формуле:
Рассчитываем внутренний диаметр
фрикционного кольца:
Проверим ведомый диск на прочность
по окружности скорости, она не должна превышать 65 
70 м/с.
где: nmax = (1,1 
1,3) * nN = 1,1 *
5600 = 6160 об/мин - максимальная частота вращения коленчатого вала.
,2 м/с 
70 м/с, следовательно, условие
выполняется и расчет произведен верно.
Определим момент инерции вращающихся
и поступательно движущихся масс автомобиля. При этом к вращающимся массам
относят ведомые детали сцепления, трансмиссию и колеса.
Момент инерции рассчитывается по формуле:
где: ma - gполная масса
автомобиля, кг;
rк - радиус
ведущих колес, м;
UТР -
передаточное число трансмиссии;
δн - коэффициент учета
вращающихся масс при движении накатом.
Вычислим момент инерции основных
движущихся частей двигателя относительно оси вращения коленчатого вала. Для
этого воспользуемся аппроксимационной формулой:
момент инерции коленчатого вала с
учетом прицепных масс и шкива вентилятора:
момент инерции маховика:
момент инерции кожуха сцепления в
сборе:
Общий момент инерции двигателя и
ведущих частей сцепления приблизительно подсчитывается как:
Вычислим частоту вращения вала в
начале включения сцепления по формуле:
где: 
= 950 - минимально устойчивая частота
вращения вала двигателя, работающего без нагрузки.
Вычислим угловую скорость вала
двигателя в начале включения сцепления:
3.1 Момент сопротивления дороги
где 
= 0,02 - коэффициент сопротивления
дороги.
.2 Время буксования сцепления
Работа буксования сцепления будет
равна:
Проверяем угловую скорость сцепления
после прекращения буксования:
Чтобы двигатель не заглох,
необходимо выполнения условия:
nкон 
nmin ; 1451 
950, следовательно, условие
выполняется.
Удельная работа буксования сцепления
будет равна:
Для легковых автомобилей удельная
работа буксования сцепления не должна превышать 70 Дж/см2, условие выполняется.
Изменение температуры ведущей детали
сцепления:
где: 
- доля теплоты, приходящаяся на
рассчитываемую деталь. Для однодискового сцепления 
= 0,5;

- теплоемкость материала
рассчитываемой детали. Для стали

= 482 Дж/(кг/К);
sн - толщина
нажимного диска, sн = 0,002 м;

- масса нагреваемой детали:

кг/м3 - плотность стали


- объем рассчитываемой детали.
Допускаемый нагрев детали за одно
включение не должно превышать 10 
15 
, в нашем случае условие
выполняется.
4.
Расчет диафрагменной пружины
Диафрагменная пружина имеет форму усеченного конуса
и состоит из сплошной наружной части и внутренней части, имеющей радиальные
прорези для образования лепестков. В конце прорезей выполнены отверстия, куда
вставляются заклепки для крепления пружины к кожуху сцепления. Между кожухом
сцепления и пружиной, а также между пружиной и заклепками размешаются два
кольца, служащие опорами для пружины.
При сборке сцепления наружный край сплошного
кольца прогибается относительно опорных колец. Это приводит к появлению силы,
действующей на нажимной диск.
При выключении сцепления создается сила Рма
приложенная к внутренней части пружины. Действие этой силы приводит к
перемещению внутренней части пружины на расстояние f’
(изгибом лепестков пренебрегаем) и в соответствии с правилом рычага - к
перемещению наружного края пружины на расстояние f
При этом пружина оттягивает нажимной диск от ведомого диска. Сцепление
выключается.
В первом приближении зададимся размерами пружины
таким образом:
Db = D
= 0,215 м;
s = 0,0025 м;
Н/s = 1,5 
2,0. Примем Н / s = 2 - это
величина определяет нелинейность пружины.
Н = 0,0025*2 = 0,005 м.
Db / Da = 1,2 
1,5. Примем Db / Da = 1,36;
Da = Db /
(Db / Da) = 0,215 / 1,36 = 0,158 м;/ Dе 
2,5. Примем
Db / Dе
= 10;е
= Db / (Db / Dе)
= 0,022 м;/
s = 75 
100. Примем
Db / s = 0,215 / 0,0025 
86
Число лепестков n = 8 
20. Примем n = 10.
Dс = Da + 2*b = 0,158 +
2*2,4 = 0,169 м, где b - ширина опорных колец.
Определим силу Pпр.вкл во
включенном состоянии сцепления:
Задаваясь различными перемещениями
пружины f в точке А с
шагом по f, равным 1-2
мм, рассчитаем и построим характеристику Рпр ( f )
диафрагменной пружины в предположении отсутствия деформации сечения пружины по
уравнению:
где: 
; E - модуль
упругости первого рода (для стали 60С2А
Е = 2*105 МПа);

