Акції як об'єкт інвестування
Міністерство освіти та науки України
Контрольна робота № 1
Акції як об'єкт інвестування
Содержание
1. Акції як об’єкт інвестування
1. Загальна характеристика інвестування у акції
2. Класифікація акцій
3. Стратегії інвестування у акції
2. Особливості здійснення інвестиційної діяльності у вільних
економічних і офшорних зонах
1. Вільні економічні зони
2. Офшорні зони
3. Діяльність вільних економічних зон на Україні
Висновок
Список використаної літератури
1.
Акції як об’єкт інвестування
.
Загальна характеристика інвестування у акції
Мрія будь-якого інвестора - вкласти свої гроші
так, щоб забезпечити максимальний прибуток. Як цього домогтися, кожен вирішує
індивідуально, розглядаючи при цьому три основні варіанти розміщення коштів.
Можна довірити свої кошти інвестиційному фонду.
Цей варіант найзручніший для інвесторів, які не мають можливості або просто не
бажають регулярно затрачати час на аналітичну роботу. Діє велика кількість
фондів, що спеціалізуються на різноманітних галузях економіки і стратегіях
керування інвестиціями, тому інвестору залишається тільки обрати фонд, який
відповідає його інвестиційним цілям та рівню фінансового зростання.
Доступним є варіант спрямованих інвестицій, який
полягає в тому, що інвестор купує великий пакет акцій обраної компанії з метою
її розвитку, можливого перепрофілювання або ж простого продажу. Цей шлях
потребує наявності в інвестора значних матеріальних коштів.
Створення власного інвестиційного портфеля з тих
фінансових інструментів, які інвестор вважає за доцільні і самостійне керування
ним.
Купуючи акції, інвестор стає співвласником
компанії і тим самим отримує права на частку прибутку компанії, що звичайно
виплачується у вигляді дивідендів, Крім того, у випадку якщо бізнес компанії
буде розвиватися успішно, акції компанії будуть зростати в ціні і відповідно
буде зростати і вартість портфеля інвестора, до складу якого входять ці акції.
Але, з іншого боку, стаючи співвласником компанії, інвестор, який купив акції,
перебирає на себе й усі фінансові ризики, що супроводжують бізнес компанії. І у
випадку якщо компанію спіткає невдача і її акції на ринку подешевшають,
інвестор, який має ці акції у своєму портфелі, відповідно несе
"паперові" збитки. З "паперових" у реальні, ці збитки
перетворяться в тому випадку, якщо інвестор вирішить продати акції за поточною
роздрібною ціною, що виявиться нижчою за ту, за якою акції були придбані. Якщо
ж інвестор переконаний у надійності та перспективності обраної ним компанії й
упевнений, що труднощі в бізнесі тимчасові, він швидше за все не буде продавати
ці акції і у випадку, якщо його розрахунки виявляться вірними, раніше або
пізніше акції компанії знову піднімуться в ціні і, можливо, у декілька разів
перевищать ту ціну, яку заплатив за них інвестор. Якщо ж розрахунки інвестора не
виправдаються, він може втратити значну частину своїх коштів, аж до повної
їхньої втрати (у випадку банкрутства компанії).
Таким чином, акції являють собою спекулятивний
інвестиційний інструмент, з одного боку, неприйнятний для тих, чия інвестиційна
мета полягає у збереженні капіталу, а з іншого - ідеальний для тих, чиєю метою
є зростання капіталу або накопичення багатства.
2.
Класифікація акцій
Акції прийнято розподіляти на кілька великих
груп, що розрізняються між собою за ступенем схильності до різноманітних
фінансових ризиків, несприятливих економічних умов, за рівнем прибутковості,
характеру і стабільності прибутку компанії. Причому кожна з таких груп, з
одного боку, може об’єднувати в собі компанії, що представляють різноманітні
сектори економіки, хоча, з іншого боку, дві компанії, що працюють в одній і тій
же індустрії, можуть належати до різних груп акцій. Отже, усі звичайні акції
підрозділяються на такі основні групи:
першокласні акції;
дохідні акції;
акції зростання;
спекулятивні акції;
оборонні акції.
Інвестору необхідно зрозуміти сутність цієї
класифікації, щоб визначитися, з якою групою акцій він буде працювати.
