Проект установки гидроочистки дизельного топлива

  • Вид работы:
    Дипломная (ВКР)
  • Предмет:
    Другое
  • Язык:
    Русский
    ,
    Формат файла:
    MS Word
    1,36 Мб
  • Опубликовано:
    2013-10-29
Вы можете узнать стоимость помощи в написании студенческой работы.
Помощь в написании работы, которую точно примут!

Проект установки гидроочистки дизельного топлива















Проект установки гидроочистки дизельного топлива

гидроочистка химический дизельный топливо

Введение

Увеличение объема производства нефтепродуктов, расширение их ассортимента и улучшение качества - основные задачи, поставленные перед нефтеперерабатывающей промышленностью в настоящее время. Всовременных НПЗ доля вторичных процессов постоянно растет, в тоже время растет и глубина переработки нефтепродуктов, продукты требуют облагораживания- в связи с этим гидроочистка выходит на передовое место среди вторичных процессов на нефтеперерабатывающих заводах. В наше время увеличивается количество сернистых и высокосернистых нефтей, поступающих на НПЗ, также увеличивается поступление дизельных фракций с установок вторичных процессов, которые в отличие от прямогонной дизельной фракции содержат большее количество серосодержащих, азотсодержащих, кислородсодержащих соединений, а также олефинов, таким образом очень сильно снижается качество сырья на установках гидроочистки. Содержание серы - самый важный показатель у современных дизельных топлив. Он нормируется для всех классов дизельного топлива и в соответствии с классом может составлять 50 и 10 мг/кг.

Гидроочистка - процесс химического превращения веществ под воздействием водорода при высоком давлении и температуре. Гидроочистка нефтяных фракций направлена на снижение содержания сернистых соединений в товарных нефтепродуктах.

Побочно происходит насыщение непредельных углеводородов, снижение содержания смол, кислородсодержащих соединений, а также гидрокрекинг молекул углеводородов. Гидроочистка является основным вторичным процессом в нефтепереработке, ни один современный нефтеперерабатывающий завод не может обойтись без установки гидроочистки.

Благодаря гидроочистке происходит облагораживание всех фракций, получаемых на НПЗ. В соответствии с заданием на курсовой проект необходимо спроектировать установку гидроочистки дизельного топлива с производительностью 900 тыс. т/год.

1. Характеристика сырья, получаемых продуктов, свсг, цвсг и реагентов

Качество сырья установки гидроочистки оказывает большое влияние как на параметры процесса, так и на качество и выход получаемых продуктов. При выборе параметров и катализаторов процесса необходимо учитывать химический состав: содержание серо- и азотсодержащих соединений; содержание полиароматических углеводородов, смол и асфальтенов, вызывающих снижение активности катализаторов процесса гидроочистки за счет отложений кокса; содержание металлов (никель, железо, ванадий), способных отлагаться на поверхности катализатора.

В качестве сырья установки гидроочистки дизельного топлива была взята прямогонная дизельная фракция с температурами выкипания 180 - 360 0С.

На установке гидроочистки выделяют: бензин - отгон (температура конца кипения 180 0С) и гидроочищенное дизельное топливо.

Характеристика сырья, гидрогенизата и бензин - отгона, полученных в процессе гидроочистки дизельного топлива представлены табл. 1.1.

Таблица 1.1. Характеристика сырья, гидроочищенного дизельного топлива и бензтн-отгона.

Показатели качества

Сырье

Гидрогенизат

Бенз-отгон

Плотность при 20 0С, кг/м3

0,843

0,838

0,725

Фракционный состав (разгонка по ГОСТ), 0С:




н. к.

180

180

43

10%

222

237

72

50%

268

268

100

90%

318

318

151

к.к.

360

350

180

Содержание серы

0,91

0,005

-

Йодное число

2,5

-

-


Углеводородный состав свежего (СВСГ) и циркулирующего (ЦВСГ) водородсодержащих газов и газов реакции представлен в табл.1.2.

Таблица 1.2. Химический состав СВСГ, ЦВСГ и углеводородных газов (%об.)

Компон.

СВСГ,%

M

СВСГ, % мас.

ЦВСГ, %об

ЦВСГ % мас.

УВГ %.

УВГ % мас.

Водород

99,9

2

99,2

84

27,8

-

-

Метан

0,1

16

0,8

7,7

20,4

59

40,2

Этан


30


4,9

24,3

29,7

37,9

Пропан


44


2,2

16,0

10

18,7

Изобутан


58


0,6

5,8

0,7

1,7

Н-бутан


58


0,6

5,8

0,6

1,5

Итого

100

2,014

100

100

100,0

100

100


В процессе гидроочистки дизельного топлива использовался катализатор РК-231М, фирмы KNTgroupсо следующими физико-химическими характеристиками:

Таблица 1.3. Характеристика катализатора РК-231М.

Показатель

Значение

Форма и размер гранул

Цилиндрич., d=1,6-3,0, L=3-15 мм

Содержание активных металлов, % масс., не более

12-15 Мо; 4,0-5,0 Со

Индекс прочности, кг/мм2, не менее

2,2

Насыпная плотность, г/см3, в пределах:

0,6-0,8

Массовая доля крошки, %, не более

1,0

Массовая доля потерь при прок. (ППП) при 500°C, %, не более

3,0



2. Выбор и обоснование схемы установки и параметров процесса

Технологические схемы установок гидроочистки имеют много общего и различаются по мощности, размерам и технологическому оформлению реакционных блоков, блоков сепарации и стабилизации.

Все установки гидроочистки имеют в своем составе следующие блоки:

реакторный блок;

блок стабилизации гидрогенизата;

блок сепарации;

блок очистки циркулирующего водородсодержащего газа и газов реакции от сероводорода раствором моноэтаноламина и регенерации раствора моноэтаноламина[1].

Реакторный блок состоит из сырьевых насосов, теплообменников нагрева газосырьевой смеси, печи, реактора, водяного холодильника и аппарата воздушного охлаждения. Основной аппарат реакторного блока - реактор, в нем осуществляется процесс гидроочистки дизельной фракции. Опыт эксплуатации установок гидроочистки дизельного топлива свидетельствует о целесообразности проведения процесса в реакторе с аксиальным вводом сырья в неподвижном слое катализатора. Такого типа реактор выбран в данном проекте.

Рис 2.1

Два параллельно соединенных реактора

Рис. 2.2

Два последовательно соединенных реактора

Рис. 2.3

На проектируемой установке выбираем схему с одним реактором , т.к. такая схема экономически более целесообразна - меньше капитальные и эксплуатационные затраты.

На установке применяем схему «с циркуляцией» водородсодержащего газа. Применение схемы с циркуляцией позволяет поддерживать нужное соотношение водород: сырье, изменяя кратность циркуляции водородсодержащего газа, и в меньшей степени зависит от работы установки каталитического риформинга. Наличие циркуляционного компрессора дает возможность проводить газовоздушную регенерацию катализатора.

При работе установки с циркуляцией водородсодержащего газа появляется возможность обеспечения более высокого парциального давления водорода и за счет увеличения удельного расхода водородсодержащего газа, и за счет повышения концентрации водорода в газе при его сепарации.

В процессе гидроочистки дизельной фракции сепарация гидрогенизата применяется для выделения водородсодержащего газа и углеводородного газа. Сепарация газопродуктовой смеси осуществляется в газосепараторах.

Выбор схемы узла сепарации гидрогенизата определяется конкретными условиями производства. Существуют два способа сепарации- холодный и горячий. Выбор холодной или горячей сепарации водородсодержащего газа из газопродуктовой смеси определяется также ресурсами водорода на заводе.

На установке используем горячую сепарацию газопродуктовой смеси. Горячая сепарация бывает двух-, трех- и четырехступенчатой по давлению, что зависит от давления в реакторе. По схеме с горячей сепарацией газопродуктовая смесь лишь частично охлаждается в сырьевых теплообменниках (до 230-300 оС) и поступает в горячий сепаратор высокого давления, в котором происходит отделение газопаровой фазы от жидкой. Газопаровая фаза, включающая ВСГ, газы реакции и пары бензина, охлаждается и конденсируется в теплообменниках, воздушных и водяных холодильниках и поступает в холодный сепаратор высокого давления, в котором сверху выделяется циркулирующий водородсодержащий газ, а снизу - жидкая фаза с растворенными углеводородными газами. Далее из жидкой фазы в сепараторе низкого давления выделяются углеводородные газы. Жидкая фаза из горячего сепаратора поступает в колонну ректификации (стабилизации), куда также подают жидкую фазу из холодного сепаратора низкого давления.

Горячая сепарация более эффективна, чем холодная, так как на установке существенно снижаются эксплуатационные расходы - меньше расход энергии и на нагрев, и на охлаждение. Недостатком горячей сепарации является некоторое увеличение расхода водорода из-за его растворения в горячем гидрогенизате. На современных заводах имеются установки по производству технического водорода, что значительно увеличивает ресурсы водорода для гидрогенизационных процессов.

Число ступеней сепарации газопродуктовой смеси увеличивается при повышении давления в реакторе, так как это позволяет снизить потери легкокипящих компонентов с газами.

Существует несколько схем стабилизации нестабильного дизельного топлива, которые отличаются способом поддержания температуры в низу ректификационной колонны или применяемым испаряющим агентом.

Существует вариант обвязки колонны стабилизации с рибойлером, т.е. с подачей паров стабильного дизельного топлива в низ колонны из рибойлера, нагрев в котором происходит за счет тепла газопродуктовой смеси из реактора. Преимущество данной схемы - отсутствие горячего насоса для рециркулята и печи, которая заменяется рибойлером, более компактным и менее сложным в эксплуатации. Недостаток - низкая производительность колонны.

На НПЗ применяют так же стабилизацию нестабильного дизельного топлива с подачей в куб водяного пара. Достоинство этого варианта - простота технологического оформления, отсутствие нагрева дизельного топлива до высоких температур и низкие эксплуатационные затраты, а недостаток - обводненность дизельного топлива и больший расход тепла на то количество, которое уходит с паром.

