Система водоснабжения в городе Гомеле
Введение
Система водоснабжения - это комплекс
взаимосвязанных устройств и сооружений, обеспечивающих потребителей водой в
требуемом количестве и заданного качества. Система водоснабжения включает в
себя устройства и сооружения для забора воды из источника водоснабжения, ее
транспортирования, обработки, хранения, регулирования подачи и распределения
между потребителями.
Система водоснабжения должна
удовлетворять нужды всего объекта,
для которого она устраивается. Большинство объектов водоснабжения представляет
собой комплекс различных категорий потребителей воды.
Наиболее характерными и часто
встречающимися объектами водоснабжения являются:
а) населенные пункты (города,
поселки различного типа);
б)
промышленные предприятия или группы предприятий
(промышленные комплексы), расположенные вне города;
в) сельскохозяйственные объекты
(сельскохозяйственные предприятия, поселки, пастбища и т.п.).
Все эти объекты водоснабжения
требуют воду для удовлетворения всех названных категорий водопотребления в
различных количествах и соотношениях.
Питьевая вода должна быть
прозрачной, бесцветной, прохладной, без запаха, не иметь привкуса, вызываемого
веществами органического и естественного происхождения (соли железа,
сероводород, гумусовые вещества, продукты обмена веществ микроорганизмов), и
антропогенного происхождения (свалки, сточные воды, загрязнение воздуха,
минеральные масла и другие органические субстанции, особенно в сочетании с
хлором).
Пригодную для питья и приготовления
пищи воду приходиться доставать буквально из-под земли - бурить скважины, на
десятки метров углублять колодцы, прокладывать многокилометровые каналы и
водоводы, сооружать сложнейшие и дорогостоящие системы очистки,
обеззараживания, контроля и т.п. И, несмотря на это, во многих населенных
пунктах мира потребление воды лимитируется, где периодически, где постоянно.
Водоснабжение занимает большое и почетное место
среди отраслей современной техники, направленных на повышение уровня жизни
людей, благоустройство населенных пунктов и развития промышленности.
Выполнение задач водоснабжения, а
также обеспечение высоких санитарных качеств питьевой воды требуют выбор
природных источников водоснабжения и их защиты.
1.
Природно-климатическая характеристика района расположения города Гомеля
Город Бобруйск
находится в Могилевской
области Республики Беларусь. В соответствии с [5], Могилевская
область относится ко IIВ
климатическому району. Климатические параметры холодного периода года и
поправка на ветровой недоучет, соответствующие данному району, представлены в
таблице 1.
Таблица 1 - Климатические параметры
холодного периода года
|
Метеорологическая характеристика
|
Единица измерения
|
Величина
|
|
Абсолютная минимальная температура воздуха
|
єС
|
минус 37
|
|
Температура наиболее холодных суток
обеспеченностью: -
0,92 - 0,98
|
єС
|
минус 28 минус 32
|
|
Температура наиболее холодной пятидневки
обеспеченностью: - 0,92 - 0,98
|
єС
|
минус 23 минус
26
|
|
Температура воздуха обеспеченностью 0,94
|
єС
|
-
|
|
Сумма отрицательных средних месячных
температур
|
єС
|
минус 18,6
|
|
Средняя продолжительность периодов со средней
суточной температурой воздуха не выше: - 0 єС - 8 єС - 10 єС
|
сут сут сут
|
126 198
216
|
|
Средняя температура воздуха периодов со
средней суточной температурой воздуха не выше: - 0 єС - 8 єС - 10 єС
|
єС єС єС
|
минус 4,6 минус
1,5
минус 0,6
|
|
Среднее число дней с оттепелью за
декабрь-февраль
|
сут
|
35
|
|
Дата начала и окончания отопительного периода
(период с температурой воздуха не выше 8 єС): - начало - конец
|
|
7.10
22.04
|
|
Средняя месячная относительная влажность: - в
15 ч. наиболее холодного месяца (января) - за отопительный период
|
% %
|
81 83
|
|
Среднее количество (сумма) осадков за
ноябрь-март
|
мм
|
185
|
|
Среднее месячное атмосферное давление на
высоте установки барометра за январь
|
гПа
|
-
|
|
Преобладающее направление ветра за
декабрь-февраль
|
румб
|
ЮЗ
|
|
Средняя скорость ветра за отопительный период
|
м/с
|
3,7
|
|
Максимальная из средних скоростей ветра по
румбам в январе
|
м/с
|
3,9
|
Среднее
число дней с ветром со скоростью
10 м/с при
отрицательной температуре воздуха
сут
|
3
|
|
|
|
Поправка к осадкам на ветровой недоучет
|
|
1,34
|
Климатические параметры теплого
периода года и поправка на недоучет, соответствующие данному району, приведены
в таблице 2.
Таблица 2 - Климатические параметры
теплого периода года
|
Метеорологическая характеристика
|
Единица измерения
|
Величина
|
|
Среднее атмосферное давление на высоте
установки барометра: - месячное за июль - за год
|
гПа гПа
|
- -
|
|
Высота барометра над уровнем моря
|
м.
|
-
|
|
Температура воздуха обеспеченностью: - 0,95 -
0,96 - 0,98 - 0,99
|
єС єС єС єС
|
- - - -
|
|
Средняя максимальная температура воздуха
наиболее теплого месяца года (июля)
|
єС
|
24
|
|
Абсолютная максимальная температура воздуха
|
єС
|
36
|
|
Средняя месячная относительная влажность
воздуха в 15 ч. наиболее теплого месяца (июля)
|
%
|
58
|
|
Среднее количество (сумма) осадков за
апрель-октябрь
|
мм
|
446
|
|
Суточный максимум осадков за год: - средний из
максимальных - наибольший из максимальных
|
мм мм
|
40 146
|
|
Преобладающее направление ветра за июнь-август
|
румб
|
З
|
|
Минимальная из средних скоростей ветра по
румбам в июле
|
м/с
|
3,2
|
|
Повторяемость штилей за год
|
%
|
7
|
|
Максимальная за год интенсивность осадков в
течение 20 мин: - средняя из максимальных - наибольшая из максимальных
|
мм/мин
мм/мин
|
0,85 2,24
|
|
Поправка к осадкам на ветровой недоучет
|
|
1,02
|
Средняя месячная и годовая
температура воздуха, средняя за месяц и за год суточная амплитуда температуры
воздуха, средняя месячная и годовая относительная влажность, средняя за месяц и
за год продолжительность солнечного сияния, соответствующая данному району,
приведена в таблице 3.
Таблица 3 - Средняя месячная и
годовая температура воздуха, средняя за месяц и за год суточная амплитуда
температуры воздуха, средняя месячная и годовая относительная влажность,
средняя за месяц и за год продолжительность солнечного сияния
|
Месяц
|
Средняя месячная и годовая температура
воздуха, єС
|
Средняя за месяц и за год суточная амплитуда
температуры воздуха, єС
|
Средняя месячная и годовая относительная
влажность, %
|
|
Январь
|
минус 6,8
|
6,4
|
86
|
|
Февраль
|
минус 6
|
7,1
|
83
|
|
Март
|
минус 1,6
|
7,7
|
80
|
|
Апрель
|
6,1
|
9,2
|
72
|
|
Май
|
13,2
|
11,2
|
67
|
|
Июнь
|
16,5
|
11,2
|
71
|
|
Июль
|
18,0
|
11,2
|
74
|
|
Август
|
16,8
|
11,0
|
76
|
|
Сентябрь
|
12,1
|
10,0
|
80
|
|
Октябрь
|
6,3
|
7,5
|
83
|
|
Ноябрь
|
0,6
|
4,7
|
88
|
|
Декабрь
|
минус 4,2
|
4,9
|
89
|
|
Год
|
5,9
|
8,5
|
79
|
Среднее за год число дней с
температурой воздуха ниже и выше заданных пределов и с переходом температуры
воздуха через 0 єС в течение суток, глубина промерзания грунта, глубина нулевой
изотермы в грунте, снежный покров, среднее число дней с атмосферными явлениями
за год, соответствующие данному району, приведены в таблице 4.
Таблица 4 - Среднее число дней с
температурой воздуха ниже и выше заданных пределов и с переходом воздуха через
0 єС в течение суток, глубина промерзания грунта, глубина нулевой изотермы в
грунте, снежный покров, среднее число дней с атмосферными явлениями за год
|
Метеорологическая характеристика
|
Единица измерения
|
Величина
|
|
Среднее число дней с минимальной температурой
воздуха равной и ниже: - минус 35 єС - минус 30 єС - минус 25 єС
|
сут сут сут
|
0,1 0,7 3
|
|
Среднее число дней с максимальной температурой
воздуха равной и выше: - 25 єС - 30 єС - 34 єС
|
сут сут сут
|
39
4 0,3
|
|
Среднее число дней с переходом температуры
воздуха через 0 єС
|
сут
|
73
|
|
Глубина промерзания грунта: - средняя из
максимальных за год - наибольшая из максимальных - тип грунта
|
см см
|
69
132 Супесь,
подстилаемая на глубине около 1 м моренным суглинком с прослойкой песка
|
|
Глубина нулевой изотермы в грунте: - средняя
из максимальных за год - максимум обеспеченностью - 0,90 - 0,98
|
см см см
|
33
70
104
|
|
Высота снежного покрова: - средняя из
наибольших декадных за зиму - максимальная из наибольших декадных -
максимальная суточная за зиму на последний день декады
|
см см см
|
22
45 45
|
|
Продолжительность залегания устойчивого
снежного покрова
|
сут
|
89
|
|
Среднее число дней с атмосферными явлениями за
год: - пыльная буря - гроза - туман - метель
|
сут сут сут сут
|
1,2 25
49 15
|
2.
