Проектирование установки гидроочистки гача применительно к предприятию ООО 'Лукойл-ВНП'
Оглавление
Введение
. Общие сведения о технологии гидроочистки гача на
произодстве-аналоге
. Анализ способа производства - аналога
. Анализ результатов патентно-информационного поиска и выбор
способа достижения цели проектирования
.1 Основные химические превращения в процессах гидроочистки
.2 Общие сведения о гидрокаталитических процессах и их место
в производстве смазочных масел
.3 Новое в области катализаторов в зарубежной и отечественной
промышленности
.4 Патентная документация, отобранная для последующего
анализа
. Теоретические и инженерные основы гидроочистки гача.
.1 Термодинамический анализ основной реакции
.2 Механизм реакций на промотированных катализаторах
.3 Влияние основных параметров на результат гидроочистки гача
. Задание на проектирование
. Технологическая часть.
.1 Характеристика исходного сырья, материалов, реагентов,
катализаторов и гидрогенизата.
.2 Описание работы технологической схемы процесса
гидроочистки гача
.3 Нормы технологического режима и метрологического
обеспечения процесса гидроочистки гача.
.4 Описание КИП и А, аналитический контроль производства
.5 Безаварийный пуск и остановка производства
.6 Компоновочное решение
.7 Метасистема, обеспечивающая функционирование производства
. Технологические расчеты
.1 Расчет материального баланса
.2 Расчет теплового баланса
.3 Конструктивно-механический расчет реактора гидроочистки
. Расчет и подбор оборудования вспомогательных стадий
. Безопасность и экологичность проектируемого производства
. Экономическое обоснование принятого проектного решения
Выводы
Список использованных литературных источников
. Перечень выполненных чертежей
.1 Приложения
.2 Спецификация к графической части
.3 Лист согласования
Введение
Каталитическая гидроочистка - это эффективный и рентабельный процесс
удаления из нефтяных фракций серы, азота и кислорода, содержащихся в виде
соответствующих органических соединений.
На многих современных нефтеперерабатывающих заводах очистке данным
методом подвергают не только светлые дистилляты, но и дистилляты вторичного
происхождения.
Гидроочистка позволяет уменьшить коррозионную агрессивность топлив и их
склонность к образованию осадков, уменьшить количество токсичных газовых
выбросов в окружающую среду.
Нефтяные масла подвергают неглубокому гидрообессериванию с целью
осветления и снижения их коксуемости, кислотности и эмульгируемости. С заменой
селективной очистки высоковязкого масляного сырья, например деасфальтизата, на
гидрокрекинг появилась возможность производить масла с высоким индексом
вязкости (более 105). Гидроочищенные масляные продукты удовлетворяют
требованиям стандартов по цвету, стабильности, запаху, допустимому содержанию
примесей и другим экологическим и эксплуатационным показателям. Настоящая
работа посвящена гидроочистке гача, перед его изомеризацией с целью получения
высококачественных масел.
1. Общие сведения о технологии промышленного аналога
Гидроочистка - процесс селективного гидрирования содержащихся в моторных
топливах (бензин, керосин, дизельное топливо), маслах и др. нефтепродуктах
(например, в сырье для каталитического риформинга) органических сернистых,
азотистых и кислородных соединений, которые, присоединяя водород, образуют
соответственно сероводород, аммиак и воду и в таком виде удаляются из
очищаемого продукта. Гидроочистку ведут в присутствии гидрирующего
катализатора. При гидроочистке расходуется значительное количество водорода
(чтобы снизить на 1% содержание серы, необходимо затратить его 9-18 м3 на 1 м3
сырья), поэтому установки гидроочистки обычно совмещают с установками
каталитического риформинга, дающими избыточный водород. Образующийся при
гидроочистке сероводород улавливают и используют для получения серы и серной
кислоты. В результате повышается качество нефтепродуктов, снижается коррозия
оборудования, уменьшается загрязнение атмосферы. Гидроочистка смазочных масел,
применяемая вместо контактной очистки глинами, улучшает цвет и запах, понижает
кислотность и коксуемость масел. Этот процесс приобрёл очень большое значение в
связи с вовлечением в переработку больших количеств сернистых и высокосернистых
(более 1,9% серы) нефтей.
В данном случае процесс гидроочистки сырья предназначен для снижения в
сырье содержания серы и азота, так как сернистые и азотистые соединения
являются каталитическими ядами для катализаторов СГК-1, ГИ-03М, ICR 404 L35 и ICR
404.
Установка № 61 комплекса КМ-3 предназначена для выработки широкого
ассортимента продукции: базового изопарафинового масла VHVI-4, высокоиндексных низкозастывающих основ
гидравлических и авиационных масел, трансформаторного, индустриальных масел,
основ рабочих жидкостей и СОЖ. Основным сырьем для производства масел является:
I вакуумный погон установок АВТ, рафината I вакуумного погона с установок
селективной очистки, дизельное топливо, гач с установок депарафинизации.
Установка № 61 включает в себя блок вторичной перегонки дизельного
топлива, секции 100, 200, 300, 400 и установку концентрирования
водородосодержащего газа (ВСГ).
Технологический процесс разработан ВНИИ НП. Проект блока вторичной
перегонки дизельного топлива (ВПДТ) выполнен институтом АзГипронефтехим. Проект
комбинированной установки КМ-3 выполнен институтом ГрозГипронефтехим.
Установка ведена в эксплуатацию в 1988 г. Проектная мощность установки
84,3 тыс. тонны в год по товарной продукции.
В 2001-2002 годах проведена реконструкция комплекса, которая позволила
освоить процесс гидроизомеризации гача по технологии фирмы «Шеврон» с
применением катализатора гидроизомеризации ICR -404.
Установка №61 однопоточная и в зависимости от вида получаемого продукта
принята работа установки по трем вариантам:
1 вариант I - получение основ гидравлических, индустриальных,
трансформаторного и авто-промывочного масел;
2 вариант II - получение основы маловязкой СОЖ, рабочей жидкости;
3 вариант III - получение масла базового изопарафинового.
Технология производства основ товарных масел на установке решается
следующим набором процессов представленными на рис.1.1.
Блок вторичной перегонки предназначен для фракционирования дизельного
топлива с целью получения целевых фракций: 150 ¸ 250оС, 200 ¸ 300оС, 250¸340оС, 340оС¸К.К., используемых в качестве сырья
для получения маловязких низкозастывающих высокоиндексных основ.
Секция С-100 (гидроочистка) используется для снижения содержания серы и
азота в целевых фракциях, которые являются ядами для катализаторов секции
С-200.
Секция С-200 (каталитическая депарафинизация (гидроизомеризация) и
гидрофинишинг) предназначена для понижения температуры застывания целевых
фракций до -720С и гидрирования непредельных и ароматических углеводородов.
Рис. 1.1 Блок-схема секций 100, 200, 300, 400 по вариантам работы
установки.
Включение
процесса глубокого гидрирования, функционально направленного на удаление
ароматики, позволяет на установке получать товарные основы масел ВМГЗ, МГЕ-10А,
АМГ-10А.
Секция
С-300 предназначена для циркуляции ВСГ в секциях С-100, 200, его осушки от воды
и очистки от сероводорода.
Секция
С-400 предназначена для получения товарных основ масел путем стабилизации
(удаления растворенных углеводородных газов) и ректификации гидродепарафинизата
(гидрогенизата по варианту II, гидроизомеризата по варианту III)
поступающего с С-200 и С.100.
В
настоящей работе детально рассмотрен процесс гидроочистки гача.
2.Анализ способа производства продукта промышленного аналога
Таблица 2.1. Анализ способа производства продукта промышленного аналога.
|
Исходная информация
|
Проблемы
|
Уровень и сущность решения
проблем
|
Преимущества и недостатки
вариантов решения
|
|
1.Сырьё 1.1. Гач
парафиновый 1.2. Состав сырья, свойства сырья регулируются стандартом
предприятия СТП ПР 051-0018599-2005 1.3. Физические свойства: - жидкость -5%
выкипает при Т=380-385 ºС -95% выкипает при Т=500-515 ºС Плотность при 15 ºС = 0,821-0,831 г/см³ Тпл =58 ºС не выше 1.4. Токсичность и пожаро-опасность: 4 класс опасности
|
1. Доставка 2. Необходима
соответст-вующая подпитка свежим водородсодержащим газом, Р водорода не ниже
39 кгс/см2.Поддержка парциа-льного давления водорода. 3. Содерж. масла в
парафи-не должно поддержив. на уровне 6,5±0,5 вес. - это позволит понизить
индекс вязкости сырья и продукта 4. По мере снижения активности кат. объёмная
скорость подачи сырья должна быть снижена для поддержания качества
изопарафиновой базы. 5. Отравляюшие в-ва: Ме(Ni, V, Fe)
и асфальтены 6. В процессе изомериза-ции парафинов соединения азота
превращаются в NH3
|
1. Из цеха №9 с установок
депарафини-зации, через парки цеха №8 поступает гач (парк №322/5). 2.