Економічні умови, що переважали на території колишнього Радянського Союзу в
1992-1996 роках і дозволяли практично без ризику одержувати прибуток, у
декілька разів (іноді в десятки разів) більший, ніж вкладені кошти, і до того ж
за короткий час (від декількох тижнів до декількох місяців), явище унікальне. У
жодній країні світу з розвинутою економікою нічого подібного не могло статися,
і краще не розраховувати нате, що раптом десь з’явиться щось подібне. Ситуація
на світових ринках однакова. Хочете швидко і багато заробити - доведеться
ризикувати. Не бажаєте ризикувати - будьте готові до того, що ваш прибуток на
вкладений капітал буде мінімальним.
Класифікація акцій допомагає інвестору
зорієнтуватися, на який прибуток і відповідно фінансовий ризик він може
розраховувати, працюючи з тією або іншою групою акцій. Розглянемо ці групи
докладніше.
Першокласні акції. У ряді підручників з
інвестицій ці акції називають "вершками" фондового ринку. Насправді
це так і є. Першокласні акції емітують найбільше, давно відомі корпорації з
бездоганною фінансовою репутацією. Найвідоміші емітенти цієї групи акцій:
Altria Group Inc (MO); Procter & Gamble Co (PC); Me Donald's Corporation
(MCD).
Ця група акцій становить інтерес для інвесторів,
які мають на меті найбільш безпечне розміщення своїх коштів. У першу чергу для
інституціональних інвесторів, таких як державні або недержавні пенсійні фонди,
страхові компанії. Ці акції мають незначний потенціал зростання, але при цьому
порівняно високий для акцій рівень дивідендної прибутковості (2-5 %).
Через низький ступінь ризику першокласні акції
використовуються з метою довгострокового інвестування (часовий термін - 5-10 років
і більше), як засіб помірного зростання капіталу та одночасно одержання
невисокого, але постійного прибутку на інвестовані кошти.
Дохідні акції. Акції цієї групи
характеризуються високим рівнем дивідендів прибутковості у середньому 4-8 %.
При цьому можливості зростання акцій практично відсутні. Тому ця група акцій
підходить для інвесторів, налаштованих на безпечний і водночас відносно високий
рівень поточного прибутку на інвестований капітал.
Класичним прикладом дохідних акцій є акції
компанії комунального обслуговування населення, акції компаній
електропостачання. До цієї ж групи вибірково відносять акції таких промислових
і фінансових компаній, як: "General Motors Corp" (GM), "Altria
Group Inc" (MO) та ін. Акції зростання. Це, мабуть, найбільш
приваблива група акцій для інвесторів, що прагнуть значного приросту капіталу
за обмеженого ризику. У загальному вигляді можна дати таке визначення щодо
акцій цієї групи: по-перше, компанія, яка володіє цими акціями, повинна
демонструвати регулярне й невпинне зростання чистого прибутку в розрахунку на
одну звичайну акцію, що перевищує зростання економіки в цілому, і по-друге, це
зростання повинно бути передбачуваним. На думку багатьох авторитетних
аналітиків, щоб належати до групи емітентів акцій зростання, компанія повинна
демонструвати щорічний стабільний темп зростання прибутку на рівні 11-15 % і
більше. За акціями зростання, як правило, дивіденди не виплачуються або їх
розмір має символічний характер (тільки для того, щоб підтримувати престижність
акцій). Тому, на відміну від двох попередніх розглянутих груп акцій, купуючи
акції зростання, інвестор розраховує одержати приріст капіталу тільки за
рахунок зростання курсу акцій у часі. Проте "нагорода" за
інвестування в акції зростання може виявитися вражаючою. З найвідоміших
компаній до групи акцій зростання можна зарахувати такі: "Home Depot"
(HD), "Texas Instruments" (TXN), "Johnson & Johnson"
(JNJ) та багато інших.
Спекулятивні акції. Ці акції схожі на акції
зростання тому, що також мають значний потенціал зростання, але, на відміну від
попередньої групи, визначення можливого зростання і часу, коли саме буде
відбуватись зростання акцій, важко або неможливо передбачити на даний момент. У
деяких підручниках цю групу акцій називають також акціями вартості, що, по суті,
теж саме. Інвестор визначає акції, ринкова вартість яких, на його думку, значно
нижче їхньої дійсної вартості, сподіваючись на те, що незабаром ринок оцінить
ці акції, інвестує в них свої гроші. На мою думку, назва "спекулятивні
акції" більш точно відображає сутність цієї групи, тому що інвестиції в ці
компанії відрізняються підвищеним ризиком. Адже, усупереч очікуванням
інвестора, ринок може так ніколи й не оцінити "належним чином" обрані
ним акції або навіть "опустити" їх ще нижче.