В схеме установки применяем стабилизацию с циркуляцией отдуваемого ВСГ, который подогревается в конвекционной камере печи и подается в нижнюю часть стабилизационной колонны с целью снижения парциального давления паров нефтепродуктов. Достоинствами данной схемы являются удобство регулирования температурного режима колонны и независимость блока стабилизации от температурного режима реакторного блока.

На установке предусмотрена раздельная очистка циркулирующего водородсодержащего газа и углеводородных газов реакции от сероводорода, а также регенерация насыщенного раствора моноэтаноламина (МЭА).

Для удаления сероводорода принимается метод очистки газов водным раствором МЭА. Преимущества данного абсорбента:

высокая поглотительная способность;

сравнительно низкая стоимость;

простая регенерация отработанных растворов.

Для удаления сероводорода из ЦВСГ применяем абсорберы, где при температуре 40-450С обеспечивается глубина очистки до остаточного содержания сероводорода не выше 0,004% об. Регенерацию МЭА проводят в десорбере при температуре 120-130 0С и давлении 0,1 МПа[1].

В научно-технической литературе предложены современные катализаторы гидроочистки, которые позволяют при оптимальных технических параметрах получать дизельное топливо, соответствующее современным требованиям.Проанализировав данные научно-технической периодической литературы, выбран катализаторРК-231Мпозволяющий получить дизельное топливо с содержанием серы менее 50 ppm.Параметры процесса выбираем в зависимости от принятого катализатора - РК-231М, исходя из испытаний на пилотных установках рис2.1[2].

Рис. 2.1.

Сырьем служила дизельная фракция содержанием серы 1,4% мас; параметры процесса давление 4 Мпа, соотношение водород:сырье - 400 нм33, W=2 ч-1[2].

Таблица 2.1. Параметры процесса гидроочистки дизельного топлива

Показатели

Единицы измерения

Величина показателя

Рабочее давление на входе в реактор Температура на входе в реактор соотношение водород:сырье, не менее Объемная скорость подачи сырья Расход водорода Тип катализатора

МПа 0С Нм33 сырья ч-1 % мас.

5,0 340 400 2,0 0,8 РК-231М



3. Технологическая схема установки и ее краткое описание

Технологическая схема установки гидроочистки дизельного топлива представлена на рис. 3.1.

В состав разработанной схемы гидроочистки дизельного топлива входят реакторный узел, узел стабилизации гидрогенизата, узел очистки циркулирующего водородсодержащего и углеводородных газов от сероводорода водным раствором амина и узел регенерации насыщенного раствора амина.

Сырье - прямогонная дизельная фракция (фракция 180 - 360 0С) - смешивают с циркулирующим водородсодержащим газом (ЦВСГ), нагнетаемым центробежным компрессором ЦК-1. Газосырьевая смесь (ГСС) нагревается сначала в теплообменнике Т-1 потоком стабильного гидрогенизата, в теплообменниках Т-2,Т-2/ потоком газопродуктовой смеси (ГПС), в печи П-1 и поступает в реактор Р-1. Контролируется расход сырья после насоса Н-1.

Газопродуктовая смесь после реактора Р-1, отдает теплоту газосырьевой смеси в теплообменниках Т-2,Т-2/ и с температурой 200 0С поступает в горячий сепаратор (высокого давления) С-1. Контролируют уровень жидкой фазы в сепараторе С-1. Газопаровая фаза из горячего сепаратора отдает теплоту жидкой фазе холодного сепаратора С-2 и охлаждается до 100 0С в теплообменнике Т-3, затем смесь газов и паров охлаждают до 400С в аппарате воздушного охлаждения АВО-2 и в водяном холодильнике ВХ-1, и направляют в холодный сепаратор (высокого давления) С-2, где отделяется циркулирующий водородсодержащий газ. Предварительно нагретую жидкую фазу из холодного сепаратора и жидкую фазу из горячего сепаратора С-1 направляют в колонну стабилизации К-1 на 20 и 14 тарелки, считая снизу.

Водородсодержащий газ (ВСГ) из сепаратора С-2 подвергают очистке от сероводорода в абсорбере К-2 с 24 тарелками 10-15 %-ным водным раствором моноэтаноламина (МЭА). Водородсодержащий газ подают под нижнюю тарелку, а раствор МЭА - на верхнюю тарелку. Кроме того предусмотрена подача парового конденсата в верхнюю часть абсорбера для дополнительной отмывки сероводорода из ВСГ. Условия в абсорбере - 30-40 0С и давление 2,5 - 3,0 МПа. Очищенный от сероводорода ВСГ после отдува возвращается в систему циркуляции водородсодержащего газа, а насыщенный раствор МЭА с низа адсорбера направляют на регенерацию в десорбер К-6. Для поддержания необходимой концентрации водорода в циркулирующем водородсодержащем газе в него подают свежий водород содержащий газ.

Стабилизационная колонна К-1 предназначена для получения стабильного гидрогенизата, бензин-отгона и углеводородного газа с сероводородом. Колонна имеет переменный диаметр. Различия по диаметру объясняется тем, что количество верхнего продукта значительно меньше количества нижнего, получаемого в колонне К-1. Условия эксплуатации стабилизационной колонны: давление в зоне питания находится в пределах 0,16-0,20 МПа, температура верха колонны 130-1400С, а низа - 240-2800С[1].

С верха колонны К-1 отбирают часть бензиновой фракции и углеводородный газ. Бензин-отгон насосом Н-2 подают в качестве острого орошения колонны стабилизации, а балансовое его количество подается в колонну К-4 для отдувки сероводорода от бензина. Бензин из колонны К-4 выводят с установки, а углеводородные газ с сероводородом направляют в абсорбер К-5, в котором очищают от сероводорода раствором МЭА. Колонна К-4 заполнена керамической насадкой двумя слоями, высота слоя 2,5 м.

Углеводородный газ, содержащий сероводород, из сепаратора С-3 направляют в абсорбер К-3, где углеводородный газ очищают от сероводорода водным раствором МЭА. В абсорбере смонтировано 20 тарелок, давление 0,5 - 0,7 МПа.

С куба колонны К-1 выводится стабильный гидрогенизат, часть которого циркулирует через печь П-2, организуя горячую струю, а балансовое его количество после охлаждения в АВО-1, выводится с установки.

Насыщенный кислыми газами водный раствор МЭА из абсорберов К-2, К-3 и К-5 дегазируют в сепараторе при пониженном давлении (на схеме не показано) и направляют на регенерацию в десорбер К-6. В десорбере происходит удаление сероводорода из насыщенного раствора МЭА, который подают на одну из верхних тарелок с температурой 100 0С. В низу десорбера поддерживают температуру 115-120 0С циркуляцией раствора МЭА через термосифонный теплообменник Т-5, в котором в качестве теплоносителя используют водяной пар. Температуру в верхудесорбера поддерживают в пределах 105-110 0С с подачей раствора МЭА в качестве орошения. Сероводород с парами воды и унесенным амином проходит конденсаторы-холодильники воздушного и водяного охлаждения АВО-4 и ВХ-3 и поступает в сепаратор С-4, из которого сверху отбирают сероводород, снизу - конденсат с растворенным сероводородом. В десорбере (диаметром 2,2 м, высота 26 м) смонтирована 21 тарелка.

Сероводород далее направляют на процесс Клауса для производства элементарной серы или на установку производства серной кислоты.

Для предотвращения вспенивания раствора МЭА на тарелках абсорберов в систему подают антивспениватель, а для удаления механических прмесей из регенерированного раствора МЭА предусмотрена его фильтрация (на схеме не показана).

4. Характеристика основного оборудования и условия его эксплуатации

.1 Реактор

Реактор гидроочистки дизельного топлива Р-1. Он представляют собой горизотальный цилиндрический аппараты с аксиальным вводом сырья. В реактор загружен катализатор, находящийся на опорной решетке. Над слоем катализатора засыпан слой фарфоровых шаров, которые удерживают катализатор от уноса и способствует более равномерному распределению газосырьевой смеси по сечению реактора. Газосырьевая смесь подается через верхний штуцер, проходя через гаситель потока, с целью снижения скорости потока и фильтр. Затем газосырьевая смесь попадает на контактно - распределительное устройство, которое обеспечивает равномерное распределение парожидкостного потока сырья в верхней части реактора.

Реактор Р-1 изготовлены из стали 12ХГНМ с плакирующим слоем из биметалла 20К08Х18Н10Т. Плакирующий слой непосредственно контактирует с компонентами ГСС и ГПС при температурах 340 - 3550С в период реакции и при 500 0С и выше в период газовоздушной регенерации катализатора. Условия эксплуатации: температура внутри реактора 340 - 3550С при условиях ведения процесса, до 500 0С при регенерации - катализатора. Давление в реакторе поддерживается на уровне 5,0 МПа. В реакторе предусмотрены штуцеры для термопар, с помощью которых осуществляется замер и контроль температуры внутри реактора[1].

4.2 Печи и теплообменная аппаратура

Настоящим курсовым проектом предусмотрена установка печи для нагрева газосырьевой смеси перед реакторным блоком и для подвода тепла горячей струей в куб стабилизационной колонны К-1. Спроектирована печи типа ГС1 (вертикально-факельного сжигания топлива с одной камерой радиации). Печи данного типа - узкокамерные, радиантно-конвекционные с верхним отводом дымовых газов. Змеевик камеры радиации представляет собой горизонтальные трубы, выполненые в виде двух настенных экранов одностороннего облучения. В камере конвекции имеется пучок горизонтальных труб. В поду печи расположены газомазутные горелки.

Змеевики данных печей изготавливают из легированной стали типа 08Х18Н10Т. Присутствие хрома предотвращает коррозию, вызываемую сероводородом, сернистыми соединениями. Молибден увеличивает стойкость против ползучести и текучести металла при высоких температурах. Добавка никеля способствует упрочнению стали, повышает сопротивление ползучести.