Поддержка парциально-го давления водорода. 3. Необходимо высокое содержание
масла. 4. Объёмная скорость подачи сырья 5. Они должны быть удалены из сырья
до максимальной допустимой нормы. 6. Желательно некоторое снижение активности
кислотных центров катали-затора при помощи NH3 и это
дости-гается титрованием катализатора три-бутиламином во время пуска.
|
1. "+" Сырьё
находится на заводе "-" дополнительные затраты на трубопровод 2.
"+" Водород имеется в избыточ-ном количестве, поэтому парциаль-ное
давление оказывает совсем небольшое воздействие на скорость реакций 3.
"+" низкие индексы вязкости сырья и продукта. 4. "+"
увеличивается глубина обессеривания "-" снижается
производительность установки 5. "+" продление работы кптализатора
6. "-"Излишнее титрование приведет к необходимости: а) повышения Т
процесса для обес-печения требуемой Т застывания б) сокращению выхода
масляного продукта в) сократит срок эксплуатации катализатора.
|
|
2. Катализатор ГП-534 2.1.
Массовая доля активных компонентов, % в пределах: - оксида молибдена (МоО3)
9-14 - оксида никеля (NiО) 2-4 - оксида фосфора (Р205) 2-6 - оксида
редкоземельных элементов (Р3Э202) 0,5-4 - оксида циркония (ZzО2) 0,1-4 2.2.
Массовая доля вредных примесей, %, не более: - оксида натрия (NаО) 0,15 2.3.
Насыпная плотность, г/см3, в пределах 0,6-0,9 2.4. Диаметр гранул, мм, в
пределах 1,3-4,5 2.5. Массовая доля влаги после прокаливания при (600-650)
оС, %, не более 5 2.6. Индекс прочности на раска-лывание, кг/мм, не менее 1,2
2.7. Массовая доля пыли, крошки размером менее 1,0 мм, %, не более 2 2.8.
Объём пор 0,44 см3/г 2.9. Удельная поверхность 171 м2/г 2.10. Средний радиус
пор Ǻ=51
|
1. Необходимость обессеривания
S для продолжения срока службы кат. 2. При загрузке в
кат. не должна попасть влага 3. Т-ный режим эксплуатации кат. 4. Высокий
перепад Р из-за попадания частиц пыли в кат. 5. Спекание катализатора и
коксоотложение.
|
1. Даная проблема решается
с помощью окислительной регенерации. Происходит из-за отложившегося на кат. S-углеродного
кокса. 2. Загрузка кат. должна проводиться в сухую погоду. 3. Оптимальный
режим зависит от состава сырья 4. К моменту загрузки весь кат. должен быть
просеян и очищен от пыли. Так же свободное падение через загрузочный шланг
должно быть ограниченным. 5. На уровне реакторного узла. Давле-ние водорода в
системе позволяет уве-ичить срок службы катализатора вследствие
взаимодействия водорода с коксом на поверхности катализатора. Регенерация.
|
1. "+"Полное
восстановление кат. 2. "-" Посезонная смена кат., а именно летом,
когда относительная влажность воздуха не более 20%. 3. "+" Увеличит
общий срок службы 4. "-" Во время просеивания и очистки велика вероятность
потери активных примесей из кат. в виде крошки и пыли. 5."+"
Большой избыток ВСГ позволяет уменьшить коксообра-зование, тем самым
увеличить срок службы катализатора. "+" Возможна регенерация кат-ра
"-" Низкая десульфирующая и деазотирующая способность
|
|
3. Целевой продукт Масло базовое
изопарафиновое ЛУКОЙЛ VHVI-4 ТУ 0253-026-00148599-2002 3.1. Плотность, кг/м3,
при 20 0С и при 15 0С = не нормируется, определение обязательно 3.2. Вязкость
кинематическая при 100 0С, (сСт), в пределах 3,9-4,6 3.3. Индекс вязкости, не
менее 125 3.4. Температура вспышки в открытом тигле, не ниже 210 0С 3.5.
Температура застывания, не выше -15 0С или точка потери, текучести, не выше
-12 0С 3.6. Цвет на колориметре, единицы ЦНТ или ASTM
D, не более 1 3.7. Испаряемость по «Ноака», не более
15 % 3.8. Массовая доля механических примесей, не более - % 3.9. Массовая
доля воды, - % 3.10. Содержание серы,не более 0,03 % 3.11. Содержание
парафино-нафтеновых углеводородов, не менее 90 3.2. Внешний вид Чистая,
прозрачная жидкость без осадка от бесцветного до светло-желтого цвета
|
1. Транспортировка 2.
Качество продукта
|
1. Через трубопровод на
стадию депарафинизации 2. Увеличение глубины очистки
|
1. "+" Не надо
тратить средства на хранение 2. "-" Сложность регулирования
процесса "+" Малое содержание S в продукте
позволяет повысить качество масел
|
|
4. Параметры процесса 4.1.
Температура Температура катализатора является критерием работы и дезактивации
катализатора. Расчетный интервал температур процесса гидроизомеризации на
свежем катализаторе при скорости подачи сырья от 0,5 ч -1 составляет от 338
до 385 0С.4.2 Парциальное давление водорода Парциальное давление водорода
должно быть не ниже 39 кгс/см2. Для поддержания данного парциального давления
необходима соответствующая подпитка свежим водородсодер-жащим газом, давление
на входе в реактор от 48 до 50 кгс/см2. 4.3. Объемная скорость подачи сырья
Оптимальной объемной скоростью подачи сырья является 0,5 ч-1. 4.4. Расход
циркулирующего водородсодержащего газа Минимальный расход газа циркуляции
38000 м3/ч.
|
Реакции гидрирования
сернистых соединений протекают в определенном температурном интервале. Подбор
оптимальных температур гидроочистки зависит от состава сырья. Правильно
выбранный интервал рабочих температур обеспечивает как требуемое качество,
так и длительность межрегенерационного цикла и общего срока службы
катализатора. При возрастании общего давления в системе растет парциальное
давление водорода, способствующее увеличению скорости гидроочистки и
способствует уменьшению возможности отложений кокса на катализаторе. В случае
уменьшения объемной скорости (увели-чение времени контакта сырья и
катализатора), увеличивается глубина обессеривания, но снижа-ется
производительность установки. Эффективного использо-вания всего катализатора
в реакторе и минимизация потенциально горячих точек
|
На уровне установки. Нагрев
сырья до температуры реакции, а также поддержание температуры в реакторе
осуществляется с помощью трубчатой печи, температура в реакторе
контролируется на входе и на выходе, а так же многозонными
термопарами. На уровне установки. Высокое парциа-льное давление
водорода достигается в результате процесса компремирования ВСГ содержащего не
менее 95% (об.) водорода. На уровне установки. Подбор оптима-льной
скорости подачи сырья, которая регулируется расходомерами. Ее дейст-вие может
быть скомпенсировано температурой Необходимо держать на максимуме
циркулирующий водородсодержащий газ
|
"-" Сложность
процесса "+" Достижение показателей качества продукта
"+" Позволяет превратить парафинистое сырье в масла с низкой
температурой застывания Поскольку он имеется в избыточ-ном количестве,
парциальное давле-ние оказывает совсем небольшое воздействие на скорость
реакций. "+" Поддержания качества изопарафиновой базы Полезный
срок эксплуатации катализатора увеличется "+" Более высокий расход
газа помогает равномерно распределить поток сырья через реактор
|
. Анализ результатов патентно-информационного поиска и выбор способа
достижения цели проектирования
.1Основные
химические превращения в процессах гидроочистки
Как отмечалось выше, процесс гидроочистки сырья предназначен для снижения
в сырье прежде всего содержания серо-, азотсодержащих соединений являющихся
каталитическими ядами.
Процесс гидроочистки основывается на реакции умеренной гидрогенизации, в
результате которой органические соединения серы, кислорода и азота превращаются
в углеводороды с выделением сероводорода, воды и аммиака, а олефины
преобразуются в более стабильные углеводороды парафинового и нафтенового рядов
в зависимости от природы олефинов в исходном сырье.
