Математичні методи планування та аналізу інвестиційної діяльності
Дипломна
робота
на
тему: Математичні методи планування та аналізу інвестиційної діяльності
Реферат
Об’єкт дослідження: технічний аналіз ринку акцій України на
прикладі інвестиційного портфеля акцій ЗНКІФ «Синергія-7».
Мета роботи: здійснити дослідження основних аспектів
технічного аналізу та окреслити можливості застосування його на ринку акцій в
Україні.
Одержані висновки та їх новизна: доведена ефективність
ідентифікації тренду та змін напрямків тренду динаміки цін акцій на біржовому
ринку з застосуванням графо-аналітичних методів технічного аналізу на прикладі
аналізу динаміки курсу цін акцій в інвестиційному портфелі ЗНКІФ «Синергія-7».
Результати дослідження можуть бути використані в практичній1
діяльності інвестиційних фондів при переході з сучасного режиму бездіяльного
пасивного спостерігання за падінням курсу акцій та зростанням збитковості
інвестиційного портфеля до активного режиму трейдингу на рості/падінні курсу
цінних паперів з застосуванням методів технічного аналізу.
Resume
The work’s results can be used in the practice of investment
funds in the transition from the current regime dormant passive observation
falling share prices and rising losses of the investment portfolio to the mode
of trading on growth / decline rate securities using methods of technical
analysis.
Keywords: Stocks, bonds, options,
dividends, discounts, trends, technical analysis, issuers, stock exchanges,
moving averages, trend lines, stripes BOLINDZHERA, support lines, line
impedance.
Вступ
Актуальність теми дослідження пов’язана з переходом України до
ринкової економіки, при якій склалися нагальні потреби для вивчення і
впровадження теорії інвестиційного портфеля, становлення та розвитку систем
фундаментального і технічного аналізу параметрів вітчизняного фондового ринку.
Існують різні трактування фондового ринку: традиційне, де
графічні ілюстрації минулих подій будуть повторюватись, та нові підходи -
теорія хаосу. Ці підходи дають можливість по новому трактувати ринок. До
традиційних авторів можна віднести як зарубіжних так і вітчизняних: С. Акеліс,
О. Елдер, Дж. Мерфі, Р. Елліотт, У. Ганн, Д. Швагер, А. Ерліх, С. Нісон, Г.
Морріс, Р. Мамчиц, Ю. Жваколюк, Д. Піскулов, В. Сафін, А. Куліков, С. Суворов,
В. Якимкін, В. Кравчук, М. Кузнєцов, А. Зайцев, Б. Мандельброт, Б. Вільямс, Е.
Петерс, М. Чекулаєв. Нового ж погляду притримуються: Б.Вільямс, В.
Кузьмінський, А. Кутиркін, О. Мендрул, Е. Найман, О. Сохацька.
Ефективність технічного аналізу при прогнозуванні цін на
акції у змінному середовищі, всупереч відсутності теоретичного обґрунтування
його постулатів та існування суперечностей з класичними інвестиційними
теоріями, актуалізує наукові дослідження у цій сфері. Вони, в свою чергу,
вимагають використання нових підходів, зокрема міждисциплінарного, який дає змогу
дослідити можливості гравців фондового ринку (трейдерів та пасивних учасників).
Розглядаючи український ринок цінних паперів слід сказати, що
він розвивається швидкими темпами, які в свою чергу обумовлюють необхідність
дослідження можливості використання технічного аналізу саме на ринку акцій
України та розробки рекомендацій для його застосування.
Предмет дослідження - це математичні основи застосування технічного
аналізу в процесі прогнозування біржових цін на акції.
Об’єктом дослідження є технічний аналіз ринку акцій
України на прикладі інвестиційного портфеля акцій ЗНКІФ «Синергія-7».
Мета дослідження - здійснити дослідження основних аспектів технічного
аналізу та окреслити можливості застосування його на ринку акцій в Україні.
Мета дослідження обумовлює постановку наступних завдань
роботи:
Розглянути теоретичні та методологічні основи
використання технічного аналізу на ринку акцій;
- Проаналізувати організаційно-інформаційне
забезпечення проведення технічного аналізу на ринку акцій;
Провести критичний аналіз публікацій з питань
проведення технічного аналізу на ринку акцій;
Побудувати алгоритм дослідження можливості
застосування технічного аналізу на ринку акцій і провести технічний аналіз на
ринку акцій України;
- Здійснити оцінку дієвості традиційних методів
технічного аналізу на ринку акцій України;
Сформувати модель поведінки трейдера в процесі
прийняття інвестиційних рішень на вітчизняному ринку;
Визначити особливості застосування основних методів
технічного аналізу для торгівлі на українському ринку акцій.
Інформаційно-методологічним забезпеченням дипломного дослідження є
монографії з інвестиційного менеджменту та управління інвестиційними
портфелями, монографії західних основників технічного аналізу курсу цінних
паперів на фондових ринках, числові масиви результатів біржових торгів акціями
на фондовій біржі «Українська біржа» на протязі 2009-2013 рр., звіти компанії
по управлінню активами ПАТ «Кінто» про управління інвестиційними портфелями
закритих недиверсифікованих корпоративних інвестиційних фондів ЗНКІФ
«Синергія-3» - «Синергія-9» на протязі 2004 - 2013 рр.
Методологічна та наукова новизна результатів дипломного дослідження
полягає в доведенні ефективності ідентифікації тренду та змін напрямків тренду
динаміки цін акцій на біржовому ринку з застосуванням графо-аналітичних методів
технічного аналізу на прикладі аналізу динаміки курсу цін акцій в
інвестиційному портфелі ЗНКІФ «Синергія-7», а також в доведенні ефективності
застосування прийомів та технологій технічного аналіза для переходу компаній по
управлінню активами інвестиційних фондів від політики пасивного прогнозування
довгострокового росту ринкової вартості акцій на протязі інвестиційного
горизонту до політики активного короткострокового та середньострокового
трейдингу на біржовому ринку акцій. Це переведе діяльність інвестиційних фондів
з сучасного режиму бездіяльного пасивного спостерігання за падінням курсу акцій
в інвестиційному портфелі та зростанням збитковості інвестиційного портфеля до
активного режиму трейдингу на рості/падінні курсу цінних паперів з
застосуванням методів технічного аналізу.
Практична цінність результатів дипломного дослідження полягає в
можливості застосування розробленої методології та засобів її застосування на
прикладі реального інвестиційного портфелю в діяльності досвідчених та
починаючих трейдерів на фондовому ринку України.
Розділ 1. Теоретико-метологічні засади застосування методів
технічного аналізу в портфельному інвестуванні
1.1 Сутність та необхідність аналізу цінних паперів для
портфельного інвестування
Портфельні інвестиції - це господарські операції, які
передбачають придбання цінних пaпepiв, деривативів та інших фінансових активів
за кошти на фондовому ринку. Портфельні інвестиції передбачають одержання
стабільного поточного доходу у вигляді відсотків або дивідендів i додаткового
доходу у вигляді різниці мiж ціною придбання i реалізації активу (курсової
різниці) [54].
Портфельні інвестиції здійснюються в цінні папери з
фіксованою ставкою дивідендною доходності відносно номінальної вартості (облігації
та привілейовані акції), гарантованою емітентом при випуску цінних паперів, та
в цінні папери з нефіксованою ставкою дивідендної доходності (прості акції),
дивіденд по яких залежить від результатів діяльності емітента та величина якого
не гарантується емітентом [63].
Окрім дивідендної доходності цінного паперу існує доходність
цінного паперу, яка реалізується за рахунок різниці цін придбання цінного
паперу на ринку інвестором та цін продажу цього паперу на ринку, тобто
інвестиційна доходність цінних паперів реалізується за рахунок двох грошових
потоків.
З математичної точку зору, розрахунок доходності акцій та
облігацій має відмінності, пов’язані з співвідношенням ринкової ціни придбання
інвестором цінного паперу та його номінальної вартості, визначеної інвестором
при емісії [10]:
ринкова ціна невідсоткової облігації, звичайно, є меншою за
номінальну вартість, тобто облігація продається з дисконтом, а інвестиційний
дохід за нею розраховується як величина дисконта, віднесена до ринкової
вартості придбання облігації;
відсоткова облігація (звичайно це облігації державного
внутрішнього та зовнішніх займів України) - це відсотковий цінний папер, який
продається або за номіналом, або з премією (тобто вище номінала), тому
доходність таких облігацій розраховується як виплачена сума відсотків за
облігацією, віднесена до вартості придбання облігації;
ціна простої та привілейованої акції залежить на першому
етапі від ціни емісії на первинному ринку (по номіналу або з премією для
емітента) та на другому етапі від поточної ринкової ціни акції на вторинному
ринку (емітент на цю ціну може вплинути тільки розміром сплачуємих дивідендів,
або перспективою майбутньої доходності свого бізнесу), при цьому доходність
акцій визначається:
а) для привилейованої - гарантовим рівнем відсотків відносно
номіналу акції, об’явленим в емісії акцій, незалежно від поточної ринкової ціни
акцій;
б) для простої - фактично реалізованим рівнем дивідендів,
затвердженим акціонерними зборами при прибутковій діяльності емітента,
віднесеним до вартості акцій при її купівлі на вторинному ринку чи придбанні по
подписці емісії на первинному ринку.
Розглянемо основні інвестиційні характеристики облігацій з
позицій інвестора на етапі покупки облігації та його позицій при продажу
облігації на ринку до строку закінчення її діяльності.
Основні характеристик облігацій [32]:
-
номінальна вартість облігації, яка погашається емітентом (виплата коштів в
обмін на облігацію) при настанні строку, обумовленого при емісії облігації%
-
дата погашення облігації емітентом (дострокове погашення не допускається);
-
дата емісії облігації емітентом;
Строк існування облігації, як фінансового інструменту, в роках:
(1.1)
-
дата покупки інвестором облігації на ринку;
-
ринкова вартість покупки інвестором облігації на дату
-
дата продажу інвестором облігації на ринку;
-
ринкова вартість продажу інвестором облігації на дату
1. Дисконтні безпроцентні облігації (правила торгівлі
інвесторів):
а) Дисконтна облігація в момент емісії продається за ціною, нижчою
номіналу
, а погашається по номіналу.
Середньорічна ставка доходності облігації при емісії, як сума
майбутнього доходу, віднесеного до суми витрат при покупці облігації,
розраховується як:
(1.2)
Середньорічна ставка доходності дисконтної облігації
є інвестиційним індикатором доцільності інвестування
коштів в облігацію у порівнянні з рівнями доходності альтернативного розміщення
інвестицій.
Рівень ставки альтернативної доходності є сугубо індивідуальним
показником для кожного інвестора, який в якості орієнтирів спирається на аналіз
наступних рівней доходності фінансових інструментів [41]:
- облікова річна ставка НБУ (національна ціна на грошові
кошти);
- річна ставка рефінансування НБУ банків;
річна ставка споживчої інфляції;
річна ставка інфляції цін виробника;
середня депозитна ставка комерційних банків;
річна ставка доходності безризикового ринкового
фінансового інструмента (державні облігації ОВДП);
середньо ринкова ставка доходності комерційних
облігацій;
середня кредитна ставка комерційних банків;
Вибраний інвестором рівень ставки альтернативної доходності
на строк дії облігації використовується для
дисконтування „пренумерандо”, тобто приведення майбутніх сум доходу до моменту
часу
інвестування коштів в покупку облігації.
Для довгострокових облігацій розраховується „пренумерандо” ціна покупки
облігацій, приваблива для інвестора [32]:
(1.3)
Рентабельність затрат інвестора при придбанні облігації в момент часу
за ціною
-
(нерівність 1.3) та утримання її до моменту погашення
розраховується як:
(1.4)
б) Прибуткова (або беззбиткова) торгівля дисконтними облігаціями
виконується інвестором на вторинному ринку згідно наступних нерівностей „пренумерандо”
дисконтованих розрахунків:
покупка облігації в момент часу
(1.5)
продаж облігації в момент часу
(1.6)
Прибутковість покупки/продажу дисконтних облігацій виникає на ринку як
індивідуальний показник, оскільки кожний інвестор використовує свою ставку
дисконтування.
Рентабельність затрат інвестора при придбанні облігації в момент часу
за ціною
-
(нерівність 1.5) та продажу її в момент часу
(нерівність
1.6) розраховується як:
(1.7)
2. Процентні облігації (правила торгівлі інвесторів) [32]:
Процентні облігації емітентом реалізуються на номіналом
та в залежності від схеми нарахування відсотків
розподіляються на:
процентні облігації, які погашаються в момент часу
з постоянкою нормою купона, тобто річної процентної
ставки виплату доходу від номіналу облігації;
процентні облігації, які погашаються в момент часу
з плаваючою нормою купона в залежності від стану
ринку (інфляційне застереження), тобто плаваючої річної процентної ставки
виплату доходу від номіналу облігації;
процентні облігації, які погашаються по кредитній схемі рівними
частками в момент нарахування постоянної/плаваючої норми купона, тобто річної
процентної ставки виплату доходу від залишку вартості номіналу облігації за
проміжок перед нарахуванням купонних відсотків.
Якщо нарахування купонних ставок виплати відсотків здійснюється
раз на протязі року, де
, з річною ставкою
,
то доцільність інвестування коштів інвестора
в
процентну облігацію з погашенням по кредитній схемі виникає, якщо:
(1.8)
(1.9)
Відповідно, покупка процентної облігації, яка погашається по кредитній
схемі в момент часу
доцільна за ціною:
(1.10)
(1.11)
Продаж інвестором процентної облігації, яка погашається по кредитній
схемі в момент часу
доцільний за ціною:
(1.12)
(1.13)
Якщо часткове погашення номінальної ціни акції емітентом не
передбачене, то формули цін покупки та продажу процентних облігацій (1.11) та
(1.13) перетворюються наступним чином:
(1.14)
(1.15)
Основні характеристики акцій [32]:
-
номінальна вартість акції;
К - кількість простих акцій;
К1 - кількість привілегірованих акцій
-
дата покупки інвестором акції на ринку;
-
ринкова вартість покупки інвестором облігації на дату
;
-
дата продажу інвестором акції на ринку;
-
ринкова вартість продажу інвестором облігації на дату
;
-
кількість раз нарахування дивідендів на акції на протязі року ( m = 1, 2, 4);
-
призначена емітентом річна ставка доходності привілейованої акції
в % від номіналу акції;
-
інтервал часу нарахування дивідендів:
(1.16)
-
чистий прибуток емітента після оподаткування до дивідендного розподілу;
-
коефіцієнт розподілу акціонерними зборами частки чистого
прибутку на виплату дивідендів по простим акціям.
Річна відсоткова ставка дивідендів
[%],
нарахованих по простим акціям, в кожний із періодів m нарахування на протязі
року, розраховується як:
(1.17)
Доход інвестора від перепродажу акції та отримання дивідендів на акцію
за період володіння правами на акцію
,
приведений „пренумерандо” до моменту придбання акції
розраховується як:
(1.18)
де
- середній рівень вибраного річного коефіцієнта
дисконтування інвестором на проміжку
в
%.
Оскільки рівень дисконтованого доходу інвестора у вигляді
рентабельності інвестиції в акцію:
(1.19)
повинен бути не меншим, ніж річна ставка
,
то спільне рішення рівнянь (1.18) та (1.19) дає умови для інвестора пошуку
оптимального моменту часу продажу акції
із
нерівності:
(1.20)
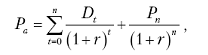
Згідно класичній моделі Дж. Вільямса на момент покупки акції t1
поточна ринкова вартість акції для інвестора Ра = С(t1)
розраховується за формулою дивідендної моделі оцінки вартості акції, яка
передбачає продаж акцій інвестором через n років та отримання на протязі строку
інвестування дивідендів [12]:
(1.21)
де Dt - дивіденд на одну акцію в періоді t, грош.
одн.;n - ціна продажу акції, грош. одн.;- річна ставка дисконтування
вартості грошових потоків.
На момент покупки акції за ціною Ра всі три параметри в
рівнянні (1.21) є невідомими та можуть бути прийнятими в якості прогнозів
(власних чи професійних).
Єдиним об’єктивним показником оцінки ринкової вартості акції
є відношення виплачуємої річної норми дивідендів (сума дивіденду на одну акцію
відносно номінальної вартості акції) до поточної річної ставки банківського
депозиту. Тоді дохідний відносний курс акції Какц оціюється як [12]:
(1.22)
Тобто, при вкладенні суми Ра(депоз) в банківський депозит, або в акцію
з номіналом AN та річним дивідендом DA, інвестор отримає
рівні відсотки прибутку на вкладений капітал.
Основна різниця між депозитом та акцією є те, що через рік сума
депозиту буде повернута по вкладеному номіналу, а акція через рік може бути
про-дана тільки по ринковому курсу Pn, який може бути більшим за Ра (виграш на
курсі) чи меншим за Ра (програш на курсі).
Таким чином, прогноз ринкового курсу фінансового інструменту є одним із
основних факторів успішного та прибуткового інвестування.
З
теоретичної точки зору аналіз ринку акцій базується на двох методологіях -
фундаментальній і технічній. Кожна з них має свої переваги і недоліки, серед
спеціалістів та вчених не припиняються дискусії щодо ефективності їх
використання. Але якщо стосовно міжнародного фондового ринку ці дискусії мають
базу для обговорення, то щодо українського фондового ринку дискусії такого
характеру мають значною мірою умовний характер.
Технічний аналіз базується на аналізі динаміки вартості
цінних паперів. Існує близько 12 найбільш популярних методів такого аналізу та
безліч комбінованих варіантів, які тією чи іншою мірою використовують
результати торгівлі цінними паперами.
Сутність технічного аналізу полягає у дослідженні графіків
руху цін на цінні папери та прогнозуванні можливої динаміки цін на майбутнє. У
більшості випадків технічний аналіз орієнтований на дослідження руху цін на
акції як найбільш динамічні цінні папери. Ця методологія останнім часом стала
настільки популярною серед аналітиків міжнародного фондового ринку, що
з’явилися твердження про необхідність відмовитися від традиційного
фундаментального аналізу.
В основі технічного аналізу лежить наукова база розподілу
подій з точки зору теорії імовірності, і ця ймовірність може бути описана
графічно і математично. З погляду фондового ринку це означає, що зростання або
падіння цін на акції можна спрогнозувати з урахуванням імовірності настання
цієї події. А це означає, що ціна на будь-яку акцію має імовірність зростання
пропорційної імовірності падіння ціни. Таким чином можна обґрунтувати динаміку
цін на акції, розрахувати ймовірність настання того чи іншого випадку, а також
вирахувати похибку такого роду розрахунків. Але в умовах українського ринку
акцій ця методологія натикається на бар’єр відсутності бази для розрахунків.
Адже, модель нормального розподілу ймовірностей працює з великою достовірністю
лише за умови наявності великої кількості вибірки даних руху цін на акції,
іншими словами, генеральної вибірки спостережень. На жаль, реальна ситуація на
ринку акцій України не дає можливості забезпечити наявність такої вибірки.
Акції навіть найбільш популярних українських емітентів не мають стабільних
попиту і пропозиції, як результат - зміна цін на них має не динамічний, а
дискретний характер, що не є об’єктом технічного аналізу [2].
Основні висновки, до яких прийшли автори сучасної теорії
портфельних інвестицій можна сформулювати наступним чином [45]:
а) Ефективну множинність містять ті портфелі, які одночасно забезпечують
і максимально очікувану дохідність за фіксованого рівня ризику, і мінімальний
ризик при заданому рівні очікуваної дохідності;
б) Передбачається, що інвестор вибирає оптимальний портфель
із портфелів, що складають ефективну множинність.
в) Оптимальний портфель інвестора ідентифікується з точкою
зіткнення кривих байдужості інвестора з ефективною множинністю.
г) Диверсифікація звичайно приводить до зменшення ризику,
оскільки стандартне відхилення портфеля у загальному випадку буде меншим, ніж
середньозважені стандартні відхилення цінних паперів, що складають портфель.
Співвідношення дохідності цінного паперу і дохідності на
індекс ринку відоме як ринкова модель.
д) Дохідність на індекс ринку не відображає дохідності
цінного паперу сповна. Непояснені елементи включаються у випадкову погрішність
ринкової моделі. У відповідності з ринковою моделлю загальний ризик цінного
паперу складається із ринкового ризику і власного ризику.
е) Диверсифікація приводить до усереднення ринкового ризику.
Диверсифікація може значно знизити власний ризик.
Таким чином можна сформулювати основні постулати, на яких
побудована сучасна теорія портфельних інвестицій [54]:
. Ринок складається з кінцевого числа активів, дохідності
яких для заданого періоду вважаються випадковими величинами.
. Інвестор в стані, наприклад, виходячи з статистичних даних,
отримати оцінку очікуваних (середніх) значень дохідностей та їхніх попарних
коваріацій - ступенів можливості диверсифікації ризику.
. Інвестор може формувати різні допустимі (для даної моделі)
портфелі. Дохідності портфелів є також випадковими величинами.
. Порівняння портфелів, що вибираються ґрунтується тільки на
двох критеріях - середній дохідності та ризику.
. Інвестор не схильний до ризику в тому сенсі, що з двох
портфелів з однаковою дохідністю він обов'язково віддасть перевагу портфелю з
меншим ризиком.