Расчет
водопотребления города и составление сводной таблицы водопотребления
Для проектирования системы
водоснабжения и последующей её эксплуатации необходимо знать количество
потребляемой воды и режим её потребления.
Расходы воды в соответствии с
водопотребителями делятся на следующие категории:
− расход на
хозяйственно-питьевые нужды жителей населённых пунктов, а также работающих во
время пребывания на предприятиях;
− расход на поливку улиц и
зелёных насаждений;
− расход на нужды промышленных
предприятий.
.1 Определение расхода воды на
хозяйственно-питьевые нужды населения
Расход воды зависит от количества
жителей и от норм водопотребления. Численность населения
N,
человек, определяют по формуле:

(1)
где 
- плотность населения, равная 30
чел/га;
- площадь
жилых кварталов, га.

человек.
Расчетный
суточный расход воды 
, м3/сут, на
хозяйственно-питьевые нужды в населенном пункте находится по формуле
2.2
Определение расхода воды на полив территории
Расходы воды
на поливку в населенных пунктах и на территориях промышленных предприятий
должны приниматься в зависимости от покрытия территории, способа ее поливки,
вида насаждений, климатических и других местных условий [4]. При отсутствии
данных о площадях, по видам благоустройства (зеленые насаждения, проезды и
т.п.) удельное среднесуточное за поливочный сезон потребление воды на поливку в
расчете на одного жителя принимается 50 л/сут.чел.
Расход воды
на поливку определяется по формуле
где qж
− норма на поливку 1
м2 территории, qж
=50
л/сут;
Nж
− расчетное
число жителей в районах жилой застройки.
Принимаем время поливки: утром с 5 до 7 часов;
вечером с 20 до 22 часов.
2.3 Определение расходов воды
на
промышленных предприятиях
Цель расчета - определение расхода
воды в смену на каждом предприятии, а также расхода воды в горячих цехах на
прием душа в конце смены.
Данные о регламенте работы
предприятия (I,
II или III
смены) приводятся в задании.
Расход воды,
м3/см, для холодных и горячих цехов каждой смены определяется
соответственно по формулам
где 
- число человек работающих
соответственно в холодных и горячих цехах;

- норма водопотребления на
хозяйственно-питьевые нужды для хо-лодных и горячих цехов соответственно, 
= 25 л/см.∙ чел, 
= 45 л/см.∙
чел [1].
Максимальный
часовой расход бытовых сточных вод для холодных и горячих цехов определяется
соответственно по формулам
где 
- коэффициенты часовой
неравномерности соответственно для холодных и горячих цехов, 
= 3, 
= 2,5 [1];
Т -
продолжительность смены, ч.
Максимальный
секундный расход бытовых сточных вод для холодных и горячих цехов определяется
соответственно по формулам
Расходы душевых сточных вод
определяются по количеству душевых сеток, установленных на предприятиях,
которые принимаются в зависимости от группы производственных процессов. Расход
воды на одну душевую сетку - 500 л/чел, время приёма душа - 45 минут после
окончания смены. Расход душевых сточных вод приходится на первый час
последующей смены.
Душевые расходы определяются по
формулам
где 
- норма расхода воды на одну
душевую сетку, л/ см.д.с., равная

- количество душевых сеток,
используемое в течение суток, определяется по формуле
где 
- общее число рабочих в горячем
цеху;

- количество человек, пользующихся
одной душевой сеткой.
Рассчитаем
расходы воды для горячих, холодных цехов и от душевых сеток для 1 смены ПП1
Аналогичные
вычисления произведем и для всех оставшихся предприятий. Все расчеты сводим в
таблицу 5.
Итого по
промышленным предприятиям суммы максимальных секундных расходов:
∑qпп1
= 0,72 л/с,
∑qпп2
= 0,86 л/с.
2.4 Составление
графиков водопотребления
После того, как определили все расходы воды за
сутки и за смены предприятий, сводим полученные результаты и производим
распределение воды в городе по часам суток (таблица 6).
Таблица 6 - Распределение расхода
воды населенного пункта по часам суток
|
Часы
суток
|
Расход
воды населением
|
Расход
воды на поливку
|
Расход
воды на промышленном предприятии
|
Общий
расход воды
|
Ордината
интегрирования, %
|
|
%
Qср.сут
|
м3/ч
|
%
Qп
|
м3/ч
|
горячие
цеха
|
холодные
цеха
|
души
|
|
|
|
|
|
|
|
%
|
м3/ч
|
%
|
м3/ч
|
%
|
м3/ч
|
м3/ч
|
%
|
|
|
0
- 1
|
1,5
|
22,31
|
|
|
12,0
|
0,1
|
6,25
|
0,08
|
100
|
1,5
|
24,03
|
1,15
|
1,15
|
|
1
- 2
|
1,5
|
22,31
|
|
|
12,0
|
0,1
|
12,5
|
0,16
|
|
|
22,6
|
1,08
|
2,23
|
|
2
- 3
|
1,5
|
22,31
|
|
|
12,0
|
0,1
|
12,5
|
0,16
|
|
|
22,6
|
1,08
|
3,31
|
|
3
- 4
|
1,5
|
22,31
|
|
|
12,0
|
0,1
|
18,7
|
0,26
|
|
|
22,7
|
1,09
|
4,4
|
|
4
- 5
|
2,5
|
37,18
|
|
|
12,0
|
0,1
|
6,25
|
0,08
|
|
|
37,39
|
1,79
|
6,19
|
|
5
- 6
|
3,5
|
52,06
|
25
|
146,96
|
12,0
|
0,1
|
12,5
|
0,16
|
|
|
199,31
|
9,56
|
15,75
|
|
6
- 7
|
4,5
|
66,93
|
25
|
146,96
|
12,0
|
12,5
|
0,16
|
|
|
214,18
|
10,2
|
26,02
|
|
7
- 8
|
5,5
|
81,8
|
|
|
15,6
|
0,1
|
18,7
|
0,26
|
|
|
82,22
|
3,94
|
29,96
|
|
8
- 9
|
6,25
|
92,96
|
|
|
12,0
|
0,0
|
6,25
|
0,07
|
100
|
0,7
|
93,85
|
4,5
|
34,46
|
|
9
- 10
|
6,25
|
92,96
|
|
|
12,0
|
0,0
|
12,5
|
0,14
|
|
|
93,16
|
4,47
|
38,93
|
|
10
- 11
|
6,25
|
92,96
|
|
|
12,0
|
0,0
|
12,5
|
0,14
|
|
|
93,16
|
4,47
|
43,4
|
|
11
- 12
|
6,25
|
92,96
|
|
|
12,0
|
0,0
|
18,7
|
0,22
|
|
|
93,24
|
4,47
|
47,87
|
|
12
- 13
|
5
|
74,37
|
|
|
12,0
|
0,0
|
6,25
|
0,07
|
|
|
74,5
|
3,57
|
51,44
|
|
13
- 14
|
5
|
74,37
|
|
|
12,0
|
0,0
|
12,5
|
0,14
|
|
|
74,57
|
3,58
|
55,02
|
|
14
- 15
|
5,5
|
81,8
|
|
|
12,0
|
0,0
|
12,5
|
0,14
|
|
|
82
|
3,93
|
58,95
|
|
15
- 16
|
6
|
89,24
|
|
|
15,6
|
0,0
|
18,7
|
0,22
|
|
|
89,54
|
4,29
|
63,24
|
|
16
- 17
|
6
|
89,24
|
|
|
12,0
|
0,0
|
6,25
|
0,17
|
100
|
0,7
|
90,23
|
4,33
|
67,57
|
|
17
- 18
|
5,5
|
81,8
|
|
|
12,0
|
0,0
|
12,5
|
0,34
|
|
|
82,2
|
3,94
|
71,51
|
|
18
- 19
|
5
|
74,37
|
|
|
12,0
|
0,0
|
12,5
|
0,34
|
|
|
74,77
|
3,59
|
75,1
|
|
19
- 20
|
4,5
|
66,93
|
|
|
12,0
|
0,0
|
18,7
|
0,51
|
|
|
67,5
|
3,24
|
78,34
|
|
20
- 21
|
4
|
59,49
|
25
|
146,96
|
12,0
|
0,0
|
6,25
|
0,17
|
|
|
206,68
|
9,91
|
88,25
|
|
21
- 22
|
3
|
44,62
|
25
|
146,96
|
12,0
|
0,0
|
12,5
|
0,34
|
|
|
191,98
|
9,21
|
97,46
|
|
22
- 23
|
2
|
29,75
|
|
|
12,0
|
0,0
|
12,5
|
0,34
|
|
|
30,15
|
1,44
|
98,9
|
|
23
- 24
|
1,5
|
22,31
|
|
|
15,6
|
0,0
|
18,7
|
0,51
|
|
|
22,91
|
1,1
|
100
|
|
Итого
|
100
|
1487,
|
100
|
587,84
|
300
|
2,0
|
300
|
5,19
|
300
|
3,0
|
2085,4
|
100
|
|
Имея распределение воды по часам суток строим
интегральный и ступенчатый график водопотребления (рисунок 1, 2).