Для подачи топлива на сжигание в трубчатые печи используем паровые форсунки типа ФГМ. Они обладают необходимой надежностью, характеризуются бесшумной работой и экономичны.

На установке используются теплообменные аппараты кожухотрубчатого типа с плавающей головкой (с подвиной трубной решеткой). Подвижная трубная решетка позволяет трубному пучку свободно перемещаться независимо от корпуса. В аппаратах этой конструкции обеспечивается компенсация температурных удлинений корпуса и трубного пучка. Кроме того, в таких теплообменниках трубные пучки могут быть удалены из корпуса, что облегчает их ремонт, чистку или замену.

Для нагрева и частичного испарения маловязких сред используем рибойлеры с пучком из U - образных труб. Греющим агентом в них является водяной пар. Для поддержания температуры низа десорбера К-5 на уровне 115 - 120 0С предусмотрен подвод тепла в куб через термосифонный теплообменник Т-5, в качестве теплоносителя используют водяной пар.

В качестве конденсатор-холодильников используем теплообменные аппараты кожухотрубчатого типа с плавающей головкой.

Также на установке гидроочистки дизельного топлива применяют аппараты воздушного охлаждения (АВО), что позволяет экономить на охлаждающей воде, сократить затраты труда на чистку аппаратов от солей жесткости, выпадающих из оборотной воды. В настоящем курсовом проекте используем апппараты воздушного охлаждения горизонтального типа. Аппарат состоит из трех трубных секций, составленных из оребренных биметаллических труб. Секции расположены горизонтально и монтируются на металлической конструкции. Привод колеса вентилятора размещается на отдельной раме. Колесо вентилятора, вращаясь в полости коллектора, прогоняет воздух через межтрубное пространство секций, охлаждая продукт. Материал внутреней трубы - сталь различных марок: 12Х18Н10Т, 08Х18Н10Т, 08Х22Н6Т. Длина труб составляет 4 м; число труб а аппарате 564; условное давление в аппарате -5,0 МПа.

4.3 Сепараторы

Настоящим курсовым проектом предусмотрена одноступенчатая горячая и одноступенчатая холодная схема сепарации: на первой стадии ГПС поступает в горячий сепаратор, на второй - в холодный сепаратор, окончательная стабилизация проводится в стабилизационной колонне К-1.

Горячий сепаратор (высокого давления) С-1 предназначен для разделения газопродуктовой смеси, выходящей из реактора, на газовую фазу, которая содержит водородсодержащий и углеводородный газы и на жидкую фазу, которая направляется в стабилизационную колонну К-1. Условия работы сепаратора С-1: температура 2000С, давление 4,6 МПа.

В холодном сепараторе (высокого давления) происходит разделение газовой фазы,выходящей из горячего сепаратора. Газовая фаза сепаратора С-2 содержит водородсодержащий газ и сероводород и направляется в К-3, жидкая фаза подается выше зоны питания стабилизационной колонны К-1. Условия сепаратора С-2: температура не выше 40 0С, давление 4,4 МПа.

4.4 Колонные аппараты

Стабилизационная колонна К-1 предназначена для получения стабильного гидрогенизата, бензин-отгона и углеводородного газа с сероводородом. Колонна имеет переменный диаметр. Различия по диаметру объясняется тем, что количество верхнего продукта значительно меньше количества нижнего, получаемого в колонне К-1. . Условия эксплуатации стабилизационной колонны: давление в зоне питания находится в пределах 0,16-0,20 МПа, температура верха колонны 130-140 0С, а низа - 240-280 0С [1].

Число тарелок в колонне - 25 штук.

Абсорберы К-2, К-3 и К-5 представляют собой вертикальные цилиндрические аппараты с числом барботажных тарелок 24, 20 и 20 соответственно. Их назначение очистка водородсодержащего и углевородных газов от сероводорода водным раствором МЭА.

Условия в абсорбере К-2: температура 30 - 40 0С и давление 2,5 - 3,0 МПа; абсорбцию в К-3 осуществляют при температуре 40 - 45 0С и давление 0,5 - 0,7 Мпа,абсорбцию в К-5 осуществляют при температуре 40 - 45 0С и давление 0,5 - 0,7 МПа

Назначение десорбера К-6 - очистка насыщенного водного раствора от сероводорода. Диаметр колонны К-5 составляет 2,2 м, высота - 26 м, смонтирована 21 тарелка. Условия регенерации раствора МЭА: давление не более 0,15 МПа; температура верха колонны в пределах 105-110 0С; низа - 115-120 0С.

Колонна К-4 предназначена для отдувки сероводорода от бензина. Представляет собой вертикальный цилиндрический аппарат с числом барботажных тарелок 20.

5. Технологический расчет

.1 Исходные данные для расчета

При расчете материальных балансов установок гидроочистки необходимы следующие данные:

годовая производительность установки по сырью, тыс. т/год……900

продолжительность сырьевого цикла, сутки………………………..335

температура газосырьевой смеси на входе в реактор, 0С…………..340

давление газосырьевой смеси на входе в реактор, МПа………… 5,0

давление газопродуктовой смеси на выходе из реактора, МПа….4,8

объемная скорость подачи сырья, ч-1……………………………….2,0

отношение водород:сырье, нм3/м3 сырья…………………………..400

Характеристику сырья и получаемых продуктов см. таблицу 1.1.

.2 Материальные балансы установки и реактора

.2.1 Определение часовой производительности установки

Объемную часовую производительность определяем по формуле:


где Wc - объемная производительность установки;

Gc - годовая производительность установки (900 тыс. тонн/год);

- продолжительность сырьевого цикла (для установок гидроочистки дизельного топлива 335 сут);

- плотность сырья установки (912 кг/м3).


5.2.2 Расчет расхода свежего водородсодержащего газа (СВСГ)

Водород в процессе гидроочистки дизельного топлива расходуется на гидрогенолиз серо-, азот-, кислород- и металлоорганических соединений, на гидрирование непредельных и ароматческих углеводородов. Часть водорода растворяется в гидрогенизате и теряется с углеводородными газами при их последующем выделении из гидрогенизата. Часть водорода также теряется с газами отдува, которые выводятся из системы циркуляции водородсодержащего газа на установке и заменяются свежим водородсодержащим газом со стороны для поддержания необходимой концентрации водорода в ЦВСГ. Кроме того, имеют место механические потери водорода за счет утечки через неплотности.

Водород в составе СВСГ, необходимый для проведения гидрогенизационного процесса, поступает с установок каталитического риформинга или со специальных установок производства водорода. Характеристика СВСГ, который используется на установке гидроочистки дизельного топлива приведена в п.1 настоящего курсового проекта.

Расчет молярной массы и состава СВСГ представлен в таблице 5.1

Таблица 5.1 Расчет молярной массы и состава СВСГ

Компонент

Mi, кг/кмоль

Yi,

1. Водород

2

0,999

1,998

0,992

2. Метан

16

0,001

0,016

0,008

Итого


1,000

2,014

1,000


Массовый расход водорода определяем по формуле:


где GH2 - массовый расход водорода, кг/ч;

CH2 - расход водорода в расчете на сырье, %масс.

Массовый расход СВСГ, подаваемого со стороны, рассчитываем по формуле:


где Gсвсг - массовый расход СВСГ, кг/ч;

yH2 - концентрация водорода в СВСГ, массовые доли от единицы.

Зная массовый расход СВСГ, определяем его расход в расчете на сырье:


где Ссвсг - расход СВСГ в расчете на сырье, %масс.

5.2.3 Расчет расхода циркулирующего водородсодержащего газа (ЦВСГ)

Расход циркулирующего водородсодержащего газа (ЦВСГ) при работе установок гидроочистки дизельного топлива выбираем на основании литературных данных [см. п.2]. При заданной производительности установки по свежему сырью объем ЦВСГ определяем по формуле:


где Vцвсг - объемный расход ЦВСГ, нм3/ч;

Кц - кратность циркуляции ЦВСГ, нм33 сырья.

Массовый расход циркулирующего водородсодержащего газа определяем из соотношения


где Gцвсг - массовый расход ЦВСГ, кг/ч;

Мцвсг - молярная масса ЦВСГ, кг/кмоль.

Молекулярную массу ЦВСГ определяем по формуле:


где Mi - молекулярная масса компонента ЦВСГ, кг/кмоль;

yi - мольная концентрация компонента ЦВСГ.

Расход ЦВСГ в расчете на сырье:


Расчет молярной массы ЦВСГ представлен в таблице 5.2.

Таблица 5.2. Расчет молярной массы ЦВСГ

Компонент

Mi, кг/кмоль

Yi,

1. Водород

2

0,84

1,68

0,278

2. Метан

16

0,077

1,23

0,204

3. Этан

30

0,049

1,47

0,243

4. Пропан

44

0,022

0,97

0,160

5. Изобутан

58

0,006

0,35

0,058

6. Н-Бутан

58

0,006

0,35

0,058

Итого


1,000

6,04

1,000


5.2.4 Определение выхода сероводорода



где GH2S - выход сероводорода, %масс.на сырье;

S0 - содержание серы в исходном сырье, S0 = 0,91 %масс.;

Si - содержание серы в конечных продуктах (0,005 %масс. - содержание серы в гидроочищенном дизельном топливе;

xi - выход гидроочищенных продуктов, в массовых долях от единицы: выход гидроочищенной дизельной фракции равен 0,969; 34 - молярная масса сероводорода, кг/кмоль;

5.2.5 Материальный баланс установки

Выход продуктов реакции (гидроочищенного дизельного топлива, бензинотгона, углеводородных газов) были взяты по литературным данным [1].

