Организация производства на вагоноремонтном предприятии
Оглавление
Введение
1. Назначение
ВРЗ
2.
Производственная структура предприятия
3.
Структура управления
4.
Генеральный план предприятия
5.
Параметры поточной линии
6. Технологический
процесс ремонта тележки 18-100
7. Организация
рабочего места
8. Требования
охраны труда
СПИСОК
ИСПОЛЬЗУЕМОЙ ЛИТЕРАТУРЫ
Введение
Вагонное хозяйство является одной из ведущих
отраслей железнодорожного транспорта. Вагонное хозяйство непрерывно
развивается. Особое внимание уделяется оптимизации межремонтных периодов и
сроков службы вагонов, повышению качества ремонтных работ, внедрению новых и
совершенствование существующих форм организации производства, созданию
поточно-конвейерных линий по ремонту вагонов и их отдельных частей. На
вагоноремонтных предприятиях совершенствуется система планирования и
материального стимулирования с широким внедрением научной организации труда,
специализации и прогрессивной технологии ремонта на основе широкого
использования передовых достижений науки и практики.
Наряду с решением задач максимального
использования существующих производственных мощностей ведется строительство
новых и реконструкция действующих линейных предприятий вагонного хозяйства.
Большое внимание уделяется развитию технической
базы для текущего ремонта вагонов. Создаются крупные механизированные пункты
подготовки вагонов к перевозкам, совершенствуется работа пунктов технического
обслуживания, расположенных на сортировочных и участковых станциях. Широко
внедряется средства механизации.
От четкой, слаженной работы подразделений вагонного
хозяйства во многом зависит бесперебойность и безопасность движения поездов,
своевременное обеспечение перевозок технических исправным подвижным составом,
эффективность использования транспортных средств.
Таким образом, вагонное хозяйство железных дорог,
развивая современную техническую базу для обслуживания и ремонта вагонов,
приобретает прочную индустриальную основу для обеспечения высокого уровня
работоспособности вагонного парка в современных и перспективных условиях его
эксплуатации.
Задачами вагонного хозяйства является
поддержание грузовых пассажирских вагонов, а также контейнеров в исправном
состоянии для обеспечения перевозок грузов и пассажиров при соблюдении
безопасности движения поездов, выполнение установленного плана ремонта вагонов,
рациональное использование имеющихся технических средств, достижение наибольшей
эффективности работы предприятий. Для осуществления этого в введении вагонного
хозяйства имеются необходимые устройства, с помощью которых производится
периодический и текущий ремонт вагонов, подготовка их к перевозкам и
обеспечивается содержание в исправном состоянии при эксплуатации подвижного
состава.
1. Назначение ВРЗ
Вагоноремонтный завод предназначен для
обеспечения и технического обслуживания изделий, используемых в транспортно-железнодорожном
производстве. Вагоноремонтное предприятие - это производственно-хозяйственная
организация, состоящая из цеха (основной и вспомогательный), хозяйства
(энергетическое, транспортное), службы (складская, парковочная). Завод является
частью структуры вагоноремонтной базы, основанной в отрасли железнодорожного
машиностроения, и имеет две подотрасли: локомотивную и вагоноремонтную.
Основным направлением при организации производства на заводе является ремонт и
выпуск новых, различных типов вагонов (грузовых и пассажирских), комплектаций
узлов, деталей и изготовление колесных пар.
Ремонт предназначен для регламентированного
восстановления работоспособности подвижного состава и устранения отказов и
неисправностей, возникших в процессе эксплуатации или выявленных при
техническом обслуживании. Ремонтные работы выполняют после возникновения отказа
или неисправности, а также по истечении определенного времени работы вагонов
(предупредительный ремонт).
В соответствии с назначением и характером выполняемых
работ различают следующие виды ремонта грузовых вагонов:
капитальный - для восстановления ресурса
подвижного состава, производимый на специализированных вагоноремонтных заводах;
деповской - для восстановления работоспособности
вагонов с заменой или ремонтом отдельных узлов и деталей, выполняемый на
специализированных предприятиях вагонного хозяйства дорог;
текущий (ТР-1) порожних вагонов, осуществляемых
при комплексной подготовке их к перевозкам с отцепкой от состава и подачей на
специализированные пути;
текущий (ТР-2) с отцепкой вагонов от транзитных
и прибывших поездов или от сформированных составов.
При ремонте подвижного состава всех
разновидностей и типов выполняется большое количество различных и основных и
вспомогательных работ: подъемно-транспортных, разборочно-сборочных, сварочных,
окрасочно-сушильных, по очистке и обмывке, изготовлению и обработке изделий в
ремонтно-комплектовочном участке.
Объемы таких работ очень значительны, поэтому
механизация и автоматизация их имеет первостепенное значение.
В основе организации ремонта деталей, узлов и
вагонов лежит соблюдение основных аспектов:
Использование конвейерно-потоковых методов.
Автоматизированное и сетевое управление.
Автоматизация и механизация всех работ, а также
строгий контроль над всеми операциями технологического процесса.