Робота зі спекулятивними акціями ризикована, але
у випадку правильного розрахунку або просто за сприятливих обставин прибуток
може бути фантастично високим.
Циклічні акції. Емітентами цих акцій є
компанії, прибутки яких тісно пов’язані із загальним станом економіки. Так,
якщо економіка на підйомі, зростають витрати споживачів на продукцію тривалого
користування, наприклад на житлові будинки й автомобілі. Відповідно
представники будівельної індустрії та автомобілебудування є емітентами
циклічних акцій. З очевидних причин акції цієї групи більше підходять для
інвесторів, які спроможні відслідковувати економічні цикли й оперативно
приймати інвестиційні рішення залежно від зміни загальноекономічних умов.
Охоронні акції. Це дуже популярна група у
важкі для економіки часи. Їхня відмінна риса полягає в меншій сприйнятливості
до наслідків спаду в економічному циклі порівняно з акціями інших груп.
Емітенти охоронних акцій, як правило, є представниками секторів комунального
обслуговування, фармацевтичної промисловості, продуктів харчування, товарів
масового вжитку, іншими словами, емітентами охоронних акцій є компанії, бізнес
яких безпосередньо пов’язаний із життєзабезпеченням людей, з усім тим, що
необхідно людині щодня.
Типовими емітентами охоронних акцій є:
"Kraft Foods" (KFT), "Nestle" (NSRGY), "Groupe Danone
ADS" (DA) і багато інших.
акція інвестування економічна зона
3.
Стратегії інвестування у акції
У попередніх параграфах кілька разів
наголошувалося, що інвестор вибирає акції відповідно до своєї інвестиційної
мети. По суті, усі цілі інвесторів зводяться до трьох основних:
збереження капіталу;
накопичення капіталу;
одержання поточного прибутку.
Для досягнення цих цілей інвестори вдаються до
різноманітних стратегій. Серед них виокремимо такі:
стратегія довгострокового володіння;
стратегія отримання високих прибутків на
інвестований капітал;
стратегія довгострокового зростання інвестицій;
агресивне керування портфелем акцій;
стратегія спекуляції.
Стратегія довгострокового володіння. Цю стратегію
обирають інвестори, основною метою яких є збереження інвестованого капіталу.
Кошти розміщуються тільки у високоякісні акції, що циркулюють на ринку не менше
15-20 років і мають бездоганну репутацію. Такі акції купуються на великий
термін - понад 10 років. Значна частина прибутку, одержувана у вигляді
дивідендних виплат, використовується для поповнення інвестиційного портфеля
такими ж надійними або тими ж самими акціями. Така стратегія часто
застосовується різними пенсійними фондами.
Стратегія отримання високих прибутків на
інвестований капітал. Цю стратегію обирають інвестори, які
використовують акції як джерело поточного прибутку. Для них істотне значення
має саме надійне надходження дивідендів. Для цього вони купують надійні і
високоприбуткові акції. Оскільки основною метою інвесторів, що діють у рамках
даної стратегії, є одержання високого і стабільного прибутку на інвестований
капітал, зовсім не обов’язково, щоб акції мали значні відсотки зростання.
Головне - надійність акцій і високий дивідендний прибуток.
Стратегія довгострокового зростання інвестицій. Дана стратегія
припускає більш високий рівень ризику порівняно з двома попередніми, а також
достатньо високу торгову активність, що полягає в досить великій кількості
угод.
Купуються акції великих, надійних та успішних
компаній. Портфель акцій періодично переглядається, змінюється його склад -
купуються нові багатообіцяльні акції і продаються ті, потенціал яких, на думку
інвестора, значною мірою вичерпаний.
Дивіденди у цій стратегії розглядаються як
додаткове джерело прибутку, тому що за багатьма акціями зростання вони взагалі
не виплачуються.
Агресивне керування портфелем акцій. Агресивне
керування портфелем акцій дуже подібне до стратегії довгострокового зростання
інвестицій. Різниця полягає лише в часових межах. Якщо інвестиційний горизонт
попередньої стратегії становить 2-3 роки, то за даної стратегії інвестор планує
одержати такий же прибуток за 8-10 місяців. Відповідно це накладає великі
вимоги на інвестора. Він повинен відводити багато часу для аналізу ринку й
акцій, постійно стежити за станом економіки, розуміти розвиток інвестиційного
процесу, мати відповідні індивідуальні навички. Набір інвестиційних
інструментів, що використовуються під час роботи як за цією стратегією, так і
за стратегією довгострокового зростання інвестицій, аналогічний - прибуткові
акції зростання, охоронні акції, але торгова активність на порядок вища.
