Скалярное произведение двух векторов

  • Вид работы:
    Курсовая работа (т)
  • Предмет:
    Математика
  • Язык:
    Русский
    ,
    Формат файла:
    MS Word
    141,79 Кб
  • Опубликовано:
    2013-10-06
Вы можете узнать стоимость помощи в написании студенческой работы.
Помощь в написании работы, которую точно примут!

Скалярное произведение двух векторов

Кафедра алгебры и геометрии











Курсовая работа

По линейной алгебре и геометрии:

Скалярное произведение двух векторов











Тирасполь 201 г.

Оглавление

Введение

Теоретическая часть

Практическая часть

Список используемой литературы

Вывод

Введение


В моей работе рассматривается приложение скалярного произведения к решению ряда задач, среди которых большинство носит прикладной характер. Мною решены задачи аналитической геометрии на плоскости и в пространстве. В начале работы помещены основные определения и свойства скалярного произведения. Затем приводятся подобные решения типовых задач, среди которых часть решена в общем виде. Основными источниками, которыми я пользовалась при написании работы, являются: “Сборник задач по аналитической геометрии Д.В. Клетеник”, “Геометрия. 9 класс. Атанасян Л. С, Бутузов В. Ф., Кадомцев С.Б., Юдина И. И”, “<#"702305.files/image001.gif"> обозначается символом  (порядок записи сомножителей безразличен, т. е. ).

Если угол между векторами  обозначить через , то их скалярное произведение можно выразить формулой

(1)

Скалярное произведение векторов  можно выразить также формулой

 

Из формулы (1) следует, что , если острый угол, , если угол тупой;  в том и только в том случае, когда векторы  и перпендикулярны (в частности, , если  или ).

Скалярное произведение  называется скалярным квадратом вектора и обозначается символом  Из формулы (1) следует, что скалярный квадрат вектора равен квадрату его модуля:

 

Если векторы  и  заданы своими координатами:

 

то их скалярное произведение может быть вычислено по формуле

 

Отсюда следует необходимое и достаточное условие перпендикулярности векторов:

 

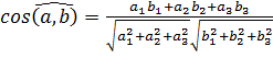
Угол  между векторами

 

даётся формулой  или в координатах

 

Проекция произвольного вектора  на какую-нибудь ось  определяется формулой

 

где единственный вектор, направленный по оси . Если даны углы 𝜶, 𝜷, 𝜸, которые ось  составляет с координатными осями, то  и для вычисления проекций вектора  может служить формула

 

Скалярное произведение обладает следующими свойствами:

Геометрические свойства:

ü 

ü 

ü 

ü  =

Алгебраические свойства:

ü 

ü 

ü 

Пример. Даны два неколлинеарных вектора a и b. Найти вектор x компланарный векторам  и  удовлетворяющий системе уравнений

 

Поскольку векторы  и  неколлинеарны, то они образуют базис на плоскости. Любой компланарный им вектор можно представить в виде


Поэтому исходную систему можно переписать в виде

 

Решение этой системы

 

Таким образом искомый вектор

 

Геометрический смысл скалярного произведения

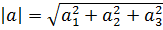
Длина вектора связана со скалярным произведением формулой. Если вектор задан своими координатами  в ортонормированной системе координат, то .

Таким образом

 

Во многих случаях необходимо получить единичный вектор x, имеющий то же направление, что и заданный ненулевой вектор a. Эта задача называется нормализацией вектора. Поскольку искомый вектор имеет то же направление, то

скалярный произведение вектор геометрический

 

 

 

Откуда

Смотри также Нормализация вектора

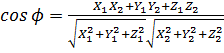
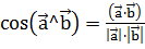
Угол между ненулевыми векторами связан со скалярным произведением формулой

 

Если векторы заданы своими координатами  и  в ортонормированной системе координат,

 

Практическая часть

Задача 1. В равностороннем треугольнике  длины сторон равны 1. Вычислить


Решение:

 

 

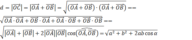
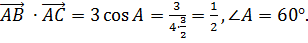
Задача 2. Дан параллелограмм . Длины его сторон , угол . Вычислить длину  диагонали  параллелограмма и найти косинусы углов между диагональю и сторонами параллелограмма.

Очевидно . Поэтому длина диагонали

 

Углы между диагональю и сторонами

=

 

 

 

Задача 3. Вычислить скалярное произведение векторов  и , если  = 2,  = 3, а угол между ними равен: a) 45; б) 90; в) 135.

Решение: Скалярное произведение двух векторов вычисляется по формуле

а)   = 2

б)   = 2

в)   =2.

Ответ. а) 3; б) 0; в) -3.

Задача 4. Докажите, что ненулевые векторы {x;у} и {-у;x} перпендикулярны.

Решение: Вычислим скалярное произведение данных векторов:

  = x(-у) + у x = 0. Так как,   0 и   , то .