Любое изделие, выпускаемое вновь или подлежащее
ремонту на заводе, проходит полный технологический производственный цикл,
включающий в себя приемку, осмотр, изучение сопроводительной документации,
разборку, замену деталей, сборку, лакокрасочные работы. Важным условием для
эффективной работы завода является регулярный выпуск вагонов и других
сопутствующих деталей. Рациональное использование производственных мощностей
обеспечивает высокое качество изделий, при минимально затрачиваемых ресурсах.
. Производственная структура предприятия
Производственная структура предприятия - это
состав и соотношение его внутренних звеньев: участков, отделов, лабораторий и
других компонентов, составляющих единый хозяйственный объект; определяется
размером предприятия, отраслью производства, уровнем технологии и специализации
предприятия. Какой-либо устойчивой стандартной структуры не существует. Она
постоянно корректируется под воздействием производственно-экономической
конъюнктуры, НТП, социально-экономических процессов.
Однако при всем многообразии структур
производственные предприятия имеют идентичные функции, главные из которых -
изготовление и сбыт продукции. В целях обеспечения нормального функционирования
структура производственного предприятия должна включать:
органы управления предприятием;
функциональные отделы, лаборатории, другие
непроизводственные службы;
цехи основного производства;
вспомогательные и обслуживающие цехи, склады;
прочие организации (подсобные,
социально-бытовые).
Под производственной структурой завода понимают
состав производственных цехов, вспомогательных и обслуживающих подразделений с
указанием связей между ними.
Производственный цех - это производственное
административно-хозяйственное обособленное подразделение завода, включающее в
себя производственные участки, вспомогательные подразделения, служебные и
бытовые помещения, а также помещения общественных организаций. При этом состав
производственных участков и вспомогательных подразделений определяется
конструкцией изготовляемых изделий, технологическим процессом, программой
выпуска и организацией производства.
Производственным участком называют объединенную
по тем или иным признакам группу рабочих мест, выделенную в самостоятельную
административную единицу и возглавляемую мастером. В состав производственного
участка может входить несколько отделений.
Профиль, масштабы и отраслевая принадлежность
предприятия определяются составом, технологической специализацией и размерами
его производственных цехов, участков, мастерских. Каждая стадия, через которую
проходит предмет труда в процессе его обработки, представляет собой
совокупность работ, характеризующихся технологической однородностью и создающих
основу расчленения процессов производства на частичные процессы, выполняемые
работниками различных профессий и квалификации.
Расстановка рабочих по рабочим местам
сопровождается обычно образованием бригад, групп и служб. Бригады создаются для
выполнения заданий, требующих совместной деятельности нескольких человек. В
зависимости от характера, сложности и особенностей производственного процесса,
трудоемкости работ определяется численный и профессионально-квалификационный
состав бригады и ее организационная форма: специализированная или комплексная.
Бригады, рабочие группы, звенья формируются в
участки и сектора, а те в свою очередь - в цеха, отделы, лаборатории. Цеха,
отделы, лаборатории формируют структуру предприятия. В зависимости от
особенностей производственного процесса и характера выполняемой работы
создается рабочее место, определяемое на основе технических и эргономических
нормативов.
Производственные участки (цехи, мастерские)
подразделяются на две группы:
. Участки основного производства, где
непосредственно изготавливается продукция, предназначенная для реализации. Они
формируются в соответствии с профилем предприятия и в зависимости от конкретных
видов продукции, масштабов и технологии производства.
К главным задачам основных участков относятся:
своевременный выпуск продукции, снижение издержек производства, повышение качества
продукции, возможность своевременной перестройки производства в соответствии с
меняющимися потребностями рынка. Эти задачи решаются на основе рациональной
специализации и размещения участков, их кооперирования и обеспечения
пропорциональности производственного процесса от первой до последней операции.
Существуют следующие формы специализации цехов:
предметная специализация (сосредоточение в
отдельных цехах основной части или всего производственного процесса по
изготовлению конкретных видов и типоразмеров готовой продукции);
подетальная (поагрегатная) специализация
(закрепление за каждым участком изготовления отдельных деталей или агрегатов
машин);
технологическая (стадийная) специализация
(пооперационное разделение труда между участками);
территориальная специализация (каждый участок
может выполнять одинаковые функции на удаленных друг от друга территориях).
. Вспомогательные и обслуживающие цеха,
результат деятельности которых потребляется внутри самого предприятия.
Основной задачей вспомогательных участков
является обеспечение нормальной, бесперебойной работы участков основного
производства. К вспомогательным относятся производственные участки по:
изготовлению, ремонту и настройке
приспособлений, приборов, инвентаря;
надзору за работоспособностью и ремонту
оборудования, машин, механизмов, зданий, сооружений;
обеспечению электрической и тепловой энергией,
надзором и ремонтом электрооборудования и тепловых сетей;
внутрипроизводственной и внешней транспортировке
сырья, материалов, заготовок, готовой продукции;
склады предприятия.