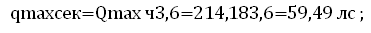
По данным таблицы 2 можно сделать вывод, что
наибольшее часовое водопотребление наблюдается с 6 до 7 часов и равно Qmax.час
=
214,18 м3/ч.
Определим расчетные секундные
расходов сети в час максимального водопотребления:
а) максимальный
б)
сосредоточенный
в) путевой
Произведем контроль расхода
3. Гидравлический расчет трубопроводов
Цель гидравлического расчета -
определение экономически найвыгоднейших
диаметров труб и потерь напора в трубопроводе. Экономически выгодным является
такой диаметр труб, при котором приведенные затраты на строительство и
эксплуатацию трубопровода будут минимальными. Минимальный диаметр трубопровода,
объединенного с противопожарным, должен быть не менее 100 мм. Сеть делят на
расчетные участки длиной не более 800 м. Участки разграничивают узлами. Узлы
назначают во всех точках сети, где имеются сосредоточенные расходы воды, а
также во всех точках пересечения линии и изменения диаметра труб. Их нумеруют,
назначают участки и определяют удельные, путевые, узловые и расчетные расходы.
.1 Гидравлический расчет кольцевой
сети
на пропуск максимального расхода
Для расчета расходов воды на генплан
населенного пункта наносится разводящая водопроводная сеть, которая состоит из
двух колец.
Сеть разбита на участки не более 800
м. Участки ограничены узлами. Узлы назначены в местах сосредоточенных расходов,
на поворотах, в точках пересечения трубопроводов.
Для каждого участка необходимо
определить удельный, путевой, узловой и расчетный расходы.
Удельный расход определяется по
формуле
Путевой
расход 
, л/с, на
участке определяется по формуле
где 
- длина расчетного участка, м.
Узловой
расход

, л/с, определяется по формуле

(24)
Результаты
расчетов сводятся в таблицу 7.
Таблица 7
- Расчет путевых и узловых расходов воды
|
Узел
|
Участки
сети, примыкающие к узлу
|
Длина
участка, м
|
Расход,
л/с
|
Номер
ПП
|
Расход
воды ПП, л/с
|
Полный
узловой расход воды, л/с
|
|
|
|
путевой
|
узловой
|
|
|
|
|
ВБ
|
ВБ
- 1
|
445
|
2,42
|
0,99
|
|
|
0,99
|
|
1
|
1
- ВБ
|
445
|
2,42
|
3,78
|
|
|
3,78
|
|
1
- 2
|
539
|
2,93
|
|
|
|
|
|
1
- 18
|
487
|
2,65
|
|
|
|
|
|
2
|
2
- 1
|
539
|
2,93
|
2,05
|
|
|
2,05
|
|
2
- 3
|
296
|
1,61
|
|
|
|
|
|
3
|
3
- 2
|
296
|
1,61
|
2,15
|
|
|
2,15
|
|
3
- 4
|
575
|
3,13
|
|
|
|
|
|
4
|
4
- 3
|
575
|
3,13
|
2,37
|
|
|
2,37
|
|
4
- 5
|
376
|
2,05
|
|
|
|
|
|
5
|
5
- 4
|
376
|
2,05
|
3,51
|
|
|
3,51
|
|
5
- 6
|
500
|
2,72
|
|
|
|
|
|
5
- 23
|
492
|
2,68
|
|
|
|
|
|
6
|
6
- 5
|
500
|
2,72
|
2,37
|
|
|
2,37
|
|
6
- 7
|
452
|
2,46
|
|
|
|
|
|
7
|
7
- 6
|
452
|
2,46
|
2,74
|
|
|
2,74
|
|
7
- 8
|
305
|
1,66
|
|
|
|
|
|
7
- 22
|
326
|
1,77
|
|
|
|
|
|
8
|
8
- 7
|
305
|
1,66
|
2,62
|
|
|
2,62
|
|
8
- 9
|
183
|
1
|
|
|
|
|
|
8
- 24
|
551
|
3
|
|
|
|
|
|
9
|
9
- 8
|
183
|
1
|
1,51
|
|
|
1,51
|
|
9
- 10
|
451
|
2,46
|
|
|
|
|
|
10
|
10
- 9
|
451
|
2,46
|
1,66
|
|
|
1,66
|
|
10
- 11
|
238
|
1,3
|
|
|
|
|
|
11
|
11
- 10
|
238
|
1,3
|
2,6
|
|
|
2,6
|
|
11
- 12
|
798
|
4,34
|
|
|
|
|
|
12
|
12
- 11
|
4,34
|
4,07
|
|
|
4,07
|
|
12
- 13
|
387
|
2,11
|
|
|
|
|
|
12
- 25
|
391
|
2,13
|
|
|
|
|
|
13
|
13
- 12
|
387
|
2,11
|
1,75
|
|
|
1,75
|
|
13
- 14
|
337
|
1,83
|
|
|
|
|
|
14
|
14
- 13
|
337
|
1,83
|
2,34
|
ПП2
|
0,86
|
3,2
|
|
14
- 15
|
604
|
3,29
|
|
|
|
|
|
15
|
15
- 14
|
604
|
3,29
|
3,8
|
|
|
3,8
|
|
15
- 16
|
405
|
2,2
|
|
|
|
|
|
15
- 19
|
467
|
2,54
|
|
|
|
|
|
16
|
16
- 15
|
405
|
2,2
|
2,1
|
|
|
2,1
|
|
16
- 17
|
447
|
2,43
|
|
|
|
|
|
17
|
17
- 16
|
447
|
2,43
|
2,85
|
|
|
2,85
|
|
17
- 18
|
680
|
3,7
|
|
|
|
|
|
18
|
18
- 17
|
680
|
3,7
|
2,97
|
|
|
2,97
|
|
18
- 1
|
487
|
2,65
|
|
|
|
|
|
19
|
19
- 20
|
384
|
2,09
|
2,1
|
|
|
2,1
|
|
19
- 15
|
467
|
2,54
|
|
|
|
|
|
20
|
20
- 19
|
384
|
2,09
|
2,33
|
|
|
2,33
|
|
20
- 21
|
551
|
3
|
|
|
|
|
|
21
|
21
- 20
|
551
|
3
|
2,05
|
|
|
2,05
|
|
21
- 22
|
283
|
1,54
|
|
|
|
|
|
22
|
22
- 21
|
283
|
1,54
|
1,45
|
|
|
1,45
|
|
22
- 7
|
326
|
1,77
|
|
|
|
|
|
23
|
23
- 5
|
492
|
2,68
|
1,12
|
ПП1
|
0,72
|
1,84
|
|
24
|
24
- 8
|
551
|
3
|
1,28
|
|
|
1,28
|
|
25
|
25
- 12
|
391
|
2,14
|
0,85
|
|
|
0,85
|
|
Всего
|
|
10914
|
59,41
|
59,41
|
|
1,58
|
60,99
|
Полученные значения путевых и
узловых расходов наносим на схему сети. После определения узловых расходов воды
задаем точку схода потоков воды и распределение ее расходов, используя правило
баланса: сумма притоков воды к узлу равна сумме оттоков из него, включая
узловой отбор.
Чтобы начать расчет, необходимо
выбрать материал труб, диметры которых будут обеспечивать пропуск расчетных
расходов.
В данной курсовом проекте принимаем
пластмассовые трубы (полиэтиленовые, ГОСТ 18599-2001). Полиэтиленовые трубы изготавливают
диаметром до 1200 мм.
После определения узловых расходов
воды задаем точку схода потоков - точка 11
- и на схеме сети по всем участкам намечаем стрелками направление движения воды
и распределение расходов, используя закон Кирхгоффа: расход воды, притекающий к
узлу, должен быть равен расходу воды, вытекающему из узла.
По намеченным расходам воды для
каждого участка определяем экономически наивыгоднейшие диаметры труб, скорость
движения воды и потери напора в трубопроводе. Данные параметры для каждого
участка подбираем по [5].
Потери напора на участке сети
определим по формуле

Алгебраичекая сумма потерь
напора по кольцу должна быть равна нулю. При этом потерям напора на участках с
направлением движения воды по часовой стрелке присваивают знак “плюс”, против
часовой стрелки - “минус”. Допускается невязка по
внешнему контуру от 1 до 1,5 м, в отдельных кольцах от
0,5 до 1 м.Если невязка больше допустимой, необходимо изменить диаметры труб и
потери напора или увязать сеть. Увязку сети производят только в кольцевой
схеме.
В нашем случае сеть увязывается по методу М.М. Андрияшева. Потери напора в
кольцах увязывают с помощью поправочных расходов 
.

где 
- средний
расход воды для всех видов входящих в кольцо участков л/с;

- невязка
потерь напоров в кольце;

- сумма
абсолютных значений потерь напора по кольцу, м.
Гидравлический расчет сети удобнее
свести в таблицу 8.