Таблица 5.3. Материальный баланс установки гидроочистки дизельного топлива

Статьи балансаса

Расход


% мас

кг/ч

т/сут

т/год

Сырье

100,0

111940

2687

900000

СВСГ

0,8

903

22

7258

водород

0,794

896

21

7200

УВГ

0,006

7

1

58

100,8

112843

2708

907258

дизельное топливо

96,9

108470

2603

872100

бензин отгон

1,3

1455

35

11700

углеводородные газы

0,6

672

16

5400

сероводород

1,0

1081

26

8693

потери

1,0

1165

28

9365

ИТОГО

100,8

112843

2708

907258


5.2.6 Материальный баланс реактора гидроочистки дизельного топлива

Таблица 5.4. Материальный баланс реактора гидроочистки дизельного топлива

Статьи баланса

Расход


%мас

кг/ч

Взято:



сырье

100,0

111940

СВСГ

0,8

903

ЦВСГ

15,1

16845

ИТОГО

115,9

129688

Получено:



дизельное топливо

97,9

109599

бензин-отгон

1,3

1470

углеводородные газы

0,6

691

сероводород

1,0

1083

ЦВСГ

15,1

166845

ИТОГО

115,9

129688


5.2.7 Выбор конструкции и определение размеров реакторов

Существенное значение имеет правильный выбор конструкции реактора. Для процесса гидроочистки дизельного топлива не могут быть успешно применены реакторы с радиальным движением реагирующей смеси из-за невозможности оптимального распределения жидкой фазы по объему катализатора, в них используют аксиальный ввод газосырьевой смеси в слой катализатора.

При аксиальном вводе сырья диаметр реактора и высота слоя катализатора зависят от гидравлического сопротивления слоя катализатора и допустимого значения условной скорости подачи сырья на свободное сечение аппарата, при которой начинается шевеление катализатора. Установлено, что оптимальный перепад давления, который можно рекомендовать для определения диаметра реактора с аксиальным вводом сырья составляет 0,004 - 0,010 МПа на 1 м высоты слоя катализатора в зависимости от вида очищенного сырья [3].

Реакции процесса гидроочистки дизельного топлива - экзотермические и протекают со значительным тепловым эффектом. Для снижения градиента температуры по высоте реакционной зоны слой катализатора разбивают на секции и применяют охлаждение реагирующей смеси между секциями. Высоту каждой секции катализатора принимают такой, чтобы температура в ней не повышалась более чем на 25 0С. По ходу сырьевой смеси меняются скорости и типы реакций, уровни отложения кокса и металлов на катализаторе и активность катализатора, снижается выделение теплоты, поэтому увеличивают высоты слоев катализатора в секциях реактора сверху вниз.

Реактор процесса гидроочистки дизельного топлива (рис. 5.1) представляет собой цилиндрический аппарат со сферическими днищами. Данный реактор представляет собой сосуд, предназначенный для работы под давлением водорода (до 6,6 МПа) и температуре до 500 0С [4].

Реактор имеет диаметр 3 000 мм, высоту цилиндрической части 12 500 мм.

Корпус реактора гидроочистки дизельного топлива собирается из многослойных рулонированных обечаек и монолитных концевых частей - днища фланца и крышки. Многослойные обечайки изготавиваются из следующих материалов: центральная обечайка из биметалла марки 20К08Х18Н10Т толщиной 24 мм; слои (рулонная лента) - сталь 12ХГНМ толщиной 4 мм. Многослойные обечайки свариваются между собой с днищем и фланцем кольцевыми швами. Таким образом при изготовлении корпуса реактора имеется два кольцевых сварных соединений: многослойных рулонированных обечаек с монолитными концевыми частицами и обечаек между собой. Вывод продуктов процесса - через штуцер в нижнем днище, снабженный специальной сеткой для задержки катализатора [5].


где Vк - объем катализатора, м3;

Wс - объемная производительность установки, м3/ч;

V0 - объемная скорость подачи сырья, ч-1.

Выбираем минимально возможное количество реакторов, так как снижаются капитальные и эксплуатационные затраты.

Эскиз реактора представлен на рис. 5.1.

Реактор гидроочистки дизельного топлива.

Рис. 5.1: 1 - распределительная тарелка;2 - фильтрующее устройство;3 - корпус; 4 - решетка колосниковая; 5 - коллектор для ввода пара; 6 - фарфоровые шары; 7 - опорное кольцо; 8 - опора; 9, 11 - штуцер для выгрузки катализатора; 10, 12 - термопары. Потоки: I - сырье; II - продукты реакции

5.3 Тепловой баланс реактора

При составлении теплового баланса реактора необходимо учитывать влияние давления на энтальпии газов и паров ГСС и ГПС.

 

5.3.1 Расчет парциального давления ГСС на входе и ГПС на выходе из реактора

Расчеты парциального давления ГСС на входе и ГПС на выходе из реактора представлены в табл.5.6-5.7.

Молярную массу продуктов рассчитаем по формуле Крэга:


где - плотность продукта при 15°С

сырья = 0,847

годт= 0,842

БО = 0,729



Таблица 5.5. Расчет парциального давления компонентов на входе в реактор

Компоненты

Gi, кг/ч

Мi, кг/кмоль

Ni, кмоль/ч

Yi

Yi*P, Мпа

Сырье

111940

204,4

548

0,145

0,724

СВСГ

903

2,0

448

0,119

0,593

ЦВСГ

16845

6,0

2786

0,737

3,683

ИТОГО

129688


3782

1,000

5,000


Таблица 5.6. Расчет парциального давления компонентов на выходе в реактор

Компенентны

Gi, кг/ч

Мi, кг/кмоль

Ni, кмоль/ч

Yi

Yi*P, Мпа

Дизельное топливо

109599

197,9

554

0,162

0,779

Бензин-отгон

1470

107,4

14

0,004

0,019

УВГ

691

23,5

29

0,009

0,041

H2S

1083

34,0

32

0,009

0,045

ЦВСГ

16845

6,0

2786

0,816

3,916

ИТОГО

129688


3415

1,000

4,800


5.3.2 Расчет энтальпий сырья, продуктов реакции, СВСГ и ЦВСГ при парциальном давлении в реакторе

Определяем свойства вакуумного газойля и гидроочищенного вакуумного газойля:

определяем характеризующий фактор данного нефтепродукта

К=,

где tср. мол - средняя молекулярная температура кипения нефтепродукта.

Среднюю молекулярную температуру кипения нефтепродукта находим по формуле:

tср.мол = tср.об. - Δt,

где tср.об. - средняя объемная температура кипения нефтепродукта, °С;                  Δt - поправка.

Средняя объемная температура кипения определяется по данным разгонки по ГОСТ (рис. 5.1):

tср.об.= (t10% + t50% + t90%)/3,

где t10;t50;t90; - температуры отгона 10%, 50%, 90% по ГОСТ в °С.

Определяем наклон кривой разгонки по формуле:

tg∠ГОСТ= (t90% - t10%)/80

По графику находим поправку к средней молярной температуре кипения Δt.

от К и М по графику находим псевдокритические параметры фракции: температуру Тпс.кр. и давление Рпс.кр..

Находим приведенную температуру Тrи приведенное давление Prпо формулам:

 ; ,

где Рн.п. - парциальное давление нефтепродукта.

Для дизельной фракции:

1) tср.об.= (222 + 268 + 318)/3 = 2690С

2) tg ∠ГОСТ = (318 - 222)/80 = 1,20С/%

3) Δt=80С

4) tср.мол. = 269 - 8 = 2610С

5) = 0,847

6)

7)      М = 204,4 г/моль

8) Тпс.кр = 455 °С

Рпс.кр = 1,8 МПа

Для гидроочищенного дизельного топлива:

1)      tср.об.= (237 + 268 + 318)/3 = 2740С

2)      tg ∠ГОСТ = (318 - 237)/80 = 1,010С/%

3)      Δt=70С

4)      tср.мол. = 274 - 7 = 2670С

)        r1515 = 0,842

6)     

7)      М = 197,9 г/моль

8)      Тпс.кр = 445 °С

Рпс.кр = 1,85 МПа

По графику в зависимости от приведенных параметров находим поправку на давление , а затем поправку к энтальпии (ΔН) :

Определяем энтальпии сырья при температурах 100, 200, 300 и 4000С по формуле

,

где  - энтальпия паров при атмосферном давлении и температуре t0С;

Энтальпия газообразного сероводорода в зависимости от температуры приведена в табл. 5.16.

Таблица 5.7. Энтальпия газообразного сероводорода

Температура, 0С

Энтальпия, кДж/кг

100

105

150

161

200

218

250

278

300

339

350

406

400

476


В табл. 5.17 - 5.19 нагляно представлен расчет энтальпий паров сырья, гидрогенизата и бензин отгона. Методика расчета энтальпий нефтяных фракциий взята в соответствии с [1].

Таблица 5.8. Определение энтальпий паров сырья при парциальном давлении сырья на входе(0,78Мпа).

Показатели

Значение показателей

Температура ˚ С

100

250

270

340

350

Температура К

373

523

543

613

623

Температура приведенная

0,51

0,72

0,75

0,84

0,86

Давление приведенное

0,43

0,43

0,43

0,43

0,43

Отношение , кДж/(кмоль 0С)

44

21

16,8

11

9,5

Поправка на давление , кДж/кг

154,1

73,5

58,8

38,5

33,3

Энтальпия при атмосферном давлении, кДж/кг

516,2

829,1

877,1

1056,8

1084,0

Энтальпия при повышенном давлении, кДж/кг

362,1

755,6

818,3

1018,3

1050,7


Таблица 5.9. Определение энтальпий паров гидрогенизата при его парциальном давлении (0,78 Мпа).

Показатели

Значение показателей

Температура ˚ С

100

200

340

350

355

360

Температура К

373

473

613

623

628

633

Температура приведенная

0,52

0,66

0,85

0,87

0,87

0,88

Давление приведенное

0,43

0,43

0,43

0,43

0,43

0,43

Отношение , кДж/(кмоль 0С)

45

25,1

10,5

10

9,7

9,5

Поправка на давление , кДж/кг

157,6

87,9

36,8

35,0

34,0

33,3

Энтальпия при атмосферном давлении, кДж/кг

517,5

717,2

1059,0

1086,1

1099,9

1113,7

Энтальпия при повышенном давлении, кДж/кг

359,9

629,3

1022,2

1051,1

1065,9

1080,4

Парциальные давления паров бензина-отгона и дизельного топлива близки к атмосферному давлению, поэтому энтальпии паров этих нефтепродуктов можно принять как энтальпии при атмосферном давлении.