Рис 2.1 План главного производственного корпуса
вагоноремонтного завода
- пути колесного парка
- ремонтные пути
- вагоносборочный участок
- тележечный участок
- колесный участок
- участок роликовых подшипников
- участок ремонта крышек люков и других
агрегатов
- кузнечное отделение
- сварочное отделение
- контрольный пункт автосцепки
- механическое отделение
-14 - центральная инструментальная кладовая
- деревообделочное отделение
Для завода, специализированного на ремонте
цистерн для бензина и светлых нефтепродуктов, производственная структура может
быть следующей:
а) Основные производственные участки:
вагоносборочный цех с ремонтно-сборочным
отделением и отделением по окраске вагонов;
Вагоносборочный цех служит для производства
разборочных, ремонтно-сборочных и малярных работ на вагоне.
Ремонтно-сборочное отделение предназначено для
производства разборочных и ремонтно-сборочных работ на раме и котле цистерны.
Разборочные операции при поточной форме организации производства выполняются,
как правило, на позициях перед зданием депо. Ремонтные позиции отделения
оснащены подъемными площадками для слесарных и сварочных работ на котле,
оборудованными гидравлическими комплектами электроинструмента, установкой для
снятия и постановки поглощающих аппаратов с гидравлическими гайковертами.
Рабочие места оборудуют раздаточными колонками сжатого воздуха, розетками для
подключения электросварочных аппаратов и электрического инструмента.
Передвигаются вагоны с позиции на позицию с помощью конвейера. Для подъемки
вагонов используются стационарные электрические домкраты грузоподъемностью 30
тонн. Подъемка и перемещение тяжелых деталей производиться мостовым краном
грузоподъемностью 10 тонн. Малярное отделение служит для окраски вагонов с
последующей их сушкой. Для ускорения процесса окраски и облегчения труда
маляров используют механизированные способы окраски с применением установок
безвоздушного распыления и передвижения конвейерной сушки. Между
ремонтно-сборочным и малярным отделением предусматривается тамбур-шлюз шириной
не менее 6 метров с огнестойкими перегородками.
Рис 2.2 План сборочного цеха- разборка; -
электросварочные и правильные работы;
III - ремонтные работы;
IV - окраска; - сушка; - нанесение надписей; -
приемка контейнеров;
- контора;
- бытовые помещения;
3 - помещение для приготовления краски;
4 - кладовая инструмента и запасных частей;
- кладовая лесоматериалов;
- трансформаторная подстанция (размеры в метрах)
участок по ремонту тележек;
Отделение ремонта тележек служит для разборки,
ремонта и сборки тележек. Тележки ремонтируются в тележечном отделении поточным
методом, который предусматривает полную их разборку, осмотр, определение
величины износа, неисправности боковой рамы, надрессорной балки, устранение
выявленных неисправностей.
Рис 2.3 Поточная линия ремонта тележек
- позиция выкатки тележек;
- позиция разборки и сборки тележек;
- позиция мойки рамы тележки;
- позиция разборки и проверки рамы;
- позиция ремонта рамы;
- сборка рамы;
7 - окраска рамы;
- сушка рамы;
- накопитель колесных пар;
- кран-балка;
- место для сборки;
- монтажная машина;
- участок ремонта буксовых узлов и рессорного
подвешивания;
14 - накопитель готовых буксовых узлов;
- место разборки;
- накопитель тележек и рам
колесно-роликовый участок с отделениями обмывки
(очистки) колесных пар, колесотокарным, роликовых подшипников с демонтажным,
ремонтным, комплектовочным и монтажным отделениями, парком тележек и колесных
пар;
Колёсотокарное отделение предназначено для ремонта
колесных пар. Колесотокарное отделение имеет следующие участки: участок обмывки
и очистки колесных пар; колесотокарное отделение; участок дефектоскопии
колесных пар; отделение по наплавке гребней колес и резьбы М110 колесных пар.
В отделении очистки и обмывки колесных пар
выполняется очистка, обмер и определение вида ремонта колесных пар, а также
обмывка колесных пар после демонтажа буксового узла. Участок дефектоскопии
предназначен для проверки неразрушающего контроля элементов колесных пар с
целью выявления скрытых дефектов. В отделение по наплавке выполняется
восстановление резьбы М110 шейки оси и гребней колес колесных пар наплавкой.
В колесотокарном отделении производится обточка
колесных пар с целью устранения дефектов поверхности катания колес колесных пар
и после наплавки.
Рис.2.4 Планировка колесного цеха
- выходной контроль;
- площадка для окраски и сушки колёсных пар;
стенд для монтажа роликовых букс;
- поворотные устройства;
- устройство выходного контроля (дефектоскопия,
измерение и клеймение колёсных пар);
- накопители колёсных пар;
- портальные колесотокарные станки;
- станки для обтачивания и накатывания шеек и
предподступичных частей осей колёсных пар;
- устройства для поперечного перемещения колёсных
пар;
- установка для магнитной и ультразвуковой
дефектоскопии;
- стенд для измерения колёсных пар;
- моечная машина;
- стенд демонтажа роликовых букс;
- колёсный парк;
- участок ремонта и комплектования подшипников и
буксовых узлов;
ремонтно-комплектовочный участок с отделениями
автосцепки, ремонта сливных и предохранительно-выпускных приборов;
Ремонтно-комплектовочный участок (РКУ)
предназначен для ремонта деталей, комплектования и проверки узлов с целью
обеспечения ремонта вагонов по принципу замены неисправных узлов и деталей
новыми или заранее отремонтированными.