Стратегія спекуляції. Найризикованіша
стратегія, яка може принести як фантастичний прибуток, так і катастрофічні
збитки, аж до повного розорення. Це, скоріше, гра, а не інвестування, тому що
процес аналізу компаній і ринку відходить на другий план, а іноді й і зовсім
відсутній. На перший план висувається знання ринкової психології, власна
психологічна усталеність і холоднокровність, а також уміння застосовувати деякі
методи технічного аналізу.
Отже, на сьогоднішній день в умовах ринкової
економіки найбільш поширеним є придбання акцій з метою одержання щорічного
дивідендного доходу, тому можна з впевненістю сказати, що акції є безпосереднім
об’єктом інвестиційної діяльності, якою можуть займатися не лише юридичні, а і
фізичні особи. Саме цей об’єкт інвестування є одним з найпоширеніших в світі, а
в деяких випадках і основною діяльністю та єдиним джерелом прибутку.
2.
Особливості здійснення інвестиційної діяльності у вільних економічних і
офшорних зонах
1.
Вільні економічні зони
Діючим напрямком розвитку економіки окремих
територій і регіонів, орієнтованим на рішення конкретних пріоритетних
економічних задач, реалізацію стратегічних програм та проектів є створення
спеціальних (вільних) економічних зон (СЕЗ).
Відповідно до документів Міжнародної конвенції зі
спрощення та гармонізації митних процедур "Вільна економічна зона"
(ВЕЗ) - це частина території країни, на якій товари розглядаються як об’єкти,
що знаходяться за межами митної території, і не підлягають звичайному митному
контролю та оподаткуванню.
Основна задача ВЕЗ полягає у залученні інвестицій
і нових технологій, створенні нових робочих місць, збільшенні валютних
надходжень до країни, розвитку інфраструктури тощо. За допомогою таких зон
вирішуються стратегічні задачі економічного зростання окремих регіонів і,
врешті решт, народного господарства всієї країни.
У світі існує багато модифікацій вільних
економічних зон, які умовно можна поділити на такі групи:
. Торгово-складські зони - це зони, у яких товари
іноземного походження можуть зберігатися, продаватися й купуватися без оплати
звичайних мит. У складі цих зон виділяють зони зовнішньої торгівлі (США),
вільні митні зони (Угорщина, Югославія), вільні безмитні зони (Болгарія) та
вільні порти (Німеччина). Усі торгово-складські зони організуються переважно в
морських та річкових портах, на залізничних вузлах та в аеропортах. Вони завжди
відділені від економічного простору країни митною і навіть державною межею.
. Експортно-виробничі зони. Ці зони призначені
для виробництва товарів для експорту. Вони мають право на безмитну торгівлю у
митному і торговельному режимі країни і надають іноземним інвесторам податкові,
і фінансові пільги. Мета створення цих зон пролягає у насиченні країни
сучасними товарами й технологіями, об’єднання підприємств для виробництва
експортно-привабливої продукції. Експортно-виробничі зони створюються, у першу
чергу, для залучення іноземного капіталу до національної економіки, створення
експортних підприємств і нових робочих місць, збільшення надходження іноземної
валюти, впровадженню до господарської практики останніх досягнень НТП. У
загальній сукупності експортно-виробничих зон виділяють зони спільного
підприємництва (Югославія, Угорщина, Болгарія), зони вільного підприємництва
(США), підприємницькі зони (Великобританія), спеціальні економічні зони (КНР).
. У самостійну групу виділяють
науково-технологічні зони. Відмінною рисою цих зон є те, що на їх території
об’єднується наукова та виробничо-технологічна діяльність у формі сучасних
наукомістких фірм, зосереджених навколо значного науково-дослідного центру або
університету. Ціль створення таких зон - мобілізувати всі доступні матеріальні
і трудові ресурси для прискорення передачі нових високих технологій у
промисловість, забезпечити нові робочі місця та інше.
Науково-технологічні зони можуть існувати у
вигляді:
інноваційних центрів - це економічна структура,
розміщена в межах невеличкої ділянки і призначена для невеликої тільки що
створеної компанії;
дослідницький парк - це структура, в рамках якої
науково-технічні нововведення розробляються тільки до стадії технічного
прототипу.
Особливою групою вільних економічних зон, є зони,
які, створюються з метою розвитку певної сфери діяльності (галузі). До них
відносять туристичні (рекреаційні) зони, вільні страхові зони, банківські
вільні зони та інші.