Таблица 8 - Расчет разводящей сети
на пропуск секундного максимального расхода воды
|
№
п/п
|
Участок
сети
|
Длина
участка
|
Расчетный
расход воды на участке q, л/с
|
Диаметр
трубопровода d, мм
|
Скорость
движения воды v, м/с
|
Потери
напора, м
|
|
|
|
|
|
|
1000i
|
на
участке h = il
|
|
I
|
11
- 10
|
238
|
2,6
|
75
|
0,88
|
16,6
|
-3,951
|
|
10
- 9
|
451
|
6,72
|
110
|
1,05
|
14,48
|
-6,53
|
|
9
- 8
|
183
|
9,23
|
125
|
1,12
|
13,86
|
-2,536
|
|
8
- 7
|
305
|
17,79
|
180
|
1,05
|
7,77
|
-2,37
|
|
7
- 22
|
326
|
12,04
|
140
|
1,17
|
12,86
|
-4,192
|
|
22
- 21
|
283
|
15,03
|
160
|
1,12
|
10,14
|
-2,87
|
|
21
- 20
|
551
|
20,08
|
180
|
1,18
|
9,63
|
-5,306
|
|
20
- 19
|
384
|
24,5
|
200
|
1,17
|
8,27
|
-3,176
|
|
19
- 15
|
467
|
29,14
|
225
|
1,11
|
6,55
|
-3,059
|
|
11
- 12
|
798
|
5,64
|
110
|
0,89
|
10,62
|
8,475
|
|
12
- 13
|
387
|
14,81
|
160
|
1,11
|
9,86
|
3,816
|
|
13
- 14
|
337
|
18,39
|
180
|
1,08
|
8,23
|
2,774
|
|
14
- 15
|
604
|
24,88
|
200
|
1,19
|
8,5
|
5,134
|
|
|
Сумма
|
-13,791
|
|
II
|
7
- 6
|
452
|
12,73
|
160
|
0,95
|
7,54
|
-3,408
|
|
6
- 5
|
500
|
17,82
|
180
|
1,05
|
7,79
|
-3,895
|
|
5
- 4
|
376
|
27,9
|
200
|
1,33
|
10,44
|
-3,925
|
|
4
- 3
|
575
|
33,4
|
225
|
1,26
|
8,18
|
-4,704
|
|
3
- 2
|
296
|
37,16
|
250
|
1,13
|
5,99
|
-1,773
|
|
2
- 1
|
539
|
42,14
|
250
|
1,28
|
7,48
|
-4,032
|
|
7
- 22
|
326
|
12,04
|
140
|
1,17
|
12,86
|
4,192
|
|
22
- 21
|
283
|
15,03
|
160
|
1,12
|
10,14
|
2,87
|
|
21
- 20
|
551
|
20,08
|
180
|
1,18
|
9,63
|
5,306
|
|
20
- 19
|
384
|
24,5
|
200
|
1,17
|
8,27
|
3,176
|
|
19
- 15
|
467
|
29,14
|
225
|
1,11
|
6,55
|
3,059
|
|
15
- 16
|
405
|
60,02
|
280
|
1,46
|
8,17
|
3,309
|
|
16
- 17
|
447
|
64,55
|
280
|
1,55
|
9,16
|
4,095
|
|
17
- 18
|
680
|
71,1
|
315
|
1,16
|
4,27
|
2,904
|
|
18
- 1
|
487
|
76,72
|
1,24
|
4,82
|
2,347
|
|
|
Сумма
|
9,521
|
|
Контур
|
11
- 12
|
798
|
5,64
|
110
|
0,89
|
10,62
|
8,475
|
|
12
- 13
|
387
|
14,81
|
160
|
1,11
|
9,86
|
3,816
|
|
13
- 14
|
337
|
18,39
|
180
|
1,08
|
8,23
|
2,774
|
|
14
- 15
|
604
|
24,88
|
200
|
1,19
|
8,5
|
5,134
|
|
15
- 16
|
405
|
60,02
|
280
|
1,46
|
8,17
|
3,309
|
|
16
- 17
|
447
|
64,55
|
280
|
1,55
|
9,16
|
4,095
|
|
17
- 18
|
680
|
71,1
|
315
|
1,16
|
4,27
|
2,904
|
|
18
- 1
|
487
|
76,72
|
315
|
1,24
|
4,82
|
2,347
|
|
11
- 10
|
238
|
2,6
|
75
|
0,88
|
16,6
|
-3,951
|
|
10
- 9
|
451
|
6,72
|
110
|
1,05
|
14,48
|
-6,53
|
|
9
- 8
|
183
|
9,23
|
125
|
1,12
|
13,86
|
-2,536
|
|
8
- 7
|
305
|
17,79
|
180
|
1,05
|
7,77
|
-2,37
|
|
7
- 6
|
452
|
12,73
|
160
|
0,95
|
7,54
|
-3,408
|
|
6
- 5
|
500
|
17,82
|
180
|
1,05
|
7,79
|
-3,895
|
|
5
- 4
|
376
|
27,9
|
200
|
1,33
|
10,44
|
-3,925
|
|
4
- 3
|
575
|
33,4
|
225
|
1,26
|
8,18
|
-4,704
|
|
3
- 2
|
296
|
37,16
|
250
|
1,13
|
5,99
|
-1,773
|
|
2
- 1
|
539
|
42,14
|
250
|
1,28
|
7,48
|
-4,032
|
|
|
Сумма
|
-4,27
|
Поскольку потери при использовании экономически
выгодных диаметров и потери напора, увязанные по
методу М. М. Андрияшева, больше допустимых потерь в
кольцах, необходимо изменить диаметры труб и
потери напора. Расчет сводим в таблицу 9.
Таблица 9
- Расчет разводящей сети на пропуск секундного максимального расхода воды
|
№
п/п
|
Участок
сети
|
Длина
участка
|
Расчетный
расход воды
|
Второе
исправление
|
|
|
|
|
Поправочный
расход ∆q, л/с
|
Исправленный
расход на участке q, л/с
|
Диаметр
трубопровода d, мм
|
Скорость
движения воды v, м/с
|
Потери
напора, м
|
|
|
|
|
в
данном кольце
|
в
смежном кольце
|
общий
|
|
|
|
1000i
|
на
участке h = il
|
|
|
|
|
|
|
|
|
|
|
|
|
|
I
|
11
- 10
|
238
|
2,6
|
1,966
|
|
1,96
|
4,566
|
90
|
1,07
|
19,0
|
-4,534
|
|
10
- 9
|
451
|
6,72
|
1,966
|
|
1,96
|
8,686
|
125
|
1,06
|
12,4
|
-5,628
|
|
9
- 8
|
183
|
9,23
|
1,966
|
|
1,96
|
11,196
|
140
|
1,09
|
11,2
|
-2,066
|
|
8
- 7
|
305
|
17,79
|
1,966
|
|
1,96
|
19,756
|
200
|
0,94
|
5,66
|
-1,726
|
|
7
- 22
|
326
|
12,04
|
1,966
|
3,259
|
5,22
|
17,265
|
160
|
1,29
|
12,9
|
-4,228
|
|
22
- 21
|
283
|
15,03
|
1,966
|
3,259
|
5,22
|
20,255
|
180
|
1,19
|
9,77
|
-2,765
|
|
21
- 20
|
551
|
20,08
|
1,966
|
3,259
|
5,22
|
25,305
|
200
|
1,2
|
8,76
|
-4,827
|
|
20
- 19
|
384
|
24,5
|
1,966
|
3,259
|
5,22
|
29,725
|
225
|
1,12
|
6,65
|
-2,554
|
|
19
- 15
|
467
|
29,14
|
1,966
|
3,259
|
5,22
|
34,365
|
250
|
1,05
|
5,21
|
-2,433
|
|
11
- 12
|
798
|
5,64
|
-1,96
|
|
-1,96
|
3,674
|
90
|
0,87
|
12,9
|
10,31
|
|
12
- 13
|
387
|
14,81
|
-1,96
|
|
-1,96
|
12,844
|
125
|
1,57
|
24,8
|
9,605
|
|
13
- 14
|
337
|
18,39
|
-1,966
|
|
-1,96
|
16,424
|
160
|
1,23
|
11,8
|
3,977
|
|
14
- 15
|
604
|
24,88
|
-1,96
|
|
-1,96
|
22,914
|
180
|
1,35
|
12,1
|
7,314
|
|
|
Сумма
|
0,445
|
|
II
|
7
- 6
|
452
|
12,73
|
-3,25
|
|
-3,25
|
9,471
|
140
|
0,92
|
8,37
|
-3,783
|
|
6
- 5
|
500
|
17,82
|
-3,25
|
|
-3,25
|
14,561
|
160
|
1,09
|
9,57
|
-4,785
|
|
5
- 4
|
376
|
27,9
|
-3,25
|
|
-3,25
|
24,641
|
180
|
1,45
|
13,8
|
-5,204
|
|
4
- 3
|
575
|
33,4
|
-3,25
|
|
-3,25
|
30,141
|
200
|
1,44
|
11,9
|
-6,848
|
|
3
- 2
|
296
|
37,16
|
-3,25
|
|
33,901
|
225
|
128
|
8,51
|
-2,519
|
|
2
- 1
|
539
|
42,14
|
-3,25
|
|
-3,29
|
38,881
|
225
|
1,47
|
10,7
|
-5,805
|
|
7
- 22
|
326
|
12,04
|
3,259
|
1,966
|
5,22
|
17,265
|
160
|
1,29
|
12,9
|
4,228
|
|
22
- 21
|
283
|
15,03
|
3,259
|
1,966
|
5,22
|
20,255
|
180
|
1,19