Реакции сернистых соединений
меркаптаны гидрируются до сероводорода и соответствующего углеводорода:
-SH + H2 ® RH + H2S;
сульфиды гидрируются через стадию образования меркаптанов:
S-R` + H2 ® R-H + R`SH`SH + H2 ® R`H + H2S
дисульфиды гидрируются до сероводорода и соответствующих углеводородов
также через стадию образования меркаптанов:
SS-R` + H2 ® RSH + R`SH
- тиофаны гидрируются с образованием соответствующих алифатических
углеводородов:
тиофены
дают такие же продукты, как и тиофаны:
бензтиофены
гидрируются по схеме:
Реакции
кислородных и азотистых соединений
Пиридин
+5Н2 ® С5Н12 + NН3
NН
Хинолин
- CН2-CН2-CН3 + NH3
+ 4Н2 ®
NН
Пиррол
+4H2 ® С4Н10 + NH3
N
H
Фенолы
¾ OH
+H2 ® +H2O
Гидропероксид гептана
С7Н15ООН+2Н2 ®
С7Н16+2Н2О
Гидропероксид циклогексана
-ООН
+2Н2 ® +2Н2О
Реакции углеводородов
В процессе гидроочистки одновременно с реакциями сернистых, азотных и
кислородных соединений могут протекать многочисленные реакции углеводородов:
изомеризация парафиновых и нафтеновых углеводородов;
насыщение непредельных;
гидрокрекинг;
гидрирование ароматических углеводородов и другие.
Реакции насыщения олефинов протекают очень быстро с большим выделением
теплоты.
Линейные олефины
С-С=С-С-С-С+Н2 ®
С-С-С-С-С-С (и изомеры)
Циклические олефины
+2Н2 ®
Наиболее сложными являются реакции насыщения ароматических углеводородов.
Эти реакции зависят от технологических параметров и зачастую ограничены
равновесными условиями. При этом учитывается необходимая степень насыщения.
Реакция насыщения отличается высокой экзотермичностью.
+3Н2 ®
Изомеризация парафиновых и нафтеновых углеводородов происходит при любых
условиях обессеривания.
При более высоких температурах и низких давлениях происходит частичное
дегидрирование нафтеновых и дегидроциклизация парафиновых углеводородов. В
некоторых случаях гидрогенизационного обессеривания эти реакции могут служить
источником получения водорода для реакций собственного обессеривания, т.е.
обеспечивают протекание процесса автогидроочистки.
Однако эти реакции в настоящей работе, посвященной процессу гидроочистки
гача с целью удаления, прежде всего серо- и азотсодержащих соединений перед
последующей его изомеризацией, являются побочными и особой роли не играют.
.2 Общие сведения о гидроочистке гача
Можно предположить, что сернистые и азотистые
соединения, присутствующие в гаче, представляют собой трудноудаляемые, менее
реакционно-способные гетероциклические соединения ароматического характера. В
настоящее время считается, что удаление таких соединений протекает через
гидрирование S- и N - содержащих колец с
последующим гидрогенолизом С - S и С
- N связей. Катализатор ГП-534 не предназначен для этих целей. Для обеспечения
остаточного содержания серы в гачах после гидроочистки до значения менее 30 ррт
и азота менее 2 ррт, необходим катализатор, обладающий повышенной десульфирующей
и деазотирующей активностью.
Активность катализаторов в процессе гидроочистки
зависит от многих факторов[4]:
) химического состава и соотношения компонентов,
2) структуры объемных и поверхностных активных фаз,
) природы носителя и модификатора,
4) условий получения и предварительной обработки,
) пористой структуры,
6) размера и формы частиц и др.
Эти параметры качества катализатора закладываются как
на стадии синтеза носителя катализатора, так и на стадии нанесения на носитель
активных компонентов. Стадия синтеза носителя катализатора обеспечивает
оптимальную для данного процесса пористость и химическую структуру поверхности
катализатора. На стадии нанесения активных компонентов формируется необходимая
структура активных фаз, обеспечивающая заданную активность и селективность.
Пористость катализаторов гидроочистки является важным
фактором их эффективности, т.к. определяет степень использования активного
вещества. Пористая структура характеризуется удельной поверхностью (Sуд), объемом пор (Vпор), распределением пор по радиусам
и имеет достаточно большое значение для повышения активности катализаторов.
Особенно она важна при переработке тяжелого сырья, поскольку скорость процесса
в пористом катализаторе определяется соотношением скоростей реакции и массопереноса
[1].
В процессе синтеза катализатора образуется, как
правило, непрерывный спектр размеров пор, однако большая их часть группируется
вокруг какого-либо наиболее вероятного эквивалентного радиуса, который обычно
принимают за основную количественную характеристику пористой структуры. Именно
относительно этого радиуса пор в условиях мультидисперсной структуры может
существовать понятие оптимального радиуса, обеспечивающего наивысшую скорость
реакции. Наличие пор различного радиуса позволяет создать оптимальный по своей
структуре образец. Крупные поры способствуют достаточной скорости
транспортировки реагентов к тонким порам и обратной диффузии продуктов реакции,
а более мелкие поры дают соответствующий вклад в образование поверхности.
Смещение в сторону меньших размеров пор приводит к увеличению их поверхности,
но одновременно с этим резко уменьшается степень использования последней и
соответственно понижается скорость реакции. Аналогично снижается скорость
реакции при смещении от оптимального размера пор в сторону его увеличения,
когда при высокой степени использования поверхности снижение активности будет
обусловлено уменьшением поверхности [2]..
В таблице 3.1.1. сопоставлены характеристики
промышленной партии катализаторов ГП-534 (ГП-534М), ИК-ГО-1 и современных
зарубежных катализаторов гидроочистки S-424 (фирма Shell), IСR-157
(фирмы Chevron).
Таблица 3.1.1. Основные сведения по катализаторам
гидроочистки.
|
Катализатор
|
Насыпная плотность, кг/м3
|
Химический состав, % масс.:
|
СоО
|
NiO
|
MoO3
|
Объём пор, см3/г
|
Диаметр гранул, мм
|
Коэффициент прочности,
кг/мм
|
Удельная поверхность
|
|
1
|
2
|
3
|
4
|
5
|
6
|
7
|
8
|
9
|
10
|
|
ИК-ГО-1
|
600
|
|
4,5
|
-
|
18,0
|
0,49
|
1,6
|
2,2
|
192,0
|
|
S-424
|
-
|
|
-
|
3,8
|
19,2
|
0,36
|
-
|
-
|
130
|
|
IСR-157
|
-
|
|
-
|
2-8
|
20-30
|
-
|
-
|
-
|
-
|
|
ГП-534
|
600
|
|
-
|
2,1
|
11,6
|
0,44
|
1,3-4,5
|
-
|
171,0
|
|
ГП-534М
|
600
|
|
-
|
3-6
|
18-23
|
0,47
|
1,8-2,2
|
2,1
|
184,0
|
Как видно из таблицы зарубежные катализаторы содержат
более высокое количество гидрирующих металлов. Суммарное содержание металлов (NiO+МоО3) в катализаторе S-12 (фирма UOP) составляет 20,0 %, в катализаторе S - 424 (фирма Shell) - 23,0 %. По данным Сертификата
безопасности на катализатор ICR-157,
предоставленного ОАО « ВНИИ НП» фирмой Chevron, он содержит: NiO = 2-8 %, М0О3 = 20-30%, что значительно больше, чем в
промышленном катализаторе ГП-534: NiO = 2,1-4,1 %, М0О3 = 9,8-11,6%.
Сравнение пористой структуры зарубежных катализаторов
с катализатором ГП-534 показало, что зарубежные катализаторы S-12 и S-424 имеют небольшое количество мелких пор (10-20 А°), а
максимальное количество пор приходится на поры радиусом 50-70 А° . Катализатор
ГП-534 обладает мультидисперсной структурой. В нем содержится значительно
большее количество мелких пор, до 20А°, максимальное количество пор приходится
на поры радиусом 20-70 А°, присутствуют также поры с радиусом более 100 А°.
Исследованиями, проведенными ранее во ВНИИ НП, было
показано, что в мелких порах катализаторов образуется основное количество
неактивных в катализе фаз типа NiAL2O4, AL2(Мо04)3, а также наиболее активно происходит процесс
коксообразования, что резко уменьшает поверхность. В крупнопористом
катализаторе таких пор практически нет, кокс откладывается на стенках крупных
пор, в меньшей степени препятствуя доступу молекул сырья и водорода к активным
центрам. Кроме того испытания катализаторов S-12 и S -
424, проведенные во ВНИИ НП в процессе гидроочистки вакуумного газойля,
показали их более высокую активность по сравнению с катализатором ГП-534. Во
ВНИИ НП были проведены исследования и уточнены требования для катализаторов
гидроочистки различных видов нефтяного сырья, которые позволили сделать
следующие выводы:
для гидроочистки фракций авиакеросинов и дизельных
топлив катализаторы должны иметь удельную поверхность 200-240 м2/г, однородную
пористую структуру с размером пор в диапазоне 40-50А° (более 80% по объему) и
содержать активные компоненты в количестве 2-3% СоО (CoO+NiO) и
11-13% МоО3.