Таблица 5.10. Энтальпии бензина-отгона

Температура

Энтальпия бензина-отгона, кДж/кг


Паровая фаза

Жидкая фаза

100

546,9

217,4

753,7

474,6

300

998,8

771,4

340

1107,6

901,3

350

1135,7

934,8

355

1150,0

951,6

360

1164,3

968,6


Расчет энтальпий ЦВСГ, СВСГ и углеводородных газов приведен в табл. 5.11, 5.12 и 5.13 соответственно.

Таблица 5.11. Расчет энтальпий ЦВСГ при р=4,3Мпа.


Таблица 5.12. Расчет энтальпий СВСГ при р=4,3Мпа.

Компонент


Температура,˚С


Yi

100

200

270

340

350



Hi, кДЖ/кг

Hi*Yi, кДж/кг

Hi, кДЖ/кг

Hi*Yi, кДж/кг

Hi, кДЖ/кг

Hi*Yi, кДж/кг

Hi, кДЖ/кг

Hi*Yi, кДж/кг

Hi, кДЖ/кг

Hi*Yi, кДж/кг

Водород

0,992

1460,0

1448,4

2920,0

2896,8

3942,0

3910,7

4964,0

4924,6

5110,0

5069,4

Метан

0,008

586,6

4,7

879,9

7,0

1110,4

8,8

1340,8

10,7

1374,3

10,9

Итого



1453,1


2903,8


3919,5


4935,2


5080,3



Таблица 5.13. Расчет энтальпий УВГ при р=4,3 Мпа



Зависимости энтальпий от температуры для сырья, гидрогенизата и бензин-отгона

Рис. 5.2

Зависимости энтальпий от температуры для СВСГ, ЦВСГ и газов реакций

Рис. 5.3

5.3.3 Определение потерь теплоты из реакторов в окружающую среду

Потери тепла в окружающую среду определяем из уравнения


где  - потери тепла в окружающую среду, кДж/ч;

К - коэффициент теплопередачи, кДж/кг · м2 · ºС · ч,

К = 8 - 17 кДж/кг · м2 · ºС · ч ;

F - поверхность реактора, м2 ;

 - перепад температур, ºС .

Поверхность реактора рассчитывается по формуле


где F - поверхность реактора, м2 ;

R- наружный радиус реактора, м ;

Н - высота цилиндрической части реактора, м ;

Θ - коэффициент для стандартных днищ, 1,384.

Перепад температур определяем по формуле


где tcp. - средняя температура среды внутри реактора, ºС ;

tmin. - средняя минимальная температура окружающей среды (зимой, ºС),

tmin = -12ºС.

С.

С.

м2.

 кДж/ч .

5.3.4 Тепловой баланс реакторного блока

Составы газосырьевой смеси на входе в реактор и газопродуктовой смеси на выходе из реактора представлены в таблицах 5.14-5.15.

В реакторе осуществляется процесс однократного испарения. Основные уравнения однократного испарения, на основании которых определяем состав жидкой и паровой фаз, следующие:

,

где хi - мольная концентрация компонента жидкой фазы, в долях от единицы;

- мольная концентрация компонента парожидкостной смеси, в долях от единицы;

е - мольная доля отгона;

Кi - константа фазового равновесия компонента газожидкостной смеси;

уi - мольная концентрация компонента газовой фазы, в долях от единицы.

Константу фазового равновесия определяем по номограмме Уинна [1]или рассчитываем из отношения:

,

где Рi - парциальное давление компонента, МПа;

 - общее давление в системе, МПа.

Расчет процесса однократного испарения осуществляем с помощью ПЭВМ. Результаты расчета на ПЭВМ состава фаз на входе в реактор и выходе из него представлены в таблицах 5.16-5.17.

На основании данных таблицах 5.16-5.17рассчитываем материальный баланс однократного испарения в реакторе. Результаты расчетов сведем в таблицы 5.18-5.19.

Таблица 5.20.Тепловой баланс реактора

статьи баланса

расход, кг/ч

темп-ра С

Энтальпия

кол-во теплоты МДЖ/ч




пар

жидкость


взято:






сырье

111940

340



102036,3

в т. ч паровая фаза

46166

340

1018,3

-


жидкая фаза

65774

340

-

836,6


СВСГ

903

340

4790,0

-

4455,0

ЦВСГ

16845

340

2187,7

-

37943,4

теплота реакции

-

-

48,9

-

5478,2

итого

129688

-

-

-

149912,9

получено:






дизельное топливо

109599

355



106744,9

в т. ч паровая фаза

53017

355

1065,9



жидкая фаза

56582

355


8887,8


бензин-отгон

1470

355



1686,9

в т. ч паровая фаза

1353

355

1164,3



жидкая фаза

117

355


951,6


УВГ

921

355

1284,9

-

887,5

сероводород

1444

355

411,8

-

445,9

ЦВСГ

22460

355

2347,2

-

39539,0

потери теплоты в ОС

-

-



527,6

итого

129688

-

-

-

149831,8


Из теплового баланса реактора находим дебаланс по формуле

Q = ((Qприхода - Qрасхода )/ Qприхода )·100,

Q =

Расхождение между приходом и расходом тепла составляет допустимую величину (не более 0,2%).

 

5.4 Гидравлический расчет реактора


Правильность выбора диаметра и высоты слоя катализатора проверяется гидравлическим расчетом. Цель гидравлического расчета - определение перепада давлений в слое катализатора и сравнение расчитанных перепадов с практическими данными.

Гидравлический расчет ведем по формуле Эргуна[22]:


где- перепад давления в слое катализатора, Па;

H - высота слоя катализатора, м;

d - диаметр шарика катализатора, м;

W - линейная скорость газопаровой смеси, отнесенная к полному сечению, м/с;

- плотность потока паров ГПС при рабочих условиях, кг/м3;

- динамическая вязкость парогазовой смеси, Па с;

- порозность катализатора, доли от единицы;

g - ускорение свободного падения,принимаемg = 9,8 м/с2.

За диаметр гранул, не имеющих форму шара, обычно принимается величина, определяемая из соотношения:


где dрш- диаметр равновеликого по объему шара, м;

- фактор экструдатов или коэффициент несферичности.

Коэффициент несферичности равен отношению поверхности экструдата катализатора (FТ) к поверхности равновеликого по объему шара (Fрш):


Поверхность экструдата и поверхность равновеликого по объему шара находим, приравнивая объем экструдата к объему равновеликого по объему шара и рассчитываем поверхность последнего:


Объем экструданта катализатора (VT) находим по формуле, приняв для экструданта катализатора диаметр равным 1,8 мм и длину 4 мм:


где dT- диаметр экструдата катализатора, мм;

lT - длина экструдата катализатора, мм.

Выражая диаметр равновеликого шара из формулы , получим:


Поверхность экструдата определяем по формуле:


Поверхность равновеликого по объему шара равна:


Коэффициент несферичности по формуле :


Диаметр гранул катализатора по формуле равен:


Объем ГПС на выходе из реактора определяем по формуле:


где- число кмоль газов и паров ГПС, кмоль/ч;

- коэффициент сжимаемости;

Р - давление, МПа.


Коэффициент сжимаемости для паров сырья и продуктов реакции находим по формуле [6]:


Приведенные температуру и давление определяем из соотношениий:


Псевдокритические температуру и давление находим по формулам:


где- критические температуры компонентов смеси, К;

- критические давления компонентов смеси, МПа;

- мольные доли компонентов смеси.

Критические температуры и давления находим из следующих соотношений:


где tср - средняя объемная температура кипения фракции, 0С;

М - молярная масса фракции, кг/кмоль;

К - постоянная, для нефтепродуктов постоянная К = 5,5.

Расчет псевдокритических температур и давлений для ГСС и ГПС приведен в табл. 5.21, 5.22 соответственно.

Таблица 5.21. Расчет псевдокритических температур и давлений газопаровой фазы ГСС

Компонент

у

Критические параметры

Ткр*у

Ркр*у



темп-ра, К

давление, Мпа



водород

0,8075

33

1,82

26,8

1,47

метан

0,0617

191

4,68

11,8

0,29

этан

0,0383

305

4,92

11,7

0,19

пропан

0,0172

370

4,28

6,4

0,07

изо-бутан

0,0047

407

3,76

1,9

0,02

н-бутан

0,0046

426

3,67

2,0

0,02

сырьё

0,0660

716

40,82

47,2

2,69

итого

1,0000



108

4,75


Таблица 5.22. Расчет псевдокритических температур и давлений газопаровой фазы ГПС

Компонент

у

Критические параметры

Ткр*у

Ркр*у



темп-ра, К

давление, Мпа



водород

0,7497

33

1,82

24,9

1,36

метан

0,0736

191

4,68

14,0

0,34

этан

305

4,92

13,9

0,22

пропан

0,0200

370

4,28

7,4

0,09

изобутан

0,0052

407

3,76

2,1

0,02

бутан

0,0052

426

3,67

2,2

0,02

сероводород

0,0100

373

8,89

3,7

0,09

БО

0,0041

546

27,95

2,2

0,11

ГО ДТ

0,0866

721

42,88

62,4

3,71

итого

1,0000



133

5,97


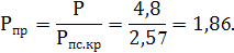
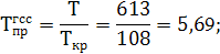
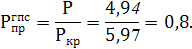
По формулам приведенные параметры равны:


По формулам коэффициенты сжимаемости равны:


Объем ГСС на входе в реактор и объем ГПС на выходе из реактора по формуле :


Средний объем находим по формуле:


Линейная скорость паров в реакторе, отнесенная ко всему сечению реактора определяем по формуле:


где dK- диаметр слоя катализатора (dK = 3,0м).