|
9,77
|
2,765
|
|
21
- 20
|
551
|
20,08
|
3,259
|
1,966
|
5,22
|
25,305
|
200
|
1,2
|
8,76
|
4,827
|
|
20
- 19
|
384
|
24,5
|
3,259
|
1,966
|
5,22
|
29,725
|
225
|
1,12
|
6,65
|
2,554
|
|
19
- 15
|
467
|
29,14
|
3,259
|
1,966
|
5,22
|
34,365
|
250
|
1,05
|
5,21
|
2,433
|
|
15
- 16
|
405
|
60,02
|
3,259
|
|
3,25
|
63,279
|
280
|
1,54
|
8,93
|
3,617
|
|
16
- 17
|
447
|
64,55
|
3,259
|
|
3,25
|
67,809
|
280
|
1,65
|
10,1
|
4,528
|
|
17
- 18
|
680
|
71,1
|
3,259
|
|
3,25
|
74,359
|
315
|
1,22
|
4,57
|
3,108
|
|
18
- 1
|
487
|
76,72
|
3,259
|
|
3,25
|
79,979
|
355
|
1,03
|
2,94
|
1,432
|
|
|
Сумма
|
0,548
|
|
Внешний
контур
|
11
- 12
|
798
|
5,64
|
-1,96
|
|
-1,96
|
3,674
|
90
|
0,87
|
12,9
|
10,31
|
|
12
- 13
|
387
|
14,81
|
-1,96
|
|
-1,96
|
12,844
|
125
|
1,57
|
24,8
|
9,605
|
|
13
- 14
|
337
|
18,39
|
-1,96
|
|
-1,96
|
16,424
|
160
|
1,23
|
11,8
|
3,977
|
|
14
- 15
|
604
|
24,88
|
-1,96
|
|
-1,96
|
22,914
|
180
|
1,35
|
12,1
|
7,314
|
|
15
- 16
|
405
|
60,02
|
3,259
|
|
3,25
|
63,279
|
280
|
1,54
|
8,93
|
3,617
|
|
16
- 17
|
447
|
64,55
|
3,259
|
|
3,25
|
67,809
|
280
|
1,65
|
10,1
|
4,528
|
|
17
- 18
|
680
|
71,1
|
3,259
|
|
3,25
|
74,359
|
315
|
1,22
|
4,57
|
3,108
|
|
18
- 1
|
487
|
76,72
|
3,259
|
|
3,25
|
79,979
|
355
|
1,03
|
2,94
|
1,432
|
|
11
- 10
|
238
|
2,6
|
1,966
|
|
1,96
|
4,566
|
90
|
1,07
|
19,0
|
-4,534
|
|
10
- 9
|
451
|
6,72
|
1,966
|
|
1,96
|
8,686
|
125
|
1,06
|
12,4
|
-5,628
|
|
9
- 8
|
183
|
9,23
|
1,966
|
|
1,96
|
11,196
|
140
|
1,09
|
11,2
|
-2,066
|
|
8
- 7
|
305
|
17,79
|
1,966
|
|
1,96
|
19,756
|
200
|
0,94
|
5,66
|
-1,726
|
|
|
|
|
|
|
|
|
|
|
|
|
|
|
|
|
3.2 Гидравлический расчет
водопроводной сети на случай пожара
При проверочном расчете
водопроводной сети на случай пожара диаметры труб не изменяют, основные потоки
воды направляют к месту пожара. Точками пожара
назначают узлы сети, наиболее удаленные от водонапорной башни или расположенные
на высоких отметках. Расчетные расходы воды
распределяют заново, сеть увязывают так же как в пункте 3.1.
В соответствии с заданной
численностью населения (11757 чел.) и этажностью застройки, принимаем расчётное
количество одновременных пожаров - 2, возникающих в диктующих точках 8 и 13, и
расход воды на один наружный пожар - 30 л/с и один внутренний - 5 л/с [3].
Расчет путевых, узловых расходов
воды
и расхода на тушение пожара представлены в таблице 10.
Таблица 10
- Расчет путевых, узловых
расходов воды и расхода на тушение пожара
|
Узел
|
Участки
сети, примыкающие к узлу
|
Длина
участка, м
|
Расход,
л/с
|
Номер
ПП
|
Наличие
в узле пожара
|
Расход
воды ПП, л/с
|
Расход
на тушение пожара, л/с
|
Полный
узловой расход, л/с
|
|
|
|
|
путевой
|
узловой
|
|
|
|
|
|
|
|
ВБ
|
ВБ
- 1
|
445
|
2,42
|
0,99
|
|
|
|
|
0,99
|
|
|
1
|
1
- ВБ
|
445
|
2,42
|
3,78
|
|
|
|
|
3,78
|
|
|
1
- 2
|
539
|
2,93
|
|
|
|
|
|
|
|
|
1
- 18
|
487
|
2,65
|
|
|
|
|
|
|
|
|
2
|
2
- 1
|
539
|
2,93
|
2,05
|
|
|
|
|
2,05
|
|
|
2
- 3
|
296
|
1,61
|
|
|
|
|
|
|
|
|
3
|
3
- 2
|
296
|
1,61
|
2,15
|
|
|
|
|
2,15
|
|
|
3
- 4
|
575
|
3,13
|
|
|
|
|
|
|
|
|
4
|
4
- 3
|
575
|
3,13
|
2,37
|
|
|
|
|
2,37
|
|
|
4
- 5
|
376
|
2,05
|
|
|
|
|
|
|
|
|
5
|
5
- 4
|
376
|
2,05
|
3,51
|
|
|
|
|
3,51
|
|
|
5
- 6
|
500
|
2,72
|
|
|
|
|
|
|
|
|
5
- 23
|
492
|
2,68
|
|
|
|
|
|
|
|
|
6
|
6
- 5
|
500
|
2,37
|
|
|
|
|
2,37
|
|
|
6
- 7
|
452
|
2,46
|
|
|
|
|
|
|
|
|
7
|
7
- 6
|
452
|
2,46
|
2,74
|
|
|
|
|
2,74
|
|
7
- 8
|
305
|
1,66
|
|
|
|
|
|
|
|
7
- 22
|
326
|
1,77
|
|
|
|
|
|
|
|
8
|
8
- 7
|
305
|
1,66
|
2,62
|
|
пожар
|
|
17,5
|
20,12
|
|
8
- 9
|
183
|
1
|
|
|
|
|
|
|
|
8
- 24
|
551
|
3
|
|
|
|
|
|
|
|
9
|
9
- 8
|
183
|
1
|
1,51
|
|
|
|
|
1,51
|
|
9
- 10
|
451
|
2,46
|
|
|
|
|
|
|
|
10
|
10
- 9
|
451
|
2,46
|
1,66
|
|
|
|
|
1,66
|
|
10
- 11
|
238
|
1,3
|
|
|
|
|
|
|
|
11
|
11
- 10
|
238
|
1,3
|
2,6
|
|
|
|
|
2,6
|
|
11
- 12
|
798
|
4,34
|
|
|
|
|
|
|
|
12
|
12
- 11
|
798
|
4,34
|
4,07
|
|
|
|
|
4,07
|
|
12
- 13
|
387
|
2,11
|
|
|
|
|
|
|
|
12
- 25
|
391
|
2,13
|
|
|
|
|
|
|
|
13
|
13
- 12
|
387
|
2,11
|
1,75
|
|
пожар
|
|
17,5
|
19,25
|
|
13
- 14
|
337
|
1,83
|
|
|
|
|
|
|
|
14
|
14
- 13
|
337
|
1,83
|
2,34
|
ПП2
|
|
0,86
|
|
3,2
|
|
14
- 15
|
604
|
3,29
|
|
|
|
|
|
|
|
15
|
15
- 14
|
604
|
3,29
|
3,8
|
|
|
|
|
3,8
|
|
15
- 16
|
405
|
2,2
|
|
|
|
|
|
|
|
15
- 19
|
467
|
2,54
|
|
|
|
|
|
|
|
16
|
16
- 15
|
405
|
2,2
|
2,1
|
|
|
|
|
2,1
|
|
16
- 17
|
447
|
2,43
|
|
|
|
|
|
|
|
17
|
17
- 16
|
447
|
2,43
|
2,85
|
|
|
|
|
2,85
|
|
17
- 18
|
680
|
3,7
|
|
|
|
|
|
|
|
18
|
18
- 17
|
680
|
3,7
|
2,97
|
|
|
|
|
2,97
|
|
18
- 1
|
487
|
2,65
|
|
|
|
|
|
|
|
19
|
19
- 20
|
384
|
2,09
|
2,1
|
|
|
|
|
2,1
|
|
19
- 15
|
467
|
2,54
|
|
|
|
|
|
|
|
20
|
20
- 19
|
384
|
2,09
|
2,33
|
|
|
|
|
2,33
|
|
20
- 21
|
551
|
3
|
|
|
|
|
|
|
|
21
|
21
- 20
|
551
|
3
|
2,05
|
|
|
|
|
2,05
|
|
21
- 22
|
283
|
1,54
|
|
|
|
|
|
|
|
22
|
22
- 21
|
283
|
1,54
|
1,45
|
|
|
|
|
1,45
|
|
22
- 7
|
326
|
1,77
|
|
|
|
|
|
|
|
23
|
23
- 5
|
492
|
2,68
|
1,12
|
ПП1
|
|
0,72
|
|
1,84
|
|
24
|
24
- 8
|
551
|
3
|
1,28
|
|
|
|
|
1,28
|
|
25
|
25
- 12
|
391
|
2,14
|
0,85
|
|
|
|
|
0,85
|
|
Всего
|
|
10914
|
59,41
|
59,41
|
|
|
1,58
|
35
|
95,99
|
|
|
|
|
|
|
|
|
|
|
|
|
|
|
|
|
Расчёты по увязке кольцевой сети в случае пожара
сводятся в таблицу 11.