Туристичні (рекреаційні) зони надають широкі
можливості для відпочинку та туризму, а розташовані у місцях рекреації. Вони,
так само як і митні зони, є найбільш привабливими об’єктами вкладання
іноземного капіталу, оскільки вимагають порівняно менших первинних інвестицій
унаслідок того, що вони формуються на базі виробничої та соціальної
інфраструктури, що сформована. У межах цих зон створюється пільговий режим
підприємницької діяльності для залучення іноземного капіталу. Для решти
суб’єктів господарювання запроваджується спеціальний пільговий податковий
режим, який дозволяє накопичувати кошти для облаштування територій з наступним
наданням їм зонального пільгового режиму господарювання.
Причиною створення вільних страхових зон стали
надзвичайно жорсткі нормативи, що регулювали страхові операції.
Банківські вільні зони являють собою географічні
зони, у яких банки можуть вільно здійснювати свою діяльність і мати ділові
стосунки з клієнтами, що мешкають в інших країнах. Засобами створення
банківських зон вдається уникнути застосування норм з контролю валютного обміну
й обов’язкового застосування резервних коефіцієнтів.
2.
Офшорні зони
Офшорні зони є специфічним інструментом
стимулювання інвестиційної діяльності і збільшення надходжень до бюджетів
депресивних територій, економічний ефект якого ґрунтується на явищі зростання
державних доходів завдяки розширенню податкової бази (використанню їїособливого
виду доходів, отриманих лише від здійснення зовнішньоекономічної діяльності) та
мінімізації величини податкового навантаження. Як правило, доходи від офшорного
бізнесу складають до половини обсягу державних бюджетів.
Дефініцію "офшори" прийнято розуміти як
юрисдикції (держави, регіони, міста), які дозволяють реєструвати на своїй
території компанії і які відповідають наступним вимогам:
відсутність оподаткування або низькі податкові
ставки;
понижені вимоги до фінансової звітності;
можливість анонімного розпорядження засобами.
Основною умовою є те, що компанії-офшори не
можуть вести комерційну діяльність на території країни або регіону, в якому
вони зареєстровані.
Офшорними зонами (юрисдикціями) називають країни
чи відокремлені території єдиних держав, де на державному рівні для певного
типу компаній, власниками яких є іноземці, встановлені значні пільги в
оподатковуванні, знижені чи скасовані вимоги до бухгалтерського обліку та
аудиту, частково або цілком зняті митні і торгові обмеження.
Під офшорною зоною (від англ. offshore -
"поза берегом") розуміють один із видів вільних економічних зон. Їх
відносять до сервісних вільно-економічних зон, особливістю яких є:
створення для підприємців сприятливого
валютно-фінансового та фіскального режимів;
високий рівень та законодавчі гарантії
банківської та комерційної секретності;
лояльність державного регулювання.
Термін "офшорна зона" загалом має на
увазі будь-яку країну з низькою або нульовою податковою ставкою на всі або
окремі категорії доходів, що має нерезидент, певний рівень банківської або
комерційної секретності.
Відмінністю офшорних юрисдикцій від інших вільних
економічних зон є поширення зазначеного режиму виключно на суб'єктів
господарювання-нерезидентів, що не здійснюють господарської діяльності та не
мають джерел доходу на її території. Практика свідчить, офшорна зона
створюється там, де слабо розвинута економіка та інших можливостей для
залучення іноземного капіталу немає. В цілому, термін "офшорна зона"
пропонується розглядати як країну з низькою або нульовою податковою ставкою на
прибуток, визначений рівень банківської або комерційної таємниці і мінімальною
або повною відсутністю резервних вимог центрального банку чи обмежень по
конвертованості валюти.
Практика свідчить, сутнісні ознаки офшорних зон
витікають з існуючих дій їх учасників. Так, багато офшорних юрисдикцій стягують
податки, проте всі вони або не стягують податок на прибуток взагалі, або
стягують його тільки з певних категорій доходу, або стягують податок нижчий,
ніж у тій країні, де платники є податковими резидентами. Відсутність податку на
прибуток, як правило, є частиною політики залучення іноземного капіталу. У ряді
випадків податок на прибуток не вводиться внаслідок бідності значної частини
населення. Важливою особливістю більшості офшорних територій є надання
пільгового податкового режиму і виконання вимоги проведення ділових операцій за
межами країни, де офіційно зареєстрована офшорна компанія.