. Центральною проблемою в теорії портфельних інвестицій є
вибір оптимального портфелю, тобто визначення набору активів з найвищим рівнем
доходності за найменшого чи заданого рівня інвестиційного ризику. Такий підхід
"багатомірний" як за числом залучених в аналіз активів, так і за
врахованими характеристиками.
У процесі управління портфелем фінансових інвестицій
вирішуються такі завдання [61]:
забезпечення надійності вкладень;
підвищення дохідності інвестицій;
збільшення ринкової вартості вкладень;
забезпечення ліквідності фінансових інвестицій
На надійність фінансових інвестицій впливають систематичні
(ринкові) і несистематичні (портфельні) ризики. Незважаючи на те, що в умовах
політичної нестабільності й спаду виробництва систематичний ризик фінансових
вкладень дуже високий, засобів захисту від нього практично не існує. І навпаки,
портфельний ризик можна зменшити за допомогою диверсифікації та страхування. До
специфічних методів внутрішнього страхування фінансових ризиків можна віднести
формування спеціального страхового резерву з високонадійних цінних паперів.
Збільшити дохідність фінансових інвестицій можна шляхом
умілого маневрування між ризиком і дохідністю цінних паперів, включення в
інвестиційний портфель тих цінних паперів, норма поточної дохідності яких
прийнятна для інвестора і відповідає меті формування його портфеля.
Ринкова вартість портфеля цінних паперів залежить від
загальної кон'юнктури фондового ринку, а також від співвідношення між попитом і
пропозицією окремих фондових інструментів. Відповідно до теорії асиметричної
інформації ринкова ціна цінних паперів компанії зростає у випадку, коли
інвесторам надходить інформація про збільшення обсягів її інвестиційної діяльності,
збільшення величини дивідендів, підготовку до наступного випуску акцій тощо.
.2 Сутність та застосування технічного аналізу курсу цінних
паперів в портфельному інвестиційному аналізі
Постійні зміни на ринку акцій, безсилість традиційних методів
аналізу потребують пошуку нових підходів щодо прогнозування майбутніх цін на
акції. Аналітики фондового ринку здійснюючи операції з купівлі-продажу
застосовують фундаментальний та технічний аналіз. Ці аналізи спрямовані на
розв’язання однакових питань щодо прогнозування ціни, але використовують для
досягнення цієї мети принципово різні методи та прийоми.
Технічний аналіз (англ. Technical analysis) - це
прогнозування зміни ціни цінних паперів в майбутньому на основі аналізу зміни
їх ціни у минулому [1]. У його основі лежить аналіз часових рядів ціни -
«чартів» (від англ. chart). Окрім цінових рядів, в технічному аналізі
використовується інформація про об'єми торгів та інші статистичні дані.
Найчастіше методи технічного аналізу використовуються для аналізу цін, що змінюються
вільно, наприклад, на біржах.
Технічний аналіз широко використовується в США, Японії та
країнах Західної Європи. Розглянемо визначення, які використовують відомі
зарубіжні та вітчизняні економісти.
Автор книги „Внутрішньоденна торгівля на ринку FOREX” Ю.
Жваколюк характеризує технічний аналіз як: „дослідження динаміки ринку за
допомогою графіків з метою прогнозування подальшого руху цін” [34].
Г. Морріс в книзі „Японські свічки: метод аналізу акцій та
ф’ючерсів, перевірений часом” [46] розглядає технічний аналіз, як сукупність
методів, які дають корисну інформацію, що використовується для розуміння і
організації фактів поведінки ринку та сприяє кращому розумінню ринків
інвесторами. Дане визначення є достатньо повним, проте, твердження щодо „кращого
розуміння ринків інвесторами” є дещо перебільшеним, адже не завжди навіть
правильні прогнози дають розуміння ринкових механізмів.
А. Акеліс в енциклопедії „Технічний аналіз від А до Я”
використовує наступне визначення: „Технічний аналіз - це метод вивчення цін,
головним інструментом якого служать графіки” [1]. Таке визначення, хоча і
окреслює основні риси технічного аналізу, проте, не розкриває його сутності.
За словами О. Елдера „технічний аналіз - це прикладна масова
психоло-гія, його мета в тому, щоб розпізнати тренд і зміни поведінки натовпу
та прийняти розумні рішення в біржовій грі” [66]. О. Елдер досліджує вплив
масової психології на поведінку гравця на ринку і тому розглядає технічний
аналіз, як продукт масової психології. Образно висловлюючись він зазначав, що
“Технічний аналіз споріднений з опитуваннями громадської думки. Це поєднання
науки й мистецтва. Наукова частина полягає у використанні статистичних методів
і комп’ютерів; творча частина - у тлумаченні отриманих даних”.
Автори біржового словника В. Корельский та Р. Гаврилов
пропонують наступне визначення: „Технічний аналіз - це система прикладних
методів прогнозування майбутніх змін на біржових ринках, яка опирається на
ретельне дослідження минулих подій, розуміння глибини людської (масової) психології
та знанні теорії імовірності; є комбінацією „вікових підходів” та „найновіших
ідей” аналізу динаміки ринку; практичне значення технічного аналізу -
максимально точне передбачення руху цін на ф’ючерсні контракти, брокер, який
володіє технічним аналізом вважається „озброєним до зубів” [40]. Дані автори
дають повне і ґрунтовне визначення, проте, зазначається, що аналіз
використовується на ф’ючерсному ринку, хоча, на нашу думку, в даному випадку
необхідно звернути увагу на той факт, що технічний аналіз успішно
використовується і на інших ринках.
Дослідник фінансових та сировинних ринків Дж. Мерфі вважає,
що: „Технічний аналіз - це дослідження динаміки ринку, найчастіше з допомогою
графіків, з метою прогнозування майбутнього напрямку руху цін” [47]. Для кращого
розуміння суті технічного аналізу Дж. Мерфі використовує порівняння з
фундаментальним: „Якщо фундаментальний аналітик намагається розібратись в
причині руху ринку, технічного аналітика цікавить лише факт руху; ринкова ціна
випереджає всі відомі фундаментальні дані; принципи технічного аналізу можуть з
успіхом використовуватись при операціях зі спредами і опціонами, використання
технічного аналізу при хеджуванні має незаперечні переваги; стовпчикові
графіки, пункто-цифрові, лінії тренду, ковзні середні, осцилятори - успішно
використовуються для товарного та фондового ринків” [47]. На нашу думку, Дж.
Мерфі в своїй праці „Технічний аналіз на ф’ючерсних ринках” найглибше розкриває
суть технічного аналізу, і що особливо важливо, підкреслює універсальність його
методів для усіх ринків.
А. Куліков в довіднику біржового спекулянта „FOREX для
початківців”: „Технічний аналіз - це метод прогнозування динаміки цін,
оснований на математичних, а не на економічних викладках” [42].
Пропонує наступне визначення О. Сохацька: „Технічний аналіз -
це дослідження динаміки основних показників ринку за допомогою графічних
методів з метою прогнозування майбутніх напрямів їх руху” [60].
У технічному аналізі розроблено безліч різноманітних
інструментів та методів, але всі вони засновані на одному загальному припущенні
- шляхом аналізу часових рядів за допомогою виділення трендів (на основі
паттернів і технічних індикаторів) можливо спрогнозувати поведінку ціни в
майбутньому.
Технічний аналіз і його традиційний опонент фундаментальний
аналіз - основні школи аналізу цінних паперів.
Існують відмінності в методах технічного аналізу на валютному
та на біржовому фондовому ринку. На біржах ціни і об'єми операцій публікують
спеціальні комісії, торгівля ведеться в рамках часу торгівельних сесій. Проте,
загальні принципи технічного аналізу на всіх ринках однакові.
Технічний аналіз базується на наступних основних постулатах,
що слідують з теорії Доу, розробленої Чарльзом Доу у 1900 році [64]:
1. Ринок
враховує все.
Інакше кажучи, ціна є наслідком та вичерпним відображенням
всіх рушійних сил ринку. Будь-який чинник, що впливає на ціну (економічний,
політичний або психологічний) вже врахований ринком та включений до ціни. Тобто
все, що впливає на ціну, обов’язково у цій ціні і враховується. За допомогою
цінових графіків ринок сам повідомляє про свої наміри, і завдання уважного
аналітика полягає у правильному та своєчасному прочитанні цих намірів. При
цьому знання фундаментальних причин поведінки ринку навряд чи необхідно для
правильного прогнозування. Все, що потрібно для прогнозування, - вивчати графік
ціни. А макроекономічні показники, які є предметом фундаментального аналізу,
вже давно враховані ринком і є тільки поясненням фактів, що вже відбулися.
Якщо технічний аналіз в основному займається вивченням
динаміки рин-ку, то предметом дослідження фундаментального аналізу є економічні
сили по-питу та пропозиції, котрі викликають коливання цін, тобто змушують їх
іти вгору, вниз або залишатись на одному рівні.
По суті справи і технічний, і фундаментальний аналіз при
підході до прогнозування динаміки ринку намагаються вирішити одну і ту ж
проблему, а саме: визначити, у якому ж напрямку будуть рухатися ціни. Але до
цієї проблеми вони підходять з різних боків. Якщо фундаментальний аналітик
пробує розібратись в причинах руху ринку, то технічного аналітика цікавить
тільки факт цього руху. Все, що йому потрібно знати - це те, що рух ринку має
місце, а цим саме він викликаний - не дуже важливо. Фундаментальний ж аналітик
буде пробувати з’ясувати, чому саме це відбулося.
Ринкова ціна випереджає всі відомі фундаментальні дані.
Іншими словами, ринкова ціна слугує випереджаючим індикатором фундаментальних
даних або міркувань здорового глузду. В той час як ринок вже врахував всі
відомі економічні фактори, ціни починають реагувати на якісь зовсім нові,
невідомі ще чинники. Більшість значних періодів росту чи падіння цін у історії
починались при обставинах, коли практично ніщо, з точки зору фундаментальних
показників, не передвіщало жодних змін. Коли ж ці зміни ставали зрозумілими
фундаментальним аналітикам, нова тенденція вже розвивалася у повну силу.
2. Рух
ринку підкоряється тенденціям.
Поняття тенденції або тренду - одне з основних у технічному
аналізі. Життя ринку складається з періодів зростання та падіння цін, що
чергуються, таким чином, що усередині кожного періоду відбувається розвиток
пануючої тенденції, котра існує до тих пір, поки не почнеться розвиток ринку у
зворотному напрямку. Завдання полягає у тому, щоб виявити ці тенденції на
початкових стадіях їх розвитку і торгувати у відповідності з їх напрямком.
3. Історія
повторюється.
Той факт, що визначені конфігурації на графіках цін мають
властивість повторюватись стало і багаторазово, на різних ринках і в різних
масштабах часу, є наслідком об’єктивних законів фізики, економіки і психології.
Ті правила, що діяли у минулому, діють й зараз, а також будуть діяти у
майбутньому. На цьому і ґрунтуються всі методики прогнозування майбутнього.
Весь технічний аналіз умовно можна поділити на два напрями, в
залежності від методів, що застосовуються:
- класичний технічний аналіз, оснований на вивченні та
аналізі саме цінових графіків;
- комп’ютерний технічний аналіз, оснований на
використанні методів математичної статистики (математичний аналіз) і
спеціальних алгоритмів обробки даних (значень ціни).
Існує безліч різних методів та індикаторів. До найбільш
відомих показників відносяться різні типи індикаторів в торговому терміналі
(див.рис.1.1):
Рис. 1.1. Основні терміни показників технічного аналізу ЦП
[64]
. Первинна інформація:
Ціна, по якій здійснюються операції (ціна відкриття,
максимальна та мінімальна ціни за сесію торгів, ціни реальних біржових угод,
ціна закриття сесії);
Об'єм торгів і ліквідність цінних паперів;
Попит і пропозиція на ринку за оперативними даними
торгівельного терміналу.
. Інформація, що запізнюється (або інерційна):
"Японські свічі (Candles)", показують
волатильність, або «розмах цін»;
Ковзні середні (Moving Average - MA) - лінії, що з вибраним
рівнем запізнення показують напрям довгострокового тренду;
Метод сходження і розбіжності - пошук точок перетинання
графіків «швидкою» і «повільною» ковзних середніх ліній;
Алігатор (фондовий ринок) - пошук точок розбіжності на основі
трьох ковзних середніх з запізненням.
. Швидкість і прискорення ринку (перша і друга похідні від
ціни):
Моментум (Momentum) - аналіз швидкості і напряму зміни ціни
(перша похідна, «зміна в часі»);
Стохастичний індикатор (Stochastic Oscillator) - аналіз
прискорення зміни ціни (друга похідна або «швидкість росту швидкості»);
Індекс відносної сили RSI - порівняння швидкості росту і
швидкості падіння ціни у вибраному проміжку часу.
- Інші індикатори: Лінія тренда; Лінії (смуги) Болінджера
(Bollinger Bands, BB); Лінії та рівні підтримки (support) і опору (resistance);
Відкрита цікавість; Зважений об'єм; Спрямованість ціни і об'єму; Індекс
накопичення/ розподілу; Сходження/розбіжність ковзних середніх (MACD - Moving
Average Convergence/Divergence); Аналіз опціонних рівнів; Індикатор Ішимоку;
Метод хвилевої симетрії; Індикатори настрою ринку.
За характером поведінки в технічному аналізі розрізняють такі
види трендів (рис. 1.2):
тренд зростаючого ринку або тренд бика (bullish) (за аналогєю
з биком, що рогами «піднімає» ціну), який відображає тенденцію до підвищення
цін;
спадний тренд або тренд ведмедя (bearish) (за аналогією з
ведмедем, який лапами «пригнічує» ціну), що відображає тенденцію до зниження
цін;
тренд «голова-плечі» (head and shoulders, H&S), що
відображає можливий розворот ринку, тобто перехід від тенденції зростання
поточних цін до їх зниження, або навпаки;
бічний тренд, для якого неможливо встановити характер
тенденції розвитку ринку.
Точки розвороту ринку «биків» визначаються за максимальним
рівнем цін у короткому періоді, у той час як точки зламу ринку «ведмедів» - за
мінімальним рівнем цін. У рамках довгострокової тенденції система точок зламу
доповнюється піковими (максимальними і мінімальними) рівнями цін.
Рис. 1.2. Характер залежності ціна на фінансові активи від
часу для різних видів трендів [64]
В залежності від часу прояву Доу виділяв три типи трендів
(рис. 1.3):
основний (або первинний) тренд, який триває понад рік;
проміжний (або вторинний) тренд - хвилеподібні зміни цін, що
тривають від 3 тижнів до 3 місяців;
малі тренди - тенденції, що тривають менше 3 тижнів.
Рис. 1.3. Типи трендів ринку на графіку зміни ціни фінансових
активів в часі [64]
Фаза консолідації, з якої розпочинається будь-яка основна або
проміжна тенденція до зниження або зростання цін на ринку, виявляється в малих
бічних трендах. Ціна активів весь час рухається зигзагом, що пов’язано з
тимчасовими її коригуваннями (або «відкатами»).
В процесі графічного вивчення поточної динаміки показників,
що спостерігаються методами технічного аналізу, ставляться наступні завдання:
визначити характер тенденцій показника, що вивчається;
визначити «точки розвороту» трендів - максимальні або
мінімальні значення аналізованого показника, після яких тенденція змінюється на
протилежну.
визначити рівень підтримки (лінія з’єднання всіх мінімальних
значень показника по відповідним точкам розвороту) та рівень опору ціни
(аналогічна лінія, побудована по максимальним значенням). У графічному аналізі
прийнято вважати: якщо ринкова ціна акції перетинає лінію опору, це слугує
сигналом для її купівлі, оскільки очікується подальше зростання курсової
вартості цінного папера. В свою чергу, якщо ринкова ціна папера падає нижче
рівня підтримки, це - сигнал до продажу акцій, оскільки вважається, що вона
падатиме й далі;
визначити частоту і характер розривів ціни. В теорії
технічного аналізу виділяють різні види розривів (прискорюючий, уповільнюючий,
випереджуючий, острівний, кінцевий тощо), кожен з яких дозволяє визначити
напрями й ступінь інтенсивності зміни тенденції показника.
Графічні методи технічного аналізу різноманітні. Як правило,
для відображення біржової інформації використовують:
лінійні графіки;
стовпчикові діаграми (гістограми);
графіки у вигляді «барів»;
«японські свічки»;
графіки типу «хрестики-нулики».
Лінійні графіки використовуються для відображення зміни в
часі різних видів цін активів (попиту, пропозиції, закриття тощо). На практиці
використовується два способи побудови вертикальної шкали лінійного графіку:
використання арифметичної вертикальної шкали, яке є доцільним
якщо діапазон зміни ціни є невеликим;
використання логарифмічної вертикальної шкали, яка дозволяє
нівелювати великі розриви в значеннях ціни.
Кожна діаграма може містити інформацію про ціну відкриття,
закриття, мінімальну ціну продажів (Low), найвищу ціну продажу за період
(High). Вважається, що в ціні відкриття відбита думка любителів про ціни на
фондовому ринку, а в ціні закриття - думка професійних гравців ринку. Розмах
між нижнім і верхнім рівнями цін характеризує боротьбу між «ведмедями» і
«биками».
Середні ковзні - найбільш ефективний інструмент технічного
аналізу (англ. Technical analysis) - прогнозування зміни ціни в майбутньому на
основі аналізу зміни ціни у минулому. У його основі лежить аналіз часових рядів
ціни - «чартів» (від англ. chart). Окрім цінових рядів, в технічному аналізі
використовується інформація про об'єми торгів та інші статистичні дані.
1.3 Сутність графо-аналітичних методів технічного аналізу
Поняття тенденції або тренду - одне з основних у технічному
аналізі. Життя ринку складається з періодів зростання та падіння цін, що
чергуються таким чином, що усередині кожного періоду відбувається розвиток
пануючої тенденції, котра існує до тих пір, поки не почнеться розвиток ринку у
зворотному напрямку. Завдання полягає у тому, щоб виявити ці тенденції на
початкових стадіях їх розвитку і торгувати у відповідності з їх напрямком.
Графічний
метод технічного аналізу заснований на аналізі цінових графіків - нанесення на
графік зміни ціни за певний проміжок часу. Узагальнена назва CHARTS [46].
Часові інтервали: 1. Місячне угруповання даних - Monthly (M);
. Тижнева Weekly (W); 3. Денна Daily (D); 4. Внутриденні дані
: Годинна Hourly (H); Півгодинна Semihourly; 15-хвилинна Quarterly; 5-хвилинна.
Типи CHARTS:
a) Line - лінійний
Рис.1.4. Лінійний біржовий графік курсу торгів фінансового
інструменту [64]
б) Bar - для кожного періоду угруповання визначаються чотири
ціни:
High (вища ціна); Last, Close (ціна закриття); Open (ціна
відкриття); Low (нижча ціна)
Рис.1.5. Bar-біржовий графік курсу торгів фінансового
інструменту [64]
) CandleStick (японські свічі) - якщо ціна відкриття нижче
ціни закриття, тіло свічі біле . Якщо ціна відкриття вище ціни закриття - свіча
темна
Рис.1.6. Біржовий графік курсу торгів фінансового інструменту
за методом «Японські свічки» [46]
Лінія, яку ціна не може пробити нагору, називається лінією
опору (Resistance - res), а лінія, яку ціна не може пробити вниз, називається
лінією підтримки (Support - sup). Ці лінії рисуються або по кінцях Bar або за
цінами відкриття ( Open ) , закриття (Close). Вони дають можливість покупки-продажу,
попереджають події, дозволяють розпізнавати ситуацію на ринку. Канал, що
утвориться в результаті проведення паралельних ліній (sup, res), є оптимальним
діапазоном торговельних змін. Напрямок каналу долілиць або нагору визначає
тенденцію ринку (Trend).
Рис.1.7. Лінії «опору та каналу» на біржовому графіку курсу
торгів фінансового інструменту за методом «Японські свічки» [46]
д)
Розворотні фігури (Reversal Patterns)
1. Head & Shoulders - голови-плечі.
Рис. 1.8. Типові «розворотні фігури» на біржових графіках курсів
фінансових інструментів - Head & Shoulders - голови-плечі [64 ]
Пробій ціною лінії «шиї» є сигналом початку сильного руху ринку проти
попередньої тенденції. Звичайно ціни проходять відстань від точки пробою не
менш відстані від вершини голови до лінії шиї, відміреної по вертикалі.
2. Double Top - подвійна вершина (дно) та Triple top (bottom)
- потрійна вершина (дно )
.4 Сутність індикаторних та осциляторних математичних методів
технічного аналізу
Mатематичний
метод заснований на «технічних індикаторах» - математичних функціях,
побудованих на основі динаміки ціни або обсягів торгів фінансовим інструментом.
Індікатори можна розділити на дві групи [1]:
·
индікатори
тенденцій (підтверджують трендові тенденції);
·
осцилятори
(підказують розвороти трендів).
Індикатори
тенденцій:
1. Ковзні середні (Moving Average)
Ковзні середні є інструментами технічного аналізу, що
згладжують коливання досліджуваної величини шляхом усереднення по деякому
історичному періоді та служать для виявлення трендів. Недоліком ковзних
середніх є запізнювання усереднених значень стосовно курсу досліджуваної
величини. Ковзні середні розрізняються методом усереднення .
