Действия над векторами
Содержание
Введение
Раздел 1. Теоретическая часть
1.1 Понятие вектора
1.2 Определение векторов
1.3 Действия над векторами
1.3.1 Сложение векторов
1.3.2 Скалярное произведение векторов
1.4 Использование векторов
Раздел 2. Практическая часть
2.1 Решение геометрических задач
2.2 Решение уравнений
2.3 Решение систем уравнений
2.4 Доказательство неравенств
Вывод
Список использованной литературы
Введение
Изучение свойств векторов, а также действия над ними занимает
одно из значительных мест в изучении школьного курса математики, потому что
является базой для дальнейшего усвоения разделов начертательной геометрии в
ВУЗах. Знания о векторах помогут вам выполнить некоторые задачи с внешнего
независимого тестирования.
Задания по данной теме будут способствовать развитию
математических способностей, а также позволят решать большой круг интересных
задач, разными методами.
Целью моей работы было составить учебник - практикум по
данной теме. Он будет содержать правила и теоретические сведенья по теме, а так
же примеры решения задач с полным объяснениям к ним.
Перед авторами были поставлены следующие задачи:
. Подобрать литературу по выбранной теме.
2. Изучить материал.
. Подобрать и систематизировать материал.
. Представить теоретическую и практическую часть.
Практическое значение моей работы заключается в том, что
данная работа может быть использована на уроках математики, как учебное пособие
по исследуемой теме.
При написании научно-исследовательской работы были
использованы такие методы как анализ, систематизация, классификация, обобщение.
Работа состоит из двух разделов: раздел 1 - теоретическая
часть, в которой рассматриваются понятие вектор, определение векторов и
действия над ними; раздел 2 - практическая часть, в которой предложены задачи с
полным объяснением решения.
Раздел 1.
Теоретическая часть
1.1 Понятие
вектора
Вектор - относительно новое математическое понятие. Сам
термин "вектор" появился в 1845 г. у ирландского математика Уильяма
Гамильтона в работах по построению числовых систем. Гамильтону принадлежат такие
термины как "скаляр", "скалярное произведение",
"векторное произведение". В том же направлении проводили исследования
английский математик Уильям Клиффорд и немецкий математик Герман Грассман.
Клиффорд сумел объединить два подхода в рамках общей теории, включающей в себя
и обычное векторное исчисление. Окончательный вид оно приняло в трудах
американского физика и математика Джозайи Уилларда Гиббса, который в 1901 г.
опубликовал обширный учебник по векторному анализу.
Вектор - это направленный отрезок, который имеет начало и
конец. Понятие вектора возникает там, где приходиться иметь дело с объектами,
которые характеризуются величиной и направлением.
К множеству векторов необходимо добавить еще один объект,
который мы будем называть нулевым вектором. Его можно рассматривать как
отрезок, у которого начало и конец совпадают. Длина такого вектора равна нулю,
направления он не имеет. Все нулевые векторы равны друг другу. Так как нулевой
вектор лежит на любой прямой, то, по определению, он считается коллинеарным
любому вектору и перпендикулярным любому вектору.
В математической литературе векторы обозначаются обычно одним из
следующих способов: 
. В двух последних случаях
- обозначение точки, являющейся началом вектора,
- концом вектора. Если же вектор нулевой,
его принято обозначать нулем (0).
Так векторы выглядят на чертежах:
1.2
Определение векторов
Существует несколько видов определения векторов:
. Два вектора называют равными, если их соответствующие
координаты равны, или же они имеют одинаковую длину и направление (рис.3).
Понятие равенства векторов позволяет отвлечься от расположения отрезка на
плоскости или в пространстве и выделить длину и направление " в чистом
виде".
2. Два вектора одинаковой длины, но противоположного направления,
называются противоположными (рис.4). Вектор, противоположный вектору 
, обозначается через вектор 
.
. Векторы называют коллинеарными если они лежат на параллельных
прямых или на одной прямой (рис.5). Нулевой вектор считается коллинеарным любому
вектору.
. Три вектора считаются компланарными, если соответствующие им
направленные отрезки расположены в одной плоскости или же в параллельных
плоскостях (рис.6). Векторы 
компланарны только при условии что точки 
лежат в одной плоскости.
. Длиной или модулем вектора называется длина соответствующего
направленного отрезка, или расстояние между началом и концом вектора.
Обозначается как 
или 
.
1.3 Действия
над векторами
1.3.1
Сложение векторов
Суммой векторов 
и 
называется вектор 
.
Теорема: Каковы бы ни были точки А, В, С, имеет место векторное
равенство 
.
Доказательство: Пусть 
, 
, 
данные точки. Вектор АВ имеет координаты 
, вектор ВС имеет координаты 
. Следовательно вектор АВ+ВС имеет координаты
. А это и есть координаты вектора АС. Значит, векторы АВ+ВС и АС
равны. Теорема доказана.
Свойства суммы векторов
1. Переместительное свойство: 
для любых векторов 
2. Сочетательное свойство: 
для любых векторов 
.
3. Свойство нулевого вектора: 
для любого вектора 
4. Существование и единственность противоположного вектора:
для любого вектора 
существует, и притом только единственный, вектор 
, такой, что 
. Вычитание векторов - это операция обратная операции сложения.
Вычесть из вектора 
вектор 
- значит найти такой вектор 
, который в сумме с вектором 
, даст вектор 
.