- модуль Пуассона (для сталей 
Результат вычислений приведем в
Таблице 2:
Таблица 2
|
f,
мм
|
Рпр
|
|
0
|
0
|
0
|
|
0,5
|
0,0005
|
1744
|
|
1
|
0,001
|
3021
|
|
1,5
|
0,0015
|
3890
|
|
2
|
0,002
|
4407
|
|
2,5
|
0,0025
|
4629
|
|
3
|
0,003
|
4614
|
|
3,5
|
0,0035
|
4419
|
|
4
|
0,004
|
4100
|
|
4,5
|
0,0045
|
3716
|
|
5
|
0,005
|
3322
|
|
5,5
|
0,0055
|
2977
|
|
6
|
0,006
|
2738
|
|
6,5
|
0,0065
|
2661
|
|
7
|
0,007
|
2803
|
|
7,5
|
0,0075
|
3223
|
|
8
|
0,008
|
3977
|
|
8,5
|
0,0085
|
5121
|
|
9
|
0,009
|
6714
|
|
9,5
|
0,0095
|
8813
|
|
10
|
0,01
|
11474
|
|
10,5
|
0,0105
|
14755
|
|
11
|
0,011
|
18713
|
Характеристика пружины
Отмечаем на построенной характеристике значение Pпр.вкл.
По графику значение перемещения точки А во включенном состоянии f1
= 4,6 мм.
Вычисляем ход нажимного диска при выключении
сцепления по формуле:
где: 
= 0,75 - зазор между поверхностями
трения в выключенном состоянии сцепления, для однодискового сцепления;
i = 2 - число
поверхностей трения;
m = 1 -
деформация ведомого диска во включенном состоянии;
nвел = 1 -
число ведомых дисков
Используя характеристику
диафрагменной пружины, определяем значение силы Рпр.выкл , приложенной в точке
А в выключенном состоянии сцепления, по перемещению f2 = f1 + h = 4,6 + 2,5
= 7,1 мм.
Рассчитываем значение для Рпр.выкл
при помощи той же формулы, что и для Рпр.вкл.

Условие соблюдено.
Определяем максимальный износ ∆
фрикционных колец. Толщина
фрикционных колец составляет δн = 3,1 мм. Полный износ для
приклепываемых колец составляет 0,3 δн для приклеиваемых - 1,0 δн. При
вычислении износа следует иметь в виду, что ведомый диск имеет два
фрикционных кольца.
Получаем, что максимальный износ
фрикционных колес равен:
это условие необходимо для
обеспечения пружиной необходимой силы Рпр.вкл при полном износе фрикционных
колец.
После износа колец перемещение f1 станет
короче на величину 
:
Найдем Р’пр.вкл соответствующую
включенному состоянию сцепления, при появившемся износе:
это условие необходимо, чтобы не
происходило уменьшения коэффициента запаса сцепления b в результате износа
фрикционных колец.
Найдем значения силы 
для промежуточных значений износа с
шагом по f равным 0,1
мм. Затем для каждого значения перемещения f , по
формуле:

Н*м
4.1 Коэффициент запаса сцепления
Результат вычислений в Таблице 3:
Таблица 3
|
Зависимость
коэффициента запаса сцепления от износа
|
|
f1,
мм
|
Рпр.вкл,
Н
|
Мр,
Н*м
|
|
∆,
мм
|
|
4,6
|
3636,0
|
265,3
|
1,2
|
0
|
|
4,5
|
3715,8
|
271,1
|
1,2
|
0,1
|
|
4,4
|
3795,2
|
276,9
|
1,2
|
|
4,3
|
3873,8
|
282,6
|
1,3
|
0,3
|
|
4,2
|
3951,2
|
288,3
|
1,3
|
0,4
|
|
4,1
|
4026,8
|
293,8
|
1,3
|
0,5
|
|
4
|
4100,3
|
299,1
|
1,3
|
0,6
|
|
3,9
|
4171,1
|
304,3
|
1,4
|
0,7
|
|
3,8
|
4238,8
|
309,2
|
1,4
|
0,8
|
|
3,7
|
4302,9
|
313,9
|
1,4
|
0,9
|
|
3,6
|
4363,1
|
318,3
|
1,4
|
1
|
|
3,5
|
4418,7
|
322,4
|
1,5
|
1,1
|
|
3,4
|
4469,5
|
326,1
|
1,5
|
1,2
|
|
3,3
|
4514,9
|
329,4
|
1,5
|
1,3
|
|
3,2
|
4554,4
|
332,3
|
1,5
|
1,4
|
|
3,1
|
4587,6
|
334,7
|
1,5
|
1,5
|
|
3
|
4614,1
|
336,6
|
1,5
|
1,6
|
|
2,9
|
4633,4
|
338,0
|
1,5
|
1,7
|
|
2,8
|
4645,0
|
338,9
|
1,5
|
1,8
|
|
2,7
|
4648,4
|
339,1
|
1,5
|
1,9
|
|
2,6
|
4643,3
|
338,8
|
1,5
|
2
|
|
2,5
|
4629,2
|
337,7
|
1,5
|
2,1
|
|
2,4
|
4605,5
|
336,0
|
1,5
|
2,2
|
|
2,3
|
4571,9
|
333,5
|
1,5
|
2,3
|
|
2,2
|
4527,9
|
330,3
|
1,5
|
2,4
|
|
2,1
|
4473,0
|
326,3
|
1,5
|
2,5
|
|
2
|
4406,8
|
321,5
|
1,4
|
2,6
|
|
1,9
|
4328,8
|
315,8
|
1,4
|
2,7
|
|
1,8
|
4238,5
|
309,2
|
1,4
|
2,8
|
|
1,7
|
4135,6
|
301,7
|
1,4
|
2,9
|
|
1,6
|
4019,5
|
293,2
|
1,3
|
3
|
|
1,5
|
3889,8
|
283,8
|
1,3
|
3,1
|
4.2 Расчет диафрагменной пружины на
прочность
Определим напряжение в середине основания
лепестка пружины, находящейся в плоском состоянии при выключенном состоянии
сцепления.
Оно состоит из нормальных напряжений в окружном
направлении ϭt и
напряжений изгиба ϭu.
где:
где: 
- усилие, возникающее в точке А при
плоском состоянии пружины (приложенное к концам лепестков)
МПа 
1400 Мпа, следовательно расчеты
верны.
Предварительное перемещение пружины f1 
fпл , а
перемещение при выключенном сцеплении f2 
fпл, т.е. при
выключении сцепления пружина прогибается в другую сторону, проходя плоское
положение.
5.
Расчет ведущих и ведомых деталей
Нажимные (ведущие) диски передают крутящий момент
двигателя ведомым дискам. Размеры нажимных дисков определяются размерами
фрикционных колец. Для поглощения теплоты, выделяющейся при буксовании
сцепления, нажимные диски изготавливают массивными. Для охлаждения в дисках
могут выполняться радиальные вентиляционные каналы. Материалом нажимных дисков
обычно является серый чугун. Нажимные диски вращаются вместе с маховиком. При
включении и выключении сцепления диски должны перемещаться в осевом направлении
относительно корпуса сцепления. Нажимные диски с маховиком могут соединяться
при помощи штифтов, болтов, шипов-пазов. Эти элементы рассчитываются на смятие.
5.1 Расчет для нажимных дисков
Рассчитываем на прочность шипы-пазы нажимного
диска, соединяющие его с маховиком:
где: 
= 0,5 - коэффициент, учитывающий
распределение крутящего момента на ведущих дисках;
z = 3 - число
работающих элементов (штифтов);
R = 0,104 м -
радиус расположения элемента;
F = 0,00002 м
- площадь контакта (определяется по чертежу)
5.2 Ведомые диски
Для обеспечения плавного включения
сцепления, равномерной упругости диска, хорошего контакта поверхностей трения и
предохранение ведомых дисков от коробления при нагреве применю упругие ведомые
диски. Это достигается тем, что к основному стальному диску на заклепках
присоединяют тонкие волнообразные сегменты, располагающиеся на большом
диаметре. Фрикционные кольца с обеих сторон приклепываются к сегментам. В
свободном состоянии между кольцами имеется зазор. При сжатии сегменты
выпрямляются, придавая определенные упругие свойства ведомому диску. Стальной
диск при помощи заклепок соединяется со шлицевой ступицей (сталь 40Х). Шлицевое
соединение ступицы ведомого диска и вала рассчитывается на прочность. Боковые
поверхности зубьев прямобочного шлицевого соединения работают на смятие, а их
основание - на срез. Рассчитаем эти напряжения следующим образом:
где: 
= 32 мм - наружный диаметр шлиц;