Контрольный пункт автосцепки служит для ремонта
автосцепного устройства вагонов. Ремонт автосцепки организуется на поточной
линии с созданием межоперационных запасов объектов ремонта между рабочими
местами. Для ремонта поглощающих аппаратов предусмотрены механизированные
стенды, ремонт тяговых хомутов осуществляется на поточной линии, применяются
стенды для производства сварочно-наплавочных работ, приспособления для
обработки деталей механизма сцепления, хвостовика корпуса.
Рис 2.5 План контрольного пункта автосцепки
- контейнеры для поглощающих аппаратов;
- стол для осмотра и определения объема ремонта
тяговых хомутов;
- стенд для наплавки тяговых хомутов;
- сварочный стол;
- рольганг;
- полуавтомат А-765;
- стенд-кантователь для наплавки автосцепки;
- подвесной монорельс;
- стеллаж-верстак;
- вертикально-фрезерный станок.;
- горизонтально-фрезерный станок;
- верстак;
- наждачно-шлифовальный станок с гибким валом;
- стенд для обработки шина автосцепки;
- стеллаж;
- сборочный стенд;
- кассета обоим для автосцепки;
- стенд для клеймения деталей;
- стеллаж для отремонтированных детален
автосцепки;
- контейнер для деталей автосцепки;
- кран-балка грузоподъемностью 0.5 т;
- слесарный верстак;
- шкаф для инструмента и шаблонов;
- стол для проверки деталей автосцепки;
- кассета упорных плит;
- стенд для ремонта поглощающих аппаратов;
- стенд для разборки механизма сцепления
автосцепки;
- установка для дефектоскопии хвостовика
автосцепки;
- механизированная тележка для транспортировки
автосцепок;
- рольганг для подачи комплектов поглощающих
аппаратов.
б) Вспомогательные производственные цехи и
отделения:
ремонтно-механический цех;
Ремонтно-механический цех. Его назначение -
изготовление и ремонт запасных частей для основного и вспомогательного
оборудования. Цех, как правило, имеет большой станочный парк: токарные,
фрезерные, шлифовальные, зубонарезные станки и т.д. Так же на территории цеха
располагается сварочный участок, где выполняются работы по ремонту деталей
(трещин, дефектов литья, наплавке износостойких покрытий и т.д)
Рис. 2.6 Схематический план ремонтно-механического
цеха
- кузнечный участок;
- вентиляторный и тепловой пункт;
- щитовая;
4 - токарно-винторезный станок;
- верстак;
- участок мойки;
- участок технического обслуживания и текущего
ремонта;
- фрезерный станок
- склад запасных частей и сборочных единиц с
инструментально-раздаточной кладовой;
- слесарно-механический участок.
электросварочное отделение
Электросварочное отделение служит для выполнения
сварочно-наплавочных работ при восстановлении деталей вагонов. В сварочном
отделении оборудованы специальные кабины, где установлены сварочные автоматы и
полуавтоматы.
Рис 2.7 План электросварочного отделения
- стенд для испытания шлифовальных кругов;
, 14 - шкафы управления полуавтоматами;
- сварочный полуавтомат А-П97;
- вентиляционный воздухопровод;
- вентилятор;
- реостаты;
, 13, 16 - сварочные аппараты;
- приспособление для наплавки триангелей;
, 17, 18 - выпрямители;
- распределительный щит;
- сварочный генератор;
- кран-балка;
- трансформатор;
- стол сварщика.
- участок ремонта электросилового оборудования
завода (электроцех);
Электроцех включает специализированные по видам
работ и обслуживаемому оборудованию участки. Он обеспечивает все виды работ по
эксплуатации заводского электрооборудования, межцеховых электроустановок,
электрических сетей и систем связи, автоматики, систем диспетчерского
управления, электрооборудования заводского вычислительного центра, осуществляет
оперативное управление и техническое руководство проведением профилактического
и текущего ремонтов электрооборудования, крупных производственных установок и
агрегатов.
Рис.2.8 Участок ремонта электросилового
оборудования
- участок ремонта вводов и разрядников,
- пропнточно-сушильный участок,
3 - окрасочный участок,
- сварочный участок,
- испытательный участок,
7 - участок ремонта активной части,
8 - сборочный участок,
в - изолировочно-обмоточный участок,
- кладовая,
- вентиляционная камера
малярное отделение;
Малярное отделение служит для окраски вагонов и
последующей их сушки. Для ускорения процесса окраски и облегчения труда
маляров в грузовых вагонных депо используют механизированные способы окраски с
применением установок безвоздушного распыления «Радуга-0,63», «Радуга-1,2» и
передвижных установок конвекционной сушки.
Рис 2.9 Малярное отделение
- безвоздушный распылитель «Радуга 0,63»;
- шкаф для красок и кистей;
- камера для окраски крупных деталей;
- гидрофильтры;
- вытяжные трубы.