Для определения вязкости смесей паров используем формулу Фроста[7]:


где- динамическая вязкость, Па с;

Т - температура, К;

М - молекулярная масса компонента, кг/кмоль.

Молярная масса смеси углеводородов может быть найдена как отношение общей массы газопаровой смеси к общему числу кмолей газопаровой смеси:


В пределах давлений от 0,1 до 5 - 6 МПа динамическая вязкость изменяется незначительно, поэтому поправку на давление не принимаем в расчет. Тогда вязкость паров по формуле:


Плотность потока паров ГСС и ГПС при рабочих условиях определим из соотношения:


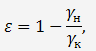
Порозность катализатора (долю свободного объема) определяем по формуле:


где- насыпная плотность катализатора, кг/м3;

- кажущаяся плотность катализатора, кг/м3.

Принимаем следующие значения плотностей для экструдированного катализатора := 0,7 г/см3 [13]; = 1,0 г/см3 [1]. Получаем по формуле:


По формуле Эргуна ведем расчет потери напора в одном реакторе:


Таким образом, потеря напора катализатора в одном реакторе не превышает предельно допустимых 0,2 - 0,3 МПа [1]. Поэтому к проектированию принимаем реактор цилиндрической формы с высотой и диаметром реакционной зоны 9,4 и 3 м соответственно.

5.5 Расчет газосепарации газопродуктовой смеси

Сепарацию газопродуктовой смеси осуществляем последовательно в двух сепараторах: горячем сепараторе высокого давления и холодном сепараторе высокого давления и ректификационной колонне.

По курсовому проекту принимаем, что горячий сепаратор высокого давления - горизонтальный, условия работы: температура 2000С; давление 4,6 МПа. Холодный сепаратор высокого давления - горизонтальный, рабочие условия: температура 40 0С, давление 4,4 МПа.

Рассчитываем два новых сепаратора, целью расчета является определение габаритных размеров (диаметра и длины - для горизонтального, диаметр и высота для вертикального) и подбор стандартных аппаратов.

5.5.1 Исходные данные для расчета горизонтальног сепаратора С-1

Состав и расход газопродуктовой смеси на входе в газосепаратор С-1 представлен в табл. 5.23.

Таблица 5.23. Состав и расход ГПС на входе в газосепаратор С-1

Компонент

Молярная масса, кг/кмоль

Расход, кг/ч

Массовая доля

Расход, кмоль/ч

Мольная доля

1. Водород

2

4681

0,0361

2340

0,6853

2. Метан

16

3710

0,0286

232

0,0679

3. Этан

30

4358

0,0336

145

0,0425

4. Пропан

44

2826

0,0218

64

0,0188

5. И-Бутан

58

980

0,0076

17

0,0049

6. Н-Бутан

58

982

0,0076

17

0,0050

7. Сероводород

34

1083

0,0083

32

0,0093

8. Бензин - отгон

107

1470

0,0113

14

0,0040

9. Гидрогенизат

198

109599

0,8451

554

0,1622

Итого


129688

1,0000

3415

1,0000


5.5.2 Расчет материального баланса

В газосепараторе осуществляется процесс однократного испарения. Основные уравнения процесса однократного испарения:

для жидкой фазы:

для паровой фазы:

где xi- мольная концентрация компонента жидкой фазы;

yi - мольная концентрация компонента паровой фазы;

 - мольная концентрация компонента исходной смеси;

e - мольная доля отгона;

Ki - константа фазового равновесия компонента.

Константу фазового уравнения для углеводородов, сероводорода определяем с помощью диаграмм [6]. Длябензин - отгона и гидроочищенного дизельного топлива по формуле:


где Рi - давление насыщенных паров компонента, МПа;

Р - общее давление в системе, МПа.

Материальный баланс однократного испарения ГПС в холодном сепараторе высокого давления представлен в табл. 5.25.

Результат расчета состава фаз на выходе из газосепаратора представлен в табл. 5.24.

Таблица 5.24. Состав газовой и жидкой фаз на выходе из сепаратора С-1 при температуре 2000С и давлении 4,6 МПа (мольная доля отгона 0,821).

Компонент

Мольная доля ()

Константа фазового равновесия (Ki)

Мольная доля компонента газопаровой фазы (yi)

Мольная доля компонента жидкой фазы (xi)

1. Водород

0,6853

16,00

0,8239

0,0515

2. Метан

0,0679

6,10

0,0799

0,0131

3. Этан

0,0425

3,10

0,0484

0,0156

4. Пропан

0,0188

1,90

0,0206

0,0108

5. И-Бутан

0,0049

1,40

0,0052

0,0037

6. Н-Бутан

0,0050

1,25

0,0051

0,0041

7. Сероводород

0,0093

2,80

0,0105

0,0038

8. Бензин - отгон

0,0040

0,19

0,0023

0,0119

9. Гидрогенизат

0,1622

0,005

0,0041

0,8855

Итого

1,0000


1,0000

1,0000


5.5.3 Определение размеров горизонтального газосепаратора

Рассчитываем сечение горизонтального газосепаратора по формуле:


где Vп - объемный расход газовой (паровой) фазы, м3/с;

- коэффициент заполнения горизонтального газосепаратора, принимаем равным 0,5[1];

Wдоп- допустимая линейная скорость газовой фазы в газосепараторе, м/с.

Объемный расход определяем по формуле:


где Nгф- число кмолей газов и паров ГПС, кмоль/ч;

z - коэффициент сжимаемости;

Р - давление, МПа.

Коэффициент сжимаемости для паров сырья и продуктов реакции находим по формуле [6]:


Для определения коэффициента сжимаемости предварительно определяем критические, псевдокритические и приведенные параметры компонентов ГПС по формулам.

Расчет псевдокритических температур и давлений компонентов ГПС приведен в табл. 5.26.

Таблица 5.26. Расчет псевдокритических температур и давлений газопаровой фазы

Компонент

Критические параметры



Температура, К

Давление, МПа



1. Водород

0,8239

33

1,82

27,4

1,50

2. Метан

0,0799

191

4,68

15,2

0,37

3. Этан

0,0484

305

4,92

14,8

0,24

4. Пропан

0,0206

370

4,28

7,6

0,09

5. И-Бутан

0,0052

407

3,76

2,1

0,02

6. Н-Бутан

0,0051

426

3,67

2,2

0,02

7. Сероводород

0,0105

373

8,89

3,9

0,09

8. Бензин-отгон

0,0023

546

27,95

1,2

0,06

9. Гидрогенизат

0,0041

721

42,88

2,9

0,17

Итого

1,0000



77

2,57


По формулам приведенные параметры равны:


Коэффициент сжимаемости принимаем по литературным данным [7]:


Объемный расход по формуле :


Допустимую линейную скорость газового потока определяем по формуле:


где- плотность жидкой фазы при температуре в сепараторе, кг/м3;

- плотность газовой фазы в сепараторе, кг/м3.

Плотность жидкой фазы рассчитываем по формуле:


где Gi - массовый расход компонента жидкой фазы, кг/ч;

- плотность компонента жидкой фазы, кг/м3.

Плотность жидкой фазы при температуре свыше 50 0С определяем по формуле [25]:


Для гидроочищенного дизельного топлива:


Для бензин-отгона:



Подставляем данные в формулу и получаем:


Плотность газовой (паровой) фазы находим из соотношения:

где Gгф- массовый расход газовой (паровой) фазы, кг/ч.

Тогда допустимая линейная скорость газового потока по формуле :


Рассчитываем сечение горизонтального газосепаратора :


Рассчитываем диаметр горизонтального газосепаратора по формуле:


Диаметр типового сепаратора (dтип) выбираем по нормали [6]; dтип = 2400 мм.Диаметр типового сепаратора принят больше расчетного (d), поэтому не рассчитываем фактическую линейную скорость паров.


где- время пребывания жидкой фазы в газосепараторе, принимаем 10 минут [9];

Wжф - линейная скорость движения жидкой фазы в газосепараторе, м/мин.

Объемный расход жидкой фазы в газосепараторе определяем из соотношения:


где gжф - массовый расход жидкой фазы, кг/ч;

- плотность жидкой фазы, кг/м3.

Тогда линейная скорость движения жидкой фазы определяем по формуле:


По формуле определяем длину горизонтального сепаратора:

 

5.5.4 Исходные данные для расчета вертикального сепаратора С-2

Состав и расход газопродуктовой смеси на входе в газосепаратор С-2 представлен в табл. 5.27.

Таблица 5.27. Состав и расход ГПС на входе в газосепаратор С-2

Компонент

Расход, кг/ч

Массовая доля

Расход, кмоль/ч

Мольная доля

1. Водород

2

4618

0,2260

2309

0,8239

2. Метан

16

3582

0,1753

224

0,0799

3. Этан

30

4070

0,1992

136

0,0484

4. Пропан

44

2535

0,1241

58

0,0206

5. И-Бутан

58

847

0,0415

15

0,0052

6. Н-Бутан

58

835

0,0409

14

0,0051

7. Сероводород

34

1004

0,0492

30

0,0105

8. Бензин - отгон

104

687

0,0336

6

0,0023

9. Гидрогенизат

207

2250

0,1102

11

0,0041

Итого


20429

1,0000

2802

1,0000


 

5.5.5 Расчет материального баланса

В газосепараторе осуществляется процесс однократного испарения. Основные уравнения процесса однократного испарения:

для жидкой фазы:

для паровой фазы:

где xi- мольная концентрация компонента жидкой фазы;

yi - мольная концентрация компонента паровой фазы;

 - мольная концентрация компонента исходной смеси;

e - мольная доля отгона;

Ki - константа фазового равновесия компонента.

Константу фазового уравнения для углеводородов, сероводорода определяем с помощью диаграмм [1]. Длябензина - отгона и гидроочищенного дизельного топлива по формуле:


где Рi - давление насыщенных паров компонента, МПа;

Р - общее давление в системе, МПа.