Для офшорних юрисдикцій існує певний рівень
секретності. Це пов’язано з тим, що особливістю офшорних юрисдикцій є наявність
надмірно жорстких правил захисту банківської і комерційної таємниці. Вони
відмовляють у порушенні своїх бар'єрів секретності навіть тоді, коли є серйозне
порушення законів іншої країни. З цієї точки зору розрізняють дві категорії
офшорних юрисдикцій:
країни, які відмовляють у послабленні своєї
секретності, не зважаючи на використовування режиму секретності в злочинних
цілях;
країни, які дозволяють законні розслідування в
належних випадках.
Офшорні юрисдикції мають систему подвійного
валютного контролю. В її основу поставлена відмінність між резидентами і
нерезидентами, а також між національною і іноземною валютами. Загальне правило:
резиденти піддаються валютному контролю, а нерезиденти валютному контролю не
піддаються. Проте нерезиденти піддаються звичайному контролю відносно місцевої
валюти. З компанією, створеною в офшорній юрисдикції, що належить нерезидентам
і здійснює свою діяльність зовні юрисдикції, поводяться як з нерезидентом з
погляду валютного контролю. Відповідно іноземна особа може сформувати компанію
в країні податкового притулку для здійснення бізнесу в інших юрисдикціях. В
цьому випадку компанія не піддаватиметься валютному контролю в податковому
притулку, оскільки вона не здійснює операції у валюті інших юрисдикцій і не
займається бізнесом у даній офшорній юрисдикції.
Більшість офшорних юрисдикцій мають надійні
засоби зв'язку - добрі телефонні, кабельні та телексні послуги зв'язку для
з'єднання їх з іншими країнами. Багато хто має також регулярний повітряний
зв'язок. Разом з тим, використовування офшорних юридичних осіб дає можливість
розміщувати капітал у твердій валюті в надійних банках стабільної країни.
Великі секретарські компанії з визнаною міжнародною репутацією мають усталені
зв'язки і можливість відкривати для своїх клієнтів рахунки в першокласних зарубіжних
банках. Офшорній фірмі може бути відкритий валютний банківський рахунок у
зарубіжному банку.
Важливо відзначити, проблема офшорних зон має
вирішуватись на глобальному рівні за рахунок об'єднання інших країн,
міжнародних організацій, що дасть змогу створити спільну законодавчу базу та
гармонізувати податкову систему та систему штрафів для зменшення відпливу
капіталу з країни. Має відбуватись відстеження нових схем відмивання грошей,
жорстка постановка питання про звітність банків, аналіз впливу незаконного
капіталу на економічну і політичну сферу життя суспільства, удосконалення
роботи державних службовців, складання переліку офшорних зон і юридичних осіб,
які з ними співпрацюють.
3.
Діяльність вільних економічних зон на Україні
Потреба країни у зовнішніх ресурсах розвитку, в
тому числі іноземних інвестиціях як однієї з форм зовнішньоекономічних
зв’язків, потребує використання нестандартних підходів. Як свідчить міжнародна
практика, таким нетрадиційним підходом є формування спеціальних (вільних) економічних
зон. Спеціальні зони створюють сприятливі умови для економічного розвитку
базових об’єктів та територій їх розташування. Вони стають невід’ємною частиною
міжнародних економічних відношень другої половини XX-початку ХХІ сторіччя. Для
світових господарських зв'язків спеціальні (вільні) економічні зони є одним з
чинників прискореного економічного росту за рахунок активізації міжнародного
товарообігу, мобілізації інвестицій, поглиблення інтеграційних економічних
процесів.
Спеціальні (вільні) економічні зони є одним з
елементів здійснення інтеграційних процесів і структурних перетворень у
світовій економіці. Це - один з інструментів досягнення відкритості економіки
України зовнішньому світові і стимулювання міжнародного економічного
співробітництва на основі залучення іноземних інвестицій.
Створення в Україні економіки нової якості,
розширення прав господарських суб’єктів i регіонів у здійсненні власної
економічної політики (виходячи із загальної відповідності державної стратегії
розвитку) дає можливості для стимулювання економічної активності на
регіональному рівні, зокрема шляхом створення особливих
територіально-господарських формувань - спеціальних (вільних) економічних зон
(СЕЗ) або територій пріоритетного розвитку (ТПР).