инструментальное отделение;
Инструментальное отделение осуществляет
хранение, учет и выдачу режущего, измерительного, слесарного инструмента, производит
ремонт и частичное его изготовление.
В помещении устанавливают шкафы, стеллажи и
пирамиды для хранения приспособлений, режущего, слесарного, измерительного
инструмента и ванны с керосином для пневматического инструмента.
Рис.2.10 Центральная инструментальная кладовая
Стеллаж для абразивного инструмента
Стеллаж с поддонами для электрических и
пневматических ручных машин, средств малой механизации,
Стеллаж для мелкого режущего инструмента
Стенд для испытания редукторов, манометров и
резаков после ремонта
Верстак
Тиски В-120
Заточный станок
Тумбочка для настольно-сверлильного станка
Настольно-сверлильный станок
Гребенки для подключения пневматических ручных
машин
Токарно-винторезный станок с высотой центров не
менее 100 мм
Стенд для проверки электроинструмента СПЭИ-2
Огнетушитель химический пенный ОП-5
Умывальник
Шкаф для одежды
Стол конторский двухтумбовый
Стул специальный с регулируемой высотой сиденья
Сейф
Стеллаж с дверками для измерительного, режущего
дорогостоящего инструмента и приборов
Все эти участки и отделения предназначены для
различных по характеру и объему работ, но в то же время взаимосвязанных общим
технологическим процессом.
. Структура управления
Структура аппарата управления предприятием
построена на основе разграничения его функций по обособленным административным
подразделениям - органам управления с учетом степени специализации, уровня
технической оснащенности, типа и масштабов производства. Количество
подразделений аппарата управления и форма организационной структуры выбираются
так, чтобы была обеспечена слаженная и четкая работа всего аппарата предприятия
и систематически снижались затраты на управление производством.
Функции управления предприятием разнообразны, но
все они подчинены основной задаче - обеспечить выполнение установленного плана
по всем показателям с минимальными затратами государственных средств.
Предприятие возглавляет начальник завода -
доверенное лицо государства, отвечающее за все стороны деятельности
предприятия. Он руководит всей производственной, хозяйственной и финансовой
деятельностью предприятия на основе единоначалия, обеспечивает выполнение
предприятием государственного плана и несет полную ответственность перед
государством за производственнохозяйственную деятельность завода. Обязанности
по функциональному руководству отдельными подразделениями распределяются между
его заместителями.
Первый заместитель начальника завода - главный
инженер, который является техническим руководителем предприятия. Он отвечает
прежде всего за проведение правильной технической политики, за
совершенствование техники, технологии и организации производства.
Главный инженер непосредственно руководит
работой технических служб предприятия, лабораторий и опытно экспериментального
цеха. Как первый заместитель начальника он руководит также деятельностью
основных производственных цехов и вместе с ними несет полную ответственность за
правильное производственно техническое руководство предприятием.
На крупных вагоноремонтных предприятиях имеется
главный экономист на правах заместителя начальника завода. Он координирует всю
экономическую работу предприятия, систематически ведет анализ хозяйственной
деятельности и намечает пути ее улучшения. Административно хозяйственной
работой и снабжением руководит заместитель начальника по коммерческим и
хозяйственным вопросам. В помощь руководству предприятием создан аппарат управления
заводоуправление, объединяющее ряд отделов,
каждый из которых специализирован на выполнение определенных обязанностей. В
заводоуправление входят отделы планово экономический, главная бухгалтерия,
производственный, главного конструктора, главного технолога, технического
контроля, главного механика и главного энергетика, материально технического
снабжения и сбыта, труда и заработной платы, кадров, административно
хозяйственный и др.
Большое значение имеет четкое разделение функций
между этими отделами, исключающее дублирование в процессе управления.
. Генеральный план предприятия
Генеральный план является одним из основных
элементов проекта, который представляет комплексное технологическое и
архитектурно-строительное решение предприятия, определяющее рациональное
взаиморасположение зданий и сооружений, обуславливаемое характером и схемой
производства, а также спецификой местных условий (рельеф и конфигурация
площадки, ее ориентация по странам света, примыкание к основным транспортным
магистралям).
Перед разработкой генерального плана
предварительно должен быть уточнен перечень основных зданий и сооружений,
размещаемых на территории предприятия, площади их застройки и габаритные
размеры в плане. Также должны быть определены потребные площади для складирования
на открытых площадках ремонтного фонда, готовой продукции, металла,
лесоматериалов и других материалов, хранение которых допускается вне зданий.
Площади застройки одноэтажных зданий
предварительно принимаются по их расчетным значениям. Окончательные значения
площадей застройки принимаются с учетом корректирования, обуславливаемого
требованиями унификации конструктивных элементов зданий. Для многоэтажных
зданий предварительное значение площади застройки определяется как частное от
деления расчетной площади на число этажей данного здания. Окончательное
значение площади застройки многоэтажного здания уточняется аналогично
одноэтажным зданиям.