Таблица 11
- Расчет разводящей сети на пропуск секундного максимального и пожаргого
расходов воды
|
№
п/п
|
Участок
сети
|
Длина
участка
|
Расчетный
расход воды на участке q, л/с
|
Диаметр
трубопровода d, мм
|
Скорость
движения воды v, м/с
|
Потери
напора, м
|
|
|
|
|
|
|
|
|
|
|
|
|
|
1000i
|
на
участке h = il
|
|
I
|
11
- 10
|
238
|
2,6
|
90
|
0,61
|
7,01
|
-1,668
|
|
10
- 9
|
451
|
6,72
|
125
|
0,82
|
7,88
|
-3,554
|
|
9
- 8
|
183
|
9,23
|
140
|
0,89
|
8,01
|
-1,466
|
|
8
- 7
|
305
|
35,29
|
200
|
1,68
|
15,83
|
-4,828
|
|
7
- 22
|
326
|
20,79
|
160
|
1,55
|
17,96
|
-5,855
|
|
22
- 21
|
283
|
23,78
|
180
|
1,4
|
12,98
|
-3,673
|
|
21
- 20
|
551
|
28,83
|
200
|
1,37
|
11,06
|
-6,094
|
|
20
- 19
|
384
|
33,25
|
225
|
1,25
|
8,12
|
-3,118
|
|
19
- 15
|
467
|
37,89
|
250
|
1,16
|
6,19
|
-2,891
|
|
11
- 12
|
798
|
5,64
|
90
|
27,66
|
22,073
|
|
12
- 13
|
387
|
14,81
|
125
|
1,81
|
32,02
|
12,392
|
|
13
- 14
|
337
|
35,89
|
160
|
2,67
|
47,36
|
15,96
|
|
14
- 15
|
604
|
42,38
|
180
|
2,5
|
36,21
|
21,871
|
|
|
Сумма
|
39,149
|
|
II
|
7
- 6
|
452
|
21,48
|
140
|
2,08
|
35,84
|
-16,2
|
|
6
- 5
|
500
|
26,57
|
160
|
1,98
|
27,83
|
-13,915
|
|
5
- 4
|
376
|
36,65
|
180
|
2,15
|
28,01
|
-10,532
|
|
4
- 3
|
575
|
42,15
|
200
|
2,01
|
21,64
|
-12,443
|
|
3
- 2
|
296
|
45,91
|
225
|
1,73
|
14,36
|
-4,251
|
|
2
- 1
|
539
|
50,89
|
225
|
1,92
|
17,23
|
-9,287
|
|
7
- 22
|
326
|
20,79
|
160
|
1,55
|
17,96
|
5,855
|
|
22
- 21
|
283
|
23,78
|
180
|
1,4
|
12,98
|
3,673
|
|
21
- 20
|
551
|
28,83
|
200
|
1,37
|
11,06
|
6,094
|
|
20
- 19
|
384
|
33,25
|
225
|
1,25
|
8,12
|
3,118
|
|
19
- 15
|
467
|
37,89
|
250
|
1,16
|
6,19
|
2,891
|
|
15
- 16
|
405
|
86,27
|
280
|
2,1
|
15,48
|
6,269
|
|
16
- 17
|
447
|
90,8
|
280
|
2,21
|
16,94
|
7,572
|
|
17
- 18
|
680
|
97,35
|
315
|
1,59
|
7,46
|
5,073
|
|
18
- 1
|
487
|
102,97
|
355
|
1,33
|
4,64
|
2,26
|
|
|
Сумма
|
-23,823
|
|
Контур
|
11
- 12
|
798
|
5,64
|
90
|
1,33
|
27,66
|
22,073
|
|
12
- 13
|
387
|
14,81
|
125
|
1,81
|
32,02
|
12,392
|
|
13
- 14
|
337
|
35,89
|
160
|
2,67
|
47,36
|
15,96
|
|
14
- 15
|
604
|
42,38
|
180
|
2,5
|
36,21
|
21,871
|
|
15
- 16
|
405
|
86,27
|
280
|
2,1
|
15,48
|
6,269
|
|
16
- 17
|
447
|
90,8
|
280
|
2,21
|
16,94
|
7,572
|
|
17
- 18
|
680
|
97,35
|
315
|
1,59
|
7,46
|
5,073
|
|
18
- 1
|
487
|
102,97
|
355
|
1,33
|
4,64
|
2,26
|
|
11
- 10
|
238
|
2,6
|
90
|
0,61
|
7,01
|
-1,668
|
|
10
- 9
|
451
|
6,72
|
125
|
0,82
|
7,88
|
-3,554
|
|
9
- 8
|
183
|
9,23
|
140
|
0,89
|
8,01
|
-1,466
|
|
8
- 7
|
305
|
35,29
|
200
|
1,68
|
15,83
|
-4,828
|
|
7
- 6
|
452
|
21,48
|
140
|
2,08
|
35,84
|
-16,2
|
|
6
- 5
|
500
|
26,57
|
160
|
1,98
|
27,83
|
-13,915
|
|
5
- 4
|
376
|
36,65
|
180
|
2,15
|
28,01
|
-10,532
|
|
4
- 3
|
575
|
42,15
|
200
|
2,01
|
21,64
|
-12,443
|
|
3
- 2
|
296
|
45,91
|
225
|
1,73
|
14,36
|
-4,251
|
|
2
- 1
|
539
|
50,89
|
225
|
1,92
|
17,23
|
-9,287
|
|
|
Сумма
|
15,326
|
.3 Расчет водоводов
и тупиков
Водоводы - трубопроводы, подающие воду
от основных сооружений в магистральную разводящую сеть. Они прокладываются
между насосной станцией второго подъема и водонапорной башней и на участке от
водонапорной башни до первого водоразборного узла. Как правило, отбор воды из
водоводов не производится.
В зависимости от типа водоисточника, удалённости
его от объекта водоснабжения, рельефа местности, количества транспортируемой
воды, технико-экономических показателей водоводы подразделяются на напорные,
самотечные (или гравитационные) и комбинированные.
Число линий водоводов принимают с учётом
категории системы водоснабжения и очередности строительства. Для обеспечения
необходимой пропускной способности водовода при аварии устраивают через
определенное расстояние переключения.
Расчет водоводов выполняется для тех же режимов,
по которым рассчитывают сеть, определяя экономически найвыгоднейший диаметр
труб и потери напора в них.
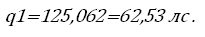
В нашем случае водоводы от водонапорной башни к
узлу 1 прокладывают в две линии. Соответственно, расход по каждой из линий составит
Расход по каждой из линий при пожаре
При аварии на одной из линий рабочая
линия должна пропускать 70% необходимого расхода воды.
Расчет водоводов и тупиков на пропуск секундного
максимального и пожарного расходов воды
сводим в таблицу 12.
Таблица 12 - Расчет водоводов и тупиков на
пропуск секундного максимального и пожарного расходов воды
|
Участок
сети
|
Длина
l, м
|
Число
рабочих линий
|
Предварительное
распределение воды
|
|
|
|
расчетный
расход воды на участке q, л/с
|
диаметр
труб, d, мм
|
скорость
движения воды V, м/с
|
Потери
напора, м
|
|
|
|
|
|
|
1000i
|
на
участке h = il
|
|
Максимальный
водоразбор
|
|
ВБ-1
|
445
|
2
|
62,53
|
280
|
1,52
|
8,75
|
3,894
|
|
445
|
1
|
87,54
|
315
|
1,43
|
6,17
|
2,746
|
|
5
- 23
|
492
|
1
|
4,52
|
90
|
1,06
|
18,66
|
9,181
|
|
8
- 24
|
551
|
1
|
4,28
|
90
|
1,01
|
16,96
|
9,345
|
|
12
- 25
|
391
|
1
|
2,99
|
75
|
1,01
|
21,37
|
8,356
|
|
Максимальный
водоразбор при пожаре
|
|
ВБ-1
|
445
|
2
|
80,03
|
315
|
1,31
|
5,26
|
2,341
|
|
445
|
1
|
112,04
|
355
|
1,44
|
5,39
|
2,399
|
|
5
- 23
|
492
|
1
|
4,52
|
90
|
18,66
|
9,181
|
|
8
- 24
|
551
|
1
|
4,28
|
90
|
1,01
|
16,96
|
9,345
|
|
12
- 25
|
391
|
1
|
2,99
|
75
|
1,01
|
21,37
|
8,356
|
Окончательно принимаем диаметр водоводов dв=355
мм. Результаты пересчета потерь для этого диаметра сводим в таблицу 13.