Ковзне середнє (moving average - МА) - є одним з
найважливіших індикаторів при аналізі ринку. Існує декілька видів ковзних
середніх [3]:
- просте ковзне середнє (SMA);
- експоненційне ковзне середнє (EMA);
зважене ковзне середнє (WMA);
трикутне ковзне середнє (TMA);
адаптивне ковзне середнє (AMA);
синус-зважене ковзне середнє (SWMA);
ковзне середнє кінцевої точки (EPMA);
з яких на практиці використовують три види ковзних середніх:
Просте ковзне середнє (англ. Simple Moving Average - SMA) - є
одними з найбільш простих і популярних індикаторів в технічному аналізі. SMA є
звичайним середнім арифметичним від цін за певний період. SMA відноситься до
класу індикаторів, які слідують за трендом, воно допомагає визначити початок
нової тенденції і її завершення, за його кутом нахилу можна визначити силу
(швидкість руху), воно ж в якості основи (або згладжуючого фактора)
застосовується у великій кількості інших технічних індикаторів. Іноді ковзне
середнє називають лінією тренда.
Просте ковзне середнє обчислюється по формулі [1]:
, (1.25)
де n - останній член часового ряду динаміки біржових цін на цінний
папер. Для задіяння процедури розрахунку ковзної середньої необхідно мати
більше, ніж р членів ряду;
р - кількість попередніх членів часового ряду, які вибрані для
розрахунку ковзної середньої (довжина осереднення), або параметр довжини
згладжування або період ковзної середньої (кількість цін котирування, які
входять у розрахунок ковзної).
Іноді цей параметр називають порядком ковзного середнього; - значення
ціни в часовому ряді (i = 1,…, n). Звичайно беруться ціни Close, але іноді
використовують Open, High, Low, Median Price, Typical Price).;
Один з найбільш серйозних недоліків методу SMA, полягає в
тому що воно надає однакові ваги як новим цінам, так і більш старим, хоча
логічніше було б припустити, що нові ціни важливіші, тому що відображають більш
близьку ринкову ситуацію до поточного моменту.
Експоненційне ковзне середнє (англ. Exponential Moving
Average - EMA) зменшує помилку, надаючи більшу вагу останнім цінами у
порівнянні з більш далекими цінами. Цей метод дозволяє більш швидко реагувати
на поточні зміни ціни в порівнянні з SMA. Вага, що надається останній ціні,
залежить від періо-ду ковзної середньої. Чим коротший період EMA, тим більша
вага надавати-меться останньою ціною.
Експонентне ковзне середнє обчислюється по формулі [1]:
EMAi=(Pi-EMAi-1)*K+EMAi-1
(1.26)
де EMAi - значення експонентного ковзного
середнього i-ого (поточного) періоду;
EMAi-1 - значення експонентного ковзного середнього (i-1)-ого
(попереднього) періоду;
Pi - i-е (поточне) значення ціни аналізованого часового
інтервалу (close, median price, typical price, weighted close);
K - частка використання значення ціни, рівна 2/(Period+1) або 2/Period;
звичайно K=2/(Period+1);
N - число періодів для обчислення ковзного середнього.
Зважене ковзне середнє (англ. Weighted Moving Average - WMA).
Одним з недоліків SMA є присвоєння при його розрахунку всім цінам однакових ваг
при усередненні незалежно від того, ближче чи далі вони від поточного моменту.
Цей недолік усунуто у зваженому ковзному середньому. WMA, таким чином, є
звичайною модифікацією SMA з вагами підібраними так, що останні ціни ма-ють
більшу вагу [1].
, (1.27)
де n - останній член часового ряду динаміки біржових цін на цінний
папір. Для задіяння процедури розрахунку ковзної середньої необхідно мати
більше, ніж р членів ряду;
р - кількість попередніх членів часового ряду, які вибрані для
розрахунку ковзної середньої (довжина осереднення); - значення ціни в часовому
ряді (i = 1,…, n);- значення ваги для ціни в i-тому періоді.
Найпоширеніший метод інтерпретації ковзних середніх полягає в
зіставленні динаміки ціни і її ковзного середнього. Коли ціна піднімається вище
свого ковзного середнього, виникає сигнал до покупки, а коли опускається нижче
- сигнал до продажу [1].
Оскільки ковзна середня має інертність, то звичайно
використовують дві або 3 ковзних середніх з різним періодом осереднення - для
короткострокових прогнозів це 9, 14, 34 години при наявності біржової
інформації з періодом 1 хвилина. Точка перетинання двох Moving МА9 і
МА14 є сигналом зміни короткострокового тренду.
Рис.1.11. Застосування різноінтервальних ковзних середніх [1]
.
Осцилятори
Основним сигналом в осциляторах є «Дивергенція» - ситуація,
коли напрямок руху ціни й технічних індикаторів не збігається. Дивергенція
вражається сильною ознакою розвороту тренда. Розрізняють дивергенцію «бичачу» й
«ведмежу».
а) Осцилятор (Price Oscillator - OSC) .
Один з найпоширеніших методів технічного аналізу. Обчислюють
прості ковзні середні з довгим і коротким періодами усереднення, щоб виявити
закономірні коливання за допомогою усереднення з коротким періодом, на тлі
більш довгострокових тенденцій. Свідчить про точки перепродажу, коли середнє з
коротким періодом менше середнього з довгим періодом, і навпаки.
Дає сигнал до покупки, коли величина показника OSC перевищує
встановлений відсоток S від довгоперіодичного середнього, і сигнал до продажу
при негативному OSC.
Рис.1.12. Приклади побудови осциляторів OSC [1]
Варто враховувати наступні моменти при використанні
осциляторів:
·
Осцилятори
використовуються, як правило, у безтрендових ділянках ринку. При розвиненому
тренді в увагу приймаються тільки сигнали по тренду (тобто при висхідному
загальному тренді - тільки сигнали на покупку).
·
Перетинання
з нульовою лінією як сигнал є слабким і приймається в увагу тільки в тому
випадку, якщо не суперечить основній тенденції руху ціни.
·
Критичні
значення осциляторів говорять тільки про те, що поточна зміна цін відбувається
занадто швидко й, отже, можна чекати швидкої корекції. Із цього, однак, витікає
й те, що осцилятор може досягати зони over- задовго до закінчення тренда (якщо
на початку тренда ціни змінювалися значно), і довго залишатися там у міру
подальшого розвитку тренда. Отже, особливо сильний сигнал виникає в тому
випадку, якщо в зоні over- осцилятор робить кілька коливань і тільки потім залишає
її.
Розбіжність цінового графіка й осциляторів (дивергенція):
·
Ціновий
графік утворює новий пік, за абсолютним значенням перевищуючий попередній, але
осцилятор цього не підтверджує. Сама величина дивергенції не впливає на
чинність наступної зміни ціни. Використання дивергенції - один із самих
надійних методів технічного аналізу;
·
На
графіках осциляторів корисно використовувати лінії тренду, підтримки та опору.
Часто тут можна побачити класичні фігури технічного аналізу, які можуть мати
більше значення, ніж на ціновому чарті;
·
Зони
сигналу на покупку й сигналу на продаж необхідно встановлювати індивідуально,
залежно від типу ринку й часового інтервалу, по якому будується графік. Іноді,
для фільтрації помилкових сигналів, вони можуть становити 2-5% .
·
Чим
коротше період осцилятора, тим сигнали виникають частіше й запізнюються менше;
відповідно велика частка помилкових сигналів. При використанні осциляторів з
більшим періодом кількість сигналів зменшується, збільшується відставання, але
підвищується надійність.
б)Перетинання середніх (Moving Average Convergence -
Divegence ) - осцилятор аналогічний OSC. визначається на основі двох
експоненціально згладжених ковзних середніх, які представляються трьома
лініями. Перша лінія відображає різни-цю між 12-періодною експонентною ковзною
середньою й 26-періодною експонентною ковзною середньою. Друга лінія (називана
сигнальною лінією) є приблизним експонентним еквівалентом 9-періодної ковзної
середньої першої лінії. MACD звичайно відображається як лінія осцилятора або як
гістограма. Третя лінія є різницю між першою й другою лінією ( представляється
на графіку у вигляді гістограми) .
Лінія1 = EMA12 - EMA26
Лінія2 =EMA9(EMA12 -EMA26)
Лінія3 = Лінія 1 - Лінія 2 - гістограмма
Перетинання Лінії1 і Лінії2 є сигналом на покупку або продаж.
Дуже добре відображає картину дивергенції. Стандартні періоди середніх ковзних
використовуються 12 і 26, сигнальна лінія має період 9.
Рис.1.13. Приклади побудови осциляторів MACD [1]
в) Індекс відносної величини цін (Relative Strength Index -
RSI)
Метод RSI відокремлює рух цін нагору від руху цін долілиць,
окремо усереднює їх за допомогою середнього по періоду n, і розраховує, який
відсоток від повного руху становить рух нагору. Сигналізує про прагнення ринку
до зміни тренда при більших (близьких до 100%) або малих (близьких до 0%)
величинах RSI. Параметр - період усереднення n .
Формула:
,
де (1.4)
RS - зміна ціни закриття.
- середнє значення позитивних цінових змін .- середнє значення
негативних цінових змін.
(1.5)
Рис.1.14. Приклади побудови осциляторів RSI [1]
Діапазон зміни осцилятора від 0 до 100. Оптимальним значенням для
продажу вважається значення, рівне 80, для покупки - 20. Ці зони називаються:
зона сигналу на покупку Overbought - o/b; зона сигналу на продаж Oversold -
o/s. При сильних трендових рухах рівні o/b і o/s відповідно 80 і 20, а при
бічному ринку - 70 і 30. На графіках RSI можна шукати всі фігури, як і на
графіках цін.
г) Стохастик (Stochastic oscillator)
Параметр - період усереднення n .
Розраховують дві функції %K і % D :
цінний папір портфельний інвестування
%K = (Ct - Ln )/( Hn - Ln )x100%
n
- вища ціна за останні n періодівn - нижча ціна за останні n
періодів t - поточна ціна
%D(повільний стохастик) - це трьохперіодне просте ковзне середнє від
%К.
Стохастик у тренді лежить у зонах Overbought і Oversold. Тому при
сильних рухах він не інформативний , але добре працює в Range.
Рис.1.15. Приклади побудови осциляторів «стохастик» [1]
д) Осцилятор швидкості змін (The Rate of Change - ROC)
Швидкість зміни (Rate of Change - ROC) - один з най простіших і дуже
ефективних осциляторів, який показує процентну зміну ціни від одного періоду до
іншого.
Індикатор Rate of Change розраховується, як порівняння поточної ціни із
ціною минулого періоду, що відстоїть від поточні на N періодів. Періодами індикатора
ROC як завжди можуть бути інтервали від 1 хвилини до місяця.
Формула індикатора ROC:
де P0 - ціна закриття поточного періоду; n - ціна закриття
сьогодні N періодів назад;
Однак існує ще одна варіація розрахунку ROC - Нормований індикатор ROC
Рис.1.16. Осцилятор швидкості змін (The Rate of Change - ROC) [64]
of Change як індикатор прискорення дозволяє відслідковувати згладжений
темп зміни ціни. Графік осциллятора ROC коливається над і під рівнем одиниці
(або рівня 100, залежно від того, домножений він на 100% чи ні), показуючи тим
самим як змінюється прискорення ціни, чи є воно позитивним або негативним. Як
правило індикатор ROC дещо випереджає основну цінову тенденцію й досягає
максимуму або мінімуму раніше, ніж це робить ціна.
Перетинання індикатором ROC рівня 1 (або 100) і подальший його ріст
означає прискорення темпів росту ціни й збільшення ймовірності її продовження.
Розворот індикатора на високих рівнях зверху долілиць означає, що тенденція
триває, але вже не набирає чинність, а починає поступово вповільнюватися.
Падіння індикатора ROC над лінією 1 (або 100) означає, що поточна
тенденція росту цін сповільнює швидкість.
Перетинання зверху долілиць одиниці й продовження падіння означає
прискорення спадного руху цін.
Розворот на рівнях нижче одиниці означає вповільнення падіння цін і
високу ймовірність розвороту тенденції нагору.
Якщо ціни продовжують рости, роблячи на графіку новий максимум вище
попереднього, а ROC росте, але його новий максимум нижче попереднього, це
означає що з'явилася розбіжність (дивергенція) у показаннях індикатора й ціни,
і потрібно готується до можливого падіння цін.
У зворотному випадку, якщо на графіку ціни роблять новий мінімум нижче
попереднього, а на графіку індикатора з'являється новий мінімум, але вище
попереднього, то потрібно готуватися до розвороту ринку нагору.
Таким чином, нахил індикатора означає прискорення або вповільнення
тенденції, а його положення щодо рівня одиниці - яка ця тенденція - падіння або
ріст.
е) Індикатор Alligator (Алігатор)
Індикатор „Алігатор” є досить цікавим підходом оцінки напрямку руху
ринку й фільтрації періодів відсутності тренду ціни (проміжок бічного
діапазону). Його основна мета, дати аналітику сигнал тренда, що зароджується.
Формула “Алігатора” Біла Вільямса [20]:
. „Алігатор” є простою комбінацією 3-х звичайних ковзних середніх
різної довжини й з різним зрушенням уперед.
. Всі ковзні середні в індикаторі „Алігатор” використовують не ціну
закриття, а медіанну ціну:Price = (High + Low) / 2
де: High - максимум даного бара („свічки”);- мінімум даного бара
(„свічки”);
. Ковзна середня 1, називається в Білла Вільямса «Щелепа Алігатора» -
це Лінія Балансу для часового періоду, що використовувався для побудови
графіка. Лінія є 13-періодною ковзною середньою, зрушеною на графіку на 8 барів
(періодів біржового визначення цін) уперед. Звичайно зображується синім
кольором.
Jaw = Smma (Median Price, 13, 8)
де Smma - згладжене ковзне середнє (Smoothed Moving Average, SMMA)
. Ковзна середня 2 називається в Білла Вільямса «Зуби Алігатора» - це
Лінія Балансу для значимого часового періоду на порядок нижче. Лінія є
8-периодною ковзною середньою, зрушеною на графіку на 5 барів у майбутнє.
Звичайно червона.
teeth = Smma (Median Price, 8, 5)
.Ковзна середня 3 називається в Білла Вільямса «Губи Алігатора» - це
Лінія Балансу для значимого часового періоду, що нижче ще на один порядок.
Лінія є 5-периодною ковзною середньою, зрушеною на графіку на 3 бари вперед.
Зелена лінія.
Lips = Smma (Median Price, 5, 3)
. Формула згладженого ковзного середнього, використовує-мого для
розрахунків індикатора „Алігатор”.
Перше значення згладженого ковзного середнього розраховується, як і
проста ковзна середня SMA (Simple moving average) , тільки підсумуються не ціни
закриття, а медіанні ціни (Median Price) , формула яких зазначена вище.
Друга й третя ковзні середні розраховуються по наступній формулі:
i = (Sum 1 - Smma i-1 + Median Price i ) / N
Smma i - згладжене ковзне середнє поточного бара (крім першого);1 -
сума цін Median Price за N періодів, відлічувана від попереднього бара;i-1 -
згладжене ковзне середнє попереднього бара;Price - медіанна ціна поточного
бара;- період.
Рис. 1.17. Приклад „Алігатора” Била Вільямса [64]
Опис індикатора „Алігатор”:
Як уже стало зрозуміло, індикатор „Алігатор” - це звичайна комбінація
трьох згладжених ковзних середніх з різними періодами (13, 8 і 5) і різним
зсувом (8, 5 і 3 відповідно), побудованих не за ціною закриття, а по медіаною
ціні. Кожна із цих ковзних середніх по автору (Билу Вільямсові) має своє
«крокодиляче» назву.
Найбільш довга ковзна середня - «Щелепа Алігатора» (з періодом 13 і
зсувом 8) показує рівень цін, що повинен установитися на ринку, якщо на нього
не будуть впливати нові фактори. Це як би довгостроковий аналог справедливої
ринкової ціни. Саме тому автор і назвав її «Лінією Балансу». Вважається, що
якщо ціна перебуває вище «Щелепи Алігатора» - то ринок позитивно оцінює нові
фактори й буде продовжувати рухатися нагору. Навпаки, якщо ціна перебуває нижче
«Щелепи Алігатора», то ринок негативно оцінює нові фактори й буде продовжувати
рухатися долілиць.
Використання індикатора „Алігатор” (сигнали „Алігатора”):
. Одним із самих більших плюсів індикатора „Алігатор” є те, що він
дозволяє уникнути двоякого тлумачення більшості сигналів.
. Індикатор „Алігатор” можна використовувати для визначення того,
наскільки сильним буде наступний рух на ринку. Це, як правило, можна визначити
по тому інтервалу часу, коли лінії ковзних середніх перебувають у переплетеному
стані. Чим більше цей час, тим більший, як правило, наступний трендовий рух.
Однак використання ковзних середніх подібних до „Алігатор” - не кращий метод.
Альтернатива цьому - відстеження будь-якого показника волатильності, наприклад
стандартного відхилення (середньо-квадратичного відхилення), або заснованих на
цих показниках індикаторів, наприклад „смуги Болінджера” (Bollinger
<#"648279.files/image076.gif">
Ковзні середні не прогнозують зміни в тренді, а лише дають
сигнал, що з'явився новий тренд. Тому що ковзні середні ефективні в часових
періодах сильних змін цін (періоди сильних цінових трендів), а коли на ринку
ціни на цінний папер стабільні (тобто трендові тенденції слабкі), ковзне
середнє стає абсолютно неефективним.
Існує 7 основних методів інтерпретації графіка ковзного
середнього [1]:
1. Визначення сторони торгівлі за допомогою ковзною
середньої. Якщо вона спрямована нагору, то ви робите тільки покупки, якщо
долілиць - то тільки продажі. При цьому точки входу й виходу з ринку
визначаються на основі інших методів ковзних середніх (у тому числі й на основі
більш швидких ковзних).
2. Розворот ковзної середньої при позитивному нахилі
самого цінового графіка розглядається як сигнал на купівлю, розворот ковзної
середньої при негативному нахилі самого цінового графіка розглядається як
сигнал на продаж.
. Метод ковзного середнього, заснований на перетинання
ціною своєї ковзної середньої зверху долілиць (при негативному нахилі обох)
розглядається як сигнал на продаж, перетинання ціною свого ковзного середнього
знизу нагору (при позитивному нахилі обох) розглядається як сигнал на покупку.
. Перетинання довгого ковзного середнього коротким
знизу нагору розглядається як сигнал до покупки й навпаки.
. Ковзні середні із круглими періодами (50, 100, 200)
іноді розглядаються як ковзні рівні „підтримки” (довгострокова межа нижнього
діапазону біржових цін) і „опору” (довгострокова межа верхнього діапазону
біржових цін).
. Виходячи з того, які ковзні спрямовані нагору, а які
долілиць визначають який тренд висхідний а який спадний (короткостроковий,
середньостроковий, довгостроковий).
. Моменти найбільшої розбіжності двох ковзних середніх
з різними параметрами розуміють як сигнал до можливої зміни тренда.
Недоліки методу ковзної середньої:
1. При використанні методу ковзної середньої для торгівлі по
тренду запізнювання на вході й на виході із тренда як правило дуже значне, тому
в більшості випадків губиться більша частина трендового руху.
2. У боковику (торговому діапазоні) <#"648279.files/image063.gif"> , (2.2)
де n - останній член часового ряду динаміки біржових цін на цінний
папер. Для задіяння процедури розрахунку ковзної середньої необхідно мати
більше, ніж р членів ряду;
р - кількість попередніх членів часового ряду, які вибрані для
розрахунку ковзної середньої (довжина осереднення); - значення ціни в часовому
ряді (i = 1,…, n);- значення ваги для ціни в i-тому періоді.
Ваги можуть вибиратися різним шляхом, наприклад, у випадку
лінійно-вагової ковзної середньої (по оберненій лінійній залежності):
(2.3)
Тобто ваги ковзної середньої підбираються так, що останні ціни мають
максимальну вагу, а далекі попередні - мінімальний:
при
;
при
Ваги можуть також мінятися по логарифмічній або параболічній
функції. Ціни також можуть бути різними: Close, Open, High, Low, Median Price,
Typical Price.
На графіках рис. 2.2 наведені результати побудови ковзних
середніх WMA з періодами осереднення 15,30,50,200 значень часового ряду,
розраховані за алгоритмом формул (2.2 -2.3) в „електронних” таблицях Excel -
2010 (фрагмент наведений в табл. 2.1).
Зважена ковзна середня, як аналітичний інструмент, знімає
частину недо-ліків звичайної ковзної, але не усуває їх повністю. Існує безліч
модифікацій зваженої ковзної середньої, що використовують різні варіанти
розрахунку ваг.
Недоліки:
1. Запізнювання на вході в тренд і на виході із тренда як
правило значно, але менше ніж у простої ковзної, тому що завдяки додаванню
останнім цінам більших ваг, вона швидше реагує на зміну ціни.
2. Як і проста ковзна в „бокових” трендах біржових цін
зважена ковзна середня дає дуже багато помилкових сигналів і веде до збитків.
. При вході в розрахунок ціни, що відрізняється від
рівня цін на ринку, зважене ковзне середнє змінюється сильніше ніж звичайне,
тому що останній ціні надана найбільша вага, однак при виході цієї ціни з
розрахунку ковзної вторинний помилковий сигнал не подається.