1.3.2
Скалярное произведение векторов
Скалярным произведение векторов 
и 
называется число 
.
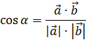
Теорема: Скалярное произведение векторов равно произведению
их абсолютных величин на косинус угла между ними.

,
где 
- угол между векторами.
Определение. Угол между двумя ненулевыми векторами - это величина
образуемого ими угла, когда они отложены от одной точки. Угол между векторами
не зависит от выбора той точки, от которой он откладываются:
Свойства скалярного произведения
. 
, для любых векторов 
;
. 
для любых векторов 
и любого числа х;
. 
для любых векторов 
;
. 
когда 
или хотя бы один из векторов нулевой;
. 
.4
Использование векторов
Величины, которыми характеризуется окружающий мир, можно
разделить на два вида. К первому виду относим такие величины, как масса,
энергия, длина, площадь и др. Ко второму - сила, скорость, ускорение и т.д.
Величины первого вида определяются своими числовыми значениями в определенных
единицах измерения. Их называют скалярными, или скалярами.
Чтобы определить величину второго вида, надо задать не только
ее числовое значения (опять-таки в определенных единицах измерения), но и
направление. Такие величины называют векторными, или векторами.
Условно говоря, векторная величина состоит из двух частей:
первая, которую можно измерить, - скалярная часть, и вторая - направление.
Таким образом, чтобы задать векторную величину, надо задать одновременно и
скалярное значения (или числовое значения при выбранной единицы измерения) и
направление.
Вектора используются и в других науках помимо математики. В
картографии, например, векторами обозначают направление течения, движение
армии. Большинство физических величин являются скалярами и векторами. В физике
это сила, ускорение, скорость, скалярные и векторные поля, в основном мы
работаем со связанными векторами, которые приложены к одной точке. Существуют
скалярные и векторные поля, которые используются в гидромеханике и
электродинамике. Векторная алгебра используется даже для создания компьютерных
игр, так как в игре применяется позиционирование экранных кнопок, работа с
камерой и её направлением, скоростями объектов, а для этого нужны векторами. В
играх вектора используются для хранения местоположений, направлений и
скоростей.
Раздел 2.
Практическая часть
2.1 Решение
геометрических задач
Задача 1. Даны 4 точки А (2; 7; - 3), В (1; 0;
), С (-3; - 4;
), D (-2; 3; - 1). Укажите среди векторов АВ, ВС, DС, АD, АС
и ВD равные векторы
Решение. Надо найти координаты указанных векторов и
сравнить соответствующие координаты. Таким образом, векторы АВ и DС равны.
Другой парой равных векторов будут ВС и АD.
Задача 2: Даны 4 точки А (0; 1; - 1), В (1; - 1;
). Найдите косинус угла между векторами АВ и СD.
Решение Координатами
вектора АВ будут 1-0=1, - 1-1=-2, 2- (-1) =3 
.
Координатами вектора СD будут 2-3=-1, - 1-3=-4, 1-0=1 
.
Значит 
.
Задача 3. Дан
вектор 
. Найдите коллинеарный ему вектор с началом в точке А (1; 1;
) и концом В на плоскости ху
Решение Координата
z точки В равна 0. Координаты вектора АВ: 