для гидроочистки вакуумного газойля катализаторы
должны обладать поверхностью 180-200 м2/г и иметь однородные поры (более 65%)
радиусом 50-70А0. Содержание активных компонентов должно составлять 3-5% NiO и 12-16 % МоО3.
для гидрооблагораживания тяжелого вторичного и
смесевого сырья катализаторы должны иметь удельную поверхность 150-180 м2/г и
80% объема пор с радиусом 50-80А° и более высокое содержание активных
компонентов: 4-6% NiO и 16-18% МоОз.
Носители катализаторов готовят из гидроксида алюминия,
полученного нитратно-алюминатным двухпоточным способом. Этот метод получения
носителя дает возможность вводить различные добавки как на стадии осаждения
гидроксида алюминия, так и перед стадией формования, что позволяет изменять
структуру носителя.
Катализаторы гидроочистки, как правило, готовят с
использованием в качестве активного компонента соединений Мо с добавлением
второго активного компонента соединений кобальта или никеля. Катализаторы,
содержащие Со, несколько более активны, чем катализаторы, содержащие Ni в реакции гидродесульфировании,
однако для катализаторов глубокого деазотирования предпочтение отдается Ni, т.к. он обладает более высокой
гидрирующей активностью[3].
3.3 Новое в
области катализаторов в зарубежной и отечественной промышленности
Развитие технологии гидроочистки различных нефтяных
фракций, гидрокрекинга тяжелых видов сырья с получением топлив и
гидро-изомеризации связано с успешной эксплуатацией катализаторов [4,5].
Одной из важных проблем, стоящей перед
производственниками, является правильный выбор катализатора, позволяющего
интенсифицировать процесс.
В настоящее время ведущими зарубежными фирмами
производится большое количество катализаторов, предназначенных для глубокой
гидроочистки всех видов нефтяного сырья [6]. Например, катализаторы серий ICR-134-210 (Chevron
Research and Technology Co); KF-124 -852 (Akzo Nobel Catalyst B.V);
DC-1230-2118 и DN-140-3120 (Criterion
catalyst Co LP); S-12-120; S-12T; H; G; S-14M(UOP); AT-405; CK-400; CK-500
(Advanced Refining Technologies L.Р.) и др.
Зарубежные катализаторы, предназначенные для процесса
глубокой гидроочистки, содержат в своем составе, как правило, большое
количество гидрирующих металлов (18-30% масс.) [7-10], имеют однородную
пористую структуру [11-13] и высокую удельную поверхность [14,15].
Основные физико-химические характеристики
катализаторов гидроочистки приведены в таблице 3.3.1.
Таблица 3.3.1. Основные сведения по катализаторам
гидроочистки [16-19].
|
Катализатор
|
Насыпная плотность, кг/м3
|
Химический состав, % масс.:
|
СоО
|
NiO
|
MoO3
|
Объём пор, см3/г
|
Диаметр гранул, мм
|
Коэффициент прочности,
кг/мм
|
Удельная поверхность
|
|
1
|
2
|
3
|
4
|
5
|
6
|
7
|
8
|
9
|
10
|
|
ИК-ГО-1
|
600
|
|
4,5
|
0
|
18,0
|
0,49
|
1,6
|
2,2
|
192,0
|
|
KF-752
|
630
|
|
4,0
|
0
|
20.0
|
-
|
3.5
|
-
|
-
|
|
ГКД-205
|
720
|
|
0
|
4,0
|
12,3
|
0,4
|
2,7
|
2,3
|
190
|
|
ТК-551
|
760
|
|
0
|
3,8
|
17,0
|
0,48
|
1,5
|
1,7
|
125
|
|
ГП-497
|
800
|
|
0
|
2,4
|
11,0
|
0,42
|
2,7
|
2,0
|
190
|
|
1
|
2
|
3
|
4
|
5
|
6
|
7
|
8
|
9
|
10
|
|
ГО-30-7
|
-
|
|
0,27
|
4,40
|
16,8
|
0,4
|
-
|
-
|
220
|
|
КПС-16Н
|
-
|
|
0
|
5,0
|
15,1
|
0,47
|
-
|
-
|
174,0
|
|
ГП-534
|
800
|
|
0
|
2,1
|
11,6
|
0,44
|
1,3-4,5
|
-
|
171,0
|
|
ГП-534М
|
600
|
|
0
|
3-6
|
18-23
|
0,47
|
1,8-2,2
|
2,1
|
184,0
|
Для процессов глубокой гидроочистки гачей сольвентной
депарафинизации, дизельных фракций и рафинатов селективной очистки в ОАО «ВНИИ
НП» разработан новый катализатор ИК-ГО-1. Для синтеза катализатора использован
гидроксид алюминия бемитной структуры, полученный нитратно-алюминатным
двухпоточным способом осаждения в ЗАО «Промышленные катализаторы». Катализатор
ИК-ГО-1 обладает однородной структурой с максимальным количеством средних
рабочих пор и минимальным количеством микро- и макропор, а также высокой
удельной поверхностью. Результаты испытания гача (содержание серы 1211 ppm, азота 26,4 pm) приведены в таблице 3.3.2 [17].
Таблица 3.3.2. Результаты гидроочистки гача на
катализаторе ИК-ГО-1
|
Показатели
|
Температура, °С
|
|
350
|
370
|
|
Содержание серы, ppm
|
4,0
|
2,0
|
|
Содержание азота, ppm
|
1,0
|
|
Степень десульфирования, %
|
99,2
|
99,7
|
|
Степень деазотирования, %
|
95,1
|
96,2
|
* Условия испытания: Р - 3,5 МПа, Объемная скорость
подачи сырья - 0,5 ч-1, расход водорода - 1000 нм3/м3.
Фирмой Advanced Refining
Technologies разработана новая серия
катализаторов ICR, позволяющая углубить переработку сырья и улучшить
технологические параметры процесса. На рис. 3.3.1. показана система из 4-х
катализаторов.
ICR 161 является новейшим из серии катализаторов
деметаллизации. Он обладает более высокой, в сравнении с существующими
катализаторами, деметаллизирующей активностью и большей стойкостью к металлам,
тем самым улучшая эксплуатационные характеристики катализаторов на последующих
стадиях процесса.
ICR 167 - новейший из серии переходных катализаторов,
обладающий более высокой деметаллизирующей и десульфирующей активностью и
стойкостью к коксуемости (по Конрадсону) по сравнению со стандартными
катализаторами деметаллизации. Сочетание ICR161 с ICR167
позволяет на 20% повысить стойкость к металлам и гидродесульфирующую активность
во всем слое катализатора деметаллизации.
ICR 170 - высокоактивный катализатор гидрообессеривания,
специально предназначенный для сырья с высоким содержанием металлов. Он
обладает на 20% более высокой деметаллизирующей активностью по сравнению с
катализаторами прежних поколений, сохраняя при этом высокую активность в
процессе гидрообессеривания и высокую стойкость к закоксовыванию.
ICR_171 - новый очень высокоактивный катализатор
гидрообессеривания. При применении в сочетании со слоями катализаторов
гидродеметаллизации и переходных катализаторов гидродесульфирующая способность
этого катализатора усиливается [20].
Рисунок 3.3.1. Типовая каталитическая система для
предварительной очистки сырья.
Активность катализаторов гидроочистки зависит от
многих факторов: структуры носителя, количества и способов введения гидрирующих
металлов. Эти параметры качества катализатора закладываются как на стадии
синтеза носителя, так и на стадии введения в носитель активных компонентов.
Пористая структура катализаторов гидроочистки является
важным фактором их эффективности, так как определяет степень использования
активных компонентов. Она характеризуется удельной поверхностью (Sуд), объемом пор (Vnop) и распределением пор по радиусам.
Условно поры подразделяются на микро-, средние или рабочие, макро- и
транспортные поры. Основное значение для катализатора имеют рабочие поры,
поэтому при синтезе катализаторов стремятся к максимальному их количеству в
структуре носителя. Количество микропор в катализаторе должно быть сведено к
минимуму из-за неэффективного использования в них активных металлов и быстрого
закоксовывания. Макропоры важны для катализаторов, имеющих большой диаметр
гранул и невысокую удельную поверхность, поскольку они обеспечивают доступ
реагентов к активным центрам. Современные катализаторы гидроочистки имеют
мелкую формовку, обладают высокой удельной поверхностью и не нуждаются в большом
количестве макропор для массопереноса [21].