Найпоширеніший метод інтерпретації ковзних середніх полягає в
зіставленні динаміки ціни і її ковзного середнього. Коли ціна піднімається вище
свого ковзного середнього, виникає сигнал до покупки, а коли опускається нижче
- сигнал до продажу [1].
Оскільки ковзна середня має інертність, то звичайно
використовують дві або 3 ковзних середніх з різним періодом осереднення - для
короткострокових прогнозів це 15, 30, 50 годин при наявності біржової
інформації з періодом 1 хвилина. Точка перетинання двох Moving WМА15
і WМА30 є сигналом зміни короткострокового тренду, а перетиння
третьої Moving WМА50 свідчить про перехід від короткострокового до
середньострокового тренду (рис. 2.4). На рис. 2.5 наведений фрагмент графіка
рис.2.4 в більшому масштабі для пояснення ефекту 3-х різноперіодних WMA -
ковзних.
Рис. 2.5. Результати порівняння різноперіодних WMA - ковзних
середніх для часового ряду цін на акції ПАТ «Крюківський машинобудівний завод»
у січні 2013 - лютому 2013 рр. (121 значення котирування на УБ [69])
Рис. 2.4. Використання WMA - ковзних середніх для часового
ряду цін на акції ПАТ «Крюківський машинобу-дівний завод» у травні 2012 -
лютому 2013 рр. (576 значень котирування на УБ [69])
2.2 Метод ймовірнісніх „смуг Болінджера” (VаR - методологія)
управління портфелем інвестицій в технічному аналізі та його програмна
реалізація за даними біржових торгів
Ймовірнісні „смуги Болінджера” (Bollinger <#"648279.files/image082.gif">
Центральна смуга - являє собою ковзне середнє, котре може бути просте,
зважене, експонентне або ковзною іншого типу.
б) Верхня смуга являє собою ковзне середнє + (коефіцієнт x СКО)
в) Нижня смуга являє
собою ковзне середнє - (коефіцієнт x СКО)
Среднеквадратическое відхилення (Standard Deviation) обчислюється по
формулі [33]:
(2.4)
де P - ціна активу, N - кількість періодів для розрахунку.
Таблиця 2.2 Побудова алгоритму розрахунку смуг Болінджера в
„електронних” таблицях Excel - 2010
Коефіцієнт К є для нормального ймовірнісного розподілу - квантилем,
який в залежності від рівня довірчої ймовірності становить [33]:
при Р = 97,72% - К =2,0;
при Р =99,90% - К = 3,09;
В табл. 2.2 наведений фрагмент розрахункової таблиці по побудові смуг
Болінджера на базі розрахунку SMA та смуг середньоквадратичного відхи-лення з
застосуванням стандартних функцій Excel - 2010:
. =СУММ(F2:F52) - підсумовування чисел в указаному діапазоні чарунків
таблиці з автоматичною зміною чарунків підсумовування при переході в наступну
(нижню) строку розрахункової таблиці;
. =СРЗНАЧ(F2:F52) - розрахунок середньоарифметичного значення ряда
чисел, розташованих в указаному масиві чарунків таблиці з автоматичною змі-ною
чарунків підсумовування при переході в наступну (нижню) строку розра-хункової
таблиці;
. =СТАНДОТКЛОНА(F2:F51) - розрахунок середньоквадратичного відхилення
ряду від середньоарифметичного значення цього ряду чисел, розташованих в
указаному масиві чарунків таблиці з автоматичною зміною чарунків розрахунку при
переході в наступну (нижню) строку розра-хункової таблиці.
Смуги Болінджера утворюються трьома ковзними середніми (рис. 2.5 -2.7).
В індикаторі Болінджера відстань смуг від центральної лінії залежить від
поводження цін. Коридори смуги індикатора Болінджера називаються коридорами
стандартного відхилення, відповідно ширина смуги пропорційна середньоквадратичному
відхиленню значення ціни від заданого порядку ковзної середньої для
досліджуваного періоду часу.
Індикатор складається із трьох смуг, призначених для
охоплення більшої частини цінового руху ринкового інструмента.
1. Проста Ковзна середня (SMA) у середині.
2. Верхня смуга (SMA плюс 2 стандартні відхилення).
. Більше нижня смуга (SMA мінус 2 стандартні
відхилення)
Стандартне відхилення є статистичним терміном, що забезпечує
гарний показник мінливості. Використання стандартного відхилення гарантує, що
смуги будуть швидко реагувати на цінові рухи й відображати періоди високої й
низької мінливості. Різкі цінові підвищення (або зниження), і отже мінливість,
будуть вести до розширення смуг.
Відстань між смугами обумовлюється стандартним відхиленням
цін, сму-ги розширюються, коли волатильность цін збільшується, і звужуються,
коли їх волатильность зменшується.
Рис. 2.5. Динаміка курсу акцій ПАТ «Крюківський
вагонобудівний завод» за результатами торгів на Українській біржі у 2009 - 2012
рр. та побудовані «смуги Болінджера» на базі 200-денної ковзної для проведення
технічного аналізу
Рис. 2.6. Динаміка курсу акцій ПАТ «Крюківський
вагонобудівний завод» за результатами торгів на Українській біржі у 2009 - 2012
рр. та побудовані «смуги Болінджера» на баз 50-денної ковзної для проведення
технічного аналізу
Рис. 2.7. Динаміка курсу акцій ПАТ «Крюківський
вагонобудівний завод» за результатами торгів на Українській біржі у 2012 рр. та
побудовані «смуги Болінджера» на баз 50-денної ковзної для проведення
технічного аналізу
Болінджер рекомендує використовувати (20-30)-денну просту
Ковзну середню для центральної смуги й 2 стандартні відхилення для зовнішніх
смуг. Проміжок осереднення ковзної середньої й число відхилень можуть бути
відрегульовані для більше кращої відповідності індивідуальним перевагам
трейдера й певним характеристикам ринкового інструмента.
Перевірка на помилковість є одним з методів визначення
відповідної довжини проміжку осереднення ковзної середньої. Проста візуальна
оцінка може використовуватися для визначення відповідного числа періодів. Смуги
Болінджера повинні охопити більшу частину цінового руху, але не все. Після
різких рухів, перетинання смуг є нормальним. Якщо ціна, як здається, перетинає
зовнішні смуги занадто часто, то може знадобитися використання більш довгих
проміжків усереднення ковзних середніх. Якщо ціни рідко досягають зовнішніх
смуг, то може знадобитися застосування більше коротких проміжків усереднення
ковзних середніх.
Для загальних часових форматів, Болінджер рекомендує 10-денну
просту Ковзну середню для коротких періодів, 20-денну просту Ковзну середню для
середніх періодів і 50-денну просту Ковзну середню для довгих періодів часу.
Використання [64].
На додаток до визначення відносних цінових рівнів і
мінливості, індикатор „Смуги Болінджера” може бути об'єднаний із ціновим рухом
і іншими індикаторами для одержання сигналів і прогнозування значних цінових
рухів:
. Покупка на подвійному дні: сигнал покупки на подвійному дні
подається, коли ціни перетинають нижню смугу й залишаються вище нижньої смуги
після формування наступного мінімуму. Мінімум може бути вище або нижче іншого
мінімуму. Важливим моментом є те, що другий мінімум залишається вище нижньої
смуги. „Бичачий” сигнал (на зростання ціни) підтверджується, коли ціна
переміщується вище середньої смуги або простої ковзної середньої.
. Продаж від подвійної вершини: сигнал продажу подається,
коли ціна перетинає верхню смугу при досягненні піка, а при наступному піку не
в змозі прорватися вище верхньої смуги. „Ведмежий” сигнал (на падіння ціни)
підтерджується, коли ціна знижується нижче середньої смуги.
. Різкі зміни ціни можуть відбутися після того, як смуги
стиснулися й мінливість є низкою. У цьому випадку „Смуги Болінджера” не дають
ніякого натяку відносно майбутнього напрямку ціни. Напрямок у цьому випадку
може бути визначене з використанням інших індикаторів і інструментів технічного
аналізу. Багато ринкових інструментів проходять періоди високої мінливості,
супроводжуваної періодами низької рухливості. Використовуючи „Смуги Болінджера”
можна легко визначити ці періоди візуально. Стислі смуги вказують на низьку
рухливість, а широкі смуги вказують на високу мінливість. Для деяких ринкових
інструментів мінливість може бути дуже важлива, наприклад, для торгівлі
опціонами, тому що ціни на опціони можуть бути більше низькими, коли мінливість
низка.
Особливості смуг Болінджера [14]:
Різкі зміни цін звичайно відбуваються після звуження смуги,
що відповідає зниженню волатильности. Чим щільніше коридор смуги Болінджера
притискається до середнього значення, тим більше стабілізована ціна цінного
паперу на „притихлому” ринку;
Чим сильніше зміна ціни привела до розширення смуги
Болінджера від кривої ковзної середньої, тим більша чинність ринкових факторів
діє на неї для того, щоб повернути графік ціни до середньої кривої;
Рух цін, що почалося від однієї із границь смуги, звичайно
досягає протилежної границі. Останнє спостереження корисно для прогнозування
цінових орієнтирів.
Сигнали смуг Болінджера:
Вихід ціни з вузького коридору смуги Болінджера нагору -
сигнал до покупки.
Вихід ціни з вузького коридору смуги Болінджера долілиць -
сигнал до продажу.
Методи використання смуг Болінджера:
. Смуги Болінджера визначають верхні й нижні границі
діапазону коливань цін. Сигнал на продажів виникає тоді, коли ціна досягає
верхньої границі смуги, а сигнал на покупку - при досягненню нею нижньої
границі.
. Сигнали до угод продажу/купівлі виникають і в момент
потужного перетинання ціною верхньої або нижньої смуги. Угоди потрібно укладати
в напрямку цього прориву - це сигнал про можливий початок нового тренду.
. Також можна входити в ринок і при перетинанні ціною ковзної
середньої усередині коридору.
Рекомендації з використання індикатора «Смуги Болінджера»:
. У відмінності від процентних конвертів границі Смуг
Болінджера розташовані вище й нижче кривої ковзної середньої не на фіксованій
відстані, а відстані рівній певному числу стандартних відхилень. Оскільки
величина стандартного відхилення залежить від амплітуди руху ціни відносно
середнього зваженого, ширина смуг регулюється автоматично.
. Смуги розширюються коли амплітуда руху ціни відносно
середнього значення збільшується, і звужуються коли амплітуда відхилення цін
від середнього значення зменшується.
. Різкі зміни цін звичайно відбувається після звуження смуги.
. Якщо ціни виходять за межі смуги, можливий варіант
продовження поточної тенденції тренду.
. Рух цін, що почався від однієї із границь смуги, звичайно
досягає протилежної границі. Останнє спостереження корисно для прогнозування
цінових орієнтирів.
.3 Ефективність застосування різноперіодних ковзних середніх
для аналізу та прогнозування курсу цінних паперів в портфелі інвестицій
При аналізі довгострокових трендів ринку застосовують 2
ковзні середні з базою усереднення «50 днів» та «200 днів» [64], що дозволяє
виявити тренди та сигнальні точки на періоді спостереження цін за курсом акцій
ПАТ «Крюківський машинобудівний завод» (рис.2.8) на протязі трьох років (2009 -
2012 рр.).
При аналізі короткострокових та середньострокових трендів
ринку застосовують 3 ковзні середні з базою усереднення «8 днів», «15 днів» та
«50 днів» [64], що дозволяє виявити тренди та сигнальні точки на періоді
спостереження цін за курсом акцій ПАТ «Крюківський машинобудівний завод» на
протязі останніх трьох місяців 2012 р..
При проведенні технічного аналізу отриманих результатів
побудови різноперіодних ковзних застосовувались наступні принципи, які
використовуються при біржовій торгівлі на основі аналізу двох та трьох ковзних
середніх [64]:
. 50-денна Ковзна середня - середньостроковий тренд, а
200-денна Ковзна середня є показником довгострокового ринкового тренда. Так, на
графіку рис.2.9 показані періоди часу:
коли 200-денний ковзна середня довгострокового тренду
систематично перевищує значення середньострокової 50-денної ковзної середньої,
що вказує тільки на одну стратегію інвесторів - «покупати акції ПАТ
«Крюківський машинобудівний завод», оскільки їх ціна на ринку буде зростати;
коли 200-денний ковзна середня довгострокового тренду
систематично нижче значень середньострокової 50-денної ковзної середньої, що
вказує тільки на одну стратегію інвесторів - «продавати акції ПАТ «Крюківський
машинобудівний завод», оскільки їх ціна на ринку буде падати..
Рис.2.8. Динаміка курсу акцій ПАТ «Крюківський вагонобудівний
завод» за результатами торгів на Українській фондовій біржі у 2009 -2012 рр. та
побудовані 200-денні та 50-денні ковзні середні
Рис.2.9. Динаміка побудованих 200-денних та 50-денних ковзних
середніх курсу акцій ПАТ «Крюківський вагонобудівний завод» за результатами
торгів на Українській біржі у 2009 -2012 рр. для проведення технічного аналізу
2. Розташування ціни відносно 200-денний Ковзної середньої
визначає довгострокову психологію інвестора. „Бики” (інвесторі, які
використовують зростаючий тренд для покупки та перепродажу акцій по більш
високій ціні) живуть вище 200-денний Ковзної середньої, у той час як „Ведмеді”
(інвесторі, які використовують спадаючий тренд для продажу та покупки акцій по
більш низькій ціні) живуть нижче її.
. Коли 50-денна Ковзна середня перетинає 200-денну Ковзну
середню в будь-якому напрямку, це пророкує істотну зміну в поводженні покупців
і про-давців. Коли 50-денна Ковзна середня, підвищується вище 200-денний
Ковзної середньої - це називають “Золотим Хрестом”, в той же час як „ведмеже”
перетинання називається “Смертельним Хрестом” (рис.2.10).
. Ці дві Ковзні середні („200” та „50”) являють собою природні
границі для цінових корекцій (рис.2.10). По-перше, вони визначають рівні, де
зняття прибутку й прийняття втрат повинне ослабшати після сильного цінового
руху. По-друге, їхнє загальне визнання спонукає ринкових гравців робити
самореалізацію цієї стратегії щоразу, коли ціна наближається до цих рівнів.
. Ковзні середні є індикаторами, які слідують за трендом і
вимірюють висхідний або спадний імпульс. Вони втрачають свою ефективність на
ринках, які мають слабкий або відсутній рух цін в часі.
. Характеристика Ковзних середніх змінюється, як тільки вони
згладжуються й перевертаються між собою. Поворот Ковзної середньої до
горизонтального положення вказує на втрату імпульсу для даного тимчасового
формату. Це збільшує шанси того, що ціна перетне Ковзну середню відносно легко.
Коли Ковзні середні різних інтервалів осереднення вибудовуються в паралельні
лінії близько друг від друга, ціна часто коливається взад і вперед поперек цих
ліній, створюючи багато “ринкового шуму”. 7. Ковзні середні подають постійні сигнали,
тому що вони формуються прямо на «вершині» або «впадині» ціни. Їхня відносна
кореляція з розвитком ціни змінюється з кожними додатковими результатами
торгів.
Рис. 2.10. Динаміка побудованих 200-денних та 50-денних
ковзних середніх курсу акцій ПАТ «Крюківський вагонобудівний завод» за
результатами торгів на Українській біржі у 2011 - 2012 рр. для проведення
технічного аналізу
Рис. 2.11. Динаміка побудованих короткострокових 50,15,8 -
денних ковзних середніх курсу акцій ПАТ «Крюків-ський вагонобудівний завод» за
результатами торгів на Українській біржі у 2012 рр. для проведення технічного
аналізу
. Доцільно використовувати експонентні Ковзні середні, або
ЕМА, для більше довгих часових форматів, але треба переходити до простих
Ковзних середніх, або SMA, для більше коротких часових форматів. ЕМА надають
більша вагу недавній зміні ціни, у той час як SMA розглядає кожну цінову дію
однаково.
Короткострокові SMA дозволяють трейдеру зрозуміти, як будуть
діяти інші гравці ( див. рис. 2.11). Розміщення короткострокових ковзних
середніх 8-ми і 15-денного SMA нa денних графіках ефективне для виміру сили
короткострокового тренда. При сильних рухах ціни ковзаючі середні вишикуються в
лінію й укажуть у одному напрямку (див. рис. 2.11). Але вони віділяються по
одній на максимумах і мінімумах, поки ціна, нарешті, не піде в іншому напрямку.
Як показує проведений аналіз результатів технічного аналізу в
періодах сильних змін біржових курсів акцій ПАТ «Крюківський машинобудівний
завод»» у 2009 - 2012 рр. інструментарій різноперіодних ковзних середніх
адекватно віддзеркалює прогнозний рух курсу акцій, тобто може бути використаним
для побудови торгових стратегій на фондовому ринку акцій.
.4 Ефективність застосування ймовірнісних „смуг Болінджера”
для аналізу та прогнозування курсу цінних паперів в портфелі інвестицій
Джон Боллинжер виділив наступні характеристики свого
індикатора [14]:
1. Рух графіка ціни із зовнішньої сторони смуг, може
сигналізувати про продовження тренда;
2. Якщо за підйомами й падіннями за межами смуги
випливають підйоми й падіння усередині смуги, можливий розворот тренда;
. Рух ціни початий від однієї із границь смуги, прагне
досягти протилежної смуги;
. Різкі коливання цін звичайно відбуваються після
звуження смуги, що відповідає зниженню волатильности. Досвід показує, що сильні
рухи цін відбувалися після звуження смуг приблизно до того самого рівня.
. Дослідження індикатора на внутриденних інтервалах на
ринку акцій показали, що в більшості випадків за лінію Болінджера виходять не
більше чо-тирьох сигналів підряд, після чого наступає відкат. При закінченні
формування четвертого сигнала, які підряд пробивають лінію Болінджера, звичайно
рекомендують відкривати позицію проти тренда.
6. Смуги Болінджера успішно відіграють роль ліній подтримкит
<#"648279.files/image094.gif">
Рис. 2.12. Динаміка курсу акцій ПАТ «Крюківський
вагонобудівний завод» за результатами торгів на Українській біржі у 2011 - 2012
рр. та побудовані «смуги Болінджера» на базі 200-денної ковзної для проведення
технічного аналізу
Рис. 2.13. Розробка “торгової стратегії» по покупці/продажу
акцій ПАТ «Крюківський вагонобудівний завод» за результатами торгів на
Українській біржі у 2011 - 2012 рр. на основі синхронного технічного аналізу
поточного курсу акцій інструментами «смуг Болінджера» та 8,15,50-денної
короткострокових ковзних
На рис. 2.13. наведені результати розробки “торгової
стратегії» по покупці/продажу акцій ПАТ «Крюківський вагонобудівний завод» за
результатами торгів на Українській біржі у 2011 - 2012 рр. на основі
синхронного технічного аналізу поточного курсу акцій інструментами «смуг
Болінджера» (на базі 200-денної ковзної) та 8,15,50-денної короткострокових
ковзних.
Як показує аналіз даних, наведених на рис. 2.13:
інструментарій „смуг Болінджера” при виході поточного курсу
акцій на верхню (сигнал на продаж) чи нижню(сигнал на покупку) „смугу”
ефективно дає попередній сигнал про наступну зміну тренда біржового курсу акцій
раніше;
інструментарій різноперіодних ковзних середніх дає можливість
уточнити точку розвертання поточного курсу акцій - спочатку 8-денна ковзна,
потім 15-денна ковзна, а потім і 50-денна ковзна, розворот якої показує
упевнену зміну напрямку тренду;
одночасне синхронне застосування двох інструментаріїв
дозволяє побудувати ефективну „торгову стратегію”, використовуючи різні
механізми застосовуємих індикаторів, що суттєво знижує можливість реакції на
„хибні” сигнали ринку.
Як показує аналіз результатів технічного аналізу в періодах
сильних змін біржових курсів акцій акціях ПАТ «Крюківський машинобудівний
завод»» у 2009 - 2012 рр. інструментарій ймовірнісних „смуг Болінджера”
адекватно віддзеркалює прогнозний рух курсу акцій, тобто може бути використаним
для побудови торгових стратегій на фондовому ринку акцій. При цьому ефективність
одночасного використання інструментарію різноперіодних ковзних та
інструментарію „смуг Болінджера” значно зростає.
Розділ 3. Розробка оптимальної стратегії управління та
прогнозування дохідності інвестиційного портфелю методами технічного аналізу
.1 Склад та динаміка курсів акцій в інвестиційному портфелі
ПАТ ЗКІНФ „Синергія -7”
В дипломному дослідженні аналізується інвестиційна діяльність
Публічного акціонерного товариства «Закритий недиверсифікований корпоративний
інвестиційний фонд «Синергія-7» (ПАТ «ЗНКІФ «Синергія-7»), ідентифікаційний код
за ЄДРПОУ - 35744353, місцезнаходження - м. Київ, вул. Лисенка/ Ярославів Вал,
2/1 [67].
Предмет діяльності - провадження діяльності зі спільного
інвестування, пов’язаної із отриманням прибутку від вкладення залучених
грошових коштів інвесторів у цінні папери інших емітентів та корпоративні
права. Мета діяльності - здійснення спільного інвестування.
Розмір зареєстрованого статутного капіталу згідно зі статутом
Фонду - 9760000,00 грн. (дев’ять мільйонів сімсот шістдесят тисяч грн. 00
коп.), який складається з 976 акцій вартістю по 10000 грн. кожна.