Таблица 13 - Расчет водоводов и тупиков на
пропуск секундного максимального и пожарного расходов воды
|
Участок
сети
|
Длина
l, м
|
Число
рабочих линий
|
Предварительное
распределение воды
|
|
|
|
расчетный
расход воды на участке q, л/с
|
диаметр
труб, d, мм
|
скорость
движения воды V, м/с
|
Потери
напора, м
|
|
|
|
|
|
|
1000i
|
на
участке h = il
|
|
Максимальный
водоразбор
|
|
ВБ-1
|
445
|
2
|
62,53
|
355
|
0,81
|
1,92
|
0,854
|
|
445
|
1
|
87,54
|
355
|
1,13
|
3,48
|
1,549
|
|
5
- 23
|
492
|
1
|
4,52
|
90
|
1,06
|
18,66
|
9,181
|
|
8
- 24
|
551
|
1
|
4,28
|
90
|
1,01
|
16,96
|
9,345
|
|
12
- 25
|
391
|
1
|
2,99
|
75
|
1,01
|
21,37
|
8,356
|
|
Максимальный
водоразбор при пожаре
|
|
ВБ-1
|
445
|
2
|
80,03
|
355
|
1,03
|
2,97
|
1,322
|
|
445
|
1
|
112,04
|
355
|
1,44
|
5,39
|
2,399
|
|
5
- 23
|
492
|
1
|
4,52
|
90
|
1,06
|
18,66
|
9,181
|
|
8
- 24
|
551
|
1
|
4,28
|
90
|
1,01
|
16,96
|
9,345
|
|
12
- 25
|
391
|
1
|
2,99
|
75
|
1,01
|
21,37
|
8,356
|
4. Определение основных геометрических размеров
резервуара водонапорной башни
Общий объем водонапорной башни Wб,
м3, определяется по следующей формуле
Где
Wр
- регулирующий
объем воды, м3;
Wп
-
неприкосновенный противопожарный
запас воды, м3.
Регулирующий объем водонапорной
башни определяем при ступенчатой работе насосной станции второго подъема. Более
точно регулирующий объем подсчитывается табличным способом. В таблице 14
приведен расчет варианта работы насосной станции второго подъема при
ступенчатой подаче.
Таблица 14 - Расчет регулирующей емкости
водонапорной башни
|
Часы
суток
|
Расход
воды населенным пунктом, %
|
Подача
воды насосами II подъема, %
|
Поступление
в бак, %
|
Расход
из бака, %
|
Остаток
воды в баке, %
|
|
|
|
|
|
|
|
0
- 1
|
1,15
|
1,8
|
0,65
|
|
0,65
|
|
1
- 2
|
1,08
|
1,8
|
0,72
|
|
1,37
|
|
2
- 3
|
1,08
|
1,8
|
0,72
|
|
2,09
|
|
3
- 4
|
1,09
|
1,8
|
0,71
|
|
2,8
|
|
4
- 5
|
1,79
|
1,8
|
0,01
|
|
2,81
|
|
5
- 6
|
9,56
|
8,2
|
|
1,36
|
1,45
|
|
6
- 7
|
10,27
|
8,2
|
|
2,07
|
-0,62
|
|
7
- 8
|
3,94
|
4,2
|
0,26
|
|
-0,36
|
|
8
- 9
|
4,5
|
4,2
|
|
0,3
|
-0,66
|
|
9
- 10
|
4,47
|
4,2
|
|
0,27
|
-0,93
|
|
10
- 11
|
4,47
|
4,2
|
|
0,27
|
-1,2
|
|
11
- 12
|
4,47
|
4,2
|
|
0,27
|
-1,47
|
|
12
- 13
|
3,57
|
4,2
|
0,63
|
|
-0,84
|
|
13
- 14
|
3,58
|
4,2
|
0,62
|
|
-0,22
|
|
14
- 15
|
3,93
|
4,2
|
0,27
|
|
0,05
|
|
15
- 16
|
4,29
|
4,2
|
|
0,09
|
-0,04
|
|
16
- 17
|
4,33
|
4,2
|
|
0,13
|
-0,17
|
|
17
- 18
|
3,94
|
4,2
|
0,26
|
|
0,09
|
|
18
- 19
|
3,59
|
4,2
|
0,61
|
|
0,7
|
|
19
- 20
|
3,24
|
4,2
|
0,96
|
|
1,66
|
|
20
- 21
|
9,91
|
8,2
|
|
1,71
|
-0,05
|
|
21
- 22
|
9,21
|
8,2
|
|
1,01
|
-1,06
|
|
22
- 23
|
1,44
|
1,8
|
0,36
|
|
-0,7
|
|
23
- 24
|
1,1
|
1,8
|
0,7
|
|
0
|
|
Итого
|
100
|
100
|
7,48
|
7,48
|
|
Неприкосновенный
противопожарный запас воды в баках водонапорных башен 
, мі, следует рассчитывать на
десятиминутную продолжительность тушения одного внутреннего и одного наружного
пожаров при подаче наибольшего расхода воды на другие нужды по формуле:
где 
- секундный максимальный расход в
сети, л/с;
Регулирующий
объем воды

, м3, можно определить по
ступенчатому или интегральному графику водопотребления и работы насосов второго
подъема.
Следовательно, мы можем определить общий
объем водонапорной башни
Т.к. объем бака водонапорной башни
равен 135,45
мі, то принимаем кирпичную
водонапорную башню с железобетонным баком объемом W = 150
м3.
Бак водонапорной башни выполняется в
форме цилиндра высотой h
и диаметром d.
Как правило высота башни
Объем бака подсчитывается по формуле
Из данного уравнения выражаем d
Высота цилиндра бака водонапорной
башни h
Площадь основания найдем по формуле
Найдем глубину каждого слоя.
Глубина регулирующего слоя
Глубина полного неприкосновенного
противопожарного слоя
Общая глубина воды в баке
водонапорной башни
5. Определение высоты ствола водонапорной башни
Высота ствола водонапорной башни
определяется по формуле
Где
Hсв
- свободный
напор в диктующей точке, м;
Уh
- сумма
потерь напора в трубах сети при максимальном водозаборе на участках от башни до
диктующей точки, м;
Свободный напор в сети водопровода
для хозяйственно-питьевого водопотребления определяется в зависимости от
этажности зданий: при одноэтажной застройке Hсв
составляет не менее 10 м, а при большей этажности на каждый этаж добавляется по
4 м.
Следовательно

где n
- количество этажей жилых кварталов, n = 5, n
= 3.
Так,
свободный напор Hсв,
м, для жилых кварталов с пятиэтажной застройкой (n
= 5)
В данном
курсовом проекте 
= 100 м.
Сумма 
по пути ВБ - 1 - 2 - 3 - 4 - 5 - 6
-
7 - 8
-
9 - 10 - 11 составляет
Сумма 
по пути ВБ - 1 -18
- 17
- 16
- 15
-
14
- 13 - 12 -
11
составляет
Сумма 
по пути ВБ - 1 - 18
-
17
- 16
- 15
- 19 - 20 - 21 - 22 - 7 - 8 - 9 -
10 - 11 составляет
Принимаем
максимальное значение потерь 
В
рассматриваемом контуре диктующей является точка 11, поэтому
именно для нее и рассчитывается высота ствола водонапорной башни.
Проверим
достаточность вычисленной высоты башни для обеспечения нужного напора при
пожаре в диктующей точке 11.
Необходимая
высота башни при пожаре
Свободный напор
в сети противопожарного водопровода низкого давления при тушении пожара должен
быть не менее 10 м от поверхности земли.
Сумма 
по пути ВБ - 1 -18
- 17
- 16
- 15
-
14
- 13 - 12 -
11
составляет
Тогда
необходимая высота башни при пожаре
Так как 
, то принимаем 
, но во время возникновения пожара
автоматически включаются пожарные насосы для обеспечения требуемого напора.
6. Определение объема
и геометрических размеров резервуара чистой воды
Для
повышения надежности системы водоснабжения применяют резервуары чистой воды
(РЧВ) для хранения в них регулирующего, противопожарного, аварийного запасов
воды и запаса воды на собственные нужды. Общее число резервуаров в одном узле
должно быть не менее двух.
Общий объём
резервуара чистой воды, W, м3,
где Wp
- регулирующий объём воды, м3;
Wпож
- полный неприкосновенный
противопожарный запас воды, м3;
Wсоб.нужды.
- объем воды на собственные нужды водоочистной станции, м3.
Регулирующий объем вычисляем по
таблице 15.
Таблица 15 - Расчет регулирующей емкости РЧВ
|
Часы
суток
|
Подача
воды насосами НС I, %
|
Забор
воды насосами НС II, %
|
Поступление
в бак, %
|
Расход
из бака, %
|
Остаток
воды в баке, %
|
|
0
- 1
|
4,17
|
1,8
|
|
2,37
|
-2,37
|
|
1
- 2
|
4,17
|
1,8
|
|
2,37
|
-4,74
|
|
2
- 3
|
4,16
|
1,8
|
|
2,36
|
-7,1
|
|
3
- 4
|
4,17
|
1,8
|
|
2,37
|
-9,47
|
|
4
- 5
|
4,17
|
1,8
|
|
2,37
|
-11,84
|
|
5
- 6
|
4,16
|
8,2
|
4,04
|
|
-7,8
|
4,17
|
8,2
|
4,03
|
|
-3,77
|
|
7
- 8
|
4,17
|
4,2
|
0,03
|
|
-3,74
|
|
8
- 9
|
4,16
|
4,2
|
0,04
|
|
-3,7
|
|
9
- 10
|
4,17
|
4,2
|
0,03
|
|
-3,67
|
|
10
- 11
|
4,17
|
4,2
|
0,03
|
|
-3,64
|
|
11
- 12
|
4,16
|
4,2
|
0,04
|
|
-3,6
|
|
12
- 13
|
4,17
|
4,2
|
0,03
|
|
-3,57
|
|
13
- 14
|
4,17
|
4,2
|
0,03
|
|
-3,54
|
|
14
- 15
|
4,16
|
4,2
|
0,04
|
|
-3,5
|
|
15
- 16
|
4,17
|
4,2
|
0,03
|
|
-3,47
|
|
16
- 17
|
4,17
|
4,2
|
0,03
|
|
-3,44
|
|
17
- 18
|
4,16
|
4,2
|
0,04
|
|
-3,4
|
|
18
- 19
|
4,17
|
4,2
|
0,03
|
|
-3,37
|
|
19
- 20
|
4,17
|
4,2
|
0,03
|
|
-3,34
|
|
20
- 21
|
4,17
|
8,2
|
4,03
|
|
0,69
|
|
21
- 22
|
4,16
|
8,2
|
4,04
|
|
4,73
|
|
22
- 23
|
4,17
|
1,8
|
|
2,37
|
2,36
|
|
23
- 24
|
4,16
|
1,8
|
|
2,36
|
0
|
|
Итого
|
100
|
100
|
16,57
|
16,57
|
|
Полный неприкосновенный пожарный
объём воды, Wпож,
м3,
где n
- расчетное число одновременных пожаров [3], n
= 2;
Tпож
-
время тушения пожара, Tпож
=
3 часа;
qв и
qн -
расходы воды на наружное и внутреннее пожаротушение, л/с.