. Из коллинеарности векторов 
и 
получаем пропорцию 
. Отсюда находим координаты х, у точки В: 
Задача 4. АВСDА1В1С1D1
- параллелепипед. Докажите, что для всякой точки О выполняется равенство
ОА+ОС1 =ОВ1 +ОD=ОА1 +ОС
Решение Запишем
первое из этих равенств ОА+ОС1 =ОВ1 +ОD. Оно равносильно
такому ОА-ОD= ОВ1-ОС1, которое в свою очередь равносильно
такому DА=С1В1. А последнее равенство в параллелепипеде
выполняется. Аналогично доказывается и второе равенство.
Задача 5. Векторы

- единичные
. Вычислить: 

Решение.1.

, где 



. Так как векторы единичные, то
, а
т.е. нам нужно найти 

=
, где 

=
.
Задача 6.
Для вектора
найдите перпендикулярный, равный ему по
длине.
Решение: Рассмотрим
векторы
и
. Очевидно, что
(формула 2.4). Легко убедиться, что
^
.
Действительно,
Þ
^
. Аналогично показывается, что
^
.
Таким образом,
и
- искомые векторы.
Задача 7. Даны
координаты вершин треугольника АВС: А (1, 0), В (4, - 3), С (12,5). Точки М и N
лежат на сторонах АВ и ВС соответственно и делят их в одинаковом отношении 1:
2. Найдите координаты середины отрезка MN.
Решение: Из
чертежа (рис.7) и условия задачи следует, что
и
. Найдем координаты точек М и N по
формулам:
Теперь, зная координаты концов отрезка MN, найдем координаты его
середины:
Ответ:
.
2.2 Решение
уравнений
Задача 1. Решите
уравнение
+
= 5
Решение.
Пусть
= (х - 1;
),
= (5 - х;
)
+
= (4;
)
│
+
│= 5. Исходя из
+
≥ │
+
│ имеем
↑↑
:
=
> 0
х =
.
Ответ:
Задача 2. Решить
уравнение х
+
= 2
Решение: ОДЗ:
- 1 ≤ х ≤ 3. Рассмотрим векторы
= (
;
) и
(х;
). Левая часть данного уравнения является скалярным произведением
векторов
и
, а произведение их длин - правая часть. В соответствии с
векторным неравенством
∙
≤ │
│∙ │
│ имеем х
+
≤ 2
Причем знак равенства имеет место, если коэффициенты пропорциональны,
то есть
=
, откуда х3 - 3х2 + х + 1 = 0. Замечаем, что
х = 1 корень этого уравнения. Выполнив деление, получим х 3 + 3х 2
+ х + 1: (х-1) = х2 - 2х-1, то есть х3 + 3х2 +
х + 1 = (х-1) (х2 - 2х - 1). Решая уравнение х2 - 2х - 1
= 0, находим его корни х=1±
. Но х=1+
входит в ОДЗ уравнения х
+
≤ 2
. Непосредственной проверкой убеждаемся,
что х=1, и х=1+
удовлетворяют данному уравнению.
Ответ: 1; 1+
2.3 Решение
систем уравнений
Задача 1. Решить систему уравнений
х
+ у
= 2
х2 + у2 = 4
Решение. ОДЗ:
у ≥ 1 и х ≥ 1. Введем векторы
= (х, у),
= (
;
).
Левая часть первого уравнения системы является скалярным
произведением векторов
и
. Определим длины этих векторов и их произведения.
│
│=
, │
│=
; │
│∙│
│=
∙
.
В соответствии с неравенством
∙
≤ │
│∙ │
│ и с учетом второго уравнения
системы имеем: х
+ у
≤ 2
. Знак равенства имеет место, если
=
х2 + у2 = 4
Ответ: (2;
)
Задача 2. Решить
систему уравнений
х2 + 25у2 + 9z2 = 1
х - 5у + z =
Решение: Представим
первое уравнение системы в следующем виде, а второе - оставим без изменений
(2х) 2 + (5у) 2 + (3z) 2 = 1
х - 5у + z =