Дата початку діяльності фонду та продажу акцій (інвестиційних
сер тифі-катів) - 27 травня 2008 року. Дата припинення діяльності Фонду - 18
травня 2013 року. Строк діяльності фонду - 5 років.
Поточна діяльність фонду «ЗНКІФ «Синергія-7» управляється
компанією по управлінню активами (КУА) - ПрАТ «КІНТО» ( м. Київ, вул. Лисенка/
Ярославів Вал, 2/1).
Мета діяльності Фонду «ЗНКІФ «Синергія-7» полягає в
максимальному зростанні капіталу шляхом середньострокових інвестицій в акції
українських компаній, що мають потенціал росту вищий за середній по ринку.
Активи Фонду можуть складатися із [67]:
- цінних паперів українських емітентів;
- грошових коштів, в тому числі в іноземній валюті;
- інших активів, дозволених чинним законодавством
України.
Щодо складу та структури активів Фонду встановлюються
наступні обмеження та заборони:
- вартість цінних паперів, що належать Фонду на праві
власності, повинна складати не менше 70 (сімдесяти) відсотків середньорічної
вартості активів Фонду;
- вартість акцій, що належать Фонду на праві власності,
повинна складати не менше 50 (п’ятдесяти) відсотків середньорічної вартості
активів Фонду;
- вартість цінних паперів, що належать Фонду на праві
власності та не мають визнаних котирувань на фондовій біржі або у
торговельно-інформацій-ній системі, не може становити більш як 50 (п’ятдесят)
відсотків середньорічної вартості активів Фонду;
забороняється придбавати або додатково інвестувати в цінні
папери одного емітента більше ніж 10 (десять) відсотків загальної вартості
активів Фонду.
При управлінні інвестиційним портфелем Фонду КУА використовує
пасивну стратегію: активи купуються переважно на період інвестиційного
горизонту діяльності Фонду - 5 років. Однак, принципу “купи та тримай” КУА
ортодоксально дотримуватися не буде: ліквідна частина портфеля дозволить Фонду
здійснювати і активні операції, оперативно реагуючи на мінливу ринкову
кон’юнктуру та використовуючи наявні ринкові можливості, обумовлені тим, що
український фондовий ринок далекий від поняття “мінімально ефективного”. З цією
метою здійснюватиметься щоденний моніторинг стану портфеля та регулярне
проведення активних операцій, внаслідок яких кошти за цінні папери, що зупинилися
у зростанні, будуть перевкладатися в об’єкти з більш позитивними прогнозами.
Протягом діяльності Фонду отримані доходи не розподіляються, а реінвестуються у
повному обсязі.
Вартість чистих активів Фонду визначається у порядку,
визначеному Положенням про визначення вартості чистих активів інститутів
спільного інвестування (пайових та корпоративних інвестиційних фондів),
затвердженим Рішенням Державної комісії з цінних паперів та фондового ринку 2
липня 2002 року № 201.
При розрахунку вартості чистих активів Фонду оцінна вартість
цінних паперів буде визначатиметься наступним чином [67]:
прості акції - за даними біржового курсу організатора
торгівлі, розрахованого та оприлюдненого відповідно до вимог законодавства;
цінні папери з фіксованим доходом - за даними біржового курсу
організатора торгівлі, розрахованого та оприлюдненого відповідно до вимог
законодавства, з урахуванням дохідності до погашення;
інструменти грошового ринку - по ліквідній вартості в
залежності від строків придбання та погашення інструменту.
Учасники (акціонери) по інвестиційній декларації несуть
ризики збитків, пов’язані із зміною вартості активів Фонду. Прибуток Фонду не
гарантується ні державою, ні компанією з управління активами. Мета діяльності
Фонду може бути досягнута лише за умови зростання фондового ринку України. Фонд
здійнюватиме розрахунки по власних акціях після закінчення строку його
діяльності.
Викуп акцій здійснюється Фондом після закінчення строку його
діяльності за розрахунковою ціною, що визначається, виходячи з вартості чистих
активів Фонду.
Весь прирощений капітал і надходження від активів Фонду
автоматично реінвестуються. Дивіденди по акціях Фонду не нараховуються та не
сплачуються. Еталоном ефективності
діяльності фонду є середньозважена облікова ставка, встановлена Національним
банком України («Рівень прибутковості»). В табл. 3.1 - 3.2 наведена структура акцій та грошових
депозитів в інвестиційному портфелі ЗНКІФ „Синергія-7” станом на 01.01.2013 р.
[67].
Таблиця 3.1 Склад та структура акцій в інвестиційному портфелі
ЗКІНФ „Синергія - 7”, управляємого ПрАТ „Кінто” [67]
|
№ з/п
|
Назва емітента
|
Біржо-вий код акцій
емітента
|
Кількість акцій в
портфелі "Синер-гія-7"
|
Номі-нальна
вартість акції, грн./шт.
|
Загальна
номі-нальна вартість ЦП в портфелі, грн.
|
Частка акцій від загального
обсягу емісії акцій, %
|
Ринкова вартість
акції , грн./шт.
|
Загальна ринкова
вартість ЦП в портфелі, грн.
|
Частка ЦП в балансі
активів фонду "Синер-гія-7", %
|
|
|
Портфель акцій
фонду "Синергія-7"
|
|
1
|
ПАТ
"Львівобленерго"
|
LVON
|
42 883
|
0,25
|
10 720,75
|
0,0221
|
5,80
|
248 721,40
|
5,19
|
|
2
|
АК
"Харківобленерго"
|
HAON
|
251 700
|
0,25
|
62 925,00
|
0,0981
|
1,46
|
367 104,45
|
7,66
|
|
3
|
ПАТ "Північний
гірничо-збагач. комбінат"
|
SGOK
|
35 000
|
0,25
|
8 750,00
|
0,0015
|
6,28
|
219 859,50
|
4,59
|
|
4
|
ПАТ
"Авдіївський коксохимічний завод"
|
AVDK
|
19 000
|
1,76
|
33 440,00
|
0,0097
|
3,60
|
68 375,30
|
1,43
|
|
5
|
ПАТ
"Харцизський трубний завод"
|
HRTR
|
250 000
|
0,05
|
12 500,00
|
0,0096
|
0,72
|
181 200,00
|
3,78
|
|
6
|
ПАТ
"Металургійний комбінат "Азовсталь"
|
AZST
|
290 400
|
0,25
|
72 600,00
|
0,0069
|
0,87
|
252 967,44
|
5,28
|
|
7
|
ПАТ "Єнакієвський
металургійний комбінат"
|
ENMZ
|
700
|
15,25
|
10 675,00
|
0,0066
|
35,40
|
24 782,10
|
0,52
|
|
8
|
ПАТ
"Стахановський вагонобудівний завод"
|
SVGZ
|
45 328
|
1,05
|
47 594,40
|
0,0200
|
2,70
|
122 213,36
|
2,55
|
|
9
|
ВАТ "Інтерпайп
Нижньодн. трубопр. завод"
|
NITR
|
20 000
|
0,25
|
5 000,00
|
0,0050
|
1,45
|
29 000,00
|
0,61
|
|
10
|
ПАТ "ХК
"Луганськтепловоз"
|
LTPL
|
90 500
|
0,25
|
22 625,00
|
0,0413
|
1,68
|
151 940,45
|
3,17
|
|
11
|
ПАТ
"Крюківський машинобудівний завод"
|
KVBZ
|
35 000
|
0,75
|
26 250,00
|
0,0305
|
19,30
|
675 535,00
|
14,10
|
|
12
|
ПАТ
"Шахтоуправління Покровське"
|
SHCHZ
|
110 000
|
0,25
|
27 500,00
|
0,0130
|
0,92
|
100 650,00
|
2,10
|
|
13
|
АТ
"Мотор-Січ"
|
MSICH
|
435
|
135,00
|
58 725,00
|
0,0209
|
2 224,61
|
967 704,39
|
20,20
|
|
14
|
ПАТ
"Маріупольський завод важкого машинобудування"
|
MZVM
|
353 534
|
0,25
|
88 383,50
|
0,1054
|
0,12
|
42 035,19
|
0,88
|
|
15
|
ПАТ ЕК "Житомиробленерго"
|
ZHEN
|
105 000
|
0,25
|
26 250,00
|
0,0858
|
0,59
|
61 855,50
|
1,29
|
|
16
|
ПАТ ЕК
"Чернігівобленерго"
|
CHEON
|
0,25
|
12 500,00
|
0,0419
|
2,10
|
105 000,00
|
2,19
|
|
17
|
ПАТ ДЕК
"Центробленерго"
|
CEEN
|
45 000
|
1,30
|
58 500,00
|
0,0122
|
6,56
|
294 984,00
|
0,16
|
|
|
Разом портфель
акцій фонду "Синергія-7"
|
|
|
|
584 938
|
|
|
3 913 928
|
75,70
|
Таблиця 3.2 Склад та структура грошових депозитів в банках в
інвестиційному портфелі ЗКІНФ „Синергія - 7”, управляємого ПрАТ „Кінто” [67]
|
№ з/п
|
Назва банку, в
якому розміщений грошовий депозит
|
Сума депозиту, грн.
|
Строк вкладення
депозиту, місяців
|
Строк закінчення
депозиту
|
Річна відсоткова
ставка депозиту, %
|
Питома вага
депозиту в портфелі активів балансу фонду, %
|
|
1
|
ПАТ
"Агрокомбанк"
|
8 025,85
|
поточн.
|
|
|
0,19
|
|
2
|
ПАТ "Платинум
Банк"
|
140 000,00
|
4
|
10.01.2013
|
24,0
|
2,92
|
|
3
|
ПАТ "Авант
Банк"
|
150 000,00
|
12
|
17.05.2013
|
18,0
|
3,13
|
|
4
|
ПАТ "Платинум
Банк"
|
10 000,00
|
12
|
11.06.2013
|
19,5
|
0,21
|
|
5
|
ПАТ КБ
"Даніель"
|
458 000,00
|
9
|
22.03.2013
|
17,0
|
9,56
|
|
6
|
ПАТ КБ
"Хрещатик"
|
10 000,00
|
12
|
18.11.2012
|
15,3
|
0,21
|
|
|
Разом портфель
депозитів фонду "Синергія-7"
|
776 025,85
|
|
|
|
16,198
|
Окрім активів у вигляді котируємих та торгуємих на фондовій
біржі акцій 17 емітентів та грошових депозитів в банках України, в
інвестиційному портфелі ЗНКІФ „Синергія-7” присутні некотируємі на біржі акції
будівельної ком-панії „Комфортбуд” ( вагова частка - 8,9% активів балансу
фонду), які тирча-сово за угодою РЕПО (обратного строкового викупу по ціні 1
грн. за акцію) продані на Українській біржі із збитком фонду - 1,2 млн.грн.
Основні результати діяльності ЗНКІФ „Синергія-7” наведені в
таблицях та на графіках Додатку Б. На графіках рис.В.1 - В.17 Додатку В
наведена динаміка біржових цін на акції 17 емітентів (табл. 3.1)в
інвестиційному портфелі ЗНКІФ „Синергія-7” у 2009 - 2013 рр. за даними фондової
біржі „Українська біржа”.
На графіках рис. 3.1 наведена динаміка вартості чистих
активів ЗНКІФ „Синергія -7” на 1 акцію фонду на протязі діяльності з 2008 по
2013 рр. (з побудовою ковзної SMA-30 та відповідних смуг Болінджера).
Рис. 3.1. Динаміка вартості чистих активів ЗНКІФ „Синергія
-7” на 1 акцію фонду на протязі діяльності з 2008 по 2013 рр. (з побудовою
ковзної SMA-30 та відповідних смуг Болінджера)
Як показує аналіз даних, наведених на рис. 3.1 та в Додатку
Б:
після „кризового” падіння вартості активів фонду на початку
2009 року як наслідку світової фінансової кризи, в квітні 2010 року вартість
інвестиційних активів в портфелі фонду знову зросла практично до докризового
рівня;
але з лютого 2011 року почався процес критичного падіння
вартості активів інвестиційного портфелю фонду, який станом 01.01.2013 року
перевищив рівень „кризисного” падіння фондового ринку у 2008 - 2009 рр.
Вартість чистих активів фонду на 1 акцію знизилась до рівня 5000 грн./акцію при
інвестиційному номіналі 2008 року - 10000 грн./акцію.
Як показує аналіз динаміки ринкової вартості акцій 17
емітентів в інвестиційному портфелі ЗНКІФ „Синергія-7” (графіки додатку В),
станом на 08.02.2013 вартість акцій відносно рівня жовтня 2009 року змінилась згідно
даним, наведеним в табл. 3.3. Згідно даним, наведеним в табл. 3.3, тільки у 4-х
емітентів з 17 ринкова ціна акцій у 2013 році є вищою ніж у жовтні 2009 року,
таким чином загальна оцінка діяльності фонду ЗНКІФ „Синергія-7” може бути
визнана збитковою, але такою що відповідає ще більшому загальному стану падіння
вартості акцій фондового ринку України (рис. 3.2.).
Рис.3.2. Динаміка змін індексної корзини акцій фондової біржі
ПФТС та індексу вартості активів на акцію ЗНКІФ „Синергія-7” [67]
Таблиця 3.3 Результати аналізу змін рівня вартості акцій
емітентів в інвестиційному портфелі ЗНКІФ „Синергія-7” [67], [69]
|
№ з/п
|
Назва емітента
|
Біржовий код акцій
емітента
|
Загальна ринкова
вартість ЦП в портфелі, грн.
|
Частка ЦП в загальному
балансі активів фонду "Синергія-7", %
|
|
1
|
ПАТ
"Львівобленерго"
|
LVON
|
248 721,40
|
5,19
|
|
2
|
АК
"Харківобленерго"
|
HAON
|
367 104,45
|
7,66
|
|
3
|
ПАТ "Північний
гірничо-збагачувальний комбінат"
|
SGOK
|
219 859,50
|
4,59
|
|
4
|
ПАТ
"Авдіївський коксохимічний завод"
|
AVDK
|
68 375,30
|
1,43
|
|
5
|
ПАТ
"Харцизський трубний завод"
|
HRTR
|
181 200,00
|
3,78
|
|
6
|
ПАТ
"Металургійний комбінат "Азовсталь"
|
AZST
|
252 967,44
|
5,28
|
|
7
|
ПАТ
"Єнакієвський металургійний комбінат"
|
ENMZ
|
24 782,10
|
0,52
|
|
8
|
ПАТ
"Стахановський вагонобудівний завод"
|
SVGZ
|
122 213,36
|
2,55
|
|
9
|
ВАТ "Інтерпайп
Нижньодніпровський трубопр. завод"
|
NITR
|
29 000,00
|
0,61
|
|
10
|
ПАТ "ХК
"Луганськтепловоз"
|
LTPL
|
151 940,45
|
3,17
|
|
11
|
ПАТ
"Крюківський машинобудівний завод"
|
KVBZ
|
675 535,00
|
14,10
|
|
12
|
ПАТ
"Шахтоуправління Покровське"
|
SHCHZ
|
100 650,00
|
2,10
|
|
13
|
АТ
"Мотор-Січ"
|
MSICH
|
967 704,39
|
20,20
|
|
14
|
ПАТ
"Маріупольський завод важкого машинобудування"
|
MZVM
|
42 035,19
|
0,88
|
|
15
|
ПАТ ЕК
"Житомиробленерго"
|
ZHEN
|
61 855,50
|
1,29
|
|
16
|
ПАТ ЕК
"Чернігівобленерго"
|
CHEON
|
105 000,00
|
2,19
|
|
17
|
ПАТ ДЕК
"Центробленерго"
|
CEEN
|
294 984,00
|
0,16
|
|
|
Разом портфель
акцій фонду "Синергія-7"
|
|
3 913 928
|
75,70
|
3.2 Результати технічного аналізу динаміки курсів акцій в
інвестиційному портфелі ВАТ ЗКІНФ „Синергія -7” за даними біржових торгів
В дипломному дослідженні при проведені технічного аналізу
динаміки курсів найбільш вагомих акцій в інвестиційному портфелі ЗНКІФ
«Синергія-7» побудований самостійно розроблений програмним комплексом в
середовищі Excel -2010 за даними біржі [69] (опис в Додатку Д) з використанням
наступних показників остан-ніх 12 місяців 2012 - початку 2013 рр.:
. Pi - значення ціни в часовому ряді (i = 1,…, n) - біржові
ціни
Української біржі на акції емітента за результатами торгів;
. Значення простої ковзної середньої за 30-денний період
(SMA-30), яка розраховувалась за формулою (2.1) при р = 30
;
(3.1)
3. Середнньоквадратичне відхилення (Standard Deviation) цін
акцій Рі від значення простої середньої ковзної SMA-30, яке розраховувалось
згідно формули (2.4) при р = 30 для періоду для ковзної середньої:
;
(3.2)
. Поточні границі «смуги Болінджера» для довірчої ймовірності Р=97%:
(3.3)
. Відносний рівень осцилятора відхилення поточної ціни акції від
значення ковзної середньої SMA:
(3.4)
6. Рівень ризику волатильності ціни акції по відхиленням «смуги Болінджера»
та передумов зміни тренду:
(3.5)
На графіках рис. 3.3 - 3.10 наведені результати графічної побудови
динаміки показників технічного аналізу курсу акцій в 2012 - 2013 рр. для
наступних емітентів, акції яких мають найбільшу вагу в інвестиційному портфелі
ЗНКІФ «Синергія-7» (див.табл. 3.3): ПАТ МК „Азовсталь” (рис. 3.3-3.4); ПАТ
„Північний ГЗК” (рис. 3.5-3.6); ПАТ „Мотор-Січ” (рис. 3.7-3.8); ПАТ
„Крюковський машинобудівний завод” (рис. 3.9-3.10).
Слід відмітити, що згідно даним табл. 3.1, в портфелі ЗНКІФ «Синергія
-7» знаходиться частка не більше 0,1% від обсягу емісії акцій емітента, тобто
ніякого впливу на курс акцій на біржовому ринку інвестиційний фонд не має і є
мікроміноритарним акціонером всіх 17 акціонерних товариств портфеля.
Застосовані методи технічного аналізу цінового графіку
вартості акції ПАТ МК „Азовсталь” (рис. 3.3 -3.4) показують:
- на протязі 2012 -2013 рр. тренд цінового курсу акцій
емітента має від’ємний напрямок, при цьому падіння вартості акції з рівня 1,5
грн./шт. (при номіналі 0,25 грн./шт.) до 0,7 грн./шт. склало більше 2 разів;
- на протязі першої половини 2012 року крива
фактичного курсу акцій була систематично нижче середньої ковзної SMA-30, що
свідчило про стійкий тренд падіння курсу акції та, відповідно, вимагало
негайного продажу пакету цих акцій;
- з 7.06.2012 по 27.06.2012 виникла класична «фігура»
смуги Болінджера - перехід від нижньої границі смуги до верхньої. В цей час
короткострокові трейдери на ринку використовують покупку в періоді до
пересічення кривою цін ковзної SMA (до 17/06/2012), а потім продаж куплених
акцій в періоді наближення кривої цін до верхньої границі смуги Болінджера;
- пасивна стратегія управління інвестиційним портфелем
ЗНКІФ «Си-нергія-7» не дозволила КУА «Кінто» реалізувати ці торгівельні
стратегії.
Рис. 3.3. Технічний аналіз динаміки ціни акції ПАТ МК
„Азовсталь” на протязі 2012 -2013 рр. (ковзна середня SMA + смуги Болінджера)
Рис. 3.4. Технічний аналіз динаміки ціни акції ПАТ МК
„Азовсталь” на протязі 2012 -2013 рр. (відхилення ціни від ковзної середньої
SMA + відносна ширина смуги Болінджера як показник ризику волатильності ціни)
Застосовані методи технічного аналізу цінового графіку
вартості акції ПАТ „Північний ГЗК” (рис. 3.5-3.6) показують:
- на протязі 2012 р. тренд цінового курсу акцій емітента
має від’ємний напрямок з березня 2012 р. по вересень 2012 р., при цьому падіння
вартості акції з рівня 12,0 грн./шт. (при номіналі 0,25 грн./шт.) до 6,0
грн./шт. склало 2 рази;
- на протязі жовтня 2012 р. - лютого 2013 р. тренд
цінового курсу акцій емітента має позитивний напрямок росту вартості акції з
рівня 6,0 грн./шт. (при номіналі 0,25 грн./шт.) до 9,0 грн./шт. , що складає
1,5 рази;
- з квітня 2012 р. по вересень 2012 р. крива
фактичного курсу акцій була систематично нижче середньої ковзної SMA-30, що
свідчило про стійкий тренд падіння курсу акції та, відповідно, вимагало
негайного продажу пакету цих акцій;
- зростання курсу акцій з середини грудня 2012 р. по
лютий 2013 р. має стійкий тренд, при цьому крива фактичної вартості акції
знаходиться в «смугі Болінджера», що не передвіщує різких змін тренду;
- в той же час слід відмітити, що показник ризику
волатильності по ширині «смуги Болінджера» (рис. 3.6) має певне запізнювання
відносно показника осцилятора відхилення фактичного курсу акції від її ковзної
середньої, що, відповідно, позволяє використовувати його як підтвердження
тенденцій, відмічених осцилятором;
- стрімке падіння курсу акції 17.06.2012 з рівня 11
грн./шт. до рівня 8 грн./ шт. не може бути пояснено методами технічного
аналізу, але зближення кривої вартості акцій з ковзною середньою після
довгострокової тенденції більш стрімкого падіння курсу показало, що наступає
зміна тренду ринкового курсу акцій із різким зростанням ризику волатильності
(рис.3.6);
- пасивна стратегія управління інвестиційним портфелем ЗНКІФ
«Си-нергія-7» не дозволяє КУА «Кінто» реалізувати короткострокові торгівельні
стратегії, тому можна тільки пасивно очікувати тренд подальшого зростання курсу
акцій у 2013 році для компенсації збитків інвестиційного портфелю.