Носителями отечественных и зарубежных катализаторов
гидроочистки являются в основном оксиды алюминия γ и η-морфологических структур,
модифицированные различными способами. В качестве модификаторов чаще всего
используют оксиды фосфора, титана, циркония, бора, редкоземельных элементов,
магния, кремния и др.
Наиболее распространенным способом синтеза активного
оксида алюминия (АОА) является переосаждение глинозема с формированием
гидроксидов алюминия бемитно-псевдобемитного и байеритного типов. При этом
используются 2 варианта технологии (рис. 3.3.2.).
Рисунок 3.3.2. Принципиальная схема получения АОА
методом осаждения.
Производство катализаторов связано со значительными
энергетическими затратами в связи с необходимостью проведения операций
осаждения, промывки, упарки, сушки и прокалки при высоких температурах.
В связи с вышесказанным в последнее десятилетие
интенсивно проводятся работы по созданию малосточной технологии получения АОА
путем термического диспергирования тригидрата глинозема, который включает
одновременно происходящие процессы разупорядочения кристаллической структуры,
дегидратации и диспергирования за счет большой скорости нагрева частиц
гиббсита.
Реализация малосточной технологии производства АОА по
сравнению с методом переосаждения позволяет уменьшить расходы кислот в 8-25
раз, воды - в 5-10 раз и отказаться от использования едкого натра, что приведет
к сокращению образования и сброса в канализацию сточных вод, повышению
производительности установки, а следовательно, и снижению себестоимости
полученного АОА на 34-45 % [22]
Активными компонентами катализаторов гидроочистки
являются гидрирующие металлы: никель, кобальт, молибден, вольфрам.
Катализаторы, содержащие кобальт, несколько активнее в реакции гидрогенолиза по
сравнению с катализаторами, содержащими никель, однако последние обладают
большей гидрирующей функцией, поэтому более предпочтительны для процесса
глубокой гидроочистки, учитывая механизм его протекания_[23].
Катализаторы, полученные методом соэкструзии, уступают
по активности катализаторам, приготовленным методом пропитки носителя
растворами солей гидрирующих металлов. Однако введение большого количества
гидрирующих металлов методом пропитки (до 30% и выше) вызывает определенные
трудности из-за стабильности пропиточных растворов. Для стабилизации последних
используют различные соединения: перекись водорода, органические и
неорганические кислоты, гидроксид аммония, азотистые основания, спирты и другие
органические соединения_[24]. На активность катализатора влияет рН пропиточного
раствора, последовательность операций, если различные металлы вводят раздельно,
а также другие факторы. Установлено, что за десульфирующую и деазотирующую
функции катализатора ответственны продукты сульфидирования поверхностных
структур, распределенных в виде Ni(Со)-Мо-монослоя
на поверхности носителя, а за гидрирующую активность - продукты сульфидирования
объемных, слабосвязанных с носителем частиц изополимолибдатов и алюмомолибдатов
никеля.
Имеется достаточно обширная литература, посвященная
исследованию каталитических систем различными физико-химическими методами,
однако до сих пор вопрос об оптимальной структуре катализаторов гидроочистки и
определяющих факторах ее формирования, а также направленного регулирования их
активности окончательно не решен.
Эффективность использования катализатора, во многом
зависит от технологических приёмов, используемых при его загрузке и вводе в
эксплуатацию.
Использование специальных загрузочных устройств,
обеспечивающих равномерную загрузку катализатора с заданной плотностью
позволяет увеличить до 10% количество загружаемого в реактор катализатора по
сравнению с рукавной загрузкой [25].
Из литературных данных известно, что катализаторы
гидропроцессов используют в основном в сульфидной форме, причем для каждого
типа катализатора предлагается специальная методика активации, зависящая от
качества сырья и условий процесса [25,26]., Обработка серосодержащими
соединениями повышает гидрообессеривающую активность катализатора, при этом
наибольшей активностью обладают образцы, сульфидированные сероводородом или
элементной серой [27]. Сульфидирование дизельной фракцией снижает
гидрообессеривающую активность, что связано с дезактивацией катализатора в начальный
период за счет продуктов крекинга [28]. Рекомендовано проводить сульфидирование
элементной серой путем ее послойной загрузки в количестве 3,5-5,0% от массы
катализатора и нагрева до 120°С [29].
Для достижения постоянно ужесточающихся требований к
продуктам гидроочистки в последнее время в нефтепереработке переходят на
применение мелкогранулированных катализаторов и плотную упаковку. Однако при
этом не устраняется опасность отложения механических примесей, кокса, смол,
других нежелательных компонентов между гранулами катализатора, что приводит к
уменьшению его свободного объема и в ряде случаев к склеиванию частиц и
образованию корки в верхнем слое, каналообразованию, искажению гидродинамики
процесса, увеличению перепада давления.
Для замедления роста перепада давления в рабочем цикле
обычно используют: фильтрующие корзины; ловушки различных конструкций; инертный
сферический материал, (фарфоровые шары переменного диаметра); распределительные
устройства [30,31]
Перечисленные приемы обеспечивают защиту основного
слоя катализатора, но не решают проблему полностью.
Со временем работы катализатора в верхнем слое
образуется плотная корка, более 90% которой составляет соединения железа,
остальное - кокс натрий и другие металлы.
Железо поступает с сырьем в виде тонкодисперсных
частиц FeS, которые практически не
задерживаются механическими устройствами и легко проникают в слой основного
катализатора являющегося эффективным фильтром, аккумулируются на границе
раздела, склеиваются продуктами уплотнения, создавая корку, которая постепенно
увеличивается за счет свободного объема шаров.
Скорость отложения твердых части зависит от отношения
внешней поверхности катализатора к его объему и определяется формой и размером
гранул катализатора.
Для различных гранул катализатора: цилиндра;
трехлистника; четырехлистника; шестилистника, доля пустот (порозность слоя)
равна 0,32; 0;37; 0,39 и 0,41 соответственно. Для реактора объемом 70 м3 объем
пустот в слое катализатора составляет 22,4; 25,9; 27,3; 28,7м3. Контролирование
перепада давления в реакторах гидроочистки - это контролирование пустот слоя
катализатора. Проблему перепада давления можно решить двумя путями [32]:
подобрать форму гранул катализатора таким образом,
чтобы объем пустот к концу пробега с учетом закоксовывания и накопления
механических примесей уменьшился не более чем на 20%, а размер гранул выбирать,
исходя из условия обеспечения равномерного распределения механических частиц по
всему объему катализатора;
осуществить защиту катализатора от попадания
механических примесей.
Специалистами ООО "Новокуйбышевский завод
катализаторов" разработан и запатентован катализатор защитного слоя
НКЮ-500, который обеспечивает:
равномерное распределение газосырьевого потока по
сечению реактора;
аккумулирование твердых частиц в полостях колец;
деметаллизацию;
подготовку сырья к контакту с основным слоем
катализатора; частичный гидрогенолиз серо- и азоторганических соединений.
НКЮ-500 загружают вместо фарфоровых шаров сверху
основного слоя катализатора. Механизм действия защитного слоя заключается в
следующем. При обтекании газосырьевого потока вокруг гранулы развивается
высокая линейная скорость, а внутри (в отверстиях) скорость потока ничтожна,
вследствие чего частички механических примесей аккумулируются во внутренних
пустотах и таким образом защищают основной слой от образования корки.
Шероховатая поверхность гранул способствует прочному удерживанию примесей и
затрудняет их унос [33].
Вывод: Рассмотрение способов гидроочистки гача показало, что основными
аспектами решения проблемы улучшения качества гача являются поиск более
эффективного катализатора, с более продолжительным межрегенерационным циклом
работы. При рассмотрении катализаторов и возможности их использования акцент
был сделан на отечественные катализаторы.
Из всех изученных вариантов для решения поставленной задачи выбран
катализатор гидроочистки гача ИК-ГО-1, так как он обладает более высокой
десульфирующей и деазотирующей активностью.
Использование катализатора ИК-ГО-1 позволит использовать в качестве сырья
для получения масла базового изопарафинового VHVI-4 гачи с большим содержанием серо- и азотсодержащих
соединений, не изменяя условий проведения процесса.