Объем
воды на собственные нужды водоочистной станции рассчитывается на две промывки
одного фильтра. При отсутствии данных о водоочистной станции объем можно
определить ориентировочно как 3-12% от Qсут.max.. Примем 12%.
Общий объём резервуара чистой воды
составит
Принимаем два
типовых резервуара,
объемом
по
500
м3 каждый, из
сборного железобетона, высотой 3,6
м, шириной
12 м, длиной 12м.
Определим слои воды для каждого
резервуара.
где 2 - количество резервуаров;
F
- площадь резервуара, м2.
Наивысший
уровень воды в резервуаре
5
принимают на 0,5 м выше отметки поверхности земли
1
Отметка дна резервуара
Отметка высшего уровня воды в
резервуаре при хранении его неприкосновенного противопожарного объёма
3
=
2
+ hпож,
где hпож
- высота противопожарного слоя воды, вычисляется по формуле (37)
Отметка уровня воды в резервуаре при хранении
его аварийного объёма
где hсобст.нужды
- высота слоя воды на собственные нужды,
вычисляется по формуле (38)
Отметка уровня воды в резервуаре при
хранении его регулирующего объёма
где hр
- высота регулирующего слоя воды, вычисляется по формуле (36)
7. Определение свободных напоров в узловых точках сети
.1 Построение
пьезометрических линий при максимальном водопотреблении
Свободные напоры определяются во
всех расчетных узлах магистральной водопроводной сети, водоводах и водонапорной
башне (до дна резервуара). За диктующую точку принимаем наиболее удаленную от
источника питания точку 11.
Начальная отметка пьезометра равна
сумме отметки поверхности земли и свободного напора в критической точке.
Пьезометрическая отметка последующего узла равна разности
пьезометрической отметки предыдущего узла и потерь напора на расчетном участке.
Величина фактического свободного напора равна разности между пьезометрической
отметкой и отметкой поверхности земли.
Расчеты по определению свободных
напоров для максимально хозяйственного водопотребления сводим в таблицу 16.
Таблица 15
- Определение
свободных напоров для максимального водопотребления
|
Номер
расчетных узлов
|
Номера
расчетных участков
|
Потери
напора на участках, м
|
Свободный
напор Нсв, м
|
Отметки,
м
|
Фактический
свободный напор Нф, м
|
|
|
|
|
пьезометрические
|
поверхности
земли
|
|
|
|
|
|
|
|
|
|
|
|
|
|
|
|
|
ВБ
|
|
|
66,2
|
170,9
|
104,7
|
66,2
|
|
1
|
ВБ-1
|
0,854
|
18
|
170,05
|
103,2
|
66,85
|
|
18
|
1
- 18
|
1,432
|
26
|
168,62
|
102,1
|
66,52
|
|
17
|
18
- 17
|
3,108
|
26
|
165,51
|
102,4
|
63,11
|
|
16
|
17
- 16
|
4,528
|
26
|
160,98
|
101,6
|
59,38
|
|
15
|
16
- 15
|
3,617
|
26
|
157,36
|
100,8
|
56,56
|
|
14
|
15
- 14
|
7,314
|
26
|
150,05
|
99,6
|
50,45
|
|
13
|
14
- 13
|
3,977
|
26
|
146,07
|
98,6
|
47,47
|
|
12
|
13
- 12
|
9,605
|
26
|
136,47
|
98,7
|
37,77
|
|
11
|
12
- 11
|
10,31
|
26
|
126,16
|
100
|
26,16
|
Т.к. фактический свободный напор
больше необходимого свободного напора, то напор, создаваемый в диктующей точке,
достаточен.
.2 Построение пьезометрических линий при
максимальном водопотреблении и пожаре
Расчеты произведем аналогичным
способом для свободных напоров при пожаре.
Расчеты по определению свободных
напоров при пожаре сводим в таблицу 16.
Таблица 16
- Определение свободных напоров при пожаре
|
Номер
расчетных узлов
|
Номера
расчетных участков
|
Потери
напора на участках, м
|
Свободный
напор Нсв,м
|
Отметки,
м
|
Фактический
свободный напор Нф, м
|
|
|
|
|
Пьезометрические
|
поверхности
земли
|
|
|
|
|
|
|
|
|
|
|
|
|
|
|
|
|
ВБ
|
|
|
69,7
|
174,4
|
104,7
|
69,7
|
|
1
|
ВБ-1
|
1,322
|
10
|
173,08
|
103,2
|
69,88
|
|
18
|
1
- 18
|
2,474
|
10
|
170,61
|
102,1
|
68,51
|
|
17
|
18
- 17
|
5,583
|
10
|
165,03
|
102,4
|
62,63
|
|
16
|
17
- 16
|
8,395
|
10
|
156,64
|
101,6
|
55,04
|
|
15
|
16
- 15
|
6,994
|
10
|
149,65
|
100,8
|
48,85
|
|
14
|
15
- 14
|
18,114
|
10
|
131,54
|
99,6
|
31,94
|
|
13
|
14
- 13
|
12,782
|
10
|
118,76
|
98,6
|
20,16
|
|
12
|
13
- 12
|
6,807
|
10
|
111,95
|
98,7
|
13,25
|
|
11
|
12
- 11
|
1,859
|
10
|
110,09
|
100
|
10,09
|
Т.к. фактический свободный напор
больше необходимого свободного напора, то напор, создаваемый в диктующей точке,
достаточен.
Заключение
В данном курсовом проекте запроектирована
водопроводная сеть города Бобруйска.
Город расположен в Могтлевской
области.
Численность населения города - 11757
человек, плотность - 30
чел/га. В данном населенном пункте имеется два
крупных промышленных предприятия. Застройка города трех- и пятиэтажная. В
этажных зданиях устроен внутренний водопровод, канализация, без
ванн и душей.
Проект включил в себя расчеты
расходов воды на хозяйственно-питьевые и производственные нужды с учетом
неравномерности водопотребления на протяжении года, суток, часов, а также
расчет расхода на полив территории.
По составленной таблице
распределения расхода воды населенного пункта по часам суток найдено значение
наибольшего часового водопотребления, которое наблюдается с 6
до 7
часов и равно Qmax.час
= 214,18
м3/ч.
В ходе гидравлического расчета сети
определены экономически найвыгоднейшие
диаметры труб и потери напора в трубопроводе. В
данном курсовом проекте приняты пластмассовые трубы (полиэтиленовые, ГОСТ
18599-2001).
Для хранения регулирующего и
пожарного запасов воды и для создания свободного напора в диктующей точке
принята
кирпичная водонапорная башня с железобетонным
баком объемом W = 150
м3. Диаметр бака d = 6,6
м, высота h = 4,4 м. Высота
ствола водонапорной башни Нб=66,2
м.
Также для хранения регулирующего,
неприкосновенного противопожарного запасов и расхода воды на собственные нужды
водоочистной станции спроектировано два
резервуара чистой воды прямоугольной формы из сборного железобетона
объемом W = 500
м3.
Определив
свободные напоры в узловых точках при максимальном водопотреблении и при пожаре,
построили пьезометрические линии.
водопотребление питьевой
расход гомель
Список использованных источников
1 Водоснабжение
питьевое. Общие положения и требования: СНБ 4.01.
01 -03.
- Введ. 01.01.05 взамен СНиП 2.04.02-84. - Минск: Минстройархитектуры, 2004. -
23 с.
2 Луханина, А.Д.
Водопроводные сети и сооружения: метод. пособие по выполнению курсового и
дипломного проекта / А.Д. Луханина. - Гомель: БелГУТ, 1994. - 38 с.
Противопожарное
водоснабжение: СНБ 4.01.02-03. - Введ. 01.07.04 с отменой в РБ СНиП 2.04.02-84
и СНиП 2.04.01-85. - Минск: Минстройархитектуры, 2004. - 20 с.
4 Строительная
климатология: СНБ 2.04.05-2000. - Введ. 07.01.01 взамен СНиП 2.01.01-82. - Минск:
Минстройархитектуры, 2001. - 37 с.
Шевелев, Ф.А. Таблицы
для гидравлического расчета водопроводных труб: справ. пособие / Ф.А. Шевелев,
А.Ф. Шевелев. - М.: Стройиздат, 1984. - 116с.