Рис. 3.5. Технічний аналіз динаміки ціни акції ПАТ „Північний
ГЗК” на протязі 2012 -2013 рр. (ковзна середня SMA + смуги Болінджера)
Рис. 3.6. Технічний аналіз динаміки ціни акції ПАТ „Північний
ГЗК” на протязі 2012 -2013 рр. (відхилення ціни від ковзної середньої SMA +
відносна ширина смуги Болінджера як показник ризику волатильності ціни)
Рис. 3.7. Технічний аналіз динаміки ціни акції ПАТ
„Мотор-Січ” на протязі 2012 -2013 рр. (ковзна середня SMA + смуги Болінджера)
Рис. 3.8. Технічний аналіз динаміки ціни акції ПАТ
„Мотор-Січ” на протязі 2012 -2013 рр. (відхилення ціни від ковзної середньої
SMA + відносна ширина смуги Болінджера як показник ризику волатильності ціни)
Застосовані методи технічного аналізу цінового графіку
вартості акції ПАТ „Мотор-Січ” (рис. 3.7-3.8) показують:
- на протязі 2012 - 2013 рр. тренд цінового курсу акцій
емітента має змінний характер «хвилі» з розмахом ринкової ціни акції від 2400
грн./шт. до 2800 грн./шт., падіння по рівняв 2080 грн./шт. та 1500 грн.шт. та
підйомом до рівня 2400 грн./шт. на початку лютого 2013 р. (при номіналі 135,0
грн./шт.), тобто за рік 3 «хвилі» ціни акції повернули її до рівня початку 2012
р.;
- пасивна стратегія КУА «Кінто» не використала
можливості короткострокової торгівлі акціями ПАТ „Мотор-Січ” на протязі року
(рис.3.8).
Застосовані методи технічного аналізу цінового графіку
вартості акції АТ „Крюковський машинобудівний завод” (рис. 3.9-3.10) показують:
- на протязі 2012 - 2013 рр. тренд цінового курсу акцій
емітента має підвищувальний змінний характер «хвилі» з розмахом ринкової ціни
акції від 17 грн./шт. до 21 грн./шт. (при номіналі 0,75 грн./шт.), за рік 3
«хвилі» ціни ак-ції привели до зростання ковзної середньої з рівня 17,0
грн./шт. до 20 грн./шт.;
Рис. 3.9. Технічний аналіз динаміки ціни акції ПАТ
„Крюковський машинобудівний завод” на протязі 2012 -2013 рр. (ковзна середня
SMA + смуги Болінджера) - (побудовано самостійно розробленим програмним
комплексом в середовищі Excel -2010 за даними біржі [69])
Рис. 3.10. Технічний аналіз динаміки ціни акції ПАТ
„Крюковський машинобудівний завод” на протязі 2012 -2013 рр. (відхилення ціни
від ковзної середньої SMA + відносна ширина смуги Болінджера як показник ризику
волатильності ціни) - (побудовано самостійно розробленим програмним комплексом
в середовищі Excel -2010 за даними біржі [69])
Таким чином, проведений аналіз ефективності ідентифікації
тренду та змін напрямків тренду динаміки цін акцій на біржовому ринку з застосуванням
графо-аналітичних методів технічного аналізу на прикладі аналізу динаміки курсу
цін акцій в інвестиційному портфелі ЗНКІФ «Синергія-7» показав, що застосування
прийомів та технологій технічного аналіза дозволяє компаніям по управлінню
активами інвестиційних фондів переходити від політики пасивного прогнозування
довгострокового росту ринкової вартості акцій на протязі інвестиційного
горизонту до політики активного короткострокового та середньострокового
трейдингу на біржовому ринку акцій. Це переведе діяльність інвестиційних фондів
з режиму пасивного спостерігання за падінням курсу акцій в інвестиційному
портфелі та зростанням збитковості інвестиційного портфеля до активного режиму
трейдингу на рості/падінні курсу цінних паперів з застосуванням методів
технічного аналізу.
3.3 Прогнозування оптимальної короткострокової стратегії
управління інвестиційними активами ВАТ ЗКІНФ „Синергія -7” за результатами
технічного аналізу курсу цінних паперів в портфелі інвестицій
В дипломному дослідженні, на основі проведеного аналізу
застосування методів технічного аналізу (ковзної середньої + смуга Болінджера)
з’явилась впевненість в можливостях застосування результатів технічного аналізу
для короткочасного прогнозування курсу вартості цінних паперів на біржових торгах.
При прогнозуванні використані наступні гіпотези (рис.3.11 -
3.14):
. На коротких інтервалах часу можливо застосувати зовнішній
контур «смуги Болінджера» як лінії прогнозу -« підтримки» (нижня границя) та
«опору» (верхня границя);
2. Додатково можна застосувати метод побудови
регресійно-кореляційних моделей динаміки курсу акції з застосуванням
програмного модуля «електронних» таблиць Excel -2010 (лінійна та поліноміальні
моделі). При аналізі статистичної щільності отриманих регресійних кривих можна
вико рис-тати показник детермінації R2 [ ], з урахуванням, що при R2>0,75
- кореляційний зв’язок вважається сильним, а при 0,25<R2<0,75
- середньої сили.
Як показує аналіз виконаних прогнозних побудов, наведених на
графіках рис. 3.11 -3.14 (фактичне підтвердження прогнозу на графіках рис.
3.11а-3.14а):
- акції ПАТ „Крюковський машинобудівний завод” (рис. 3.11)
на протязі 30 днів будуть зростати в ціні в інтервалі 19,5 -21,5 грн./шт.;
- акції ПАТ „Мотор-Січ” (рис. 3.12) на протязі 30 днів
будуть зростати в ціні в інтервалі 2300 - 2800 грн./шт.;
- акції ПАТ „Північний ГЗК” (рис. 3.13) на протязі 30
днів будуть зростати в ціні в інтервалі 7,5 -10 грн./шт;
- акції ПАТ МК „Азовсталь” (рис. 3.14) на протязі 30
днів будуть падати в ціні.
Рис. 3.11. Прогнозування рівня ринкової вартості акцій ПАТ
„Крюківський машинобудівний завод” (тікет KVBZ) - (побудовано самостійно
розробленим програмним комплексом в середовищі Excel -2010 за даними біржі
[69])
Рис. 3.11а. Фактична реалізація прогнозування (на дату
02.02.2013 - рис.3.11) короткострокового росту (3 міс.) рівня ринкової вартості
акцій ПАТ „Крюківський машинобудівний завод” (тікет KVBZ) - (за даними біржі
[69] станом на 14.05.2013)
Рис. 3.12. Прогнозування рівня ринкової вартості акцій АК
„Мотор - Січ” (тікет MSICH) - (побудовано самостійно розробленим програмним
комплексом в середовищі Excel -2010 за даними біржі [69] до 02.02.2013)
Рис. 3.12а. Фактична реалізація прогнозування (на дату
02.02.2013 - рис.3.12) короткострокового росту (2 міс.) рівня ринкової вартості
акцій АК „Мотор - Січ” (тікет MSICH) - (за даними біржі [69] станом на 14.05.2013)
Розділ 4. Охорона праці та безпека в надзвичайних ситуаціях в
аналітичній службі інвестиційного фонду
Питання підвищення продуктивності
праці, зменшення кількості помилок у роботі багато в чому залежать від
безпечних і нешкідливих умов праці. Тому важливим завданням є розробка
організаційно-технічних та санітарно-гігієнічних заходів, здійснення яких
виключає можливість виробничого травматизму, професійних захворювань, отруєнь,
вибухів і пожеж, негативних екологічних наслідків.
.1 Характеристика приміщення
За об'єкт дослідження було взято
приміщення аналітичної служби інвестиційного фонду, у якому відбувалася робота
над дипломним проектом. У вибраному приміщенні 4 робочих місця. Це приміщення
розташоване у цегляній будівлі на 2 поверсі 2-поверхового будинку. Загальна
площа приміщення - 20,88 м2 ( довжина - 5,80м; ширина - 3,60м),
висота-2,80м. Розрахуємо площу приміщення, що припадає на одного працюючого,
оцінимо ці значення відповідно до ДСанПіН 3.3.2-007-98 [30], за якими
встановлено, що на кожного працюючого за компьютерним робочим місцем повинно
припадати в управлінських приміщеннях не менше ніж 6 м2 робочої
площі. Визначаємо площу приміщення, яка припадає на 1 працюючого.
,88 / 4 = 5,22 м2.
Отже, дане приміщення умовно придатне
для працювання 4 осіб управлінського апарату в умовах достатності систем
природнього та штучного повітряобміну. Висота приміщення повинна бути від
підлоги до стелі не менше 2,50м [30]. Висота об'єкта дослідження складає 2,80м.
Для повної характеристики приміщення наведемо план приміщення
(рис. 4.1). У приміщенні розташовано 5 комп’ютерів. Напруга джерела живлення
комп’ютерів у приміщенні - 220 В. У приміщенні є 1 склопластикове вікно,
розміщені 4 письмових стола, 3 шафи для зберігання документів, 1 шафа для
одягу, 2 сейфи.
4.2 Аналіз стану охорони праці в
приміщенні
В аналізі стану охорони праці
необхідно зазначити місця, де можливий вплив на працюючих небезпечних або
шкідливих виробничих факторів, їх джерела.
Головними потенційними небезпеками
можуть бути (згідно ДБН В.2.5-27-2006 [25], СніП 2.09.02-85 [26]): небезпека
ураження електричним струмом при короткому замиканні проводки; небезпека пожежі
у приміщенні, бо в приміщенні знаходиться безліч паперу.
У даному приміщенні не виникали
нещасні випадки за останній рік. Проведемо аналіз санітарно-гігієнічних умов у
досліджуваному приміщенні.
Дослідимо достатність природного
освітлення. Складемо розрахункову схему та зобразимо на ній (рис.4.2):
·
габаритні
розміри приміщення (5,80м*3,60м*2,80м)
·
розміри
вікон (1,90м* 1,40м*1шт - металопластик на 2 половинки без фіранки, розташоване
прямо під потолок (2 см від потолка));
·
розміщення
вікон за висотою приміщення (висота від підлоги до підвіконня - 0,90м, Відносно
рівня робочої поверхні + 0,10м)
·
відстань
від вікна до розрахункової точки - 4 м.
Нормативне значення коефіцієнта
природного освітлення (КПО) для четвертого світлового поясу, в якому
розташована Україна, визначається у відсотках за формулою [29]:

(4.1)
де
- нормоване значення КПО для 3-го світлового поясу
[29]. Для більшості адміністративно-управлінських приміщень, у яких виконуються
роботи третього розряду (середньої точності) для бокового світлення складає
1,5%;- коефіцієнт світлового клімату (для України m = 0,9);
с - коефіцієнт сонячності. Для географічної широти м. Дніпропетровська
розташоване в межах 0,75-1,0. Візьмемо с = 0,88.
=
1,5*0,9*0,88 = 1,19 (%)
,
(4.2)
де Sвікон- площа всіх вікон у приміщенні, м2 ; вікон
= 1,9 *1,4*1 = 2,66 (м2)
Sпідлоги- площа підлоги
приміщення, м2 ;
Sпідлоги =20,88 м2
t0 - загальний коефіцієнт
світлопроникності віконного прорізу. Для віконних прорізів адміністративно-управлінських
будівель, які не обладнані сонцезахисними пристроями t0 - 0,5%;
-
світлова характеристика вікна, береться із таблиці [29];
Кзатемн_буд=1, коефіцієнт, що враховує затемнення вікон
іншими будинками, якщо будинків немає, то Кзатемн_буд= 1.
Кзапас - коефіцієнт запасу, береться у межах Кзапас=1,3-1,5,
візьмемо Кзапас = 1,4 [27].1 - коефіцієнт, який враховує
відбиття світла від внутрішніх поверхонь приміщення. Його значення залежить від
розмірів приміщення (довжини і ширини), глибини приміщення (відстані від вікна
до протилежної йому стінки ззовні), висоти від верху вікна до рівня робочої
поверхні, відстані розрахункової точки від вікна, середньозваженого коефіцієнта
відбиття світла від стелі, стін, підлоги, який дорівнює 0,5 (для світлих
приміщень з світлими меблями) [29].
Знайдемо наступні розміри даного приміщення:
глибина приміщення складає 5,80 м
відстань від рівня умовної робочої поверхні до верху вікна 0,1+1,9=2,0
м відношення глибини приміщення до висоти від рівня умовної робочої поверхні до
верху вікна 5,80/2,0=2,9
відношення відстані розрахункової точки від зовнішньої стіни до глибини
приміщення 4,00/5,80=0,69
відношення довжини приміщення до його глибини 5,80/3,60=1,61
З таблиці методичної вказівки [29] знаходимо r1 =1,90
Знайдемо
. Для цього необхідно мати наступні розміри
приміщення:
·
відношення
довжини приміщення до його глибини 5,80/3,60=1,61 м
·
відношення
глибини приміщення до висоти від рівня умовної робочої поверхні до верху вікна
5,80/2,0=2,9
Знайдемо
. З таблиці методичної вказівки [29], використовуючи
метод екстраполяції, бачимо наступне :
Повертаючись до формули будемо мати наступне
Порівнюючи значення нормативного коефіцієнта природного освітлення і
фактичного можна зробити висновок, що фактичне значення КПО майже в 1,9 раза не
відповідає нормативному значенню (еф<ен), тобто у
досліджуваному приміщенні катастрофічно недостатньо природне освітлення на
робочих місцях, віддалених від окна.Тому навіть у денну пору у приміщенні
горять лампи штучного освітлення. Дослідимо достатність штучного освітлення та
порівняємо фактичне значення освітлення, яке створюється наявними у приміщенні
джерелами з нормативним.
Нормативне значення освітлення для адміністративно-управлінських
приміщень при загальному освітленні за ДБН В.2.5-28-2006 складає при
використанні ламп розжарювання - 200 люкс [29].
Ен=200 люкс
Значення фактичного освітлення Еф у приміщенні можна знайти
використовуючи метод коефіцієнта використання світового потоку за формулою
(5.3) [29]:
,
(4.3)
де F - світловий потік лампи. Лампа потужністю 100 Вт створює світловий
потік у 1450 лм (F = 1450 лм );- площа приміщення, м2;- коефіцієнт
нерівномірності освітлення, для ламп розжарювання складає 1,15;- кількість
світильників, шт (N = 2);- кількість ламп у світильнику, шт (n = 3);
К - коефіцієнт запасу, К = 1,5-2;
=
0,5, це коефіцієнт використання світлового потоку.
Для світильників, які традиційно використовуються в адміністративних
будівлях, для традиційних розмірів приміщення і кольорового оформлення
коефіцієнт використання може набувати значень у межах 0,4 - 0,6.
Порівнюючи нормативне значення освітлення з фактичним, можна зробити
висновок про неефективність штучного освітлення (Еф < Ен) і про необхідність
додаткових заходів щодо поліпшення штучного освітлення у досліджуваному
приміщенні.
Дослідимо достатність вентиляції у приміщенні. Відповідно до
ДСанПіН 3.3.2-007-98 об'єм виробничого приміщення, що припадає на кожного
працюючого, повинен складати не менше 20 м3 [30].
Розрахуємо об'єм приміщення, що
припадає на кожного працюючого(враховуючи 1 працівника, який знаходиться на
прийомі в секторі):
V(1 працівника) = (Sпідлоги
* H) /N= (3,60*5,80*2,80) : 5 = 11,70 м3.
Це не відповідає ДСанПіН 3.3.2-007-98
[30]. Тому для нормальної роботи у приміщенні необхідно забезпечити постійний
повітрообмін за допомогою вентиляції не менше ніж I1 = 30 м3
/год на кожного працюючого.
Ln = I1*n = 30*5 = 150 (м3/час)
(4.4)
= 2,0
1 = 2,0 - h2
-> h1 = 0,053* h2
1,053* h2 = 2,0 -> h2 = 1,90 -> h1
= 0,10
Фактичний повітрообмін, враховуючи, що від ¼ до 1/2 робочого часу по черзі відкриті то
половинку вікна, то вхідні двері в коридор, можна розрахувати за формулою [50]:

,
(4.5)
де
= 0,55 коефіцієнт витрати повітря;- площа
відкриваємого вікна або вихідного отвору двері в коридор, через який буде
виходити повітря;= 1,4 *1,9*0,5=1,33 м2
Формула, за якою можна розрахувати швидкість виходу повітря через
половинку вікна, або через відкриті двері (вентиляційний канал), м/с.
(4.6)
де g - прискорення вільного падіння, g=9,8 м/с2;
Н2 - тепловий напір, під дією якого буде здійснюватися вихід
повітря з кватирки або через вентиляційний канал;
)
(4.7)
де h2 - висота від площини
однакових тисків до центра відкриваємої половинки вікна. Відстань від площини
однакових тисків до центрів верхнього і нижнього прорізів обернено пропорційна
квадратам площ цих прорізів;
Теплий період :
=
, об”ємна вага повітря ззовні приміщення, кгс/см3;
=
, об”ємна вага повітря зсередини приміщення, кгс/см3;2
= 0.665
= 0,665 * ( 1,17 - 1,16 ) = 0,00665
факт_тепл=
1,33*0,55*0,3352*3600 /2= 441,35 (м3/год)
Холодний період:
=
, об”ємна вага повітря ззовні приміщення, кгс/см3;
=
,об”ємна вага повітря зсередини приміщення, кгс/см3;
=
0,665 * ( 1,33 - 1,20 ) = 0,0865
факт_хол =
1,33*0,55*1,187*3600/10 = 312,6 (м3/год)
Порівнюючи значення фактичного
повітрообміну і необхідного визначимо (без врахування тепловиділення
компьютерної техніки):
- у холодний період року(половинка
вікна відкрита на 10%, дверь закрита) вентиляція занадто ефективна Іфакт_хол
> Інорм (312,6>150)
- у теплий період року (половинка
вікна відкрита на 50% та відкрита дверь) вентиляція також занадто ефективна
Іфакт_тепл > Інорм (441,35>150)
Оскільки повітрообмін в приміщенні
організований з організацією штучних протягів, слід запропонувати заходи щодо
її поліпшення. Оцінимо метеорологічні умови на робочих місцях.
Порівняймо фактичні дані нормованих
параметрів мікроклімату з нормованими за ДСанПіН 3.3.2-007-98, які відображені
в таблиці 3.1 [30].
Таблиця 4.1 - Оцінка метеорологічних
умов на робочих місцях
|
Параметри
мікроклімату
|
Фактичне значення
|
Оптимальне значення
за ДСан ПіН 3.3.2-007-98
|
Допустиме зна-чення
за ДСанПіН 3.3.2-007-98
|
|
Для холодного
періоду: Температура, С Відносна вологість, % Швидкість переміщення повітря,
м/с
|
21-24 40-60 0,1
|
20-25 40-60 не
більше 0,2
|
|
Для теплого
періоду: Температура, С Відносна вологість, % Швидкість переміщення повітря,
м/с
|
28 -30 50 0,335
|
22 - 25 40 - 60 не
більше 0,2
|
21 - 28 не більше
60 0,1 - 03
|
Таблиця 4.2 - Підсумкова таблиця
санітарно-гігієнічних умов праці
|
№
|
Параметр
|
Значення параметру
|
Нормативні
документи
|
|
|
Факт
|
Норма
|
|
|
1
|
Освітлення, лк
|
120,77
|
200
|
ДБН В.2.5-28-2006
|
|
2
|
Значення КЕО, %
|
0,69
|
1,19
|
ДБН В.2.5-28-2006
|
|
3
|
Загазованість, мг/м3
|
-
|
-
|
ДСанПіН
3.3.2-007-98
|
|
4
|
Запилення, мг/м3
|
-
|
-
|
ДСанПіН
3.3.2-007-98
|
|
5
|
Температура, °С: взимку влітку
|
22 - 24 28 - 30
|
20-25 21-28
|
ДСанПіН
3.3.2-007-98
|
|
6
|
Відносна вологість,
%
|
50
|
40-60
|
ДСанПіН
3.3.2-007-98
|
|
7
|
Швидкість руху
повітря, м/с
|
0,335 -1,18
|
0,1-0,2
|
ДСанПіН
3.3.2-007-98
|
|
8
|
Шум, дБА
|
50
|
60
|
ДСанПіН
3.3.2-007-98
|
Таким чином, проведений аналіз
показує, що в приміщенні служби менеджменту персоналом не виконуються вимоги
інструктивних документів по охрані праці в частинах:
·
поганої
організації природної вентиляції в приміщенні, яка організується за рахунок
відкриття половинки металопластикового вікна та вхідної двері в приміщення,
оскільки в приміщені немає системи воздуховодів витяжної вентиляції. Це створює
протяги та підвищенну захворюваність і психологічні конфлікти між
співробітниками, які сидять біля вікна на проході. При поганій організації
природної вентиляції в приміщенні відсутня штучна вентиляція та охолодження
зовнішнього повітря, що приводить до підвищенних температур влітку;
·
недостатнього
рівня природного освітлення в приміщенні та недостатній рівень штучного
освітлення для столів, які розташовані якнайдальше від вікна.