= 26 мм - внутренний диаметр шлиц;
z = 3 - число
шлиц;
l = 32 мм -
длина шлиц;
b = 6 мм -
ширина шлиц.
Гасители крутильных колебаний
предназначены для снижения колебаний, возникающих в трансмиссии автомобиля. Они
состоят из упругого элемента, который допускает относительное перемещение
ведущей и ведомой частей сцепления, и диссипативного элемента.
zг = 8 -
число пружин;
dг = 3 мм -
диаметр проволоки пружины;
Dг = 15 мм -
средний диаметр пружины;
nг = 5 -
полное число витков;
dп = 100 мм -
диаметр установки пружин;
lо = 25 мм -
длина окон пружины.
6.
Расчет привода управления сцеплением
Рассчитываем передаточное отношение привода
управления сцеплением. Для механического привода его вычисляют, задавшись
длинами плеч рычагов как:
где a,
b, c,
d - длины плеч
рычагов, передающих усилие к муфте включения;
e, f
- длины плеч рычагов, передающих усилие к нажимному диску;
В соответствии с рекомендациями принимаем c/d
= 2, e/f
= 4, d1 = d2
= 22.
Для гидравлического привода передаточное
отношение вычисляют по формуле:
uпр = 20 
90, найденное нами значение входит
в указанные пределы.
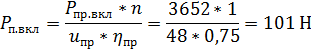
Вычислим усилие на педали при полном
выключении сцепления:
где n = 1 - число
нажимных пружин для диафрагменной пружины;

= 0,7 
0,8, примем 
= 0,75 - КПД механического привода.
Вычислим усилие на педали при
включении сцепления:
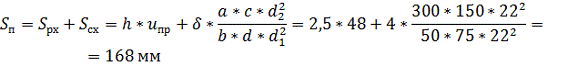
Рассчитаем полный ход педали,
используя формулу:
где 
= 120 мм - рабочий ход педали;

= 48 мм - свободный ход педали,
который гарантирует полное включение сцепления;

- зазор между муфтой выключения и
нижним концами рычагов при включении сцепления (
Полный ход педали составляет 150 
200 мм, свободный ход -

50 мм, рабочий ход - 100 
170 мм. Найденные значения попадают
в указанный интервал.
Работа, затрачиваемая водителем на
перемещение педали сцепления, определяется как:
Заключение
сцепление
привод управление
Данная курсовая работа посвящена
проектировочному расчету трансмиссии на основании данных задания.
В первой главе работы производится расчет
основных параметров сцепления, определены диаметры фрикционных колец,
производится проверка на прочность.
Во второй главе работы рассчитывается
диафрагменная пружина, определяются ее геометрические и механические параметры.
В третьей части работы производится проверка на
прочность ведущих и ведомых деталей сцепления, показано, что все детали
удовлетворяют условиям прочности.
В четвертой главе производится расчет привода
управления сцеплением. Найденное значение работы, затрачиваемой водителем на
перемещение педали, лежит в допустимых пределах, следовательно, сцепление
спроектировано верно.
Список используемой литературы
. А.Б
Березовский, С.В. Егоров «Проектировочный расчет сцепления» Учебно-методическое
пособие Казань 2004.
2. www.kai.ru