Основними нормативними актами, що регулюють
функціонування спеціальних (вільних) економічних зон i територій пріоритетного
розвитку в Україні є:
Закон України від 13.10.92 р. № 2673-XII
"Про загальні засади створення i функціонування спеціальних (вільних)
економічних зон";
Постанова Кабінету Міністрів України від 24.09.99
р. № 1756 "Про заходи щодо створення та функціонування спеціальних
(вільних) економічних зон i територій із спеціальним режимом інвестиційної
діяльності";
спільний Наказ Мінекономіки України та Мінфіну
України від 14.03.2000 р. № 28/51 "Про затвердження Положення про критерії
визначення пріоритетних видів економічної діяльності в спеціальних (вільних)
економічних зонах та на територіях зі спеціальним режимом інвестиційної
діяльності i порядок їх застосування".
Територія пріоритетного розвитку (ТПР) -
територія, на якій склалися несприятливі соціально-економічні та екологічні
умови і на якій запроваджується спеціальний режим інвестиційної діяльності для
створення нових робочих місць. Сьогодні на Україні створено 11 спеціальних
економічних зон та 72 території пріоритетного розвитку, на яких впроваджуються
465 інвестиційних проектів загальною кошторисною вартістю 6,4 млрд. дол. США.
Метою створення СЕЗ є залучення іноземних
інвестицій, активізація спільно з іноземними інвесторами підприємницької
діяльності для нарощування експорту товарів i послуг, поставок на внутрішній
ринок високоякісної продукції та послуг, залучення i впровадження нових
технологій, ринкових методів господарювання, розвитку інфраструктури ринку,
поліпшення використання природних i трудових ресурсів, прискорення
соціально-економічного розвитку України.
У СЕЗ та на ТПР діють сприятливі митні умови та
режим митного оподаткування: пільговий режим та рівень оподаткування,
специфічні валютно-фінансові умови, банківсько-кредитна система, система
кредитування i страхування, умови окремих видів платежів та система державного
інвестування.
З метою поліпшення організації СЕЗ та залучення
до них іноземного капіталу при Мінекономіки була створена державна структура -
Агентство з питань спеціальних (вільних) економічних зон. Сьогодні в Україні
такі спеціальні (вільні) економічні зони як: "Славутич" (м. Славутич,
Київська область); "Яворів" (Львівська область); "Курортополіс
Трускавець" (Львівська область); "Інтерпорт-Ковель" (Волинська
область); ВЕЗ в м. Севастополь (АРК); ВЕЗ в м. Феодосія (АРК);
"Аджалик" (Одеська область); "Порто-Франко" (Одеса) та
інші.
Найбільше інвестицій залучено у Донбас - 53,7%
від загального обсягу, чверть з них - іноземні. В Донецькій області створено
СЕЗ "Донецьк" та СЕЗ "Азов" і 33 території пріоритетного
розвитку. Спеціальний режим інвестування введено в 26 містах та 7 районах.
Таким чином, створення в Україні окремих
територій сприяння підприємництву та інвестиціям - спеціальних економічних зон
- є одним з першочергових заходів по приєднанню до відкритого економічного
світового простору і побудови відкритої економіки.
Розрахункова частина:
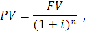
1. Банк пропонує за депозитами 15% річних за
складними відсотками. Чому повинен дорівнювати початковий внесок, щоб через 3
роки мати на рахунку 5 млн. грн.?
Розв’язання:
Відомо, що майбутня вартість має становити - 5
млн. грн. Механізм нарахування процентів в задачі - складний, тобто наприкінці
кожного року ми не будемо одержувати в банку проценти. Ці проценти ми будемо
залишати наприкінці кожного року на своєму рахунку і на них будуть
нараховуватися проценти таким самим чином як і на вкладені нами гроші.
Наприкінці третього року нам повернуть наші гроші, вкладені на початку першого
року та проценти, нараховані за всі 3 роки. Також маємо процентну ставку - 15%,
та щорічний період нарахування - 3 роки. Потрібно знайти початковий внесок,
тобто дійсну вартість, яку знайдемо за формулою:
де 
- дійсна вартість в грошових одиницях;

- майбутня вартість в грошових одиницях;

- процентна ставка в частках у кожному з періодів нарахування
процентів n;- кількість періодів нарахування процентів, у кожному з яких
процентна ставка дорівнює 
.
Підставляємо дані та отримуємо відповідь:
Висновок:
Отже, для того щоб через 3 роки мати на рахунку 5 млн. грн.
при процентній ставці 15% річних за складними відсотками необхідно покласти в
банк на рахунок початковий внесок, який складає - 1449275,3 грн.
. Інвестор придбав облігацію з купонною ставкою 10 % річних
та номінальною вартістю 150 грн. за курсом 112%. Через 2 роки облігація була
ним продана за курсом 103%. Визначте показники прибутковості облігації.