Що стосується пожежної безпеки в
даному приміщенні, то необхідно зазначити, що згідно з НАПБ Б.03.002-2007 [50]
воно відноситься до категорії В, оскільки в ньому знаходяться: дерев'яні меблі,
паперова документація, що є потенційними факторами виникнення пожежі. За ДБН
В.1.1.7-2002 [28] будівля, де знаходиться дане приміщення відноситься до
другого ступеню вогнестійкості. Треба зазначити, що нерозроблено план евакуації
з даного приміщення у випадку пожежї.
.3 Розробка заходів по охороні праці
І. Заходи подолання неефективності
штучного освітлення.
Для освітлення даного приміщення
використовуються лампи розжарювання потужністю 100 Вт, кількість можливо
використовуваних ламп у світильнику складає 3 шт, а використовуються лише 2.
Для поліпшення штучного освітлення в даному приміщенні пропонуємо замінити
світильники та використовувати люміністцентні лампи з світловим потоком 2000лм
у кількості, що складає 8 (по 4 лампи у 2-х світильниах) [52]. Тоді,
підставляючи в формулу (4.3) значення світлового потоку, який надають нові
світильники, одержуємо нове значення:
Отже, у такому разі штучне освітлення буде ефективним, оскільки
розрахунковий рівень світлового потоку перевищує нормативний (більше 200 люкс).
. Заходи подолання неефективності вентиляції (аерації) в теплий та
холодний періоди року.
Для покращення природної вентиляції пропонуємо впровадження
кондиціонерів (спліт систем) з системою як охолодження, так і підогріву
повітря.
Потужність по “виробництву холоду “ кондиціонером прийнято
вимірювати в BTU. Це британська теплова одиниця, 1 BTU = 0.293 Вт.
Для визначення необхідної для охолодження приміщення
потужності кондиціонера слід розрахувати сумарне надходження тепла до
приміщення, приблизно враховуючи тепло від сонячних променів, освітлення,
людей, оргтехніки, тощо. Обрана модель кондиціонера повинна давати таку саму,
або навіть дещо вищу потужність. У великому приміщенні можна встановлювати
декілька внутрішніх блоків.
В результаті розрахунків надлишкової тепловіддачі в приміщенні
на 2 поверсі 2 поверхового будинку, виконані калькулятором фірми по продажу
кондиціонерів за допомогою Інтернет-мережі, вибраний 1 кондіціонер
Вибраний тип кондиціонеру для зняття надлишкового тепла у
приміщенні :
·
довжина
5,8 м, ширина 3,6 м (площа 20,9 м2);
·
висота
потолків - 2,8 м (об”єм приміщення - 58,5 м3);
- в приміщенні розташовані 5 компьютерних комплекса , 1
ксерокс, 2 мережевих принтера та 2 прилади забезпечення безперебійного
електричного живлення;
·
1 вікно
приміщення виходить не на сонячну сторону будинку;
·
в кімнаті
встановлене штучне освітлення газорозрядними лампами з мінімальним нагрівом на
потолках та 5 настольних ламп з лампами накалювання на робочих місцях (5 *75
вт);
Процедура розрахунків надходження тепла в приміщення служби
менеджменту персоналом виглядає таким чином [52]:
,
ккал/год (4.8)
де Qобор - виділення тепла від устаткування:
обор = 860*n*P*k1*k2. , ккал/год (4.9)
де n = 5, середня працююча кількість устаткування
Р= 0,25 квт - середня теплова потужність одиниці обладнання
к1 = 0,8 - коефіцієнт використання установленої потужності
к2 = 0,5 - коефіцієнт одночасної роботи устаткування
- коефіцієнт відношення між потужністю обладнання і кількістю
виділеного тепла при переході електричної енергії в теплову
(1 квт = 860 ккал/год)
Підставляємо чисельні значення у формулу (4.9):обор =
860*5*0,25*0,8*0,5 = 430 ккал /годлюд - надходження тепла, зумовлене працюючими
людьми:
люд = N*q (4.10)
де N = 5 чоловік, які одночасно знаходяться в операційному залі банку;=
125 ккал/год - середня кількість тепла, що виділяється однією людиною;
Підставляємо чисельні значення в формулу (4.10):люд = 5*125 = 625
ккал/годосвітл - надходження тепла від приладів освітлення
освітл = 860* N1 * к4 (4.11)
Де N1 = 0,075*5 = 0,375 квт - сумарна потужність ламп накалювання
(кількість ламп помножених на їх потужність) к4 = 0,8 - коефіцієнт одночасного
використання
Підставляємо чисельні значення в формулу (4.11):освітл = 860*0,375 *
0,8 = 258 ккал/годрад = 135 ккал/год - надходження тепла через зовнішні
огородження конструкцій від сонячної радіації (значення для західної півкулі
50-широти).
Таким чином, сумарний поток тепловиділення буде становити:надх = 430 +
625 + 258 + 135 = 1448 ккал/год
(або 1448/860 = 1,7 квт)
Зробимо розрахунок необхідного повітрообміну за надлишком тепла в
приміщенні бухгалтерії за формулою :
,
м3/час (4.12)
де С = 0,24 ккал/кг*град - питома теплоємність повітря;
ρ = 1,3 кг/м3 - щільність повітрявід - температура
повітря, що видаляєтьсяприпл - температура припливного повітря ( на 8 градусів
нижче)
Результати розрахунку по формулі (4.12):
Що відповідає зробленим вище розрахункам по ефективності повітрооб-міну
в приміщення за рахунок відкритого вікна.
Таким чином, для підтримки встановлених параметрів мікроклімату в
секторі необхідно 1 потолочний спліт-кондиціонер Fuji RC-54R потужніс-тю(кВт):
1,9 - 3,0 з регульованою продуктивністю від 80 до 500 м3/год.
Оцінка
пожежної безпеки.
Відповідно до НАПБ Б.03.002-2007 [50] аналітична служба ЗКІНФ
по вибуховій і пожежній безпеці відноситься до категорії В (робота з непальними
речовинами і матеріалами в холодному стані). Можлива причина пожежі в
приміщенні - порушення правил техніки безпеки, несправність електроприла-дів.
Існує охоронно-пожежна сигналізація з виводом сигналізації на пост охорони
входу в рекламну агенцію, яка у випадку пожежі зв'язується з пожежною охороною
(т.101) та застосовує разом з працівниками первинні засоби пожежогасіння
(порошкові вогнегасники на етажі та на посту).
Висновки
Сучасні портфельні інвестиції здійснюються в цінні папери з
фіксованою ставкою дивідендною доходності відносно номінальної вартості
(облігації, привілейовані акції, депозитні сертифікати), гарантованою емітентом
при випуску цінних паперів, та в цінні папери з нефіксованою ставкою
дивідендної доходності (прості акції), дивіденд по яких залежить від
результатів діяльності емітента та величина якого не гарантується емітентом.
Задача прогнозування доходності цінних паперів з нефіксованою
ставкою дивідендної доходності (прості акції) традиційно вирішувалась з
застосуванням методів економічного фундаментального аналізу, який не завжди
враховує всі фактори та інколи показує досить неточну картину серед різних як
політичних, так і економічних ситуацій.
В той же час більшість учасників фондового ринку вважає
найбільш ефективним технічний аналіз, в якому вся інформація про ринок і
подальші його коливання утримується в інтегрованому параметрі - ціновому ряді
на цінний папір. Всі фактори, що впливають на ціну: економічні, політичні та
психологічні уже враховано ринком і включено в ціну. Однак, вивчення цінових
рядів за різні проміжки часу вимагає паралельного дослідження поведінки
учасників, їх ринкової психології.
Основні інструменти технічного аналізу працюють на основі
первинної біржової інформації:
Ціна, по якій здійснюються операції (ціна відкриття,
максимальна та мінімальна ціни за сесію торгів, ціни реальних біржових угод,
ціна закриття сесії);
Об'єм торгів і ліквідність цінних паперів;
Попит і пропозиція на ринку за оперативними даними
торгівельного терміналу,
та розподіляються на графічні методи, засновані на аналізі
цінових графі-ків, та математичні методи, засновані на аналізі розрахованих
індикаторів та осціляторів:
. Індикатори (діапазони та ковзні середні цінових графіків):
"Японські свічі (Candles)", показують
волатильність, або «розмах цін»;
Ковзні середні (Moving Average - MA) - лінії, що з вибраним
рівнем запізнення показують напрям довгострокового тренду;
Метод сходження і розбіжності - пошук точок перетинання
графіків «швидкою» і «повільною» ковзних середніх ліній;
Алігатор (фондовий ринок) - пошук точок розбіжності на основі
трьох ковзних середніх з запізненням.
. Осцилятори - показники швидкості і прискорення цін ринку
(перша і друга похідні від ціни):
Моментум (Momentum) - аналіз швидкості і напряму зміни ціни
(перша похідна, «зміна в часі»);
Стохастичний індикатор (Stochastic Oscillator) - аналіз
прискорення зміни ціни (друга похідна або «швидкість росту швидкості»);
Індекс відносної сили RSI - порівняння швидкості росту і
швидкості падіння ціни у вибраному проміжку часу.
- Інші індикатори: Лінія тренда; Лінії (смуги) Болінджера
(Bollinger Bands, BB); Лінії та рівні підтримки (support) і опору (resistance);
Відкрита цікавість; Зважений об'єм; Спрямованість ціни і об'єму; Індекс
накопичення/ розподілу; Сходження/розбіжність ковзних середніх (MACD - Moving
Average Convergence/Divergence); Аналіз опціонних рівнів; Індикатор Ішимоку;
Метод хвилевої симетрії; Індикатори настрою ринку.
В дипломному дослідженні інвестиційного портфеля закритого
недиверсифікованого корпоративного інвестиційного фонду ЗНКІФ «Синергія-7»
проаналізоване застосування наступних інструментів технічного аналізу:
різноперіодні ковзні середні SMA та зважені ковзні середні
WMA;
ймовірністні «смуги Болінджера», побудовані на розрахованих
ковзних середньоквадратичних відхиленнях цін акцій від ковзної середньої.
Як показує загальний аналіз інвестиційного портфелю ЗНКІФ
«Синергія-7», він складається з акцій 17 емітентів, торгуємих на фондовій
Українській біржі (вагова частка 75%) , 6 строкових депозитів в українських
банках (вагова частка 16,1%) та неліквідного пакету акцій будівельної компанії
(вагова частка 8,9%):
після „кризового” падіння вартості активів фонду на початку
2009 року як наслідку світової фінансової кризи, в квітні 2010 року вартість
інвестиційних активів в портфелі фонду знову зросла практично до докризового
рівня;
але з лютого 2011 року почався процес критичного падіння
вартості активів інвестиційного портфелю фонду, який станом 01.01.2013 року
перевищив рівень „кризисного” падіння фондового ринку у 2008 - 2009 рр.
Вартість чистих активів фонду на 1 акцію знизилась до рівня 5000 грн./акцію при
інвестиційному номіналі 2008 року - 10000 грн./акцію.
Як показав аналіз динаміки ринкової вартості акцій 17
емітентів в інвестиційному портфелі ЗНКІФ „Синергія-7” станом на 08.02.2013
тільки у 4-х емітентів з 17 ринкова ціна акцій у 2013 році є вищою ніж у жовтні
2009 року, таким чином загальна оцінка діяльності фонду ЗНКІФ „Синергія-7” може
бути визнана збитковою, але такою що відповідає ще більшому загальному стану
падіння вартості акцій фондового ринку України.
Однією з проблем неефективного управління інвестиційним
портфелем ЗНКІФ «Синергія-7» компанією з управління активами «Кінто» є пасивний
характер довгострокового (на 5 років) інвестування грошових коштів в
перспективні акції українських підприємств та очікування росту їх ринкової
вартості як джерела інвестиційного доходу учасників фонду через 5 років.
В дипломному дослідженні побудований алгоритм та проведений
пробний технічний аналіз динаміки вартості акцій одного із емітентів в
інвестиційному портфелі ЗНКІФ «Синергія-7» - ПАТ «Крюківський вагонобудівний завод».
Як показали результати розробки “торгової стратегії» по
покуп-ці/продажу акцій ПАТ «Крюківський вагонобудівний завод» за результатами
торгів на Українській біржі у 2011 - 2012 рр. на основі синхронного технічного
аналізу поточного курсу акцій інструментами «смуг Болінджера» (на базі
200-денної ковзної) та 8,15,50-денної короткострокових ковзних:
інструментарій „смуг Болінджера” при виході поточного курсу
акцій на верхню (сигнал на продаж) чи нижню(сигнал на покупку) „смугу”
ефективно дає попередній сигнал про наступну зміну тренда біржового курсу акцій
раніше;
інструментарій різноперіодних ковзних середніх дає можливість
уточ-нити точку розвертання поточного курсу акцій - спочатку 8-денна ковзна,
по-тім 15-денна ковзна, а потім і 50-денна ковзна, розворот якої показує
упевнену зміну напрямку тренду;
одночасне синхронне застосування двох інструментаріїв
дозволяє побу-дувати ефективну „торгову стратегію”, використовуючи різні
механізми застосовуємих індикаторів, що суттєво знижує можливість реакції на „хибні”
сигнали ринку.
Враховуючи позитивні результати застосування інструментів
технічного аналізу в дипломному дослідженні самостійно розроблений програмний
комплекс на базі „електронних таблиць” Excel - 2010 та проведений технічний
аналіз динаміки курсів найбільш вагомих акцій в інвестиційному портфелі ЗНКІФ
«Синергія-7», в ході якого побудовані та використані наступні показники
останніх 12 місяців 2012 - початку 2013 рр.:
. Pi - значення ціни в часовому ряді (i = 1,…, n) - біржові
ціни
Української біржі на акції емітента за результатами торгів;
. Значення простої ковзної середньої за 30-денний період
(SMA-30);
3. Середнньоквадратичне відхилення (Standard Deviation) цін
акцій Рі від значення простої середньої ковзної SMA-30;
. Поточні границі «смуги Болінджера» для довірчої ймовірності
Р=97%;
. Відносний рівень осцилятора відхилення поточної ціни акції
від значення ковзної середньої SMA;
. Рівень ризику волатильності ціни акції по відхиленням
«смуги Болінджера» та передумов зміни тренду.
Результати графічної побудови динаміки показників технічного
аналізу курсу акцій в 2012 - 2013 рр. для емітентів, акції яких мають найбільшу
вагу в інвестиційному портфелі ЗНКІФ «Синергія-7»:
ПАТ МК „Азовсталь” ;
- ПАТ „Північний ГЗК”;
- ПАТ „Мотор-Січ” ;
- ПАТ „Крюковський машинобудівний завод” ,
підтвердили можливість застосування інструментів технічного
аналізу (ковзної середньої + смуга Болінджера) для короткочасного прогнозування
курсу вартості цінних паперів на біржових торгах з використанням зовнішніх
контурів «смуг Болінджера» як ліній прогнозу -« підтримки» (нижня границя) та
«опору» (верхня границя).
Таким чином, застосувавши додатково метод побудови
регресійно-кореляційних моделей динаміки курсу акції з застосуванням
програмного модуля «електронних» таблиць Excel -2010 (лінійна та поліноміальні
моделі), в дипломному проекті виконаний прогноз курсу акцій в інвестиційному
портфелі ЗНКІФ «Синергія-7» на 30 днів вперед відносно рівня станом на
08.02.2013 р.
Проведений додатковий аналіз достовірності прогнозів курсів
акцій запропонованими в дипломному проекті методами технічного аналізу повністю
підтверджений фактичними даними фондової біржі станом на 14.05.2013 року по
короткостроковій динаміці росту/падіння курсів акцій в інвестиційному портфелі
ЗНКІФ «Синергія-7» за період 30 - 90 днів прогнозу.
Таким чином, дослідження ефективності ідентифікації тренду та
змін напрямків тренду динаміки цін акцій на біржовому ринку з застосуванням
графоаналітичних методів технічного аналізу на прикладі аналізу динаміки курсу
цін акцій в інвестиційному портфелі ЗНКІФ «Синергія-7» довело, що застосування
прийомів та технологій технічного аналіза дозволяє компаніям по управлінню
активами інвестиційних фондів переходити від політики пасивного прогнозування
довгострокового росту ринкової вартості акцій на протязі інвес-тиційного
горизонту до політики активного короткострокового та середньо-строкового
трейдингу на біржовому ринку акцій. Це переведе діяльність інвес-тиційних
фондів з режиму пасивного спостерігання за падінням курсу акцій в інвестиційному
портфелі та зростанням збитковості інвестиційного портфеля до активного режиму
трейдингу на рості/падінні курсу цінних паперів з застосуванням методів
технічного аналізу.
Практична цінність результатів дипломного дослідження полягає
в можливості застосування розробленої методології та засобів її застосування на
прикладі реального інвестиційного портфелю в діяльності досвідчених та
починаючих трейдерів на фондовому ринку України.
Список використаної літератури
1. Акелис А., Стивен Б. Технический анализ от А до Я:
Полный набор инструментов торговли... от абсолютного индекса ширины до японских
свечей / Б. Стивен, А.Акелис ; [пер. с англ. М. Волковой, А. Лебедева]. - М. :
Евро : СмартБук, 2010. - 365 с.
. Антонов С.М., Шишков С.Є. Визначення ринкової вартості
цінних паперів: основні проблеми та шляхи їх вирішення / С.М.Антонов,
С.Є.Шишков // Економіка і прогнозування. -2010. -№1. - С.67-98
3. Аппель Дж. Технический анализ.
Эффективные инструменты для активного инвестора / Дж.Аппель. - СПб: Питер. 2008
- 302 с.
4. Бедрій Я. І. Безпека життєдіяльності.Навчальний посібник./ Я.І.Бедрій.
-Київ: Кондор, 2009. - 286 с.
5. Безпека праці: ергономічні та естетичні основи :
навч. посібник / С. О. Апостолюк [та ін.]. - 2-ге вид., стер. - К. : Знання,
2007. - 215 с.
6. Белова Е.В. Технический анализ
финансовых рынков. московский государственный университет им.Ломоносова.
Экономический факультет. / Е.В.Белова. - М.: Инфра-М. 2006 - 397 с.
7. Биржевая деятельность. Учебник / Под ред. проф. А.
Г. Грязновой, проф. Р. В. Корнеевой, проф. В. А. Галанова, 3-е изд.,- М.:
Финансы и статистика, 2003.- 457 с.
. Білоус І.В. Посткризові перспективи ринку
корпоративних облігацій України /І.В. Білоус // Фінанси України. - 2010. - № 9.
- С. 100-106.
. Бланк И.А. Финансовый менеджмент. / И.А.Бланк. - К.:
Ника-центр, Эльга,2004.-699 с.
. Бланк И.А. Инвестиционный менеджмент:Учебный курс./
И.А.Бланк. - К.: Ника-центр, Эльга,2001.- 448 с.
. Бородулин В. Рынки ценных бумаг США. / В.Бородулин.
- М.: Московская центральная фондовая биржа, 2004.- 520 с.
. Боярко І. М. Інвестиційний аналіз: Навч. посіб./
І.М.Боярко, Л.Л. Гри-ценко. - К.: Центр учбової літератури, 2011. - 400 с.
. Боди З. Принципы инвестиций, 4-е издание.: Пер. с
англ./ З.Боди, А.Кейн, А.Маркус. - М.: Издательский дом «Вильямс», 2002. - 984
с.
. Болинджер, Джон Болинджер о лентах Боллинджера
/Д.Боллинджер. - М. : Вильямс, 2007. - 221 с.
. Борщ Л. М. Інвестування: теорія і практика :
навч.посіб. - 2-ге вид., перероб. і доп. / Л. М. Борщ, С. В. Герасимова. - К. :
Знання, 2007. - 685 с.
. Буренин А. Н. Рынок ценных бумаг и производных
финансовых инструментов: Учеб. пособие. / А.Н.Буренин. - М.: Научно-техническое
общество им. академика С. И. Вавилова, 2002. - 348 с.
. Буренин А. Н. Фьючерсные, форвардные и опционные
рынки. / А.Н.Буренин. - М.: Тривола, 2002.- 240с.
. Ван Хорн, Джеймс К. С. Основы финансового
менеджмента / Джеймс С. Ван Хорн, Джон М. Вахович, мл. ; [пер. с англ. О. Л.
Пелявского ; под ред. А. А. Старостиной]. - М. : Вильямс, 2010. - 1225 с.
. Васильев Г. А. Организация фондового рынка в
Западной Европе / Г.А. Васильев, Н.Г.Каменева. - ВЗФЭИ. - М.: Экономическое
образование, 2003.- 324 с.
. Ватаманюк З.Г. Перспективи розвитку ринку цінних
паперів в Україні / З.Г.Ватаманюк, О.В. Баула// Фінанси України. - 2010. - №5. -
С. 75-85.
. Вильямс, Билл Торговый хаос.Экспертные методики
максимизации прибыли / Б.Вильямс. - М.: Менатеп-Информ, 2004.- 182 с.
. Гогіташвілі Г.Г. Основи охорони праці : навч.
посібник / Г. Г. Гогі-ташвілі, В. М. Лапін. - 4-те вид., виправл. і доповн. -
К. : Знання, 2008. - 302 с.