3.4 Патентная информация отобранная для последующего анализа
Таблица 3.4.1. Патентная информация, отобранная для последующего анализа.
|
Предмет пои-ска (объект и
его составные части)
|
Страна
|
Инде-ксы МКИ (или НКИ)
объ-екта
|
Глу-бина поис-ка
|
Страна выдачи, вид и номер
охран-ного доку-мента
|
Источник в котором
обна-ружен патент (Бюл, изобр, РЖ Хим и др.)
|
Заявитель с указанием страны,
№ заявки, дата приоритета, дата опубликования.
|
Сущность заявляемого
технического решения и цели его создания (по описанию)
|
|
Способ получения базового
смазочного масла из парафинового гача
|
Россия
|
C10G65/02 C10G65/12
C10G67/04
|
С 1985г. по 2006г.
|
Россия C2 2280064
|
www.fips.ru
|
БЕНАР Жерар (FR) ДЮПРЕ Эрик (FR) ВАН
ВЕН Йоханнес Антониус (NL) 2004100239/04 2002.06.07 2006.07.20
|
Целью настоящего
изобретения является разработка процесса гидроизомеризации парафинового гача,
который может эксплуатироваться при относительно низком давлении и пониженной
температуре
|
|
Способ модифицирования
катализатора
|
Россия
|
B01J37/00
|
|
Рос-сия C1 2111792
|
www.fips.ru
|
Валитов Н.Х. 2111792
94042011/04 1994.11.24 1998.05.27
|
Цель изобретения -
повышение актив-ности катализатора окисления путем модифицирования
катализаторов конкурентно-термо-десорбируемыми веществами с показателем
кислотности (рКа) и основности (рКв) в пределах 0 - 14.
|
4. Инженерные основы выбранного способа (процесса) получения целевого
продукта
.1 Химизм процесса
Меркаптаны гидрируются до сероводорода и соответствующего углеводорода:
SH + H2 ® RH + H2S;
Сульфиды гидрируются через стадию образования меркаптанов:
S-R` + H2 ® R-H + R`SH`SH + H2 ® R`H + H2S
Дисульфиды гидрируются до сероводорода и соответствующих углеводородов
также через стадию образования меркаптанов:
SS-R` + H2 ® RSH + R`SH
Тиофаны гидрируются с образованием соответствующих алифатических
углеводородов:
Тиофены
дают такие же продукты, как и тиофаны:
Бензтиофены
гидрируются по схеме:
Реакции
гидрирования азоторганических соединений аналогичны реакциям гидрирования
сернистых соединений.
Гидрогенолиз
азотистых соединений сопровождается выделением свободного аммиака. В связи с
высокой устойчивостью азоторганических соединений нефти азот удаляется при
гидроочистке с большим трудом.
Кислородсодержащие
соединения обычно легко вступают в реакции гидрирования с образованием
соответствующих углеводородов и воды.
4.2 Термодинамический анализ основной реакции
В качестве 1-ой рассматриваемой реакции выбираем:
По
справочной литературе подобрали стандартные термодинамические данные:
теплоемкость, энтальпия, энтропия и поправочные коэффициенты к теплоемкости для
всех реагентов и продуктов реакции. Данные сведены в таблице 4.2.1.
Таблица
4.2.1. Исходные данные для термодинамических расчетов
Вещество
,
кДж/моль
,
Дж/моль·К
,
|
Дж/моль
|
|
|
|
|
|
|
|
|
а
|
b·103
|
c·106
|
c’·10-5
|
|
115,73278,8672,89-4,27296,52-126,32-
|
|
|
|
|
|
|
|
|
0130,5228,8327,283,26-0,50
|
|
|
|
|
|
|
|
|
-126,15310,1297,4518,23303,56-92,65-
|
|
|
|
|
|
|
|
|
-20,60205,7033,4429,3715,40--
|
|
|
|
|
|
|
|
Расчет термодинамических функций:
. Определим тепловой эффект реакции при стандартных условиях по формуле
вытекающей из закона Гесса:
,
где
- теплота образования химического вещества из
элементов его составляющих;
,
- стехиометрические коэффициенты в уравнении реакции.
кДж/моль
.
Определим тепловой эффект реакции для интервала температур от 523К до 773К по
формуле, полученной из уравнения Кирхгофа
и
изменения зависимости теплоемкости от температуры:
где
- разность сумм соответствующих коэффициентов в
продуктов реакции и исходных реагентов с учетом их
стехиометрических коэффициентов:
Энтальпию
реакции определяем по формуле:
.
Изменение энтропии реакции при стандартных условиях определяем по формуле:
где
- энтропия химических веществ - участников реакции
при температуре 298К
.
Определим изменение энтропии реакции в интервале температур от 523К до 773К
.
Изменение энергии Гиббса определяется по формуле
.
Из уравнения изотермы Вант-Гоффа определяем константу равновесия:
.
Полученные значения функций представлены в таблице 4.2.2.
Таблица
4.2.2. Термодинамические функции реакции
Т,К
,
кДж/моль
,
Дж/моль·К
|
кДж/моль
|
|
|
|
|
|
523
|
-272,111
|
-310,39
|
-109,777
|
1011
|
|
573
|
-274,236
|
-314,28
|
-92,582
|
2,75·108
|
|
623
|
-276,235
|
-317,61
|
-78,364
|
3,72·106
|
|
673
|
-278,099
|
-320,49
|
-62,409
|
6,96·104
|
|
723
|
-279,821
|
-321,90
|
-47,088
|
2,52·103
|
|
773
|
-281,394
|
-325,07
|
-30,115
|
1,08·102
|
8.
Графики зависимостей:
;
;
;
Рисунок
4.2.1 График зависимости энтальпии от температуры.
Рисунок
4.2.2 График зависимости энтропии от температуры.
Рисунок
4.2.3. График зависимости Рисунок 4.2.4. График зависимости энергии Гиббса от
температуры. константы равновесия от температуры.
Так
как тепловой эффект реакции величина отрицательная, т.е.
, то данная реакция является экзотермической и идет с
выделением тепла. В интервале температур от 523К до 773К
, следовательно возможно самопроизвольное протекание
реакции в сторону продуктов реакции, с увеличение температуры эта вероятность
уменьшается. Для данной реакции характерно, что с увеличением температуры
происходит уменьшение энтропии реакции. Так как реакция экзотермическая, то из
уравнения изобары Вант-Гоффа (p=const):
следует,
что при
и
с
увеличением температуры величина константы равновесия уменьшается, и положение
равновесия сдвигается в сторону исходных компонентов.
В
качестве 2-ой рассматриваемой реакции выбираем:
По
справочной литературе подобрали стандартные термодинамические данные:
теплоемкость, энтальпия, энтропия и поправочные коэффициенты к теплоемкости для
всех реагентов и продуктов реакции. Данные сведены в таблице 4.2.3.
Таблица
4.2.3 Исходные данные для термодинамических расчетов
Вещество
,
кДж/моль
,
Дж/моль·К
,
|
Дж/моль
|
|
|
|
|
|
|
|
|
а
|
b·103
|
c·106
|
c’·10-5
|
|
-22,97255,0650,2521,00108,66-32,56-
|
|
|
|
|
|
|
|
|
0130,5228,8327,283,26-0,50
|
|
|
|
|
|
|
|
|
-77,85186,2735,7114,3274,66-17,43-
|
|
|
|
|
|
|
|
|
-20,60205,7033,4429,3715,40--
|
|
|
|
|
|
|
|
Расчет термодинамических функций:
. Определим тепловой эффект реакции при стандартных условиях по формуле
вытекающей из закона Гесса:
,
где
- теплота образования химического вещества из
элементов его составляющих;
,
- стехиометрические коэффициенты в уравнении реакции.
кДж/моль
.
Определим тепловой эффект реакции для интервала температур от 523К до 773К по
формуле, полученной из уравнения Кирхгофа
и
изменения зависимости теплоемкости от температуры:
где
- разность сумм соответствующих коэффициентов в
продуктов реакции и исходных реагентов с учетом их
стехиометрических коэффициентов:
Энтальпию
реакции определяем по формуле:
.
Изменение энтропии реакции при стандартных условиях определяем по формуле:
где
- энтропия химических веществ - участников реакции
при температуре 298К
.
Определим изменение энтропии реакции в интервале температур от 523К до 773К
.
Изменение энергии Гиббса определяется по формуле
.
Из уравнения изотермы Вант-Гоффа определяем константу равновесия:
.
Полученные значения функций представлены в таблице 4.2
Таблица
4.2.4. Термодинамические функции реакции
Т,К
,
кДж/моль
,
Дж/моль·К
|
кДж/моль
|
|
|
|
|
|
523
|
-73,991
|
0,75
|
-74,383
|
2,69·107
|
|
573
|
-74,954
|
-0,25
|
-74,940
|
6,79·106
|
|
623
|
-75,534
|
-1,18
|
-74,799
|
1,87·106
|
|
673
|
-76,109
|
-2,03
|
-74,743
|
6,33·105
|
|
723
|
-76,675
|
-2,81
|
-74,643
|
2,47·105
|
|
773
|
-77,229
|
-3,52
|
-74,508
|
1,08·105
|
8.
Графики зависимостей:
;
;
;
Рисунок
4.2.5 График зависимости энтальпии от температуры.