Материальный баланс однократного испарения ГПС в холодном сепараторе высокого давления представлен в табл. 5.29.

Результат расчета состава фаз на выходе из газосепаратора представлен в табл. 5.28.

Таблица 5.28. Состав газовой и жидкой фаз на выходе из сепаратора С-2 при температуре 400С и давлении 4,5 МПа (мольная доля отгона 0,993)

Компонент

Мольная доля ()

Константа фазового равновесия (Ki)

Мольная доля компонента газопаровой фазы (yi)

Мольная доля компонента жидкой фазы (xi)

1. Водород

0,8239

31,00

0,8295

0,0268

2. Метан

0,0799

5,80

0,0803

0,0139

3. Этан

0,0484

1,20

0,0485

0,0404

4. Пропан

0,0206

0,45

0,0204

0,0453

5. И-Бутан

0,0052

0,22

0,0051

0,0231

6. Н-Бутан

0,0051

0,17

0,0050

0,0292

7. Сероводород

0,0105

0,90

0,0105

0,0117

8. Бензин - отгон

0,0023

0,0033

0,0007

0,2231

9. Гидрогенизат

0,0041

0,000007

0,000004

0,5865

Итого

1,0000


1,0000

1,0000


5.5.6 Определение размеров вертикального газосепаратора

Рассчитываем сечение вертикального газосепаратора по формуле:


где Vп - объемный расход газовой (паровой) фазы, м3/с;

- коэффициент заполнения вертикального газоспаратора, принимаем равным 1[1];

Wдоп- допустимая линейная скорость газовой фазы в газосепараторе, м/с.

Объемный расход определяем по формуле:


где Nгф- число кмолей газов и паров ГПС, кмоль/ч;

z - коэффициент сжимаемости;

Р - давление, МПа.

Коэффициент сжимаемости для паров сырья и продуктов реакции находим по формуле [6]:


Для определения коэффициента сжимаемости предварительно определяем критические, псевдокритические и приведенные параметры компонентов ГПС по формулам.

Расчет псевдокритических температур и давлений компонентов ГПС приведен в табл. 5.30.

Таблица 5.30. Расчет псевдокритических температур и давлений газопаровой фазы

Компонент

Критические параметры



Температура, К

Давление, МПа



1. Водород

0,8295

33

1,82

27,53799

1,50961

2. Метан

0,0803

191

4,68

15,30493

0,37600

3. Этан

0,0485

305

4,92

14,79420

0,23849

4. Пропан

0,0204

370

4,28

7,53817

0,08725

5. И-Бутан

0,0051

407

3,76

2,07138

0,01914

6. Н-Бутан

0,0050

426

3,67

2,11860

0,01825

7. Сероводород

0,0105

373

8,89

3,93352

0,09365

8. Бензин-отгон

0,0007

546

27,95

0,40614

0,02079

9. Гидрогенизат

0,00000

721

42,88

0,00282

0,00017

Итого

1,0000



74

2,36


По формулам приведенные параметры равны:


Коэффициент сжимаемости принимаем по литературным данным [7]:


Объемный расход по формуле:


Допустимую линейную скорость газового потока определяем по формуле:


где- плотность жидкой фазы при температуре в сепараторе, кг/м3;

- плотность газовой фазы в сепараторе, кг/м3.

Плотность жидкой фазы рассчитываем по формуле:


где Gi - массовый расход компонента жидкой фазы, кг/ч;

- плотность компонента жидкой фазы, кг/м3.

Плотность жидкой фазы при температуре 40 0С определяем по формуле [8]:


Для гидроочищенного дизельного топлива:


Для бензин-отгона:


Подставляем данные в формулу и получаем:


Плотность газовой (паровой) фазы находим из соотношения:


где Gгф- массовый расход газовой (паровой) фазы, кг/ч.

Тогда допустимая линейная скорость газового потока по формуле :


Рассчитываем сечение горизонтального газосепаратора :


Рассчитываем диаметр горизонтального газосепаратора по формуле:


Диаметр типового сепаратора (dтип) выбираем по нормали [1]; dтип = 1400 мм.Диаметр типового сепаратора принят больше расчетного (d), поэтому не рассчитываем фактическую линейную скорость паров.

Высоту слоя жидкости в цилиндрической части аппарата находим, исходя из ее расхода и времени пребывания в газосепараторе с учетом объема полусферы по формуле:


где Hж- высота слоя жидкости в сепараторе, м;

- время пребывания жидкости в сепараторе, принимаем 20 мин;

Vж - объемный расход жидкости, м3/мин;

Vп.сф - объем полусферы, м3;

S - сечение газосепаратора, м2.

Объем полусферы рассчитываем по формуле:


где d - диаметр сепаратора, м.

По формуле определяем объемный расход жидкой фазы в газосепараторе:


где gжф - массовый расход жидкой фазы, кг/ч;

- плотность жидкой фазы, кг/м3.

Получаем, высоту слоя жидкости по формуле:



5.6 Расчет сырьевых теплообменников «ГСС - ГПС»

Расчет теплообменников, служащих для нагрева газосырьевой смеси (ГСС) за счет тепла газопродуктовой смеси (ГПС), выходящей из реактора, сводится к определению температуры нагрева ГСС, поверхности теплообмена и количества типовых теплообменников.

Схема теплообмена:


Тепловой баланс теплообменника:


где Qприх-количество теплоты, поступающее в теплообменник с ГПС, кДж/ч;расх-количество теплоты, выносимое из теплообменника с ГСС, кДж/ч;

- количество теплоты, содержащееся в ГПС при температуре 335 °С, кДж/ч;

- количество теплоты, выносимое из теплообменника с ГПС при температуре 200 °С, кДж/ч;

- количество теплоты, выносимое из теплообменника с при температуре 270 °С, кДж/ч;

- количество теплоты, поступающее в теплообменник с ГСС при температуре 100 °С, кДж/ч.

Для определения количества тепла вносимое ГПС в теплообменник, рассчитываем материальный баланс однократного испарения этой смеси на входе в теплоообменник при температуре 3550С и давлении 4,9 МПа. Аналогичным образом рассчитываем процесс однократного испарения для ГПС на выходе из теплообменника при 200 0С и давлении 4,8 МПа .

Энтальпии СВСГ, ЦВСГ и УВГ при 100, 200,270 и 3550С находим по табл. 5.12 - 5.14.

Определяем количество теплоты, вносимое с компонентами ГПС при температуре 3550С и давлении 4,4 МПа:

с дизельной фракцией:


с бензином:


с углеводородным газом:


с сероводородом:


с ЦВСГ:


где - расход компонента ГПС в паровой фазе при 0С , кг/ч;

- энтальпия компонента ГПС в паровой фазе при 0С, кДж/кг;

- расход компонента ГПС в жидкой фазе при 0С, кг/ч;

- энтальпия компонента ГПС жидкой фазе при 0С, кДж/кг.

Количество теплоты, содержащееся в ГПС при 0С:

Аналогичным образом подсчитываем какое количество теплоты, содержится в ГПС при 2000С.

По формуле определяем количество теплоты, уходящее с компонентами ГПС при температуре 2000С и давлении 4,8 МПа:

с дизельной фракцией:


с бензином:


с углеводородным газом:


с сероводородом:



где - расход компонента ГПС в паровой фазе при 200 0С, кг/ч;

- энтальпия компонента ГПС в паровой фазе при 200 0С , кДж/кг;

- расход компонента ГПС в жидкой фазе при 200 0С , кг/ч;

- энтальпия компонента ГПС жидкой фазе при 200 0С , кДж/кг.

Количество теплоты, содержащееся в ГПС при 200 0С по формуле:


Определяем количество теплоты приходящее с ГПС:


где- коэффициент использования теплоты, принимаем 0,95 по литературным данным [6] .

Находим количество теплоты, приходящее в теплообменник с ГСС с температурой 100 0С:


где - количество теплоты каждого компонента ГСС при 100 0С, кДж/ч.

Определяем количество теплоты каждого компонента по формуле:


Количество теплоты ГСС при температуре 2700С по формуле:


Находим количество теплоты, приходящее в теплообменник с ГСС с температурой 270 0С:


где - количество теплоты каждого компонента ГСС при 100 0С, кДж/ч.

Определяем количество теплоты каждого компонента по формуле:


Количество теплоты ГСС при температуре 270 0С по формуле:


Рассчитываем средний температурный напор в теплообменнике, с учетом противотока ГСС и ГПС. Схема теплообмена:


Принимаем коэффициент теплопередачи по литературным данным [1] (для жидкостных теплообменников трубчатого типа) К = 680 кДж/(м2 ч 0С).

Рассчитываем поверхность теплообмена по формуле:


В соответствиис ТУ 3612-023-0022030201 выбираем 2 типовых теплообменников с плавающей головкой в качестве сырьевого теплообменника «ГСС - ГПС».          Эскиз теплообменника с плавающей головкой представлен на рис. 5.4. Характеристика теплообменника приведена в табл. 5.31.

Таблица 5.31. Характеристика теплообменника с плавающей головкой (ТУ 3612-023-0022030201).

Диаметр кожуха, мм

1200

Площадь сечения одного хода по трубам, м2

0,139

Длина труб, м

6

Поверхность, теплообмена, м2

610

Число ходов

2

Диаметр труб, мм

20x2


Эскиз теплообменника с плавающей головкой

Рис.5.4

 

5.7 Расчет печи


Расчет печи, служащей для нагрева газосырьевой смеси перед входом в реактор, сводится к определению тепловой мощности, поверхности нагрева, числа труб вконвекционной и радиантной камерах, низшей теплоты сгорания топлива, коэффициента полезного действия и расхода топлива. Методика расчета [8].

Температуру входа ГСС в печь принимаем 2700С, температуру ГСС на выходе из печи - 3400С.

 

5.7.1 Расчет процесса горения

Теплота сгорания топлива определяем по формуле:


где QHpi - теплота сгорания компонентов топлива, МДж/м3 ;yi - мольная доля компонентов топлива (см. табл. 5.33).