. Голубович А. Д. Биржевая торговля и инвестирование в
США., 5-е изд. /А.Д. Голубович. О.М. Миримская. - М.: Менатеп-Информ, 2004.-
678 с.
. Дамодаран А. Инвестиционная оценка: Инструменты и
методы оценки любых активов/ А. Дамодаран; пер. с англ. - 7-е изд. - М.:
Альпина Паблишер, 2011. - 1324с.
24. Демарк Т.Р. Технический анализ -
новая наука. / Т.Р. Демарк.- М.: Евро. 2006 -280с.
25. Державні будівельні норми
України, „Захисні заходи електробезпеки в електроустановках будинків і споруд”
(ДБН В.2.5-27-2006 ) // Введені Наказом Міністерства будівництва, архітектури
та житлово-комунального господарства України від 29 березня 2006 р. № 97 з 1
жовтня 2006 р., 2006. - [Електронний документ] - режим доступу:
http://www.mebius.ua/files/normativy /1004621.doc
26. Державні будівельні норми України
СніП 2.09.02-85 „ Производ-ственные здания» // Наказом Держбуду України від
21.10. 2004 року N 195 набуття чинності встановлено з 1 квітня 2005 року
. Державні будівельні норми України
ДБН В.2.2-28:2010 « Будинки і споруди. Будинки адміністративного та побутового
призначення»
28. Державні будівельні норми "Пожежна
безпека об'єктів будівництва", затверджені наказом Держбуду України від
03.12.2002 N 88 (ДБН В.1.1.7-2002);
29. Державні будівельні норми
України ДБН В.2.5-28-2006 «Природне і штучне освітлення» (замість СНиП
II-4-79)/ Наказ Міністерства будівництва, архітектури та житлово-комунального
господарства України від 15 травня 2006 р. № 168
30. Державні санітарні правила і норми. ДСанПіН 3.3.2-007-98.
Гігієнічні вимоги до організації роботи з візуальними дісплейними терміналами
електрон-но-обчислювальних машин // Наказ Міністерства охорони здоров’я України
від 10.12.1998
31. Долинский Л.Б. Актуальные вопросы экспертной
оценки долговых ценных бумаг в Украине / Л.Б. Долинский // БизнесИнформ. -
2010. - № 3 (1). - С. 14-17.
. Долінський Л.Б. Фінансові обчислення та аналіз
цінних паперів: Навчальний посібник. / Л.Б.Долінський. - К., Майстер-клас,
2005. - 192 с.
. Доугерти К. Введение в эконометрику:Учебник. 3-е
изд. / К.Доугерти. - Пер. с англ. - М.: ИНФРА-М, 2009. - 465 с.
. Жваколюк Ю.В. Внутридневная торговля на рынке ФОРЕКС
/ Ю. В. Жваколюк. - СПб. : Питер, 2000. - 192 с.
. Жидецький В.Ц. Основи охорони праці: Підручник. -
4-те вид., пере-роб. і доп. Затверджено МОН ./ В.Ц. Жидецький. - Київ, Знання,
2010. - 375 с.
. Інструменти та установи фінансового ринку : енцикл.
довідник / [за ред. В. В. Фещенка ; кер. проекту В. В. Фещенко]. - К. : Укр.
агенство фінансового розвитку , 2007. - 504 с.
37. Кан, Майкл Н. Технический анализ : Просто и ясно /
Майкл Н. Кан ; [пер. с англ. Е. Колотвиной ; под. ред. А. А. Куликова]. - 2-е
изд. - СПб. : Питер, 2008. - 315 с.
. Колби, Роберт. Энциклопедия технических индикаторов
рынка / Роберт Колби ; [пер. с англ. А. И. Левинзон ; науч. ред. А. М. Дзюра].
- 3-е изд. - М. : Альпина Паблишерз, 2009. - 837 с.
39. Кондрашихин А. Б. Фондовый рынок (рынок ценных
бумаг) : [учебное пособие] / А. Б. Кондрашихин, В. Г. Рожманов, Т. В. Пепа, В.
А. Федорова. - К. : Центр учебной литературы, 2008. - 376 с.
. Корельский В. Ф. Толковый биржевой словарь.
/В.Ф.Корельский, Р.В.Гаврилов. - М.: Руссо, 1996. - 402 с.
. Костюкевич Р. М. Інвестиційний менеджмент.
Навчальний посібник./ Р.М.Костюкевич. - Рівне: НУВГП, 2011. - 270 с.
. Куліков А.А. Довідник біржового спекулянта. FOREX
для початківців./ А.А. Куліков. - Видавництво: Пітер, 2003. - 356 с.
. Медведев Г.А. Математические основы финансовой
экономики [Электронный ресур]: Учебное пособие: Часть 2: Определение рыночной
стоимости ценных бумаг. - Электрон. текст. дан. (3,5 Мб). - Мн.:
Научно-методический центр “Электронная книга БГУ”, 2003. - Режим доступа:
http://anubis.bsu.by/publications/elresources/AppliedMathematics/medvedev3.pdf
. Мельников А.В. Математические методы финансового
анализа // Под научной редакцией д.ф.-м.н., профессора Мельникова А.В. - М.:
Издатель-ство:АНКИЛ, 2006 - 440 с.
. Мертенс А. В. Инвестиции: курс лекций по современной
финансовой теории., 7-е изд. / А.В. Мертенс. - К.: Либідь, 2004.- 679 с.
. Морріс Г. Японські свічки: метод аналізу акцій та
ф’ючерсів, перевірений часом / Грегорі Морріс . - Англ.: Candlestick Charting
Explained: Timeless Techniques for Trading Stocks and Futures. - Видавництво:
Альпіна Паблішер, 2010 р.- 312 стр.
. Мэрфи, Джон Дж. Технический анализ фьючерсных
рынков. Теория и практика = Technical Analysis of the Futures Markets: A
Comprehensive Guide to Trading Methods and Applications. / Джон Дж. Мэрфи ;
[пер. с англ. О. Новицкой, В. Сидорова ; наук. ред. И. Самотаев]. - М.:
«Альпина Паблишер», 2011. - 616 с.
. Найман, Эрик Л. Малая энциклопедия трейдера : [пер.
с англ.] / Эрик Л. Найман ; [ред. М. Савина] - 10-е изд. - М. : Альпина Бизнес
Букс, 2009. - 456 с.
49. НПАОП 0.00-1.28-10 Правила охорони праці
під час експлуатації електронно-обчислювальних машин // Наказ Державного
комітету України з промислової безпеки, охорони праці та гірничого нагляду від
26.03.2010 N 65 -
http://document.ua/pravila-ohoroni-praci-pid-chas-ekspluataciyi-elektronno-obch-nor17970.html
. НАПБ Б.03.002-2007 Норми визначення категорій
приміщень, будин-ків та зовнішніх установок за вибухопожеженою та пожежною
небезпекою (взамен ОНТП -86) // Наказ МНС України № 833 від 03.12.2007.
51. Никифорова В.Д. Оценка инвестиционных качеств
ценных бумаг: Учебное пособие./ В.Д. Никифоров. -СПб.: Изд-во СПбГУЭФ, 2010. -
104 с.
. Основи охорони праці: Підручник. 21ге видання,
доповнене та перероблене. / К. Н. Ткачук, М. О. Халімовський, В. В. Зацарний,
Д. В. Зеркалов, Р. В. Сабарно, О. І. Полукаров, В. С. Коз’яков, Л. О. Мітюк. За
ред. К. Н. Ткачука і М. О. Халімовського. - К.: Основа, 2006 - 448 с.
53. Піскунова Л. Е. Безпека життєдіяльності // Л.Е. Піскунова, В.А.
Прилипко, Т.О. Зубок . - К.: Академія, 2012. - 224 с.
54. Портфельне інвестування : Навч. посібник / А. А.
Пересада, О. Г. Шевченко, Ю. М. Коваленко, С. В. Урванцева. - К.: КНЕУ, 2004. -
408 с.
55. Правила безпечної експлуатації
електроустановок споживачів, затверджені наказом Міністерства енергетики та
вугільної промисловості від 13.02.2012 № 91- [Електронний документ] - режим
доступу: http://safety-rtc.com/view_post.php?id=76
56. Правила пожежної безпеки в Україні (наказ
МНС України від 19.10. 2004 N 126) // (Із змінами, внесеними згідно з Наказом
Міністерства надзвичай них ситуацій N 537 від 24.02.2012 ) - http://zakon2.rada.gov.ua/laws/show/z1410-04
57. «Про цінні папери
та фондовий ринок» / Закон України від 23 лютого 2006 року N 3480-IV // Із
змінами, внесеними згідно із Законами станом N 5042-VI від 04.07.2012 -
[Електронний документ]. -режим доступу: <http://zakon1.rada.gov.ua/laws/show/3480-15>
58. «Про охорону праці» / Закон України від 14 жовтня
1992 року N 2694-XII // Із змінами, внесеними згідно із Законами станом N
3458-VI ) від 02.06.2011. - [Електронний документ]. - режим доступу:
http://zakon2.rada.gov.ua/laws/show/2694-12
59. СНіП 2.04.05-91 «Опалення, вентиляція та
кондиціонування» // Рішення Мінбуду України від 13.05.2005 № 26 "Про
проект Зміни N 4 СНиП 2.04.05-91 "Опалення, вентиляція та
кондиціювання"
60. Сохацька О.М. Біржова справа: Підручник. -
2-ге вид. змін. й доп. / О.М.Сохацька. - Тернопіль: Карт-бланш, К.: Кондор,
2008. - 632 с.
61. Фабоцци Ф. Управление инвестициями : пер. с англ /
Ф. Фабоцци. - М. : Инфра-М, 2000. - 932 с.
62. Хаертфельд М. Фундаментальный и технический анализ
РЦБ / М.Хаерфельд. - СПб: Питер -2005 - 351с
. Шарп У. Инвестиции/У.Ф. Шарп, Г.Дж. Александер, Д.В.
Бейли. - М.: ИНФРА-М, 2009. - 1028 с.
. Швагер, Джек. Технический анализ : полный курс /
Джек Швагер ; [пер. с англ. А. Куницына, Б. Зуева ; ред. А. Дзюра]. - 6-е изд.
- М. : Альпина Бизнес Букс, 2009. - 804 с.
. Энциклопедия финансового риск-менеджмента / Под ред.
А.А.Лоба-нова, А.В.Чугунова. - М.: Альпина Паблишер, 2003. - 786 с.
. Элдер, Александр. Трейдинг с доктором Элдером
[Текст] : Энцик-лопедия биржевой игры / Александр Элдер ; [ред. П. Суворова, А.
Дозоров ; пер. с англ. А. Семенова, М. Волковой]. - М. : Альпина Бизнес Букс,
2008. - 488 с.
67.
<HTTP://WWW.KINTO.COM> - Офіційний Інтернет-сайт компанії по управлінню
активами КІНТО (<http://www.kinto.com/funds/>synergy7/ performance.html)
.
http://www.motorsich.com/rus/ - Офіційний Інтернет-сайт ПАТ «Мотор-Січ», 2012
.
<http://www.ux.com> - Офіційний Інтернет - сайт Фондової біржі
„Українська біржа”, 2012
.
http://tex-bezbeka.in.ua/index.php?per=12 - Інтернет- сайт „Техніка безпеки та
охорона праці в Україні”, 2012
Додаток А
Таблиці результатів біржових торгів акціями ПАТ „Крюківський
машино-будівний завод” за даними фондової Української біржі [69] (короткий
витяг таблиць для статистичної обробки, надаваємих біржою по мережі Інтернет )
|
<TICKER>
|
|
<DATE>
|
<TIME>
|
<CLOSE>
|
<VOL>
|
|
|
|
|
|
|
|
Іденти-фікатор
емітента
|
№ цінового
котирування
|
Дата
|
Час (год:хв)
|
Ціна акції при
закритті, грн./шт
|
Обсяг угоди, акцій
штук
|
|
KVBZ
|
1
|
03.09.2009
|
121000
|
11,75
|
3500
|
|
KVBZ
|
2
|
04.09.2009
|
153000
|
11,651
|
1000
|
|
KVBZ
|
3
|
07.09.2009
|
141500
|
11,85
|
500
|
|
KVBZ
|
4
|
07.09.2009
|
142000
|
11,898
|
500
|
|
KVBZ
|
5
|
07.09.2009
|
143500
|
11,85
|
300
|
|
KVBZ
|
6
|
08.09.2009
|
123000
|
12,05
|
100
|
|
KVBZ
|
7
|
08.09.2009
|
130000
|
12,138
|
100
|
|
KVBZ
|
8
|
08.09.2009
|
134000
|
11,98
|
100
|
|
KVBZ
|
9
|
08.09.2009
|
135500
|
12,14
|
1200
|
|
KVBZ
|
10
|
09.09.2009
|
130000
|
12,15
|
2100
|
|
KVBZ
|
11
|
09.09.2009
|
163500
|
11,4
|
1200
|
|
KVBZ
|
12
|
09.09.2009
|
164000
|
12,1
|
100
|
|
KVBZ
|
13
|
10.09.2009
|
103500
|
11,5
|
3100
|
|
KVBZ
|
14
|
10.09.2009
|
105000
|
11,5
|
200
|
|
KVBZ
|
15
|
10.09.2009
|
110000
|
12,19
|
1900
|
|
KVBZ
|
16
|
10.09.2009
|
124500
|
11,45
|
200
|
|
KVBZ
|
17
|
10.09.2009
|
125000
|
12,2
|
2500
|
|
KVBZ
|
18
|
11.09.2009
|
155000
|
11,75
|
3000
|
|
KVBZ
|
19
|
14.09.2009
|
11,99
|
100
|
|
KVBZ
|
20
|
15.09.2009
|
103500
|
12
|
2400
|
|
KVBZ
|
21
|
15.09.2009
|
111500
|
12,4
|
7400
|
|
KVBZ
|
22
|
15.09.2009
|
112500
|
12,4
|
500
|
|
KVBZ
|
23
|
15.09.2009
|
113500
|
12,36
|
300
|
|
KVBZ
|
24
|
15.09.2009
|
114500
|
12,4
|
200
|
|
KVBZ
|
25
|
15.09.2009
|
115000
|
12,7
|
2500
|
|
KVBZ
|
26
|
15.09.2009
|
120000
|
12,5
|
5500
|
|
KVBZ
|
27
|
15.09.2009
|
121000
|
12,45
|
500
|
|
KVBZ
|
28
|
15.09.2009
|
124500
|
12,55
|
3000
|
|
KVBZ
|
29
|
15.09.2009
|
132500
|
12,49
|
400
|
|
KVBZ
|
30
|
15.09.2009
|
141000
|
12,699
|
600
|
|
KVBZ
|
31
|
15.09.2009
|
154000
|
12,62
|
100
|
|
KVBZ
|
32
|
15.09.2009
|
163000
|
12,51
|
4100
|
|
KVBZ
|
33
|
15.09.2009
|
165500
|
12,41
|
500
|
|
KVBZ
|
34
|
16.09.2009
|
110000
|
12,75
|
3800
|
|
KVBZ
|
7288
|
22012013
|
171500
|
18,65
|
1000
|
|
KVBZ
|
7289
|
23012013
|
112500
|
18,99
|
10
|
|
KVBZ
|
7290
|
23012013
|
114000
|
19
|
20
|
|
KVBZ
|
7291
|
24012013
|
152000
|
19
|
10
|
|
KVBZ
|
7292
|
25012013
|
104000
|
19,2
|
1050
|
|
KVBZ
|
7293
|
28012013
|
152500
|
18,86
|
10
|
|
KVBZ
|
7294
|
29012013
|
105000
|
19,2
|
500
|
|
KVBZ
|
7295
|
29012013
|
105500
|
19,2
|
30
|
|
KVBZ
|
7296
|
29012013
|
110000
|
19,19
|
50
|
|
KVBZ
|
7297
|
29012013
|
112000
|
19,19
|
100
|
|
KVBZ
|
7298
|
29012013
|
124000
|
19,2
|
620
|
|
KVBZ
|
7299
|
29012013
|
125000
|
19,2
|
100
|
|
KVBZ
|
7300
|
29012013
|
143500
|
19,1
|
10
|
|
KVBZ
|
7301
|
29012013
|
172500
|
19,19
|
10
|
|
KVBZ
|
7302
|
30012013
|
112500
|
19,4
|
900
|
|
KVBZ
|
7303
|
30012013
|
141500
|
19,4
|
50
|
|
KVBZ
|
7304
|
30012013
|
170000
|
19,05
|
800
|
|
KVBZ
|
7305
|
31012013
|
110500
|
19,49
|
30
|
|
KVBZ
|
7306
|
31012013
|
111000
|
19,5
|
10
|
|
KVBZ
|
7307
|
31012013
|
115500
|
19,8
|
940
|
|
KVBZ
|
7308
|
31012013
|
120500
|
19,84
|
10
|
|
KVBZ
|
7309
|
31012013
|
123500
|
19,3
|
20
|
|
KVBZ
|
7310
|
31012013
|
145500
|
19,79
|
10
|
|
KVBZ
|
7311
|
01022013
|
110000
|
19,79
|
50
|
|
KVBZ
|
7312
|
01022013
|
112000
|
19,8
|
150
|
|
KVBZ
|
7313
|
01022013
|
124000
|
19,42
|
210
|
|
KVBZ
|
7314
|
01022013
|
151000
|
19,9
|
2830
|
|
KVBZ
|
7315
|
01022013
|
151500
|
19,95
|
20
|
|
KVBZ
|
7316
|
04022013
|
125500
|
19,92
|
10
|
|
KVBZ
|
7317
|
04022013
|
130500
|
19,65
|
110
|
|
KVBZ
|
7318
|
04022013
|
171000
|
19,2
|
70
|
|
KVBZ
|
7319
|
05022013
|
104500
|
18,5
|
70
|
|
KVBZ
|
7320
|
05022013
|
111500
|
18,9
|
350
|
|
KVBZ
|
7321
|
05022013
|
113500
|
19,7
|
20
|
|
KVBZ
|
7322
|
05022013
|
125000
|
19,58
|
200
|
|
KVBZ
|
7323
|
05022013
|
125500
|
19,6
|
1020
|
|
KVBZ
|
7324
|
05022013
|
131000
|
19,7
|
300
|
|
KVBZ
|
7325
|
05022013
|
141500
|
19,93
|
10090
|
|
KVBZ
|
7326
|
05022013
|
142000
|
19,93
|
1010
|
|
KVBZ
|
7327
|
05022013
|
151000
|
20
|
500
|
|
KVBZ
|
7328
|
05022013
|
151500
|
20
|
500
|
|
KVBZ
|
7329
|
05022013
|
153000
|
19,99
|
10
|
|
KVBZ
|
7330
|
05022013
|
154500
|
20,1
|
5090
|
7331
|
05022013
|
155000
|
20,11
|
4580
|
|
KVBZ
|
7332
|
05022013
|
161000
|
20,28
|
800
|
|
KVBZ
|
7333
|
05022013
|
162000
|
20,3
|
110
|
|
KVBZ
|
7334
|
05022013
|
163000
|
20,03
|
20
|
|
KVBZ
|
7335
|
05022013
|
164000
|
20,3
|
250
|
|
KVBZ
|
7336
|
05022013
|
172500
|
20,1
|
190
|
|
KVBZ
|
7337
|
06022013
|
103000
|
20
|
100
|
|
KVBZ
|
7338
|
06022013
|
103500
|
19,51
|
960
|
|
KVBZ
|
7339
|
06022013
|
111500
|
19,26
|
110
|
|
KVBZ
|
7340
|
06022013
|
115000
|
19,7
|
100
|
|
KVBZ
|
7341
|
06022013
|
115500
|
19,9
|
100
|
|
KVBZ
|
7342
|
06022013
|
161500
|
19,9
|
20
|
|
KVBZ
|
7343
|
06022013
|
165500
|
20,48
|
600
|
|
KVBZ
|
7344
|
07022013
|
103500
|
19,85
|
40
|
|
KVBZ
|
7345
|
07022013
|
113000
|
20
|
100
|
|
KVBZ
|
7346
|
07022013
|
114000
|
20,49
|
60
|
|
KVBZ
|
7347
|
07022013
|
115000
|
20,5
|
100
|
|
KVBZ
|
7348
|
07022013
|
120000
|
20,55
|
30
|
|
KVBZ
|
7349
|
07022013
|
121500
|
20,7
|
100
|
|
KVBZ
|
7350
|
07022013
|
122000
|
20,94
|
300
|
|
KVBZ
|
7351
|
07022013
|
131500
|
20,4
|
70
|
|
KVBZ
|
7352
|
07022013
|
132000
|
20,9
|
10
|
|
KVBZ
|
7353
|
07022013
|
135500
|
20
|
1100
|
|
KVBZ
|
7354
|
07022013
|
142500
|
19,58
|
10
|
|
KVBZ
|
7355
|
07022013
|
144000
|
20,59
|
10
|
|
KVBZ
|
7356
|
07022013
|
164000
|
20
|
10
|
|
KVBZ
|
7357
|
07022013
|
172500
|
20,64
|
10
|
|
KVBZ
|
7358
|
08022013
|
105500
|
20
|
190
|
|
KVBZ
|
7359
|
08022013
|
114000
|
20,6
|
100
|
|
KVBZ
|
7360
|
08022013
|
120500
|
20
|
400
|