Рациональность размещения на генеральном плане
зданий и сооружений нельзя рассматривать в отрыве от компоновочных решений
основных производственных корпусов. Это две взаимосвязанные задачи, которые
должны прорабатываться одновременно. Существенное значение имеет также
взаиморасположение производственно-складских и вспомогательных
(административно-бытовых) зданий. Последние, как правило, должны располагаться
вблизи от главного входа на территорию со стороны преддеповской площадки, т. е.
со стороны основного подхода трудящихся.
Около вспомогательного здания следует
предусматривать площадку для стоянки автомобилей и транспортных средств,
принадлежащих работникам предприятия.
Вспомогательные помещения, как правило, следует
размещать в пристройках к производственным зданиям. Вспомогательные помещения
можно размещать в отдельно стоящих зданиях для уменьшения вредных производственных
воздействий, а также тогда, когда пристройка вспомогательных помещений
противоречит условиям аэрации производственных помещений. При размещении
вспомогательных помещений в отдельно стоящих зданиях последние должны
соединяться с производственным корпусом, отапливаемым коридором.
В соответствии с основными направлениями
технической политики в промышленном строительстве целесообразно предусматривать
максимальное блокирование зданий, что позволяет сократить затраты, связанные
как с возведением самих зданий, так и с устройством внутриплощадочных
коммуникаций. При размещении предприятия в нескольких зданиях разрывы между
ними следует принимать минимально необходимыми для устройства дорог, тротуаров,
прокладок инженерных коммуникаций, но не менее расстояний, обуславливаемых
противопожарными требованиями. При размещении зданий на генеральном плане
должны учитываться и санитарные требования, связанные с освещением помещений
через оконные проемы. В этом случае расстояния между зданиями должны быть не
менее величины наибольшей высоты До верха противостоящего здания или
сооружения.
Здания и сооружения следует располагать
относительно стран света и преобладающего направления ветров с учетом
обеспечения наиболее благоприятных условий естественного освещения, проветривания
площадки и предотвращения снежных заносов.
При разработке генерального плана следует
учитывать, чтобы:
здания и сооружения (производственные участки) с
производственными процессами, выделяющими в атмосферу газ, дым и пыль, а также
с взрывоопасными, пожароопасными процессами располагались по отношению к другим
зданиям и сооружениям с наветренной стороны;
склады легковоспламеняющихся, горючих жидкостей
и сгораемых материалов не следует располагать по отношению к производственным
зданиям с наветренной стороны;
здания, оборудованные светоаэрационными
фонарями, желательно ориентировать таким образом, чтобы оси фонарей были
перпендикулярны или находились под углом 45° к преобладающему направлению
ветров летнего периода.
При размещении зданий необходимо учитывать
рельеф местности и геологические условия на площадке.
Рациональное расположение зданий должно
обеспечивать выполнение минимального объема земляных работ при планировке
площадки. Так, здания прямоугольной конфигурации в плане, как правило, должны
размещаться таким образом, чтобы длинная сторона зданий была расположена
перпендикулярно к направлению уклона на территории площадки.
Основные параметры автомобильных дорог
(проездов) на территории предприятия должны приниматься исходя из грузооборота
проектируемого предприятия. Проезды с двусторонним движением предусматриваются
с шириной проезжей части 6 м, с односторонним движением - 4,5 м.
При размещении автомобильных дорог и пешеходных
дорожек необходимо, как правило, не допускать пересечений потоков пешеходов и
направления движения транспортных средств на территории предприятия.
При разработке схемы генерального плана должно
быть предусмотрено и благоустройство территории предприятия, включающее
устройство тротуаров, площадок отдыха трудящихся, в том числе и спортивных
площадок, устройство на преддеповской территории площадок для хранения
транспортных средств.
На территории ВРЗ генпланом должно быть
предусмотрено размещение следующих объектов:
производственный корпус;
служебно-бытовой корпус;
парк колесных пар;
автоматическая насосная станция противопожарного
водоснабжения с резервуаром для запаса воды;
очистные сооружения;
сооружения ГО.
Парк колесных пар оборудуется сдвоенной
рельсовой колеей и мостовым (козловым) краном грузоподъемностью 3,2 тс. В парке
должно размещаться не менее пятисуточной программы ремонта колесных пар.
Расчетная длина пути, приходящаяся на одну колесную пару при размещении ее на
сдвоенной рельсовой колее, составляет 0,66 м. Расчетная ширина с учетом проходов
между рядами колесных пар - 2,4 м.
Производственные здания должны быть отделены от
жилых застроек санитарно-защитной зоной размером не менее 100м.
Территория вагонного депо по периметру должна
иметь ограждение и охранное освещение.
К зданиям и сооружениям по всей их длине должен
быть обеспечен подъезд пожарных машин: с одной стороны - при ширине здания или
сооружения до 18м и с двух сторон - при ширине здания или сооружения более 24м.
Площадки для отдыха следует размещать в пределах
ветровой тени у зданий, не выделяющих токсичных производственных выбросов.