Теперь самый важный вопрос - какие координаты должны быть у наших
вводимых векторов. Итак, рассмотрим вектор
= (2х, 5у, 3z). Но возникают сложности с координатами вектора
. Из чего же надо исходить - мы должны так
перемножить соответственные координаты векторов
и
, чтобы их скалярное произведение
равнялось левой части второго уравнения системы. Тогда
= (
, - 1,
). Произведение длин векторов
∙
= 1 ∙
=
. Таким образом
∙
= │
│∙ │
│, значит векторы коллинеарны, а их координаты
пропорциональны, т.е.
=
=
, т.е.4х = - 5у = 9z, откуда у = -
, z=
.
Эти значения подставляем во второе уравнение системы
Ответ: (
; -
;
)
Задача 3. Решить
систему уравнений
х - 2у + 32 = 15
х2 + у2 + z2 = 16
Решение: Пусть
= (х, у, z),
= (1,-2,3). Тогда
∙
= х - 2у + 3z = 15 (согласно условия); │
│=
=
= 4 (по условию).
=
=
; │
│∙ │
│= 4 ∙
∙
>│
│∙ │
│, что невозможно.
Ответ: система
не имеет решений.
Задача 5. Решите
систему уравнения
х2 + 9 у4 + 4 z6 = 1
х + у2 + z3 = 
│
│= 1, │
│ =
∙
>│
│∙ │
│, что невозможно.
Ответ: система
несовместна.
Задача 4. Решите
систему уравнений
+
= 10
х + 4у = 26
Решение. "Поработаем" с левой частью первого уравнения системы:
+
= 10. Пусть
= (х-2; у+1),
= (10-х; 5-у)
│
│=
, │
│=
.
Находим координаты суммы векторов
и
и ее длину
+
= (8;
), │
+
│ = 10. В соответствии с векторным неравенством
+
≥ │
+
│, равенство достигается, когда
↑↑
. Значит
=
3х - 4у = 10. Теперь с учетом второго уравнения системы имеем:
3х - 4у = 10
х + 4у = 26.
Отсюда х = 6, у = 2, подставляя эти значения в
=
: 1 = 1 > 0.
Ответ: (6;
)
2.4
Доказательство неравенств
Задача 1. Для любых действительных чисел докажите
неравенство:
≤
Доказательство: Пусть
= (х, у,z),
= (
;
;
)
·
=
. │
│=
, │
│=
│
│·│
│=
.
На основании неравенства
∙
≤│
│∙ │
│ имеем
≤
. Что и требовалось доказать.
Задача 2. Докажите
неравенство: а ∙ 2х + b ∙ 3у + 1 ≤
∙
Доказательство: Пусть
= (а, b,1),
= (2х, 3у, 1)
·
= а ∙ 2х + b ∙ 3у
+ 1
│
│ =
, │
│ =
│
│∙ │
│ =
∙
В силу векторного неравенства
∙
≤│
│∙ │
│ данное неравенство доказано.
Задача 3. Для
любых действительных чисел а, в и с доказать неравенство.
а4 + b4 + с4 ≥ а2
b2 + b2 с2 + с2 а2
Доказательство.
1) Область определения дано в условии (а
R, b
R, с
R).
) Введем векторы
= (а2, b2, с2) и
= (b2, с2, а2).
) Находим их скалярное произведение в координатной форме и их
длины
∙
= а2 b2 + b2
с2 + с2 а2;
│
│ =
, │
│=
Вывод: на
основании векторного неравенства
∙
≤│
│∙ │
│ имеем:
∙
= а4 + b4 + с4
≥ а2 b2 + b2 с2 + с2
а2.Ч. т.д.
Задача 4. Докажите
неравенство:
+
+
≤ 15 для всех чисел а,b и с, которые удовлетворяют условию
а + b + с =1 и для которых левая часть неравенства имеет смысл.
Доказательство.
Пусть
= (
;
;
),
= (1; 1;
)
∙
=
+
+
; │
│=
=
=
│
│ =
. Согласно неравенству
∙
≤│
│∙│
, имеем
+
+
≤15, так как
< 15.Ч. т.д.
вектор сумма скалярное произведение
Вывод
Примененный нами векторный метод показывает, что довольно
большое число примеров на решение уравнений, систем уравнений, доказательство