Розв’язання:
Для оцінки облігації використаємо купонний, поточний й
кінцевий види прибутковості.
Купонна прибутковість, встановлену при випуску облігації,
розрахуємо за формулою:
де 
- купонна прибутковість;
С - річний купонний дохід, грн.;- номінальна ціна
облігації, грн.
Підставляємо дані та отримуємо відповідь:
Поточну прибутковість облігації визначимо за формулою:
де 
- поточна прибутковість; 
- ціна, за якою облігація була придбана інвестором. Підставляємо
дані та отримуємо відповідь:
Кінцеву прибутковість облігації розрахуємо за формулою:
де 
- кінцева прибутковість; 
- приріст або збиток капіталу, що дорівнює різниці між ціною
реалізації (номіналом) і ціною придбання облігації інвестором, грн.; n -
кількість років обігу облігації.
Висновок: Отже, як бачимо з розрахунків показник кінцевої
прибутковості облігації складає - 0,03%.
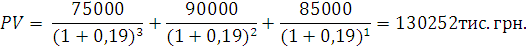
3. За даними таблиці визначити чистий приведений
ефект, індекс рентабельності та термін окупності інвестицій, якщо дисконтна
ставка становить 19 %. Зробіть висновки про доцільність реалізації даного
проекту.
|
Рік
|
Грошовий
потік, тис. грн.
|
|
0
|
-25000
|
|
1
|
85000
|
|
2
|
90000
|
|
3
|
75000
|
Розв’язання:
Спочатку знайдемо поточну вартість (PV) цього
грошового потоку:
Чистий приведений ефект знайдемо за формулою:
де 
- прогнозування доходів за роками, тис. грн;- дисконтна ставка;С
- величина вихідних інвестицій, тис. грн.
Підставляємо дані та отримуємо відповідь:
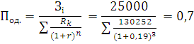
Знайдемо індекс рентабельності за формулою:
де 
- індекс рентабельності за інвестиційним проектом;

- середньорічна сума чистого інвестиційного прибутку за період
експлуатації проекту;

- сума інвестиційних затрат на реалізацію інвестиційного проекту.
Підставляємо дані та отримуємо відповідь:
Знайдемо термін окупності інвестицій за формулою:
де 
- дисконтова ний термін окупності одно часовий інвестиційних
затрат за проектом;
Підставляємо дані та отримуємо відповідь:
Висновок
Отже, з розрахованих даних бачимо, що чистий
приведений ефект складає - 11485 тис. грн., тобто вкладення в реалізацію
проекту будуть виправдані. Розрахувавши коефіцієнт рентабельності можна
сказати, що на 1 грн. теперішньої вартості вкладених коштів у проект підприємство
отримає 1,7 грн. теперішньої вартості доходу. Термін окупності складає - 0,7,
тобто вкладені інвестиції будуть повернуті менше ніж за рік. Тому даний проект
доцільно реалізувати, збитковості він не принесе.
Список
використаної літератури
1. Боярко І.М., Гриценко Л.Л. Інвестиційний аналіз: навч. посібник
- К.: Центр учбової літератури., 2011. - 400 с.
. Вовчак О.Д. Інвестування: навч. посібник - Львів: "Новий
світ-2000", 2007 - 544с.
. Гідрасов В.М., Кривченко С.В., Ісаєва О. Є. Інвестування: навч.
посібник - К.: Центр учбової літератури., 2004. - 164с.
. Гуторов О.І. Інвестування: навч. посібник - ХНАУ - Х., 2003 -
293с.
. Данілов О.Д., Івашина Г.М., Чумаченко О.Г. Інвестування: навч.
посібник - К.: Видавничий центр "Комп’ютер прес", 2001. - 364с.
. Кузьменко В.П., Кузнєцова Л.І. Вільні економічні зони: міфи та
реальність / Економіка підприємства. - 1999. - № 2-3.
. Майорова Т.В. Інвестиційна діяльність: навч. посібник - К.: ЦУЛ,
2003. - 376с.
. Музиченко А.С. Інвестиційна діяльність в Україні: навч. посібник
- К.: "Кондор", 2005. - 406с.
. Сазонець І.Л., Джусов О.А., Сазонець О.М. Міжнародна
інвестиційна діяльність: Підручник. - К: Центр учбової літератури, 2007. -
304с.
. Свободные экономические зоны опять на свободе / Украинский
деловой журнал "Эксперт". - 2012. - № 37 (86).
. Пересада А.А. Управління інвестиційним процесом: навч. посібник
- К.: Лібра, 2002. - 472с.