Задача 5. Докажите, что векторы  +  и  -  перпендикулярны, если  и  - координатные векторы.

Решение: Пусть =  +,  =  -. Вычислим скалярное произведение векторов  и :

  = (  + )(  -  ) =  -  +   - .

Так как  =   = 1,   =   = 0, то   = 0. Векторы  и  ненулевые, поэтому   .

Задача 6.     При каком значении x векторы a и b перпендикулярны, если: а)  {4; 5},  {x; -6}; б)  {x;-1},  {3;2}; в)  {0;-3},  {5;x}?

Решение: Векторы  и  - ненулевые, поэтому они перпендикулярны тогда и только тогда, когда  •  = 0.

a)         = 4х - 5 • 6 = 0. Отсюда следует, что х = 7,5, т. е. при x = 7,5 данные векторы перпендикулярны;

б)   = x

в)   = 0 • 5 + (-3) • х = 0, х = 0.

Ответ. а) 7,5; б) в) 0.

Задача 7. Найдите косинусы углов треугольника с вершинами A (2;8), B (-1;5), C (3;1).

Решение: В треугольнике ABC A = , B = , C = . Для нахождения косинусов углов треугольника ABC воспользуемся скалярным произведением соответствующих векторов.

;

;

. (1)

Так как A (2;8), В (-1;5), С (3;1), то  {-3;-3},  {1;-7},  {4;-4},  {3;3},  {-1;7},  {-4;4}. Поэтому

;

 

;

 

 

 

 

 

Ответ.

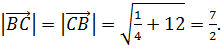
Задача 8. Найдите углы треугольника с вершинами A(-1; ), В(1;- ); C(;).

Решение: Воспользуемся формулами (1) задачи 6. Сначала найдем координаты векторов , ,  и их длины:

{2; -2}, {; 0}, {; 2},

Поэтому

= || =  = 4,

 

 

 

 

 

Угол C находим по теореме о сумме углов треугольника: C = 180° - A - B  180° - 60° - .

Ответ. A = 60°, B21°47’, C98°13'.

Задача 9. Вычислите  и , если  = 5,  = 8,  = 60

Решение: Воспользуемся утверждением: скалярный квадрат вектора равен квадрату его длины (п. 102).

 

 

 

 

 

 

Ответ.

Задача 10. Известно, что,  = = 60°,  = 1,  =  = 2. Вычис-

Вычислите .

Решение:

 

 

Поэтому

Ответ:

Задача 11. Вычислите скалярное произведение векторов

и, если .

Решение: Воспользуемся распределительным законом скалярного умножения векторов:

 

 

По условиям задачи

 

Поэтому

 

Ответ:

Задача 12. Вычислите скалярное произведение векторов  и , если  и , где  и  - единичные взаимно перпендикулярные векторы.

Решение: Задача решается так же, как и задача 10.

 

Так как

Поэтому

 

Ответ:

Задача 13. Доказать, что вектор  перпендикулярен к вектору .

Рушение: Так вот,была оказана если , то есть

 

 

 Тождество. Ч.Т.Д.

Задача 14. Доказать, что вектор  перпендикулярен к вектору .

Решение: Точно также как и в предыдущей задаче , Ч.Т.Д.

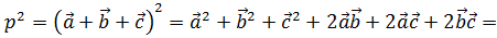
Задача 15. Векторы  попарно образуют друг с другом углы, каждый из которых равен 60. Зная, что  определить модуль вектора

Решение:

 

 

Ответ:

Задача 16. Даны три силы  приложенные к одной точке. Вычислить, какую работу производит равнодействующая этих сил, когда её точка приложения, двигаясь прямолинейно, перемещается из положения  в положение

Решение:

 

Задача 17. Вычислить, какую работу производит сила  когда её точка приложения, двигается прямолинейно, перемещается из положения  в положение .

Решение:

Задача 18. Даны вершины треугольника . Определить его внешний угол при вершине .

Решение:

 

 

 

 .

Ответ: .

Задача 19. Найти проекцию вектора  на ось, составляющую с координатными осями равные острые углы.

 ,

единичный вектор.

Вывод

В моей курсовой работе было показано широкое использование скалярного произведения и его свойств, при решении задач прикладного характера. Скалярное произведение используется не только в разделах линейная алгебра и аналитическая геометрия, но и во многих разделах физики.

Список используемой литературы

ü  Сборник задач по аналитической геометрии Д.В. Клетеник.

ü  Геометрия. 9 класс. Атанасян Л. С, Бутузов В. Ф., Кадомцев С.Б., Юдина И. И.

ü  <http://ru.wikiversity.org/wiki/Скалярное_произведение_векторов/Задачи>


Не нашли материал для своей работы?
Поможем написать уникальную работу
Без плагиата!
Без нейросетей!