неравенств, особенно задач на нахождение наибольших и наименьших значений
существенно упрощается по сравнению с решениями, выполненными традиционным
путем, а в некоторых случаях, особенно, когда много переменных, только такой
подход и приводит к успеху.
Итогом нашего увлечения стало, то, что мы намного лучше стали
понимать роль векторов в математике, взаимосвязь курса алгебры и геометрии.
Согласитесь, что три векторных неравенства являются тем звеном, используя
которые мы показали эффективность применения векторов в отдельных разделах
курса алгебры. Кроме того, векторы позволяют "сжать" информацию,
сделать ее наглядной и оперативной, и тем самым способствуют поиску путей
решения математических заданий, что очень важно. И заметим, что приведенные
выше решения задач не обладают для многих из нас признаком привычности, хотя
они соответствуют школьной программе.
Необходимо отметить и то, что порой аналогичные задания
являются частью более сложных задач. Например, при решении уравнений методом
оценки: в которых максимум левой части совпадает с минимумом правой части;
причем решение обычным путем не предоставляется возможным.
Надеемся, что метод решения заданий, обобщенный нами, может
оказать вам активную помощь при подготовке к итоговым и приемным испытаниям.
Также будет способствовать развитию и обогащению вашей математической культуры,
а значит общечеловеческой культуры.
Список
использованной литературы
1. Александров
А.Д., Вернер А.Л., Рыжик В.И. Геометрия для 10-11 классов: Учебное пособие для
учащихся школ и классов с углубленным изучением математики - 3-е изд., перераб.
- М.: Просвещение, 1992. - 464с.
2. Атанасян
Л.С., Бутузов В.Ф. и др. Геометрия: Учебное пособие для 10-11 кл. средних школ
- М.: Просвещение, 1992. - 207 с.
. Атанасян
Л.С. Геометрия.7-9 классы: учеб. для общеобразовательных учреждений / [Л.С.
Атанасян, В.Ф. Бутузов, С.Б. Кадомцев и др.]. - 20-е изд. - М.: Издательство
"Просвещение", 2010. - 384 с.: ил.
. Атанасян
Л.С. Геометрия.10-11 классы: учебник для общеобразовательных учреждений:
базовый и профильный уровни / [Л.С. Атанасян, В.Ф. Бутузов, С.Б. Кадомцев и
др.]. - 18-е изд. - М.: Издательство "Просвещение", 2009. - 255 с.:
ил.
. Атанасян
Л.С. Бутузов В.Ф., Глазков Ю.А. Изучение геометрии в 7-9 классах. Пособие для
учителей. - 7-е изд. - М., Издательство "Просвещение", 2009,. - 255
с.
. Атанасян
Л.С. Геометрия, ч.I. Учеб. пособие для студентов физ. - мат. фак-тов пед.
ин-тов. - М.: Издательство "Просвещение", 1973 - 480 с.: ил
. Бурмистрова.
Т.А. Геометрия.7-9 класс. Программы общеобразовательных учреждений. - М.:
Издательство "Просвещение", 2010. - 126 с.
. Бурмистрова
Т.А. Геометрия.10-11 класс. Программы общеобразовательных учреждений. - М.:
Издательство "Просвещение", 2009. - 96 с.
. Погорелов
А.В. Геометрия: Учеб. для 7-11кл. сред. шк. - 3-е изд. - М: Просвещение, 1992ю
- 383с.