Рисунок
4.2.6 График зависимости энтропии от температуры.

Рисунок
4.2.7 График зависимости Рисунок 4.2.8 График зависимости энергии Гиббса от
температуры. константы равновесия от температуры.
Так
как тепловой эффект реакции величина отрицательная, т.е.
, то данная реакция является экзотермической и идет с
выделением тепла. В интервале температур от 523К до 773К
, следовательно, возможно самопроизвольное протекание
реакции в сторону продуктов реакции, с увеличение температуры эта вероятность
уменьшается. Для данной реакции характерно, что с увеличением температуры
происходит уменьшение энтропии реакции. Так как реакция экзотермическая, то из
уравнения изобары Вант-Гоффа (p=const):
следует,
что при
и
с
увеличением температуры величина константы равновесия уменьшается, и положение
равновесия сдвигается в сторону исходных компонентов.
В
качестве 3-ей рассматриваемой реакции выбираем:
По
справочной литературе подобрали стандартные термодинамические данные:
теплоемкость, энтальпия, энтропия и поправочные коэффициенты к теплоемкости для
всех реагентов и продуктов реакции. Данные сведены в таблице 4.2.5.
Таблица
4.2.5. Исходные данные для термодинамических расчетов
Вещество
,
кДж/моль
,
Дж/моль·К
,
|
Дж/моль
|
|
|
|
|
|
|
|
|
а
|
b·103
|
c·106
|
c’·10-5
|
|
-37,53285,8574,1024,98182,3-60,21-
|
|
|
|
|
|
|
|
|
0130,5228,8327,283,26-0,50
|
|
|
|
|
|
|
|
|
-77,85186,2735,7114,3274,66-17,43-
|
|
|
|
|
|
|
|
|
-20,60205,7033,4429,3715,40--
|
|
|
|
|
|
|
|
Расчет термодинамических функций:
. Определим тепловой эффект реакции при стандартных условиях по формуле
вытекающей из закона Гесса:
,
где
- теплота образования химического вещества из
элементов его составляющих;
,
- стехиометрические коэффициенты в уравнении реакции.
кДж/моль
.
Определим тепловой эффект реакции для интервала температур от 523К до 773К по
формуле, полученной из уравнения Кирхгофа
и
изменения зависимости теплоемкости от температуры:
где
- разность сумм соответствующих коэффициентов в
продуктов реакции и исходных реагентов с учетом их
стехиометрических коэффициентов:
Энтальпию
реакции определяем по формуле:
.
Изменение энтропии реакции при стандартных условиях определяем по формуле:
где
- энтропия химических веществ - участников реакции
при температуре 298К
.
Определим изменение энтропии реакции в интервале температур от 523К до 773К
.
Изменение энергии Гиббса определяется по формуле
.
Из уравнения изотермы Вант-Гоффа определяем константу равновесия:
.
Полученные значения функций представлены в таблице 4.2.6.
Таблица
4.2.6. Термодинамические функции реакции
Т,К
,
кДж/моль
,
Дж/моль·К
|
кДж/моль
|
|
|
|
|
|
523
|
-144,999
|
16,78
|
-153,776
|
2,32E+15
|
|
573
|
-146,372
|
14,27
|
-154,552
|
1,25E+14
|
|
623
|
-147,730
|
12,00
|
-155,208
|
1,05E+13
|
|
673
|
-149,066
|
9,94
|
-155,755
|
1,24E+12
|
|
723
|
-150,376
|
8,06
|
-156,205
|
1,96E+11
|
-151,654
|
6,35
|
-156,564
|
3,85E+10
|
8.
Графики зависимостей:
;
;
;
Рисунок
4.2.9 График зависимости энтальпии от температуры.
Рисунок
4.2.10 График зависимости энтропии от температуры.

Рисунок
4.2.11 График зависимости энергии Гиббса от температуры.
Рисунок
4.2.12 График зависимости константы равновесия от температуры.

Так
как тепловой эффект реакции величина отрицательная, т.е.
, то данная реакция является экзотермической и идет с
выделением тепла. В интервале температур от 523К до 773К
, следовательно возможно самопроизвольное протекание
реакции в сторону продуктов реакции, с увеличение температуры эта вероятность
уменьшается. Для данной реакции характерно, что с увеличением температуры
происходит уменьшение энтропии реакции. Так как реакция экзотермическая, то из
уравнения изобары Вант-Гоффа (p=const):
следует,
что при
и
с
увеличением температуры величина константы равновесия уменьшается, и положение
равновесия сдвигается в сторону исходных компонентов.
4.3 Механизм
и кинетика реакций
) механизм. Первой реакцией, протекающей при
гидрообессеривании тиофена является
4H4S+ 2Н2 → 2С4Н6+ H2S ↑
Имеющаяся информация о кинетике реакции и о структуре
катализатора предполагает, что адсорбированные интермедианты включают водород,
Н S и серусодержащие соединения, причем
последние два занимают анионные вакансии. Предполагается, что реакция на
поверхности протекает по крайней мере через три элементарные стадии:
(Н2 → 2Н)
С Н S + □s + 2Н + 2е → С 4Н 6+S2-
S2-+2H → H2S+□s+2e
Где Н-адсорбированный атом водорода , □s-анионная вакансия, е-электроны.
Допустим, что адсорбированный Н образуется путем восстановительной адсорбции:
2+ + H2 + 2S2- → Со + 2SН- или 2Со2++Н2 +2S2- → 2Со+ + 2SH-
т.е. адсорбированный Н находится в группах SH-. Подача электронов может быть
описана реакцией: 2Мо3+ → 2Мо4++2е
Понятно, что Ni может заменить Со2+, a W3+ заменить Мо в этих уравнениях.
Исходя из этих представлений, предполагаем, что
реакция гидрообессеривания состоит из двух отдельных
окислительно-восстановительнных стадий, причем одна поставляет атомы Н, а
другая дает электроны. Молекула тиофена адсорбируется на сероанионной вакансии,
как обсуждалось ранее, где она может принимать электроны и протоны от ионов
Мо3+ и групп SH- соответственно. Тогда может
происходить электронный переход от Со к Мо4+ .
Раздельный способ переноса электронов и протонов -
удобная, но произвольная схема; альтернативно перенос может включать Н-атомы.
Эксперименты показали, что восстановление протекает как многостадийный
последовательный процесс, т.е. с переносом в начале одного атома Н, причем
органический интермедиант остается на поверхностном центре, где он принимает по
крайней мере два атома Н.
Рисунок 4.2.2 - Предполагаемый механизм
гидрообессеривания тиофена. анионная вакансия; штриховой прямоугольник
означает, что на вкюченных катионах могут находиться (частично)
делаколизованные электроны.
) Кинетика
Так как соединения ряда тиофена наименее активны и сам
тиофен часто используют в качестве модельного соединения при разработке
катализаторов гидроочистки, поэтому в качестве основной и побочной реакции для
дальнейшего анализа примем:
Данные реакции наиболее близки к типовой схеме
последовательных необратимых реакций:
Так как второй реагент является общим, то эти
уравнения можно записать так:
Кинетическая модель рассматриваемой реакции наиболее
близка реакциям с бимолекулярной кинетической стадией и протекающим на
однородной поверхности катализатора в кинетической области при гетерогенном
катализе.
Проанализируем влияние на селективность параметров
изучаемого процесса в реакторах, наиболее применяемых для осуществления реакции
данного типа.
Влияние на селективность парциального давления
реагентов проявляется в двух случаях: при разных вторых реагентах обеих стадий,
если их давления влияют на скорости этих реакций или при разных порядках их по
веществам А и В. Но в данном случае второй реагент общий и порядки обоих стадий
равны; Поэтому повышение парциального давления второго реагента увеличит
скорость как прямой, так и побочной реакции, а селективность выражается
следующим образом.
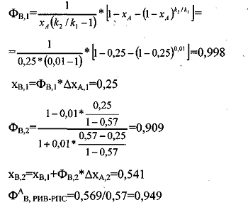
Характерным для последовательных реакций является
сильное влияние на селективность степени конверсии. Для РПС
Отсюда видно, что при хА=0 селективность Фв=1, а при
хА=1, ФВ=0 во всех других промежуточных случаях связь селективности и степени
конверсии будет функцией k2/k1.
В данном случае k2<<k1 то
можно работать на высоких степенях конверсии. При этом увеличение степени
конверсии не так сильно изменяет селективность.
Степень конверсии при участии второго реагента
регулируют мольным соотношением вступившего в реакцию Y ко всему взятому реагенту А, т.е. селективность зависит от
величины βу избытка второго реагента. Для случая k2<<k1 допустимо, высокая величина βY для обеспечения высокой
селективности процесса.