На территории ВРЗ следует предусматривать
следующие железнодорожные пути:
для размещения вагонов, ожидающих постановки в
ремонт и отправки вагонов после ремонта;
при необходимости для наружной обмывки и
предварительной очистки вагонов;
для ввода и вывода вагонов из ремонтного здания;
для склада колесных пар и тележек;
для подачи вагонов к складам запчастей, жидкого
и твердого топлива, к котельным;
для обгона подвижного состава.
Суммарная длина путей для размещения вагонов,
ожидающих постановки в ремонт, рассчитывается на размещение не менее
двухсуточной программы завода, а для размещения вагонов, ожидающих отправки
после ремонта - не менее суточной программы.
Минимальная плотность застройки в границах
территории депо должна быть не менее 40%.
При разработке генерального плана завода
необходимо предусмотреть:
возможность дальнейшего расширения зданий завода
с наименьшими затратами;
двухстороннее примыкание путей завода к
станционным путям;
рациональное архитектурное решение проекта.
Рис. 4.1. Генеральный план вагоноремонтного
предприятия
- склад лесоматериалов;
- гараж;
- шоссейная дорога;
- административный корпус;
- водоочистные сооружения;
- пути для хранения колесных пар;
- автомобильные внутренние дороги;
- котельная;
- трансформаторная подстанция;
- ремонтные пути;
- тракционные пути;
- столовая;
- пути парка станции;
- склад горюче-смазочных материалов;
- механизированный участок по разделке вагонов в
металлолом;
- кладовая запчастей;
- главный производственный корпус.
. Параметры поточной линии
Заданная годовая программа ремонта цистерн в
депо Nв = 4350, режим работы депо односменный, действительный годовой фонд
времени работы оборудования вагоносборочного участка Фдоб. = 2030 часов,
простой вагона в ремонте ti = 12 часов.
Определяем ритм выпуска вагонов из ремонта:
Ритм выпуска вагонов из ремонта показывает,
какое количество вагонов выходит из ремонта в единицу времени.
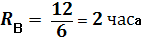
Определяем фронт работы:
Принимаем 
= 12 часов
vl
Определяем количество поточных линий:
Количество поточных линий определяется исходя из
того, что цистерны ремонтируют на шести позициях (θ
= 6), из
которых одна для разборочных работ, четыре ремонтно-сборочные и одна для
малярных работ. На каждой позиции устанавливается по одному вагону (Кв = 1).
Определяем такт выпуска вагонов из ремонта с
поточной линии:
Определяем производственную мощность вагоносборочного
участка:
Рассчитывая производственную мощность вагонного
депо, следует помнить, что трудоёмкость ремонта вагонов разного типа
неодинаковая. Поэтому мощность определяют в приведённых единицах.
Общий простой грузового вагона в деповском
ремонте нормируется МПС и составляет примерно 40 ч с момента отцепки до выпуска
из ремонта: в ожидании подачи в депо - около 11 ч, от подачи в депо до выпуска
из ремонта - 29 ч, в том числе непосредственно в ремонте 8 или 12 ч.
Проверка производственной мощности
6. Технологический процесс ремонта тележки
18-100
Технологический процесс (ТП) - это упорядоченная
последовательность взаимосвязанных действий, выполняющихся с момента
возникновения исходных данных до получения требуемого результата.
Технологический процесс - это часть
производственного процесса, содержащая целенаправленные действия по изменению и
(или) определению состояния предмета труда. К предметам труда относят заготовки
и изделия. - ГОСТ 3.1109-82
Практически любой технологический процесс можно
рассматривать как часть более сложного процесса и совокупность менее сложных (в
пределе - элементарных) технологических процессов. Элементарным технологическим
процессом или технологической операцией называется наименьшая часть
технологического процесса, обладающая всеми его свойствами. То есть это такой
ТП, дальнейшая декомпозиция которого приводит к потере признаков, характерных
для метода, положенного в основу данной технологии. Как правило, каждая
технологическая операция выполняется на одном рабочем месте не более, чем одним
сотрудником.
Число осей: 2
Масса, т: 4.8
База, мм:1850
Конструктивная скорость, км/ч: 120
Расстояние от уровня головок рельсов до опорной
поверхности подпятника, м: 0.806
Тип рессорного подвешивания: одинарное
центральное
Гибкость рессорного подвешивания, м/МН: 0.125
Статический прогиб от массы брутто, мм: 48
Рис. 6.2 Основные элементы тележки 18-100
Тележка состоит из двух колесных пар 1, четырех
букс 5, двух литых боковых рам 2, двух комплектов центрального рессорного
подвешивания 3, литой надрессорной балки 4 и тормозной рычажной передачи 6.
Тормоз тележки - колодочный с односторонним нажатием колодок. Связь рамы с
буксами - непосредственная челюстная, опора кузова на тележку через подпятник 7
надрессорной балки, а при наклоне кузова - дополнительно через скользуны 8.
Тележка допускает осевую нагрузку до 230 кН (23,5 тс) при скорости движения 120
км/ч и 235 кН (24 тс) при скорости 100 км/ч.
Программа ремонта тележек Nт = 7200, действительный
годовой фонд рабочего времени при односменной работе Фдоб. = 2030, простой
тележки в ремонте ti = 1,21 ч. Определим параметры поточной линии для ремонта
тележек грузовых вагонов в вагонном депо.