Таблица 5.32. Состав топливного газа

Вещество

Qhpi, МДж/м3

Mi , кг/моль

yi

CH4

35,84

16

0,987

C2H6

63,8

30

0,0033

C3H8

91,32

44

0,0012

C4H10

118,73

58

0,0004

C5H12

146,1

72

0,0001

CO2

-

44

0,001

N2

-

28

0,007

Итого

-

-

0,0033


Средняя молекулярная масса топлива:


Плотность топливного газа:


Элементарный состав газообразного топлива (%мас.) подсчитываем по следующим формулам:


где nCi , nHi , nNi - соответственно число атомов углерода, водорода и азота в молекулах отдельных соединений, входящих в состав топлива; yi - содержание соответсвующих компонентов топлива (% мас. и % об.или % мол.); Miи Mm - соответственно молекулярная масса компонента и топлива. Получим, по формулам:


Проверка, С + Н + N+О= 100 % мас.

Теоретическое количество воздуха, необходимое для сжигания 1 кг топлива:


Фактический расход воздуха:


где 1,25 - коэфициент избытка воздуха.

Массовый состав дымовых газов (кг/кг):


где C, H, NиW - содержание различных элементов и влаги в топливе (% мас.). Получим, по формулам:


Общее количество продуктов сгорания:


Или


Объемный состав продуктов сгорания (м3/кг):


Суммарный объем дымовых газов:


Плотность дымовых газов при нормальных условиях:


Найдем теплоемкость и энтальпию продуктов сгорания 1 кг топлива в интервале температур от 100 до 1500 ºС (373 - 1773 К):


Средние удельные теплоемкости газов для расчета в [7]. Расчеты приведены в табл. 5.33.

Таблица 5.33. Энтальпии продуктов сгорания

Температура

Теплоемкость, кДж/(кг0С)

Энтальпия, кДж/кг

0С

К



100

373

16,687

1668,7

200

473

16,855

3371,1

300

573

17,058

5117,5

400

673

17,268

6907,1

500

773

17,477

8738,5

600

873

17,700

10619,7

700

973

17,928

12549,4

800

1073

18,145

14516,2

По данным табл. 5.33 строим график зависимости энтальпий продуктов сгорания от температуры, представлен на рис. 5.5.

Зависимость энтальпий продуктов сгорания от температуры

Рис. 5.5.

 

5.7.2 Расчет теплового баланса печи, КПД печи и расхода топлива

Полезная тепловая мощность печи, в которой нагревается ГСС:


Подставляя, получим


Потери тепла излучением в окружающую среду составят составят 5 %, причем 4 % - в радиантной камере, а 1 % - в конвекционной, т.е. КПД топки составит


Потерями тепла от химического недожига, а также количеством теплоты поступающего топлива и воздуха пренебрегаем.

КПД печи найдем по формуле:


где Нух- энтальпия продуктов сгорания, покидающих печь при температуре tух = 460 ºС;

Нух= 8006,1 кДж/кг (см. рис. 5.2);пот = 0,05 - потери тепла излучением в окружающую среду.


Рассчитываем расход топлива по формуле:


где В - расход топлива, кг/ч.


5.7.3 Расчет радиантной камеры и камеры конвекции

Задаемся температурой дымовых газов на перевале tп = 800 ºС(1073 К) Энтальпия продуктов сгорания при температуре на перевале Нп= 14516,2 кДж/кг (см. табл. 5.31)

Тепловой поток (кДж/ч), воспринятый ГСС в радиантных трубах находим по формуле:


Находим тепловой поток (кДж/ч), воспринятый ГСС в конвекционных трубах:

кДж/ч.

Поверхность нагрева радиантных труб находим по формуле:


где qр - теплонапряженностьповерностирадиантных труб, кДж/м2·ч.

Принимаем qр= 30 кВт/м2=1,08·105 кДж/м2·ч [9], подставляем

м2.

Поверхность нагрева конвекционных труб аналогично находим по формуле:


Принимаем qк=18 кВт/м2= 6,5·104 кДж/м2·ч [9].

м2.

Число труб в камере радиации находим по формуле:


где  - полезная длина радиантных труб, омываемая потоком дымовых газов, м;

dн - диаметр труб печи, м.

Принимаем =12,6 м, dн = 0,152 м. Подставляя значения в формулу получим:


Аналогично рассчитаем число труб камеры конвекции:


5.8 Расчет аппапарата воздушного охлаждения

Производим расчет аппарата воздушного охлаждения, предназначенного для конденсации и охлаждения газопаровой фазы, выходящей из Т-3, с до 40 0С. Газопаровая фаза из горячего сепаратора С-1 отдает тепло жидкой фазе холодного сепаратора С-2 и охлаждается с 200 0С до 100 0С. Методика расчета взята из [9].

Определим количество тепла, которое отводится в аппарате воздушного охлаждения. Составляем материальный баланс однократного испарения смеси на входе в аппарат - при температуре 100 0С.

Количество теплоты газожидкостной смеси при 100 0С и при 40 0С соответственно на входе и на выходе в АВО-1 представлен в табл. 5.34, 5.35.

Таблица 5.3. Расчет количества теплоты парожидкостной смеси на входе в АВО-1 при 100 0С и давлении 4,6 Мпа.

Компонент

Энтальпия, кДж/кг

Расход, кг/ч

Количество теплоты, МДж/ч


пары

жидкость

пары

жидкость

пары

жидкость

1. Водород

1460,0

-

4617

-

6740,8

-

2. Метан

586,6

-

3582

-

2101,0

-

3. Этан

515,4

-

4070

-

2097,9

-

4. Пропан

440,0

-

2535

-

1115,3

-

5. И-Бутан

255,6

-

847

-

216,6

-

6. Н-Бутан

264,0

-

835

-

220,5

-

7. Сероводород

105

-

1004

-

105,5

-

8. Бензин - отгон

546,9

217,4

660

27

361,0

5,9

9. Дизельная фракция

359,9

201,8

284

1966

102,2

396,7

Итого

-

-

18435

2034

13060,8

402,6


Таблица 5.35. Состав и расход парожидкостной смеси на выходе из АВО-1 при 40 0С и давлении 4,4 Мпа.

Компонент

Энтальпия, кДж/кг

Расход, кг/ч

Количество теплоты, МДж/ч


пары

жидкость

пары

жидкость

пары

жидкость

1. Водород

582,8

-

4617

-

2690,6


2. Метан

439,95

-

3582

-

1575,7


3. Этан

251,4

-

4070

-

1023,3


4. Пропан

159,22

-

2535

-

403,6


5. И-Бутан

125,7

-

847

-

106,5


6. Н-Бутан

129,89

-

835

-

108,5


7. Сероводород

42

-

1004

-

42,2


8. Бензин - отгон

441,2

82,2

222

464

98,1

38,2

9. Дизельная фракция

240,4

76,7

2

2248

0,5

172,4

Итого

-

-

17715

32416

6049,1

210,6


Количество теплоты, которое отводится определяем по формуле:


Определим необходимую поверхность аппарата:


где К- коэффициент теплопередачи, принимаем по литературным данным [6] 630 кДж/(м2 ч 0С);

- средний температурный напор в аппарате, 0С.

Схема теплообмена:


Так как средний температурный напор находим по формуле [6]:


Подставив в формулу, получим:


В соответствии с ГОСТ Р 51364 - 99 выбираем аппарат воздушного охлаждения горизонтального типа. Характеристика типового аппарата приведена в табл. 5.36.

Таблица 5.36. Характеристика аппарата воздушного охлаждения горизантального типа ( ОСТ 26-02-1522-77).

Поверхность теплообмена по гладкой поверхности аппарата, м2

580

Количество секций в аппарате, шт

3

Длина труб, мм

2000

Число рядов труб

8

Коэффициент оребрения труб

Общее число труб в аппарате

260

Условное давление, МПа

4,0

Мощность электродвигателя привода составляет, кВт

30

Частота вращения колеса вентилятора, об/мин

426


5.9 Материальный баланс колонны стабилизации


Таблица

Статьи баланса

%мас.

кг/ч

Взято: Нестабильный гидрогенизат

 100,0

 112106

Итого

100,0

112106

Получено: Дизельное топливо Бензин - отгон Сероводород Газ

 97,8  1,1  0,1  1,0  

 109597  1248  86  1175  

Итого

100,0

112106



Библиографический список

. Методические указания к курсовому и дипломному проектированию «Гидроочистка, гидрообессеривание и гидрокрекинг нефтяного сырья». //Сост. В. Г. Власов. - Самара: СамГТУ, 2010.

. «Нефтепереработка и нефтехимия», 2011 г, № 8

. Аспель Н. Б., Демкин Г. Г. Гидроочистка моторных топлив. - Л.: Химия, 1977. - 459 с.

. Баннов Н. Г. Процессы переработки нефти и газа. - М.: ЦНИИТЭнефтехим, 2000. - 224 с.

. Эрих В. И., Расина М. Г., Рудин М. Г. Химия и технология нефти и газа.- М.: Химия,1977. - 424 с.

.Расчет основных процессов и аппаратовнефтепереработки: справочник.//Сост. Г. Г. Рабинович, П. М. Рябых, П. А. Хохряков и др.; под ред. Е. Н. Судакова. М.: Химия, 1979. - 568 с.

.Мищенко К. П., Равдель А. А. Краткий справочник физико-химических величин. - Л.: Химия, 1974. - 200 с.

. Мановян А. К. Технология первичной переработки нефти и природного газа. 2-е изд. - М.: Химия, 2001. - 568 с.

. Скобло А. И. Трегубова И. А. Молоканов Ю. К. Процессы и аппараты нефтеперерабатывающей и нефтехимической промышленности. - М.: Химия, 1982. - 584 с.

Похожие работы на - Проект установки гидроочистки дизельного топлива

 

Не нашли материал для своей работы?
Поможем написать уникальную работу
Без плагиата!
Без нейросетей!