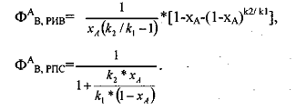
Проанализируем влияние на селективность типа реактора.
При одинаковых порядках интегральная селективность
будет равна
На малых степенях конверсии различие между РИВ и РПС
по селективности невелико. И выбор реактора в данном случае осуществляется не
по соображениям селективности. При высоких степенях конверсии различие между
РПС и РИВ велико, при этом различие связано с соотношением констант скоростей (k2/k1).
При степенях конверсии близких к 1 при небольших
соотношениях констант скоростей отношение селективностей стремится к 0, т.е. в
этом случае выбор реактора также мало влияет на селективность. Для больших
величин соотношение скоростей селективность мало зависит от типа реактора.
Для указанной схемы реакций сравним эффективность
некоторых типовых реакторных схем:
Последовательные реакции 2 порядка, конечная степень
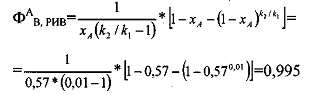
конверсии хА=0,57
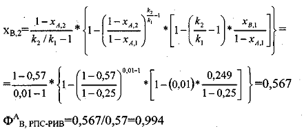
В случае каскада: степень конверсии после первого
реактора хА,1=0,25 и после второго ХА,2=0,57
Соотношение k2/k1=0,01
Тогда для единичного РИВ:
Для единичного РПС:
Таким образом, видно, что при прочих равных условиях
К-РПС занимает промежуточное положение между РИВ (наиболее селективный) и РПС
(малосективный).
Для последовательности вытеснение-смешение:
Таким образом, последовательность реакторов
смешение-вытеснение
при падающей кривой селективности дает наиболее высокую селективность
процесса, чем вытеснение-смешение, причем при повышении степени
конверсии различие будет значительнее.
Кроме типа реакторов на селективность сложных реакций
влияет способ введения реагентов или направление их потоков.
В периодических условиях оба реагента следует
загружать в реактор сразу, а для непрерывных - применять реактор идеального
вытеснения или К-РПС, это справедливо для последовательных реакций.
Проанализируем влияние температуры на селективность
сложных реакций обусловлено изменением соотношения констант скорости:
которое вызвано изменением энергии активации отдельных
стадий. Для системы состоящей из 2-х необратимых последовательных реакций,
направление благоприятного для роста селективности изменения температуры
установить легко: если целевая реакция имеет более высокую энергию
активации, надо повышать температуру, а в
противоположном случае- снижать. Это дает одинаковый эффект уменьшения
соотношения ki/k1 и увеличение селективности.
При гидроочистке на ГП катализаторе энергия активации
гидрогенолиза сернистых соединений составляет 16 кДж/моль. Теплоты гидрирования
связей C-S и С-С близки между собой. Поэтому чем в более мягких
условиях протекает процесс гидроочистки, тем меньше удельный вес реакций
гидрокрекинга углеводородной части сырья, т.е. выше селективность процесса.
Проанализируем влияние параметров процесса на удельную
производительность реакторов.
Для необратимых реакций, описываемых кинетическими
уравнениями простого типа
удельная производительность реакторов равна:
Для нашей реакции A+Y→B+Z упрощенное кинетическое уравнение можно записать
тогда
Тогда при прочих равных условиях
удельная производительность прямо пропорциональна парциальному давлению второго
реагента и с его повышением увеличивается удельная производительность.
Еще один из способов воздействия на удельную
производительность реакторов состоит в применении избытка одного из реагентов,
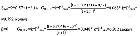
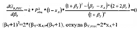
если они оба влияют на скорость реакции. Рассмотрим влияние βY на GB,РПС
Находим производную и приравниваем ее к нулю:
Таким образом, максимум удельной производительности
достигается при тем большем избытке второго реагента, чем выше степень
конверсии хА.
Сравним удельные производительности при βY=1,
βmax,
β=6,
k=0,16моль/ч*атм2, р=45 атм
Видно, что наибольшую удельную производительность
обеспечивает оптимальное значение βY.
Большое влияние на удельную производительность
реакторов оказывает степень конверсии, Так для простой необратимой реакции с
кинетическим уравнением r=k*PAnA. Для РПС с повышением степени конверсии удельная
производительность падает, а при хА→ 1 она стремится к нулю. Для РИВ ее
снижение выражено не так сильно, вследствие чего РИВ предпочтительны для
процессов, где особенно желательна высокая степень конверсии сырья.
Наконец, удельная производительность реакторов сильно
зависит от температуры. Для необратимых реакций характерно, что константы
скорости, а тем самым и производительность реакторов растут с повышением
температуры.
Рассматриваемая реакция фактически необратима при
обычно используемых температурах и давлениях. Но все же она обратимая
экзотермическая реакция, у которой термодинамика и кинетика предъявляют
противоположные требования к температуре процесса. Равновесие смешается в желаемую
сторону при снижении температуры, что вызывает уменьшение скорости и
производительности реактора. В температурном интервале процесса гидрогенолиза
тиофена от 300 до 400°С Кр=3,28*108-5,16*104. Это говорит о том, что равновесие
сдвинуто в сторону выхода продуктов реакции. Кроме того увеличивается скорость
гидрообессеривания и значит производительность,
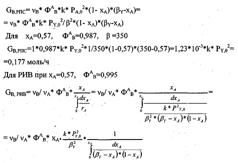
Кроме того для всех реакций с кинетическими
уравнениями простого типа, имеющих ∑ni, РИВ более производительны, чем РПС. Подтвердим это
расчетом. Для РПС удельная производительность:
Для последовательности смешение-вытеснение:
Решение данного логарифма приводит к тому, что GВ,РИВ =2,5*10-3*к* PY,02=0,36 моль/ч
,рив > Gb,рпс
.4 Влияние
основных параметров на результат гидроочистки гача
) для обеспечения наилучшей селективности необходимо:
- проводить процесс при высоких значениях степени конверсии и избытке
второго реагента,
- проводить процесс в реакторе по гидродинамическому
режиму близкому к РИВ,
процесс вести при температуре ниже температуры, при
которой начинается гидрокрекинг;
2) для обеспечения наибольшей удельной
производительности необходимо:
проводить процесс при высоком парциальном давлении
второго реагента,
- использовать оптимальное значение избытка второго
реагента,
проводить процесс в интервале оптимальных температур,
проводить процесс в реакторе по гидродинамическому
режиму близкий к РИВ, что позволит проводить процесс при высоких степенях
конверсии.
5. Задание на
проектирование
|
Перечень данных и
требований
|
Конкретные данные
|
|
1
|
2
|
|
1. Основание на
проектирование
|
Учебный план по
специальности 2504.00 и приказ по университету №.1429-ст
|
|
2. Цель проектирования
Тема: Гидроочистка гача Задание: Предложить варианты улучшения качества
гидроочищенного гача. Спроектировать основную стадию.
|
Способ достижения цели и
отличительная особенность от аналога: В качестве технического решения
предложена замена катализатора ГП-534, ныне используемого на
производстве-аналоге, на более эффективный отечественный катализатор ИК-ГО-1.
|
|
3. Мощность проектируемого
объекта по сырью: 200000 т/год
|
|
|
4. Основной элемент, узел
основной стадии, требующие детальной проработки. 4.1 Характер изменений
|
Изменение на уровне узла.
Перенастройка параметров.
|
|
5. Элемент, узел, стадия
выделения и очистки целевого продукта, требующие детальной проработки. 5.1
Характер изменений
|
Изменение в структуре
стадии выделения гидрогенизата не требуется.
|
|
6. Сформировать новую
технологическую схему (ТС) установки. 6.1 Выполнить чертежи ТС: стадия
подготовки, синтеза, выделения целевого продукта. 6.2 Описать работу 6.3
Описать КИП и А 6.4 Сформировать таблицу «Нормы технологического регламента и
метрологического обеспечения»
|
Чертежи стадий подготовки
сырья, стадии синтеза и стадии выделения стабильного гидрогенизата - 1 лист
формата А1. С учетом изменений в соответствии с новым способом. Измененный
вариант КИП и А. Учесть данные регламента промышленного аналога
|
|
7. Выполнить расчет:
материального баланса основной и вспомогательной стадии. 1
|
Стадия синтеза - реактор
гидроочистки гача Стадия выделения - 2
|
|
оборудования: основной
стадии - основной аппарат (технологический и конструктивно-механический расчет)
вспомогательной стадии.
|
стабилизационная колонна.
|
|
8. Подобрать на основе
исходных данных следующее оборудование:
|
Насос, теплообменник.
|
|
9. Описать вариант
компоновки в соответствии с новым способом 9.1 Выполнить чертеж компоновки
основного оборудования на отметках:
|