Находим ритм выпуска тележек из ремонта:
Находим фронт работы:
Находим количество поточных линий:
Количество поточных линий определяем на основе
анализа технологического процесса. Тележки ремонтируют на шести позициях (θ
= 6). На
каждой позиции устанавливается по одной тележке (Кт = 1).
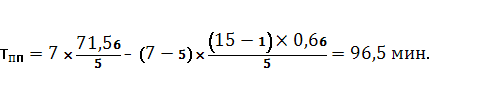
Определяем такт выпуска тележек из ремонта с
поточной линии:
или
Сгруппируем отдельные работы для выполнения на
позициях поточной линии и выберем вид организации производственного процесса во
времени.
Различают три вида организации производственного
процесса во времени: последовательный, параллельный и смешанный
(последовательно-параллельный).
Последовательный вид организации
производственного процесса во времени характеризуется тем, что каждая
последующая операция начинается только после окончания обработки всей партии на
предыдущей операции.
Расчёт длительности производственного цикла
(ПЦ).
Таблица 1 Технологический процесс ремонта
тележки 18-100
|
Номер
позиции
|
Операция
|
Продолжительность,
мин
|
|
I
|
1.
Разобрать тормозную рычажную передачу 2. Разобрать рессорно-пружинный
комплект 3. Снять шкворень и вкладыши скользунов 4. Передвинуть конвейер
|
9,53
8,05 1,5 0,66
|
|
II
|
5.
Раздвинуть боковые рамы, 6. Перекантовать надрессорную балку 7. Провести
феррозондовую дефектоскопию 8. Разделать трещину для заварки 9.
Отремонтировать трещину проверить коробки скользунов 4. Передвинуть конвейер
|
2,0
4,4 2,6 4,8 5,33 0,66
|
|
III
|
10.
Рассверлить отверстие в кронштейнах боковых рам и запрессовать втулки 4.
Передвинуть конвейер
|
17,14
0,66
|
|
IV
|
11.
Собрать тормозную рычажную передачу 12 Собрать рессорно-пружинный комплект 4.
Передвинуть конвейер
|
9,08
8,8 0,66
|
|
V
|
13.
Окрасить раму тележки 4. Передвинуть конвейер
|
16,6
0,66
|
|
VI
|
14.
Установить раму тележки на колёсные пары 15. Поставить шкворень и вкладыши
скользунов, смазать подпятник 4. Передвинуть конвейер
|
5,12
9,0 0,66
|
Партия из n = 7 деталей, проходящих m = 15 операции,
с длительностью:= 9,53 мин.,= 8,05 мин., = 1,5 мин.,=0,66 мин.,=2,0 мин.,= 4,4
мин.,= 2,6 мин.,= 4,8 мин.,= 5,33 мин.,= 17,14 мин.,= 9,08 мин.,= 8,8 мин.,=
16,6 мин.,= 5,12 мин.,=9,0 мин.,
а) Последовательный вид организации ПЦ
б) Параллельный вид организации ПЦ
в) Параллельно-последовательный вид организации
ПЦ
Согласно графику находится трудоёмкость ремонта
тележек, число рабочих поточной линии и длительность нахождения тележки в
ремонте.
Годовая производительность поточной линии
определяется по формуле:
Таким образом, полученные параметры поточной
линии для ремонта тележек модели 18-100 обеспечивает выполнение
производственной программы тележечного участка, т.к. фактическая годовая
производительность поточной линии 7997 тележек превышают заданную программу в
ремонте 7200 тележек.
7. Организация рабочего места
Рабочим местом называется часть производственной
зоны участка, оснащенная в соответствии с требованиями технологического
процесса необходимым оборудованием, приспособлениями, инструментом, средствами
связи и прочими орудиями труда и обслуживаемая одним рабочим или группой
рабочих. Форма организации рабочего места определяет эффективность труда и
отражает достоинства и недостатки организации производственного процесса, а
также уровень культуры производства на предприятии в целом.
Рабочая зона - это участок трехмерного
пространства, ограниченный зонами досягаемости рук в вертикальной и
горизонтальной плоскостях.
Рис. 7.1. Оптимальные рабочие зоны досягаемости
рук в горизонтальной (а) и вертикальной (б) плоскостях рабочего места.
При планировке рабочего места необходимо
учитывать также положение человека во время выполнения операций. Известно, что
при разных положениях корпуса человек расходует различное количество энергии.
Положение сидя (рис. 7, а) отвечает требованиям минимальной утомляемости
рабочих. Работа стоя (рис. 7, б) требует затрат энергии в 3 раза больше, чем
работа сидя. В свою очередь, работа в наклонной позе примерно в 4,5 раза утомительнее,
чем работа стоя. Поэтому при планировке рабочего места необходимо обеспечить
наиболее удобную позу и возможность изменения и чередования положений во время
работы. Станки, верстаки, оснастка и другие устройства должны иметь высоту в
пределах рабочей зоны. При работе сидя надо устанавливать регулируемые по
высоте сиденья и предусматривать места для удобного размещения ног.
Рис. 7.2.